Estimating Winter Wheat Plant Nitrogen Content by Combining Spectral and Texture Features Based on a Low-Cost UAV RGB System throughout the Growing Season
Abstract
1. Introduction
2. Materials and Methods
2.1. Experiment Description
2.2. Measurement of Plant Nitrogen Content of Winter Wheat
2.3. UAV RGB Image Acquisition and Preprocessing
2.4. Calculation of Spectral Indices and Texture Features
2.5. Machine Learning Modelling and Statistical Analysis
3. Results
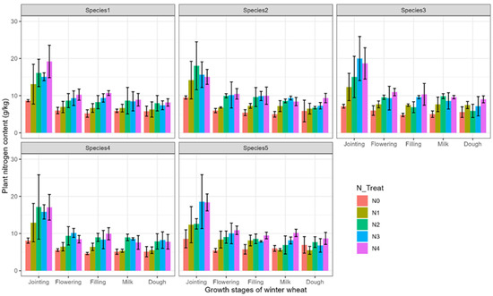
3.1. Variation in the PNC of Winter Wheat across the Growing Season
3.2. Correlation between PNC and Each Individual Feature Derived from UAV RGB Images
3.3. Extraction of Optimal Features Derived from UAV RGB Images
3.4. Evaluation of PNC Estimation Models Established Based on the Optimal Features
3.5. Mapping PNC Using the SVM Regression Model Based on UAV RGB Images
4. Discussion
5. Conclusions
Author Contributions
Funding
Institutional Review Board Statement
Data Availability Statement
Acknowledgments
Conflicts of Interest
Nomenclature
| PNC | Plant nitrogen content | UAV | Unmanned aerial vehicle |
| H channel | Hue in Hue–Saturation–Intensity color space | SiOj | Gabor feature derived at a scale of i and orientations of j |
| GLCM | Grey level co-occurrence matrix | VARI | Visible atmospherically resistant index |
| CON | Contrast in GLCM | VEG | Vegetative index |
| EN | Entropy in GLCM | GRVI | Green–red vegetation index |
| VAR | Variance in GLCM | ExG | Excess green index |
| M | Mean in GLCM | ExGR | Excess G minus excess red index |
| HOM | Homogeneity in GLCM | RGRI | Red–green ratio index |
| DIS | Dissimilarity in GLCM | NGRDI | Normalized blue–red difference index |
| SE | Second moment in GLCM | NGBDI | Normalized blue–green difference |
| R | Red | KNN | K-nearest neighbor |
| G | Blue | CART | Classification and regression tree |
| B | Green | ANN | Artificial neural network |
| R/G/B_ CON | CON from red/green/blue | SVM | Support vector machine |
| R/G/B_ DIS | DIS from red/green/blue | RF | Random forest |
| R/G/B_ EN | EN from red/green/blue | MLR | Multivariate linear regression |
| R/G/B_ M | M from red/green/blue | RMSE | Root mean square error |
| R/G/B_ SE | SE from red/green/blue | R2 | Coefficient of determination |
| R/G/B_ VAR | VAR from red/green/blue | CV | Convariance |
| SI | Spectral indices |
References
- Yin, Q.; Zhang, Y.; Li, W.; Wang, J.; Wang, W.; Ahmad, I.; Zhou, G.; Huo, Z. Estimation of Winter Wheat SPAD Values Based on UAV Multispectral Remote Sensing. Remote Sens. 2023, 15, 3595. [Google Scholar] [CrossRef]
- Li, X.; Hu, C.; Delgado, J.A.; Zhang, Y.; Ouyang, Z. Increased nitrogen use efficiencies as a key mitigation alternative to reduce nitrate leaching in north china plain. Agric. Water Manag. 2007, 89, 137–147. [Google Scholar] [CrossRef]
- Sáez-Plaza, P.; Navas, M.J.; Wybraniec, S.; Michałowski, T.; Asuero, A.G. An overview of the Kjeldahl method of nitrogen determination. Part II. Sample preparation, working scale, instrumental finish, and quality control. Crit. Rev. Anal. Chem. 2013, 43, 224–272. [Google Scholar] [CrossRef]
- Verma, B.; Prasad, R.; Srivastava, P.K.; Singh, P.; Badola, A.; Sharma, J. Evaluation of Simulated AVIRIS-NG Imagery Using a Spectral Reconstruction Method for the Retrieval of Leaf Chlorophyll Content. Remote Sens. 2022, 14, 3560. [Google Scholar] [CrossRef]
- Argento, F.; Anken, T.; Abt, F.; Vogelsanger, E.; Walter, A.; Liebisch, F. Site-specific nitrogen management in winter wheat supported by low-altitude remote sensing and soil data. Precis. Agric. 2021, 22, 364–386. [Google Scholar] [CrossRef]
- Zhen-qi, L.; Yu-long, D.; Han, W.; Ketterings, Q.M.; Jun-sheng, L.; Fu-cang, Z.; Zhi-jun, L.; Jun-liang, F. A double-layer model for improving the estimation of wheat canopy nitrogen content from unmanned aerial vehicle multispectral imagery. J. Integr. Agric. 2023, 22, 2248–2270. [Google Scholar] [CrossRef]
- Pereira, F.R.d.S.; de Lima, J.P.; Freitas, R.G.; Dos Reis, A.A.; Amaral, L.R.d.; Figueiredo, G.K.D.A.; Lamparelli, R.A.C.; Magalhães, P.S.G. Nitrogen variability assessment of pasture fields under an integrated crop-livestock system using UAV, PlanetScope, and Sentinel-2 data. Comput. Electron. Agric. 2022, 193, 106645. [Google Scholar] [CrossRef]
- Zhang, L.; Zhang, H.; Han, W.; Niu, Y.; Chávez, J.L.; Ma, W. The mean value of gaussian distribution of excess green index: A new crop water stress indicator. Agric. Water Manag. 2021, 251, 106866. [Google Scholar] [CrossRef]
- Zhang, L.; Niu, Y.; Zhang, H.; Han, W.; Li, G.; Tang, J.; Peng, X. Maize Canopy Temperature Extracted From UAV Thermal and RGB Imagery and Its Application in Water Stress Monitoring. Front. Plant Sci. 2019, 10, 1270. [Google Scholar] [CrossRef]
- Zhang, L.; Zhang, H.; Niu, Y.; Han, W. Mapping maize water stress based on UAV multispectral remote sensing. Remote Sens. 2019, 11, 605. [Google Scholar] [CrossRef]
- Wang, S.-M.; Ma, J.-H.; Zhao, Z.-M.; Yang, H.-Z.-Y.; Xuan, Y.-M.; Ouyang, J.-X.; Fan, D.-M.; Yu, J.-F.; Wang, X.-C. Pixel-class prediction for nitrogen content of tea plants based on unmanned aerial vehicle images using machine learning and deep learning. Expert Syst. Appl. 2023, 227, 120351. [Google Scholar] [CrossRef]
- Haboudane, D.; Miller, J.R.; Tremblay, N.; Zarco-Tejada, P.J.; Dextraze, L. Integrated narrow-band vegetation indices for prediction of crop chlorophyll content for application to precision agriculture. Remote Sens. Environ. 2002, 81, 416–426. [Google Scholar] [CrossRef]
- Ma, X.; Chen, P.; Jin, X. Predicting Wheat Leaf Nitrogen Content by Combining Deep Multitask Learning and a Mechanistic Model Using UAV Hyperspectral Images. Remote Sens. 2022, 14, 6334. [Google Scholar] [CrossRef]
- Pan, Y.; Wu, W.; Zhang, J.; Zhao, Y.; Zhang, J.; Gu, Y.; Yao, X.; Cheng, T.; Zhu, Y.; Cao, W.; et al. Estimating leaf nitrogen and chlorophyll content in wheat by correcting canopy structure effect through multi-angular remote sensing. Comput. Electron. Agric. 2023, 208, 107769. [Google Scholar] [CrossRef]
- Jia, Z.; Zhao, S.; Zhang, Q.; Xia, C.; Zhang, X.; Zhang, Y.; Gao, Q. Multi-stage fertilizer recommendation for spring maize at the field scale based on narrowband vegetation indices. Comput. Electron. Agric. 2023, 213, 108236. [Google Scholar] [CrossRef]
- Fan, Y.; Feng, H.; Yue, J.; Liu, Y.; Jin, X.; Xu, X.; Song, X.; Ma, Y.; Yang, G. Comparison of Different Dimensional Spectral Indices for Estimating Nitrogen Content of Potato Plants over Multiple Growth Periods. Remote Sens. 2023, 15, 602. [Google Scholar] [CrossRef]
- Liang, T.; Duan, B.; Luo, X.; Ma, Y.; Yuan, Z.; Zhu, R.; Peng, Y.; Gong, Y.; Fang, S.; Wu, X. Identification of High Nitrogen Use Efficiency Phenotype in Rice (Oryza sativa L.) Through Entire Growth Duration by Unmanned Aerial Vehicle Multispectral Imagery. Front. Plant Sci. 2021, 12, 740414. [Google Scholar] [CrossRef]
- Termin, D.; Linker, R.; Baram, S.; Raveh, E.; Ohana-Levi, N.; Paz-Kagan, T. Dynamic delineation of management zones for site-specific nitrogen fertilization in a citrus orchard. Precis. Agric. 2023, 24, 1570–1592. [Google Scholar] [CrossRef]
- Zhang, J.; Liu, X.; Liang, Y.; Cao, Q.; Tian, Y.; Zhu, Y.; Cao, W.; Liu, X. Using a Portable Active Sensor to Monitor Growth Parameters and Predict Grain Yield of Winter Wheat. Sensors 2019, 19, 1108. [Google Scholar] [CrossRef]
- Laliberte, A.S.; Rango, A. Texture and scale in object-based analysis of subdecimeter resolution unmanned aerial vehicle (UAV) imagery. IEEE Trans. Geosci. Remote Sens. 2009, 47, 761–770. [Google Scholar] [CrossRef]
- Murray, H.; Lucieer, A.; Williams, R. Texture-based classification of sub-Antarctic vegetation communities on Heard Island. Int. J. Appl. Earth Obs. Geoinf. 2010, 12, 138–149. [Google Scholar] [CrossRef]
- Zhang, J.; Qiu, X.; Wu, Y.; Zhu, Y.; Cao, Q.; Liu, X.; Cao, W. Combining texture, color, and vegetation indices from fixed-wing UAS imagery to estimate wheat growth parameters using multivariate regression methods. Comput. Electron. Agric. 2021, 185, 106138. [Google Scholar] [CrossRef]
- Fu, Z.; Yu, S.; Zhang, J.; Xi, H.; Gao, Y.; Lu, R.; Zheng, H.; Zhu, Y.; Cao, W.; Liu, X. Combining UAV multispectral imagery and ecological factors to estimate leaf nitrogen and grain protein content of wheat. Eur. J. Agron. 2022, 132, 126405. [Google Scholar] [CrossRef]
- Yang, B.; Wang, M.; Sha, Z.; Wang, B.; Chen, J.; Yao, X.; Cheng, T.; Cao, W.; Zhu, Y. Evaluation of Aboveground Nitrogen Content of Winter Wheat Using Digital Imagery of Unmanned Aerial Vehicles. Sensors 2019, 19, 4416. [Google Scholar] [CrossRef] [PubMed]
- Soil Survey Staff, S.T. A Basic System of Soil Classification for Making and Interpreting Soil Surveys; US Department of Agriculture, Natural Resources Conservation Service, National Soil Survey Center: Lincoln, NE, USA, 1999.
- Granlund, G.H. In search of a general picture processing operator. Comput. Graph. Image Process. 1978, 8, 155–173. [Google Scholar] [CrossRef]
- Gitelson, A.A.; Kaufman, Y.J.; Stark, R.; Rundquist, D. Novel algorithms for remote estimation of vegetation fraction. Remote Sens. Environ. 2002, 80, 76–87. [Google Scholar] [CrossRef]
- Hague, T.; Tillett, N.D.; Wheeler, H. Automated crop and weed monitoring in widely spaced cereals. Precis. Agric. 2006, 7, 21–32. [Google Scholar] [CrossRef]
- Tucker, C.J. Red and photographic infrared linear combinations for monitoring vegetation. Remote Sens. Environ. 1979, 8, 127–150. [Google Scholar] [CrossRef]
- Woebbecke, D.M.; Meyer, G.E.; Von Bargen, K.; Mortensen, D.A. Color indices for weed identification under various soil, residue, and lighting conditions. Trans. ASAE 1995, 38, 259–269. [Google Scholar] [CrossRef]
- Meyer, G.E.; Neto, J.C. Verification of color vegetation indices for automated crop imaging applications. Comput. Electron. Agric. 2008, 63, 282–293. [Google Scholar] [CrossRef]
- Gamon, J.A.; Surfus, J.S. Assessing leaf pigment content and activity with a reflectometer. New Phytol. 1999, 143, 105–117. [Google Scholar] [CrossRef]
- Hunt, E.R.; Cavigelli, M.; Daughtry, C.S.T.; McMurtrey, J.E.; Walthall, C.L. Evaluation of digital photography from model aircraft for remote sensing of crop biomass and nitrogen status. Precis. Agric. 2005, 6, 359–378. [Google Scholar] [CrossRef]
- Ding, C.; Peng, H. Minimum redundancy feature selection from microarray gene expression data. J. Bioinform Comput. Biol. 2005, 3, 185–205. [Google Scholar] [CrossRef] [PubMed]
- Kohavi, R.; John, G.H. Wrappers for feature subset selection. Artif. Intell. 1997, 97, 273–324. [Google Scholar] [CrossRef]
- Yang, M.; Xu, X.; Li, Z.; Meng, Y.; Yang, X.; Song, X.; Yang, G.; Xu, S.; Zhu, Q.; Xue, H. Remote Sensing Prescription for Rice Nitrogen Fertilizer Recommendation Based on Improved NFOA Model. Agronomy 2022, 12, 1804. [Google Scholar] [CrossRef]
- Joblove, G.H.; Greenberg, D. Color spaces for computer graphics. ACM SIGGRAPH COMPUT. GRAPH. 1978, 12, 20–25. [Google Scholar] [CrossRef]
- Wei, Q.; Zhang, B.Z.; Wei, Z.; Han, X.; Duan, C.F. Estimation of canopy chlorophyll content in winter wheat by UAV multispectral remote sensing. J. Triticeae Crops 2020, 40, 365–372. [Google Scholar]
- Kou, J.; Duan, L.; Yin, C.; Ma, L.; Chen, X.; Gao, P.; Lv, X. Predicting Leaf Nitrogen Content in Cotton with UAV RGB Images. Sustainability 2022, 14, 9259. [Google Scholar] [CrossRef]
- Fan, Y.-G.; Feng, H.-K.; Liu, Y.; Bian, M.-B.; Zhao, Y.; Yang, G.-J.; Qian, J.-G. Estimation of Nitrogen Content in Potato Plants Based on Spectral Spatial Characteristics. Spectrosc. Spectr. Anal. 2023, 43, 1532–1540. [Google Scholar]
- Hosseini, S.A.; Masoudi, H.; Sajadiye, S.M.; Mehdizadeh, S.A. Nitrogen Estimation in Sugarcane Fields from Aerial Digital Images Using Artificial Neural Network. Environ. Eng. Manag. J. 2021, 20, 713–723. [Google Scholar]
- Song, X.; Yang, G.; Xu, X.; Zhang, D.; Yang, C.; Feng, H. Winter Wheat Nitrogen Estimation Based on Ground-Level and UAV-Mounted Sensors. Sensors 2022, 22, 549. [Google Scholar] [CrossRef] [PubMed]
- Jiang, J.; Cai, W.; Zheng, H.; Cheng, T.; Tian, Y.; Zhu, Y.; Ehsani, R.; Hu, Y.; Niu, Q.; Gui, L.; et al. Using Digital Cameras on an Unmanned Aerial Vehicle to Derive Optimum Color Vegetation Indices for Leaf Nitrogen Concentration Monitoring in Winter Wheat. Remote Sens. 2019, 11, 2667. [Google Scholar] [CrossRef]






| Vegetation Index | Formula |
|---|---|
| Visible atmospherically resistant index [27] | |
| Vegetative index [28] | |
| Green–red vegetation index [29] | |
| Excess green index [30] | |
| Excess G minus excess red index [31] | |
| Red–green ratio index [32] | |
| Normalized blue–red difference index [27] | |
| Normalized blue–green difference index [33] |
| Dataset | Stage | Min (g/kg) | Max (g/kg) | Mean (g/kg) | CV (%) |
|---|---|---|---|---|---|
| Training | Jointing | 6.86 | 27.00 | 15.01 | 35.49 |
| Flowering | 5.16 | 12.96 | 8.71 | 26.13 | |
| Filling | 4.33 | 13.63 | 8.02 | 28.44 | |
| Milk | 4.09 | 11.20 | 7.49 | 25.55 | |
| Dough | 2.53 | 10.78 | 7.26 | 26.08 | |
| Validation | Jointing | 6.63 | 23.55 | 13.28 | 35.39 |
| Flowering | 4.89 | 12.00 | 8.01 | 27.25 | |
| Filling | 4.28 | 11.56 | 7.93 | 25.42 | |
| Milk | 4.12 | 11.47 | 7.86 | 27.53 | |
| Dough | 4.46 | 9.81 | 6.70 | 23.31 |
| Category | Algorithm | Optimal Features |
|---|---|---|
| SI + Gabor + GLCM | CART | G_DIS, NGBDI, R_EN, R_M, S3O4 |
| SI + Gabor + GLCM | KNN | B_SE, G_VAR, H, R_EN, R_SE, S4O4 |
| SI + Gabor + GLCM | ANN | B_CON, NGBDI, R_SE, S3O7 |
| SI + Gabor + GLCM | SVM | B_CON, B_M, G_DIS, H, NGBDI, R_EN, R_M, R_SE, S3O7, VEG |
| SI + Gabor + GLCM | RF | B_CON, B_SE, NGBDI, S2O8, S3O4 |
| SI + Gabor + GLCM | MLR | B, B_CON, B_SE, G, G_DIS, H, NGBDI, R_EN, R_M, R_SE, S2O8, S3O4, S4O4, VEG |
Disclaimer/Publisher’s Note: The statements, opinions and data contained in all publications are solely those of the individual author(s) and contributor(s) and not of MDPI and/or the editor(s). MDPI and/or the editor(s) disclaim responsibility for any injury to people or property resulting from any ideas, methods, instructions or products referred to in the content. |
© 2024 by the authors. Licensee MDPI, Basel, Switzerland. This article is an open access article distributed under the terms and conditions of the Creative Commons Attribution (CC BY) license (https://creativecommons.org/licenses/by/4.0/).
Share and Cite
Zhang, L.; Song, X.; Niu, Y.; Zhang, H.; Wang, A.; Zhu, Y.; Zhu, X.; Chen, L.; Zhu, Q. Estimating Winter Wheat Plant Nitrogen Content by Combining Spectral and Texture Features Based on a Low-Cost UAV RGB System throughout the Growing Season. Agriculture 2024, 14, 456. https://doi.org/10.3390/agriculture14030456
Zhang L, Song X, Niu Y, Zhang H, Wang A, Zhu Y, Zhu X, Chen L, Zhu Q. Estimating Winter Wheat Plant Nitrogen Content by Combining Spectral and Texture Features Based on a Low-Cost UAV RGB System throughout the Growing Season. Agriculture. 2024; 14(3):456. https://doi.org/10.3390/agriculture14030456
Chicago/Turabian StyleZhang, Liyuan, Xiaoying Song, Yaxiao Niu, Huihui Zhang, Aichen Wang, Yaohui Zhu, Xingye Zhu, Liping Chen, and Qingzhen Zhu. 2024. "Estimating Winter Wheat Plant Nitrogen Content by Combining Spectral and Texture Features Based on a Low-Cost UAV RGB System throughout the Growing Season" Agriculture 14, no. 3: 456. https://doi.org/10.3390/agriculture14030456
APA StyleZhang, L., Song, X., Niu, Y., Zhang, H., Wang, A., Zhu, Y., Zhu, X., Chen, L., & Zhu, Q. (2024). Estimating Winter Wheat Plant Nitrogen Content by Combining Spectral and Texture Features Based on a Low-Cost UAV RGB System throughout the Growing Season. Agriculture, 14(3), 456. https://doi.org/10.3390/agriculture14030456

