Journal Description
Compounds
Compounds
is an international, peer-reviewed, open access journal on chemical compounds published quarterly online by MDPI.
- Open Access— free for readers, with article processing charges (APC) paid by authors or their institutions.
- High Visibility: indexed within ESCI (Web of Science), Scopus and other databases.
- Rapid Publication: manuscripts are peer-reviewed and a first decision is provided to authors approximately 19.6 days after submission; acceptance to publication is undertaken in 5.5 days (median values for papers published in this journal in the second half of 2025).
- Recognition of Reviewers: APC discount vouchers, optional signed peer review, and reviewer names published annually in the journal.
- Compounds is a companion journal of Metals.
Impact Factor:
2.3 (2024);
5-Year Impact Factor:
2.2 (2024)
Latest Articles
Endoperoxides: Highly Oxygenated Terpenoids with Anticancer and Antiprotozoal Activities
Compounds 2026, 6(1), 7; https://doi.org/10.3390/compounds6010007 - 13 Jan 2026
Abstract
Endoperoxides constitute a distinctive class of highly oxygenated terpenoids defined by the presence of a cyclic peroxide (–O–O–) bond, a structural motif responsible for their pronounced chemical reactivity and diverse biological effects. Naturally occurring endoperoxide-containing terpenoids are broadly distributed across terrestrial and marine
[...] Read more.
Endoperoxides constitute a distinctive class of highly oxygenated terpenoids defined by the presence of a cyclic peroxide (–O–O–) bond, a structural motif responsible for their pronounced chemical reactivity and diverse biological effects. Naturally occurring endoperoxide-containing terpenoids are broadly distributed across terrestrial and marine taxa, including higher plants, algae, fungi, and bryophytes, where they are believed to participate in chemical defense and ecological interactions. This review provides a comprehensive overview of naturally occurring endoperoxide terpenoids, focusing on their natural sources, structural diversity, and reported biological activities. Particular emphasis is placed on compounds exhibiting antiprotozoal and antitumor activities, exemplified by artemisinin and its derivatives, which remain cornerstone agents in antimalarial therapy and continue to attract interest for their anticancer potential. Structure–activity relationship (SAR) analysis, supported by computational prediction using the PASS (Prediction of Activity Spectra for Substances) platform, is employed to examine correlations between peroxide-containing frameworks and biological function. Comparative assessment of experimental data and predicted activity profiles identifies key structural features associated with antiprotozoal, antineoplastic, and anti-inflammatory effects. Collectively, this review highlights endoperoxides as a valuable and chemically distinctive class of bioactive natural products and discusses their promise and limitations as leads for further pharmacological development, particularly in light of their intrinsic reactivity and stability challenges.
Full article
(This article belongs to the Special Issue Compounds–Derived from Nature)
►
Show Figures
Open AccessArticle
Enhanced Removal of the Antibiotic Sulfamethoxazole by a B-Doped Mesoporous Carbon Nanosheet/Peroxymonosulfate System: Characterization and Mechanistic Insights
by
Thi-Hai Anh Nguyen, Tran Van Tam and Minh-Tri Nguyen-Le
Compounds 2026, 6(1), 6; https://doi.org/10.3390/compounds6010006 - 12 Jan 2026
Abstract
This study investigates the activation mechanism of boron-doped carbon (BMC) catalysts for the degradation of the antibiotic sulfamethoxazole (SMX) via persulfate (PMS) activation. The catalysts were synthesized using a sequential double-melting calcination method, resulting in mesoporous carbon nanosheets characterized by hierarchical macro-mesopores and
[...] Read more.
This study investigates the activation mechanism of boron-doped carbon (BMC) catalysts for the degradation of the antibiotic sulfamethoxazole (SMX) via persulfate (PMS) activation. The catalysts were synthesized using a sequential double-melting calcination method, resulting in mesoporous carbon nanosheets characterized by hierarchical macro-mesopores and atomically dispersed dual active sites. Comprehensive characterization was performed using BET, SEM, TEM, FT-IR, XPS, XRD, and Raman techniques. The optimized BMC catalyst demonstrated excellent performance, achieving complete removal of sulfamethoxazole (100%) and a high mineralization rate (~90%) within 45 min. Mechanistic analysis, including electron paramagnetic resonance (EPR), revealed that the degradation predominantly follows a singlet oxygen (1O2)-dominated pathway. The system exhibited broad applicability to various pollutants, along with notable operational stability and robust resistance to common environmental interferents. Persulfate activation was primarily attributed to boron-active sites, while the hierarchical mesoporous structure facilitated both pollutant enrichment and catalytic efficiency.
Full article
(This article belongs to the Special Issue Feature Papers in Compounds (2025))
►▼
Show Figures

Figure 1
Open AccessArticle
Influence of Polyhydroxyl Additives on the Mechanical Properties of Poly(acrylic acid)/Polyvinylpyrrolidone Complex Films
by
Tomoko Ito and Yoshiyuki Koyama
Compounds 2026, 6(1), 5; https://doi.org/10.3390/compounds6010005 - 6 Jan 2026
Abstract
►▼
Show Figures
Poly(acrylic acid)/polyvinylpyrrolidone (PAA/PVP) hydrogen-bonded complexes are of growing interest as functional materials for biomedical applications. However, the influence of polyhydroxyl additives, such as polyols and sugars, on complex formation and material performance remains insufficiently understood. This study aimed to elucidate how polyhydroxyl compounds
[...] Read more.
Poly(acrylic acid)/polyvinylpyrrolidone (PAA/PVP) hydrogen-bonded complexes are of growing interest as functional materials for biomedical applications. However, the influence of polyhydroxyl additives, such as polyols and sugars, on complex formation and material performance remains insufficiently understood. This study aimed to elucidate how polyhydroxyl compounds affect the physical properties of PAA/PVP complexes. Dried PAA films were brought into contact with aqueous PVP solutions containing various additives (glycerol, sugar alcohols, or sugars), and the resulting hydrogels were dried to form films. Their swelling behavior in water and PBS, thermal stability, and mechanical properties were comparatively evaluated. Sugar alcohols markedly improved swelling and flexibility, whereas sugars showed limited effects. Glucitol exhibited intermediate performance due to a high tendency toward intramolecular hydrogen bonding in aqueous media. Mechanistic analysis suggested that sugar alcohols act in a chaperone-like manner during complex formation, promoting microphase-separated structures composed of hydrogen-bonded domains and free segment regions. These findings provide new molecular insight into designing PAA/PVP-based materials with additives for biomedical applications.
Full article

Graphical abstract
Open AccessArticle
Characterization of Volatile Compounds in Amarillo, Ariana, Cascade, Centennial, and El Dorado Hops Using HS-SPME/GC-MS
by
Marcos Edgar Herkenhoff, Oliver Brödel, Guilherme Dilarri, Miklos Maximiliano Bajay, Marcus Frohme and Carlos André da Veiga Lima Rosa Costamilan
Compounds 2026, 6(1), 4; https://doi.org/10.3390/compounds6010004 - 4 Jan 2026
Abstract
►▼
Show Figures
Humulus lupulus L. (hops) is essential in brewing due to its contributions to bitterness, flavor, and aroma. This study compared the volatile profiles of five commercially important hop varieties—Amarillo, Ariana, Cascade, Centennial, and El Dorado—grown in their main regions of origin (United States
[...] Read more.
Humulus lupulus L. (hops) is essential in brewing due to its contributions to bitterness, flavor, and aroma. This study compared the volatile profiles of five commercially important hop varieties—Amarillo, Ariana, Cascade, Centennial, and El Dorado—grown in their main regions of origin (United States for Amarillo, Cascade, and El Dorado; Germany for Ariana; and Brazil for Centennial). Headspace solid-phase microextraction coupled with gas chromatography–mass spectrometry (HS-SPME/GC-MS) enabled the identification of 312 volatile compounds, including monoterpenes (e.g., myrcene, linalool, geraniol), sesquiterpenes (e.g., humulene, caryophyllene), esters, alcohols, aldehydes, and ketones. Amarillo showed the highest myrcene content (22.61% of the total volatile area), while Centennial was distinguished by elevated γ-muurolene (20.59%), and El Dorado by the highest level of undecan-2-one (10.47%), highlighting marked varietal differences in key aroma-active constituents. Multivariate, including principal component analysis (PCA) and partial least squares discriminant analysis (PLS-DA), clearly discriminated the five varieties: PC1 (41.04% of the variance) separated samples enriched in fruity/floral monoterpenes and esters from those dominated by woody/resinous sesquiterpenes, whereas PC2 (25.93% of the variance) reflected variation in medium-chain esters, ketones, and waxy compounds. These chemometric patterns demonstrate that both genetic background and growing region terroir strongly shape hop volatile composition and, consequently, aroma potential, providing brewers with objective criteria for selecting hop varieties to achieve specific sensory profiles in beer.
Full article

Graphical abstract
Open AccessReview
Direct Use in Electrochemical Energy Devices of Electrospun Nanofibres with Functional Nanostructures
by
Maria Federica De Riccardis and Carmela Tania Prontera
Compounds 2026, 6(1), 3; https://doi.org/10.3390/compounds6010003 - 1 Jan 2026
Abstract
►▼
Show Figures
Electrospinning has emerged as a powerful technique for fabricating customised nanofibrous materials with integrated functional nanostructures, offering significant advantages for electrochemical energy applications. This review highlights recent advances in using electrospun nanofibres directly as active components in devices such as batteries, supercapacitors, and
[...] Read more.
Electrospinning has emerged as a powerful technique for fabricating customised nanofibrous materials with integrated functional nanostructures, offering significant advantages for electrochemical energy applications. This review highlights recent advances in using electrospun nanofibres directly as active components in devices such as batteries, supercapacitors, and fuel cells. The emphasis is on the role of composite design, fibre morphology and surface chemistry in enhancing charge transport, catalytic activity and structural stability. Integrating carbon-based frameworks, conductive polymers, and inorganic nanostructures into electrospun matrices enables multifunctional behaviour and improves device performance. The resulting nanofibrous composite materials, often after heat treatment, can be used directly as electrodes or self-supporting layers, eliminating the need for additional processing steps such as size reduction or preparation of slurries and inks for creating functional nanofibre-based deposits. The importance of composite nanofibres as an emerging strategy for overcoming challenges related to scalability, long-term durability, and interface optimisation is also discussed. This review summarises the key results obtained to date and highlights the potential of electrospun nanofibres as scalable, high-performance materials for next-generation energy technologies, outlining future directions for their rational design and integration.
Full article

Figure 1
Open AccessReview
A Comprehensive Review of the Antiulcerogenic and Antidiarrheal Properties of Croton L. Species (Euphorbiaceae)
by
José Jailson Lima Bezerra and Antonio Fernando Morais de Oliveira
Compounds 2026, 6(1), 2; https://doi.org/10.3390/compounds6010002 - 1 Jan 2026
Abstract
►▼
Show Figures
Gastrointestinal disorders negatively affect populations worldwide. Considering the side effects of synthetic drugs, natural products can be a safe and effective alternative to help treat gastric ulcers and diarrhea. In this context, the present study reviewed the antiulcerogenic and antidiarrheal activities of species
[...] Read more.
Gastrointestinal disorders negatively affect populations worldwide. Considering the side effects of synthetic drugs, natural products can be a safe and effective alternative to help treat gastric ulcers and diarrhea. In this context, the present study reviewed the antiulcerogenic and antidiarrheal activities of species of the genus Croton (Euphorbiaceae). The scientific documents were retrieved from different databases, covering publications from the first report on the topic in 1998 to October 2025. Although the genus Croton comprises approximately 1200 species, only 11 have been evaluated for their antiulcerogenic and antidiarrheal potential in in vivo and in vitro studies. Among the identified bioactive constituents, the diterpenes trans-dehydrocrotonin and trans-crotonin, isolated from Croton cajucara, demonstrated significant antiulcerogenic activity in several experimental models in vivo. Similarly, the compound crofelemer, isolated from the latex of the bark of Croton lechleri, has shown promising results in several clinical trials for the treatment of diarrhea. Furthermore, flavonoids including rutin and quercitrin have been detected in Croton campestris. Regarding gastroprotective mechanisms, evidence suggests that extracts and essential oils obtained from Croton species may act through the nitric oxide pathway, promoting an antiulcerogenic effect. Additional studies are needed to investigate the gastroprotective and antiulcerogenic potential of at least 17 Croton species used empirically in traditional medicine for the treatment of gastrointestinal disorders but still without scientific validation.
Full article

Figure 1
Open AccessArticle
Powder Properties of Spray-Dried Cydonia oblonga Mill. (Quince) Seed Mucilage: A Novel Natural Biopolymer with Functional Excipient Characteristics
by
Yana Gvozdeva
Compounds 2026, 6(1), 1; https://doi.org/10.3390/compounds6010001 - 29 Dec 2025
Abstract
Background: Powdered mucilages are increasingly being used as natural excipients in pharmaceutical formulations, functioning as binders, disintegrants, thickeners, suspending agents, and film formers. Their swelling, viscosity-enhancing, and biocompatible properties also make them useful in controlled-release systems and tablet production. This study aimed to
[...] Read more.
Background: Powdered mucilages are increasingly being used as natural excipients in pharmaceutical formulations, functioning as binders, disintegrants, thickeners, suspending agents, and film formers. Their swelling, viscosity-enhancing, and biocompatible properties also make them useful in controlled-release systems and tablet production. This study aimed to produce spray-dried Cydonia oblonga (CO) mucilage, examine how drying parameters influence yield, and determine its physicochemical and rheological characteristics to evaluate its suitability for pharmaceutical applications. Methods: Powdered CO mucilage was obtained by spray drying. The obtained powders were characterized on yield, particle size and morphology, moisture content, loss on drying, flow properties and swelling index. Results: The obtained powders show yields of 10.6–16.4%, particle sizes of 4.5–5.39 μm, and moisture contents of 2–3%. Their flowability is limited despite satisfactory angle of repose, Hausner ratio, and Carr index values, yet all powders exhibit excellent swelling properties. Conclusions: Model CM6 of the obtained powdered CO seeds hydrocolloid stands out as the best spray-dried hydrocolloid, combining high drying efficiency, low residual moisture, uniform particle formation, and excellent swelling capacity despite its limited flowability. These properties make it a strong candidate for use as a biopolymer or excipient in pharmaceuticals.
Full article
(This article belongs to the Special Issue Compounds–Derived from Nature)
►▼
Show Figures

Figure 1
Open AccessReview
More than Heat: The Complex Nature of Pungent Capsicum spp.
by
Filomena Monica Vella, Domenico Cautela and Bruna Laratta
Compounds 2025, 5(4), 61; https://doi.org/10.3390/compounds5040061 - 18 Dec 2025
Abstract
For centuries, people have used herbs, plants, and spices as remedies for health problems or simply to ameliorate body energy or vitality because of the bioactive compounds they contain. The Capsicum genus, which includes the chili pepper, is one of the oldest crops
[...] Read more.
For centuries, people have used herbs, plants, and spices as remedies for health problems or simply to ameliorate body energy or vitality because of the bioactive compounds they contain. The Capsicum genus, which includes the chili pepper, is one of the oldest crops to be domesticated and used. It is characterized by three qualities: pungency/flavor, color, and aroma. Capsaicinoids are responsible for the pungent flavor. Carotenoids and flavonoids determine the remarkable and colorful tones of chili peppers. Volatile compounds provide their characteristic aroma. This prompts consumers to purchase and utilize the numerous varieties of chili peppers, whether fresh or dried. The presence of these bioactive compounds gives chili peppers functional attributes that promote health. This paper reviews the scientific research carried out over the last 25 years on these attributes. This paper also looks at how Capsicum fruits could be used as a valuable source of nutrients from plants that have beneficial biological properties.
Full article
(This article belongs to the Special Issue Compounds–Derived from Nature)
►▼
Show Figures

Figure 1
Open AccessArticle
Blend Extracts of German Chamomile (Matricaria chamomilla L.) and Feverfew (Tanacetum parthenium L. Sch. Bip.) Against Oxidative Stress and Multidrug-Resistant Bacteria: Role of Extraction Temperature
by
Petar Batinić, Natalija Čutović, Jelena Marinković, Aleksandar Krstić, Stanislava Čukić, Mirjana Pešić, Danijel Milinčić and Tatjana Marković
Compounds 2025, 5(4), 60; https://doi.org/10.3390/compounds5040060 - 18 Dec 2025
Abstract
►▼
Show Figures
Chamomile (Matricaria chamomilla L.) and feverfew (Tanacetum parthenium L. Sch. Bip.), both members of the Asteraceae family, are widely distributed in Serbia and traditionally used for their medicinal properties. Chamomile is primarily known for its gastrointestinal effects, while feverfew is noted
[...] Read more.
Chamomile (Matricaria chamomilla L.) and feverfew (Tanacetum parthenium L. Sch. Bip.), both members of the Asteraceae family, are widely distributed in Serbia and traditionally used for their medicinal properties. Chamomile is primarily known for its gastrointestinal effects, while feverfew is noted for its antimigraine activity. Although the biological activity of each plant has been individually studied, there has been a lack of research related to their blends. So, the aim of this study was to prepare various chamomile/feverfew blends and their extracts with special focus on extraction temperature, to obtain superior herbal extract with the best functional characteristics. In order to characterize the obtained blend extracts this study included spectrophotometric and UHPLC Q-ToF MS analysis of prepared (selected) extracts, as well as evaluation of their antioxidant (ABTS, DPPH, FRAP, and CUPRAC) and antimicrobial properties. Antibacterial activity was evaluated against two Gram-positive and four Gram-negative bacterial strains using the broth microdilution method. Untargeted analysis showed the same phytochemical profile for both selected extracts (B3 and B9), as well as differences in distribution and abundance of identified compounds depending on applied extraction temperature (cold or heat-assisted). These differences in profile most probably contributed to variations in the antioxidant and antimicrobial properties of the extracts. The most potent antioxidant activity (123.04 µM TEAC/g) was observed for the 3:1 feverfew/chamomile blend (ABTS assay), while the highest metal-chelating capacity (1288.95 µM VCEAC/g) was recorded in extracts obtained by heat-assisted extraction (CUPRAC assay). Antibacterial activity of all blends ranged from 0.625 to 2.5 mg/mL, regardless of the extraction method. The findings indicate that combined extracts of chamomile and feverfew represent a promising source of bioactive compounds with potential applicability in both food science and pharmaceutical (biomedical) research.
Full article

Figure 1
Open AccessArticle
Tuning of Thermally Activated Delayed Fluorescence Properties in the N,N-Diphenylaminophenyl–Phenylene–Quinoxaline D–π–A System
by
Masaki Nagaoka, Hiroaki Chihara, Shintaro Kodama, Takeshi Maeda, Shin-ichiro Kato and Shigeyuki Yagi
Compounds 2025, 5(4), 59; https://doi.org/10.3390/compounds5040059 - 16 Dec 2025
Abstract
Thermally activated delayed fluorescence (TADF) often achieves high device efficiencies in organic light-emitting diodes. Here we develop TADF dyes, 1-H and 1-Me, based on an N,N-diphenylaminophenyl–phenylene–quinoxaline donor–π–acceptor system, which contains an unsubstituted 1,4-phenylene and a 2,5-dimethyl-1,4-phenylene π-spacer, respectively. In
[...] Read more.
Thermally activated delayed fluorescence (TADF) often achieves high device efficiencies in organic light-emitting diodes. Here we develop TADF dyes, 1-H and 1-Me, based on an N,N-diphenylaminophenyl–phenylene–quinoxaline donor–π–acceptor system, which contains an unsubstituted 1,4-phenylene and a 2,5-dimethyl-1,4-phenylene π-spacer, respectively. In UV–vis absorption spectra in toluene at room temperature, 1-H showed a relatively intense shoulder band at 400 nm, whereas 1-Me had a weak, blue-shifted shoulder at 386 nm, indicating 1-Me adopts a more twisted π-conjugation system. On the other hand, the photoluminescence (PL) wavelength of 1-Me (λPL; 558 nm) under the same conditions was slightly red-shifted in comparison with that of 1-H (λPL; 552 nm), due to larger structural relaxation of 1-Me. From PL lifetime measurements, both the dyes showed TADF in 10 wt%-doped poly(methyl methacrylate) film, and their PL quantum yields were moderate (ΦPL; ca. 0.5 at 300 K). As for the photokinetics, 1-Me exhibited larger rate constants for intersystem crossing and reverse intersystem crossing than 1-H due to the small excited-state singlet–triplet energy gap (ΔEST) of 1-Me. Furthermore, theoretical calculations indicated the triplet state of 1-Me is destabilized by localization of the spin density, resulting in the reduced ΔEST to facilitate TADF.
Full article
(This article belongs to the Special Issue Feature Papers in Compounds (2025))
►▼
Show Figures

Figure 1
Open AccessArticle
Efficient Microwave-Assisted Extraction of Polyphenol-Rich Extract from Salvia dumetorum Leaves
by
Yana K. Levaya, Karakoz Zh. Badekova, Mussa E. Zholdasbayev, Gulnissa K. Kurmantayeva, Gayane A. Atazhanova, Daniyar T. Sadyrbekov and Ainabayev Assanali
Compounds 2025, 5(4), 58; https://doi.org/10.3390/compounds5040058 - 11 Dec 2025
Abstract
Salvia dumetorum Andrz. ex Besser is a promising non-pharmacopoeial plant species with traditional medicinal potential. This study aimed to determine the optimal microwave-assisted extraction (MAE) conditions for obtaining a polyphenol-rich ethanolic extract from the S. dumetorum leaves. Dried and powdered leaves were extracted
[...] Read more.
Salvia dumetorum Andrz. ex Besser is a promising non-pharmacopoeial plant species with traditional medicinal potential. This study aimed to determine the optimal microwave-assisted extraction (MAE) conditions for obtaining a polyphenol-rich ethanolic extract from the S. dumetorum leaves. Dried and powdered leaves were extracted using 40% ethanol with different power of microwaves varying from 200 to 800 W and time of extraction 2–8 min. The extract was filtered, concentrated, and evaluated for yield, identification of phenolic compounds using high-performance liquid chromatography (HPLC), total phenolic content (TPC), and total flavonoid content (TFC). Extraction yields ranged from 2.20% to 25.80% based on dry weight. TPC and TFC were determined using Folin–Ciocalteu and aluminum chloride colorimetric assays, respectively, and are expressed as mg GAE/g and mg RUE/g of dry extract. The antioxidant activity of the extracts was evaluated using the DPPH (2,2-diphenyl-1-picrylhydrazyl radical) assay. According to HPLC analysis, the main phenolic components of the extracts were rosmarinic acid (1.78–2.95 mg/mL), chlorogenic acid (0.31–0.54 mg/mL), caffeic acid (0.11–0.20 mg/mL), rutin (up to 0.47 mg/mL) and ferulic acid (0.13–0.33 mg/mL); traces of myricetin were found only in isolated samples. The optimum extraction conditions were found to be 400 W microwave power, 8 min extraction time, one MAE cycle, and a 1:30 g/mL solvent-to-material loading ratio; TPC and TFC were evaluated as 35.23 ± 0.50 mg GAE/g DW and 19.94 ± 0.14 mg RuE/g DW, respectively, indicating the highest yield of polyphenolic compounds, antioxidant potential inhibiting 96.68% ± 0.27 of DPPH radicals, and IC50 = 10.24 µg/mL. These findings highlight the efficiency of MAE in producing a bioactive ethanolic extract of S. dumetorum, which can be further explored for potential applications as a natural antioxidant in pharmaceutical or cosmetic formulations.
Full article
(This article belongs to the Special Issue Phenolic Compounds: Extraction, Chemical Profiles, and Bioactivity)
►▼
Show Figures

Figure 1
Open AccessArticle
Thiol-Stabilized Copper Sulfide Nanoparticles and Their Incorporation into Alginic Beads for Potential Sorption Applications
by
Dana Ortiz-Ortiz and Sonia J. Bailón-Ruiz
Compounds 2025, 5(4), 57; https://doi.org/10.3390/compounds5040057 - 11 Dec 2025
Abstract
►▼
Show Figures
Antibiotics are increasingly detected in aquatic environments, raising environmental and public health concerns due to their persistence and contribution to antimicrobial resistance. This study examines copper sulfide (CuS) nanostructures as potential materials for sustainable water remediation. CuS nanoparticles were synthesized in aqueous media
[...] Read more.
Antibiotics are increasingly detected in aquatic environments, raising environmental and public health concerns due to their persistence and contribution to antimicrobial resistance. This study examines copper sulfide (CuS) nanostructures as potential materials for sustainable water remediation. CuS nanoparticles were synthesized in aqueous media using thioglycolic acid (TGA) as a stabilizing ligand and characterized by UV–Vis, FTIR, XRD, TEM, SEM, and EDS. An optimized Cu:TGA molar ratio of 1:6 yielded stable nanoparticles with a distinct excitonic absorption at 312 nm, strong ligand coordination, and a covellite-type hexagonal crystalline phase. These nanoparticles were subsequently immobilized within calcium–alginate hydrogel beads of two controlled size regimes, producing structurally uniform and recoverable composites. SEM imaging revealed qualitative increases in surface texturing following CuS incorporation, while bead diameter analyses indicated minimal changes in morphology. Overall, the results confirm the successful synthesis, stabilization, and immobilization of CuS nanoparticles within alginate beads and establish a robust materials platform with potential for future adsorption and photocatalytic applications targeting antibiotic contaminants in water.
Full article

Figure 1
Open AccessArticle
Relationship of Metallophilic Interactions with Structural and Mechanical Properties of (1−x) (0.73GeSe2-0.27Sb2Se3)-xAg2Se Glasses
by
Yuriy S. Tveryanovich, Andrey S. Tverjanovich, Vladimir V. Tomaev, Anton S. Mazur, Svyatoslav S. Lun’kov, Sonya A. Zaytseva and Eugene Bychkov
Compounds 2025, 5(4), 56; https://doi.org/10.3390/compounds5040056 - 8 Dec 2025
Abstract
►▼
Show Figures
The effect of Ag2Se content on the structure and mechanical properties of (1−x) (0.73GeSe2-0.27Sb2Se3)-xAg2Se glasses is analyzed. The glass structure is studied using XRD and NMR analyses. A particular
[...] Read more.
The effect of Ag2Se content on the structure and mechanical properties of (1−x) (0.73GeSe2-0.27Sb2Se3)-xAg2Se glasses is analyzed. The glass structure is studied using XRD and NMR analyses. A particular consideration relates to a multiple increase in plasticity with increasing silver selenide content in chalcogenide glasses. The observed effects are attributed to the formation of silver–silver metallophilic interactions.
Full article

Figure 1
Open AccessArticle
Mexican Fruits of the Stenocereus Genus: Characterization, Physicochemical, Nutritional, and Content of Bioactive Compounds
by
Alma Delia Noriega-Juárez, Yolanda Nolasco-González, Oswaldo Alejandro Arellano-Machuca, Diego Rafael Montoya-Carvajal, Brandon Alexis López-Romero, Javier Alberto Navarro-Mendoza and Efigenia Montalvo-González
Compounds 2025, 5(4), 55; https://doi.org/10.3390/compounds5040055 - 2 Dec 2025
Abstract
Stenocereus fruits are appreciated for their flavor and color, and their cultivation is highly sustainable, as they grow in arid zones without the need for fertilizers or agrochemicals. However, their nutritional and bioactive composition remains underexplored. This study evaluated the physicochemical and nutritional
[...] Read more.
Stenocereus fruits are appreciated for their flavor and color, and their cultivation is highly sustainable, as they grow in arid zones without the need for fertilizers or agrochemicals. However, their nutritional and bioactive composition remains underexplored. This study evaluated the physicochemical and nutritional properties, bioactive compound content, and antioxidant capacity (AOX) of Stenocereus thurberi (red, white, purple, and orange), Stenocereus martinezzi (red), and Stenocereus gummosus (red). All fruits exhibited low total soluble solids (12.6 ± 0.2–14.7 ± 0.3 °Brix), acidity (0.81 ± 0.03–1.12 ± 0.03%), and moderate dietary fiber content (3.71 ± 0.05–4.86 ± 0.09%). S. martinezzi stood out for its high levels of betalains (33.7 ± 0.65 mg/100 g_fw), vitamin E (84.7 ± 0.2 µg/100 g_fw), and vitamin C (147.6 ± 11.4 mg/100 g_fw). At the same time, potassium, magnesium, and calcium were the predominant minerals in all samples. S. gummosus showed the highest total soluble phenols (120.6 ± 2.2 mg/100 g_fw) and was also notable for its flavonoid content. Flavonoids, hydroxycinnamic, and hydroxybenzoic acids were detected in all fruits. Red fruits had the highest AOX levels, followed by white, orange, and purple varieties. In conclusion, these fruits are nutritious, low in sugars, and rich in bioactive compounds, suggesting their potential as functional foods, particularly beneficial for individuals with chronic degenerative diseases.
Full article
(This article belongs to the Special Issue Phenolic Compounds: Extraction, Chemical Profiles, and Bioactivity)
►▼
Show Figures

Figure 1
Open AccessArticle
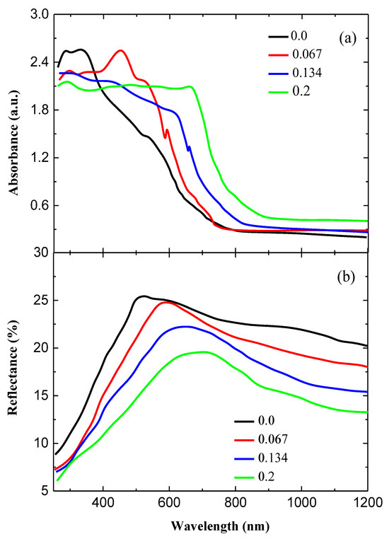
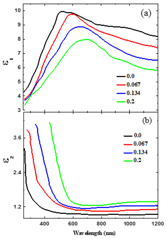
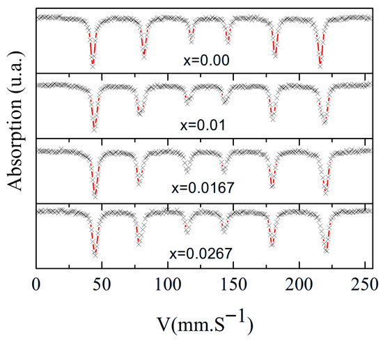
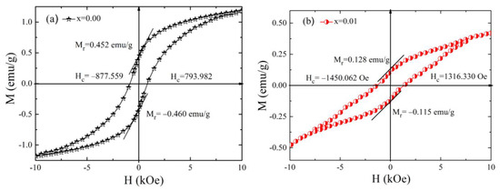
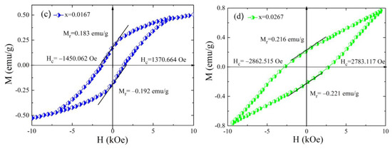
Improvement of Structural, Elastic, and Magnetic Properties of Vanadium-Doped Lithium Ferrite
by
W. R. Agami, H. M. Elsayed and A. M. Faramawy
Compounds 2025, 5(4), 54; https://doi.org/10.3390/compounds5040054 - 1 Dec 2025
Abstract
►▼
Show Figures
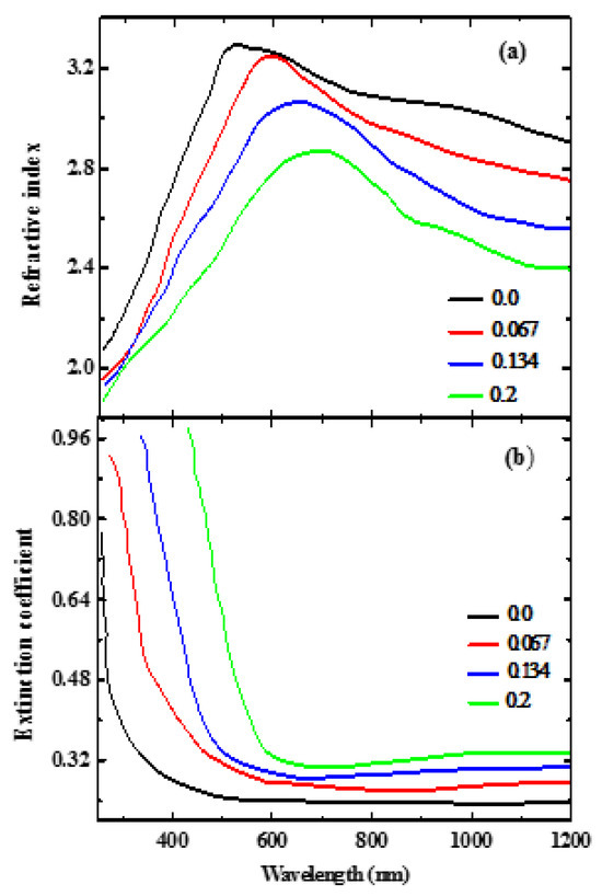
The influence of vanadium substitution on the structure, elastic, mechanical, and magnetic behavior of lithium ferrite (Li0.5+xVxFe2.5−2xO4; x = 0.00–0.2) was systematically studied. X-ray diffraction (XRD) was used to investigate the crystal structure, and infrared
[...] Read more.
The influence of vanadium substitution on the structure, elastic, mechanical, and magnetic behavior of lithium ferrite (Li0.5+xVxFe2.5−2xO4; x = 0.00–0.2) was systematically studied. X-ray diffraction (XRD) was used to investigate the crystal structure, and infrared spectroscopy (IR) was used to determine the cation distribution between the two ferrite sublattices, in addition to the elastic and mechanical behavior of Li0.5+xVxFe2.5−2xO4 ferrites. X-ray analysis revealed a monotonic decrease in lattice parameter from 8.344 Å to 8.320 Å with increasing V5+ content, confirming lattice contraction and stronger metal–oxygen bonding. Despite a moderate increase in porosity (from 6.9% to 8.9%), the elastic constants C11 and C12 increased, indicating improved stiffness and reduced compressibility. The derived Young’s, bulk, and rigidity moduli rose with the doping of V5+. Correspondingly, the longitudinal, shear, and mean velocities (Vl, Vs, and Vm) increased. The Debye temperature also showed a linear rise from 705 K to 723 K with V5+ doping, directly reflecting enhanced lattice stiffness and phonon frequency. Furthermore, both the saturation magnetization (MS) and the initial permeability (μi) increased up to V5+ concentration x = 0.1 and then decreased. Curie temperature (TC) decreased with increasing V5+ concentration, while both the saturation magnetization (MS) and the initial permeability (μi) increased up to V5+ concentration x = 0.1 and then decreased, while the coercivity (HC) showed the reverse trend. These results confirm that V5+ incorporation significantly enhances the Li ferrite, improving its elastic strength, lattice energy, thermal stability, and magnetically controlling properties and making them suitable for a variety of daily uses such as magneto-elastic sensors, high-frequency devices, and applications requiring mechanically robust ferrite materials.
Full article

Figure 1
Open AccessArticle
Cytotoxic Effects of Water-Soluble N-Heterocyclic Carbene Platinum(II) Complexes on Prostatic Tumor PC3 and Leukemia NB4 Human Cells
by
José C. Diez, Edwin A. Baquero, Virginia Rubio, Juan C. Flores, Angel Herráez, M. Cristina Tejedor, Ernesto de Jesús and Ana I. García-Pérez
Compounds 2025, 5(4), 53; https://doi.org/10.3390/compounds5040053 - 26 Nov 2025
Abstract
►▼
Show Figures
The purpose of this work was to study water-soluble platinum complexes as potential therapeutic agents. We used water-soluble platinum(II) complexes containing sulfonated N-heterocyclic carbene ligands (NHC), applied on two human cell models: human NB4 acute promyelocytic leukemia and PC3 prostatic cancer cells. We
[...] Read more.
The purpose of this work was to study water-soluble platinum complexes as potential therapeutic agents. We used water-soluble platinum(II) complexes containing sulfonated N-heterocyclic carbene ligands (NHC), applied on two human cell models: human NB4 acute promyelocytic leukemia and PC3 prostatic cancer cells. We studied the toxic effects on these two types of human tumor cells. We analyzed metabolic activity, membrane damage, cell cycle, DNA fragmentation and programmed cell death. In human NB4 leukemia cells, the water-soluble dimethyl NHC complex 5Me proved highly toxic. It extinguished cell metabolism at 1 mM for 24 h. This treatment gave rise to the presence of fragmented DNA (subdiploid DNA). This compound promoted programed cell death in 60% of the cells. At longer times, the treatments produced neither higher fragmentation of DNA nor augmented apoptosis. 5Me complex, at 100 µM, showed slight toxicity on NB4 cells. In PC3 cells, dimethyl complex 5Me (1 mM for 24 h) is less toxic (reduced DNA fragmentation and programmed cell death) than in NB4 cells. Mono-NHC complexes 4 and 5 treatments at a high concentration for 24 h on PC3 cells produced apoptosis (30% of the cells) but their damage on cell permeability and DNA fragmentation was weak. Thus, PC3 cells are more resistant to NHC platinum(II) complexes than NB4 cells.
Full article

Figure 1
Open AccessArticle
Beam Based and Triply Periodic Minimal Surface Lattice Structures in Inconel 718: An In-Depth Comparative Analysis of Manufacturability Through L-Pbf and Metallographic Characterization
by
Alberto Santoni, Marcello Cabibbo, Gianni Virgili, Eleonora Santecchia, Kamal Sleem and Gabriele Grima
Compounds 2025, 5(4), 52; https://doi.org/10.3390/compounds5040052 - 19 Nov 2025
Abstract
This study explores the application of lattice structures as internal support architectures in the fabrication of Inconel 718 components via Laser Powder Bed Fusion (L-PBF), building upon previous research on beam-based FCCZ supports. Two representative lattice typologies were investigated: the node and beam-based
[...] Read more.
This study explores the application of lattice structures as internal support architectures in the fabrication of Inconel 718 components via Laser Powder Bed Fusion (L-PBF), building upon previous research on beam-based FCCZ supports. Two representative lattice typologies were investigated: the node and beam-based FCCZ (face centered cubic with Z direction reinforcement struts) structure and the triply periodic minimal surface (TPMS) Schoen Gyroid cell. The aim was to assess how the transition from a discrete beam-node architecture to a continuous surface topology influences manufacturability, thermal stability, and mechanical performance. Finite Element Method (FEM) simulations in Ansys accurately predicted distortions and residual stresses during the L-PBF process, showing strong agreement with stereomicroscope measurements. Specifically, the maximum directional deformation reached 0.32 mm for the FCCZ sample versus 0.17 mm for the Gyroid, with corresponding peak residual stresses of 1328 MPa and 940 MPa, respectively. After fabrication, the samples underwent solution treatment and double aging according to AMS 2774 and AMS 5662 standards. Vickers microhardness increased from about 320 HV0.3 in the as-built condition to 500 HV0.3 after heat treatment (+55%), with overall porosity remaining below 1%. Microstructural analysis using optical microscopy (OM), scanning electron microscopy (SEM), and transmission electron microscopy (TEM) revealed that heat treatment partially homogenized the microstructure but did not achieve complete recrystallization, leaving localized dendritic regions and undissolved Laves phases, particularly near the lattice. The precipitation of γ′ and δ phases enhanced hardness and mechanical uniformity, as confirmed by Vickers microhardness testing. Quantitatively, the Gyroid topology exhibited approximately 40% lower deformation and defect density than the FCCZ structure, confirming its superior manufacturability and thermal stability. These findings provide practical guidance for selecting lattice topologies for support architectures in L-PBF Inconel 718 components where thermal stability and shape preservation during build are critical.
Full article
(This article belongs to the Special Issue Feature Papers in Compounds (2025))
►▼
Show Figures

Figure 1
Open AccessArticle
Eco-Friendly Voltammetric Techniques for Assessing Antioxidant Properties in Dietary Supplements
by
Nikoleta Lugonja and Dalibor Stanković
Compounds 2025, 5(4), 51; https://doi.org/10.3390/compounds5040051 - 19 Nov 2025
Abstract
►▼
Show Figures
Dietary supplements often promote their antioxidant content as an indicator of quality on the packaging. This study evaluated the redox potential and total antioxidant capacity of various dietary supplements, using different analytical methods to obtain the complexity of antioxidant measurements. A green approach
[...] Read more.
Dietary supplements often promote their antioxidant content as an indicator of quality on the packaging. This study evaluated the redox potential and total antioxidant capacity of various dietary supplements, using different analytical methods to obtain the complexity of antioxidant measurements. A green approach for detecting total antioxidant capacity in dietary products utilized modern electrochemical techniques, including differential pulse voltammetry (DPV) and cyclic voltammetry (CV). These rapid “green” methods measure the redox potential of samples, providing information about the electron-donating ability of antioxidants without the use of harmful chemicals or sample treatments, with minimal environmental impact. ABTS and FRAP measurements were expressed as vitamin C equivalents to allow comparison with CV measurements and actual vitamin C content. This approach enabled indirect comparison of activities obtained using different standard substances through conversion to standard equivalents. The results revealed that the claims made on product labels and packaging often overestimated the antioxidant content and did not match the measured total antioxidant capacities obtained in the current study. Measured vitamin C levels in 10 samples fell within the declared ranges (0–950 mg), but six products contained 4.85% to 49.18% less, and two had significantly higher levels (4.20% and 32.22%) than their declared (p < 0.05). Total antioxidant capacity varied from the labeled values. Similar trends were observed across methods, except for DPPH. FRAP values were correlated with ABTS and CV (r = 0.797 and r = 0.757, respectively). The DPV method provided a more detailed assessment of the redox activity of selected products based on distinct oxidation peaks. The study highlights the importance of mandatory testing and quantification of antioxidants, as well as the need for regulation of antioxidant properties through normative standards.
Full article

Figure 1
Open AccessArticle
From Chemical Composition to Biological Activity: Phytochemical, Antioxidant, and Antimicrobial Comparison of Matricaria chamomilla and Tripleurospermum inodorum
by
Mariana Panţuroiu, Mona Luciana Gălăţanu, Carmen Elisabeta Manea, Mariana Popescu, Roxana Colette Sandulovici and Emilia Pănuş
Compounds 2025, 5(4), 50; https://doi.org/10.3390/compounds5040050 - 14 Nov 2025
Abstract
Matricaria chamomilla and Tripleurospermum inodorum (syn. Matricaria inodora) are two closely related species in the Asteraceae family that are often mistaken for one another due to their similar appearance. However, they differ significantly in their chemical composition and biological activities. This study
[...] Read more.
Matricaria chamomilla and Tripleurospermum inodorum (syn. Matricaria inodora) are two closely related species in the Asteraceae family that are often mistaken for one another due to their similar appearance. However, they differ significantly in their chemical composition and biological activities. This study offers comparative characterisation through microscopy, phytochemical profiling, and biological assays. Microscopic observations revealed distinct morphological differences in the structure of the receptacle and the size of the pollen grains between the two species. Total phenol and flavonoid contents were quantified using spectrophotometry, while essential oils were extracted through hydrodistillation and analysed by gas chromatography–mass spectrometry (GC-MS). M. chamomilla was found to have a higher phenol content (20.48 mg GAE/g DW), whereas T. inodorum showed a greater flavonoid concentration (15.93 mg RE/g DW). The essential oils from each species displayed different chemical composition: M. chamomilla was dominated by bisabolol oxides and chamazulene, while T. inodorum primarily contained β-farnesene and cis-lachnophyllum ester. The antioxidant activity of both species was evaluated using the DPPH assay and found to be moderate compared to standard antioxidants, such as ascorbic acid (IC50 < 5 µg/mL). The IC50 values for M. chamomilla ranged from 17.7 to 21.5 µg/mL, while for T. inodorum, they ranged from 8.4 to 10.2 µg/mL. In antimicrobial tests, the essential oil of T. inodorum inhibited both Staphylococcus aureus and Candida albicans, while M. chamomilla was only active against C. albicans. These findings highlight important morphological and chemical markers that differentiate the two species and affirm T. inodorum as a promising source of bioactive compounds.
Full article
(This article belongs to the Special Issue Compounds–Derived from Nature)
►▼
Show Figures

Figure 1
Open AccessArticle
Volatile Compounds from Northern Moroccan Medicinal Plants: Phytochemical Analysis, Antioxidant and Antimicrobial Potential, and In Silico Investigations
by
Karima Ait Alla, Othman El Faqer, Sanae Jahjah, Amina Labhar, Chaima Alaoui Jamali, Ayoub Kasrati, Badredine Souhail, Mounir Legssyer, Abdelfettah Maouni and Rabah Saidi
Compounds 2025, 5(4), 49; https://doi.org/10.3390/compounds5040049 - 11 Nov 2025
Cited by 1
Abstract
►▼
Show Figures
Essential oils (EOs) from aromatic plants are valuable sources of bioactive compounds with potential applications as natural antimicrobials and antioxidants. This study investigated the chemical composition, antimicrobial and antioxidant activities, and in silico pharmacological properties of EOs extracted from Laurus nobilis, Thymbra
[...] Read more.
Essential oils (EOs) from aromatic plants are valuable sources of bioactive compounds with potential applications as natural antimicrobials and antioxidants. This study investigated the chemical composition, antimicrobial and antioxidant activities, and in silico pharmacological properties of EOs extracted from Laurus nobilis, Thymbra capitata, and Mentha piperita, three medicinal species traditionally used in northern Morocco. Hydrodistillation yielded 1.12–1.53% oils, and GC–MS analysis revealed distinct chemotypes: L. nobilis was rich in eucalyptol, linalool, methyleugenol, and α-terpinyl acetate; T. capitata was dominated by carvacrol (80.95%), and M. piperita contained high proportions of linalool (57.37%) and linalyl acetate (28.56%). Antimicrobial assays demonstrated strong activity of all oils against Gram-positive and Gram-negative bacteria as well as Candida species, with T. capitata showing the most potent and broad-spectrum effects (MIC 0.073–9.47 mg/mL), attributed to its high carvacrol content. Antioxidant assays (DPPH and ferric reducing power) identified L. nobilis as the most active radical scavenger (IC50 = 0.037 mg/mL), followed by T. capitata, whereas M. piperita displayed weaker activity. PCA confirmed that phenolic monoterpenes drive both antimicrobial and antioxidant potency, while oxygenated terpenes and sesquiterpenes contribute more selectively. ADMET predictions indicated generally favorable absorption and low toxicity, although o-cymene and carvacrol presented potential safety concerns. Molecular docking revealed α-terpinyl acetate as the most versatile ligand, with strong binding to bacterial, fungal, and oxidative enzymes, whereas other compounds exhibited more selective affinities. Collectively, these findings highlight the potential of Moroccan EOs, particularly T. capitata and L. nobilis, as promising natural alternatives to synthetic antimicrobial and antioxidant agents.
Full article

Figure 1
Highly Accessed Articles
Latest Books
E-Mail Alert
News
Topics
Topic in
Compounds, Medicines, Molecules, Plants, Separations, Applied Biosciences, Life, Pharmaceuticals
Research on Natural Products of Medical Plants
Topic Editors: Cristiane Aguiar Da Costa, Graziele Freitas De BemDeadline: 5 March 2027
Special Issues
Special Issue in
Compounds
Decarbonisation: From Fossil to Renewable Fuels Through Power to X
Guest Editor: Marco MartinoDeadline: 28 February 2026
Special Issue in
Compounds
Phenolic Compounds: Extraction, Chemical Profiles, and Bioactivity
Guest Editors: Francisco Vázquez-Armenta, Ariadna Thalia Bernal-MercadoDeadline: 31 March 2026
Special Issue in
Compounds
Compounds–Derived from Nature
Guest Editor: Victoria V. VolkisDeadline: 30 June 2026
Special Issue in
Compounds
Fluorescence in Lanthanide Coordination Compounds
Guest Editor: Salah MassoudDeadline: 20 July 2026



