Effect of Cropping Systems and Environment on Phenolic Acid Profiles and Yielding of Hybrid Winter Wheat Genotypes
Abstract
1. Introduction
2. Materials and Methods
2.1. Site Description and Experimental Design
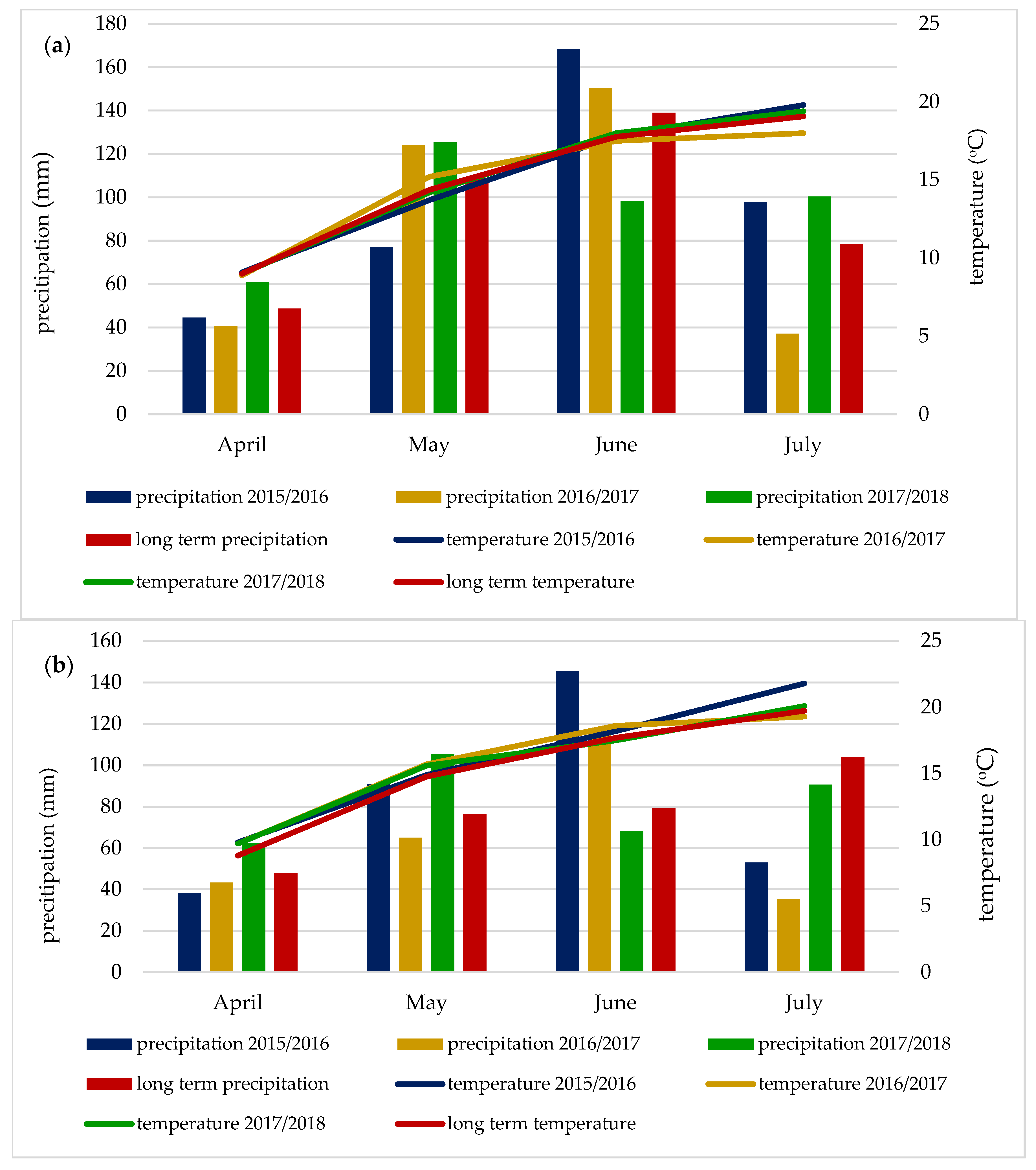
2.2. Environmental Conditions in the Field Experiments
2.3. Analytical Methods
2.3.1. Extraction and Separation of Phenolic Acids
2.3.2. Identification of Phenolic Acids
2.4. Statistical Analysis
3. Results and Discussion
3.1. The Effect of Genotype and Cropping Systems on the Content of Phenolic Acids
3.2. The Effect of Environmental Conditions
3.3. Grain Yield Performance
3.4. Principal Component Analysis
4. Conclusions
Supplementary Materials
Author Contributions
Funding
Institutional Review Board Statement
Conflicts of Interest
References
- Godfray, H.C.J.; Beddington, J.R.; Crute, I.R.; Haddad, L.; Lawrence, D.; Muir, J.F.; Pretty, J.; Robinson, S.; Thomas, S.M.; Toulmin, C. Food Security: The Challenge of Feeding 9 Billion People. Science 2010, 327, 812–818. [Google Scholar] [CrossRef]
- FAOSTAT. Available online: https://www.fao.org/faostat/en/#data/QCL (accessed on 7 February 2023).
- Chwil, S. Effects of foliar feeding under different soil fertilization conditions on the yield structure and quality of winter wheat (Triticum aestivum L.). Acta Agrobot. 2014, 67, 135–144. [Google Scholar] [CrossRef]
- Liu, R.H. Whole grain phytochemicals and health. J. Cereal Sci. 2007, 46, 207–219. [Google Scholar] [CrossRef]
- Ma, D.; Wang, C.; Feng, J.; Xu, B. Wheat Grain Phenolics: A Review on Composition, Bioactivity, and Influencing Factors. J. Sci. Food Agric. 2021, 101, 6167–6185. [Google Scholar] [CrossRef] [PubMed]
- Shewry, P.R.; Charmet, G.; Branlard, G.; Lafiandra, D.; Gergely, S.; Salgó, A.; Saulnier, L.; Bedő, Z.; Mills, E.N.C.; Ward, J.L. Developing new types of wheat with enhanced health benefits. Trends Food Sci. Technol. 2012, 25, 70–77. [Google Scholar] [CrossRef]
- Żuchowski, J.; Kapusta, I.; Szajwaj, B.; Jończyk, K.; Oleszek, W. Phenolic acid content of organic and conventionally grown winter wheat. Cereal Res. Commun. 2009, 37, 189–197. [Google Scholar] [CrossRef]
- Shewry, P.R.; Hey, S. Do ‘ancient’ wheat species differ from modern bread wheat in their contents of bioactive components? J. Cereal Sci. 2015, 65, 236–243. [Google Scholar] [CrossRef]
- Zhu, Y.; Sang, S. Phytochemicals in whole grain wheat and their health-promoting effects. Mol. Nutr. Food Res. 2017, 61, 1600852. [Google Scholar] [CrossRef]
- Naczk, M.; Shahidi, F. Phenolics in cereals, fruits and vegetables: Occurrence, extraction and analysis. J. Pharm. Biomed. Anal. 2006, 41, 1523–1542. [Google Scholar] [CrossRef]
- Siebenhandl, S.; Grausgruber, H.; Pellegrini, N.; del Rio, D.; Fogliano, V.; Pernice, R.; Berghofer, E. Phytochemical profile of main antioxidants in different fractions of purple and blue wheat, and black barley. J. Agric. Food Chem. 2007, 55, 8541–8547. [Google Scholar] [CrossRef]
- Żuchowski, J.; Jończyk, K.; Pecio, L.; Oleszek, W. Phenolic acid concentrations in organically and conventionally cultivated spring and winter wheat. J. Sci. Food Agric. 2011, 91, 1089–1095. [Google Scholar] [CrossRef]
- Martini, D.; Taddei, F.; Ciccoritti, R.; Pasquini, M.; Nicoletti, I.; Corradini, D.; D’Egidio, M.G. Variation of total antioxidant activity and of phenolic acid, total phenolics and yellow coloured pigments in durum wheat (Triticum turgidum L. var. durum) as a function of genotype, crop year and growing area. J. Cereal Sci. 2015, 65, 175–185. [Google Scholar] [CrossRef]
- Stuper-Szablewska, K.; Kurasiak-Popowska, D.; Nawracała, J.; Perkowski, J. Quantitative profile of phenolic acids and antioxidant activity of wheat grain exposed to stress. Eur. Food Res. Technol. 2019, 245, 1595–1603. [Google Scholar] [CrossRef]
- Spaggiari, M.; Calani, L.; Folloni, S.; Ranieri, R.; Dall’Asta, C.; Galaverna, G. The impact of processing on the phenolic acids, free betaine and choline in Triticum spp. L. whole grains and milling by-products. Food Chem. 2020, 311, 125940. [Google Scholar] [CrossRef] [PubMed]
- Gupta, R.; Meghwal, M.; Prabhakar, P.K. Bioactive compounds of pigmented wheat (Triticum aestivum): Potential benefits in human health. Trends Food Sci. Technol. 2021, 110, 240–252. [Google Scholar] [CrossRef]
- Žilić, S.; Šukalović, V.H.-T.; Dodig, D.; Maksimović, V.; Maksimović, M.; Basić, Z. Antioxidant activity of small grain cereals caused by phenolics and lipid soluble antioxidants. J. Cereal Sci. 2011, 54, 417–424. [Google Scholar] [CrossRef]
- Yong, Z.; Zhonghu, H.; Ye, G.; Aimin, Z.; Van Ginkel, M. Effect of environment and genotype on bread-making quality of spring-sown spring wheat cultivars in China. Euphytica 2004, 139, 75–83. [Google Scholar] [CrossRef]
- Tkaczyk, P.; Bednarek, W.; Dresler, S.; Krzyszczak, J. The effect of some soil physicochemical properties and nitrogen fertilisation on winter wheat yield. Acta Agrophys. 2018, 25, 107–116. [Google Scholar] [CrossRef]
- Średnicka-Tober, D.; Obiedzińska, A.; Kazimierczak, R.; Rembiałkowska, E. Environmental impact of organic vs. conventional agriculture—A review. J. Res. Appl. Agric. Eng. 2016, 61, 204–211. [Google Scholar]
- Szeląg-Sikora, A.; Sikora, J.; Niemiec, M.; Gródek-Szostak, Z.; Kapusta-Duch, J.; Kuboń, M.; Komorowska, M.; Karcz, J. Impact of Integrated and Conventional Plant Production on Selected Soil Parameters in Carrot Production. Sustainability 2019, 11, 5612. [Google Scholar] [CrossRef]
- Durán-Lara, E.F.; Valderrama, A.; Marican, A. Natural Organic Compounds for Application in Organic Farming. Agriculture 2020, 10, 41. [Google Scholar] [CrossRef]
- Charyulu, D.K.; Biswas, S. Economics and Efficiency of Organic Farming Vis-à-Vis Conventional Farming in India; Indian Institute of Management: Ahmedabad, India, 2010. [Google Scholar]
- Kilcher, L. How organic agriculture contributes to sustainable development. J. Agric. Res. Trop. Subtrop. 2007, 89, 31–49. Available online: https://orgprints.org/id/eprint/10680/1/Kilcher_2007_JARTS_SP_89.pdf (accessed on 9 February 2023).
- Tuomisto, H.L.; Hodge, I.D.; Riordan, P.; Macdonald, D.W. Comparing global warming potential, energy use and land use of organic, conventional and integrated winter wheat production. Ann. Appl. Biol. 2012, 161, 116–126. [Google Scholar] [CrossRef]
- Grabiński, J. Productive and Economical Effects of Intensive and Integrated Technology Production of Winter Wheat and Spring Barley. Ann. Pol. Assoc. Agric. Agribus. Econ. 2015, 17, 94–99. Available online: http://ageconsearch.umn.edu/record/233486 (accessed on 9 February 2023). (In Polish).
- Barański, M.; Średnicka-Tober, D.; Volakakis, N.; Seal, C.; Sanderson, R.; Stewart, G.B.; Benbrook, C.; Biavati, B.; Marellou, E.; Giotis, C.; et al. Higher antioxidant and lower cadmium concentrations and lower incidence of pesticide residues in organically grown crops: A systematic literature review and meta-analyses. Br. J. Nutr. 2014, 112, 794–811. [Google Scholar] [CrossRef]
- Rembiałkowska, E. Quality of plant products from organic agriculture. J. Sci. Food Agric. 2007, 87, 2757–2762. [Google Scholar] [CrossRef]
- Li, L.; Shewry, P.R.; Ward, J.L. Phenolic acids in wheat varieties in the HEALTHGRAIN diversity screen. J. Agric. Food Chem. 2008, 56, 9732–9739. [Google Scholar] [CrossRef]
- Zhang, Y.; Wang, L.; Yao, Y.; Yan, J.; He, Z. Phenolic acid profiles of chinese wheat cultivars. J. Cereal Sci. 2012, 56, 629–635. [Google Scholar] [CrossRef]
- Tian, W.; Wang, F.; Xu, K.; Zhang, Z.; Yan, J.; Yan, J.; Tian, Y.; Liu, J.; Zhang, Y.; Zhang, Y.; et al. Accumulation of wheat phenolic acids under different nitrogen rates and growing environments. Plants 2022, 11, 2237. [Google Scholar] [CrossRef]
- Whitford, R.; Fleury, D.; Reif, J.C.; Garcia, M.; Okada, T.; Korzun, V.; Langridge, P. Hybrid breeding in wheat: Technologies to improve hybrid wheat seed production. J. Exp. Bot. 2013, 64, 5411–5428. [Google Scholar] [CrossRef]
- Gupta, P.K.; Balyan, H.S.; Gahlaut, V.; Saripalli, G.; Pal, B.; Basnet, B.R.; Joshi, A.K. Hybrid wheat: Past, present and future. Theor. Appl. Genet. 2019, 132, 2463–2483. [Google Scholar] [CrossRef]
- Jańczak-Pieniążek, M.; Buczek, J.; Kaszuba, J.; Szpunar-Krok, E.; Bobrecka-Jamro, D.; Jaworska, G. A Comparative Assessment of the Baking Quality of Hybrid and Population Wheat Cultivars. Appl. Sci. 2020, 10, 7104. [Google Scholar] [CrossRef]
- Muqaddasi, Q.H.; Reif, J.C.; Röder, M.S.; Basnet, B.R.; Dreisigacker, S. Genetic mapping reveals large-effect qtl for anther extrusion in CIMMYT spring wheat. Agronomy 2019, 9, 407. [Google Scholar] [CrossRef]
- Hung, P.V. Phenolic compounds of cereals and their antioxidant capacity. Crit. Rev. Food Sci. Nutr. 2016, 56, 25–35. [Google Scholar] [CrossRef]
- Horvat, D.; Šimić, G.; Drezner, G.; Lalić, A.; Ledenčan, T.; Tucak, M.; Plavšić, H.; Andrić, L.; Zdunić, Z. Phenolic acid profiles and antioxidant activity of major cereal crops. Antioxidants 2020, 9, 527. [Google Scholar] [CrossRef]
- IUSS Working Group WRB World Reference Base for Soil Resources 2014, First Update. 2015. Available online: https://icdc.cen.uni-hamburg.de/fileadmin/user_upload/icdc_Dokumente/WorldSoilResources_a-i3794e.pdf (accessed on 9 February 2023).
- Šimanský, V.; Bajcan, D.; Ducsay, L. The effect of organic matter on aggregation under different soil management practices in a vineyard in an extremely humid year. Catena 2013, 101, 108–113. [Google Scholar] [CrossRef]
- Van Erp, P.J.; Houba, Y.J.G.; Van Beusichem, M.L. One hundredth molar calcium chloride extraction procedure. Part I: A review of soil chemical, analytical, and plant nutritional aspects. Commun. Soil Sci. Plant Anal. 1998, 29, 1603–1623. [Google Scholar] [CrossRef]
- Egner, H.; Riehm, H.; Domingo, R.W. Investigations on the chemical soil analysis as a basis for assessing the nutrient condition of the soil, II: Chemical extraction methods for phosphorus and potassium determination. K. Lantbr. Ann. 1960, 26, 199–215. [Google Scholar]
- Schachtschabel, P. The plant-available magnesium in the soil and its determination. Z. Pflanz. Düngung Bodenkd. 1954, 67, 9–23. [Google Scholar] [CrossRef]
- Rinkis, G.J. Micronutrients in Agriculture and Medicine; Naukova Dumka: Kijev, Ukraine, 1963. [Google Scholar]
- Mpofu, A.; Sapirstein, H.D.; Beta, T. Genotype and environmental variation in phenolic content, phenolic acid composition, and antioxidant activity of hard spring wheat. J. Agric. Food Chem. 2006, 54, 1265–1270. [Google Scholar] [CrossRef]
- Abotaleb, M.; Liskova, A.; Kubatka, P.; Büsselberg, D. Therapeutic potential of plant phenolic acids in the treatment of cancer. Biomolecules 2020, 10, 221. [Google Scholar] [CrossRef]
- Zrcková, M.; Capouchová, I.; Eliášová, M.; Paznocht, L.; Pazderů, K.; Dvořák, P.; Konvalina, P.; Orsák, M.; Štěrba, Z. The effect of genotype, weather conditions and cropping system on antioxidant activity and content of selected antioxidant compounds in wheat with coloured grain. Plant Soil Environ. 2018, 64, 530–538. [Google Scholar] [CrossRef]
- Massad, T.J.; Dyer, L.A.; Vega, G.C. Costs of defense and a test of the carbon-nutrient balance and growth-differentiation balance hypotheses for two co-occurring classes of plant de-fense. PLoS ONE 2012, 7, e47554. [Google Scholar] [CrossRef]
- Stracke, B.A.; Eitel, J.; Watzl, B.; Mader, P.; Rufer, C.E. Influence of the Production Method on Phytochemical Concentrations in Whole Wheat (Triticum aestivum L.): A Comparative Study. J. Agric. Food Chem. 2009, 57, 10116–10121. [Google Scholar] [CrossRef] [PubMed]
- Konopka, I.; Tańska, M.; Faron, A.; Stępień, A.; Wojtkowiak, K. Comparison of the phenolic compounds, carotenoids and tocochromanols content in wheat grain under organic and mineral fertilization regimes. Molecules 2012, 17, 12341–12356. [Google Scholar] [CrossRef] [PubMed]
- Tian, W.; Wilson, T.L.; Chen, G.; Guttieri, M.J.; Nelson, N.O.; Fritz, A.; Smith, G.; Li, Y. Effects of environment, nitrogen, and sulfur on total phenolic content and phenolic acid composition of winter wheat grain. Cereal Chem. 2021, 98, 903–911. [Google Scholar] [CrossRef]
- De Leonardis, A.M.; Fragasso, M.; Beleggia, R.; Ficco, D.B.M.; De Vita, P.; Mastrangelo, A.M. Effects of heat stress on metabolite accumulation and composition, and nutritional properties of durum wheat grain. Int. J. Mol. Sci. 2015, 16, 30382–30404. [Google Scholar] [CrossRef]
- Taghouti, M.; Gaboun, F.; Nsarellah, N.; Rhrib, R.; El-Haila, M.; Kamar, M.; Abbad-Andaloussi, F.; Udupa, S.M. Genotype × environment interaction for quality traits in durum wheat cultivars adapted to different environments. Afr. J. Biotechnol. 2010, 9, 3054–3062. Available online: https://www.ajol.info/index.php/ajb/article/view/80550 (accessed on 9 February 2022).
- Kowalska, I.; Mołdoch, J.; Pawelec, S.; Podolska, G.; von Cossel, M.; Derycke, V.; Haesaert, G.; Lana, M.A.; da Silva Lopes, M.; Riche, A.B.; et al. Environmental and cultivar variability in composition, content and biological activity of phenolic acids and alkylresorcinols ofwinter wheat grains from a multi-site field trial across Europe. J. Cereal Sci. 2022, 107, 103527. [Google Scholar] [CrossRef]
- Laddomada, B.; Blanco, A.; Mita, G.; D’Amico, L.; Singh, R.P.; Ammar, K.; Crossa, J.; Guzmán, C. Drought and heat stress impacts on phenolic acids accumulation in durum wheat cultivars. Foods 2021, 10, 2142. [Google Scholar] [CrossRef]
- Stumpf, B.; Yan, F.; Honermeier, B. Influence of nitrogen fertilization on yield and phenolic compounds in wheat grains (Triticum aestivum L. ssp aestivum). J. Plant Nutr. Soil Sci. 2019, 182, 111–118. [Google Scholar] [CrossRef]
- Rozbicki, J.; Ceglińska, A.; Gozdowski, D.; Jakubczak, M.; Cacak-Pietrzak, G.; Mądry, W.; Golba, J.; Piechociński, M.; Sobczyński, G.; Studnicki, M.; et al. Influence of the cultivar, environment and management on the grain yield and bread-making quality in winter wheat. J. Cereal Sci. 2015, 61, 126–132. [Google Scholar] [CrossRef]
- Seufert, V.; Ramankutty, N.; Foley, J.A. Comparing the yields of organic and conventional agriculture. Nature 2012, 485, 229–232. [Google Scholar] [CrossRef] [PubMed]
- Iannucci, A.; Codianni, P. Effects of conventional and organic farming systems on bio-agronomic and quality traits of durum wheat under Mediterranean conditions. Aust. J. Crop Sci. 2016, 10, 1083–1091. [Google Scholar] [CrossRef]
- Sacco, D.; Moretti, B.; Monaco, S.; Grignani, C. Six-year transition from conventional to organic farming: Effects on crop production and soil quality. Eur. J. Agron. 2015, 69, 10–20. [Google Scholar] [CrossRef]
- Sadras, V.O.; Calderini, D.F. Crop Physiology—Applications for Genetic Improvement and Agronomy; Elsevier: London, UK, 2009. [Google Scholar]
- Moitzi, G.; Neugschwandtner, R.W.; Kaul, H.-P.; Wagentristl, H. Efficiency of mineral nitrogen fertilization in winter wheat under Pannonian climate conditions. Agriculture 2020, 10, 541. [Google Scholar] [CrossRef]
- Kołodziejczyk, M.; Szmigiel, A. Efficiency of nitrogen fertilization in spring wheat. Int. J. Plant Prod. 2016, 10, 447–456. [Google Scholar] [CrossRef]
- Plessis, A.; Ravel, C.; Bordes, J.; Balfourier, F.; Martre, P. Association study of wheat grain protein composition reveals that gliadin and glutenin composition are trans-regulated by different chromosome regions. J. Exp. Bot. 2013, 64, 3627–3644. [Google Scholar] [CrossRef]
- Jańczak-Pieniążek, M.; Buczek, J.; Kwiatkowski, C.A.; Harasim, E. The Course of physiological processes, yielding, and grain quality of hybrid and population wheat as affected by integrated and conventional cropping systems. Agronomy 2022, 12, 1345. [Google Scholar] [CrossRef]
- Dunăreanu, I.C.; Bonea, D. Grain yield and hectolitre weight of some wheat cultivars in organic and conventional production systems. Rom. Agric. Res. 2022, 39, 1–9. Available online: https://www.incda-fundulea.ro/new/images/rar/nr39/rar39.22.pdf (accessed on 9 February 2023).
- Hildermann, I.; Thommen, A.; Dubois, D.; Boller, T.; Wiemken, A.; Mader, P. Yield and baking quality of winter wheat cultivars in different farming systems of the DOK long-term trial. J. Sci. Food Agric. 2009, 89, 2477–2491. [Google Scholar] [CrossRef]
- Koppensteiner, L.J.; Kaul, H.-P.; Piepho, H.-P.; Barta, N.; Euteneuer, P.; Bernas, J.; Klimek-Kopyra, A.; Gronauer, A.; Neugschwandtner, R.W. Yield and yield components of facultative wheat are affected by sowing time, nitrogen fertilization and environment. Eur. J. Agron. 2022, 140, 126591. [Google Scholar] [CrossRef]
- Iwańska, M.; Paderewski, J.; Stępień, M.; Rodrigues, P.C. Adaptation of winter wheat cultivars to different environments: A case study in Poland. Agronomy 2020, 10, 632. [Google Scholar] [CrossRef]
- Kaiser, H.F. The application of electronic computers to factor analysis. Educ. Psychol. Meas. 1960, 20, 141–151. [Google Scholar] [CrossRef]






| Years | pH in M KCl | Soil Organic Carbon (SOC) (%) | Nmin (kg ha−1) | Content of Available Forms (mg kg−1 Soil) | |||||
|---|---|---|---|---|---|---|---|---|---|
| Phosphorus (P) | Potassium (K) | Magnesium (Mg) | Zinc (Zn) | Manganese (Mn) | Copper (Cu) | ||||
| Dukla | |||||||||
| 2015/2016 | 6.82 | 1.22 | 58.3 | 180.0 | 170.1 | 81.0 | 13.6 | 82.4 | 5.2 |
| 2016/2017 | 5.90 | 1.12 | 60.6 | 175.3 | 174.2 | 72.2 | 14.3 | 84.2 | 5.4 |
| 2017/2018 | 6.20 | 1.42 | 65.7 | 120.1 | 152.3 | 68.4 | 15.1 | 87.2 | 5.8 |
| Nowy Lubliniec | |||||||||
| 2015/2016 | 5.36 | 0.82 | 52.4 | 166.2 | 162.4 | 50.1 | 14.8 | 88.5 | 5.1 |
| 2016/2017 | 6.10 | 1.15 | 63.0 | 170.1 | 141.2 | 52.1 | 13.9 | 85.9 | 5.5 |
| 2017/2018 | 6.50 | 0.92 | 58.1 | 101.0 | 150.5 | 56.1 | 14.0 | 86.4 | 5.6 |
| Period/Months | Dukla | Nowy Lubliniec | ||||||
|---|---|---|---|---|---|---|---|---|
| 2015/ 2016 | 2016/ 2017 | 2017/ 2018 | Long Term | 2015/ 2016 | 2016/ 2017 | 2017/ 2018 | Long Term | |
| Temperature [°C] | ||||||||
| Autum/09–11 | 8.1 | 9.4 | 8.6 | 8.1 | 8.2 | 9.8 | 9.2 | 7.9 |
| Winter rest/12–03 | −3.6 | −2.5 | 1.3 | −2.2 | −2.8 | −2.2 | −0.5 | −1.9 |
| Spring–summer/04–07 | 15.1 | 14.9 | 15.2 | 15.1 | 16.2 | 15.8 | 15.7 | 15.9 |
| Sowing–harvest/09–07 | 7.9 | 8.1 | 8.7 | 7.5 | 8.3 | 8.6 | 9.2 | 8.2 |
| Precipitation [mm] | ||||||||
| Autum/09–11 | 78.3 | 129.2 | 232.9 | 185.1 | 58.9 | 129.4 | 178.3 | 149.8 |
| Winter rest/12–03 | 171.8 | 162.5 | 89.8 | 140.8 | 130.4 | 145.3 | 98.7 | 99.0 |
| Spring–summer/04–07 | 387.5 | 352.4 | 384.6 | 401.6 | 327.4 | 259.7 | 326.1 | 307.4 |
| Sowing–harvest/09–07 | 637.6 | 644.1 | 707.3 | 727.5 | 516.7 | 534.4 | 603.1 | 556.2 |
| Factors | FER | SIN | p-COU | CAF | VAN | SYR | p-HB | PCA | SA | TPAs |
|---|---|---|---|---|---|---|---|---|---|---|
| Cultivars (C) | ||||||||||
| Batuta | 519.13 a ±13.04 | 38.13 a ±3.55 | 9.25 a,b ±1.42 | 1.27 a ±0.36 | 9.11 b ±1.19 | 7.27 a ±1.06 | 4.74 b ±2.16 | 1.05 b ±0.43 | 0.26 b ±0.05 | 592.72 a ±17.19 |
| Hybred | 627.41 c ±36.27 | 40.61 a,b ±3.32 | 9.88 a ±1.28 | 2.44 b ±0.69 | 10.42 c ±1.45 | 10.59 c ±2.19 | 5.92 c ±1.27 | 1.95 c ±0.38 | 0.28 a ±0.05 | 707.03 c ±40.20 |
| Hymack | 605.82 b ±21.28 | 39.33 b ±5.30 | 9.81 b ±2.55 | 1.90 c ±0.73 | 9.92 a ±1.50 | 8.82 b ±2.59 | 5.61 a ±1.62 | 1.30 a ±0.36 | 0.27 a,b ±0.06 | 682.75 b ±32.13 |
| Cropping systems (CS) | ||||||||||
| ORG | 593.94 c ±56.25 | 42.06 b ±4.42 | 10.02 b ±1.80 | 2.40 c ±0.85 | 10.40 c ±1.62 | 9.91 c ±3.02 | 6.01 c ±1.93 | 1.53 b ±0.60 | 0.28 b ±0.06 | 676.55 c ±63.95 |
| INT | 588.19 b ±55.59 | 38.63 a ±3.20 | 9.83 b ±1.86 | 1.69 b ±0.67 | 10.00 b ±1.04 | 8.97 b ±1.91 | 5.59 b ±1.63 | 1.47 b ±0.48 | 0.25 a ±0.04 | 664.61 b ±58.19 |
| CON | 570.23 a ±46.11 | 37.39 a ±3.60 | 9.09 a ±1.79 | 1.53 a ±0.46 | 9.04 a ±1.39 | 7.80 a ±1.80 | 4.67 a ±1.52 | 1.30 a ±0.54 | 0.28 b ±0.05 | 641.34 a ±47.64 |
| Location (L) | ||||||||||
| Dukla | 595.79 b ±63.85 | 39.66 a ±4.82 | 10.44 b ±1.87 | 1.90 a ±0.97 | 10.24 b ±1.60 | 9.10 b ±2.69 | 6.42 b ±1.54 | 1.59 b ±0.41 | 0.28 a ±0.05 | 675.37 b ±68.67 |
| Nowy Lubliniec | 572.45 a ±37.25 | 39.05 a ±3.58 | 8.85 a ±1.44 | 1.84 a ±0.52 | 9.39 a ±1.21 | 8.68 a ±2.17 | 4.43 a ±1.40 | 1.28 a ±0.61 | 0.26 a ±0.05 | 646.30 a ±41.53 |
| Years (Y) | ||||||||||
| 2015/2016 | 575.39 a ±51.37 | 38.16 a ±3.32 | 9.05 a ±1.78 | 1.74 a ±0.72 | 9.32 a ±1.43 | 8.42 a ±2.25 | 4.97 a ±1.81 | 1.27 a ±0.44 | 0.26 a ±0.05 | 648.58 a ±55.24 |
| 2016/2017 | 596.03 c ±58.32 | 41.34 b ±3.92 | 10.47 b ±1.84 | 2.11 b ±0.79 | 10.54 b ±1.53 | 9.47 c ±2.53 | 5.93 c ±1.80 | 1.66 c ±0.63 | 0.28 a ±0.06 | 677.83 c ±62.92 |
| 2017/2018 | 580.94 b ±49.20 | 38.57 a ±4.71 | 9.42 a ±1.66 | 1.76 a ±0.78 | 9.58 a ±1.19 | 8.78 b ±2.50 | 5.38 b ±1.62 | 1.38 b ±0.47 | 0.27 a ±0.05 | 656.09 b ±54.02 |
| Mean | 584.12 | 39.36 | 9.65 | 1.87 | 9.81 | 8.89 | 5.42 | 1.43 | 0.27 | 660.83 |
| C | *** | * | * | ** | *** | *** | ** | *** | ** | ** |
| CS | *** | *** | *** | *** | *** | *** | *** | *** | ** | *** |
| L | * | ns | *** | ns | ** | *** | ** | *** | ns | *** |
| Y | *** | *** | *** | *** | *** | *** | *** | *** | ns | *** |
| Cropping Systems (CS) | Cultivars (C) | FER | SIN | p-COU | CAF | VAN | SYR | p-HB | PCA | SA | TPAs |
|---|---|---|---|---|---|---|---|---|---|---|---|
| ORG | Batuta | 523.14 b ±16.96 | 39.74 a,b ±3.43 | 9.97 b–d ±1.42 | 1.54 b ±0.34 | 10.04 c ±1.16 | 7.23 b ±1.22 | 5.74 c ±2.30 | 1.37 c ±0.50 | 0.28 a,b ±0.06 | 599.04 b ±21.29 |
| Hybred | 641.36 f ±31.89 | 41.60 c,b ±3.10 | 9.81 b–d ±1.72 | 2.44 e ±0.53 | 11.37 e ±1.43 | 12.52 g ±1.18 | 6.78 d ±0.47 | 2.01 d ±0.52 | 0.27 a,b ±0.06 | 728.15 g ±37.72 | |
| Hymack | 617.33 d ±15.69 | 44.83 c ±5.14 | 10.28 c,f ±2.28 | 3.23 f ±0.61 | 9.80 b,c ±1.85 | 9.98 f ±3.29 | 5.51 c ±2.30 | 1.23 b,c ±0.48 | 0.29 a,b ±0.06 | 702.46 e,f ±30.73 | |
| INT | Batuta | 522.23 b ±12.24 | 38.15 a,b ±2.44 | 9.72 a-d ±1.40 | 1.23 a ±0.34 | 9.69 b,c ±1.06 | 8.00 c ±0.73 | 5.72 c ±2.29 | 1.29 b,c ±0.42 | 0.27 a,b ±0.03 | 596.31 a,b ±15.07 |
| Hybred | 630.17 e ±43.12 | 38.32 a,b ±1.98 | 8.75 a,b ±0.96 | 1.66 b ±0.81 | 10.59 d ±1.07 | 9.74 e,f ±1.84 | 6.41 d ±0.46 | 1.99 d ±0.25 | 0.24 a ±0.04 | 707.87 f ±44.11 | |
| Hymack | 612.17 d ±22.96 | 39.40 a,b ±4.66 | 11.01 d ±2.31 | 2.18 d ±0.40 | 9.72 b,c ±0.77 | 9.17 d ±2.45 | 4.65 b ±1.13 | 1.14 b ±0.21 | 0.23 a ±0.04 | 689.67 d,e ±27.99 | |
| CON | Batuta | 512.02 a ±4.47 | 36.51 a ±4.07 | 9.75 a-d ±1.55 | 1.06 a ±0.24 | 10.01 c ±1.38 | 6.57 a ±0.64 | 5.37 c ±2.03 | 1.24 b,c ±0.40 | 0.30 b ±0.05 | 582.82 a ±9.79 |
| Hybred | 610.7 d ±28.00 | 38.06 a,b ±3.60 | 9.18 a–c ±0.83 | 1.61 b ±0.35 | 9.29 b ±1.04 | 9.51 d,e ±2.09 | 4.58 a,b ±1.29 | 1.86 d ±0.34 | 0.27 a,b ±0.05 | 685.06 d ±27.57 | |
| Hymack | 587.98 c ±11.51 | 37.61 a,b ±3.22 | ±8.34 a 2.46 | 1.90 c ±0.27 | 7.82 a ±0.64 | 7.32 b ±0.65 | 4.07 a ±0.80 | 0.80 a ±0.14 | 0.28 a,b ±0.05 | 656.13 c ±17.50 | |
| CS × C | *** | ns | *** | *** | ** | *** | *** | ** | ns | *** | |
| Location (L) | Cultivars (C) | FER | SIN | p-COU | CAF | VAN | SYR | p-HB | PCA | SA | TPAs |
|---|---|---|---|---|---|---|---|---|---|---|---|
| Dukla | Batuta | 513.58 a ±6.68 | 37.95 a ±3.90 | 10.14 b ±1.57 | 1.12 a ±0.32 | 9.89 b ±1.30 | 6.88 a ±0.79 | 7.64 d ±0.79 | 1.67 c ±0.27 | 0.30 b ±0.05 | 589.17 a ±11.79 |
| Hybred | 656.56 e ±24.63 | 39.70 a,b ±3.37 | 9.32 b ±1.45 | 1.64 c ±0.86 | 10.87 c ±1.87 | 9.68 c ±2.78 | 5.70 b ±1.68 | 1.83 d ±0.39 | 0.28 a,b ±0.05 | 735.59 d ±32.99 | |
| Hymack | 617.24 d ±22.48 | 41.33 b ±6.30 | 11.86 c ±1.68 | 2.77 e ±0.76 | 9.95 b ±1.48 | 10.75 d ±2.41 | 5.94 b,c ±1.27 | 1.26 b ±0.36 | 0.27 a,b ±0.05 | 701.37 c ±32.42 | |
| Nowy Lubliniec | Batuta | 524.69 b ±15.49 | 38.31 b,a ±3.26 | 9.48 b ±1.20 | 1.43 b ±0.34 | 9.94 b ±1.10 | 7.65 b ±1.17 | 3.58 a ±0.45 | 0.93 a ±0.15 | 0.27 a,b ±0.04 | 596.28 a ±21.04 |
| Hybred | 598.27 c ±17.39 | 38.95 a,b ±3.31 | 9.17 b ±1.12 | 2.17 d ±0.33 | 9.96 b ±0.61 | 11.49 e ±0.62 | 6.15 c ±0.61 | 2.07 e ±0.35 | 0.24 a ±0.04 | 678.46 b ±22.63 | |
| Hymack | 594.41 c ±12.31 | 39.90 a,b ±4.12 | 7.90 a ±1.51 | 2.10 d ±0.52 | 8.27 a ±0.98 | 6.90 a ±0.36 | 3.55 a ±0.88 | 0.85 a ±0.20 | 0.26 a,b ±0.06 | 664.14 a 1±8.45 | |
| L × C | *** | ns | *** | *** | *** | *** | *** | *** | ns | *** | |
| Cultivars (C) | Years (Y) | FER | SIN | p-COU | CAF | VAN | SYR | p-HB | PCA | SA | TPAs |
|---|---|---|---|---|---|---|---|---|---|---|---|
| Batuta | 2015/2016 | 512.36 a ±8.61 | 37.41 a,b ±2.72 | 9.47 a–c ±1.27 | 1.14 a ±0.24 | 9.43 b,c ±1.08 | 6.79 a ±0.78 | 5.05 b,c ±2.10 | 1.16 b ±0.35 | 0.27 a ±0.04 | 583.07 a ±9.96 |
| 2016/2017 | 526.31 c ±14.85 | 39.95 a–c ±2.97 | 10.75 c ±1.38 | 1.51 b ±0.32 | 10.65 c,d ±1.09 | 7.80 b ±0.98 | 6.28 f ±2.43 | 1.49 c ±0.53 | 0.30 a ±0.05 | 605.04 b ±17.53 | |
| 2017/2018 | 518.73 a,b ±11.81 | 37.05 a ±4.28 | 9.22 a,b ±1.19 | 1.18 a ±0.40 | 9.66 a ±1.10 | 7.21 a ±1.20 | 5.50 c–e ±1.90 | 1.24 b ±0.36 | 0.28 a ±0.05 | 590.07 a ±16.10 | |
| Hybred | 2015/2016 | 615.73 d ±35.48 | 38.03 a,b ±2.72 | 8.43 a,b ±0.96 | 1.83 c ±0.66 | 10.03 d ±1.41 | 10.01 e ±1.88 | 5.66 b,c ±1.25 | 1.70 d ±0.22 | 0.25 a ±0.05 | 691.67 d,e ±37.96 |
| 2016/2017 | 645.58 e ±40.27 | 41.50 b,c ±2.62 | 10.02 b,c ±1.06 | 2.17 d ±0.79 | 11.28 f ±1.42 | 11.26 g ±2.01 | 6.21 f ±1.03 | 2.32 e ±0.20 | 0.26 a ±0.06 | 730.59 f ±42.42 | |
| 2017/2018 | 620.93 d ±27.38 | 38.45 a–c ±3.59 | 9.29 ±1.33 a,b | 1.71 b,c ±0.59 | 9.94 c,d ±1.21 | 10.50 f ±2.60 | 5.90 c–e ±1.52 | 1.83 d ±0.38 | 0.27 a ±0.05 | 698.82 e ±31.08 | |
| Hymack | 2015/2016 | 598.09 c ±19.75 | 39.05 a–c ±4.34 | 9.25 a,b ±2.62 | 2.26 c ±0.69 | 8.50 d ±1.42 | 8.47 e ±2.51 | 4.20 d,e ±1.81 | 0.94 a ±0.33 | 0.25 a ±0.05 | 671.01 c ±30.25 |
| 2016/2017 | 616.21 d ±23.54 | 42.57 c ±5.43 | 10.63 b,c ±2.72 | 2.64 d ±0.74 | 9.70 f ±1.70 | 9.37 g ±2.97 | 5.30 f ±1.65 | 1.17 b ±0.42 | 0.28 a ±0.05 | 697.88 f ±35.13 | |
| 2017/2018 | 603.16 d ±17.51 | 40.22 a–c ±5.83 | 9.75 a–c ±2.32 | 2.41 b,c ±0.76 | 9.14 c,d ±1.21 | 8.64 f ±2.38 | 4.73 e,f ±1.30 | 1.06 a,b ±0.29 | 0.27 a ±0.06 | 679.38 c,d ±26.87 | |
| C × Y | ** | ns | ns | ns | * | *** | * | *** | ns | * | |
| Value Number | Eigenvalues (Correlations), Related Statistics | |||
|---|---|---|---|---|
| Eigenvalue | % of Total Variance | Cumulative Eigenvalue | Cumulative % | |
| 1 | 3.723890 | 53.19843 | 3.723890 | 53.1984 |
| 2 | 1.719635 | 24.56622 | 5.443525 | 77.7646 |
| 3 | 0.730335 | 10.43336 | 6.173860 | 88.1980 |
| 4 | 0.495259 | 7.07513 | 6.669119 | 95.2731 |
| 5 | 0.257648 | 3.68068 | 6.926767 | 98.9538 |
| 6 | 0.072679 | 1.03827 | 6.999446 | 99.9921 |
| 7 | 0.000554 | 0.00791 | 7.000000 | 100.0000 |
| Variable | Factor Coordinates of Variables Based on Correlation | |
|---|---|---|
| Factor 1 | Factor 2 | |
| FER | −0.777871 | 0.484286 |
| CAF | −0.630152 | 0.491209 |
| VAN | −0.677796 | −0.430096 |
| SYR | −0.899273 | 0.033775 |
| p−HB | −0.531913 | −0.731996 |
| PCA | −0.676173 | −0.584022 |
| TPAs | −0.844675 | 0.425197 |
Disclaimer/Publisher’s Note: The statements, opinions and data contained in all publications are solely those of the individual author(s) and contributor(s) and not of MDPI and/or the editor(s). MDPI and/or the editor(s) disclaim responsibility for any injury to people or property resulting from any ideas, methods, instructions or products referred to in the content. |
© 2023 by the authors. Licensee MDPI, Basel, Switzerland. This article is an open access article distributed under the terms and conditions of the Creative Commons Attribution (CC BY) license (https://creativecommons.org/licenses/by/4.0/).
Share and Cite
Buczek, J.; Jańczak-Pieniążek, M.; Harasim, E.; Kwiatkowski, C.A.; Kapusta, I. Effect of Cropping Systems and Environment on Phenolic Acid Profiles and Yielding of Hybrid Winter Wheat Genotypes. Agriculture 2023, 13, 834. https://doi.org/10.3390/agriculture13040834
Buczek J, Jańczak-Pieniążek M, Harasim E, Kwiatkowski CA, Kapusta I. Effect of Cropping Systems and Environment on Phenolic Acid Profiles and Yielding of Hybrid Winter Wheat Genotypes. Agriculture. 2023; 13(4):834. https://doi.org/10.3390/agriculture13040834
Chicago/Turabian StyleBuczek, Jan, Marta Jańczak-Pieniążek, Elżbieta Harasim, Cezary A. Kwiatkowski, and Ireneusz Kapusta. 2023. "Effect of Cropping Systems and Environment on Phenolic Acid Profiles and Yielding of Hybrid Winter Wheat Genotypes" Agriculture 13, no. 4: 834. https://doi.org/10.3390/agriculture13040834
APA StyleBuczek, J., Jańczak-Pieniążek, M., Harasim, E., Kwiatkowski, C. A., & Kapusta, I. (2023). Effect of Cropping Systems and Environment on Phenolic Acid Profiles and Yielding of Hybrid Winter Wheat Genotypes. Agriculture, 13(4), 834. https://doi.org/10.3390/agriculture13040834

