Dodecenyl Succinic Anhydride-Modified PBAT Copolyesters with Enhanced Water Vapor Barrier Property
Abstract
1. Introduction
2. Materials and Methods
2.1. Materials
2.2. Synthesis
2.3. Characterization
3. Results and Discussion
3.1. Synthesis and Structure Characterization
3.2. Surface Hydrophilicity/Hydrophobicity and Water Vapor Barrier Property
3.3. Water Vapor Barrier Stability
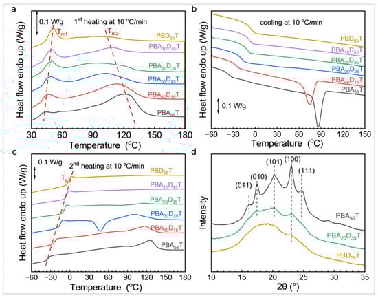
3.4. Thermal Transition Behavior and Crystal Structure
3.5. Thermal Stability
3.6. Mechanical Properties
3.7. Dynamic Mechanical Analysis
3.8. Optical Properties
4. Conclusions
Author Contributions
Funding
Data Availability Statement
Acknowledgments
Conflicts of Interest
References
- Kim, M.; Chang, H.C.; Zheng, L.; Yan, Q.; Pfleger, B.; Klier, J.; Nelson, K.; Majumder, E.; Huber, G. A Review of Biodegradable Plastics: Chemistry, Applications, Properties, and Future Research Needs. Chem. Rev. 2023, 123, 9915–9939. [Google Scholar] [CrossRef] [PubMed]
- Jiao, J.; Zeng, X.B.; Huang, X.B. An overview on synthesis, properties and applications of poly(butylene-adipate-co-terephthalate)–PBAT. Adv. Ind. Eng. Polym. Res. 2020, 3, 19–26. [Google Scholar] [CrossRef]
- Mahataa, D.; Karthikeyana, S.; Godsea, R.; Gupta, V.K. Poly(butylene adipate-co-terephthalate) Polyester Synthesis Process and Product Development. Polym. Sci. Ser. C 2021, 63, 102–111. [Google Scholar] [CrossRef]
- Siegenthaler, K.O.; Künkel, A.; Skupin, G.; Yamamoto, M. Ecoflex® and Ecovio®: Biodegradable, performance-enabling plastics. Adv. Ind. Eng. Polym. Res. 2012, 245, 91–136. [Google Scholar]
- Wu, F.; Misra, M.; Mohanty, A.K. Challenges and new opportunities on barrier performance of biodegradable polymers for sustainable packaging. Prog. Polym. Sci. 2021, 117, 101395. [Google Scholar] [CrossRef]
- Yue, S.S.; Zhang, T.W.; Wang, S.J.; Han, D.M.; Huang, S.; Xiao, M.; Meng, Y.Z. Recent progress of biodegradable polymer package materials: Nanotechnology improving both oxygen and water vapor barrier performance. Nanomaterials 2024, 14, 338. [Google Scholar] [CrossRef]
- Huang, H.D.; Ren, P.G.; Zhong, G.J.; Olah, A.; Li, Z.M.; Baer, E.; Zhu, L. Promising strategies and new opportunities for high barrier polymer packaging films. Prog. Polym. Sci. 2023, 144, 101722. [Google Scholar] [CrossRef]
- Wei, C.; Guo, P.; Lyu, M.F.; Wang, B.; Li, C.; Sang, L.; Wei, Z.Y. High barrier poly(glycolic acid) modified poly(butylene adipate-co-terephthalate) blown films and accelerated ultraviolet degradability evaluation. ACS Appl. Polym. Mater. 2023, 5, 3457–3467. [Google Scholar] [CrossRef]
- Pan, H.W.; Wang, Y.; Jia, S.L.; Zhao, Y.; Bian, J.J.; Yang, H.L.; Hao, Y.P.; Han, L.J.; Zhang, H.L. Biodegradable poly(butylene adipate-co-terephthalate)/poly(glycolic acid) films: Effect of poly(glycolic acid) crystal on mechanical and barrier properties. Chin. J. Polym. Sci. 2023, 41, 1123–1132. [Google Scholar] [CrossRef]
- Shen, J.N.; Wang, K.; Ma, Z.; Xu, N.; Pang, S.J.; Pan, L.S. Biodegradable blends of poly(butylene adipate-co-terephthalate) and polyglycolic acid with enhanced mechanical, rheological and barrier performances. J. Appl. Polym. Sci. 2021, 138, 51285. [Google Scholar] [CrossRef]
- Guo, B.H.; Shi, K.H.; Bian, H.L.; Xu, J. PBAT/PPC Properties and natural weathering behavior of PBAT/PPC biodegradable Films. Tonji Univ. Nat. Sci. 2023, 51, 1673–1683. [Google Scholar]
- Pan, H.W.; Hao, Y.P.; Zhao, Y.; Lang, X.Z.; Zhang, Y.; Wang, Z.; Zhang, H.L.; Dong, L.S. Improved mechanical properties, barrier properties and degradation behavior of poly(butylenes adipate-co-terephthalate)/poly(propylene carbonate) films. Korean J. Chem. Eng. 2017, 34, 1294–1304. [Google Scholar] [CrossRef]
- Tu, Z.; Wang, B.; Lu, Y.; Wang, L.Z.; Li, Y.; Sang, L.; Zhang, Y.; Wei, Z.Y. Incorporation of Large-Scale Prepared Poly(ethylene oxalate) into biodegradable poly(butylene adipate-co-terephthalate) blown films with enhanced mechanical and barrier performance. ACS Sustain. Chem. Eng. 2023, 11, 9833–9845. [Google Scholar] [CrossRef]
- Chivrac, F.; Kadlecová, Z.; Pollet, E.; Avérous, L. Aromatic copolyester-based nano-biocomposites: Elaboration, structural characterization and properties. J. Polym. Environ. 2006, 14, 393–401. [Google Scholar] [CrossRef]
- Li, J.X.; Lai, L.; Wu, L.B.; Severtson, S.J.; Wang, W.J. Enhancement of water vapor barrier properties of biodegradable poly(butylene adipate-co-terephthalate) films with highly oriented organomontmorillonite. ACS Sustain. Chem. Eng. 2018, 6, 6654–6662. [Google Scholar] [CrossRef]
- Wang, Y.; Liu, Q.; Zhen, Z.C.; Liu, J.L.; Qiao, R.M.; He, W.Q. Effects of mica modification with ethylene-vinyl acetate wax on the water vapor barrier and mechanical properties of poly(butylene adipate-co-terephthalate) nanocomposite films. J. Appl. Polym. Sci. 2021, 138, 50610. [Google Scholar] [CrossRef]
- Yang, Z.Y.; Li, B.; Li, S.D.; Dou, Y.B.; Han, J.B. Layered double hydroxide/PBAT hybrid films with simultaneously high-barrier and degradable properties. Chem. Eng. Sci. 2023, 280, 119016. [Google Scholar] [CrossRef]
- Ren, P.G.; Liu, X.H.; Ren, F.; Zhong, G.J.; Ji, X.; Xu, L. Biodegradable graphene oxide nanosheets/poly(butylene adipate-co-terephthalate) nanocomposite film with enhanced gas and water vapor barrier properties. Polym. Test. 2017, 58, 173–180. [Google Scholar] [CrossRef]
- Tsou, C.H.; Ge, F.F.; Lin, L.; Yuan, S.; De Guzman, M.R.; Potiyaraj, P. Barrier and biodegradable properties of poly(butylene adipate-co-terephthalate) reinforced with ZnO-decorated graphene rendering it antibacterial. ACS Appl. Polym. Mater. 2023, 5, 1681–1695. [Google Scholar] [CrossRef]
- Wang, H.K.; Liu, J.F.; Jiang, Q.Q.; Liu, X.R.; Wu, M.; Huang, Y. Sustainable clean production and application of hydrophobic straw lignocellulose nanosheets filled biodegradable films. Ind. Crops Prod. 2025, 226, 120602. [Google Scholar] [CrossRef]
- Mckeen, L.W. Permeability Properties of Plastics and Elastomers; Elsevier: Amsterdam, The Netherlands, 2017; Chapter 3; pp. 41–60. [Google Scholar]
- Cunha, M.; Fernandes, B.; Covas, J.A.; Vicente, A.A.; Hilliou, L. Film blowing of PHBV blends and PHBV-based multilayers for the production of biodegradable packages. J. Appl. Polym. Sci. 2016, 133, 42165. [Google Scholar] [CrossRef]
- Ran, L.B.; Hong, W.Y.R.; Yu, G.Y.; Du, Q.J.; Guo, S.Y.; Li, C.H. Preparation and improving mechanism of PBAT/PPC-based micro-layer biodegradable mulch film with excellent water resistance and mechanical properties. Polymer 2024, 291, 126614. [Google Scholar] [CrossRef]
- Wang, L.Z.; Tu, Z.; Liang, J.M.; Wei, Z.Y. Poly(butylene oxalate-co-terephthalate): A PBAT-like but rapid hydrolytic degradation plastic. J. Hazard. Mater. 2024, 471, 134349. [Google Scholar] [CrossRef] [PubMed]
- Liu, L.P.; Wang, B.; Li, C.; Wei, C.; Wei, Z.Y. Development of high barrier biodegradable poly(butylene carbonate-co-terephthalate)-based blends with balanced mechanical properties by self-reactive compatibility and co-crystallization. Polymer 2023, 281, 126130. [Google Scholar] [CrossRef]
- Huang, F.F.; Wu, L.B.; Li, B.G. Sulfonated biodegradable PBAT copolyesters with improved gas barrier properties and excellent water dispersibility: From synthesis to structure-property. Polym. Degrad. Stab. 2020, 182, 109391. [Google Scholar] [CrossRef]
- Hu, H.; Tian, Y.; Wang, J.G.; Zhang, R.Y.; Zhu, J. Enhanced degradation and gas barrier of PBAT through composition design of aliphatic units. Polym. Degrad. Stab. 2022, 195, 109795. [Google Scholar] [CrossRef]
- Liu, C.Q.; Liu, F.; Yang, T.; Chen, C.H.; Lin, Y.Y.; Wang, J.G.; Zhu, J. Incorporation of lactyl unit to PBAT for enhanced gas barrier property and biodegradability by direct polycondensation via alcoholysis of cyclic anhydride with lactic acid. Polymer 2024, 313, 127758. [Google Scholar] [CrossRef]
- Yuan, J.; Zhang, X.P.; Xu, J.; Ding, J.P.; Li, W.L.; Guo, B.H. Effect of glycerol stearates on the thermal and barrier properties of biodegradable poly(butylene adipate-co-terephthalate). Materials 2024, 17, 5732. [Google Scholar] [CrossRef]
- Gao, J.; Zhang, J.; Guo, H.H.; Liang, Z.Y.; Liu, F.Y.; Xiao, K.Y.; Li, W.; Yan, H.; Guo, R.J. Hydrophobic PBAT/SiO2 composite films for food packaging. Mater. Today Commun. 2025, 46, 112696. [Google Scholar] [CrossRef]
- Wu, L.B.; Liu, Z.W.; Wang, L.L. Fully biodegradable superhigh water vapor barrier PBAT films with diffusion-impeded interior crystal plates and a superhydrophobic rough surface. Macromolecules 2025, 58, 6238–6248. [Google Scholar] [CrossRef]
- Shah, N.N.; Soni, N.N.; Singhal, R.S. Modification of proteins and polysaccharides using dodecenyl succinic anhydride: Synthesis, properties and applications—A review. Int. J. Biol. Macromol. 2018, 107, 2224–2233. [Google Scholar] [CrossRef]
- Li, G.T.; Xu, X.; Zhu, F. Physicochemical properties of dodecenyl succinic anhydride (DDSA) modified quinoa starch. Food Chem. 2019, 300, 125201. [Google Scholar] [CrossRef]
- Zhao, Y.G.; Khalid, N.; Nakajima, M. Fabrication and characterization of dodecenyl succinic anhydride modified kudzu starch. Starch-Stärke 2022, 74, 2100188. [Google Scholar] [CrossRef]
- ASTM E96-16; Standard Test Methods for Water Vapor Transmission of Materials. ASTM International: West Conshohocken, PA, USA, 2016.
- GB 1037-2021; Test Method for Water Vapor Transmission of Plastic Film and Sheeting—Desiccant Method and Water Method. Standards Press of China: Beijing, China, 2021.
- Debeli, D.K.; Huang, F.F.; Wu, L.B. Sulfonated Poly(butylene Adipate-co-terephthalate)/Sodium Montmorillonite Nanocomposite Films with an Ultra-High Oxygen Barrier. Ind. Eng. Chem. Res. 2022, 61, 13283–13293. [Google Scholar] [CrossRef]
- Qin, P.K.; Wu, L.B.; Li, B.G.; Li, N.X.; Pan, X.H.; Dai, J.M. Superior gas barrier properties of biodegradable PBST vs. PBAT copolyesters: A comparative study. Polymers 2021, 13, 3449. [Google Scholar] [CrossRef] [PubMed]
- Lagaron, J.M.; Catalá, R.; Gavara, R. Structural characteristics defining high barrier properties in polymeric materials. Mater. Sci. Technol. 2004, 20, 1–7. [Google Scholar] [CrossRef]
- Zhen, C.; Zhu, G.X.; Shi, Y.; Liu, L.Z.; Ren, M.Q.; Zhang, W.; Han, L. Crystallization, structures and properties of biodegradable poly(butylene succinate-co-butylene terephthalate) with a symmetric composition. Mater. Chem. Phys. 2021, 260, 124183. [Google Scholar] [CrossRef]
- Xu, Y.Y.; Zhang, Q.N.; Wang, Z.; Zhang, L.Q. Synthesis of novel thermoplastic polyester elastomers with biobased amorphous polyester as the soft segment. Polym. Test. 2023, 124, 108088. [Google Scholar] [CrossRef]
- Kargarzadeh, H.; Galeski, A.; Pawlak, A. PBAT Green Composites: Effects of Kraft Lignin Particles on the Morphological, Thermal, Crystalline, Macro and Micromechanical Properties. Polymer 2020, 203, 122748. [Google Scholar] [CrossRef]









| Sample | φDDSA b (mol%) | ϕBA c (mol%) | ϕBD c (mol%) | ϕBT c (mol%) | LBal d | LBar d | R e | IV f (dL/g) |
|---|---|---|---|---|---|---|---|---|
| PBA55T | 0 | 52.8 | 0 | 47.2 | 2.08 | 1.88 | 1.01 | 0.85 |
| PBA40D15T | 15 | 39.9 | 13.2 | 46.9 | 2.12 | 1.93 | 0.99 | 0.63 |
| PBA30D25T | 25 | 32.3 | 22.9 | 44.8 | 2.29 | 1.88 | 0.97 | 0.54 |
| PBA20D35T | 35 | 23.6 | 30.1 | 46.3 | 2.31 | 1.97 | 0.94 | 0.65 |
| PBA10D45T | 45 | 15.7 | 39.5 | 44.8 | 2.45 | 1.92 | 0.93 | 0.53 |
| PBD55T | 55 | 0 | 55.4 | 44.6 | 2.50 | 1.93 | 0.92 | 0.45 |
| Sample | WVP | BIF a | WCA |
|---|---|---|---|
| (g·mm·m−2·d−1·atm−1) | (°) | ||
| PBAT * | 406 ± 29 | 0.90 | 76.3 ± 1.8 |
| PBA55T | 366 ± 9 | 1.00 | 79.0 ± 1.6 |
| PBA40D15T | 285 ± 8 | 1.28 | 84.5 ± 1.7 |
| PBA30D25T | 247 ± 10 | 1.48 | 93.9 ± 1.9 |
| PBA20D35T | 194 ± 5 | 1.89 | 95.7 ± 2.8 |
| PBA10D45T | 185 ± 29 | 1.98 | 97.8 ± 3.5 |
| PBD55T | 135 ± 8 | 2.71 | 100.9 ± 3.9 |
| PBD55T-A b | 128 | 2.86 | 100.9 ± 2.8 |
| PBD55T-B c | 128 | 2.86 | 96.1 ± 1.8 |
| Sample | 1st Heating | 1st Cooling | 2nd Heating | TGA | DMA | |||||||
|---|---|---|---|---|---|---|---|---|---|---|---|---|
| Tm1 (°C) | ΔHm1 (J/g) | Tm2 (°C) | ΔHm2 (J/g) | Tc (°C) | ΔHc (J/g) | Tg (°C) | Tm (°C) | ΔHm (J/g) | Td,5 (°C) | Td,max (°C) | Tg (°C) | |
| PBA55T | 42 | 1.0 | 123 | 13.0 | 86 | 12.1 | −34 | 126 | 8.4 | 352 | 391 | −14 |
| PBA40D15T | 46 | 2.6 | 113 | 15.1 | 74 | 10.3 | −23 | 117 | 7.7 | 346 | 389 | −3 |
| PBA30D25T | 48 | 3.3 | 103 | 8.3 | nd | nd | −14 | 101 | 9.0 | 337 | 391 | 1 |
| PBA20D35T | 50 | 3.5 | 102 | 6.8 | nd | nd | −8 | 116 | 1.3 | 335 | 390 | 9 |
| PBA10D45T | 49 | 3.0 | 107 | 5.5 | nd | nd | −4 | nd | nd | 336 | 390 | 11 |
| PBD55T | 51 | 3.6 | 89 | 3.3 | nd | nd | −1 | nd | nd | 334 | 388 | 16 |
| Sample | IV (dL/g) | E (MPa) | σb (MPa) | εb (%) |
|---|---|---|---|---|
| PBA55T | 0.85 | 95 ± 3.9 | 30 ± 2.0 | 885 ± 72 |
| PBA40D15T | 0.63 | 44 ± 2.1 | 12 ± 0.8 | 670 ± 58 |
| PBA30D25T | 0.54 | 24 ± 1.3 | 5.4 ± 0.2 | 610 ± 42 |
| PBA20D35T | 0.65 | 16 ± 0.6 | 7.9 ± 0.4 | 911 ± 45 |
| PBA10D45T | 0.53 | 9.4 ± 0.4 | 2.9 ± 0.1 | 662 ± 34 |
| PBD55T | 0.45 | 6.7 ± 0.3 | 1.2 ± 0.2 | 682 ± 43 |
| Sample | L* | a* | b* | Haze (%) | Transmittance (%) |
|---|---|---|---|---|---|
| PBA55T | 85.3 ± 0.5 | −0.4 ± 0.0 | 8.8 ± 0.1 | 98.0 ± 0.1 | 66.5 ± 1.1 |
| PBA40D15T | 86.4 ± 0.4 | −0.4 ± 0.1 | 9.8 ± 0.5 | 82.3 ± 0.4 | 68.7 ± 0.8 |
| PBA30D25T | 90.5 ± 0.1 | 0.0 ± 0.0 | 11.8 ± 0.2 | 64.3 ± 0.9 | 77.5 ± 0.2 |
| PBA20D35T | 91.9 ± 0.1 | 0.8 ± 0.0 | 8.2 ± 0.2 | 36.9 ± 0.5 | 80.5 ± 0.3 |
| PBA10D45T | 93.7 ± 0.4 | −0.3 ± 0.0 | 5.4 ± 0.8 | 38.4 ± 1.4 | 84.6 ± 1.0 |
| PBD55T | 95.0 ± 0.2 | −0.3 ± 0.0 | 2.4 ± 0.1 | 33.5 ± 0.7 | 87.7 ± 0.5 |
Disclaimer/Publisher’s Note: The statements, opinions and data contained in all publications are solely those of the individual author(s) and contributor(s) and not of MDPI and/or the editor(s). MDPI and/or the editor(s) disclaim responsibility for any injury to people or property resulting from any ideas, methods, instructions or products referred to in the content. |
© 2025 by the authors. Licensee MDPI, Basel, Switzerland. This article is an open access article distributed under the terms and conditions of the Creative Commons Attribution (CC BY) license (https://creativecommons.org/licenses/by/4.0/).
Share and Cite
Wang, L.; Wu, L. Dodecenyl Succinic Anhydride-Modified PBAT Copolyesters with Enhanced Water Vapor Barrier Property. Macromol 2025, 5, 41. https://doi.org/10.3390/macromol5030041
Wang L, Wu L. Dodecenyl Succinic Anhydride-Modified PBAT Copolyesters with Enhanced Water Vapor Barrier Property. Macromol. 2025; 5(3):41. https://doi.org/10.3390/macromol5030041
Chicago/Turabian StyleWang, Lilan, and Linbo Wu. 2025. "Dodecenyl Succinic Anhydride-Modified PBAT Copolyesters with Enhanced Water Vapor Barrier Property" Macromol 5, no. 3: 41. https://doi.org/10.3390/macromol5030041
APA StyleWang, L., & Wu, L. (2025). Dodecenyl Succinic Anhydride-Modified PBAT Copolyesters with Enhanced Water Vapor Barrier Property. Macromol, 5(3), 41. https://doi.org/10.3390/macromol5030041
