Journal Description
Macromol
Macromol
is an international, peer-reviewed, open access journal on all aspects of macromolecular research published quarterly online by MDPI.
- Open Access— free for readers, with article processing charges (APC) paid by authors or their institutions.
- High Visibility: indexed within ESCI (Web of Science), Scopus, CAPlus / SciFinder, and other databases.
- Journal Rank: JCR - Q2 (Polymer Science) / CiteScore - Q1 (Materials Science (miscellaneous))
- Rapid Publication: manuscripts are peer-reviewed and a first decision is provided to authors approximately 24.1 days after submission; acceptance to publication is undertaken in 5.7 days (median values for papers published in this journal in the first half of 2025).
- Recognition of Reviewers: APC discount vouchers, optional signed peer review, and reviewer names published annually in the journal.
- Journal Cluster of Polymer and Macromolecular Science: Polymers, Gels, Polysaccharides, Textiles, Macromol, Microplastics and Adhesives.
Impact Factor:
4.4 (2024);
5-Year Impact Factor:
4.6 (2024)
Latest Articles
Poly(3-Hydroxybutyrate-Co-3-Hydroxyvalerate) Produced from Food-Related Wastes: Solid-State NMR Analysis
Macromol 2025, 5(4), 61; https://doi.org/10.3390/macromol5040061 - 9 Dec 2025
Abstract
►
Show Figures
Poly(hydroxyalkanoates) (PHAs) have garnered significant attention due to their biodegradable and biocompatible properties, making them promising alternatives to conventional petroleum-based plastics. As microbial-derived polyesters, PHAs offer a sustainable solution to plastic waste accumulation and microplastics because they can be produced from renewable resources,
[...] Read more.
Poly(hydroxyalkanoates) (PHAs) have garnered significant attention due to their biodegradable and biocompatible properties, making them promising alternatives to conventional petroleum-based plastics. As microbial-derived polyesters, PHAs offer a sustainable solution to plastic waste accumulation and microplastics because they can be produced from renewable resources, including food-related waste. Poly(3-hydroxybutyrate-co-3-hydroxyvalerate) (PHBV), a copolymer in the PHA family, exhibits improved mechanical flexibility and thermal properties compared to poly(3-hydroxybutyrate), thereby broadening its potential applications. In this work, eight samples of PHBV, including those made from food waste and municipal waste streams, were studied by solid-state NMR. Information obtained includes the copolymer composition, chemical shifts due to crystalline lattices, crystallinity, and polymer chain mobility. The composition matches the results from the fatty acid feed and solution NMR analysis. The samples appear to be about 62–70% crystalline. No significant differences in mobility are observed from NMR relaxation data. These results indicate that PHBV materials generated from different food-related waste sources, despite their compositional differences, possess similar crystallinity and molecular mobility, suggesting their suitability as biobased semi-crystalline plastics.
Full article
Open AccessArticle
Design of Experiments Methodology for Fused Filament Fabrication of Silicon-Carbide-Particulate-Reinforced Polylactic Acid Composites
by
Andrew P. Gyekenyesi, Meelad Ranaiefar, Michael C. Halbig and Mrityunjay Singh
Macromol 2025, 5(4), 60; https://doi.org/10.3390/macromol5040060 - 8 Dec 2025
Abstract
►▼
Show Figures
Fused Filament Fabrication (FFF) is an additive manufacturing technique that constructs parts by extruding material layer by layer. It offers advantages such as rapid prototyping, cost-effectiveness, and the ability to produce complex geometries. This study investigates the mechanical behavior of a composite filament
[...] Read more.
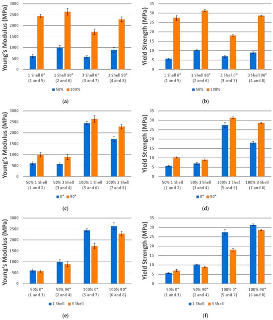
Fused Filament Fabrication (FFF) is an additive manufacturing technique that constructs parts by extruding material layer by layer. It offers advantages such as rapid prototyping, cost-effectiveness, and the ability to produce complex geometries. This study investigates the mechanical behavior of a composite filament composed of silicon carbide (SiC) ceramic particulates embedded in a polylactic acid (PLA) matrix, fabricated via FFF. Pure PLA specimens were also printed and tested to serve as a baseline. A Design of Experiments (DOE) methodology was employed to evaluate the influence of key printing parameters on mechanical properties, including Young’s modulus, yield strength, and ultimate strength. Microstructural analysis was performed on printed specimens using scanning electron microscopy (SEM). For compression testing, the parameters studied were infill percentage, number of shells, and print orientation. For tensile testing, the parameters included layer height, number of shells, and infill angle. Results indicated that infill percentage had the most significant impact on compressive properties, while layer height was the dominant factor in tensile performance. These findings provide insights into optimizing FFF process parameters for ceramic-particulate-reinforced polymer composites.
Full article

Figure 1
Open AccessArticle
Antioxidant, Photoprotective, and In Vitro Antiaging Assessment of Optimized Water/Oil Emulsions of Selenized Chickpea Glutelin with Rosehip Oil or Grapeseed Oil
by
Ada Keila Milán-Noris, Ángel R. Rábago-Monzón, Maritza G. Castro-Quintero, Marilena Antunes-Ricardo, Álvaro Montoya-Rodríguez, Julio Montes-Ávila, Cuauhtémoc Reyes-Moreno and Daniela Guardado-Félix
Macromol 2025, 5(4), 59; https://doi.org/10.3390/macromol5040059 - 4 Dec 2025
Abstract
►▼
Show Figures
The selenized glutelin (Se-G) from Se-enriched chickpea sprouts has demonstrated high antioxidant potential. In this study, the response surface methodology was employed to optimize Se-G content (1–4%) and grape or rosehip oils (10–40%) for the preparation of W/O emulsions with strong antioxidant activity.
[...] Read more.
The selenized glutelin (Se-G) from Se-enriched chickpea sprouts has demonstrated high antioxidant potential. In this study, the response surface methodology was employed to optimize Se-G content (1–4%) and grape or rosehip oils (10–40%) for the preparation of W/O emulsions with strong antioxidant activity. In the optimal emulsions (Se-GG with grape oil and Se-GR with rosehip oil), antioxidant, photoprotective, and antiaging properties were evaluated. Non-Se glutelin was used in the control emulsions. The optimal conditions determined (4.0% Se-G/10.0% rosehip oil and 3.39% Se-G/12.50% grape oil) allowed for the preparation of emulsions with higher antioxidant capacity. The Se-GR with rosehip oil had greater antioxidant capacity than the Se-GG with grape oil. The optimal emulsions with Se, compared to their Se-free controls, had significantly higher antioxidant activity. The zeta potential value increased with the presence of Se. A positive effect on the inhibition of ROS production and lipid peroxidation was observed, as well as the inhibition of collagenase, elastase, and hyaluronidase activity, mainly due to the presence of selenium. Se-G represents a powerful tool for preventing damage to the skin caused by UV exposure.
Full article

Graphical abstract
Open AccessReview
From Nature to Science: A Review of the Applications of Pectin-Based Hydrogels
by
Karla Nohemi Rubio-Martin del Campo, María Fernanda Rivas-Gastelum, Luis Eduardo Garcia-Amezquita, Maricruz Sepulveda-Villegas, Edgar R. López-Mena, Jorge L. Mejía-Méndez and Angélica Lizeth Sánchez-López
Macromol 2025, 5(4), 58; https://doi.org/10.3390/macromol5040058 - 2 Dec 2025
Abstract
►▼
Show Figures
Pectin is widely used in different areas like biomedical, pharmaceutical, food, and environmental industries thanks to its gelling properties. Pectin hydrogels are of great interest because of their wide biomedical applications in drug delivery, tissue engineering, wound healing, the food industry, agriculture, and
[...] Read more.
Pectin is widely used in different areas like biomedical, pharmaceutical, food, and environmental industries thanks to its gelling properties. Pectin hydrogels are of great interest because of their wide biomedical applications in drug delivery, tissue engineering, wound healing, the food industry, agriculture, and cosmetic products because of their biocompatibility, biodegradability, and non-toxic nature. This review provides an understanding of pectin-based hydrogels and their applications in various industrial areas. In addition, an overview of emerging technologies and recent applications of pectin hydrogels is provided, including the controlled and targeted release of bioactive compounds or drugs. They are used as a scaffold for cell growth, as a wound dressing to promote healing, as a fat replacer in food, and as a texturizer in skin-care products. It also serves as a coating for seeds to improve their germination and growth. This paper also identifies knowledge gaps and future research direction for optimizing pectin hydrogels.
Full article

Figure 1
Open AccessArticle
Investigating Swelling and Bending Response of pH-Sensitive Chitosan-Based Hydrogels
by
Jafar Arash Mehr and Hamed Hatami-Marbini
Macromol 2025, 5(4), 57; https://doi.org/10.3390/macromol5040057 - 27 Nov 2025
Abstract
►▼
Show Figures
Biocompatible electroactive hydrogels with bidirectional pH-responsive bending are important for the creation of biomedical actuators. This study developed chitosan/carboxymethylcellulose (CS/CMC) semi-interpenetrating networks (SIPNs) with different volume ratios, which were crosslinked with glutaraldehyde. The swelling and bending behaviors of SPINs were systematically characterized as
[...] Read more.
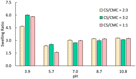
Biocompatible electroactive hydrogels with bidirectional pH-responsive bending are important for the creation of biomedical actuators. This study developed chitosan/carboxymethylcellulose (CS/CMC) semi-interpenetrating networks (SIPNs) with different volume ratios, which were crosslinked with glutaraldehyde. The swelling and bending behaviors of SPINs were systematically characterized as a function of the pH of the solution and the magnitude of the applied electric field. The hydrogels exhibited pH-dependent bidirectional actuation, with the maximum swelling of 4.67–6.00 at pH ≈ 3.9 and minimum swelling of 1.58–2.53 at pH ≈ 5.7. The SPINs with CS/CMC = 1:1 composition achieved the highest bending angle of 77° at pH ≈ 5.7, while cathodic bending up to an angle of −13.7° was observed in basic conditions. The electromechanical response was significantly enhanced by decreasing the electrode distance and increasing the applied voltage. The observed correlation between the composition, swelling behavior, and bending performance was explained in terms of the electrostatic interactions between NH3+ and COO− groups present in the CS/CMC mixtures. These findings provided novel insight into the ongoing efforts for the development of non-toxic electroactive hydrogels with tailored electromechanical bending behavior necessary for use as artificial muscles and biomedical actuators.
Full article

Graphical abstract
Open AccessReview
RNA Polymerase II Activity and Nuclear Actin: Possible Roles of Nuclear Tropomyosin, Troponin and Ca2+ in Transcription in Striated Muscle Myocyte Nuclei
by
Amelia J. Koopman, Alexandra J. Martin, Lauren G. Moore, Michelle Rodriguez and Prescott Bryant Chase
Macromol 2025, 5(4), 56; https://doi.org/10.3390/macromol5040056 - 13 Nov 2025
Abstract
►▼
Show Figures
Ribonucleic acid (RNA) polymerases are macromolecular machines that catalyze the synthesis of RNA macromolecules, the sequences of which are coded for by the sequences of regions of deoxyribonucleic acid (DNA) macromolecules in the nucleus of eukaryotic cells, or nuclei in the case of
[...] Read more.
Ribonucleic acid (RNA) polymerases are macromolecular machines that catalyze the synthesis of RNA macromolecules, the sequences of which are coded for by the sequences of regions of deoxyribonucleic acid (DNA) macromolecules in the nucleus of eukaryotic cells, or nuclei in the case of many mature striated muscle cells, or myocytes, which are in many cases polynucleated. Herein, we review the evidence that transcription, the activity of RNA polymerases that is an essential step in gene expression, and processes related to maturation of eukaryotic RNA can be influenced by the macromolecule actin and its macromolecular complex of filamentous actin and its association with actin-binding proteins in the nucleus. We furthermore hypothesize that the macromolecular complexes of troponin (Tn) and tropomyosin (Tm), which bind actin filaments in the cytoplasm of striated muscle myocytes to form thin filaments and which are also found in the nuclei of striated muscle myocytes and some cancerous cells, could modulate that influence of nuclear actin on transcription when present in a nucleus. Interestingly, troponin and tropomyosin could confer Ca2+ dependence to transcriptional modulation by nuclear actin, a mechanism that would complement Ca2+-dependent modulation of post-translational modifications that influence gene expression.
Full article

Graphical abstract
Open AccessReview
Advances in Collagen-/Gelatin-Based Hydrogels: Rheological Properties and Applications
by
Ozge Ata, Jozef L. Kokini, Sebnem Tavman and Gamze Yazar
Macromol 2025, 5(4), 55; https://doi.org/10.3390/macromol5040055 - 11 Nov 2025
Abstract
►▼
Show Figures
Owing to their tunable and biocompatible characteristics, collagen- and gelatin-based hydrogels have gained attention in numerous applications, including biomedical, food, pharmaceutical, and environmental. The gelation mechanisms and resulting network structures of collagen and gelatin differ significantly depending on the presence of intra- and
[...] Read more.
Owing to their tunable and biocompatible characteristics, collagen- and gelatin-based hydrogels have gained attention in numerous applications, including biomedical, food, pharmaceutical, and environmental. The gelation mechanisms and resulting network structures of collagen and gelatin differ significantly depending on the presence of intra- and intermolecular crosslinks. These differences enable the tailoring of mechanical properties to achieve desired characteristics in the final product. Mechanical gel strength and elasticity determine how effectively hydrogels can mimic natural tissues and respond to deformations. Probing the rheological properties of these gels enables a deeper understanding of their structure, physical attributes, stability, and release profiles. This review provides an in-depth evaluation of the factors affecting the mechanical strength of collagen- and gelatin-based hydrogels, highlighting the influence of co-molecules and the application of physical, chemical, and mechanical treatments. Herewith, it brings insights into how to manipulate the mechanical properties of these gels to improve their end-use functionality.
Full article

Figure 1
Open AccessArticle
Liposomal Formulations of L-Asparaginase Conjugated with Cationic Polymers for Enhanced Internalization into Cancer Cells
by
Igor D. Zlotnikov, Alexander A. Ezhov, Alexander V. Borisov, Andrey V. Lukyanov, Denis A. Babkov and Elena V. Kudryashova
Macromol 2025, 5(4), 54; https://doi.org/10.3390/macromol5040054 - 7 Nov 2025
Abstract
L-asparaginase (L-ASNase) is a vital enzymatic drug widely used for treating acute lymphoblastic leukemia (ALL) and certain lymphomas. However, its clinical application is often limited by a short plasma half-life, pronounced immunogenicity, and systemic toxicities. To address these challenges, we recently developed conjugates
[...] Read more.
L-asparaginase (L-ASNase) is a vital enzymatic drug widely used for treating acute lymphoblastic leukemia (ALL) and certain lymphomas. However, its clinical application is often limited by a short plasma half-life, pronounced immunogenicity, and systemic toxicities. To address these challenges, we recently developed conjugates of L-ASNase with cationic polymers, enhancing its cytostatic activity by increasing enzyme binding with cancer cells. The present study focuses on the development of liposomal formulations of E. coli L-asparaginase (EcA) and its conjugates with cationic polymers: the natural oligoamine spermine (spm) and a synthetic polyethylenimine–polyethyleneglycol (PEI-PEG) copolymer. This approach aims to improve enzyme encapsulation efficiency and stability within liposomes. Various formulations—including EcA conjugates with polycations incorporated into 100 nm and 400 nm phosphatidylcholine/cardiolipin (PC/CL, 80/20) anionic liposomes—were synthesized as a delivery system of high enzyme load. Fourier Transform Infrared (FTIR) spectroscopy confirmed successful enzyme association with liposomal carriers by identifying characteristic changes in the vibrational bands corresponding to both protein and lipid components. In vitro release studies demonstrated that encapsulating EcA formulations in liposomes more than doubled their half-release time (T1/2), depending on the formulation. Cytotoxicity assays against Raji lymphoma cells revealed that liposomal formulations, particularly 100 nm EcA-spm liposomes, exhibited markedly superior anti-proliferative activity, reducing cell viability to 4.5%, compared to 35% for free EcA. Confocal Laser Scanning Microscopy (CLSM) provided clear visual and quantitative evidence that enhanced cellular internalization of the enzyme correlates directly with its cytostatic efficacy. Notably, formulations showing higher intracellular uptake produced greater cytotoxic effects, emphasizing that hydrolysis of asparagine inside cancer cells, rather than extracellularly, is critical for therapeutic success. Among all tested formulations, the EcA-spermine liposomal conjugate demonstrated the highest fluorescence intensity within cells providing enhanced cytotoxicity. These results strongly indicate that encapsulating cationically modified L-ASNase in liposomes is a highly promising strategy to improve targeted cellular delivery and prolonged enzymatic activity. This strategy holds significant potential for developing more effective and safer antileukemic therapies.
Full article
(This article belongs to the Topic Recent Advances in Composite Biomaterials)
►▼
Show Figures

Graphical abstract
Open AccessArticle
Development of Biodegradable Cups from Corn and Fruit Processing Waste and Its Characterization: A Sustainable Approach
by
Sangram S. Wandhekar, Rajesh B. Kshirsagar, Surendra K. Sadawarte, Rinkesh A. Gosavi, Vaszko Gabor, Ayaz Mukarram Shaikh and Kovács Bela
Macromol 2025, 5(4), 53; https://doi.org/10.3390/macromol5040053 - 4 Nov 2025
Abstract
►▼
Show Figures
Single-use plastic cups and packaging materials pose severe environmental challenges due to their persistent nature and harmful impact on ecosystems and wildlife. Simultaneously, the indiscriminate disposal and burning of agricultural and food processing biomass contribute significantly to pollution. Among this biomass, waste generated
[...] Read more.
Single-use plastic cups and packaging materials pose severe environmental challenges due to their persistent nature and harmful impact on ecosystems and wildlife. Simultaneously, the indiscriminate disposal and burning of agricultural and food processing biomass contribute significantly to pollution. Among this biomass, waste generated from corn and fruit processing is produced in substantial quantities and is rich in natural fibres, making it a potential source for developing biodegradable products. This study focuses on the development of biodegradable cups using corn cob powder, mango peel powder, and pineapple peel powder through hot-press compression and moulding technology. The formulation was optimized using response surface methodology, with independent variables, i.e., corn cob (20–40 g), mango peel (30–50 g), and pineapple peel (20–30 g). The responses evaluated including hardness, colour (L* value), and water-holding capacity. The model was fitted using a second-order polynomial equation. Optimum results were achieved with 34 g of corn cob, 40 g of mango peel, and 26 g of pineapple peel powder, yielding a maximum hardness of 2.41 kg, an L* value of 47.03, and a water-holding capacity of 18.25 min. The optimized samples further underwent characterization of physical properties, functional groups, lattice structure, surface morphology, and biodegradability. Colour parameters were recorded as L* = 47.03 ± 0.021, a* = 10.47 ± 0.041, and b* = 24.77 ± 0.032. Textural study revealed a hardness of 2.411 ± 0.063 and a fracturability of 2.635 ± 0.033. The developed biodegradable cup had a semicrystalline nature with a crystallinity index of 44.4%. Soil burial tests confirmed that the developed cups degraded completely within 30 days. These findings highlight the potential of corn and fruit processing waste for developing eco-friendly, biodegradable cups as sustainable alternatives to single-use plastics.
Full article

Graphical abstract
Open AccessReview
Adenovirus Protease: An Overlooked but Druggable Antiviral Target
by
Polina Belova and Christos Papaneophytou
Macromol 2025, 5(4), 52; https://doi.org/10.3390/macromol5040052 - 3 Nov 2025
Abstract
►▼
Show Figures
Human adenovirus infections are typically self-limiting but can become life-threatening in pediatric populations and immunocompromised individuals. Despite this clinical importance, efforts to develop antiviral drugs against adenoviruses remain limited. A promising strategy is to target the adenovirus protease (AVP), an enzyme essential for
[...] Read more.
Human adenovirus infections are typically self-limiting but can become life-threatening in pediatric populations and immunocompromised individuals. Despite this clinical importance, efforts to develop antiviral drugs against adenoviruses remain limited. A promising strategy is to target the adenovirus protease (AVP), an enzyme essential for viral maturation and infectivity. Yet, research on AVP has lagged far behind that on other viral proteases. In this work, we aimed to reposition AVP as a viable target for antiviral therapy. We first discuss why AVP research has fallen behind and emphasize the need to redirect attention toward this protease. Building on advances in SARS-CoV-2 drug discovery, we evaluated the potential of repurposing inhibitors of the main protease (Mpro) and papain-like protease (PLpro) as modulators of AVP. Additionally, we examined the untapped potential of phytochemicals as novel scaffolds. These analyses were supported by original molecular docking studies. Our results revealed that previously reported SARS-CoV-2 inhibitors, such as the Mpro inhibitor ensitrelvir and the PLpro inhibitor (compound) 19, engage the catalytic site of AVP and may serve as starting scaffolds for inhibitor design. Screening of phytochemicals further identified promising candidates, including apigenin, camptothecin, kaempferol, and piperine. Together, these findings highlight AVP’s druggability and suggest that both repurposed antivirals and natural products provide complementary avenues for inhibitor development. Finally, we provide some recommendations to facilitate efforts in the discovery of novel AVP inhibitors.
Full article

Figure 1
Open AccessArticle
Encapsulation of Extract from Tomato Pomace Applicable as Natural Colorant and Antioxidant in Low-Nitrite Sausage
by
Nachayut Chanshotikul and Bung-Orn Hemung
Macromol 2025, 5(4), 51; https://doi.org/10.3390/macromol5040051 - 17 Oct 2025
Abstract
►▼
Show Figures
Tomato pomace (TP) is a waste product from tomato processing. This study explored its use as a food ingredient by creating an encapsulated TP extract (ETPE). TP was extracted with ethanol using a microwave-assisted method prior to encapsulating with either gum arabic (GA)
[...] Read more.
Tomato pomace (TP) is a waste product from tomato processing. This study explored its use as a food ingredient by creating an encapsulated TP extract (ETPE). TP was extracted with ethanol using a microwave-assisted method prior to encapsulating with either gum arabic (GA) or maltodextrin (MD) via spray drying. MD was selected for further studies based on its lower moisture content with higher radical scavenging ability, assessed by DPPH assay. Spray drying at 160 °C was chosen due to highest radical scavenging ability (≈14.02%), although lycopene content was not the highest. Application of ETPE in reduced nitrite sausages did not negatively impact the cooking yield, expressible moisture, and textures of samples. The redness and yellowness of sausage were improved significantly (p < 0.05). In addition, a reduction in TBARS from approximately 0.46 to 0.31 mgMDA/kg was found during cold storage for two weeks. In conclusion, the encapsulation of tomato pomace extract can serve as a functional ingredient to produce healthier sausage.
Full article

Figure 1
Open AccessArticle
Chitosan-Coated Nanostructured Lipid Carriers (NLCs) Incorporating Esters of Ferulic Acid with Photoprotective Activity
by
Ioanna Pitterou, Ioanna Kostopoulou, Maria-Anna Karadendrou, Marianna Fanouria Mitsioni, Christina Fountzoula, Anastasios Kriebardis, Marianthi Miliaronikolaki, Nikolaos Paraskevopoulos, Andromachi Tzani and Anastasia Detsi
Macromol 2025, 5(4), 50; https://doi.org/10.3390/macromol5040050 - 16 Oct 2025
Abstract
UV radiation is responsible for acute and chronic adverse effects on the skin. In recent years, it has been shown that various phenolic acids, particularly cinnamic acid derivatives, prevent some of these effects. In the present study, the design and synthesis of three
[...] Read more.
UV radiation is responsible for acute and chronic adverse effects on the skin. In recent years, it has been shown that various phenolic acids, particularly cinnamic acid derivatives, prevent some of these effects. In the present study, the design and synthesis of three esters of ferulic acid, analogues of the octyl methoxycinnamate (OMC), one of the most commercially used filters, are presented. The esters were evaluated for their photoprotective activity against UVA and UVB radiation. The ester 3b exhibited an SPF of 9.22 and a λc value of 343.9, higher than the values of OMC (SPF value: 8.19, λc value: 337.7). The development and optimization of a novel encapsulation process of the synthesized esters in nanostructured lipid carriers (NLCs) and coating of the NLCs with chitosan was also performed. The optimization of the coating processes was performed using a Box–Behnken experimental design. The optimal nanosystems exhibited a size of 117.0 ± 5 nm, enhanced stability in dispersion, and 78% encapsulation efficiency. The nanoparticles were characterized by ATR/FT–IR, TGA, and TEM. Incorporation of the nanoparticle dispersions in a sunscreen formulation increased the SPF factor of the formulation up to 48%. The esters and nanosystems also showed a satisfactory ability to inhibit the peroxidation of linoleic acid (AAPH induced lipid peroxidation assay) (74–91% inhibition).
Full article
(This article belongs to the Special Issue Recent Trends in Carbohydrate-Based Therapeutics)
►▼
Show Figures

Figure 1
Open AccessArticle
Supramolecular Structure and Complexation of Gum Arabic in Aqueous Solutions: What Determines Its Protective Functions in Nature and Technologies?
by
Olga S. Zueva, Mariya A. Klimovitskaya, Polina V. Skvortsova, Tahar Khair, Daria A. Kazantseva, Yuliya Abakumova and Naira R. Gromova
Macromol 2025, 5(4), 49; https://doi.org/10.3390/macromol5040049 - 16 Oct 2025
Abstract
►▼
Show Figures
In this work, the associative behavior of Gum Arabic in aqueous solutions was investigated through dynamic light scattering, nuclear magnetic resonance, and transmission and scanning electron microscopy. It was shown that in small associates, the spherical polysaccharide units have predominant sizes of 2–8
[...] Read more.
In this work, the associative behavior of Gum Arabic in aqueous solutions was investigated through dynamic light scattering, nuclear magnetic resonance, and transmission and scanning electron microscopy. It was shown that in small associates, the spherical polysaccharide units have predominant sizes of 2–8 and 9–20 nm. The average hydrodynamic diameter of diffusing structural units, calculated on the basis of NMR experiment, turned out to be close to 20 nm, which corresponds with electron microscopy data. Based on geometric considerations and the composition and supramolecular structure of Gum Arabic, we calculated the parameters of branched chains of Gum Arabic. A possible “crown” model of polysaccharide chain association into spherical blocks is presented. The developed model allowed us to describe the effects observed during the time-extended association of Gum Arabic particles (molecules) in aqueous solutions, leading first to blocks’ swelling, then the appearance of local gelation, and only then to the creation of dense protective layers on the surfaces. It was established that the tendency of amphiphilic Gum Arabic molecules to form complexes both among themselves and with various surfaces and the possibility of forming viscous gel-like layers on the interfaces underly its use in many natural, food, technical, and technological applications, including emulsification.
Full article

Figure 1
Open AccessReview
Polyglycerol Systems in Additive Manufacturing: Structure, Properties, and Processing
by
Julie Pearl M. Andal, Roxanne R. Navarro and Reymark D. Maalihan
Macromol 2025, 5(4), 48; https://doi.org/10.3390/macromol5040048 - 15 Oct 2025
Abstract
►▼
Show Figures
Additive manufacturing (AM) demands materials that combine precise printability with reliable thermal and mechanical performance. Polyglycerol (PG)-based macromolecular systems offer exceptional tunability through controlled architecture and chemical modification, enabling their use across both light-based and extrusion AM platforms. Strategic enhancements such as chemical
[...] Read more.
Additive manufacturing (AM) demands materials that combine precise printability with reliable thermal and mechanical performance. Polyglycerol (PG)-based macromolecular systems offer exceptional tunability through controlled architecture and chemical modification, enabling their use across both light-based and extrusion AM platforms. Strategic enhancements such as chemical functionalization, network formation, and hybrid reinforcement have expanded their capabilities from biomedical to structural applications, delivering improved stability, strength, and functionality. Despite these advances, performance-processing trade-offs and dispersion challenges remain barriers to widespread adoption. This review synthesizes current knowledge on PG-based materials in AM, mapping key structure-property-processing relationships and identifying strategies to advance their development as versatile and sustainable options for next-generation manufacturing.
Full article

Figure 1
Open AccessReview
State of the Art and Recent Advances on Ester and Ether Derivatives of Polysaccharides from Lignocellulose: Production and Technological Applications
by
Heloise O. M. A. Moura, Aisha V. S. Pereira, Elaine C. de Souza, Adriano M. N. Freitas, Daniella N. R. do Nascimento, Carlos A. C. Kramer, Janaína S. Matos, Jordanna L. B. Costa, Daniel Q. Nobre, Leila M. A. Campos, Késia K. O. S. Silva and Luciene S. de Carvalho
Macromol 2025, 5(4), 47; https://doi.org/10.3390/macromol5040047 - 14 Oct 2025
Cited by 1
Abstract
In an era defined by the imperative for sustainable, high-performance materials, this review examines the development and utility of key ester and ether derivatives from both cellulose and hemicellulose sourced from lignocellulosic biomass, with a special emphasis on waste feedstocks. Our findings indicate
[...] Read more.
In an era defined by the imperative for sustainable, high-performance materials, this review examines the development and utility of key ester and ether derivatives from both cellulose and hemicellulose sourced from lignocellulosic biomass, with a special emphasis on waste feedstocks. Our findings indicate that these derivatives exhibit tunable physicochemical properties, enabling their broad use in established industrial sectors while also fueling the emergence of novel technological applications in nanotechnology, controlled delivery, tissue engineering, environmental remediation, electronics, and energy fields. This dual-polysaccharide platform demonstrates that underutilized biomass streams can be repurposed as valuable feedstocks, promoting a circular supply chain and supporting more sustainable solutions, thereby aligning with the goals of eco-friendly innovation in materials science. Future progress will likely depend on integrating green chemistry synthesis routes, optimizing waste-to-product conversion efficiency and scalability, and engineering derivatives for multifunctional performance, thus bridging the gap between commodity-scale use and high-tech material innovation.
Full article
(This article belongs to the Special Issue Advances in Starch and Lignocellulosic-Based Materials)
►▼
Show Figures

Figure 1
Open AccessArticle
Evaluation of Chemical and Functional Properties of Pectin-like Polymers Extracted from Tomato Using Conventional Acid Extraction
by
Onome Obodo-Ovie, Mohammad Alyassin, Alan M. Smith and Gordon A. Morris
Macromol 2025, 5(4), 46; https://doi.org/10.3390/macromol5040046 - 2 Oct 2025
Abstract
►▼
Show Figures
The present study focuses on the extraction, characterisation, and functional properties of pectin-like polymers from tomatoes. The results revealed that the highest pectin yield (35.5%) of the dry weight was extracted at pH 1, whilst the lowest yield (25.4%) was extracted at pH
[...] Read more.
The present study focuses on the extraction, characterisation, and functional properties of pectin-like polymers from tomatoes. The results revealed that the highest pectin yield (35.5%) of the dry weight was extracted at pH 1, whilst the lowest yield (25.4%) was extracted at pH 3. Fourier Transform Infrared (FTIR) spectra displayed major peaks at 2900–3300 cm−1 and 900–1100 cm−1, which are typical of carbohydrate polymers. A compositional analysis revealed the presence of six monosaccharides (glucose, arabinose, fucose, galactose, mannose, and galacturonic acid) together with trace amounts of xylose, which are typical of pectin (or pectin-like) structures. This suggests that the pectin-like polymers have galactan and/or arabinan side chains. The emulsifying activities and stabilities were ≥50% and ≥96%, respectively. The pectin-like polymers also demonstrated notable antioxidant activities (70%) when determined using the 1-diphenyl-2-picrylhydrazyl (DPPH) assay.
Full article

Figure 1
Open AccessReview
A Review of Sterilization Methods and Their Commercial Impacts on Polysaccharide-Based Biomaterials
by
Evan Moore, Yvonne J. Cortese and Declan Mary Colbert
Macromol 2025, 5(4), 45; https://doi.org/10.3390/macromol5040045 - 30 Sep 2025
Cited by 1
Abstract
►▼
Show Figures
The most significant barrier against biopolymers’ commercialization is their sensitivity to external factors and poor material properties. In recent years, significant progress has been made to enhance these materials so that they are able to provide their unique physiological benefits while maintaining acceptable
[...] Read more.
The most significant barrier against biopolymers’ commercialization is their sensitivity to external factors and poor material properties. In recent years, significant progress has been made to enhance these materials so that they are able to provide their unique physiological benefits while maintaining acceptable material performance. As these materials have developed, so too has their application in the food and medical industry, which often requires them to undergo sterilization. Sterilization is a process in which all microbial life and spores are removed from the surface and within materials and is a regulatory requirement for some food packaging products and all medical applications. Sterilization is carried out primarily using radiation, chemical, and heat treatment, which are all effective in disrupting cell regulation and causing cell death. These processes are known to induce structural and/or chemical changes in materials as well as potential migratory or leaching effects. This review aims to provide a comprehensive evaluation of these sterilization processes and the effects they have on polysaccharides, while established data is discussed that provides insight into their market viability post-sterilization and the importance of further characterization using sterilization.
Full article

Graphical abstract
Open AccessArticle
Evaluation of the Antifungal Activity of Microgramma vacciniifolia Frond Lectin (MvFL) Against Pathogenic Yeasts
by
Rayanne Maria Vitória Vasconcelos de Oliveira, Alexsander Rodrigues Carvalho Junior, Pollyanna Michelle da Silva, Gustavo Ramos Salles Ferreira, Poliana Karla Amorim, Patrícia Maria Guedes Paiva, Luís Cláudio Nascimento da Silva, Leydianne Leite de Siqueira Patriota, Emmanuel Viana Pontual and Thiago Henrique Napoleão
Macromol 2025, 5(4), 44; https://doi.org/10.3390/macromol5040044 - 23 Sep 2025
Abstract
►▼
Show Figures
The rise in antifungal resistance among Candida species has prompted the search for alternative therapies, including plant-derived lectins with antimicrobial properties. This study evaluated the antifungal activity of Microgramma vacciniola frond lectin (MvFL) against clinically relevant Candida species and Nakaseomyces glabratus. MvFL
[...] Read more.
The rise in antifungal resistance among Candida species has prompted the search for alternative therapies, including plant-derived lectins with antimicrobial properties. This study evaluated the antifungal activity of Microgramma vacciniola frond lectin (MvFL) against clinically relevant Candida species and Nakaseomyces glabratus. MvFL exhibited fungistatic activity, with the lowest minimum inhibitory concentrations (MICs) of 0.625 μg/mL for N. glabratus and 1.25 μg/mL for Candida krusei. The minimal fungicidal concentrations (MFC) were not detected, indicating they are above 80 µg/mL. MvFL significantly reduced N. glabratus proliferation, disrupted lysosomal integrity, and affected mitochondrial membrane potential, indicating interference with key cellular processes. MvFL showed minimal activity against biofilm formation, only reducing Candida tropicalis biofilms at a subinhibitory concentration. Combination assays revealed additive or synergistic effects with fluconazole for C. krusei, C. tropicalis, and notably Candida parapsilosis, while antagonism was observed against Candida albicans and N. glabratus. These findings underscore the species-specific nature of lectin-drug interactions and the importance of evaluating such combinations carefully. Overall, MvFL demonstrates significant antifungal potential, particularly as an adjuvant to existing treatments. Its ability to inhibit growth and disrupt cellular function in yeasts supports the development of plant lectins as novel, safer antifungal agents in response to the growing challenge of antifungal resistance.
Full article

Graphical abstract
Open AccessArticle
Interplay Between Protein Phosphatase 2A (PP2A) and SE Translocation (SET) as Macromolecular Target of Anticancer Compounds: A Combined Computational and Experimental Study
by
Giovanni Ribaudo, Mario Angelo Pagano, Margrate Anyanwu, Matteo Giannangeli, Marika Vezzoli, Andrea Visentin, Federica Frezzato, Livio Trentin, Anna Maria Brunati and Alessandra Gianoncelli
Macromol 2025, 5(3), 43; https://doi.org/10.3390/macromol5030043 - 12 Sep 2025
Abstract
►▼
Show Figures
Cancer represents a leading cause of mortality globally, with its complex biological nature posing significant challenges for treatment. Central to cancer progression are molecular pathways that govern cellular function, among which protein phosphatase 2A (PP2A) plays a vital role. As a serine/threonine phosphatase,
[...] Read more.
Cancer represents a leading cause of mortality globally, with its complex biological nature posing significant challenges for treatment. Central to cancer progression are molecular pathways that govern cellular function, among which protein phosphatase 2A (PP2A) plays a vital role. As a serine/threonine phosphatase, PP2A maintains cellular homeostasis by dephosphorylating a broad range of protein substrates and has emerged as a key tumor suppressor. However, PP2A activity can be physiologically inhibited by endogenous regulators such as the SE Translocation (SET) protein. Overexpression of SET has been associated with the loss of PP2A function, promoting hallmark features of cancer. Interestingly, targeting the PP2A/SET interaction has shown therapeutic potential. Indeed, inhibiting SET to reactivate PP2A may restore cellular regulation, induce apoptosis in tumor cells, and attenuate cancer progression. Research efforts have explored compounds such as the endogenous D-erythro-C18-ceramide and the drug fingolimod (FTY720), both known for their ability to reactivate PP2A. In this work, PP2A/SET complex models were generated through a computational approach and, using molecular docking, the interaction of potential SET inhibitors from a library of 26 alkoxy phenyl 1-propan-one derivatives (APPDs) was characterized. Additionally, absorption, distribution, metabolism, and excretion (ADME) predictions were performed to assess pharmacokinetic properties and therapeutic potential. Eventually, the predicted binding affinities were then correlated with biological data to assess the reliability of the models. These findings provide valuable insights into molecule–receptor interactions and lay the groundwork for developing inhibitors with encouraging therapeutic implications.
Full article

Graphical abstract
Open AccessArticle
Study of Thermoplastic Starch/Poly (Butylene Succinate) Blends: The Effect of Reactive Compatibilizers
by
Ke Gong, Yuanyuan Chen, Yinshi Lu, Zijian Zhao, Alexandre Portela, Han Xu, Mengli Hu, Handai Liu and Maurice N. Collins
Macromol 2025, 5(3), 42; https://doi.org/10.3390/macromol5030042 - 11 Sep 2025
Abstract
Compatibilizers that enhance sustainability and improve the miscibility of polymer blend components have garnered significant attention. This study investigates the difference between the synthetic chain extender Joncryl® ADR 4468 and the natural epoxidized linseed oil (ELO) Merginat 8510100 as compatibilizers for thermoplastic
[...] Read more.
Compatibilizers that enhance sustainability and improve the miscibility of polymer blend components have garnered significant attention. This study investigates the difference between the synthetic chain extender Joncryl® ADR 4468 and the natural epoxidized linseed oil (ELO) Merginat 8510100 as compatibilizers for thermoplastic starch/poly (butylene succinate) (TPS/PBS) blends. Blends containing 40% TPS and 60% PBS were prepared with 1, 3, and 5 phr of each compatibilizer, along with a reference with no additives. The properties of these blends were evaluated using tensile testing, differential scanning calorimetry (DSC), Fourier transform infrared spectroscopy (FTIR), rheology, and scanning electron microscopy (SEM). The findings indicate that while Joncryl® ADR 4468 significantly improved tensile strength, it also resulted in a brittle fracture. In contrast, ELO batches exhibited greater ductility, albeit with lower tensile strength. These differences are attributed to the chain extension and minor cross-linking effects of Joncryl® ADR 4468, compared to the increased chain mobility arising from ELO’s plasticizing and compatibilizing actions. Supporting evidence for these observations includes increased cold crystallization temperature (Tcc) and melting temperature (Tm), greater storage modulus along with higher complex viscosity, strengthened interfacial adhesion, and fewer morphological defects in Joncryl® ADR 4468 blends. These results highlight the importance of selecting an appropriate compatibilizer based on specific application requirements. Overall, this study addresses the knowledge gap regarding the loadings of Joncryl® ADR 4468 and ELO in TPS/PBS blends and provides a basis for further optimization strategies, such as the incorporation of binary compatibilizers, alternative grafting-based compatibilizers, and twin-screw blending modifications.
Full article
(This article belongs to the Special Issue Advances in Starch and Lignocellulosic-Based Materials)
►▼
Show Figures

Figure 1
Highly Accessed Articles
Latest Books
E-Mail Alert
News
Topics
Topic in
IJMS, JFB, Macromol, Materials, J. Compos. Sci., Polymers
Recent Advances in Composite Biomaterials
Topic Editors: Diego Romano Perinelli, Florentina LupascuDeadline: 30 November 2026
Topic in
Applied Nano, Macromol, Nanomaterials, Polymers, Gels
Future Trends in Polymer Science: Materials, Design, and Advanced Applications
Topic Editors: Emi Haladjova, Olya StoilovaDeadline: 30 January 2027
Special Issues
Special Issue in
Macromol
Advances in Starch and Lignocellulosic-Based Materials
Guest Editor: Valentina SessiniDeadline: 28 February 2026
Special Issue in
Macromol
Editorial Board Members’ Collection Series: Advances in Cellulose-Based Materials
Guest Editors: John H.T. Luong, Zhaobin QiuDeadline: 31 May 2026
Special Issue in
Macromol
Recent Trends in Carbohydrate-Based Therapeutics
Guest Editor: Rajendra RohokaleDeadline: 31 May 2026
Special Issue in
Macromol
Chitosan-Based Materials for Biomedical Applications: Derivatives and Composites
Guest Editors: Maria Bonferoni, Sara PerteghellaDeadline: 31 August 2026



