You are currently viewing a new version of our website. To view the old version click .
Agriculture
  • Editor’s Choice
  • Article
  • Open Access

13 February 2024

The Effects of Planting Density and Nitrogen Application on the Growth Quality of Alfalfa Forage in Saline Soils

,
,
,
,
,
,
and
1
Joint International Laboratory of Agriculture and Agri-Product Safety, Yangzhou University, Yangzhou 225000, China
2
China-Sudan Joint Laboratory of Crop Salinity and Drought Stress Physiology, The Ministry of Education of China, Yangzhou 225000, China
3
Jiangsu Key Laboratory of Crop Cultivation and Physiology, Yangzhou University, Yangzhou 225000, China
4
College for Overseas Education, Yangzhou University, Yangzhou 225000, China
This article belongs to the Special Issue Effects of Salt Stress on Crop Production

Abstract

Soil salinization has become one of the major abiotic stresses limiting agricultural production globally. The full utilization of coastal saline-alkali land is of great significance for agricultural development. Among them, fertilizer management and planting density are crucial for promoting crop growth and productivity in saline soils. Field experiments were conducted to study the effects of different nitrogen application rates and planting densities on the growth, yield, and quality of alfalfa. Using alfalfa variety WL919 as the experimental material, three seeding rates of 15.0 kg·ha−1 (D1), 30.0 kg·ha−1 (D2), and 45.0 kg·ha−1 (D3) as well as three nitrogen application rates of 150.0 kg·ha−1 (N1), 225.0 kg·ha−1 (N2), and 300.0 kg·ha−1 (N3) were set. The results showed that under the same density, different nitrogen application rates had a positive impact on the agronomic traits and yield of alfalfa on saline-alkali land. Physiological and biochemical properties (chlorophyll and sucrose) increased with increasing nitrogen application, and (starch) increased initially and then decreased with increasing nitrogen application. Forage quality attributes (crude protein and crude ash) had a significant impact, while crude fat had no significant effect. Under the same nitrogen application, the yield of alfalfa increased with increasing density but then decreased after reaching a peak, while other traits initially increased and then decreased. In conclusion, the nitrogen fertilizer was superior in promoting alfalfa growth, biomass yield, and forage yield, while planting density was more suitable at D2. Although both D2N2 and D2N3 treatments were superior to others, considering economic benefits and environmental factors, it is recommended to use D2N2 as the appropriate treatment.

1. Introduction

The total area of saline-alkali land in China is approximately 3.46 × 106 hm2, accounting for about 1/5 of the total arable land area []. Among them, the coastal tidal flat area in Jiangsu Province reaches 500,000 hm2, with tidal flat resources accounting for approximately 1/4 of the national total, making it a major reserve land resource in Jiangsu Province. The rapid development of animal husbandry in Jiangsu has led to a shortage of land resources []. Therefore, the full utilization of coastal saline-alkali land is of great significance for agricultural production and development.
The severe impact of salt stress significantly affects crop growth and development and can even directly lead to a 65% reduction in yield []. Salt stress influences plant morphological changes, including germination, seedling growth, yield reduction, as well as associated physiological and biochemical alterations such as metabolic suppression, reduced photosynthesis, and slowed respiration []. Currently, there are two main methods for utilizing saline soils, including the selection and breeding of salt-tolerant crop varieties, as well as the development of cultivation techniques to improve salt tolerance. Therefore, planting halophytes or salt-tolerant crops is a preferred approach for utilizing and ameliorating saline soils [,,]. Alfalfa (Medicago sativa L.) is a high-nutrition, high-quality perennial herbaceous plant of the legume family, renowned for its strong adaptability, and is often referred to as the “king of forage”. Alfalfa is widely used in livestock feeding and is also considered an ideal candidate for improving saline-alkali land [].
Nitrogen serves as a crucial component of organic compounds and is intricately involved in various physiological processes in plants [,]. Under salt stress conditions, nitrogen supply has been shown to enhance the activity of defense enzymes and promote nitrogen metabolism in plants []. Furthermore, nitrogen supply has been found to elevate alfalfa crude protein (CP) levels whilst reducing acid detergent fiber (ADF) and neutral detergent fiber (NDF) contents []. As a result, nitrogen plays a pivotal role in the growth, development, yield formation, and quality of alfalfa [,].
Planting density is a critical factor affecting yield, quality, and the use of nitrogen fertilizer in intercropping systems []. An appropriate planting density can regulate the contradiction between individuals and populations, optimize the canopy structure, and improve the light energy utilization of the system. Too low a density will cause a loss of light radiation, while overly high densities will lead to poor field ventilation and light transmission, affecting the crop yield. Numerous studies have shown that, in some alfalfa-dominated intercropping systems, increasing the alfalfa planting density can improve the alfalfa yield and land equivalent ratio, thus increasing the productivity of the intercropping system [].
Currently, research on the salt tolerance of alfalfa, such as seed germination, seedling growth, and physiological changes, is more prevalent. However, there is relatively limited research on field planting in saline-alkali conditions. China lags behind in alfalfa planting methods and cultivation practices, resulting in consistently low yields and quality. Therefore, this study utilized Medicago sativa WL919 as the experimental material, with three seeding rates (15.0 kg·ha−1 as D1, 30.0 kg·ha−1 as D2, 45.0 kg·ha−1 as D3) and three nitrogen application rates (150.0 kg·ha−1 as N1, 225.0 kg·ha−1 as N2, 300.0 kg·ha−1 as N3) to investigate the effects of different planting densities and nitrogen levels on the growth, yield, and quality of coastal salt-affected alfalfa. The aim was to provide a theoretical basis for high-yield cultivation of alfalfa in coastal saline-alkali areas.

2. Materials and Methods

2.1. Experimental Design and Site

The experiment was conducted in 2019–2020 in the saline soil of the Dafeng Coastal Forest Farm (33°20′ N, 120°47′ E), Yancheng City, Jiangsu Province, China. The area is a transition zone, between subtropical and warm/humid, with four distinct seasons, a moderate temperature (average annual temperature of 14.1 °C), abundant rainfall, a total annual precipitation of 1042.2 mm (suitable for the growth of humidity-loving crops), a frost-free period of 213 d, and 2238.9 h of sunshine annually. The alkaline soil in the experimental site had a pH of 8.4 with an EC (electrical conductivity) of 10.87 mS/cm, an organic matter content of 19.75 g kg−1, a total nitrogen content of 0.72 g kg−1, a quick-acting phosphorus content of 1.45 mg g−1, a quick-acting potassium content of 279 mg g−1, and an average salt content of 1.68 g kg−1. Sowing was carried out on 5 November 2019 and 9 November 2020.
The test crop was alfalfa WL919, provided by Beijing Zhengdao Seed Industry Company. Three sowing rates of 15.0 kg·ha−1 (D1), 30.0 kg·ha−1 (D2), and 45.0 kg·ha−1 (D3), as well as three nitrogen application rates of 150.0 kg·ha−1 (N1), 225.0 kg·ha−1 (N2), and 300.0 kg·ha−1 (N3), were established and defined as D1N1 (15.0 kg·ha−1 sowing rates and 150.0 kg·ha−1 nitrogen fertilizer), D1N2 (15.0 kg·ha−1 sowing rates and 225.0 kg·ha−1 nitrogen fertilizer), D1N3 (15.0 kg·ha−1 sowing rates and 300.0 kg·ha−1 nitrogen fertilizer), D2N1 (30.0 kg·ha−1 sowing rates and 150.0 kg·ha−1 nitrogen fertilizer), D2N2 (30.0 kg·ha−1 sowing rates and 225.0 kg·ha−1 nitrogen fertilizer), D2N3 (30.0 kg·ha−1 sowing rates and 300.0 kg·ha−1 nitrogen fertilizer), D3N1 (45.0 kg·ha−1 sowing rates and 150.0 kg·ha−1 nitrogen fertilizer), D3N2 (45.0 kg·ha−1 sowing rates and 225.0 kg·ha−1 nitrogen fertilizer), D3N3 (45.0 kg·ha−1 sowing rates and 300.0 kg·ha−1 nitrogen fertilizer). The plants were sown via spreading, with a mulching depth of 2–4 cm. Two factors—planting density and nitrogen application (containing 46% urea)—were used. Urea containing 46% N was used as the nitrogen source, and the calcium superphosphate (containing 12% P2O5) form of the P fertilizer was applied as the phosphate source. The whole amount of the fertilizer was equally separated into two parts and applied as a basal fertilizer before sowing. Water management and controls of weeds, diseases, and pests were carried out in conformity with local recommendations.

2.2. Observations and Measurements

Growth and antioxidant physiological parameters were evaluated on the 61st, 94th, 118th, 157th, and 163rd days after sowing (DAS). Ten alfalfa plants were randomly selected from each plot. Plant height was measured using a tape measure from the soil base to the top of the canopy (cm). Leaf area was determined using the length–width coefficient method, with individual leaf area (cm2) calculated as length × width × 0.89. Subsequently, fresh weight (FW) was measured. Samples were oven-dried at 105 °C for 30 min, and were then dried to a constant weight at 80 °C to determine dry weight (DW). The dried alfalfa plants were ground into powder after measuring their dry weight, sieved through a 100-mesh sieve, and stored in sealed bags for further analysis [].

2.3. Physiological Parameters

To determine chlorophyll content (including chlorophyll a, chlorophyll b and carotenoids), 0.2 g of fresh leaves in the same position were selected. The samples were scissored into small pieces and placed in 10 mL test tubes containing 96% ethanol solution and kept in the dark. The tubes were incubated in water at 40 °C for 3 h. Using a spectrophotometer, samples were examined at 470, 646, and 663 nm when the leaf color changed from green to white, following the method of [].
For sucrose determination, 0.1 g of the sample was weighed and placed in a centrifuge tube, followed by the addition of 6 mL of 80% ethanol and incubation in a water bath at 80 °C for 30 min. After cooling, the mixture was centrifuged for 15 min, filtered, and the process was repeated three times. The filtrates were combined into a solution, constituting the extract. In total, 1 mL of the extract, 1 mL of ultrapure water, and 4 mL of anthrone solution were mixed and boiled in a water bath for 15 min, followed by cooling and measurement of absorbance at 620 nm [].
For starch determination, accurate amounts of the sample were weighed and placed in centrifuge tubes for extraction in an ethanol/water bath, repeated three times. The supernatant was combined into a solution with ethanol for soluble sugar determination. The precipitate was mixed with distilled water, stirred evenly, and heated in a water bath to evaporate ethanol and to gelatinize the precipitate in a boiling water bath. After cooling in an ice water bath, perchloric acid was added, followed by extraction with water and centrifugation. The supernatant was collected and combined into a solution in a volumetric flask for starch determination. The extract from the volumetric flask was mixed with water and an iodine/sulfuric acid solution, heated accurately in a boiling water bath for minutes, cooled to room temperature, and the optical density of each solution was measured. The content of the sample determination solution was determined based on the standard curve [].
For nitrogen determination, 0.5 g of dried sample was weighed and placed in a glass test tube, followed by the addition of concentrated sulfuric acid and catalysts (prepared with copper sulfate and potassium sulfate). The reaction was carried out at 420 °C for 1.5 h. After the reaction was completed, the tube was cooled in a ventilated area until all harmful gases had completely evaporated. After cooling, the ammonium nitrogen content (mg N/g) could be determined using a Kjeldahl nitrogen analyzer [].
For phosphorus determination, in an acidic solution, orthophosphoric acid in the digestion solution reacted with ammonium metavanadate and ammonium molybdate to form a yellow complex phosphomolybdate, which was left at room temperature above 15 °C for 30 min. The absorbance was measured at a wavelength of 700 nm using a spectrophotometer, and the content was calculated [].
For potassium determination, potassium content was determined using atomic absorption spectrophotometry at a resonance line of 766.5 nm [].

2.4. Nutrient Uptake and Forage Quality

The feed quality of these plants was also determined, including crude fat, crude protein, and crude fiber [].

2.5. Statistical Analysis

The experimental data were collated and plotted using Sigmaplot 10.0 (SPSS, Point Richmond, CA, USA), and the data were statistically analyzed using Statistix 9.0 (Analytical Software, Tallahassee, FL, USA). The mean values were compared based on the least significant difference (LSD) test at p < 0.05. All the parameters are shown as the average values of the 2-year experiments because the tendency of each parameter was similar in each year and there was no significant difference between the two years.

3. Results

3.1. Effect on Plant Height

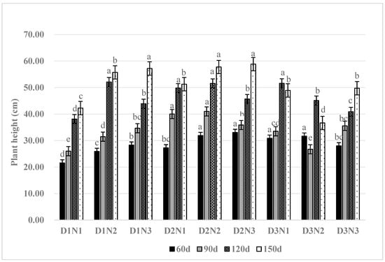
As depicted in Figure 1, nitrogen application had a significant (p < 0.05) impact on the plant height of alfalfa across all growth stages. The consistent low planting density (D1) showed an increase in plant height at 60, 90, 120, and 150 days after sowing with increased nitrogen application. Similarly, the medium-density (D2) crops exhibited an increase in plant height throughout the reproductive period as the nitrogen application increased. However, the high-density (D3) crops showed a decreasing trend in plant height at 60 and 120 days after sowing, followed by an increasing trend with the rise in nitrogen application. At 90 and 150 days after sowing, the plant height initially displayed a decreasing trend, followed by an increasing trend with the increasing N application. At a consistent nitrogen application rate, the plant heights at 90, 120, and 150 days after sowing increased with the increase in planting density in low nitrogen (N1), and showed an increase followed by a decrease at 60 days. In medium nitrogen (N2), the plant heights at 90, 120, and 150 days after sowing exhibited an increasing trend followed by a decreasing trend with the rise in planting density, and decreased at 90, 120, and 150 days after sowing as the planting density increased in high-nitrogen (N3) conditions. Additionally, the plant heights at 90, 120, and 150 days after sowing decreased with the rise in planting density when the nitrogen was high (N3). In the intercropping scenario of planting density and nitrogen application, the plant heights in the D2N2 and D2N3 treatments were higher at 150 days after sowing, measuring 57.77 cm and 58.84 cm, respectively. Throughout the reproductive period, the plant heights in the D2N3 intercropping conditions surpassed those in other density and fertilizer intercropping treatments.
Figure 1. Plant height of alfalfa at different planting densities and nitrogen applications such as D1N1, D1N2, D1N3, D2N1, D2N2, D2N3, D3N1, D3N1, D3N2, and D3N3 at 60, 90, 120, and 150 DAS. Different letters indicate significant differences between different treatments at same growth stage at p < 0.05 level.

3.2. Effect on Leaf Area

As illustrated in Figure 2, the leaf area of alfalfa exhibited an increase followed by a decrease with the progression of the days after sowing. At a low density (D1) and medium density (D2), the leaf area of alfalfa increased at 120 and 150 days after sowing with higher nitrogen application. However, the impact of nitrogen application on the leaf area was not statistically significant at 60 and 90 days after sowing. Conversely, at a high density (D3), the leaf area increased with the increasing nitrogen application at 60, 120, and 150 days after sowing, but displayed an increase followed by a decrease after 90 days of sowing. At a consistent nitrogen application rate, the leaf area of the alfalfa crops generally increased with the rising planting density, reaching its maximum at high nitrogen (N3), indicating the beneficial effect of increased nitrogen application on the leaf area of alfalfa. In the context of reciprocal planting density and nitrogen application, the leaf area in the D3N3 treatment reached its peak at 60 days after sowing, displaying a 13.97% increase compared to the D1N1 treatment during the same period. Similarly, at 90 days after sowing, the leaf area in the D3N2 treatment reached its maximum, showing a 29.98% increase over the D1N1 treatment. Furthermore, at 120 days after sowing, the leaf area in the D3N3 treatment peaked, exhibiting a 22.94% increase over the D1N1 treatment. Throughout the reproductive period of alfalfa, the D3N2 and D3N3 treatments significantly increased the leaf area of alfalfa, indicating the beneficial impact of increased planting density and nitrogen application on the leaf area of alfalfa.
Figure 2. Leaf area of alfalfa at different planting densities and nitrogen applications such as D1N1, D1N2, D1N3, D2N1, D2N2, D2N3, D3N1, D3N1, D3N2, and D3N3 at 60, 90, 120, and 150 DAS. Different letters indicate significant differences between different treatments at same growth stage at p < 0.05 level.

3.3. Effect on Biological Yields

Based on the findings from Figure 3, it is evident that both the planting density and nitrogen application significantly influenced the fresh weight of alfalfa at various stages (p < 0.01). At the D1 density, the fresh weight at 60 d, 90 d, and 120 d increased with the increasing nitrogen application, indicating the favorable effect of nitrogen on the fresh weight of the crop. At a moderate planting density (D2), the fresh weight exhibited a trend of initially increasing and then decreasing with the increasing nitrogen application, reaching its peak at N2, suggesting that excessive nitrogen application at the D2 density is detrimental to the increase in the fresh weight of alfalfa. In the same nitrogen application conditions, in the N1 treatment, the fresh weight at 60 d, 90 d, and 120 d increased with the increasing planting density, while at 150 d, the fresh weight showed a trend of initially increasing and then decreasing with the planting density. In the N2 treatment, the fresh weight decreased with the increasing planting density, while in the N3 treatment, the fresh weight at 60 d, 120 d, and 150 d increased with the increasing planting density, with a decrease at 90 d. Among all treatments, the D2N2 treatment resulted in the highest fresh weight, indicating that a moderate planting density and nitrogen application are most conducive to increasing the fresh weight of alfalfa. At 150 days after sowing, the fresh weight in the D2N2 treatment was significantly higher, with a 145% increase compared to the D1N1 treatment.
Figure 3. Fresh weight of alfalfa at different planting densities and nitrogen applications such as D1N1, D1N2, D1N3, D2N1, D2N2, D2N3, D3N1, D3N1, D3N2, and D3N3 at 60, 90, 120, and 150 DAS. Different letters indicate significant differences between different treatments at same growth stage at p < 0.05 level.
The effects of planting density and nitrogen application on the hay yield in all periods were highly significant (p < 0.01), as indicated in Figure 4, with a significant (p < 0.05) interaction between the two factors observed at 120 and 150 days after sowing. Specifically, at a low density, the hay yield throughout the reproductive period increased with the higher N application, while at a medium density, the hay yield initially increased and then decreased with the increasing N application. Conversely, at a high density, the hay yield increased with the N application across the entire period except at 60 and 150 days after sowing. The interactions also had significant (p < 0.05) effects on the hay yield at 120 and 150 days after sowing. At an equivalent nitrogen application, the hay yield increased with the planting density at low nitrogen, except at 60 days after sowing. With medium nitrogen, the hay yield exhibited an initial increase followed by a decrease with the Increasing planting density. Meanwhile, at high nitrogen, the hay yield increased with the planting density at 90 and 120 days after sowing, and decreased at 60 and 150 days after sowing. Notably, at high nitrogen, the hay yield increased with the planting density at 60 and 150 days after sowing, and decreased at 60 and 150 days after sowing. In reciprocal planting density and nitrogen application conditions, the hay yield was significantly higher in the D2N2 treatment at 150 days after sowing, with a 141% increase compared to the D1N1 treatment during the same period, a 37.4% increase compared to the D2N1 treatment, and a 114% increase compared to the D1N2 treatment. It is noteworthy that the hay yield of alfalfa increased throughout the fertility period, reaching its maximum value at 150 days after sowing.
Figure 4. Dry weight of alfalfa at different planting densities and nitrogen applications such as D1N1, D1N2, D1N3, D2N1, D2N2, D2N3, D3N1, D3N1, D3N2, and D3N3 at 60, 90, 120, and 150 DAS. Different letters indicate significant differences between different treatments at same growth stage at p < 0.05 level.

3.4. Effects on Photosynthetic Pigments

As shown in Figure 5, the chlorophyll a content in the alfalfa leaves increased with the increasing nitrogen application in the D1 and D2 treatments as the reproductive period progressed. In the D3 treatment, the chlorophyll a content increased initially and then decreased with the increasing nitrogen application throughout the reproductive period of alfalfa, with its maximum value reached in the N2 treatment. Moreover, in the N1, N2, and N3 treatments, the chlorophyll a content increased initially and then decreased with the increasing planting density, reaching its maximum value in the D2 treatment. As depicted in Figure 6, the chlorophyll b content in the alfalfa leaves increased as the fertility advanced in the same treatment. In the D1 treatment, the chlorophyll content increased as the N application increased, except at 120 days after sowing. Conversely, in the D2 and D3 treatments, the chlorophyll content decreased as the N application increased, except at 60 days after sowing. The chlorophyll content of alfalfa in the D1 and D3 treatments increased as the N application increased. In the N1, N2, and N3 treatments, the effect of the planting density on the chlorophyll a content in the alfalfa leaves showed an initial increase followed by a decrease when the same amount of nitrogen was applied. In general, the effect of increasing the nitrogen application on the chlorophyll b content in the alfalfa leaves had no obvious pattern, but the appropriate planting density was favorable for increasing the chlorophyll b content. As indicated in Figure 7. Notably, there was no significant difference in the effect of the interaction between the nitrogen application and the planting density on the carotenoids in the alfalfa. The content of carotenoids was highest at 60 days after sowing, and the maximum value was reached in the D2N2 treatment.
Figure 5. Effect of chlorophyll a in alfalfa at different planting densities and nitrogen applications such as D1N1, D1N2, D1N3, D2N1, D2N2, D2N3, D3N1, D3N1, D3N2, and D3N3 at 60, 90, 120, and 150 DAS. Different letters indicate significant differences between different treatments at same growth stage at p < 0.05 level.
Figure 6. Effect of chlorophyll b in alfalfa at different planting densities and nitrogen applications such as D1N1, D1N2, D1N3, D2N1, D2N2, D2N3, D3N1, D3N1, D3N2, and D3N3 at 60, 90, 120, and 150 DAS. Different letters indicate significant differences between different treatments at same growth stage at p < 0.05 level.
Figure 7. Effect of carotenoids in alfalfa at different planting densities and nitrogen applicationssuch as D1N1, D1N2, D1N3, D2N1, D2N2, D2N3, D3N1, D3N1, D3N2, and D3N3 at 60, 90, 120, and 150 DAS. Different letters indicate significant differences between different treatments at same growth stage at p < 0.05 level.

3.5. Effects on Carbohydrate Accumulation

Figure 8 demonstrates that the alfalfa content increased as the fertility advanced in the same treatment. At the same planting density, the sucrose content in the alfalfa leaves decreased with the application of nitrogen in the D2 and D3 densities at 60 days after sowing, while at 90 days after sowing, an increase was observed at the D1 and D3 densities. At 120 days after sowing, the sucrose content decreased as the nitrogen application increased at the D1 and D2 densities. At 120 days, the sucrose content reached its maximum at the medium planting density (D2) with medium nitrogen application (N2), which was 34.78% higher than that in D1N1. At the same nitrogen application rate, the sucrose content of the alfalfa leaves at N2 showed an increasing and then decreasing trend with the increase in the planting density. When the planting density was the same, the sucrose content in the alfalfa leaves increased and then decreased with the increase in the nitrogen application at the D2 density. The sucrose content of the alfalfa leaves was the highest in the D2N2 treatment at three different fertility periods, which increased by 12.5%, 41%, and 34.7%, respectively, compared with that of the D1N1 treatment.
Figure 8. Sucrose content of alfalfa at different planting densities and nitrogen application at such as D1N1, D1N2, D1N3, D2N1, D2N2, D2N3, D3N1, D3N1, D3N2, and D3N3 at 60, 90, 120, and 150 DAS. Different letters indicate significant differences between different treatments at same growth stage at p < 0.05 level.
Figure 9 illustrates that the effects of the planting density and nitrogen application on the starch content within the alfalfa leaves were statistically significant (p < 0.01) throughout the reproductive period. The alfalfa’s starch content increased and then decreased as the fertility period progressed. At the D1 and D2 densities, the starch content initially increased and then decreased with the increase in the nitrogen application, while at the D3 density, the starch content decreased with the increase in the nitrogen application. With the same nitrogen application, the starch content increased as the planting density increased at 60 days and 120 days after sowing in the N1 and N2 nitrogen application conditions, but decreased as the planting density increased at these time points in the N3 condition. Under the combined effect of planting density and nitrogen application, the starch content was highest in the D2N3 treatment at both 60 days and 120 days after sowing, showing increases of 116% and 58.7% compared to the D1N1 treatment, respectively. At 90 days after sowing, the starch content was highest in the D1N3 treatment, representing a 6% increase compared to the D1N1 treatment.
Figure 9. Starch content of alfalfa at different planting densities and nitrogen applications such as D1N1, D1N2, D1N3, D2N1, D2N2, D2N3, D3N1, D3N1, D3N2, and D3N3 at 60, 90, 120, and 150 DAS. Different letters indicate significant differences between different treatments at same growth stage at p < 0.05 level.

3.6. Effects on Nutrient Uptake

The results of the analysis of variance (ANOVA) revealed that the impact of planting density on the nitrogen (N) content of the alfalfa plants was statistically significant throughout the reproductive period, while the effect of N application on the N content of the alfalfa plants reached significance in all periods except for at 90 days after sowing. Both the planting density and N application had significant effects on the N content of the alfalfa plants throughout the reproductive period, with highly significant effects observed at 150 days after sowing (Table 1). The N content of the alfalfa plants gradually decreased with the progression of the fertility period, and the N application exerted a substantial influence on the N content of the alfalfa plants. When the planting density was the same, the N content of the alfalfa plants increased with the rise in the N application throughout the entire fertility period at the D2 density, reaching the highest level in high-nitrogen conditions. The N content also exhibited an increasing and then decreasing trend at other fertility periods, except for 60 days after sowing. The planting density also significantly influenced the plant N content, with the N content generally increasing at higher planting densities in the N1 and N2 applications. At 60 days after sowing, the N content of the alfalfa plants was higher in the D2N3, D3N2, and D3N3 treatments, showing increases of 69.6%, 71.3%, and 94.2%, respectively, compared to D1N1 (Table 1).
Table 1. Effects of different planting densities and nitrogen application rates on N content in alfalfa (mg N·g−1).
The results of the analysis of variance (ANOVA) indicated that the planting density had a significant impact on the phosphorus (P) content of the alfalfa plants at 60 and 150 days after sowing. The effect of the N application on the P content of the alfalfa plants was significant in all periods except at 60 days after sowing, and reached a highly significant level at 150 days after sowing. The combined effect of the planting density and nitrogen application on the P content of the alfalfa plants also reached significant levels at 60 and 150 days after sowing (Table 2).
Table 2. Effects of different planting densities and nitrogen application rates on phosphorus content in alfalfa (mg P·g−1).
The P content of the alfalfa plants gradually decreased as the fertility period progressed, reaching its lowest at 150 days after sowing. When the planting densities were the same, the P content of the alfalfa plants at the D2 and D3 densities generally increased at higher N applications. At the same nitrogen application rate, the P content of the alfalfa plants increased with the rise in the planting density at 150 days after sowing. At the N2 nitrogen application rate, the P content of the alfalfa plants generally showed a pattern of increasing and then decreasing with the rise in the planting density, reaching its peak at the D2 density. In the reciprocal conditions of planting density and nitrogen application, the P content of the alfalfa plants was higher in the D2N1 and D3N3 treatments at 60 days after sowing, showing increases of 46.9% and 34.3%, respectively, compared to the D1N1 treatment (Table 2).
The analysis of variance (ANOVA) revealed that the effects of the planting density and nitrogen application on the potassium (K) content of the alfalfa plants were statistically significant throughout the reproductive period, reaching significant levels at 60, 90, and 150 days after sowing, and particularly at 60 and 150 days after sowing (Table 3). As the fertility of the alfalfa plants advanced, their K content gradually decreased, generally reaching its lowest level at 150 days after sowing. When the planting densities were the same, the K content increased with the rise in the N application during the entire fertility period at the D1 and D2 densities. At the D3 density, the K content increased as the N application increased at 60 and 150 days after sowing, and then decreased at medium nitrogen levels, where it reached its peak. At the same N application rate, the K content increased as the planting density increased at 90 and 150 days after sowing in the N1 and N2 conditions throughout the entire reproductive period. The same factor increased and then decreased as the planting density increased at 120 days after sowing in the N1 condition and at 150 days after sowing in the N3 condition, reaching its maximum at the D2 density. At 60 days after sowing, the K content of the alfalfa plants in the D1N3, D2N3, and D3N2 treatments was relatively high, showing increases of 67.8%, 65.3%, and 71.2%, respectively, compared to that of D1N1 (Table 3).
Table 3. Effects of different planting densities and nitrogen application rates on potassium content in alfalfa (mg K·g−1).

3.7. Effects on Forage Quality

Table 4 demonstrates that interactions between planting density and nitrogen application exert a discernible influence on the crude protein (CP) content of alfalfa plants. When the planting density is consistent, the CP content decreases as the nitrogen application increases. Moreover, at the same planting density, the CP content decreases as the nitrogen application increases, but increases at a higher planting density. Notably, in specific planting density and nitrogen application conditions, the CP content of the alfalfa plants in the D1N1 and D1N2 treatments was relatively high, at 16.02% and 15.59%, respectively.
Table 4. The contents of crude protein, crude fat, and crude ash at the early flowering stage (%).
The results of the analysis of variance (ANOVA) indicate that the impact of the planting density on the crude fat content of the alfalfa plants was not statistically significant, whereas the effect of nitrogen application, as well as the interaction between planting density and nitrogen application, was significant. Specifically, at a consistent planting density, the crude fat content increased with escalating nitrogen application at the D1 density; exhibited an increasing and then decreasing trend as the nitrogen application increased at the D2 and D3 densities; and was highest at the medium nitrogen application level (N2).
At equivalent nitrogen application levels, the crude fat content initially increased and then decreased as the planting density increased in the N1 application; increased with the increasing planting density in N2 conditions; and decreased as the planting density escalated in the N3 nitrogen application. Notably, the crude fat content was highest in the D3N2 treatment, surpassing that of the D1N1 treatment by 19.1%, and was lowest in the D3N3 treatment, falling 11.1% below that of the D1N1 treatment.
The influence of the planting density and nitrogen application on the crude ash content of the alfalfa plants was found to be statistically significant. When the planting density was consistent, the crude ash content at the D1, D2, and D3 densities exhibited an increasing and then decreasing trend with rising nitrogen application, with the lowest content observed at the N3 nitrogen application. Similarly, when the nitrogen application levels were uniform, the crude ash content increased with the rising planting density at the N1 nitrogen application. At the D2 and D3 nitrogen application rates, the crude ash content increased and then decreased as the planting density escalated, reaching its lowest level at the D3 density. These findings suggest that increasing nitrogen application rates and planting densities are conducive to reducing the crude ash content of alfalfa plants.
Notably, the crude ash content of the D1N3 and D3N3 treatments was lower than that of the D1N2 treatment by 10%, and lower than that of the D1N2 treatment by 10.6% and 10%.
From Table 5, it is evident that at the same planting density, the overall acid detergent fiber content initially increased and then decreased as the nitrogen application increased at the D1, D2, and D3 densities. Similarly, when the same nitrogen level was applied, the acid detergent fiber content also exhibited an initial increase followed by a decrease as the planting density increased during N1, N2, and N3 nitrogen applications. The acid detergent fiber content was relatively low in D1N1 and D3N3 treatments, at 40.56% and 41.96%, respectively.
Table 5. The contents of acid detergent fiber (ADF), neutral detergent fiber (NDF), and relative forage (RFV) %.
When the planting density was held constant, the neutral detergent fiber content increased with nitrogen application at the D1 density; displayed an increase followed by a decrease with nitrogen application at the D2 density; and decreased with nitrogen application at the D3 density, reaching the lowest level in the N3 nitrogen application. Conversely, at the same nitrogen application level, the neutral detergent fiber content initially decreased and then increased as the planting density increased at the N1 application, exhibited an increase followed by a decrease as the planting density increased in the N2 application and N3 applications, reaching the lowest level at the D3 density. The neutral detergent fiber content was comparatively lower in D2N1 and D3N3 at 46.77% and 46.72%, respectively.
The results of the analysis of variance (ANOVA) revealed a significant effect of nitrogen application on the relative forage value, while for the planting density, this effect was found to be non-significant. Specifically, at the same density, the relative forage value increased as the nitrogen application increased in the D1, D2, and D3 conditions. Similarly, at the same nitrogen application level, the relative forage value increased as the planting density increased in the N1 condition. In the N2 and N3 conditions, the relative forage value initially increased and then decreased as the planting density increased.
When the planting density and nitrogen application were intercropped, the highest relative forage value of 118% was observed in the D2N2 and D3N3 treatments, representing a 12.4% increase compared to the D1N1 treatment.

4. Discussion

4.1. Effects on Biomass

Planting density is a critical factor that influences crop growth, development, and yield formation. When the density is too low, although a single plant may receive increased soil nutrients and have a larger photosynthetic area and period, the lower population per unit area leads to reduced yields []. Conversely, when the density is too high, the nutrients absorbed by a single plant decrease, and the amount of light received is also reduced, which is detrimental to yield enhancement []. The results of the experiment indicated that at 150 days after sowing, the plant height was more significant in the D2N3 treatment. Additionally, both the fresh and dry weight yields were highest in the D2N3 and D2N2 treatments at the same time point. Furthermore, the experiment revealed that the plant height and dry weight yield of the alfalfa plants were higher in the D2N3 and D2N2 treatments at 150 days after sowing. Moreover, the plant height, fresh weight, and dry weight yield of alfalfa exhibited an increasing and then decreasing trend as the planting density increased, reaching their peak at medium density (D2). These results indicate that an optimal planting density can enhance the yield of alfalfa in saline and alkaline soil. However, excessively high or low planting densities are not beneficial for improving alfalfa yields in such conditions. These findings are consistent with the results of a study conducted by Luo et al. [].
Nitrogen is a vital constituent of numerous essential organic compounds in plants, including proteins, nucleic acids, chlorophyll, enzymes, vitamins, alkaloids, and certain hormones []. It plays a crucial role in various life processes in plants, such as photosynthesis, cell growth and division, and genetic variation []. Consequently, nitrogen significantly influences plants’ life processes, as well as their yield and quality formation. Previous studies have demonstrated that after nitrogen application, plant height, the number of branches per plant, and the dry weight of alfalfa all exhibited significant increases []. However, excessive nitrogen fertilization can lead to excessive plant elongation, which is not conducive to yield improvement and can also result in environmental pollution []. The results of this experiment indicated that, at specific planting densities, the plant height, fresh grass yield, and hay yield of alfalfa increased as the nitrogen application increased, reaching their peak in high-nitrogen application conditions (N3).

4.2. Effects on Photosynthetic Pigments

The leaf serves as the primary site for photosynthesis in plants, and its size directly impacts the photosynthetic process, which in turn underpins plant growth, development, and yield quality []. The surface area of plant leaves is a critical parameter in plant modeling and is widely employed in research and practical applications of plant biochemistry, physiology, ecology, crop cultivation, management, and genetic breeding []. The findings of this study revealed that, in the intercropping conditions of planting density and nitrogen application, the treatments involving medium–high density and medium–high nitrogen application intercropping (D3N2 and D3N3) led to a significant increase in the leaf area of alfalfa throughout the entire reproductive period. These results suggest that augmenting planting density and nitrogen application positively influences the expansion of the leaf area of alfalfa plants.
Chlorophyll content exerts a direct influence on photosynthesis and the generation of photosynthetic products []. Several factors affect photosynthesis, with nitrogen (N), phosphorus (P), and potassium (K) playing pivotal roles []. Furthermore, previous studies have demonstrated a positive correlation between nitrogen concentrations and the photosynthetic carbon assimilation rate of leaves, thereby influencing the plant’s photosynthetic capacity [,]. In this study, it was observed that both the planting density and nitrogen application significantly increased the levels of chlorophyll a and chlorophyll b in alfalfa leaves throughout the reproductive period in intercropping conditions. However, the impact on the carotenoid content was not found to be significant. Notably, nitrogen, an essential nutrient in the growth process of alfalfa, exhibited a positive correlation with the total chlorophyll content in the alfalfa leaves, with the N3 treatment demonstrating a more pronounced effect on the chlorophyll levels. Therefore, the quantity and density of nitrogen application can enhance the total chlorophyll content in leaves, thereby improving the nutritional characteristics and photosynthetic rate [].

4.3. Effects on Carbohydrate Accumulation

Nitrogen, a crucial nutrient impacting crop yield and quality, necessitates judicious management to enhance starch accumulation in crops []. Studies have revealed that elevating the nitrogen fertilizer application ratio can stimulate starch content augmentation in maize kernels []. Furthermore, nitrogen accumulation has been linked to the levels of soluble protein and soluble sugar [], with Li et al. [] determining that optimal cultivation density effectively enhances the crop energy content.
Sucrose, a critical component in starch synthesis, directly influences crops’ starch content and is closely tied to crop yield. The quantity of applied nitrogen significantly impacts sucrose accumulation in plants during the growth and development stages. This study’s findings revealed that sucrose accumulation was highest in the D2N2 treatment, suggesting that an increased nitrogen application could elevate the sucrose content in alfalfa leaves. Over the reproductive period, the sucrose content at the medium planting density (D2) increased and then decreased as the nitrogen application increased, indicating that medium nitrogen application (D2N2) at a medium planting density was most conducive to sucrose content enhancement. Concurrently, in the same nitrogen application, the sucrose content of the alfalfa in the D2 treatment surpassed that in the D3 and D2 treatments. This outcome suggests that an excessively high planting density hinders sucrose accumulation in saline alfalfa leaves.
At equivalent planting densities, the starch content exhibited a positive correlation with nitrogen application at the D1 and D2 densities. Conversely, at the D3 density, the starch content initially increased and then decreased as the nitrogen application increased, except at 90 d, suggesting that excessive nitrogen application could impede starch accumulation. Moreover, in high-nitrogen (N3) conditions, the starch content declined as the planting density increased, indicating that a heightened planting density in high-nitrogen conditions hinders starch accumulation. This finding aligns with the conclusions drawn by Ju et al. in their study on oats [].

4.4. Effects on Nutrient Uptake

Nitrogen, phosphorus, and potassium are crucial nutrients for plant growth, and their deficiency can lead to abnormal plant development and yield decline []. Moreover, nitrogen fertilizer’s utilization, agronomic efficiency, and physiological efficiency decrease as fertilizer application increases. Conversely, at equivalent fertilizer rates, these same factors increase as the planting density increases. Shi et al. demonstrated that an optimal planting density significantly reduced N accumulation and utilization efficiency while increasing the N recovery and bias productivity of the N fertilizer. Furthermore, the proportion of plant nitrogen accumulation attributed to the N fertilizer remained unaffected by the density [].
The experiment revealed the following: (1) The nitrogen fertilizer dosage significantly impacted the alfalfa N content. At the D2 density, the alfalfa plants’ N content increased throughout the reproductive period as the nitrogen application increased, reaching its peak in high-nitrogen conditions (D2N3 treatment). The planting density also exerted a substantial influence on the plants’ N content, with an overall higher N content observed in the D3N1 and D3N2 treatments when the planting density was increased in the N1 and N2 nitrogen application conditions. (2) At equivalent planting densities, the P content of the alfalfa plants at the D2 and D3 densities generally increased as the nitrogen application increased, with the D2N3 and D3N3 treatments proving to be the most conducive to an enhanced plant P content. Furthermore, at the same nitrogen application rate, the alfalfa plant P content in the N2 group demonstrated an increase followed by a decrease as the planting density increased, peaking at the D2 density. Notably, the P content of the alfalfa plants was higher in the D2N1 and D3N3 treatments at 60 days after sowing, considering the reciprocal relationship between planting density and N application. (3) At the same planting density, the K content of the alfalfa plants at the D1 and D2 densities increased throughout the reproductive period as the N application increased. Conversely, the K content of the alfalfa plants at the D3 density increased initially, followed by a decline as the N application increased at 60 and 150 days after sowing, indicating that high density was detrimental to K content accumulation in the alfalfa plants post-sowing. When the same amount of nitrogen was applied, the K content of the alfalfa plants increased as the planting density increased at 90 and 150 days after sowing in the N1 and N2 conditions. Specifically, the K content of the alfalfa plants reached its peak in the D3N1 and D3N2 treatments, indicating that increasing the planting density was also conducive to enhancing the K content of the alfalfa plants.
Overall, the content of N, P, and K increased with the application of nitrogen. The content of N and K increased as the planting density increased, while the content of P initially increased and then decreased as the planting density increased, indicating that an excessively high density is unfavorable for enhancing the P content of alfalfa plants.

4.5. Effects on Forage Quality

Crude protein content serves as a crucial indicator of forage quality, with higher contents indicating increased nutritional value. Kamran et al. [] demonstrated that the crude protein content of alfalfa could only be elevated with a specific application of nitrogen, phosphorus, and potash fertilizers. Our study’s results align with this finding, as increased nitrogen application substantially augmented the crude protein content in the alfalfa plants, which is consistent with the conclusion drawn by Helalia et al. [] regarding the impact of diverse water and fertilizer combinations on alfalfa quality. Notably, the highest crude protein content was observed with the D1N1 and D1N2 treatments, considering the reciprocal influence of planting density and nitrogen application.
Fat is a highly energetic component, with an energy content approximately 2.4 times greater than that of carbohydrates and proteins. Therefore, the level of crude fat content serves as a determining factor of the nutritional value of alfalfa. Our study’s findings reveal that increasing the amount of nitrogen applied can elevate the crude fat content of plants at the D1 density, which is consistent with the conclusions drawn by Lu et al. through their investigation of the effects of nitrogen and phosphorus ratios on alfalfa quality in the Loess Plateau of China []. In N2 conditions, increasing the planting density could also raise the crude fat content. Notably, for the intercropping treatment, the highest crude fat content was observed in D3N2, while the lowest was observed in the high-density D3N3 treatment, indicating that the D3N2 treatment was more conducive to enhancing the crude fat content in this experiment.
Crude ash is the residual material left after combustion and is used to determine the inorganic mineral content in pasture grass []. A plant’s inorganic mineral content typically remains constant, but soil pollution during harvesting, drying, and storage can lead to artificially elevated measurements. Moreover, planting density and nitrogen application can also influence crude ash content. The Chinese legume and forage hay quality standard stipulates that a crude ash content exceeding 12.5% renders the product substandard. In this study, all treatments yielded crude ash contents below 12.5%, indicating the production of qualified forage []. Our results demonstrated that planting density and nitrogen application exerted significant effects on the ash content of alfalfa plants. The crude ash content increased and then decreased as the nitrogen fertilizer dosage increased, with the lowest content observed for N3. Notably, the low-nitrogen (N1) and high-nitrogen (N3) conditions were conducive to reducing the crude ash content, with high nitrogen (N3) being the most effective. The crude ash content was relatively lower in the treatments of D1N3, D3N3, and D3N3, indicating that crude ash content reduction was achievable at 300.0 kg·ha−1(N3) of nitrogen application and planting densities of 15.0 kg·ha−1 (D1) and 45.0 kg·ha−1 (D3).
Neutral detergent fiber (NDF) significantly influences livestock intake and digestibility, showing a negative correlation with nutrient digestibility. Our study revealed that the acid detergent fiber (ADF) content exhibited an initial increase followed by a decrease as the planting density and nitrogen application increased. Notably, D1N1 and D3N3 demonstrated relatively low ADF contents, suggesting their efficacy in reducing ADF levels in the experimental conditions. At a sowing rate of 45.0 kg·ha−1 (D3), the NDF content demonstrated an increase followed by a decrease with varying nitrogen application, indicating the potential of additional nitrogen fertilization to reduce the NDF content under this condition. Furthermore, the NDF content decreased as the planting density increased to a 45.0 kg·ha−1 (D3) sowing rate, suggesting that elevated nitrogen fertilizer levels can effectively reduce NDF content in these conditions. Specifically, the D3N3 treatment proved to be most effective in reducing NDF content in this experiment.
The relative feeding value (RFV) is a straightforward index utilized in recent years to assess and compare forage quality by calculating the values of acid detergent fiber (ADF) and neutral detergent fiber (NDF). The RFV serves as a predictive tool for forage intake and pasture energy value, playing a crucial role in evaluating pasture forage quality. A higher RFV indicates superior forage quality and overall nutritional value. Notably, an RFV exceeding 100 signifies enhanced overall nutritional value. In this experiment, the RFV exceeded 100 after each treatment, underscoring the improved nutritional value across all treatments []. Our study’s results demonstrated an increase in relative forage value with elevated N application, which is consistent with the findings of Hakl et al. []. Additionally, in the N1 condition, the relative forage value increased as the planting density increased, aligning with the results reported by He et al. []. The highest relative forage value of 118% was observed with the D2N2 and D3N3 treatments, indicating that reciprocated planting density and nitrogen application could enhance the relative forage value of alfalfa in these specific treatments.

5. Conclusions

This study revealed that, within the context of planting density and nitrogen application interactions, the D2N2 and D2N3 treatments yielded significantly better growth characteristics compared to other treatments. Enhanced nitrogen application was found to elevate the physiological activity of alfalfa, leading to improved salinity resistance. The combined increase in planting density and nitrogen application was observed to enhance the forage quality of alfalfa. Notably, the D2N2 treatment resulted in high forage yields, crude proteins, relative feed value, and improved nitrogen efficiency. These findings offer valuable insights for optimizing nutrient management in alfalfa production on saline and alkaline land in China, shedding light on the intricate relationship between fertilizer application and planting density.

Author Contributions

F.L. and G.Z. planned and designed the experiments; J.L. and F.L. performed the experiments; H.W. and Y.Z. analyzed the data; J.L. and Y.W. wrote the manuscript; I.A. and G.D. eliminated grammatical errors. All authors have read and agreed to the published version of the manuscript.

Funding

This work was supported by the China National Key R&D Program (2022YFE0113400), the Jiangsu Provincial Fund for Realizing Carbon Emission Peaking and Neutralization (BE2022305), the National Natural Science Funds (32102411), a project funded by the China Postdoctoral Science Foundation (2022M722698), and the Postgraduate Research and Practice Innovation Program of Jiangsu Province (KYCX23_3570).

Institutional Review Board Statement

Not applicable.

Data Availability Statement

Data used in this article are present in the tables and figures.

Conflicts of Interest

The authors declare no conflicts of interest.

References

  1. Hopmans, J.W.; Qureshi, A.S.; Kisekka, I.; Munns, R.; Grattan, S.R.; Rengassmy, P.; Ben-Gal, A.; Assouline, S.; Javaux, M.; Minhas, P.S.; et al. Critical knowledge gaps and research priorities in global soil salinity. Adv. Agron. 2021, 169, 1–191. [Google Scholar] [CrossRef]
  2. Zhu, G.L.; Lu, H.T.; Shi, X.X.; Wang, Y.; Zhi, W.F.; Chen, X.B.; Liu, J.W.; Ren, Z.; Shi, Y.; Ji, Z.Y.; et al. Nitrogen Management enhanced plant growth, antioxidant ability, and grain yield of rice under salinity stress. Agron. J. 2020, 112, 550–563. [Google Scholar] [CrossRef]
  3. Radha, B.; Sunitha, N.C.; Sah, R.P.; Azharudheen, M.T.P.; Krishna, G.K.; Umesh, D.K.; Thomas, S.; Anilkumar, C.; Upadhyay, S.; Kumar, A.; et al. Physiological and molecular implications of multiple abiotic stresses on yield and quality of rice. Front. Plant Sci. 2023, 13, 996514. [Google Scholar] [CrossRef]
  4. Guo, X.Q.; Zhu, G.L.; Jiao, X.R.; Zhou, G.S. Effects of nitrogen application and planting density on growth and yield of sesbania pea grown in saline soil. Curr. Sci. 2019, 116, 758–764. [Google Scholar] [CrossRef]
  5. Ashraf, M.; Munns, R. Evolution of Approaches to Increase the Salt Tolerance of Crops. Crit. Rev. Plant Sci. 2022, 41, 128–160. [Google Scholar] [CrossRef]
  6. Jabborova, D.; Abdrakhmanov, T.; Jabbarov, Z.; Abdullaev, S.; Azimov, A.; Mohamed, I.; AlHarbi, M.; Abu-Elsaoud, A.; Elkelish, A. Biochar improves the growth and physiological traits of alfalfa, amaranth and maize grown under salt stress. PeerJ 2023, 11, e15684. [Google Scholar] [CrossRef]
  7. Peel, M.D.; Anower, M.R.; Wu, Y.J. Breeding Efficiency for Salt Tolerance in Alfalfa. Life 2023, 13, 2188. [Google Scholar] [CrossRef]
  8. Song, Y.G.; Lv, J.; Ma, Z.Q.; Dong, W. The mechanism of alfalfa (Medicago sativa L.) response to abiotic stress. Plant growth regul. 2019, 89, 239–249. [Google Scholar] [CrossRef]
  9. Kirova, E. Effect of nitrogen nutrition source on antioxidant defense system of soybean plants subjected to salt stress. Bulg. Acad. Sci. 2000, 73, 211–219. [Google Scholar] [CrossRef]
  10. The, S.V.; Snyder, R.; Tegeder, M. Targeting nitrogen metabolism and transport processes to improve plant nitrogen use efficiency. Front. Plant Sci. 2021, 11, 628366. [Google Scholar] [CrossRef]
  11. Wan, W.F.; Li, H.G. Yield and quality of alfalfa (Medicago sativa L.) in response to fertilizer application in China: A meta-analysis. Front. Plant Sci. 2022, 13, 1051725. [Google Scholar] [CrossRef]
  12. Grabber, J.H.; Jokela, W.E.; Lauer, J.G. Soil nitrogen and forage yields of corn grown with clover or grass companion crops and manure. Agron. J. 2014, 106, 952–961. [Google Scholar] [CrossRef]
  13. Lkhagvasuren, B.; Schoenau, J.J.; Anderson, D.W.; Malhi, S.S. Plant and soil responses to nitrogen and phosphorus fertilization of bromegrass-dominated haylands in Saskatchewan, Canada. Grass Forage Sci. 2011, 66, 351–360. [Google Scholar] [CrossRef]
  14. Zhang, F.S. Using competitive and facilitative interactions in intercropping systems enhances crop productivity and nutrient-use efficiency. Plant Soil 2003, 248, 305–312. [Google Scholar] [CrossRef]
  15. Xiong, F.S. Enzyme-Couple Spectrophotometric Method for Determination of Starch and Sucrose Levels in Plant Leaves. J. Jiangsu Agric. Coll. 1992, 3, 17–20. (In Chinese) [Google Scholar]
  16. Run, Y.Z. Determination of Nitrogen Phosphorus and Potassium in Plant Sample with Soldium Sulphate-Copper Sulphate as Catalyst. Guangzhou Chem. 1994, 2, 42–46. (In Chinese) [Google Scholar]
  17. Zhao, Z. Comparison and Analysis of Two Pretreatment Methods for Determination of Nitrogen, Phosphorus and Potassium in Crops. Fujian Anal. Test. 2013, 32, 45–49. (In Chinese) [Google Scholar] [CrossRef]
  18. Glasser, F.; Doreau, M.; Maxin, G.; Baumont, R. Fat and fatty acid content and composition of forages: A meta-analysis. Anim. Feed. Sci. Technol. 2013, 185, 19–34. [Google Scholar] [CrossRef]
  19. Baldissera, T.C.; Frak, E.; Carvalho, P.C.D.; Louarn, G. Plant development controls leaf area expansion in alfalfa plants competing for light. Ann. Bot. 2014, 113, 145–157. [Google Scholar] [CrossRef]
  20. Raun, W.R.; Johnson, G.V.; Phillips, S.B.; Thomason, W.E.; Dennis, J.L.; Cossey, D.A. Alfalfa yield response to nitrogen applied after each cutting. Soil Sci. Soc. Am. J. 1999, 63, 1237–1243. [Google Scholar] [CrossRef]
  21. Luo, Z. Analysis of the effect of reasonable close planting on respiration characteristics of alfalfa (Medicago sativa L.) artificial grassland. Turk. J. Agric. For. 2021, 45, 533–540. [Google Scholar] [CrossRef]
  22. Xu, L.J.; Cheng, S.L.; Fang, H.J.; Xin, X.P.; Xu, X.L.; Tang, H.J. Soil inorganic nitrogen composition and plant functional type determine forage crops nitrogen uptake preference in the temperate cultivated grassland, Inner Mongolia. Soil Sci. Plant Nutr. 2019, 65, 501–510. [Google Scholar] [CrossRef]
  23. Oliveira, W.S.; Oliveira, P.P.A.; Corsi, M.; Duarte, F.R.S.; Tsai, S.M. Alfalfa yield and quality as function of nitrogen fertilization and symbiosis with Sinorhizobium meliloti. Sci. Agric. 2004, 61, 433–438. [Google Scholar] [CrossRef]
  24. Marsalis, M.A.; Angadi, S.V.; Contreras-Govea, F.E. Dry matter yield and nutritive value of corn, forage sorghum, and BMR forage sorghum at different plant populations and nitrogen rates. Field Crops Res. 2010, 116, 52–57. [Google Scholar] [CrossRef]
  25. Lu, X.K.; Mao, Q.G.; Gilliam, F.S.; Luo, Y.Q.; Mo, J.M. Nitrogen Deposition Contributes to Soil Acidification in Tropical Ecosystems. Glob. Chang. Biol. 2014, 12, 3790–3801. [Google Scholar] [CrossRef]
  26. Kant, S.; Bi, Y.M.; Rothstein, S.J. Understanding Plant Response to Nitrogen Limitation for the Improvement of Crop Nitrogen Use Efficiency. J. Exp. Bot. 2011, 62, 1499–1509. [Google Scholar] [CrossRef] [PubMed]
  27. Takashima, T.; Hikosaka, K.; Hirose, T. Photosynthesis or Persistence: Nitrogen Allocation in Leaves of Evergreen and Deciduous Quercus Species. Plant Cell Environ. 2004, 27, 1047–1054. [Google Scholar] [CrossRef]
  28. Liu, J.; Wu, Y.Q.; Dong, G.C.; Zhu, G.L.; Zhou, G.S. Progress of Research on the Physiology and Molecular Regulation of Sorghum Growth under Salt Stress by Gibberellin. Int. J. Mol. Sci. 2023, 24, 6777. [Google Scholar] [CrossRef]
  29. Zhao, J.T.; Huang, R.Z.; Yang, K.X.; Ma, C.H.; Zhang, Q.B. Effects of Nitrogen and Phosphorus Fertilization on Photosynthetic Properties of Leaves and Agronomic Characters of Alfalfa over Three Consecutive Years. Agriculture 2022, 12, 1187. [Google Scholar] [CrossRef]
  30. Wright, I.J.; Reich, P.B.; Cornelissen, J.H.C.; Falster, D.S.; Garnier, E.; Hikosaka, K.; Lamont, B.B.; Lee, W.; Oleksyn, J.; Osada, N.; et al. Assessing the generality of global leaf trait relationships. New Phytol. 2005, 166, 485–496. [Google Scholar] [CrossRef]
  31. Gusewell, S. N:P Ratios in Terrestrial Plants: Variation and Functional Significance. New Phytol. 2004, 164, 243–266. [Google Scholar] [CrossRef]
  32. Sun, J.G.; Liu, C.C.; Hou, J.H.; He, N.A.P. Spatial Variation of Stomatal Morphological Traits in Grassland Plants of the Loess Plateau. Ecol. Indic. 2021, 128, 107857. [Google Scholar] [CrossRef]
  33. Li, X.X.; Hu, C.S.; Delfado, J.A.; Zhang, Y.M.; Ouyang, Z.Y. Increased nitrogen use efficiencies as a key mitigation alternative to reduce nitrate leaching in north china plain. Agric. Water Manag. 2007, 89, 137–147. [Google Scholar] [CrossRef]
  34. Wang, J.; Wen, Z.R.; Fu, P.X.; Lu, W.P.; Lu, D.L. Effects of Nitrogen Rates on the Physicochemical Properties of Waxy Maize Starch. Starch-Starke 2019, 71, 11–12. [Google Scholar] [CrossRef]
  35. Greenfield, L.M.; Hill, P.W.; Seaton, F.M.; Paterson, E.; Baggs, E.M.; Jones, D.L. Is soluble protein mineralisation and protease activity in soil regulated by supply or demand? Soil Biol. Biochem. 2020, 150, 108007. [Google Scholar] [CrossRef]
  36. Li, R.; Volence, J.J.; Joern, B.C.; Cunningham, S.M. Seasonal changes in nonstructural carbohydrates, protein, and macronutrients in roots of alfalfa, red clover, sweetclover, and birdsfoot trefoil. Crop Sci. 1996, 36, 617–623. [Google Scholar] [CrossRef]
  37. Ju, Z.L.; Liu, K.Q.; Zhao, G.Q.; Ma, X.; Jia, Z.F. Nitrogen Fertilizer and Sowing Density Affect Flag Leaf Photosynthetic Characteristics, Grain Yield, and Yield Components of Oat in a Semiarid Region of Northwest China. Agronomy 2022, 12, 2108. [Google Scholar] [CrossRef]
  38. Boyce, R.L.; Larson, J.R.; Sanford, R.L. Phosphorus and Nitrogen Limitations to Photosynthesis in Rocky Mountain Bristlecone Pine (Pinas aristata) in Colorado. Tree Physiol. 2006, 26, 1477–1486. [Google Scholar] [CrossRef]
  39. Tan, Y.; Hu, F.L.; Li, G.; Zhao, C.; Yu, A.Z.; Fan, H.; Fan, Z.L.; Yin, W. Optimizing water use between intercropped pea and maize through strip row ratio expansion and N fertilizer reduction in arid areas. Field Crops Res. 2021, 260, 108001. [Google Scholar] [CrossRef]
  40. Kamran, M.; Yan, Z.A.; Jia, Q.M.; Chang, S.H.; Ahmad, I.; Ghani, M.U.; Hou, F.J. Irrigation and nitrogen fertilization influence on alfalfa yield, nutritive value, and resource use efficiency in an arid environment. Field Crop Res. 2022, 284, 108587. [Google Scholar] [CrossRef]
  41. Helalia, A.M.; Al-Tahir, O.A.; Al-Nabulsi, Y.A. The influence of irrigation water salinity and fertilizer management on the yield of Alfalfa (Medicago sativa L.). Agric. Water Manag. 1996, 31, 105–114. [Google Scholar] [CrossRef]
  42. Lu, J.Y.; Yang, M.; Liu, M.G.; Lu, Y.X.; Yang, H.M. Nitrogen and phosphorus fertilizations alter nitrogen, phosphorus and potassium resorption of alfalfa in the Loess Plateau of China. J. Plant Nutr. 2019, 42, 2234–2246. [Google Scholar] [CrossRef]
  43. Türk, M.; Celik, N.; Bayram, G.; Budakli, E. Effects of nitrogen and potassium fertilization on yield and nutritional quality of rangeland. Asian J. Chem. 2007, 19, 2341–2348. [Google Scholar]
  44. Feng, Y.P.; Shi, Y.; Zhao, M.Y.; Shen, H.H.; Xu, L.C.; Luo, Y.K.; Liu, Y.Z.; Xing, A.J.; Kang, J.; Jing, H.C.; et al. Yield and quality properties of alfalfa (Medicago sativa L.) and their influencing factors in China. Eur. J. Agron. 2022, 141, 126637. [Google Scholar] [CrossRef]
  45. Kuehn, C.S.; Jung, H.G.; Linn, J.C.; Martin, N.P. Characteristics of alfalfa hay quality grades based on the relative feed value index. J. Prod. Agric. 1999, 12, 681–684. [Google Scholar] [CrossRef]
  46. Hakl, J.; Kunzová, E.; Tocauerová, Š.; Menšík, L.; Mrázková, M.; Pozdíšek, J. Impact of long-term manure and mineral fertilization on yield and nutritive value of lucerne (Medicago sativa) in relation to changes in canopy structure. Eur. J. Agron. 2021, 123, 126219. [Google Scholar] [CrossRef]
  47. He, F.; Xie, K.Y.; Li, X.L. Effect of Nitrogen Fertilizer and Seeding Rate on Yield of Alfalfa and Weeds. Pol. J. Environ. Stud. 2018, 27, 647–653. [Google Scholar] [CrossRef]
Disclaimer/Publisher’s Note: The statements, opinions and data contained in all publications are solely those of the individual author(s) and contributor(s) and not of MDPI and/or the editor(s). MDPI and/or the editor(s) disclaim responsibility for any injury to people or property resulting from any ideas, methods, instructions or products referred to in the content.

Article Metrics

Citations

Article Access Statistics

Multiple requests from the same IP address are counted as one view.