Editor’s Choice Articles

Editor’s Choice articles are based on recommendations by the scientific editors of MDPI journals from around the world. Editors select a small number of articles recently published in the journal that they believe will be particularly interesting to readers, or important in the respective research area. The aim is to provide a snapshot of some of the most exciting work published in the various research areas of the journal.

Order results
Result details
Results per page
Select all
Export citation of selected articles as:
25 pages, 1240 KB  
Review
Challenges in Sustainable Agriculture—The Role of Organic Amendments
by Manuel Matisic, Ivan Dugan and Igor Bogunovic
Agriculture 2024, 14(4), 643; https://doi.org/10.3390/agriculture14040643 - 22 Apr 2024
Cited by 40 | Viewed by 10754
Abstract
Soil degradation threatens global food security and environmental sustainability, necessitating effective soil management strategies. This review comprehensively examines the impact of organic soil amendments on soil quality and productivity across various soil types and climatic conditions. A review of significant research related to [...] Read more.
Soil degradation threatens global food security and environmental sustainability, necessitating effective soil management strategies. This review comprehensively examines the impact of organic soil amendments on soil quality and productivity across various soil types and climatic conditions. A review of significant research related to organic amendments was performed using encompassed data from online search engines for studies published up until 31 December 2023. Despite their heterogeneity and use of varying methodologies, the data were narratively synthesized, providing a comprehensive understanding of amendment-induced changes in the chemical and physical properties of soil and the effectiveness of restoration on soil degradation. Organic amendments, including compost, vermicompost, biochar, and pomace, are pivotal in enhancing soil quality by increasing soil organic matter content, fostering aggregate formation, and improving soil structure in the short term. They positively influence water retention capacity, pH levels, nutrient availability, and carbon sequestration. In several studies, amendment-induced changes were absent, indicating that the effects of amendments vary depending on soil texture, application rates, and cropping systems, which emphasizes the need for tailored, sustainable soil management practices. This study concludes that organic amendments are a promising option for structure improvement and organic matter accumulation. It further suggests that an approach that integrates various methods is essential in order to meet desirable soil quality and retain agricultural productivity and offers valuable insights and recommendations for policymakers, practitioners, and researchers. Organic amendments can improve soil ecosystem services and contribute to climate change adaptation. In the future, more attention should be directed to tillage management and soil amendment interaction, as well as their effectiveness over specific periods of time. Full article
(This article belongs to the Special Issue Feature Review in Agricultural Soils—Intensification of Soil Health)
Show Figures

Figure 1

18 pages, 5394 KB  
Article
Recognition and Positioning of Strawberries Based on Improved YOLOv7 and RGB-D Sensing
by Yuwen Li, Wei Wang, Xiaohuan Guo, Xiaorong Wang, Yizhe Liu and Daren Wang
Agriculture 2024, 14(4), 624; https://doi.org/10.3390/agriculture14040624 - 17 Apr 2024
Cited by 14 | Viewed by 2728
Abstract
To improve the speed and accuracy of the methods used for the recognition and positioning of strawberry plants, this paper is concerned with the detection of elevated-substrate strawberries and their picking points, using a strawberry picking robot, based on the You Only Look [...] Read more.
To improve the speed and accuracy of the methods used for the recognition and positioning of strawberry plants, this paper is concerned with the detection of elevated-substrate strawberries and their picking points, using a strawberry picking robot, based on the You Only Look Once version 7 (YOLOv7) object detection algorithm and Red Green Blue-Depth (RGB-D) sensing. Modifications to the YOLOv7 model include the integration of more efficient modules, incorporation of attention mechanisms, elimination of superfluous feature layers, and the addition of layers dedicated to the detection of smaller targets. These modifications have culminated in a lightweight and improved YOLOv7 network model. The number of parameters is only 40.3% of that of the original model. The calculation amount is reduced by 41.8% and the model size by 59.2%. The recognition speed and accuracy are also both improved. The frame rate of model recognition is increased by 19.3%, the accuracy of model recognition reaches 98.8%, and mAP@0.95 reaches 96.8%. In addition, we have developed a method for locating strawberry picking points based on strawberry geometry. The test results demonstrated that the average positioning success rate and average positioning time were 90.8% and 76 ms, respectively. The picking robot in the laboratory utilized the recognition and positioning method proposed in this paper. The error of hand–eye calibration is less than 5.5 mm on the X-axis, less than 1.6 mm on the Y-axis, and less than 2.7 mm on the Z-axis, which meets the requirements of picking accuracy. The success rate of the picking experiment was about 90.8%, and the average execution time for picking each strawberry was 7.5 s. In summary, the recognition and positioning method proposed in this paper provides a more effective method for automatically picking elevated-substrate strawberries. Full article
(This article belongs to the Special Issue Sensing and Imaging for Quality and Safety of Agricultural Products)
Show Figures

Figure 1

17 pages, 689 KB  
Review
Precision Livestock Farming Technology: Applications and Challenges of Animal Welfare and Climate Change
by Georgios I. Papakonstantinou, Nikolaos Voulgarakis, Georgia Terzidou, Lampros Fotos, Elisavet Giamouri and Vasileios G. Papatsiros
Agriculture 2024, 14(4), 620; https://doi.org/10.3390/agriculture14040620 - 16 Apr 2024
Cited by 65 | Viewed by 26460
Abstract
This study aimed to review recent developments in the agri-food industry, focusing on the integration of innovative digital systems into the livestock industry. Over the last 50 years, the production of animal-based foods has increased significantly due to the rising demand for meat. [...] Read more.
This study aimed to review recent developments in the agri-food industry, focusing on the integration of innovative digital systems into the livestock industry. Over the last 50 years, the production of animal-based foods has increased significantly due to the rising demand for meat. As a result, farms have increased their livestock numbers to meet consumer demand, which has exacerbated challenges related to environmental sustainability, human health, and animal welfare. In response to these challenges, precision livestock farming (PLF) technologies have emerged as a promising solution for sustainable livestock production. PLF technologies offer farmers the opportunity to increase efficiency while mitigating environmental impact, securing livelihoods, and promoting animal health and welfare. However, the adoption of PLF technologies poses several challenges for farmers and raises animal welfare concerns. Additionally, the existing legal framework for the use of PLF technologies is discussed. In summary, further research is needed to advance the scientific understanding of PLF technologies, and stakeholders, including researchers, policymakers, and funders, need to prioritize ethical considerations related to their implementation. Full article
(This article belongs to the Section Artificial Intelligence and Digital Agriculture)
Show Figures

Figure 1

29 pages, 1912 KB  
Article
Investigating the Adoption of Blockchain Technology in Agri-Food Supply Chains: Analysis of an Extended UTAUT Model
by Diana-Cezara Toader, Corina Michaela Rădulescu and Cezar Toader
Agriculture 2024, 14(4), 614; https://doi.org/10.3390/agriculture14040614 - 15 Apr 2024
Cited by 23 | Viewed by 7657
Abstract
Against a backdrop of globalization, dynamic shifts in consumer demand, and climate change impact, the intricacies of agri-food supply chains have become increasingly convoluted, necessitating innovative measures to guarantee agri-food security and authenticity. Blockchain technology emerges as a promising solution, offering transparency, immutability, [...] Read more.
Against a backdrop of globalization, dynamic shifts in consumer demand, and climate change impact, the intricacies of agri-food supply chains have become increasingly convoluted, necessitating innovative measures to guarantee agri-food security and authenticity. Blockchain technology emerges as a promising solution, offering transparency, immutability, traceability, and efficiency in the overall supply chain. This study aims to investigate determinants impacting both the intention to use and the actual usage of blockchain-driven agri-food supply chain platforms. To achieve this, an expanded and adapted conceptual model rooted in the Unified Theory of Acceptance and Use of Technology (UTAUT) was formulated and empirically examined through Partial Least Squares Structural Equation Modeling using data from 175 respondents from agri-food companies across eight European countries. Agri-Food Supply Chain Partner Preparedness (FSCPP) emerged as the pivotal factor with the highest degree of influence on the intention to use blockchain-driven supply chain platforms. Additionally, the results from this study offer support for the significant influence of Performance Expectancy (PE), Effort Expectancy (EE), and Perceived Trust (PT) on usage intention, while also revealing the positive impact of Organizational Blockchain Readiness (OBR) on expected Usage Behavior (UB). This study provides significant insights into blockchain adoption within agri-food supply chains, contributing to the existing literature through an extended UTAUT framework. Full article
(This article belongs to the Special Issue Agricultural Markets and Agrifood Supply Chains)
Show Figures

Figure 1

18 pages, 558 KB  
Review
Adaptation Mechanisms of Olive Tree under Drought Stress: The Potential of Modern Omics Approaches
by Georgia-Maria Nteve, Stefanos Kostas, Alexios N. Polidoros, Panagiotis Madesis and Irini Nianiou-Obeidat
Agriculture 2024, 14(4), 579; https://doi.org/10.3390/agriculture14040579 - 5 Apr 2024
Cited by 14 | Viewed by 7409
Abstract
Olive (Olea europaea L.) is a crop of enormous economic and cultural importance. Over the years, the worldwide production of olive oil has been decreasing due to various biotic and abiotic factors. The current drop in olive oil production resulting from climate [...] Read more.
Olive (Olea europaea L.) is a crop of enormous economic and cultural importance. Over the years, the worldwide production of olive oil has been decreasing due to various biotic and abiotic factors. The current drop in olive oil production resulting from climate change raises concerns regarding the fulfillment of our daily demand for olive oil and has led to a significant increase in market prices. In the future, there will be a higher chance that we will face a severe shortage of olive oil, which could harm both the economic sector and the food supply. As olive groves cover more than 5 million hectares in the European Union alone, the need to preserve the crop in the context of extreme climatic events is imperative. As drought is considered one of the most limiting factors in agriculture, drought-resistant varieties and sustainable irrigation strategies are being developed to mitigate the impact of drought on crop productivity and secure the future supply of olive oil. This review focuses on recently gained insights into drought stress in olive trees through omics and phenomics approaches to unravelling mechanisms that may lead to developing new varieties that are tolerant against drought elicited by changes in growing systems. Full article
Show Figures

Figure 1

12 pages, 269 KB  
Article
Nutritional, Utility, and Sensory Quality and Safety of Sunflower Oil on the Central European Market
by Kristina Nakonechna, Vojtech Ilko, Markéta Berčíková, Vladimír Vietoris, Zdeňka Panovská and Marek Doležal
Agriculture 2024, 14(4), 536; https://doi.org/10.3390/agriculture14040536 - 28 Mar 2024
Cited by 15 | Viewed by 11871
Abstract
In the quality monitoring of 18 sunflower oil samples from the EU market, 14 were refined and 4 were cold-pressed. They demonstrated high quality of technological processing with low values of trans-unsaturated fatty acids, acid value, and peroxide value and also met [...] Read more.
In the quality monitoring of 18 sunflower oil samples from the EU market, 14 were refined and 4 were cold-pressed. They demonstrated high quality of technological processing with low values of trans-unsaturated fatty acids, acid value, and peroxide value and also met the limits set by legislation in the content of process contaminants 3-monochloropropane-1,2-diol (3-MCPD) esters and glycidyl esters. Measurements of oxidative stability showed a difference in utility value. The average induction period of the oils from the traditional varieties was 2.6 h, predisposing them to cold cooking or short-term frying, while the 11.8 h of the four high oleic sunflower oils (HOSO) indicates the possibility of long-term heat stress. The nutritional benefit is the average vitamin E content of 663 mg/kg oil. The overall sensory quality of the samples was evaluated by a 12-member panel of trained assessors. On the seven-point category scale, the oils were of good to exceptional quality. The cold-pressed oils (CPOs) differed in having, on average, lower trans-unsaturated fatty acid content, process contaminants at unmeasurable levels, and, on average, higher vitamin E concentrations. The specific organoleptic properties of the CPOs were characterized by a pleasant nutty and sunflower seed flavor. Full article
(This article belongs to the Special Issue Feature Papers in Agricultural Product Quality and Safety)
24 pages, 1678 KB  
Article
A Cross-Sectional Analysis of the Relationship between Digital Technology Use and Agricultural Productivity in EU Countries
by Claudiu George Bocean
Agriculture 2024, 14(4), 519; https://doi.org/10.3390/agriculture14040519 - 25 Mar 2024
Cited by 36 | Viewed by 8781
Abstract
Amidst the rapid evolution of digital technologies and their prospective implications for agricultural productivity, farmers are increasingly turning to Agriculture 4.0. As digitization permeates every facet of agriculture, the potential for boosting productivity while ensuring sustainability and resilience becomes increasingly tangible. The objective [...] Read more.
Amidst the rapid evolution of digital technologies and their prospective implications for agricultural productivity, farmers are increasingly turning to Agriculture 4.0. As digitization permeates every facet of agriculture, the potential for boosting productivity while ensuring sustainability and resilience becomes increasingly tangible. The objective of this study is to understand how the adoption of digital technologies influences agricultural productivity within the diverse socioeconomic and agricultural landscapes of EU nations. The research of this study aims to address questions concerning the impact of digital technology use on agricultural productivity across EU countries. This study employs a robust analytical framework combining equation modeling (SEM), artificial neural networks, and cluster analysis. SEM analysis reveals significant associations and influences between digital technology use and productivity related to the total labor force across EU countries. Moreover, cluster analysis outlines distinct clusters of EU member states distinguished by varying degrees of digital technology incorporation and corresponding agricultural productivity, emphasizing the diverse socioeconomic contexts that influence these associations. These findings underscore the significance of embracing digital technology as a catalyst for enhancing agricultural productivity across EU nations. Future research could focus on devising strategies to promote the widespread adoption of digital technologies in agriculture across EU member states, and longitudinal analyses could offer insights into the dynamic relationship between digital technology use and agricultural output, informing policy interventions. Full article
Show Figures

Figure 1

22 pages, 818 KB  
Article
TAM-Based Study of Farmers’ Live Streaming E-Commerce Adoption Intentions
by Xinqiang Chen, Xiu-e Zhang and Jiangjie Chen
Agriculture 2024, 14(4), 518; https://doi.org/10.3390/agriculture14040518 - 24 Mar 2024
Cited by 17 | Viewed by 7919
Abstract
Amidst the digital economy surge, live streaming e-commerce of agricultural products has significantly boosted agricultural prosperity. Investigating farmers’ behavioral intentions toward adopting live streaming e-commerce holds critical importance for fostering agricultural healthy and swift growth. Utilizing the Technology Acceptance Model (TAM) as a [...] Read more.
Amidst the digital economy surge, live streaming e-commerce of agricultural products has significantly boosted agricultural prosperity. Investigating farmers’ behavioral intentions toward adopting live streaming e-commerce holds critical importance for fostering agricultural healthy and swift growth. Utilizing the Technology Acceptance Model (TAM) as a foundation, this study incorporates three additional variables—government support, platform support, and social learning—to devise a theoretical model. It takes the agriculture-related live streaming e-commerce platform as an example, with 424 Chinese farmers as the sample, to quantitatively assess the factors that impact the intentions to adopt live streaming e-commerce behaviors. The findings indicate that, firstly, the TAM is applicable to the assessment of farmers’ intentions to adopt live streaming e-commerce. Secondly, government support positively impacts perceived usefulness, social learning enhances perceived ease of use, and platform support positively impacts both perceived ease of use and usefulness. Lastly, the technology acceptance extension model applicability varies among farmer groups: government support influence on perceived ease of use is more significant among traditional farmers, social learning impact on perceived ease of use is higher in farmers with higher education levels, and platform support effect on perceived usefulness is stronger among farmers experienced in e-commerce. Therefore, differentiated promotion strategies by the government are necessary, and e-commerce platforms should leverage their technology to offer efficient services and encourage farmer education. A multi-party collaboration model involving the government, platforms, and farmers is essential to collectively foster the healthy development of rural live streaming e-commerce. Full article
(This article belongs to the Special Issue Trade Development and Value Chains in Agriculture)
Show Figures

Figure 1

14 pages, 3406 KB  
Article
A Glimpse into the Genetic Heritage of the Olive Tree in Malta
by Monica Marilena Miazzi, Antonella Pasqualone, Marion Zammit-Mangion, Michele Antonio Savoia, Valentina Fanelli, Silvia Procino, Susanna Gadaleta, Francesco Luigi Aurelio and Cinzia Montemurro
Agriculture 2024, 14(3), 495; https://doi.org/10.3390/agriculture14030495 - 18 Mar 2024
Cited by 13 | Viewed by 2793
Abstract
The genetic diversity of the ancient autochthonous olive trees on the Maltese islands and the relationship with the wild forms growing in marginal areas of the island (57 samples), as well as with the most widespread cultivars in the Mediterranean region (150 references), [...] Read more.
The genetic diversity of the ancient autochthonous olive trees on the Maltese islands and the relationship with the wild forms growing in marginal areas of the island (57 samples), as well as with the most widespread cultivars in the Mediterranean region (150 references), were investigated by genetic analysis with 10 SSR markers. The analysis revealed a high genetic diversity of Maltese germplasm, totaling 84 alleles and a Shannon information index (I) of 1.08. All samples from the upper and the lower part of the crown of the Bidni trees belonged to the same genotype, suggesting that there was no secondary top-grafting of the branches. The Bidni trees showed close relationships with the local wild germplasm, suggesting that the oleaster population played a role in the selection of the Bidni variety. Genetic similarities were also found between Maltese cultivars and several Italian varieties including accessions putatively resistant to the bacterium Xylella fastidiosa, which has recently emerged in the Apulia region (Italy) and has caused severe epidemics on olive trees over the last decade. Full article
(This article belongs to the Topic Mediterranean Biodiversity)
Show Figures

Figure 1

27 pages, 2913 KB  
Article
Enhancing Sustainable Agriculture in China: A Meta-Analysis of the Impact of Straw and Manure on Crop Yield and Soil Fertility
by Zhe Zhao, Yali Yang, Hongtu Xie, Yixin Zhang, Hongbo He, Xudong Zhang and Shijun Sun
Agriculture 2024, 14(3), 480; https://doi.org/10.3390/agriculture14030480 - 16 Mar 2024
Cited by 18 | Viewed by 4620
Abstract
As the main organic materials, straw and manure play a critical role in soil organic carbon (SOC) sequestration and crop yield in China. This meta-analysis evaluated the impact of straw and manure amendments, both individually and combined, on crop yield, SOC, and soil [...] Read more.
As the main organic materials, straw and manure play a critical role in soil organic carbon (SOC) sequestration and crop yield in China. This meta-analysis evaluated the impact of straw and manure amendments, both individually and combined, on crop yield, SOC, and soil nutrients in China by collecting 173 studies. The findings of this study revealed that straw return and manure application increased crop yields by 14.4% and 70.4%, respectively, overall. Combined straw and manure application gained a better improvement effect than straw alone but was less effective than manure alone. Regarding the straw return results, rice straw and a 3000–6000 kg ha−1 returning quantity improved crop yield, SOC, available phosphorus (AP), available potassium (AK), and total nitrogen (TN) the most; regarding the straw return form, straw incorporated into soil and biochar increased crop yield and SOC more, respectively; and <5 years and ≥5 years of straw return treatment increased crop yield and TN more, respectively. Regarding manure application, pig and chicken manure increased crop yield and TN more, respectively; a 50–80% substitution ratio and 10–20 years of duration were best for improving crop yield, SOC, AP, AK, and TN. This study highlights the importance of optimal organic amendment through straw or manure applications to achieve a win–win between crop yield and soil fertility under the requirement of sustainable agriculture. Full article
(This article belongs to the Special Issue Soil Management for Sustainable Agriculture)
Show Figures

Graphical abstract

13 pages, 4654 KB  
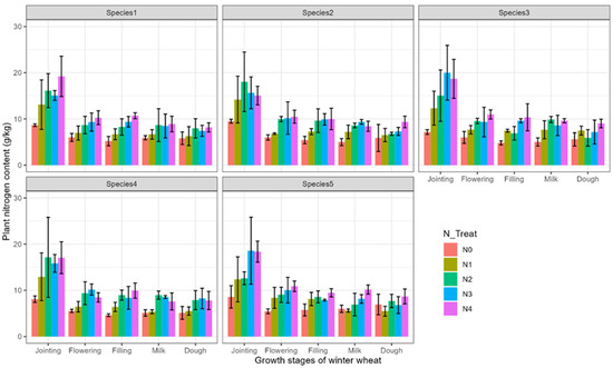
Article
Estimating Winter Wheat Plant Nitrogen Content by Combining Spectral and Texture Features Based on a Low-Cost UAV RGB System throughout the Growing Season
by Liyuan Zhang, Xiaoying Song, Yaxiao Niu, Huihui Zhang, Aichen Wang, Yaohui Zhu, Xingye Zhu, Liping Chen and Qingzhen Zhu
Agriculture 2024, 14(3), 456; https://doi.org/10.3390/agriculture14030456 - 11 Mar 2024
Cited by 20 | Viewed by 2300
Abstract
As prior information for precise nitrogen fertilization management, plant nitrogen content (PNC), which is obtained timely and accurately through a low-cost method, is of great significance for national grain security and sustainable social development. In this study, the potential of the low-cost unmanned [...] Read more.
As prior information for precise nitrogen fertilization management, plant nitrogen content (PNC), which is obtained timely and accurately through a low-cost method, is of great significance for national grain security and sustainable social development. In this study, the potential of the low-cost unmanned aerial vehicle (UAV) RGB system was investigated for the rapid and accurate estimation of winter wheat PNC across the growing season. Specifically, texture features were utilized as complements to the commonly used spectral information. Five machine learning regression algorithms, including support vector machines (SVMs), classification and regression trees, artificial neural networks, K-nearest neighbors, and random forests, were employed to establish the bridge between UAV RGB image-derived features and ground-truth PNC, with multivariate linear regression serving as the reference. The results show that both spectral and texture features had significant correlations with ground-truth PNC, indicating the potential of low-cost UAV RGB images to estimate winter wheat PNC. The H channel, S4O6, and R_SE and R_EN had the highest correlation among the spectral indices, Gabor texture features, and grey level co-occurrence matrix texture features, with absolute Pearson’s correlation coefficient values of 0.63, 0.54, and 0.69, respectively. When the texture features were used together with spectral indices, the PNC estimation accuracy was enhanced, with the root mean square error (RMSE) decreasing from 2.56 to 2.24 g/kg, for instance, when using the SVM regression algorithm. The SVM regression algorithm with validation achieved the highest estimation accuracy, with a coefficient of determination (R2) of 0.62 and an RMSE of 2.15 g/kg based on the optimal feature combination of B_CON, B_M, G_DIS, H, NGBDI, R_EN, R_M, R_SE, S3O7, and VEG. Overall, this study demonstrated that the low-cost UAV RGB system could be successfully used to map the PNC of winter wheat across the growing season. Full article
(This article belongs to the Section Artificial Intelligence and Digital Agriculture)
Show Figures

Figure 1

12 pages, 923 KB  
Article
Comparison of the Effect of Drying Treatments on the Physicochemical Parameters, Oxidative Stability, and Microbiological Status of Yellow Mealworm (Tenebrio molitor L.) Flours as an Alternative Protein Source
by Desislava Vlahova-Vangelova, Desislav Balev, Nikolay Kolev, Stefan Dragoev, Evgeni Petkov and Teodora Popova
Agriculture 2024, 14(3), 436; https://doi.org/10.3390/agriculture14030436 - 7 Mar 2024
Cited by 11 | Viewed by 3311
Abstract
The increasing production of edible insects on an industrial scale makes it crucial to implement appropriate technologies after harvesting to process safe and high quality insect products. The aim of this work was to compare the impact of different drying treatments used in [...] Read more.
The increasing production of edible insects on an industrial scale makes it crucial to implement appropriate technologies after harvesting to process safe and high quality insect products. The aim of this work was to compare the impact of different drying treatments used in the production of flour from Tenebrio molitor larvae. The larvae were subjected to freeze-drying (FD), conventional drying (CD), microwave drying (MWD), microwave drying without freezing prior blanching (MWDL), and microwave drying with addition of 0.1% butylated hydroxytoluene (BHT) during the blanching of the larvae (MWDA). The studied parameters included water activity (aw), instrumental colour, chemical composition, lipid oxidative processes, antioxidant activity, as well as microbiological status. The freeze-drying and conventional drying of the larvae reduced the aw of the derived flours (p < 0.0001); however, their nutritional profile revealed lower protein (p < 0.0001) and considerably higher fat content (p < 0.0001) compared to the flours after microwave treatments. The conventional drying and microwave treatment with BHT induced significantly darker colour (p < 0.0001) in comparison to the other methods. Despite the advantages of the microwave drying as a fast and energy efficient method, it displayed some negative effects associated with low lipid stability such as higher acid value (AV) and secondary products of lipid oxidation (TBARS) (p < 0.0001). This was also observed in the MWDA flour, indicating a certain pro-oxidative effect of the BHT. Regardless of the drying method, all the flours had a low microbial load. Full article
Show Figures

Figure 1

28 pages, 354 KB  
Article
Exploring Cooperative Mechanisms in the Chinese Agricultural Value Chain: A Game Model Analysis Based on Leading Enterprises and Small Farmers
by Qiang Jin, Hui Dang, Heng Wang and Zhenghe Zhang
Agriculture 2024, 14(3), 437; https://doi.org/10.3390/agriculture14030437 - 7 Mar 2024
Cited by 13 | Viewed by 4811
Abstract
In the context of agricultural modernization in China, this paper examines the micro-level perspective of agricultural value chains. Drawing from three primary models of agricultural value chain cooperation—namely, “leading enterprises + small farmers”, “leading enterprises + cooperatives + small farmers”, and “corporate integration”—it [...] Read more.
In the context of agricultural modernization in China, this paper examines the micro-level perspective of agricultural value chains. Drawing from three primary models of agricultural value chain cooperation—namely, “leading enterprises + small farmers”, “leading enterprises + cooperatives + small farmers”, and “corporate integration”—it establishes four game models: the decentralized decision-making game model, the two revenue-sharing game models, and the centralized decision-making game model. It systematically analyzes the cooperation mechanisms between leading enterprises and small farmers in upstream production links of the agricultural value chain, aiming to improve the cooperation strategy between leading enterprises and small farmers, elevate the status of small farmers in the agricultural value chain, promote increased income for farmers, and strengthen the agricultural value chain. The research findings are as follows: Firstly, the traditional contract of “leading enterprise + smallholder farmers” is incomplete, which makes it difficult to avoid opportunism and moral hazard that may arise between the two parties. By comparing multiple parameter values, it is found that this model is at a lower level of agricultural value chain development. Secondly, the model of “leading enterprise + cooperative + smallholder farmers” improves the tightness and stability of cooperation between leading enterprises and smallholder farmers. This model explains to some extent the operability of smallholder farmers sharing the value of the agricultural value chain. Compared with various parameter values, this model is at a medium level between other models. Finally, the “corporate integration” model is a fully vertical integration model. Compared with various parameter values, this model is at an advanced stage of agricultural value chain development. Therefore, agricultural value chains will ultimately develop toward the direction of corporate integration. This study has positive practical significance for enhancing the status and claim rights of small farmers, promoting increased income for farmers, enhancing the consistency of values between leading enterprises and small farmers, strengthening the stability of the agricultural value chain, and ultimately achieving common prosperity and agricultural modernization in China. Full article
24 pages, 1524 KB  
Review
Traditional and Emerging Approaches for Disease Management of Plasmopara viticola, Causal Agent of Downy Mildew of Grape
by Jessica I. Clippinger, Emily P. Dobry, Ivy Laffan, Nyla Zorbas, Bryan Hed and Michael A. Campbell
Agriculture 2024, 14(3), 406; https://doi.org/10.3390/agriculture14030406 - 2 Mar 2024
Cited by 10 | Viewed by 9824
Abstract
The oomycete Plasmopara viticola, which causes downy mildew, is currently one of the most destructive pathogens affecting grape production. Although native to the eastern United States, P. viticola was introduced into Europe in the mid-to-late 1800s and is now found in virtually [...] Read more.
The oomycete Plasmopara viticola, which causes downy mildew, is currently one of the most destructive pathogens affecting grape production. Although native to the eastern United States, P. viticola was introduced into Europe in the mid-to-late 1800s and is now found in virtually every grape-growing region of the world. Since its discovery, much effort has been made to understand the life cycle and infection process of the pathogen to develop more effective management practices. Widespread application of fungicides, especially those which have only one mode of action, has led to an increased occurrence of resistance to these treatments. Thus, with increased fungicide resistance and rising environmental concerns surrounding their use, traditional chemical management practices have begun to fall out of favor. Newer approaches, from targeted breeding utilizing quantitative trait loci to biological control agents, are continually being investigated and adapted to limit the damage caused by downy mildew. This review summarizes the current knowledge of the pathogen and methods of its control and explores potential avenues for future research focused on hypovirulence and biological control agents. Full article
(This article belongs to the Special Issue Downy Mildews in Crop Plants)
Show Figures

Figure 1

20 pages, 10910 KB  
Article
3D Reconstruction of Wheat Plants by Integrating Point Cloud Data and Virtual Design Optimization
by Wenxuan Gu, Weiliang Wen, Sheng Wu, Chenxi Zheng, Xianju Lu, Wushuai Chang, Pengliang Xiao and Xinyu Guo
Agriculture 2024, 14(3), 391; https://doi.org/10.3390/agriculture14030391 - 29 Feb 2024
Cited by 28 | Viewed by 3753
Abstract
The morphology and structure of wheat plants are intricate, containing numerous tillers, rich details, and significant cross-obscuration. Methods of effectively reconstructing three-dimensional (3D) models of wheat plants that reflects the varietal architectural differences using measured data is challenging in plant phenomics and functional–structural [...] Read more.
The morphology and structure of wheat plants are intricate, containing numerous tillers, rich details, and significant cross-obscuration. Methods of effectively reconstructing three-dimensional (3D) models of wheat plants that reflects the varietal architectural differences using measured data is challenging in plant phenomics and functional–structural plant models. This paper proposes a 3D reconstruction technique for wheat plants that integrates point cloud data and virtual design optimization. The approach extracted single stem number, growth position, length, and inclination angle from the point cloud data of a wheat plant. It then built an initial 3D mesh model of the plant by integrating a wheat 3D phytomer template database with variety resolution. Diverse 3D wheat plant models were subsequently virtually designed by iteratively modifying the leaf azimuth, based on the initial model. Using the 3D point cloud of the plant as the overall constraint and setting the minimum Chamfer distance between the point cloud and the mesh model as the optimization objective, we obtained the optimal 3D model as the reconstruction result of the plant through continuous iterative calculation. The method was validated using 27 winter wheat plants, with nine varieties and three replicates each. The R2 values between the measured data and the reconstructed plants were 0.80, 0.73, 0.90, and 0.69 for plant height, crown width, plant leaf area, and coverage, respectively. Additionally, the Normalized Root Mean Squared Errors (NRMSEs) were 0.10, 0.12, 0.08, and 0.17, respectively. The Mean Absolute Percentage Errors (MAPEs) used to investigate the vertical spatial distribution between the reconstructed 3D models and the point clouds of the plants ranged from 4.95% to 17.90%. These results demonstrate that the reconstructed 3D model exhibits satisfactory consistency with the measured data, including plant phenotype and vertical spatial distribution, and accurately reflects the characteristics of plant architecture and spatial distribution for the utilized wheat cultivars. This method provides technical support for research on wheat plant phenotyping and functional–structural analysis. Full article
(This article belongs to the Section Artificial Intelligence and Digital Agriculture)
Show Figures

Figure 1

18 pages, 5052 KB  
Article
Comparative Analysis of Feature Importance Algorithms for Grassland Aboveground Biomass and Nutrient Prediction Using Hyperspectral Data
by Yue Zhao, Dawei Xu, Shuzhen Li, Kai Tang, Hongliang Yu, Ruirui Yan, Zhenwang Li, Xu Wang and Xiaoping Xin
Agriculture 2024, 14(3), 389; https://doi.org/10.3390/agriculture14030389 - 28 Feb 2024
Cited by 12 | Viewed by 2729
Abstract
Estimating forage yield and nutrient composition using hyperspectral remote sensing is a major challenge. However, there is still a lack of comprehensive research on the optimal wavelength for the analysis of various nutrients in pasture. In this research, conducted in Hailar District, Hulunber [...] Read more.
Estimating forage yield and nutrient composition using hyperspectral remote sensing is a major challenge. However, there is still a lack of comprehensive research on the optimal wavelength for the analysis of various nutrients in pasture. In this research, conducted in Hailar District, Hulunber City, Inner Mongolia Autonomous Region, China, 126 sets of hyperspectral data were collected, covering a spectral range of 350 to 1800 nanometers. The primary objective was to identify key spectral bands for estimating forage dry matter yield (DMY), nitrogen content (NC), neutral detergent fiber (NDF), and acid detergent fiber (ADF) using principal component analysis (PCA), random forests (RF), and SHapley Additive exPlanations (SHAP) analysis methods, and then the RF and Extra-Trees algorithm (ERT) model was used to predict aboveground biomass (AGB) and nutrient parameters using the optimized spectral bands and vegetation indices. Our approach effectively minimizes redundancy in hyperspectral data by selectively employing crucial spectral bands, thus improving the accuracy of forage nutrient estimation. PCA identified the most variable bands at 400 nm, 520–550 nm, 670–720 nm, and 930–950 nm, reflecting their general spectral significance rather than a link to specific forage nutrients. Further analysis using RF feature importance pinpointed influential bands, predominantly within 930–940 nm and 700–730 nm. SHAP analysis confirmed critical bands for DMY (965 nm, 712 nm, and 1652 nm), NC (1390 nm and 713 nm), ADF (1390 nm and 715–725 nm), and NDF (400 nm, 983 nm, 1350 nm, and 1800 nm). The fitting accuracy for ADF estimated using RF was lower (R2 = 0.58), while the fitting accuracy for other indicators was higher (R2 ≥ 0.59). The performance and prediction accuracy of ERT (R2 = 0.63) were noticeably superior to those of RF. In conclusion, our method effectively identifies influential bands, optimizing forage yield and quality estimation. Full article
Show Figures

Figure 1

24 pages, 3145 KB  
Review
Influence and Role of Fungi, Bacteria, and Mixed Microbial Populations on Phosphorus Acquisition in Plants
by Yu Luo, Lige Ma, Qirui Feng, Huan Luo, Chen Chen, Shuqi Wang, Yue Yuan, Can Liu, Xulv Cao and Nannan Li
Agriculture 2024, 14(3), 358; https://doi.org/10.3390/agriculture14030358 - 23 Feb 2024
Cited by 13 | Viewed by 5321
Abstract
Phosphorus (P) stands as a pivotal macroelement in relation to the growth of plants. It plays a significant role in physiological processes, as components of biofilms and nucleotides, and in metabolic activities within plants. The deprivation of phosphorus detrimentally impacts the growth and [...] Read more.
Phosphorus (P) stands as a pivotal macroelement in relation to the growth of plants. It plays a significant role in physiological processes, as components of biofilms and nucleotides, and in metabolic activities within plants. The deprivation of phosphorus detrimentally impacts the growth and developmental of plants. However, the rhizosphere’s beneficial fungi and bacteria augment the efficacy of phosphorus uptake, participate in the molecular regulation of phosphorus, stimulate physiological alterations in plants, and facilitate signal transmission. In order to give readers a better understanding of the effects and positive roles of soil beneficial fungi and bacteria in regulating plant phosphorus acquisition and transport, this present review introduces the role and influence of rhizosphere microorganisms (fungi and bacteria) in assisting plant phosphorus absorption, and summarizes the key phosphorus transporters found in their interaction with plants. Using mixed microbial populations as composite microbial fertilizers has a positive effect on plants under phosphorus-deficiency conditions. It will be conducive to a better understanding of the mutualistic relationship between fungi, bacteria, and plants to provide a way to reduce the application of phosphorus fertilizers efficiently, and to provide a research background for the development of microbiological fertilizers. Full article
(This article belongs to the Special Issue Microbiology Applied to Crop Systems)
Show Figures

Figure 1

21 pages, 12035 KB  
Article
Efficient Tobacco Pest Detection in Complex Environments Using an Enhanced YOLOv8 Model
by Daozong Sun, Kai Zhang, Hongsheng Zhong, Jiaxing Xie, Xiuyun Xue, Mali Yan, Weibin Wu and Jiehao Li
Agriculture 2024, 14(3), 353; https://doi.org/10.3390/agriculture14030353 - 22 Feb 2024
Cited by 27 | Viewed by 4224
Abstract
Due to the challenges of pest detection in complex environments, this research introduces a lightweight network for tobacco pest identification leveraging enhancements in YOLOv8 technology. Using YOLOv8 large (YOLOv8l) as the base, the neck layer of the original network is replaced with an [...] Read more.
Due to the challenges of pest detection in complex environments, this research introduces a lightweight network for tobacco pest identification leveraging enhancements in YOLOv8 technology. Using YOLOv8 large (YOLOv8l) as the base, the neck layer of the original network is replaced with an asymptotic feature pyramid network (AFPN) network to reduce model parameters. A SimAM attention mechanism, which does not require additional parameters, is incorporated to improve the model’s ability to extract features. The backbone network’s C2f model is replaced with the VoV-GSCSP module to reduce the model’s computational requirements. Experiments show the improved YOLOv8 model achieves high overall performance. Compared to the original model, model parameters and GFLOPs are reduced by 52.66% and 19.9%, respectively, while mAP@0.5 is improved by 1%, recall by 2.7%, and precision by 2.4%. Further comparison with popular detection models YOLOv5 medium (YOLOv5m), YOLOv6 medium (YOLOv6m), and YOLOv8 medium (YOLOv8m) shows the improved model has the highest detection accuracy and lightest parameters for detecting four common tobacco pests, with optimal overall performance. The improved YOLOv8 detection model proposed facilitates precise, instantaneous pest detection and recognition for tobacco and other crops, securing high-accuracy, comprehensive pest identification. Full article
Show Figures

Figure 1

31 pages, 6412 KB  
Article
Maturity Recognition and Fruit Counting for Sweet Peppers in Greenhouses Using Deep Learning Neural Networks
by Luis David Viveros Escamilla, Alfonso Gómez-Espinosa, Jesús Arturo Escobedo Cabello and Jose Antonio Cantoral-Ceballos
Agriculture 2024, 14(3), 331; https://doi.org/10.3390/agriculture14030331 - 20 Feb 2024
Cited by 23 | Viewed by 3919
Abstract
This study presents an approach to address the challenges of recognizing the maturity stage and counting sweet peppers of varying colors (green, yellow, orange, and red) within greenhouse environments. The methodology leverages the YOLOv5 model for real-time object detection, classification, and localization, coupled [...] Read more.
This study presents an approach to address the challenges of recognizing the maturity stage and counting sweet peppers of varying colors (green, yellow, orange, and red) within greenhouse environments. The methodology leverages the YOLOv5 model for real-time object detection, classification, and localization, coupled with the DeepSORT algorithm for efficient tracking. The system was successfully implemented to monitor sweet pepper production, and some challenges related to this environment, namely occlusions and the presence of leaves and branches, were effectively overcome. We evaluated our algorithm using real-world data collected in a sweet pepper greenhouse. A dataset comprising 1863 images was meticulously compiled to enhance the study, incorporating diverse sweet pepper varieties and maturity levels. Additionally, the study emphasized the role of confidence levels in object recognition, achieving a confidence level of 0.973. Furthermore, the DeepSORT algorithm was successfully applied for counting sweet peppers, demonstrating an accuracy level of 85.7% in two simulated environments under challenging conditions, such as varied lighting and inaccuracies in maturity level assessment. Full article
(This article belongs to the Section Artificial Intelligence and Digital Agriculture)
Show Figures

Figure 1

14 pages, 4321 KB  
Article
Indoor Temperature Forecasting in Livestock Buildings: A Data-Driven Approach
by Carlos Alejandro Perez Garcia, Marco Bovo, Daniele Torreggiani, Patrizia Tassinari and Stefano Benni
Agriculture 2024, 14(2), 316; https://doi.org/10.3390/agriculture14020316 - 17 Feb 2024
Cited by 15 | Viewed by 2422
Abstract
The escalating global population and climate change necessitate sustainable livestock production methods to meet rising food demand. Precision Livestock Farming (PLF) integrates information and communication technologies (ICT) to improve farming efficiency and animal health. Unlike traditional methods, PLF uses machine learning (ML) algorithms [...] Read more.
The escalating global population and climate change necessitate sustainable livestock production methods to meet rising food demand. Precision Livestock Farming (PLF) integrates information and communication technologies (ICT) to improve farming efficiency and animal health. Unlike traditional methods, PLF uses machine learning (ML) algorithms to analyze data in real time, providing valuable insights to decision makers. Dairy farming in diverse climates is challenging and requires well-designed structures to regulate internal environmental parameters. This study explores the application of the Facebook-developed Prophet algorithm to predict indoor temperatures in a dairy farm over a 72 h horizon. Exogenous variables sourced from the Open-Meteo platform improve the accuracy of the model. The paper details case study construction, data acquisition, preprocessing, and model training, highlighting the importance of seasonality in environmental variables. Model validation using key metrics shows consistent accuracy across different dates, as the mean absolute percentage error on daily base ranges from 1.71% to 2.62%. The results indicate excellent model performance, especially considering the operational context. The study concludes that black box models, such as the Prophet algorithm, are effective for predicting indoor temperatures in livestock buildings and provide valuable insights for environmental control and optimization in livestock production. Future research should explore gray box models that integrate physical building characteristics to improve predictive performance and HVAC system control. Full article
(This article belongs to the Special Issue Optimization of Livestock Housing Management)
Show Figures

Figure 1

22 pages, 3871 KB  
Review
Computer Vision-Based Measurement Techniques for Livestock Body Dimension and Weight: A Review
by Weihong Ma, Xiangyu Qi, Yi Sun, Ronghua Gao, Luyu Ding, Rong Wang, Cheng Peng, Jun Zhang, Jianwei Wu, Zhankang Xu, Mingyu Li, Hongyan Zhao, Shudong Huang and Qifeng Li
Agriculture 2024, 14(2), 306; https://doi.org/10.3390/agriculture14020306 - 14 Feb 2024
Cited by 23 | Viewed by 9464
Abstract
Acquiring phenotypic data from livestock constitutes a crucial yet cumbersome phase in the breeding process. Traditionally, obtaining livestock phenotypic data primarily involves manual, on-body measurement methods. This approach not only requires extensive labor but also induces stress on animals, which leads to potential [...] Read more.
Acquiring phenotypic data from livestock constitutes a crucial yet cumbersome phase in the breeding process. Traditionally, obtaining livestock phenotypic data primarily involves manual, on-body measurement methods. This approach not only requires extensive labor but also induces stress on animals, which leads to potential economic losses. Presently, the integration of next-generation Artificial Intelligence (AI), visual processing, intelligent sensing, multimodal fusion processing, and robotic technology is increasingly prevalent in livestock farming. The advantages of these technologies lie in their rapidity and efficiency, coupled with their capability to acquire livestock data in a non-contact manner. Based on this, we provide a comprehensive summary and analysis of the primary advanced technologies employed in the non-contact acquisition of livestock phenotypic data. This review focuses on visual and AI-related techniques, including 3D reconstruction technology, body dimension acquisition techniques, and live animal weight estimation. We introduce the development of livestock 3D reconstruction technology and compare the methods of obtaining 3D point cloud data of livestock through RGB cameras, laser scanning, and 3D cameras. Subsequently, we explore body size calculation methods and compare the advantages and disadvantages of RGB image calculation methods and 3D point cloud body size calculation methods. Furthermore, we also compare and analyze weight estimation methods of linear regression and neural networks. Finally, we discuss the challenges and future trends of non-contact livestock phenotypic data acquisition. Through emerging technologies like next-generation AI and computer vision, the acquisition, analysis, and management of livestock phenotypic data are poised for rapid advancement. Full article
Show Figures

Figure 1

21 pages, 2089 KB  
Article
The Effects of Planting Density and Nitrogen Application on the Growth Quality of Alfalfa Forage in Saline Soils
by Jiao Liu, Faguang Lu, Yiming Zhu, Hao Wu, Irshad Ahmad, Guichun Dong, Guisheng Zhou and Yanqing Wu
Agriculture 2024, 14(2), 302; https://doi.org/10.3390/agriculture14020302 - 13 Feb 2024
Cited by 13 | Viewed by 2402
Abstract
Soil salinization has become one of the major abiotic stresses limiting agricultural production globally. The full utilization of coastal saline-alkali land is of great significance for agricultural development. Among them, fertilizer management and planting density are crucial for promoting crop growth and productivity [...] Read more.
Soil salinization has become one of the major abiotic stresses limiting agricultural production globally. The full utilization of coastal saline-alkali land is of great significance for agricultural development. Among them, fertilizer management and planting density are crucial for promoting crop growth and productivity in saline soils. Field experiments were conducted to study the effects of different nitrogen application rates and planting densities on the growth, yield, and quality of alfalfa. Using alfalfa variety WL919 as the experimental material, three seeding rates of 15.0 kg·ha−1 (D1), 30.0 kg·ha−1 (D2), and 45.0 kg·ha−1 (D3) as well as three nitrogen application rates of 150.0 kg·ha−1 (N1), 225.0 kg·ha−1 (N2), and 300.0 kg·ha−1 (N3) were set. The results showed that under the same density, different nitrogen application rates had a positive impact on the agronomic traits and yield of alfalfa on saline-alkali land. Physiological and biochemical properties (chlorophyll and sucrose) increased with increasing nitrogen application, and (starch) increased initially and then decreased with increasing nitrogen application. Forage quality attributes (crude protein and crude ash) had a significant impact, while crude fat had no significant effect. Under the same nitrogen application, the yield of alfalfa increased with increasing density but then decreased after reaching a peak, while other traits initially increased and then decreased. In conclusion, the nitrogen fertilizer was superior in promoting alfalfa growth, biomass yield, and forage yield, while planting density was more suitable at D2. Although both D2N2 and D2N3 treatments were superior to others, considering economic benefits and environmental factors, it is recommended to use D2N2 as the appropriate treatment. Full article
(This article belongs to the Special Issue Effects of Salt Stress on Crop Production)
Show Figures

Figure 1

17 pages, 3911 KB  
Article
Development and Effects of Organic Farms in Poland, Taking into Account Their Location in Areas Facing Natural or Other Specific Constraints
by Marek Zieliński, Wioletta Wrzaszcz, Jolanta Sobierajewska and Marcin Adamski
Agriculture 2024, 14(2), 297; https://doi.org/10.3390/agriculture14020297 - 12 Feb 2024
Cited by 15 | Viewed by 4087
Abstract
Organic farms should, by definition, place particular emphasis on the protection of agricultural soils, landscape care and activities aimed at producing high-quality agricultural products. However, when joining this production system, the farms face many challenges in order to make these contributions to society [...] Read more.
Organic farms should, by definition, place particular emphasis on the protection of agricultural soils, landscape care and activities aimed at producing high-quality agricultural products. However, when joining this production system, the farms face many challenges in order to make these contributions to society at the expected level. The main aim of the study is to determine the scale of disproportions in production effects achieved by farms between organic and conventional production systems, taking into account the quality of natural management conditions. An equally important goal is to determine the factors in Polish agriculture that determine whether to conduct this production system. The paper aims to indicate the direction of development of organic farming in the EU, including Poland, based on the Eurostat data for 2012–2020. It was noted that the current development of the organic farming sector in EU member states has been at different rates. In Poland, its development strength largely depends on the presence of ANCs. Nearly ¾ of organic utilized agriculture area (UAA) is located in communes with a large share of them. Organic farms achieve lower production effects in comparison to conventional farms, and their disproportions also depend on the quality of natural farming conditions. In Poland, the personal competences of farmers are also an important determinant in joining organic farming. Full article
Show Figures

Figure 1

28 pages, 4471 KB  
Review
Relationship among Soil Biophysicochemical Properties, Agricultural Practices and Climate Factors Influencing Soil Phosphatase Activity in Agricultural Land
by Patrícia Campdelacreu Rocabruna, Xavier Domene, Catherine Preece and Josep Peñuelas
Agriculture 2024, 14(2), 288; https://doi.org/10.3390/agriculture14020288 - 10 Feb 2024
Cited by 29 | Viewed by 6850
Abstract
Phosphorus (P) is a vital macronutrient crucial for crop productivity. Plants absorb P salts, mainly orthophosphate, from the soil, yet the primary P source resides in organic materials. Acid and alkaline phosphatases (the predominant forms of soil phosphomonoesterases (APases)) are crucial for alleviating [...] Read more.
Phosphorus (P) is a vital macronutrient crucial for crop productivity. Plants absorb P salts, mainly orthophosphate, from the soil, yet the primary P source resides in organic materials. Acid and alkaline phosphatases (the predominant forms of soil phosphomonoesterases (APases)) are crucial for alleviating P deficiency in plants and play a vital role in releasing P from organic materials via hydrolysis. Our aim was to summarize the direction of the relationship between a variety of influential factors on acid and alkaline phosphatase activity in agricultural lands and identify gaps in knowledge. Our findings indicate a strong linkage between both APases and soil pH, positively influenced by clay content, organic matter, microbial biomass carbon, and nitrogen. Adopting healthy soil practices like balanced organic fertilizer usage, optimal soil water levels, reduced tillage, crop rotation, and using beneficial plant microbes help boost both APase activity. However, the connection between APases and crop productivity remains uncertain due to insufficient research in this area. We identified gaps in knowledge in relation to meso-macrofauna, alongside essential plant nutrients such as potassium, nutrient ratios, and the synergistic effects of various factors on APase response. Understanding the rapid, efficient assimilation of P through APases in the plant-soil and/or plant-microbiota ecosystem it can be crucial for crop productivity and yields. Full article
(This article belongs to the Special Issue Feature Review in Agricultural Soils—Intensification of Soil Health)
Show Figures

Figure 1

31 pages, 3895 KB  
Review
Dissecting Diagnostic and Management Strategies for Plant Viral Diseases: What Next?
by B. Megala Devi, Samyuktha Guruprasath, Pooraniammal Balu, Anirudha Chattopadhyay, Siva Sudha Thilagar, Kanaga Vijayan Dhanabalan, Manoj Choudhary, Swarnalatha Moparthi and A. Abdul Kader Jailani
Agriculture 2024, 14(2), 284; https://doi.org/10.3390/agriculture14020284 - 9 Feb 2024
Cited by 20 | Viewed by 11558
Abstract
Recent advancements in molecular biology have revolutionized plant disease diagnosis and management. This review focuses on disease diagnosis through serological techniques, isothermal amplification methods, CRISPR-based approaches, and management strategies using RNA-based methods. Exploring high-throughput sequencing and RNA interference (RNAi) technologies like host-induced gene [...] Read more.
Recent advancements in molecular biology have revolutionized plant disease diagnosis and management. This review focuses on disease diagnosis through serological techniques, isothermal amplification methods, CRISPR-based approaches, and management strategies using RNA-based methods. Exploring high-throughput sequencing and RNA interference (RNAi) technologies like host-induced gene silencing (HIGS) and spray-induced gene silencing (SIGS), this review delves into their potential. Despite the precision offered by RNAi in pest and pathogen management, challenges such as off-target effects and efficient dsRNA delivery persist. This review discusses the significance of these strategies in preventing aphid-mediated plant virus transmission, emphasizing the crucial role of meticulous dsRNA design for effective viral RNA targeting while minimizing harm to plant RNA. Despite acknowledged challenges, including off-target effects and delivery issues, this review underscores the transformative potential of RNA-based strategies in agriculture. Envisaging reduced pesticide dependency and enhanced productivity, these strategies stand as key players in the future of sustainable agriculture. Full article
(This article belongs to the Special Issue Molecular Diagnosis and Control of Plant Diseases)
Show Figures

Figure 1

13 pages, 4542 KB  
Article
Development of a Detection System for Types of Weeds in Maize (Zea mays L.) under Greenhouse Conditions Using the YOLOv5 v7.0 Model
by Oscar Leonardo García-Navarrete, Oscar Santamaria, Pablo Martín-Ramos, Miguel Ángel Valenzuela-Mahecha and Luis Manuel Navas-Gracia
Agriculture 2024, 14(2), 286; https://doi.org/10.3390/agriculture14020286 - 9 Feb 2024
Cited by 11 | Viewed by 2855
Abstract
Corn (Zea mays L.) is one of the most important cereals worldwide. To maintain crop productivity, it is important to eliminate weeds that compete for nutrients and other resources. The eradication of these causes environmental problems through the use of agrochemicals. The [...] Read more.
Corn (Zea mays L.) is one of the most important cereals worldwide. To maintain crop productivity, it is important to eliminate weeds that compete for nutrients and other resources. The eradication of these causes environmental problems through the use of agrochemicals. The implementation of technology to mitigate this impact is also a challenge. In this work, an artificial vision system was implemented based on the YOLOv5s (You Only Look Once) model, which uses a single convolutional neural network (CNN) that allows differentiating corn from four types of weeds, for which a mobile support structure was built to capture images. The performance of the trained model had a value of mAP@05 (mean Average Precision) at a threshold of 0.5 of 83.6%. A prediction accuracy of 97% and a mAP@05 of 97.5% were obtained for the maize class. For the weed classes, Lolium perenne, Sonchus oleraceus, Solanum nigrum, and Poa annua obtained an accuracy of 86%, 90%, 78%, and 74%, and a mAP@05 of 81.5%, 90.2%, 76.6% and 72.0%, respectively. The results are encouraging for the construction of a precision weeding system. Full article
Show Figures

Figure 1

24 pages, 803 KB  
Review
Impacts of Climate Change and Agricultural Practices on Nitrogen Processes, Genes, and Soil Nitrous Oxide Emissions: A Quantitative Review of Meta-Analyses
by Dafeng Hui, Avedananda Ray, Lovish Kasrija and Jaekedah Christian
Agriculture 2024, 14(2), 240; https://doi.org/10.3390/agriculture14020240 - 1 Feb 2024
Cited by 15 | Viewed by 9655
Abstract
Microbial-driven processes, including nitrification and denitrification closely related to soil nitrous oxide (N2O) production, are orchestrated by a network of enzymes and genes such as amoA genes from ammonia-oxidizing bacteria (AOB) and archaea (AOA), narG (nitrate reductase), [...] Read more.
Microbial-driven processes, including nitrification and denitrification closely related to soil nitrous oxide (N2O) production, are orchestrated by a network of enzymes and genes such as amoA genes from ammonia-oxidizing bacteria (AOB) and archaea (AOA), narG (nitrate reductase), nirS and nirK (nitrite reductase), and nosZ (N2O reductase). However, how climatic factors and agricultural practices could influence these genes and processes and, consequently, soil N2O emissions remain unclear. In this comprehensive review, we quantitatively assessed the effects of these factors on nitrogen processes and soil N2O emissions using mega-analysis (i.e., meta-meta-analysis). The results showed that global warming increased soil nitrification and denitrification rates, leading to an overall increase in soil N2O emissions by 159.7%. Elevated CO2 stimulated both nirK and nirS with a substantial increase in soil N2O emission by 40.6%. Nitrogen fertilization amplified NH4+-N and NO3-N contents, promoting AOB, nirS, and nirK, and caused a 153.2% increase in soil N2O emission. The application of biochar enhanced AOA, nirS, and nosZ, ultimately reducing soil N2O emission by 15.8%. Exposure to microplastics mostly stimulated the denitrification process and increased soil N2O emissions by 140.4%. These findings provide valuable insights into the mechanistic underpinnings of nitrogen processes and the microbial regulation of soil N2O emissions. Full article
Show Figures

Figure 1

24 pages, 12540 KB  
Article
Spatial Analysis of Seasonal and Trend Patterns in Romanian Agritourism Arrivals Using Seasonal-Trend Decomposition Using LOESS
by Marius-Ionuț Gordan, Cosmin Alin Popescu, Jenica Călina, Tabita Cornelia Adamov, Camelia Maria Mănescu and Tiberiu Iancu
Agriculture 2024, 14(2), 229; https://doi.org/10.3390/agriculture14020229 - 31 Jan 2024
Cited by 10 | Viewed by 3377
Abstract
Seasonal variations in the tourism industry consist of alternating patterns of overuse and underuse of touristic potential and resources, which correspond to overexertion in the peak periods and to reduced income levels in the trough periods. We analyze both trend and seasonal components [...] Read more.
Seasonal variations in the tourism industry consist of alternating patterns of overuse and underuse of touristic potential and resources, which correspond to overexertion in the peak periods and to reduced income levels in the trough periods. We analyze both trend and seasonal components for agritouristic boarding houses, conventional boarding houses, hotels, and overall arrivals in 41 Romanian counties by using the Season-Trend decomposition using the LOESS method previously used in forecasting. Our findings suggest that there is a moderate positive relation between trend and seasonality in agritouristic boarding houses, a situation that is not shared with other types of accommodation units studied. While at a country-wide level the seasonal character of agritourism is not significantly different from other types of accommodations studied, in some counties located in south-east Romania, the seasonality exhibited by agritourism is significantly lower. Agritourism seasonal patterns exhibit spatial correlation features, indicating that underlying natural and anthropic causes exert more influence than in the case of other types of accommodations. These findings may be used to shape public policy and entrepreneur behavior in agritourism and rural tourism, domains where farm income diversification is instrumental to surviving events such as crop failures, price changes, and consumer behavior. Full article
(This article belongs to the Special Issue Advances in Sustainable Agritourism Development)
Show Figures

Figure 1

30 pages, 10950 KB  
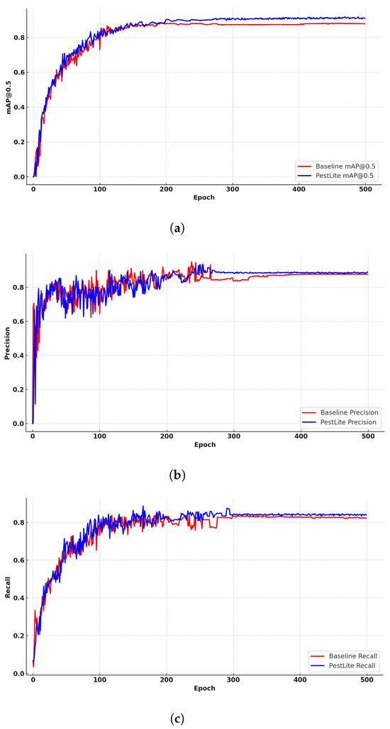
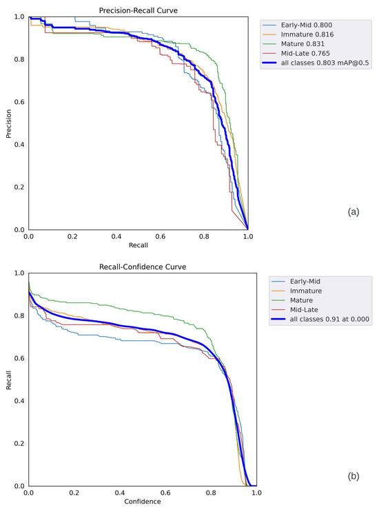
Article
PestLite: A Novel YOLO-Based Deep Learning Technique for Crop Pest Detection
by Qing Dong, Lina Sun, Tianxin Han, Minqi Cai and Ce Gao
Agriculture 2024, 14(2), 228; https://doi.org/10.3390/agriculture14020228 - 31 Jan 2024
Cited by 54 | Viewed by 6686
Abstract
Timely and effective pest detection is essential for agricultural production, facing challenges such as complex backgrounds and a vast number of parameters. Seeking solutions has become a pressing matter. This paper, based on the YOLOv5 algorithm, developed the PestLite model. The model surpasses [...] Read more.
Timely and effective pest detection is essential for agricultural production, facing challenges such as complex backgrounds and a vast number of parameters. Seeking solutions has become a pressing matter. This paper, based on the YOLOv5 algorithm, developed the PestLite model. The model surpasses previous spatial pooling methods with our uniquely designed Multi-Level Spatial Pyramid Pooling (MTSPPF). Using a lightweight unit, it integrates convolution, normalization, and activation operations. It excels in capturing multi-scale features, ensuring rich extraction of key information at various scales. Notably, MTSPPF not only enhances detection accuracy but also reduces the parameter size, making it ideal for lightweight pest detection models. Additionally, we introduced the Involution and Efficient Channel Attention (ECA) attention mechanisms to enhance contextual understanding. We also replaced traditional upsampling with Content-Aware ReAssembly of FEatures (CARAFE), which enable the model to achieve higher mean average precision in detection. Testing on a pest dataset showed improved accuracy while reducing parameter size. The mAP50 increased from 87.9% to 90.7%, and the parameter count decreased from 7.03 M to 6.09 M. We further validated the PestLite model using the IP102 dataset, and on the other hand, we conducted comparisons with mainstream models. Furthermore, we visualized the detection targets. The results indicate that the PestLite model provides an effective solution for real-time target detection in agricultural pests. Full article
(This article belongs to the Section Artificial Intelligence and Digital Agriculture)
Show Figures

Figure 1

21 pages, 587 KB  
Article
The Impact and Mechanism of Digital Villages on Agricultural Resilience in Ecologically Fragile Ethnic Areas: Evidence from China’s Provinces
by Xin Zhao and Rong Zhao
Agriculture 2024, 14(2), 221; https://doi.org/10.3390/agriculture14020221 - 30 Jan 2024
Cited by 13 | Viewed by 3067
Abstract
Ecologically fragile ethnic areas constitute pivotal regions for rural revitalization and the construction of the Beautiful China initiative. The establishment of digital villages is of great significance for enhancing agricultural resilience and achieving common prosperity. Utilizing panel data from ecologically fragile ethnic areas [...] Read more.
Ecologically fragile ethnic areas constitute pivotal regions for rural revitalization and the construction of the Beautiful China initiative. The establishment of digital villages is of great significance for enhancing agricultural resilience and achieving common prosperity. Utilizing panel data from ecologically fragile ethnic areas between 2010 and 2020, this study employs a projection pursuit model to calculate scores for digital village levels and agricultural resilience. Building on this, our research employs instrumental variable methods and a mediation effect model to analyze the impact and mechanisms of digital village level on agricultural resilience in ecologically fragile ethnic areas, and heterogeneity analysis is conducted. The findings reveal that digital village level and agricultural resilience scores in ecologically fragile ethnic areas show a trend of initial increase followed by a decrease, exhibiting significant overall fluctuations and unstable growth. The promotion of digital village areas on agricultural resilience is evident, and this conclusion holds even after a series of tests including instrumental variables. Elevating the digital village level can narrow the urban–rural income gap and enhance agricultural resilience. There is significant regional heterogeneity in the impact of digital village levels on local agricultural resilience in ecologically fragile ethnic areas, with digital village development exerting a more pronounced and powerful driving force in areas with lower agricultural resilience. Therefore, leveraging the leadership of advantaged provinces, intensifying investment in digital village infrastructure, and implementing targeted strategies based on the disparities in digital village level and agricultural resilience across areas become imperative. Full article
(This article belongs to the Section Agricultural Economics, Policies and Rural Management)
Show Figures

Figure 1

25 pages, 1433 KB  
Article
Impact Effects of Cooperative Participation on the Adoption Behavior of Green Production Technologies by Cotton Farmers and the Driving Mechanisms
by Chengmin Li, Haoyu Deng, Guoxin Yu, Rong Kong and Jian Liu
Agriculture 2024, 14(2), 213; https://doi.org/10.3390/agriculture14020213 - 28 Jan 2024
Cited by 11 | Viewed by 2934
Abstract
Nudging the adoption of agricultural green production technologies (AGPTs) by cotton farmers is a practical need to implement the national “green development” strategy. Based on the micro-survey data of 502 cotton farmers, this paper empirically analyzed the influence and driving mechanism of cotton [...] Read more.
Nudging the adoption of agricultural green production technologies (AGPTs) by cotton farmers is a practical need to implement the national “green development” strategy. Based on the micro-survey data of 502 cotton farmers, this paper empirically analyzed the influence and driving mechanism of cotton farmers’ participation in cooperatives on their adoption of green production technology from the perspective of their inner cognition and external regulation by using the propensity score matching (PSM) model and the intermediary effect model. The study found that (1) the importance of agricultural green production technology to cotton farmers was in the order of soil testing and formula fertilization technology, green prevention and control technology, deep tillage technology, water-saving irrigation technology, new variety technology, and straw-returning technology. (2) Participation in cooperatives can significantly improve the adoption of agricultural green production technologies by cotton farmers, with an increase of about 27.16%, and the improvement effect on technology-intensive production links is pronounced. (3) By improving the inner cognition and external regulation of cotton farmers, cooperatives can enhance the green endogenous power of cotton farmers, improve environmental external constraints, and become an intermediary path to guide cotton farmers to adopt agricultural green production technology. Full article
(This article belongs to the Section Agricultural Economics, Policies and Rural Management)
Show Figures

Figure 1

42 pages, 15702 KB  
Review
A Comprehensive Overview of Control Algorithms, Sensors, Actuators, and Communication Tools of Autonomous All-Terrain Vehicles in Agriculture
by Hamed Etezadi and Sulaymon Eshkabilov
Agriculture 2024, 14(2), 163; https://doi.org/10.3390/agriculture14020163 - 23 Jan 2024
Cited by 37 | Viewed by 10720
Abstract
This review paper discusses the development trends of agricultural autonomous all-terrain vehicles (AATVs) from four cornerstones, such as (1) control strategy and algorithms, (2) sensors, (3) data communication tools and systems, and (4) controllers and actuators, based on 221 papers published in peer-reviewed [...] Read more.
This review paper discusses the development trends of agricultural autonomous all-terrain vehicles (AATVs) from four cornerstones, such as (1) control strategy and algorithms, (2) sensors, (3) data communication tools and systems, and (4) controllers and actuators, based on 221 papers published in peer-reviewed journals for 1960–2023. The paper highlights a comparative analysis of commonly employed control methods and algorithms by highlighting their advantages and disadvantages. It gives comparative analyses of sensors, data communication tools, actuators, and hardware-embedded controllers. In recent years, many novel developments in AATVs have been made due to advancements in wireless and remote communication, high-speed data processors, sensors, computer vision, and broader applications of AI tools. Technical advancements in fully autonomous control of AATVs remain limited, requiring research into accurate estimation of terrain mechanics, identifying uncertainties, and making fast and accurate decisions, as well as utilizing wireless communication and edge cloud computing. Furthermore, most of the developments are at the research level and have many practical limitations due to terrain and weather conditions. Full article
(This article belongs to the Special Issue Application of Mechatronics in Agriculture)
Show Figures

Figure 1

23 pages, 1605 KB  
Review
Beneficial Soil Microbiomes and Their Potential Role in Plant Growth and Soil Fertility
by Éva-Boglárka Vincze, Annamária Becze, Éva Laslo and Gyöngyvér Mara
Agriculture 2024, 14(1), 152; https://doi.org/10.3390/agriculture14010152 - 20 Jan 2024
Cited by 46 | Viewed by 17087
Abstract
The soil microbiome plays an important role in maintaining soil health, plant productivity, and soil ecosystem services. Current molecular-based studies have shed light on the fact that the soil microbiome has been quantitatively underestimated. In addition to metagenomic studies, metaproteomics and metatranscriptomic studies [...] Read more.
The soil microbiome plays an important role in maintaining soil health, plant productivity, and soil ecosystem services. Current molecular-based studies have shed light on the fact that the soil microbiome has been quantitatively underestimated. In addition to metagenomic studies, metaproteomics and metatranscriptomic studies that target the functional part of the microbiome are becoming more common. These are important for a better understanding of the functional role of the microbiome and for deciphering plant-microbe interactions. Free-living beneficial bacteria that promote plant growth by colonizing plant roots are called plant growth-promoting rhizobacteria (PGPRs). They exert their beneficial effects in different ways, either by facilitating the uptake of nutrients and synthesizing particular compounds for plants or by preventing and protecting plants from diseases. A better understanding of plant-microbe interactions in both natural and agroecosystems will offer us a biotechnological tool for managing soil fertility and obtaining a high-yield food production system. Full article
(This article belongs to the Section Agricultural Soils)
Show Figures

Graphical abstract

20 pages, 5753 KB  
Article
A Dual-Branch Model Integrating CNN and Swin Transformer for Efficient Apple Leaf Disease Classification
by Haiping Si, Mingchun Li, Weixia Li, Guipei Zhang, Ming Wang, Feitao Li and Yanling Li
Agriculture 2024, 14(1), 142; https://doi.org/10.3390/agriculture14010142 - 18 Jan 2024
Cited by 23 | Viewed by 4056
Abstract
Apples, as the fourth-largest globally produced fruit, play a crucial role in modern agriculture. However, accurately identifying apple diseases remains a significant challenge as failure in this regard leads to economic losses and poses threats to food safety. With the rapid development of [...] Read more.
Apples, as the fourth-largest globally produced fruit, play a crucial role in modern agriculture. However, accurately identifying apple diseases remains a significant challenge as failure in this regard leads to economic losses and poses threats to food safety. With the rapid development of artificial intelligence, advanced deep learning methods such as convolutional neural networks (CNNs) and Transformer-based technologies have made notable achievements in the agricultural field. In this study, we propose a dual-branch model named DBCoST, integrating CNN and Swin Transformer. CNNs focus on extracting local information, while Transformers are known for their ability to capture global information. The model aims to fully leverage the advantages of both in extracting local and global information. Additionally, we introduce the feature fusion module (FFM), which comprises a residual module and an enhanced Squeeze-and-Excitation (SE) attention mechanism, for more effective fusion and retention of both local and global information. In the natural environment, there are various sources of noise, such as the overlapping of apple branches and leaves, as well as the presence of fruits, which increase the complexity of accurately identifying diseases on apple leaves. This unique challenge provides a robust experimental foundation for validating the performance of our model. We comprehensively evaluate our model by conducting comparative experiments with other classification models under identical conditions. The experimental results demonstrate that our model outperforms other models across various metrics, including accuracy, recall, precision, and F1 score, achieving values of 97.32%, 97.33%, 97.40%, and 97.36%, respectively. Furthermore, detailed comparisons of our model’s accuracy across different diseases reveal accuracy rates exceeding 96% for each disease. In summary, our model performs better overall, achieving balanced accuracy across different apple leaf diseases. Full article
(This article belongs to the Section Crop Protection, Diseases, Pests and Weeds)
Show Figures

Figure 1

20 pages, 2868 KB  
Article
Light-YOLO: A Lightweight and Efficient YOLO-Based Deep Learning Model for Mango Detection
by Zhengyang Zhong, Lijun Yun, Feiyan Cheng, Zaiqing Chen and Chunjie Zhang
Agriculture 2024, 14(1), 140; https://doi.org/10.3390/agriculture14010140 - 18 Jan 2024
Cited by 19 | Viewed by 4996
Abstract
This paper proposes a lightweight and efficient mango detection model named Light-YOLO based on the Darknet53 structure, aiming to rapidly and accurately detect mango fruits in natural environments, effectively mitigating instances of false or missed detection. We incorporate the bidirectional connection module and [...] Read more.
This paper proposes a lightweight and efficient mango detection model named Light-YOLO based on the Darknet53 structure, aiming to rapidly and accurately detect mango fruits in natural environments, effectively mitigating instances of false or missed detection. We incorporate the bidirectional connection module and skip connection module into the Darknet53 structure and compressed the number of channels of the neck, which minimizes the number of parameters and FLOPs. Moreover, we integrate structural heavy parameter technology into C2f, redesign the Bottleneck based on the principles of the residual structure, and introduce an EMA attention mechanism to amplify the network’s emphasis on pivotal features. Lastly, the Downsampling Block within the backbone network is modified, transitioning it from the CBS Block to a Multi-branch–Large-Kernel Downsampling Block. This modification aims to enhance the network’s receptive field, thereby further improving its detection performance. Based on the experimental results, it achieves a noteworthy mAP of 64.0% and an impressive mAP0.5 of 96.1% on the ACFR Mango dataset with parameters and FLOPs at only 1.96 M and 3.65 G. In comparison to advanced target detection models like YOLOv5, YOLOv6, YOLOv7, and YOLOv8, it achieves improved detection outcomes while utilizing fewer parameters and FLOPs. Full article
(This article belongs to the Section Artificial Intelligence and Digital Agriculture)
Show Figures

Figure 1

19 pages, 1874 KB  
Article
End of the Cage Age? A Study on the Impacts of the Transition from Cages on the EU Laying Hen Sector
by Edward Majewski, Norbert Potori, Piotr Sulewski, Adam Wąs, Martyna Mórawska, Monika Gębska, Agata Malak-Rawlikowska, Anna Grontkowska, Viktor Szili and Adél Erdős
Agriculture 2024, 14(1), 111; https://doi.org/10.3390/agriculture14010111 - 10 Jan 2024
Cited by 14 | Viewed by 7837
Abstract
This paper’s main objective is to assess the impacts of the ban on cages for housing laying hens, planned by the European Commission to raise animal welfare standards beyond the level set in the current legislation. The farm-level economic assessments of the ban [...] Read more.
This paper’s main objective is to assess the impacts of the ban on cages for housing laying hens, planned by the European Commission to raise animal welfare standards beyond the level set in the current legislation. The farm-level economic assessments of the ban were carried out in three stages: farm surveys and expert consultations, farm-level analyses, and aggregation to the EU-27 egg production sector. Four scenarios were constructed. All financial estimates were conducted with fixed prices from the year 2021 for which the reference scenario was built. Alternative hen-housing systems were barn (Voliera), free range, and organic. Until now, more than 50% of laying hens in the EU have already been transferred to alternative systems. The remaining part is subject to the transition. The basic assumptions included a reduction in yields due to the required lower densities and specifics of the production systems. A factor strongly differentiating the scenarios is likelihood of exists form the sector, as declared in the survey by many farmers, mainly those reaching retirement age without successors and keeping relatively small flocks of hens. The introduction of the ban will cause a decrease in egg production, varying between the scenarios. Substantial investments will be required within the range of 2–3.2 billion EUR, depending on the scenario. Full article
(This article belongs to the Special Issue Sustainable Agri-Food System: Marketing, Economics and Policies)
Show Figures

Figure 1

15 pages, 2808 KB  
Article
AG-YOLO: A Rapid Citrus Fruit Detection Algorithm with Global Context Fusion
by Yishen Lin, Zifan Huang, Yun Liang, Yunfan Liu and Weipeng Jiang
Agriculture 2024, 14(1), 114; https://doi.org/10.3390/agriculture14010114 - 10 Jan 2024
Cited by 41 | Viewed by 5344
Abstract
Citrus fruits hold pivotal positions within the agricultural sector. Accurate yield estimation for citrus fruits is crucial in orchard management, especially when facing challenges of fruit occlusion due to dense foliage or overlapping fruits. This study addresses the issues of low detection accuracy [...] Read more.
Citrus fruits hold pivotal positions within the agricultural sector. Accurate yield estimation for citrus fruits is crucial in orchard management, especially when facing challenges of fruit occlusion due to dense foliage or overlapping fruits. This study addresses the issues of low detection accuracy and the significant instances of missed detections in citrus fruit detection algorithms, particularly in scenarios of occlusion. It introduces AG-YOLO, an attention-based network designed to fuse contextual information. Leveraging NextViT as its primary architecture, AG-YOLO harnesses its ability to capture holistic contextual information within nearby scenes. Additionally, it introduces a Global Context Fusion Module (GCFM), facilitating the interaction and fusion of local and global features through self-attention mechanisms, significantly improving the model’s occluded target detection capabilities. An independent dataset comprising over 8000 outdoor images was collected for the purpose of evaluating AG-YOLO’s performance. After a meticulous selection process, a subset of 957 images meeting the criteria for occlusion scenarios of citrus fruits was obtained. This dataset includes instances of occlusion, severe occlusion, overlap, and severe overlap, covering a range of complex scenarios. AG-YOLO demonstrated exceptional performance on this dataset, achieving a precision (P) of 90.6%, a mean average precision (mAP)@50 of 83.2%, and an mAP@50:95 of 60.3%. These metrics surpass existing mainstream object detection methods, confirming AG-YOLO’s efficacy. AG-YOLO effectively addresses the challenge of occlusion detection, achieving a speed of 34.22 frames per second (FPS) while maintaining a high level of detection accuracy. This speed of 34.22 FPS showcases a relatively faster performance, particularly evident in handling the complexities posed by occlusion challenges, while maintaining a commendable balance between speed and accuracy. AG-YOLO, compared to existing models, demonstrates advantages in high localization accuracy, minimal missed detection rates, and swift detection speed, particularly evident in effectively addressing the challenges posed by severe occlusions in object detection. This highlights its role as an efficient and reliable solution for handling severe occlusions in the field of object detection. Full article
Show Figures

Figure 1

20 pages, 6393 KB  
Article
Design and Experiment of Adaptive Profiling Header Based on Multi-Body Dynamics–Discrete Element Method Coupling
by Weijian Liu, Shan Zeng and Xuegeng Chen
Agriculture 2024, 14(1), 105; https://doi.org/10.3390/agriculture14010105 - 8 Jan 2024
Cited by 22 | Viewed by 2245
Abstract
To promote the germination of rice panicles during the regeneration season, it is necessary to ensure a stubble height of 300–450 mm when mechanically harvesting the first-season rice. However, due to variations in the depth of the paddy soil and fluctuations in the [...] Read more.
To promote the germination of rice panicles during the regeneration season, it is necessary to ensure a stubble height of 300–450 mm when mechanically harvesting the first-season rice. However, due to variations in the depth of the paddy soil and fluctuations in the height of the header during harvesting, maintaining the desired stubble height becomes challenging, resulting in a significant impact on the yield during the regeneration season. This study presents the design of an adaptive profiling header capable of adjusting the height and level of the header adaptively. Based on the theoretical analysis of the profiling mechanism, a quadratic regression orthogonal rotation combination experiment is designed. Considering the actual field conditions, the range of each factor is determined, and simulation experiments are conducted based on the MBD-DEM coupling to establish a mathematical regression model between each factor and indicator. In the case of the profiling wheel linkage length of 562 mm, profiling wheel width of 20 mm, and profiling wheel mass of 3.6 kg, the supporting force of the header on the profiling wheel would be greater than zero, the supporting force of soil on the profiling wheel and the depth of soil subsidence represent the smallest values, and the highest sensitivity and accuracy of the profiling wheel are achieved. Bench tests demonstrated that the header exerts a force on the profiling wheel, confirming the normal functioning of the profiling. The average magnitudes of forces exerted by the soil on the profiling wheel are obtained to be 31.98 N, 31.63 N, and 30.86 N, whereas the corresponding average soil subsidence depths are obtained as 3.4 mm, 5.6 mm, and 8.3 mm, aligning closely with the simulation values. The results indicate that the profiling mechanism achieves high accuracy in ground profiling and that the structural design is reasonable. By employing fuzzy PID control to adjust the height of the header, the average error in adjustment is obtained as 6.75 mm, while the average error in the horizontal adjustment is derived as 0.64°. The header adjustment is fast, offering high positioning accuracy, thereby meeting the harvesting requirements of the first season of ratooning rice. Full article
Show Figures

Figure 1

15 pages, 2030 KB  
Review
The Importance of Lentils: An Overview
by Vicente Montejano-Ramírez and Eduardo Valencia-Cantero
Agriculture 2024, 14(1), 103; https://doi.org/10.3390/agriculture14010103 - 7 Jan 2024
Cited by 20 | Viewed by 10946
Abstract
The legume family includes approximately 19,300 species across three large subfamilies, of which Papilionoideae stands out with 13,800 species. Lentils were one of the first crops to be domesticated by humans, approximately 11,000 BP. They are diploid legumes that belong to the Papilionoidea [...] Read more.
The legume family includes approximately 19,300 species across three large subfamilies, of which Papilionoideae stands out with 13,800 species. Lentils were one of the first crops to be domesticated by humans, approximately 11,000 BP. They are diploid legumes that belong to the Papilionoidea subfamily and are of agricultural importance because of their resistance to drought and the fact that they grow in soil with a pH range of 5.5–9; therefore, they are cultivated in various types of soil, and so they have an important role in sustainable food and feed systems in many countries. In addition to their agricultural importance, lentils are a rich source of protein, carbohydrates, fiber, vitamins, and minerals. They are key to human nutrition since they are an alternative to animal proteins, decreasing meat consumption. Another characteristic of legumes, including lentils, is their ability to form nodules, which gives them a growth advantage in nitrogen-deficient soils because they enable the plant to fix atmospheric nitrogen, thus contributing nitrogen to the soil and facilitating the nutrition of other plants during intercropping. Lentils have also been applied for protection against various human diseases, as well as for phytoremediation, and they also have been applied as environmental bioindicators to identify cytotoxicity. This review addresses the importance of lentils in agriculture and human health. Full article
(This article belongs to the Special Issue Agrobiodiversity of Mediterranean Crops)
Show Figures

Figure 1

17 pages, 848 KB  
Article
Impact of Agricultural Cooperatives on Farmers’ Collective Action: A Study Based on the Socio-Ecological System Framework
by Xiaoyan Zhu and Guangyao Wang
Agriculture 2024, 14(1), 96; https://doi.org/10.3390/agriculture14010096 - 4 Jan 2024
Cited by 21 | Viewed by 11500
Abstract
Agricultural cooperatives greatly influence agricultural and rural modernization in China. Based on 381 farmer samples in the arid Tarim River Basin, this empirical study aimed to construct an index system for the exploration of the relationship between cooperatives and farmers’ collective action by [...] Read more.
Agricultural cooperatives greatly influence agricultural and rural modernization in China. Based on 381 farmer samples in the arid Tarim River Basin, this empirical study aimed to construct an index system for the exploration of the relationship between cooperatives and farmers’ collective action by using the Socio-Ecological System framework. The results showed that agricultural cooperatives helped to empower farmers to act collectively. Agricultural cooperatives, with the mechanisms of collective decision making, institutional constraints, and internal supervision, could realize the integration of resources required for farmers’ collective action and promote the sharing of risks and benefits. By providing financing support and a platform for resource integration, cooperatives could reduce constrains induced by economic difference among farmers; enhance village leadership, organization, and coordination; and promote the accumulation of social capital and villagers’ sense of identity with the village. Particularly, cooperatives could support farmers to adopt water-saving irrigation technologies and reduce their over-dependence on chemical pesticides and fertilizers, thus promoting farmers’ collective action. Therefore, the development of agricultural cooperatives will help enhance farmers’ collective action, promote the modernization of rural governance, and realize rural revitalization. Full article
(This article belongs to the Special Issue Agricultural Policies toward Sustainable Farm Development)
Show Figures

Figure 1

26 pages, 2151 KB  
Review
The Path to Smart Farming: Innovations and Opportunities in Precision Agriculture
by E. M. B. M. Karunathilake, Anh Tuan Le, Seong Heo, Yong Suk Chung and Sheikh Mansoor
Agriculture 2023, 13(8), 1593; https://doi.org/10.3390/agriculture13081593 - 11 Aug 2023
Cited by 486 | Viewed by 98702
Abstract
Precision agriculture employs cutting-edge technologies to increase agricultural productivity while reducing adverse impacts on the environment. Precision agriculture is a farming approach that uses advanced technology and data analysis to maximize crop yields, cut waste, and increase productivity. It is a potential strategy [...] Read more.
Precision agriculture employs cutting-edge technologies to increase agricultural productivity while reducing adverse impacts on the environment. Precision agriculture is a farming approach that uses advanced technology and data analysis to maximize crop yields, cut waste, and increase productivity. It is a potential strategy for tackling some of the major issues confronting contemporary agriculture, such as feeding a growing world population while reducing environmental effects. This review article examines some of the latest recent advances in precision agriculture, including the Internet of Things (IoT) and how to make use of big data. This review article aims to provide an overview of the recent innovations, challenges, and future prospects of precision agriculture and smart farming. It presents an analysis of the current state of precision agriculture, including the most recent innovations in technology, such as drones, sensors, and machine learning. The article also discusses some of the main challenges faced by precision agriculture, including data management, technology adoption, and cost-effectiveness. Full article
Show Figures

Figure 1

22 pages, 6735 KB  
Article
Tea Tree Pest Detection Algorithm Based on Improved Yolov7-Tiny
by Zijia Yang, Hailin Feng, Yaoping Ruan and Xiang Weng
Agriculture 2023, 13(5), 1031; https://doi.org/10.3390/agriculture13051031 - 9 May 2023
Cited by 68 | Viewed by 7158
Abstract
Timely and accurate identification of tea tree pests is critical for effective tea tree pest control. We collected image data sets of eight common tea tree pests to accurately represent the true appearance of various aspects of tea tree pests. The dataset contains [...] Read more.
Timely and accurate identification of tea tree pests is critical for effective tea tree pest control. We collected image data sets of eight common tea tree pests to accurately represent the true appearance of various aspects of tea tree pests. The dataset contains 782 images, each containing 1~5 different pest species randomly distributed. Based on this dataset, a tea garden pest detection and recognition model was designed using the Yolov7-tiny network target detection algorithm, which incorporates deformable convolution, the Biformer dynamic attention mechanism, a non-maximal suppression algorithm module, and a new implicit decoupling head. Ablation experiments were conducted to compare the performance of the models, and the new model achieved an average accuracy of 93.23%. To ensure the validity of the model, it was compared to seven common detection models, including Efficientdet, Faster Rcnn, Retinanet, DetNet, Yolov5s, YoloR, and Yolov6. Additionally, feature visualization of the images was performed. The results demonstrated that the Improved Yolov7-tiny model developed was able to better capture the characteristics of tea tree pests. The pest detection model proposed has promising application prospects and has the potential to reduce the time and economic cost of pest control in tea plantations. Full article
(This article belongs to the Section Artificial Intelligence and Digital Agriculture)
Show Figures

Figure 1

18 pages, 1172 KB  
Review
Recent Developments in Rice Molecular Breeding for Tolerance to Heavy Metal Toxicity
by Zulqarnain Haider, Irshan Ahmad, Samta Zia and Yinbo Gan
Agriculture 2023, 13(5), 944; https://doi.org/10.3390/agriculture13050944 - 25 Apr 2023
Cited by 22 | Viewed by 7012
Abstract
Heavy metal toxicity generally refers to the negative impact on the environment, humans, and other living organisms caused by exposure to heavy metals (HMs). Heavy metal poisoning is the accumulation of HMs in the soft tissues of organisms in a toxic amount. HMs [...] Read more.
Heavy metal toxicity generally refers to the negative impact on the environment, humans, and other living organisms caused by exposure to heavy metals (HMs). Heavy metal poisoning is the accumulation of HMs in the soft tissues of organisms in a toxic amount. HMs bind to certain cells and prevent organs from functioning. Symptoms of HM poisoning can be life-threatening and not only cause irreversible damage to humans and other organisms; but also significantly reduce agricultural yield. Symptoms and physical examination findings associated with HM poisoning vary depending on the metal accumulated. Many HMs, such as zinc, copper, chromium, iron, and manganese, are present at extremely low levels but are essential for the functioning of plants. However, if these metals accumulate in the plants in sufficient concentrations to cause poisoning, serious damage can occur. Rice is consumed around the world as a staple food and incidents of HM pollution often occur in rice-growing areas. In many rice-producing countries, cadmium (Cd), arsenic (As), and lead (Pb) have been recognized as commonly widespread HMs contaminating rice fields worldwide. In addition to mining and irrigation activities, the use of fertilizers and pesticides has also contributed significantly to HM contamination of rice-growing soils around the world. A number of QTLs associated with HM stress signals from various intermediary molecules have been reported to activate various transcription factors (TFs). Some antioxidant enzymes have been studied which contribute to the scavenging of reactive oxygen species, ultimately leading to stress tolerance in rice. Genome engineering and advanced editing techniques have been successfully applied to rice to improve metal tolerance and reduce HM accumulation in grains. In this review article, recent developments and progress in the molecular science for the induction of HM stress tolerance, including reduced metal uptake, compartmentalized transportation, gene-regulated signaling, and reduced accumulation or diversion of HM particles to plant parts other than grains, are discussed in detail, with particular emphasis on rice. Full article
(This article belongs to the Special Issue Challenges and Side Effects of Heavy Metals in Agriculture)
Show Figures

Figure 1

14 pages, 2635 KB  
Article
Effects of Variety and Pulsed Electric Field on the Quality of Fresh-Cut Apples
by Zhihua Li, Hanli Yang, Wenbing Fang, Xiaowei Huang, Jiyong Shi and Xiaobo Zou
Agriculture 2023, 13(5), 929; https://doi.org/10.3390/agriculture13050929 - 24 Apr 2023
Cited by 22 | Viewed by 3600
Abstract
The suitability of five apple varieties (Ralls, Qinguan, Fuji, Delicious, and Cattle) for fresh-cut processing was compared based on the evaluation of weight loss, firmness, color, titratable acid (TA), polyphenoloxidase (PPO) activity and peroxidase (POD) activity, and the impact of pulsed electronic field [...] Read more.
The suitability of five apple varieties (Ralls, Qinguan, Fuji, Delicious, and Cattle) for fresh-cut processing was compared based on the evaluation of weight loss, firmness, color, titratable acid (TA), polyphenoloxidase (PPO) activity and peroxidase (POD) activity, and the impact of pulsed electronic field (PEF) on fresh-cut apples’ quality was explored. The results showed that the changes to Delicious apples in terms of the color parameter, firmness, and weight loss were comparable to or lower than the other samples, while the TA content was higher than the other samples during storage. Therefore, Delicious was selected for the study of the effects of PEF on fresh-cut apples. By measuring the physicochemical properties and microbiological characteristics within 10 days of storage, it was found that the PPO and POD activity of apples treated with PEF at 3 kV/cm on the 10th day decreased the most, with 44.61% and 36.48% decreases, respectively. In addition, apples treated with 5 kV/cm showed the greatest decrease in malondialdehyde (MDA) content and the number of microorganisms, 63.98%, and 9.17%, respectively. In general, the PEF-treated apples retained a high level of quality. These results suggested that PEF treatment is a promising technology for extending the storage period of fresh-cut apples. Full article
Show Figures

Figure 1

14 pages, 1865 KB  
Article
Organic Nitrogen Fertilizer Selection Influences Water Use Efficiency in Drip-Irrigated Sweet Corn
by Arina Sukor, Yaling Qian and Jessica G. Davis
Agriculture 2023, 13(5), 923; https://doi.org/10.3390/agriculture13050923 - 22 Apr 2023
Cited by 7 | Viewed by 3642
Abstract
Organic farmers often rely on off-farm nitrogen (N) sources for mid-season N. Farmers can also produce cyano-fertilizer on-farm by growing N-fixing cyanobacteria (Anabaena spp.) in raceways and applying the cyanobacteria through irrigation systems. A two-year field study was conducted, and blood meal, [...] Read more.
Organic farmers often rely on off-farm nitrogen (N) sources for mid-season N. Farmers can also produce cyano-fertilizer on-farm by growing N-fixing cyanobacteria (Anabaena spp.) in raceways and applying the cyanobacteria through irrigation systems. A two-year field study was conducted, and blood meal, feather meal, fish emulsion, and cyano-fertilizer were evaluated to determine whether the water use efficiency (WUE) of sweet corn (Zea mays) was affected by fertilizer type. Fish emulsion and cyano-fertilizer were supplied in four split applications through drip irrigation, while the blood meal and feather meal were subsurface banded pre-plant. Leaf gas exchange measurements were taken during tasseling. The amounts of phytohormone and Fe applied in organic N fertilizers were correlated with field water use efficiency (fWUE), instantaneous water use efficiency (iWUE), and leaf gas exchange components of sweet corn. A positive relationship was observed between the amount of salicylic acid (SA) applied with both iWUE (r = 0.71, p < 0.05) and fWUE (r = 0.68, p < 0.01). The amount of Fe applied was positively correlated with the leaf vapor pressure deficit (r = 0.54, p < 0.01) and transpiration rate (r = 0.53, p < 0.01). Cyano-fertilizer had the highest yield and WUE, likely due to the high amount of SA applied, although fish emulsion was comparable in year one. These relationships require further exploration to elucidate the mechanisms impacting WUE. Full article
Show Figures

Figure 1

19 pages, 363 KB  
Article
The Effect of Mycorrhiza Fungi and Various Mineral Fertilizer Levels on the Growth, Yield, and Nutritional Value of Sweet Pepper (Capsicum annuum L.)
by Jolanta Franczuk, Michał Tartanus, Robert Rosa, Anna Zaniewicz-Bajkowska, Henryk Dębski, Alena Andrejiová and Andrii Dydiv
Agriculture 2023, 13(4), 857; https://doi.org/10.3390/agriculture13040857 - 12 Apr 2023
Cited by 19 | Viewed by 5846
Abstract
Mycorrhizal fungi can increase the effectiveness of a mineral fertilizer top dressing, positively affecting sweet pepper yield and quality. For this reason, an experiment was carried out between 2014 and 2016 to study the effect of top dressing doses and the inoculation of [...] Read more.
Mycorrhizal fungi can increase the effectiveness of a mineral fertilizer top dressing, positively affecting sweet pepper yield and quality. For this reason, an experiment was carried out between 2014 and 2016 to study the effect of top dressing doses and the inoculation of the root system with mycorrhizal fungi on the growth and yield of sweet pepper and the content of nutrients and macro- and microelements in the fruits. Root inoculation with Arbuscular Mycorrhizal Fungi (AMF) and mineral fertilizer doses were used as experimental factors with the following combinations: (1) mycorrhization: control (without AMF); AMF applied to the plant root zone during seedling production; AMF applied to the plant root zone after seedlings were transferred to pots; (2) top dressing doses: basic dose (100%); 50% of the basic dose; 25% of the basic dose. The sweet pepper fruits were harvested during physiological maturity. AMF inoculation of the root zone resulted in high sweet pepper yields of good quality. In particular, mycorrhizal fungi applied to the root system during seedling production positively affected the pepper yield and biometric characteristics, with fruits of the thickest pericarp and the largest mass. In the experimental units with AMF, the reduction in the top dressing fertilizer dose by 50% and 75% did not cause a statistically significant decrease in the yield of peppers and did not result in a deterioration of the biometric characteristics of the plants and fruits or a reduction in the biological value of the fruits. Despite the reduction in top dressing dose by 50% and 75%, AMF contributed to the accumulation of similar amounts of phosphorus in the sweet pepper fruits. The top dressing dose of 50% applied during seedling production to the experimental units with mycorrhizal fungi resulted in a significant increase in the content of potassium, calcium, and magnesium. A significant increase in the amount of sodium in the fruits was noted in the experimental units with mycorrhizal fungi applied to the roots when the seedlings were transferred to pots. To summarize, the application of mycorrhizal fungi to the pepper root zone during seedling production is recommended because it has a positive effect on the yield and its quality. In the unit with mycorrhiza, a lower dose of mineral fertilizers did not result in a significant decrease in the yield of pepper fruits. Full article
(This article belongs to the Special Issue Arbuscular Mycorrhiza and Its Influence on Crop Production)
18 pages, 5378 KB  
Article
Design and Experiment of an Underactuated Broccoli-Picking Manipulator
by Huimin Xu, Gaohong Yu, Chenyu Niu, Xiong Zhao, Yimiao Wang and Yijin Chen
Agriculture 2023, 13(4), 848; https://doi.org/10.3390/agriculture13040848 - 11 Apr 2023
Cited by 19 | Viewed by 3728
Abstract
Mature broccoli has large flower balls and thick stems. Therefore, manual broccoli picking is laborious and energy-consuming. However, the big spheroid vegetable-picking manipulator has a complex structure and poor enveloping effect and easily causes mechanical damage. Therefore, a broccoli flower ball-picking manipulator with [...] Read more.
Mature broccoli has large flower balls and thick stems. Therefore, manual broccoli picking is laborious and energy-consuming. However, the big spheroid vegetable-picking manipulator has a complex structure and poor enveloping effect and easily causes mechanical damage. Therefore, a broccoli flower ball-picking manipulator with a compact structure and simple control system was designed. The manipulator was smart in structure and stable in configuration when enveloped in flower balls. First, a physical damage test was carried out on broccoli according to the underactuated manipulator’s design scheme. The maximum surface pressure of the flower ball was 30 N, and the maximum cutting force of the stem was 35 N. Then, kinematic analysis was completed, and the statical model of the underactuated mechanism was established. The dimension of the underactuated mechanism for each connecting rod was determined based on the damage test results and design requirements. The sizes of each connecting rod were 50 cm, 90 cm, 50 cm, 90 cm, 50 cm, 60 cm, and 65 cm. The statical model calculated the required thrust of the underactuated mechanism as 598.66–702.88 N. Then, the manipulator was simulated to verify its reliability of the manipulator. Finally, the manipulator’s motion track, speed, and motor speed were determined in advance in the laboratory environment. One-hundred picking tests were carried out on mature broccoli with a 135–185 mm diameter. Results showed that the manipulator had an 84% success rate in picking and a 100% lossless rate. The fastest single harvest time in the test stand was 11.37 s when the speed of the robot arm was 3.4 m/s, and the speed of the stepper motor was 60 r/min. Full article
(This article belongs to the Special Issue 'Eyes', 'Brain', 'Feet' and 'Hands' of Efficient Harvesting Machinery)
Show Figures

Figure 1

11 pages, 313 KB  
Article
QTL×QTL×QTL Interaction Effects for Total Phenolic Content of Wheat Mapping Population of CSDH Lines under Drought Stress by Weighted Multiple Linear Regression
by Adrian Cyplik, Ilona Mieczysława Czyczyło-Mysza, Joanna Jankowicz-Cieslak and Jan Bocianowski
Agriculture 2023, 13(4), 850; https://doi.org/10.3390/agriculture13040850 - 11 Apr 2023
Cited by 6 | Viewed by 3367
Abstract
This paper proposes the use of weighted multiple linear regression to estimate the triple3interaction (additive×additive×additive) of quantitative trait loci (QTLs) effects. The use of unweighted regression yielded an improvement (in absolute value) in the QTL×QTL×QTL interaction effects compared to assessment based on phenotypes [...] Read more.
This paper proposes the use of weighted multiple linear regression to estimate the triple3interaction (additive×additive×additive) of quantitative trait loci (QTLs) effects. The use of unweighted regression yielded an improvement (in absolute value) in the QTL×QTL×QTL interaction effects compared to assessment based on phenotypes alone in three cases (severe drought in 2010, control in 2012 and severe drought in 2012). In contrast, weighted regression yielded an improvement (in absolute value) in the evaluation of the aaagw parameter compared to aaap in five cases, with the exception of severe drought in 2012. The results show that by using weighted regression on marker observations, the obtained estimates are closer to the ones obtained by the phenotypic method. The coefficients of determination for the weighted regression model were significantly higher than for the unweighted regression and ranged from 46.2% (control in 2010) to 95.0% (control in 2011). Considering this, it is clear that a three-way interaction had a significant effect on the expression of quantitative traits. Full article
(This article belongs to the Special Issue Cereal Genetics, Breeding and Wide Crossing)
11 pages, 1446 KB  
Article
Classification of Codling Moth-Infested Apples Using Sensor Data Fusion of Acoustic and Hyperspectral Features Coupled with Machine Learning
by Nader Ekramirad, Alfadhl Y. Khaled, Kevin D. Donohue, Raul T. Villanueva and Akinbode A. Adedeji
Agriculture 2023, 13(4), 839; https://doi.org/10.3390/agriculture13040839 - 8 Apr 2023
Cited by 7 | Viewed by 3110
Abstract
Codling moth (CM) is a major apple pest. Current manual method of detection is not very effective. The development of nondestructive monitoring and detection methods has the potential to reduce postharvest losses from CM infestation. Previous work from our group demonstrated the effectiveness [...] Read more.
Codling moth (CM) is a major apple pest. Current manual method of detection is not very effective. The development of nondestructive monitoring and detection methods has the potential to reduce postharvest losses from CM infestation. Previous work from our group demonstrated the effectiveness of hyperspectral imaging (HSI) and acoustic methods as suitable techniques for nondestructive CM infestation detection and classification in apples. However, both have limitations that can be addressed by the strengths of the other. For example, acoustic methods are incapable of detecting external CM symptoms but can determine internal pest activities and morphological damage, whereas HSI is only capable of detecting the changes and damage to apple surfaces and up to a few mm inward; it cannot detect live CM activity in apples. This study investigated the possibility of sensor data fusion from HSI and acoustic signals to improve the detection of CM infestation in apples. The time and frequency domain acoustic features were combined with the spectral features obtained from the HSI, and various classification models were applied. The results showed that sensor data fusion using selected combined features (mid-level) from the sensor data and three apple varieties gave a high classification rate in terms of performance and reduced the model complexity with an accuracy up to 94% using the AdaBoost classifier, when only six acoustic and six HSI features were applied. This result affirms that the sensor fusion technique can improve CM infestation detection in pome fruits such as apples. Full article
(This article belongs to the Section Agricultural Technology)
Show Figures

Figure 1

21 pages, 1374 KB  
Article
Effect of Cropping Systems and Environment on Phenolic Acid Profiles and Yielding of Hybrid Winter Wheat Genotypes
by Jan Buczek, Marta Jańczak-Pieniążek, Elżbieta Harasim, Cezary A. Kwiatkowski and Ireneusz Kapusta
Agriculture 2023, 13(4), 834; https://doi.org/10.3390/agriculture13040834 - 6 Apr 2023
Cited by 10 | Viewed by 2379
Abstract
Wheat is of significant economic importance due to its high yield potential and high nutritional value as well as the technological usefulness of the grain. Field experiments were carried out in the years 2015–2018 in southeastern Poland. A three-factor experiment was used to [...] Read more.
Wheat is of significant economic importance due to its high yield potential and high nutritional value as well as the technological usefulness of the grain. Field experiments were carried out in the years 2015–2018 in southeastern Poland. A three-factor experiment was used to study the influence of wheat cultivars (hybrid—cvs. Hybred and Hymack; common—cv. Batuta), cultivation systems (organic—ORG, integrated—INT, conventional—CON) and of environmental conditions (using two different locations: Dukla and Nowy Lubliniec) on wheat grains’ phenolic acid (PA) content and grain yield. The research confirms the genetic determinants of grain yield and PA composition in wheat grains, and their different accumulation levels of ferulic acid and other PAs—with the exception of sinapic, p-coumaric, and salicilic—with hybrid cultivars performing better than common cultivars. The ORG system, compared to the INT and CON systems, caused a larger increase in total acids (TPAs)—especially of ferulic, vanillic, and syringic acids—in grains of cv. Hybred, and of caffeic acid in cv. Hymack, compared to cv. Batuta. The lack of interaction between the cultivation systems and the cultivars indicates that similar reactions to increases in grain yield due to increases in the intensity of cultivation take place in cultivars. The more favourable environmental conditions in Dukla favoured the accumulation of ferulic, p-coumaric, vanillic, syringic, p-hydroxybenzoic, and protocatechuic acids in the grains. TPAs were higher by 4.3% and the grain yield by 4.0% on average. Variable conditions in the season 2015/2016 resulted in higher yields of hybrid cvs. grains than of common cv., which proves the greater yielding stability of these cultivars in years with adverse weather conditions. The season 2016/2017 had less rainfall and faced high temperatures during grain ripening, favouring a higher PA content and TPAs, especially in the grains of cv. Hybred. This suggests a need to further assess the genetic progress of hybrid wheat cultivars cultivated under different environmental conditions in terms of their PA composition and content. Full article
(This article belongs to the Section Crop Production)
Show Figures

Figure 1

Back to TopTop