A Review on the Synthetic Methods for the BODIPY Core
Abstract
1. Introduction
2. The Synthesis of BODIPY Core
2.1. The Synthesis of BODIPY Core from Pyrrole and Aldehyde Precursors
2.1.1. Method 1—The Synthesis of the BODIPY Core from Pyrrole and Aldehyde Precursors via Acid Catalysis
2.1.2. Method 2—The Synthesis of the BODIPY Core from Pyrrole and Aldehyde Precursors in Water Solvent
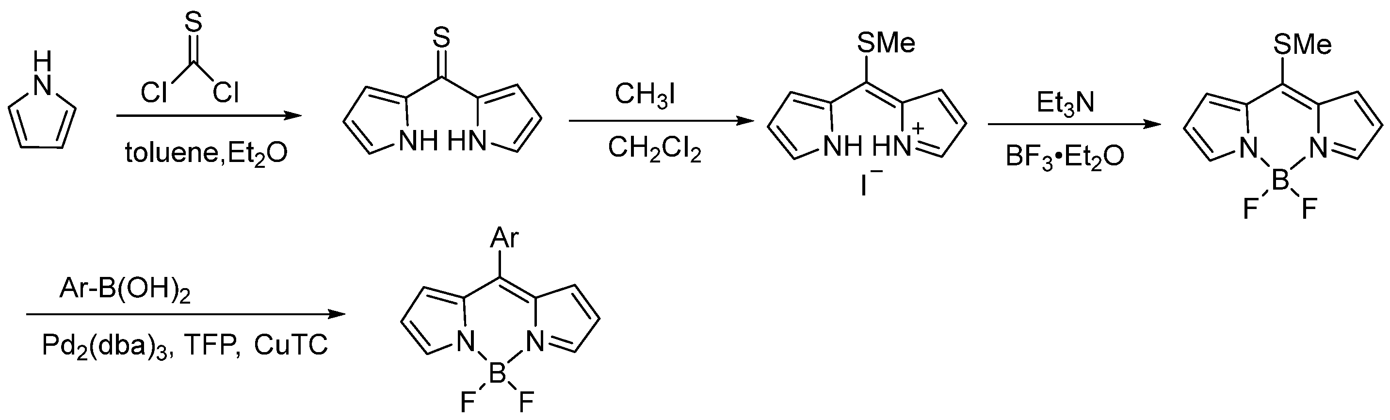
2.2. Method 3—The Synthesis of BODIPY Core Structures from Pyrrole and Thiophosgene
2.3. Method 4—Synthesis of the BODIPY Core via Transition Metal Catalysis and Organocatalysis
2.4. Method 5—Modular Enantioselective Assembly of Multi-Substituted Boron-Stereogenic BODIPYs
2.5. Emerging Synthetic Strategies and Other Methods
3. Advantages, Disadvantages and Limitations of the Five Methods
4. Conclusions
Author Contributions
Funding
Informed Consent Statement
Data Availability Statement
Acknowledgments
Conflicts of Interest
References
- Qin, Y.; Liu, X.; Jia, P.P.; Xu, L.; Yang, H.B. BODIPY-based macrocycles. Chem. Soc. Rev. 2020, 49, 5678–5703. [Google Scholar] [CrossRef] [PubMed]
- Li, H.; Wang, J.; Jiao, L.J.; Hao, E. BODIPY-based photocages: Rational design and their biomedical application. Chem. Commun. 2024, 60, 5770–5789. [Google Scholar] [CrossRef] [PubMed]
- Fan, Y.Q.; Zhang, J.J.; Hong, Z.Y.; Qiu, H.Y.; Li, Y.; Yin, S.C. Architectures and Applications of BODIPY-Based Conjugated Polymers. Polymers 2021, 13, 75. [Google Scholar] [CrossRef] [PubMed]
- Zhang, H.X.; Liu, J.; Sun, Y.Q.; Liu, M.X.; Guo, W. Carbon-Dipyrromethenes: Bright Cationic Fluorescent Dyes and Potential Application in Revealing Cellular Trafficking of Mitochondrial Glutathione Conjugates. J. Am. Chem. Soc. 2020, 142, 17069–17078. [Google Scholar] [CrossRef] [PubMed]
- Liu, M.D.; Ma, S.Y.; She, M.Y.; Chen, J.; Wang, Z.H.; Liu, P.; Zhang, S.Y.; Li, J.L. Structural modification of BODIPY: Improve its applicability. Chin. Chem. Lett. 2019, 30, 1815–1824. [Google Scholar] [CrossRef]
- Lu, H.; Mack, J.; Yang, Y.; Shen, Z. Structural modification strategies for the rational design of red/NIR region BODIPYs. Chem. Soc. Rev. 2014, 43, 4778–4823. [Google Scholar] [CrossRef]
- Treibs, A.; Kreuzer, F.H. Difluorboryl-komplexe von di-und tripyrrylmethenen. Justus Liebigs Ann. Der Chem. 1968, 718, 208–223. [Google Scholar] [CrossRef]
- Loudet, A.; Burgess, K. BODIPY dyes and their derivatives: Syntheses and spectroscopic properties. Chem. Rev. 2007, 107, 4891–4932. [Google Scholar] [CrossRef]
- Ziessel, R.; Ulrich, G.; Harriman, A. The chemistry of Bodipy: A new El Dorado for fluorescence tools. New J. Chem. 2007, 31, 496–501. [Google Scholar] [CrossRef]
- Ulrich, G.; Ziessel, R.; Harriman, A. The chemistry of fluorescent bodipy dyes: Versatility unsurpassed. Angew. Chem. Int. Ed. 2008, 47, 1184–1201. [Google Scholar] [CrossRef]
- Liu, B.K.; Teng, K.X.; Niu, L.Y.; Yang, Q.Z. Progress in the Synthesis of Boron Dipyrromethene (BODIPY) Fluorescent Dyes. Chin. J. Org. Chem. 2022, 42, 1265–1285. [Google Scholar] [CrossRef]
- Bumagina, N.A.; Antina, E.V.; Ksenofontov, A.A.; Antina, L.A.; Kalyagin, A.A.; Berezin, M.B. Basic structural modifications for improving the practical properties of BODIPY. Coord. Chem. Rev. 2022, 469, 52. [Google Scholar] [CrossRef]
- Wang, Y.H.; Wang, J.H.; Miao, J.H.; Liu, J.; Wang, L.X. Using bodipy unit to design molecular acceptors with absorption wavelength of > 1000 nm for organic photodetectors. CCS Chem. 2024, 6, 2794–2803. [Google Scholar] [CrossRef]
- Li, P.F.; Wang, Y.; Chai, Z.Y.; Shankar, S.S.; Liang, X.; Xu, H.J.; Sharma, G.D. A new BODIPY dimer containing carbazole group as a small molecule donor for ternary organic solar cells with the PCE up to 14.97%. Dye. Pigment. 2023, 215, 111297. [Google Scholar] [CrossRef]
- Liu, Y.C.; Feng, G.L.; Jie, J.L.; Zhou, W.; Liu, G.J.; Zhang, Y.; Su, H.M.; Xing, G.W. Hepatoma Metastasis-Inhibiting Supramolecular Nanoglycocalyx for Enhanced Type I Photodynamic Therapy. Adv. Healthc. Mater. 2025, 14, 2404253. [Google Scholar] [CrossRef] [PubMed]
- Yang, Y.Q.; Chen, D.D.; Zhu, Y.R.; Zhang, M.; Zhao, H.J. Kinsenoside Suppresses DGAT1-Mediated Lipid Droplet Formation to Trigger Ferroptosis in Triple-Negative Breast Cancer. Int. J. Mol. Sci. 2025, 26, 2322. [Google Scholar] [CrossRef]
- Saraf, P.; Shrivastava, P.; Sarkar, M.; Kumar, D. A Facile and Efficient Synthesis of BODIPY-Based Fluorescent Probes for Selective Detection of Hydrazine. Chem.-Asian J. 2025, 20, e202401197. [Google Scholar] [CrossRef] [PubMed]
- Cugnasca, B.S.; Duarte, F.; Santos, H.M.; Capelo-Martínez, J.L.; Bértolo, E.; Dos Santos, A.A.; Lodeiro, C. Ammonia and temperature sensing applications using fluorometric and colorimetric microparticles and polymeric films doped with BODIPY-emitters. Microchim. Acta 2024, 191, 746. [Google Scholar] [CrossRef]
- Liu, M.Y.; Li, W.R.; Peng, Z.X.; Shao, X.X.; Liu, J.; Wang, L.X. Electron Acceptors Based on Resonant N―B←N Unit with Improved Exciton Dissociation for High-Performance Short-Wavelength Infrared Organic Photodetectors. Angew. Chem.-Int. Ed. 2025, 64, e202506116. [Google Scholar] [CrossRef]
- Shen, J.P.; Xu, B.; Zheng, Y.; Zhao, X.Y.; Qi, H.X.; Tang, Y.G.; Lin, W.H.; Li, S.L.; Zhong, Z.Y. Near-Infrared Light-Responsive Immunomodulator Prodrugs Rejuvenating Immune Microenvironment for “Cold” Tumor Photoimmunotherapy. Angew. Chem.-Int. Ed. 2025, 64, e202425309. [Google Scholar] [CrossRef]
- Zhu, S.Q.; Liao, H.T.; Guo, T.Y.; Jiang, W.J.; Liu, R.; Zhu, H.J. High-resolution visualization of level 3 details for latent fingerprints with color-tunable BODIPY dyes. Sens. Actuators B-Chem. 2025, 433, 137518. [Google Scholar] [CrossRef]
- Bruckner, C.; Karunaratne, V.; Rettig, S.J.; Dolphin, D. Synthesis of meso-phenyl-4,6-dipyrrins, preparation of their Cu(II), Ni(II), and Zn(II) chelates, and structural characterization of bis meso-phenyl-4,6-dipyrrinato Ni(II). Can. J. Chem.-Rev. Can. Chim. 1996, 74, 2182–2193. [Google Scholar] [CrossRef]
- Gryko, D.T.; Gryko, D.; Lee, C.H. 5-Substituted dipyrranes: Synthesis and reactivity. Chem. Soc. Rev. 2012, 41, 3780–3789. [Google Scholar] [CrossRef] [PubMed]
- Smith, G.F. The acid-catalyzed polymerization of pyrroles and indoles. Adv. Heterocycl. Chem. 1963, 2, 287–309. [Google Scholar] [CrossRef]
- Lee, C.H.; Lindsey, J.S. One-flask synthesis of meso-substituted dipyrromethanes and their application in the synthesis of trans-substituted porphyrin building blocks. Tetrahedron 1994, 50, 11427–11440. [Google Scholar] [CrossRef]
- Wagner, R.W.; Lindsey, J.S. Boron-dipyrromethene dyes for incorporation in synthetic multi-pigment light-harvesting arrays. Pure Appl. Chem. 1996, 68, 1373–1380. [Google Scholar] [CrossRef]
- Zhong, G.J.; Yang, X.F.; Zhuang, J.Q.; Zhang, Y.F.; Yang, Y.; Wang, Y.; Yao, H.; Wang, C.Y.; Chong, H. A Platinum Complex Containing a BODIPY-Based Photosensitizer, Preparation Method, and Application. CN202411654477.1, 18 February 2025. (In Chinese). [Google Scholar]
- Liu, J.; Liu, J.; Li, H.; Bin, Z.; You, J. Boron-dipyrromethene-based fluorescent emitters enable high-performance narrowband red organic light-emitting diodes. Angew. Chem.-Int. Ed. 2023, 62, e202306471. [Google Scholar] [CrossRef]
- Dutta, D.; Nair, R.R.; Neog, K.; Nair, S.A.; Gogoi, P. Mitochondria-targeted biotin-conjugated BODIPYs for cancer imaging and therapy. RSC Med. Chem. 2023, 14, 2358–2364. [Google Scholar] [CrossRef]
- Khan, T.K.; Pissurlenkar, R.R.S.; Shaikh, M.S.; Ravikanth, M. Synthesis and studies of covalently linked meso-furyl boron-dipyrromethene-ferrocene conjugates. J. Organomet. Chem. 2012, 697, 65–73. [Google Scholar] [CrossRef]
- Littler, B.J.; Miller, M.A.; Hung, C.H.; Wagner, R.W.; O’Shea, D.F.; Boyle, P.D.; Lindsey, J.S. Refined synthesis of 5-substituted dipyrromethanes. J. Org. Chem. 1999, 64, 1391–1396. [Google Scholar] [CrossRef]
- Descalzo, A.B.; Xu, H.J.; Xue, Z.L.; Hoffmann, K.; Shen, Z.; Weller, M.G.; You, X.Z.; Rurack, K. Phenanthrene-fused boron-dipyrromethenes as bright long-wavelength fluorophores. Org. Lett. 2008, 10, 1581–1584. [Google Scholar] [CrossRef]
- Wang, J.; Wu, Q.H.; Wang, S.W.; Yu, C.J.; Li, J.; Hao, E.H.; Wei, Y.; Mu, X.L.; Jiao, L.J. Conformation-Restricted Partially and Fully Fused BODIPY Dimers as Highly Stable Near-Infrared Fluorescent Dyes. Org. Lett. 2015, 17, 5360–5363. [Google Scholar] [CrossRef] [PubMed]
- Bañuelos-Prieto, J.; Agarrabeitia, A.R.; Garcia-Moreno, I.; Lopez-Arbeloa, I.; Costela, A.; Infantes, L.; Perez-Ojeda, M.E.; Palacios-Cuesta, M.; Ortiz, M.J. Controlling Optical Properties and Function of BODIPY by Using Asymmetric Substitution Effects. Chem.-A Eur. J. 2010, 16, 14094–14105. [Google Scholar] [CrossRef] [PubMed]
- Sobral, A.; Rebanda, N.; da Silva, M.; Lampreia, S.H.; Silva, M.R.; Beja, A.M.; Paixao, J.A.; Gonsalves, A. One-step synthesis of dipyrromethanes in water. Tetrahedron Lett. 2003, 44, 3971–3973. [Google Scholar] [CrossRef]
- Král, V.; Vasek, P.; Dolensky, B. Green chemistry for preparation of oligopyrrole macrocycles precursors: Novel methodology for dipyrromethanes and tripyrromethanes synthesis in water. Collect. Czechoslov. Chem. Commun. 2004, 69, 1126–1136. [Google Scholar] [CrossRef]
- Rohand, T.; Dolušić, E.; Ngo, T.H.; Maes, W.; Dehaen, W. Efficient synthesis of aryldipyrromethanes in water and their application in the synthesis of corroles and dipyrromethenes. Arkivoc 2007, 10, 307–324. [Google Scholar] [CrossRef]
- Zoli, L.; Cozzi, P.G. Electrophilic Activation of Aldehydes “On Water”: A Facile Route to Dipyrromethanes. Chemsuschem 2009, 2, 218–220. [Google Scholar] [CrossRef]
- Li, W.W.; Gong, Q.B.; Guo, X.; Wu, Q.H.; Chang, F.; Wang, H.; Zhang, F.; Hao, E.H.; Jiao, L.J. Synthesis, Reactivity, and Properties of a Class of π-Extended BODIPY Derivatives. J. Org. Chem. 2021, 86, 17110–17118. [Google Scholar] [CrossRef]
- Goud, T.V.; Tutar, A.; Biellmann, J.F. Synthesis of 8-heteroatom-substituted 4,4-difluoro-4-bora-3a, 4a-diaza-s-indacene dyes (BODIPY). Tetrahedron 2006, 62, 5084–5091. [Google Scholar] [CrossRef]
- Liebeskind, L.S.; Srogl, J. Thiol ester-boronic acid coupling. A mechanistically unprecedented and general ketone synthesis. J. Am. Chem. Soc. 2000, 122, 11260–11261. [Google Scholar] [CrossRef]
- Liebeskind, L.S.; Srogl, J. Heteroaromatic thioether-boronic acid cross-coupling under neutral reaction conditions. Org. Lett. 2002, 4, 979–981. [Google Scholar] [CrossRef]
- Peña-Cabrera, E.; Aguilar-Aguilar, A.; González-Domínguez, M.; Lager, E.; Zamudio-Vázquez, R.; Godoy-Vargas, J.; Villanueva-García, F. Simple, general, and efficient synthesis of meso-substituted borondipyrromethenes from a single platform. Org. Lett. 2007, 9, 3985–3988. [Google Scholar] [CrossRef]
- Betancourt-Mendiola, L.; Valois-Escamilla, I.; Arbeloa, T.; Bañuelos, J.; Arbeloa, I.L.; Flores-Rizo, J.O.; Hu, R.; Lager, E.; Gómez-Durán, C.F.A.; Belmonte-Vázquez, J.L.; et al. Scope and Limitations of the Liebeskind-Srogl Cross-Coupling Reactions Involving the Biellmann BODIPY. J. Org. Chem. 2015, 80, 5771–5782. [Google Scholar] [CrossRef] [PubMed]
- Arroyo, I.J.; Hu, R.; Tang, B.Z.; López, F.I.; Peña-Cabrera, E. 8-Alkenylborondipyrromethene dyes. General synthesis, optical properties, and preliminary study of their reactivity. Tetrahedron 2011, 67, 7244–7250. [Google Scholar] [CrossRef]
- Gómez-Durán, C.F.A.; García-Moreno, I.; Costela, A.; Martin, V.; Sastre, R.; Bañuelos, J.; Arbeloa, F.L.; Arbeloa, I.L.; Peñ-Cabrera, E. 8-PropargylaminoBODIPY: Unprecedented blue-emitting pyrromethene dye. Synthesis, photophysics and laser properties. Chem. Commun. 2010, 46, 5103–5105. [Google Scholar] [CrossRef] [PubMed]
- Esnal, I.; Urís-Benavides, A.; Gómez-Durán, C.F.A.; Osorio-Martínez, C.A.; García-Moreno, I.; Costela, A.; Bañuelos, J.; Epelde, N.; Arbeloa, I.L.; Hu, R.; et al. Reaction of Amines with 8-MethylthioBODIPY: Dramatic Optical and Laser Response to Amine Substitution. Chem.-Asian J. 2013, 8, 2691–2700. [Google Scholar] [CrossRef]
- Flores-Rizo, J.O.; Esnal, I.; Osorio-Martínez, C.A.; Gómez-Durán, C.F.A.; Bañuelos, J.; Arbeloa, I.L.; Pannell, K.H.; Metta-Magaña, A.J.; Peña-Cabrera, E. 8-Alkoxy- and 8-Aryloxy-BODIPYs: Straightforward Fluorescent Tagging of Alcohols and Phenols. J. Org. Chem. 2013, 78, 5867–5877. [Google Scholar] [CrossRef]
- Gutérrez-Ramos, B.D.; Bañuelos, J.; Arbeloa, T.; Arbeloa, I.L.; González-Navarro, P.E.; Wrobel, K.; Cerdán, L.; García-Moreno, I.; Costela, A.; Peñ-Cabrera, E. Straightforward Synthetic Protocol for the Introduction of Stabilized C Nucleophiles in the BODIPY Core for Advanced Sensing and Photonic Applications. Chem.-A Eur. J. 2015, 21, 1755–1764. [Google Scholar] [CrossRef]
- Gómez-Infante, A.d.J.; Bañuelos, J.; Valois-Escamilla, I.; Cruz-Cruz, D.; Prieto-Montero, R.; López-Arbeloa, I.; Arbeloa, T.; Peña-Cabrera, E. Synthesis, Properties, and Functionalization of Nonsymmetric 8-MethylthioBODIPYs. Eur. J. Org. Chem. 2016, 29, 5009–5023. [Google Scholar] [CrossRef]
- Gómez-Durán, C.F.A.; Esnal, I.; Valois-Escamilla, I.; Urías-Benavides, A.; Bañuelos, J.; Arbeloa, I.L.; García-Moreno, I.; Peñ-Cabrera, E. Near-IR BODIPY Dyes à la Carte—Programmed Orthogonal Functionalization of Rationally Designed Building Blocks. Chem.-A Eur. J. 2016, 22, 1048–1061. [Google Scholar] [CrossRef]
- Kim, D.; Yamamoto, K.; Ahn, K.H. A BODIPY-based reactive probe for ratiometric fluorescence sensing of mercury ions. Tetrahedron 2012, 68, 5279–5282. [Google Scholar] [CrossRef]
- Ma, D.H.; Kim, D.; Seo, E.; Lee, S.-J.; Ahn, K.H. Ratiometric fluorescence detection of cysteine and homocysteine with a BODIPY dye by mimicking the native chemical ligation. Analyst 2015, 140, 422–427. [Google Scholar] [CrossRef] [PubMed][Green Version]
- Treich, N.R.; Wimpenny, J.D.; Kieffer, I.A.; Heiden, Z.M. Synthesis and characterization of chiral and achiral diamines containing one or two BODIPY molecules. New J. Chem. 2017, 41, 14370–14378. [Google Scholar] [CrossRef]
- Miller, L.; Impelmann, A.; Bauer, F.; Breit, B. Carbonylation as a Key Step in New Tandem Reactions—A Route to BODIPYs. Chem.-A Eur. J. 2024, 30, e202303752. [Google Scholar] [CrossRef]
- Lu, H.; Mack, J.; Nyokong, T.; Kobayashi, N.; Shen, Z. Optically active BODIPYs. Coord. Chem. Rev. 2016, 318, 1–15. [Google Scholar] [CrossRef]
- Li, X.; Zhang, G.; Song, Q.L. Recent advances in the construction of tetracoordinate boron compounds. Chem. Commun. 2023, 59, 3812–3820. [Google Scholar] [CrossRef] [PubMed]
- Abdou-Mohamed, A.; Aupic, C.; Fournet, C.; Parrain, J.L.; Chouraqui, G.; Chuzel, O. Stereoselective formation of boron-stereogenic organoboron derivatives. Chem. Soc. Rev. 2023, 52, 4381–4391. [Google Scholar] [CrossRef] [PubMed]
- Ren, L.Q.; Zhan, B.Q.; Zhao, J.Y.; Guo, Y.H.; Zu, B.; Li, Y.Z.; He, C. Modular enantioselective assembly of multi-substituted boron-stereogenic BODIPYs. Nat. Chem. 2025, 17, 83–91. [Google Scholar] [CrossRef]
- Ma, C.; Luo, H.; Zhang, F.; Guo, D.; Chen, S.; Wang, F. Green biosynthesis, photophysical properties and application of 3-pyrrolyl BODIPY. Chin. J. Org. Chem. 2024, 44, 216–223. [Google Scholar] [CrossRef]
- Walesa-Chorab, M.; Banasz, R.; Kubicki, M.; Patroniak, V. Dipyrromethane functionalized monomers as precursors of electrochromic polymers. Electrochim. Acta 2017, 258, 571–581. [Google Scholar] [CrossRef]
- Rangaraj, P.; Parshamoni, S.; Konar, S. MOF as a syringe pump for the controlled release of iodine catalyst in the synthesis of meso-thienyl dipyrromethanes. Chem. Commun. 2015, 51, 15526–15529. [Google Scholar] [CrossRef] [PubMed]
- Megarajan, S.; Ahmed, K.B.A.; Rajmohan, R.; Vairaprakash, P.; Anbazhagan, V. An easily accessible and recyclable copper nanoparticle catalyst for the solvent-free synthesis of dipyrromethanes and aromatic amines. Rsc Adv. 2016, 6, 103065–103071. [Google Scholar] [CrossRef]
- Senapak, W.; Saeeng, R.; Jaratjaroonphong, J.; Kasemsuk, T.; Sirion, U. Green synthesis of dipyrromethanes in aqueous media catalyzed by SO3H-functionalized ionic liquid. Org. Biomol. Chem. 2016, 14, 1302–1310. [Google Scholar] [CrossRef]
- Wang, Z.Y.; Cheng, C.; Kang, Z.X.; Miao, W.; Liu, Q.Y.; Wang, H.; Hao, E.H. Organotrifluoroborate salts as complexation reagents for synthesizing BODIPY dyes containing both fluoride and an organo substituent at the boron center. J. Org. Chem. 2019, 84, 2732–2740. [Google Scholar] [CrossRef] [PubMed]
- Nascimento, B.F.O.; Lopes, S.M.M.; Pineiro, M.; Melo, T. Current advances in the synthesis of valuable dipyrromethane scaffolds: Classic and new methods. Molecules 2019, 24, 4348. [Google Scholar] [CrossRef] [PubMed]
- Gopala, L.; Yan, Y.J.; Chen, Z.L. Detail synthetic study of infrared fluorescent dyes: Design, synthesis and chemical properties of their photodynamic therapy probes. Chem. Rev. Lett. 2022, 5, 12–67. [Google Scholar] [CrossRef]
- Krasnopyorov, A.I.; Larkina, E.A. Features of F2-BODIPY synthesis (a review). Russ. J. Org. Chem. 2024, 60, 789–805. [Google Scholar] [CrossRef]
- Clarke, R.G.; Hall, M.J. Recent developments in the synthesis of the BODIPY dyes. Adv. Heterocycl. Chem. 2019, 128, 181–261. [Google Scholar] [CrossRef]
- Wu, S.M.; Gai, L.Z.; Zhou, Z.K.; Lu, H. Recent advances in zig-zag-fused BODIPYs. Org. Chem. Front. 2022, 9, 5989–6000. [Google Scholar] [CrossRef]
- Wang, Z.Y.; Guo, X.; Kang, Z.X.; Wu, Q.H.; Li, H.; Cheng, C.; Yu, C.J.; Jiao, L.J.; Hao, E.R. Aryl-Boron-Substituted BODIPYs: Direct Access via Aluminum-Chloride-Mediated Arylation from Arylstannanes and Tuning the Optoelectronic Properties. Org. Lett. 2023, 25, 744–749. [Google Scholar] [CrossRef]
- He, L.M.; Li, L.; Zhao, M.Y.; Zhao, Y.X.; Li, Y.Q.; Li, X.G.; Yang, Y.H.; Gao, S.L.; Lei, P.; Wang, Z.H.; et al. Dibenzothieno and dibenzothieno [2,3-d] thieno [a]-fused BODIPYs: Synthesis, unique structure and photophysical properties. Mater. Chem. Front. 2024, 8, 3266–3271. [Google Scholar] [CrossRef]
- Li, J.; Xue, N.; Gao, S.L.; Yang, Y.H.; Weng, Z.H.; Ju, H.D.; Wang, Z.H.; Li, X.G.; Jiang, W. Dithio-Fused Boron Dipyrromethenes: Synthesis and Impact of S-Heteroaromatic Annulation Mode. Org. Lett. 2024, 26, 5472–5477. [Google Scholar] [CrossRef]
- Meng, Y.D.; Fang, W.; Pei, Z.H.; Chen, W.H.; Ding, S.Y.; Shen, M.L.; Bu, Y.C.; Yao, C.Z.; Li, Q.K.; Yu, J.; et al. Organocatalyzed Enantioselective C-N Bond-Forming SNAr Reactions for Synthesizing Stereogenic-at-Boron BODIPYs. Jacs Au 2025, 5, 1965–1973. [Google Scholar] [CrossRef]
















| Aldehyde | Dipyrromethane | Yield (%) | Oxidant | Dipyrromethene | Yield (%) |
|---|---|---|---|---|---|
| benzaldehyde | 11a | 86 | p−chloranil | 12a | 75 |
| p−tolualdehyde | 11b | 82 | p−chloranil | 12b | 78 |
| p−anisaldehyde | 11c | 69 | DDQ | 12c | 53 |
| 4−carboxybenzaldehyde | 11d | 72 | DDQ | 12d | 50 |
| methyl 4−formylbenzoate | 11e | 89 | p−chloranil | 12e | 71 |
| Materials | Reaction Conditions | Advantages | Disadvantages | Scope of Application | |
|---|---|---|---|---|---|
| Methods 1 | (Aryl) aldehyde + pyrrole |
| Shorter steps | Low yield (7–40%); High by-products; Excessive pyrrole | Certain substituents on the aryl ring of aldehydes are prone to oxidation under acidic conditions, for example, 4-hydroxybenzaldehyde. |
| Methods 2 | (Aryl) aldehyde + pyrrole |
| Shorter steps; Higher yield (7–70%); Simpler purification | Excess pyrrole; Mainly unsubstituted pyrrole as reaction material | Same as above; Poor yields with α-substituted pyrroles. |
| Methods 3 | Sulfur phosgene + pyrrole |
| High yield (60–93%); No oxidizer added; Wide range of application | Multiple complex steps | Arylboronic acids afford high yields when bearing either electron-donating or electron-withdrawing groups, but are not compatible with boronic acids containing nucleophilic groups such as –NH2 or –SH. |
| Methods 4 | Olefin or aryl bromide + pyrrole |
| High yield (13–78%); Wide range of application | High cost of reaction conditions; More complex operation | Compatible with olefins bearing hydroxyl, ether, cyano, ester, ketone, amide, and other functional groups, as well as with aryl bromides bearing electron-donating or electron-withdrawing groups, but strongly electron-rich or sterically hindered aryl bromides (e.g., trimethoxybenzene) are not suitable. |
| Methods 5 | (Aryl) aldehyde + pyrrole |
| For synthesizing asymmetric BODIPY matrices | Complex operation | Aryl, heteroaryl and alkenyl/alkynyl groups can be introduced and functionality can be extended by subsequent modifications. |
Disclaimer/Publisher’s Note: The statements, opinions and data contained in all publications are solely those of the individual author(s) and contributor(s) and not of MDPI and/or the editor(s). MDPI and/or the editor(s) disclaim responsibility for any injury to people or property resulting from any ideas, methods, instructions or products referred to in the content. |
© 2025 by the authors. Licensee MDPI, Basel, Switzerland. This article is an open access article distributed under the terms and conditions of the Creative Commons Attribution (CC BY) license (https://creativecommons.org/licenses/by/4.0/).
Share and Cite
Yang, R.; Guan, H.; Jin, J.; Zheng, T.; He, L.; Zhang, Y.; Tian, L.; Wang, J.; Li, X. A Review on the Synthetic Methods for the BODIPY Core. Compounds 2025, 5, 42. https://doi.org/10.3390/compounds5040042
Yang R, Guan H, Jin J, Zheng T, He L, Zhang Y, Tian L, Wang J, Li X. A Review on the Synthetic Methods for the BODIPY Core. Compounds. 2025; 5(4):42. https://doi.org/10.3390/compounds5040042
Chicago/Turabian StyleYang, Ruihan, Hao Guan, Jiayan Jin, Tianran Zheng, Limin He, Yongli Zhang, Luyan Tian, Jianfei Wang, and Xiangguang Li. 2025. "A Review on the Synthetic Methods for the BODIPY Core" Compounds 5, no. 4: 42. https://doi.org/10.3390/compounds5040042
APA StyleYang, R., Guan, H., Jin, J., Zheng, T., He, L., Zhang, Y., Tian, L., Wang, J., & Li, X. (2025). A Review on the Synthetic Methods for the BODIPY Core. Compounds, 5(4), 42. https://doi.org/10.3390/compounds5040042

