Next Issue
Volume 112, ICATH 2025
Previous Issue
Volume 110, AIS 2025
 
 
engproc-logo

Journal Browser

Journal Browser

Eng. Proc., 2025, ICAME 2025

5th International Conference on Advances in Mechanical Engineering (ICAME-25)

Islamabad, Pakistan | 26 August 2025

Volume Editors:
Muhammad Mahabat Khan, Capital University of Science and Technology (CUST), Islamabad, Pakistan
Muhammad Irfan, Capital University of Science and Technology (CUST), Islamabad, Pakistan
Manzar Masud, Capital University of Science and Technology (CUST), Islamabad, Pakistan
Ghulam Asghar, Capital University of Science and Technology (CUST), Islamabad, Pakistan

Number of Papers: 45
  • Issues are regarded as officially published after their release is announced to the table of contents alert mailing list.
  • You may sign up for e-mail alerts to receive table of contents of newly released issues.
  • PDF is the official format for papers published in both, html and pdf forms. To view the papers in pdf format, click on the "PDF Full-text" link, and use the free Adobe Reader to open them.
Cover Story (view full-size image): The 5th International Conference on Advances in Mechanical Engineering (ICAME-25) was held on August 26, 2025, at the Capital University of Science and Technology, Islamabad, Pakistan. The conference [...] Read more.
Order results
Result details
Select all
Export citation of selected articles as:

Editorial

Jump to: Other

3 pages, 168 KB  
Editorial
Preface: Fifth International Conference on Advances in Mechanical Engineering 2025 (ICAME-25)
by Muhammad Mahabat Khan, Muhammad Irfan, Manzar Masud and Ghulam Asghar
Eng. Proc. 2025, 111(1), 44; https://doi.org/10.3390/engproc2025111044 - 2 Feb 2026
Viewed by 206
Abstract
The fifth International Conference on Advances in Mechanical Engineering 2025 (ICAME-25) was held on 26th August 2025 by the Department of Mechanical Engineering, Capital University of Science and Technology (CUST) [...] Full article
1 pages, 137 KB  
Editorial
Statement of Peer Review
by Muhammad Mahabat Khan, Muhammad Irfan, Manzar Masud and Ghulam Asghar
Eng. Proc. 2025, 111(1), 45; https://doi.org/10.3390/engproc2025111045 - 2 Feb 2026
Viewed by 87
Abstract
In submitting conference proceedings to Engineering Proceedings, the volume editors of the proceedings certify to the publisher that all papers published in this volume have been subjected to peer review administered by the volume editors [...] Full article

Other

Jump to: Editorial

10 pages, 1028 KB  
Proceeding Paper
Exploring Causes of Waste Relating to the Role of Project Managers in Highway Projects in Pakistan
by Usman Aftab, Farrokh Jaleel, Mughees Aslam, Muhammad Haroon, Javed Ahmed Khan Tipu and Rafiq Mansoor
Eng. Proc. 2025, 111(1), 2; https://doi.org/10.3390/engproc2025111002 - 14 Oct 2025
Viewed by 434
Abstract
The construction industry is struggling to resolve the issue of the enormous quantity of waste produced during construction processes, which impacts the performance and sustainability of projects. Causes of waste generation have been studied by researchers to formulate waste minimization strategies for these [...] Read more.
The construction industry is struggling to resolve the issue of the enormous quantity of waste produced during construction processes, which impacts the performance and sustainability of projects. Causes of waste generation have been studied by researchers to formulate waste minimization strategies for these projects. The research on waste in highway infrastructure projects and waste causes specific to the roles and competencies of project team members is inadequate. This quantitative study addresses this gap by evaluating the influence of project managers (PMs) in minimizing CW through a structured questionnaire survey administered to 300 professionals, yielding 129 valid responses (43% response rate). The results indicate that 8.5% of construction materials are wasted in highway projects. Among four key project stakeholders (PM, quantity surveyor, designer, and client), PMs were rated as having the most significant impact on waste minimization (mean Likert score: 4.5/5). Using the Relative Importance Index (RII), the study identified the top five waste causes linked to PM competencies: faulty work requiring the work to be carried out again (RII = 0.742), wrong construction methods (0.734), lack of awareness (0.731), poor supervision (0.721), and poor material planning (0.706). A waste minimization framework is proposed, linking each of these causes to specific PM competencies and actionable strategies. These findings provide empirical support for targeting PM training and resource planning to reduce material waste in highway construction projects. Full article
Show Figures

Figure 1

9 pages, 2778 KB  
Proceeding Paper
Research on Fault Diagnosis of Gear Transmission Systems Based on Dynamic Transmission Error
by Siliang Wang, Jianlong Wang and Haonan Ren
Eng. Proc. 2025, 111(1), 3; https://doi.org/10.3390/engproc2025111003 - 14 Oct 2025
Cited by 1 | Viewed by 574
Abstract
In complex working environments where early fault diagnosis of mechanical equipment is required, interference signals such as ambient vibrations and motor noise can significantly affect the acquisition and analysis of vibration signals and meshing force signals, making it difficult to capture early fault [...] Read more.
In complex working environments where early fault diagnosis of mechanical equipment is required, interference signals such as ambient vibrations and motor noise can significantly affect the acquisition and analysis of vibration signals and meshing force signals, making it difficult to capture early fault features. This paper provides a method for fault diagnosis and identification of typical gear tooth faults by analyzing the influence of meshing stiffness on dynamic transmission error in the gear transmission process. Three-dimensional models of both normal and faulty gear pairs were built using SolidWorks 2021 software and imported into Adams for dynamic simulation to obtain the system’s dynamic transmission error and meshing force data. By training and identifying these two different types of data, the experimental results demonstrate that the identification accuracy using dynamic transmission error is higher than that based on meshing force. Full article
Show Figures

Figure 1

10 pages, 1528 KB  
Proceeding Paper
Preliminary Investigation of Tool Wear When Machining Super Duplex Stainless Steel Using Coated Inserts Under Dry Environment
by Shailendra Pawanr and Kapil Gupta
Eng. Proc. 2025, 111(1), 4; https://doi.org/10.3390/engproc2025111004 - 14 Oct 2025
Viewed by 572
Abstract
Machining is a fundamental manufacturing process that entails the controlled removal of material from a workpiece to achieve desired shapes and dimensions. Super duplex stainless steel (SDSS) 2507 is a high-performance alloy which is notable for its superior mechanical strength and excellent corrosion [...] Read more.
Machining is a fundamental manufacturing process that entails the controlled removal of material from a workpiece to achieve desired shapes and dimensions. Super duplex stainless steel (SDSS) 2507 is a high-performance alloy which is notable for its superior mechanical strength and excellent corrosion resistance, making it particularly suitable for deployment in aggressive service environments, including offshore structures, subsea equipment, chemical industries, and marine engineering systems. Its low thermal conductivity, high hardness, and rapid work hardening pose significant challenges during dry machining, leading to accelerated tool wear. This study investigates the dry machining of SDSS 2507 by employing TiAlN-PVD (physical vapor deposition)-coated cutting inserts deposited to address these issues. The Taguchi method of experimental design was employed to evaluate the influence of key machining parameters on tool wear. The results demonstrated that PVD-coated inserts offered excellent wear resistance. Furthermore, the Taguchi signal-to-noise (S/N) ratio analysis and analysis of variance (ANOVA) identified feed rate as the primary factor influencing tool wear, with depth of cut and cutting speed ranking as secondary factors. This study highlights the effectiveness of tools with coatings for the dry machining of SDSS 2507-type difficult-to-machine material, offering a reliable solution for enhancing tool life and operational efficiency in industrial applications. Full article
Show Figures

Figure 1

9 pages, 2017 KB  
Proceeding Paper
Properties of Cu-Al2O3 Nanocomposite Materials Synthesized by Mechano-Chemical Process
by Ky-Thanh Ho and Duc-Duy Nguyen
Eng. Proc. 2025, 111(1), 5; https://doi.org/10.3390/engproc2025111005 - 16 Oct 2025
Viewed by 704
Abstract
This study investigates the synthesis and characterization of Cu-(5 vol.%) Al2O3 nano-composites via a mechano-chemical process. CuO, Al, and Cu powders were mechanically alloyed for 12 h in an argon atmosphere, leading to the formation of Al2O3 [...] Read more.
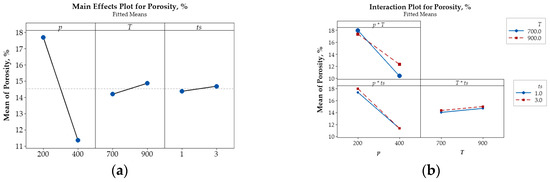
This study investigates the synthesis and characterization of Cu-(5 vol.%) Al2O3 nano-composites via a mechano-chemical process. CuO, Al, and Cu powders were mechanically alloyed for 12 h in an argon atmosphere, leading to the formation of Al2O3 nanoparticles within the Cu matrix. The composite powders were cold-compressed at pressures ranging from 200 to 400 MPa and sintered at temperatures between 700 °C and 900 °C for 1 to 3 h. X-ray diffraction and EDX analyses confirmed the disappearance of Al peaks, indicating the successful formation of Al2O3 in the Cu matrix. SEM images revealed Al2O3 particles (~10–20 nm) evenly distributed throughout the composite. The results demonstrated that increasing the compaction pressure from 200 MPa to 400 MPa reduced porosity by over 40%, enhancing microhardness by 30% and electrical conductivity by more than 32%, highlighting the significant influence of processing conditions, while lowering the effects in temperature and duration of sintering. These findings provide novel insights into optimizing Cu-Al2O3 composites via mechano-chemical routes. Full article
Show Figures

Figure 1

12 pages, 46812 KB  
Proceeding Paper
Experimental and Numerical Analysis of Hybrid Silica Sand–Basalt Rock Thermal Energy Storage for Enhanced Heat Retention and Discharge Control
by Muhammad Imran, Zainab Waseem, Rahaya Tayyab, Hassaan Aziz, Muhammad Anwar and Talha Irfan Khan
Eng. Proc. 2025, 111(1), 6; https://doi.org/10.3390/engproc2025111006 - 15 Oct 2025
Viewed by 1076
Abstract
In order to guarantee energy sustainability, effective thermal energy storage (TES) systems are required due to the volatile nature of renewable energy sources. In order to optimize energy storage capacity and reduce thermal losses, this study addresses a hybrid TES system that combines [...] Read more.
In order to guarantee energy sustainability, effective thermal energy storage (TES) systems are required due to the volatile nature of renewable energy sources. In order to optimize energy storage capacity and reduce thermal losses, this study addresses a hybrid TES system that combines basalt rocks and silica sand. Using ANSYS, a computational transient thermal analysis was conducted to compare conduction and convection heat transfer modes, revealing convection as the more effective mechanism. Six sand–rock mixtures were tested experimentally; the 70% sand and 30% rock combination produced the highest temperature increase (52.38 °C), the highest heat storage capacity (3.21 ± 0.19 MJ), alongside an efficiency of 80.5%. This hybrid system had a very low discharge rate (0.24 ± 0.036 MJ lost in one hour), outlining its potential for integration with renewable energy. The results show that hybrid sand–rock TES systems are a cheap and green alternative to solutions that rely on fossil fuels. They can be used for large-scale energy storage. Full article
Show Figures

Figure 1

10 pages, 1320 KB  
Proceeding Paper
Experimental Research on the Effect of Different Controllable Parameters on Solar Still Productivity: A Parametric Study
by Mansoor Ali Zaheer, Nawaf Mehmood Malik, Muhammad Shahmeer and Mubeen Shehzad
Eng. Proc. 2025, 111(1), 7; https://doi.org/10.3390/engproc2025111007 - 16 Oct 2025
Viewed by 641
Abstract
Water scarcity is one of the most major issues the world is facing at the moment. Solar still is one of the most economical and environment friendly technologies for desalinizing brackish and salty water. An experimental study on controllable parameters affecting the performance [...] Read more.
Water scarcity is one of the most major issues the world is facing at the moment. Solar still is one of the most economical and environment friendly technologies for desalinizing brackish and salty water. An experimental study on controllable parameters affecting the performance of a basin-type single-slope solar still was conducted in order to optimize them to achieve maximum productivity. The effects of three parameters, i.e., the basin water depth, the thickness of the glass cover, and glass cover cooling, on the distillate output of the solar still were studied. The effects of basin water depths of 2 cm, 3 cm, and 4 cm were tested experimentally, and the cumulative distillate output observed was 1.614, 1.444, and 1.386 L/day respectively. Glass cover thicknesses of 4 mm and 6 mm were used and the distillate output at these glass thickness was 1.587 and 1.078 L/day. In the comparative analysis of solar still performance with and without water showering, a distillate output of 2.022 L/day was found in the case of water showering, and an output of 1.587 L/day was observed in the case of no water showering on the glass cover. Full article
Show Figures

Figure 1

11 pages, 2875 KB  
Proceeding Paper
Design and Fabrication of Wall-Climbing Robot Using Magnetic Adhesion
by Ajmal Khan, Wasim Ahmad and Salman Hussain
Eng. Proc. 2025, 111(1), 8; https://doi.org/10.3390/engproc2025111008 - 16 Oct 2025
Viewed by 1787
Abstract
This research paper presents the design and implementation of a wall-climbing robot for safety-critical inspection systems. The robot incorporates wheels embedded with neodymium magnets and a rocker-bogie mechanism to navigate vertical and inverted surfaces. The key novelty of this work lies in the [...] Read more.
This research paper presents the design and implementation of a wall-climbing robot for safety-critical inspection systems. The robot incorporates wheels embedded with neodymium magnets and a rocker-bogie mechanism to navigate vertical and inverted surfaces. The key novelty of this work lies in the use of a simplified, sensorless rocker-bogie mechanism that enables smooth inner and outer transitions without depending on complex control systems. This study addresses the following research questions: (1) How can a wall-climbing robot achieve stable transitions using a rocker-bogie mechanism? (2) What is the maximum payload capacity of the robot without compromising mobility and stability? (3) How will the robot behave during obstacle climbing? Weighing 2.08 Kg, the robot can easily carry a payload of 1.56 Kg, and can climb obstacles of up to 20 mm. The robot system is controlled wirelessly via a Bluetooth module. During experimental testing, the robot performed different types of transitions with stability and reliable control. Future developments could include hybrid adhesion systems for unstructured situations and AI-assisted navigation. Full article
Show Figures

Figure 1

7 pages, 427 KB  
Proceeding Paper
Enhancing Makespan Minimization in Unrelated Parallel Batch Processing with an Improved Artificial Bee Colony Algorithm
by Longfei Lian, Haosen Zhang and Yarong Chen
Eng. Proc. 2025, 111(1), 9; https://doi.org/10.3390/engproc2025111009 - 16 Oct 2025
Viewed by 327
Abstract
To solve the unrelated parallel batch processing machine scheduling problem (UPBPMSP) with dynamic job arrivals, heterogeneous processing times, and machine heterogeneity, this paper presents an improved artificial bee colony (IABC) algorithm aimed at minimizing the makespan. Three improvements include the following: (1) a [...] Read more.
To solve the unrelated parallel batch processing machine scheduling problem (UPBPMSP) with dynamic job arrivals, heterogeneous processing times, and machine heterogeneity, this paper presents an improved artificial bee colony (IABC) algorithm aimed at minimizing the makespan. Three improvements include the following: (1) a hybrid encoding scheme that combines machine allocation coefficients and priority weights, allowing for flexible consideration of machine capabilities and dynamic job priorities; (2) a dual-mode variable neighborhood search strategy to optimize machine allocation and job sequencing simultaneously; (3) a dynamic weight tournament selection mechanism to enhance population diversity and avoid premature convergence. Experimental results show that IABC reduces the makespan by 5% to 25% compared to traditional ABC and genetic algorithms (GAs), with the most significant advantages observed in concentrated job arrival scenarios. Statistical tests confirm that the improvements are statistically significant, validating the effectiveness of the proposed algorithm. Full article
Show Figures

Figure 1

12 pages, 2546 KB  
Proceeding Paper
Computational Analysis of Flow Field Variation with Grooved Probes in Transonic Axial Compressor
by Umair Munir and Asad Islam
Eng. Proc. 2025, 111(1), 10; https://doi.org/10.3390/engproc2025111010 - 16 Oct 2025
Viewed by 407
Abstract
This study aims to enhance total pressure probe performance in transonic axial compressors using passive flow control via circular grooves. Simulations in ANSYS CFX were performed on six probe configurations, one smooth baseline and five with groove depths of 0.1 to 0.5 mm, [...] Read more.
This study aims to enhance total pressure probe performance in transonic axial compressors using passive flow control via circular grooves. Simulations in ANSYS CFX were performed on six probe configurations, one smooth baseline and five with groove depths of 0.1 to 0.5 mm, across Mach numbers 0.3 to 0.86. The 0.1 mm grooved probe showed optimal results, reducing the drag coefficient from 15.23 to 14.33 and the lift from 0.0169 to 0.0042. A spanwise analysis from the hub to tip (55–95%) confirmed improved flow uniformity, while a streamwise analysis (zones 0–2) showed steadier downstream pressure and reduced wake-induced distortion. The 0.1 mm groove also minimized the shock strength and flow separation near blade tips. Results confirm that micro-grooving at 0.1 mm significantly stabilizes measurements and enhances aerodynamic efficiency, offering a practical optimization strategy for high-speed compressor applications. Full article
Show Figures

Figure 1

11 pages, 2722 KB  
Proceeding Paper
Statistical Analysis of Burr Width and Height in Conventional Speed Micro-Milling of Titanium Alloy (Ti-6Al-4V) by Varying Cutting Parameters Under Different Lubrication Methods: Dry, MQL and Wet
by Gulfam Ul Rehman, Muhammad Rizwan ul Haq, Manzar Masud, Syed Husain Imran Jaffery, Muhammad Salman Khan and Shahid Ikramullah Butt
Eng. Proc. 2025, 111(1), 11; https://doi.org/10.3390/engproc2025111011 - 16 Oct 2025
Viewed by 426
Abstract
In this research, micro-milling of Ti-6Al-4V has been carried out in the conventional machining range. The influence of key machining parameters, including feed rate, cutting speed, depth of cut, and cooling conditions, was statistically analyzed in relation to burr width and height on [...] Read more.
In this research, micro-milling of Ti-6Al-4V has been carried out in the conventional machining range. The influence of key machining parameters, including feed rate, cutting speed, depth of cut, and cooling conditions, was statistically analyzed in relation to burr width and height on both the up-milling and down-milling sides. The feed rate, followed by cutting speed were found to be the most influencing factors affecting burr width with collective contribution of 89.06% in up-milling and 92.67% in down-milling. The depth of cut and cooling condition had negligible impact on burr width. Burr height was mostly affected by depth of cut and feed rate, whereas cutting speed and cooling condition had no impact on burr height. The combined contribution of depth of cut and feed rate to burr height was 77.36% in up-milling and 73.95% in down-milling. Full article
Show Figures

Figure 1

10 pages, 3915 KB  
Proceeding Paper
Thermal Management of Dry Batteries for Electric Vehicles
by Rahaya Tayyab, Hassaan Aziz, Muhammad Imran, Zainab Waseem, Muhammad Anwar and Talha Irfan Khan
Eng. Proc. 2025, 111(1), 12; https://doi.org/10.3390/engproc2025111012 - 16 Oct 2025
Viewed by 984
Abstract
As electric vehicles (EVs) face increasing power demands, rapid charging requirements, and harsh operating conditions, efficient thermal management of lithium-ion batteries is critical for safety and performance. This study evaluates a liquid-cooled thermal management system for dry battery packs using computational fluid dynamics [...] Read more.
As electric vehicles (EVs) face increasing power demands, rapid charging requirements, and harsh operating conditions, efficient thermal management of lithium-ion batteries is critical for safety and performance. This study evaluates a liquid-cooled thermal management system for dry battery packs using computational fluid dynamics (CFD) simulations and experimentation. The battery pack was modeled in SolidWorks and analyzed using ANSYS Fluent. Simulation results showed a peak battery temperature of 47 °C, with coolant temperature rising from 17.1 °C to 37.4 °C, achieving a 10 °C reduction in battery temperature. Experimental validation yielded comparable outcomes, with a maximum battery surface temperature of 47.2 °C and coolant outlet temperature of 26.1 °C, indicating a 21.1 °C temperature drop. The strong correlation between simulation and experimental data confirms the system’s effectiveness in maintaining safe thermal conditions. Additionally, a low-cost prototype was developed, underscoring the practical viability and scalability of the proposed solution. Full article
Show Figures

Figure 1

13 pages, 1346 KB  
Proceeding Paper
Assessment of Passenger Obstruction-Related Risk Factors in an Urban Metro Rail Transit System and Their Countermeasures
by Nida Saleh, Qamar Mahboob, Sanan Tahir, Zhiwen Wang, Zidong Tan, Daijun Cheng and Xuefeng Luo
Eng. Proc. 2025, 111(1), 13; https://doi.org/10.3390/engproc2025111013 - 17 Oct 2025
Viewed by 658
Abstract
Modern metro rail systems have problems concerning the safety of passengers and the operational efficiency. Among these, passenger obstruction is a major challenge which refers to the unintentional or intentional interference of passengers in train and platform screen doors, while boarding or alighting [...] Read more.
Modern metro rail systems have problems concerning the safety of passengers and the operational efficiency. Among these, passenger obstruction is a major challenge which refers to the unintentional or intentional interference of passengers in train and platform screen doors, while boarding or alighting from the trains. This paper provides a risk assessment of passenger obstruction at Orange Line Metro Rail Transit System (OLMRTS) in Lahore, Pakistan. This study adopted structured observations, incident analysis and review by experts to control the obstruction cases. Both quantitative and qualitative data analyses of obstruction cases were performed to evaluate the key risk factors associated with passenger obstructions in OLMRTS. Based on the risk assessment framework, prioritized countermeasures with higher risk reduction impacts have been proposed. The effectiveness of the countermeasures was evident in the substantial reduction in obstruction cases by 80%. This research paper will present a reduction in safety risks by reducing the likelihood of incidents and without compromising the passenger service of OLMRTS. Full article
Show Figures

Figure 1

9 pages, 3050 KB  
Proceeding Paper
Research on Bearing Fault Diagnosis Method Based on Multi-Scale Convolution and Attention Mechanism in Strong Noise Environment
by Yi Zhang, Jianlong Wang and Weifang Sun
Eng. Proc. 2025, 111(1), 14; https://doi.org/10.3390/engproc2025111014 - 17 Oct 2025
Viewed by 643
Abstract
Aiming to address the suboptimal diagnostic efficacy of conventional approaches in rolling bearing fault diagnosis under complex operational scenarios—particularly when subjected to intense noise contamination—this study introduces a novel fault diagnosis framework leveraging the synergistic attention mechanisms of MSCNN and GRU.The workflow begins [...] Read more.
Aiming to address the suboptimal diagnostic efficacy of conventional approaches in rolling bearing fault diagnosis under complex operational scenarios—particularly when subjected to intense noise contamination—this study introduces a novel fault diagnosis framework leveraging the synergistic attention mechanisms of MSCNN and GRU.The workflow begins with conditioning vibration signals sourced from the CRUW bearing dataset, followed by robust extraction of multi-scale fault features through a multi-scale convolutional neural network (MSCNN). To enhance temporal modeling, a gated recurrent unit (GRU) is integrated to extract temporal dependencies from the signals. Further improvements are achieved by enhancing the base model with Transformer layers and a convolutional attention module (CBAM), respectively. Experimental validation is conducted to compare the diagnostic performance of three configurations MSCNN+GRU, MSCNN+GRU+Transformer, and MSCNN+GRU+CBAM—under varying noise conditions. Outcomes demonstrate that the MSCNN+GRU+CBAM model exhibits superior fault detection accuracy and optimal generalization capacity across different load and rotational speed settings, confirming its notable advantage in rolling bearing fault diagnosis. Full article
Show Figures

Figure 1

9 pages, 1158 KB  
Proceeding Paper
Optimization of Transportation Cost in Reverse Logistics of Electrical Appliances for Sustainability
by Ehtazaz Amir, Wasim Ahmad and Saif Ullah
Eng. Proc. 2025, 111(1), 15; https://doi.org/10.3390/engproc2025111015 - 21 Oct 2025
Viewed by 1008
Abstract
The demand for submersible pumps for lifting the liquids from under the surface is growing day by day. The growing market of submersible pumps creates difficulties for managing their end of life. Recycling, the process of converting scraps material into new virgin material [...] Read more.
The demand for submersible pumps for lifting the liquids from under the surface is growing day by day. The growing market of submersible pumps creates difficulties for managing their end of life. Recycling, the process of converting scraps material into new virgin material and fine products while the expenditures are used for carrying the scrap material from different sources to destinations, is the main focus area of this research. The aim of this study is to investigate and create strategies for minimizing the transportation cost in the reverse logistics of electrical appliances (submersible pumps) in order to increase profitability and economically sustainability. Data was gathered through interviews with two distinct individuals that are extremely knowledgeable and proficient in their fields. A case study of reverse logistics of submersible pumps is used to optimize the transit cost in a supply chain. To find an appropriate solution, the simplex linear programming approach was used. Microsoft Excel Solver was utilized to conduct data analysis. The findings revealed that optimizing the transportation cost not only reduces the operational cost, but also increases the profit margins. The study concludes that by integrating reverse logistics strategically, both environmental and financial benefits can be achieved by industries. Full article
Show Figures

Figure 1

9 pages, 571 KB  
Proceeding Paper
A Study on Multi-Objective Unrelated Parallel Machine Scheduling Using an Improved Spider Monkey Optimization Algorithm
by Ziyang Ji, Yarong Chen, Lixuan Pan and Mudassar Rauf
Eng. Proc. 2025, 111(1), 16; https://doi.org/10.3390/engproc2025111016 - 22 Oct 2025
Viewed by 472
Abstract
For the unrelated parallel machine scheduling problem, an improved Spider Monkey Optimization algorithm incorporating a variable neighborhood search (VNS) mechanism (VNS-SMO) is proposed to minimize the makespan, total tardiness, and total energy consumption. The VNS-SMO incorporates six types of neighborhood searches based on [...] Read more.
For the unrelated parallel machine scheduling problem, an improved Spider Monkey Optimization algorithm incorporating a variable neighborhood search (VNS) mechanism (VNS-SMO) is proposed to minimize the makespan, total tardiness, and total energy consumption. The VNS-SMO incorporates six types of neighborhood searches based on the objective characteristics to strengthen the optimization performance of the algorithm. To verify the effectiveness and superiority of VNS-SMO, first, Taguchi experiments were used to determine the algorithm parameters, and then three instances of different scales were solved and compared with the traditional algorithms NSGA-II, PSO, and SMO. The experimental results indicate that VNS-SMO significantly outperforms the comparison algorithms on IGD, NR, and C-matrix metrics, fully demonstrating its comprehensive advantages in convergence, distribution, and diversity. Full article
Show Figures

Figure 1

11 pages, 5998 KB  
Proceeding Paper
High-Fidelity Versus Reduced-Order Numerical Models for Sound Transmission Loss Prediction of Acoustic Metamaterials
by Ali Bin Naveed, Aamir Mubashar, Muhammad Khizer Ali Khan, Ammar Tariq and Kamran A. Khan
Eng. Proc. 2025, 111(1), 17; https://doi.org/10.3390/engproc2025111017 - 21 Oct 2025
Viewed by 633
Abstract
This paper proposes a comprehensive numerical methodology for predicting Sound Transmission Loss (STL) in acoustic metamaterials. It integrates a high-fidelity model (HFM), using Thermoviscous Acoustics for detailed characterization, with a reduced-order model (ROM), employing Pressure Acoustics in COMSOL Multiphysics. The goal is a [...] Read more.
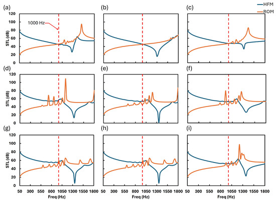
This paper proposes a comprehensive numerical methodology for predicting Sound Transmission Loss (STL) in acoustic metamaterials. It integrates a high-fidelity model (HFM), using Thermoviscous Acoustics for detailed characterization, with a reduced-order model (ROM), employing Pressure Acoustics in COMSOL Multiphysics. The goal is a hierarchical approach balancing computational cost with predictive accuracy for metamaterial designs. The results show that HFM is crucial for understanding complex dissipative mechanisms, especially viscous and thermal losses in sub-wavelength features. The ROM offers rapid predictions for broader design exploration. The case studies compare these models against each other and to experimental results in the low-to-mid frequency range. The average STL values for both models diverged by a marginal 6 dB. Full article
Show Figures

Figure 1

10 pages, 720 KB  
Proceeding Paper
Developing a Multi-Criteria Decision-Making (MCDM) Approach for Selecting Educational Collaborative Robots (CoBots) in West African Countries
by Deyire Yusuf Umar, Afrasyab Khan and Yonghan Ahn
Eng. Proc. 2025, 111(1), 18; https://doi.org/10.3390/engproc2025111018 - 22 Oct 2025
Viewed by 649
Abstract
Most African countries are acquiring new technologies to provide awareness and vocational training to trigger innovation in various areas, including manufacturing. However, the existing method that emphasizes least cost by bidders has been found to be deficient. This study conducts a literature review [...] Read more.
Most African countries are acquiring new technologies to provide awareness and vocational training to trigger innovation in various areas, including manufacturing. However, the existing method that emphasizes least cost by bidders has been found to be deficient. This study conducts a literature review and identifies some CoBots based on the suitability of their properties to West Africa. A hybrid Multi-Criteria Decision-Making approach, comprising the Fuzzy Analytical Hierarchical Process and Interval Technique for Order of Preference by Similarity to Ideal Solution, together combined as FAHP-I-TOPSIS, was selected. This method was modeled and tested as a case study where data were collected from eight Robotics experts from West African countries. The data were analyzed through pairwise comparison and ranking to arrive at the most suitable training CoBot out of five alternatives, and six criteria were considered. Robot (R3) was selected, which, on average, satisfies their priority for Program Flexibility and Economic Cost criteria, because the robot is moderately costly and flexible in programming, too. Full article
Show Figures

Figure 1

9 pages, 726 KB  
Proceeding Paper
A Dual-List Feature-Driven Heuristic for the Batch Processing Machine Scheduling Problem
by Tonghan Zhu, Yarong Chen and Jabir Mumtaz
Eng. Proc. 2025, 111(1), 19; https://doi.org/10.3390/engproc2025111019 - 21 Oct 2025
Viewed by 364
Abstract
This paper addresses the multi-objective scheduling problem for unrelated parallel batch processing machines under different job arrival times. We propose a dual-list feature-driven (DLFD) heuristic algorithm to simultaneously minimize the completion time, total delay time, and total energy consumption. Firstly, the heuristic selects [...] Read more.
This paper addresses the multi-objective scheduling problem for unrelated parallel batch processing machines under different job arrival times. We propose a dual-list feature-driven (DLFD) heuristic algorithm to simultaneously minimize the completion time, total delay time, and total energy consumption. Firstly, the heuristic selects a machine based on the machine’s capacity and energy consumption characteristics. Secondly, a job is selected from two candidate job lists governed by machine capacity and batch processing time constraints, thereby reducing the search space and improving solution quality. To validate the effectiveness of the DLFD heuristic, experiments of three different scales were designed to compare its performance against classic composite dispatching rules. The results demonstrate that the proposed heuristic achieves a significantly superior Pareto front compared to the traditional rules and exhibits strong robustness in solving problems of various scales. Full article
Show Figures

Figure 1

10 pages, 583 KB  
Proceeding Paper
Characterization of Pressureless Sintering of ZTA Ceramic
by Abdul Rafay, Owais ur Rehman Shah and Naseem Ahmad
Eng. Proc. 2025, 111(1), 20; https://doi.org/10.3390/engproc2025111020 - 24 Oct 2025
Viewed by 591
Abstract
Zirconia, also known as zirconium dioxide ZrO2, is well known for its good mechanical properties, like its inertness, good wear resistance, high temperature resistance and good strength. To enhance the mechanical properties of many materials, a technique known as transformation toughening [...] Read more.
Zirconia, also known as zirconium dioxide ZrO2, is well known for its good mechanical properties, like its inertness, good wear resistance, high temperature resistance and good strength. To enhance the mechanical properties of many materials, a technique known as transformation toughening is widely used today. This research focuses on achieving an optimized composition of zirconia and alumina Al2O3 to achieve zirconia-toughened alumina ZTA with a maximum density and other mechanical properties using a cost-effective and time-efficient approach. Doing so will make it possible to make more and more use of this valuable ceramic. The curing of zirconia and alumina samples with 3d—printing resins in silicone dies was performed so that we could obtain the optimum ratio of the resin and ZTA powder that would produce the most desirable results and properties. For 3d printing, ZTA samples with 19% zirconia ZrO2 were used with alumina at two different temperatures (i.e., Sample 1, consisting of three pellets weighing 5–6 g, was sintered at 1500 °C, and Sample 2, also containing three pellets weighing 5 g (approx.), was sintered at 1600 °C). The green-state preparation of these samples (Sample 1 and Sample 2) was performed using milling media of WC balls/ethanol and a milling ratio of 1:3, and a milling time of 4 h 100 rpm was used while drying at 80 °C for 5.5 h. The relative density (70%) and Vickers hardness (14–17 GPa) were obtained for Al2O3/ZrO2/MgO samples. Mechanical properties like hardness and strength strongly depend on the holding time, the rate of the temperature increase while sintering and the sintering temperature itself. Full article
Show Figures

Figure 1

11 pages, 1914 KB  
Proceeding Paper
Structural Design and Development of a Small-Scale Vertical Axis Wind Turbine for Urban Household Power Generation
by Huzafa Bin Rasheed, Haris Sheh Zad, Muhammad Sohail Malik, Muhammad Arif, Shahzaib Khan Hashmi and Muhammad Irfan
Eng. Proc. 2025, 111(1), 21; https://doi.org/10.3390/engproc2025111021 - 24 Oct 2025
Viewed by 2225
Abstract
Small-scale wind turbines are becoming increasingly important in renewable energy systems due to their ability to operate in low-wind-speed environments and adapt to various installation locations, especially in areas with energy shortages. This paper presents the design, analysis and development of a Helical [...] Read more.
Small-scale wind turbines are becoming increasingly important in renewable energy systems due to their ability to operate in low-wind-speed environments and adapt to various installation locations, especially in areas with energy shortages. This paper presents the design, analysis and development of a Helical Vertical Axis type Wind Turbine (H-VAWT) using uPVC pipe as the blade material, offering a lightweight, low-cost, and corrosion resistant solution. The blade structure is optimized for use in residential and off-grid areas with unstable wind conditions. Structural analysis is conducted in ANSYS, including static load analysis (deformation, equivalent stress, shear stress, maximum stress), torsional and bending stress, and modal analysis to assess mechanical performance and vibrational stability. Three blade designs are initially considered, and the helical model (0–45° twist) is selected based on simulation results. The prototype is successfully fabricated and tested under different wind speeds, showing effective power generation, with favorable results in power output, power coefficient, tip-speed ratio (TSR), and relative velocity. Full article
Show Figures

Figure 1

9 pages, 1014 KB  
Proceeding Paper
Adaptive Observer-Based Robust Control of Mismatched Buck DC–DC Converters for Renewable Energy Applications
by Haris Sheh Zad, Abasin Ulasyar, Adil Zohaib and Sohail Khalid
Eng. Proc. 2025, 111(1), 22; https://doi.org/10.3390/engproc2025111022 - 27 Oct 2025
Viewed by 484
Abstract
This paper presents a new robust control strategy for buck DC–DC converters that achieve fast and robust voltage regulation in the presence of load disturbances and model uncertainties. First, an adaptive state observer is designed to estimate the inductor current and capacitor voltage [...] Read more.
This paper presents a new robust control strategy for buck DC–DC converters that achieve fast and robust voltage regulation in the presence of load disturbances and model uncertainties. First, an adaptive state observer is designed to estimate the inductor current and capacitor voltage by utilizing the output measurement. The observer gains are tuned online via a Lyapunov-based adaptation law, ensuring that the estimation error remains uniformly bounded, even when the disturbances act on the system. Based on the state estimates, an integral sliding-mode controller is designed in order to eliminate the steady state error and ensure the finite time sliding. The detailed stability proofs for both the observer and the sliding-mode controller are derived showing the finite-time reaching of the sliding surface and exponential convergence of the voltage error. Simulation results under varying load profiles confirm that the proposed scheme outperforms traditional sliding-mode designs in terms of disturbance rejection and settling time, while avoiding excessive chattering. Full article
Show Figures

Figure 1

10 pages, 286 KB  
Proceeding Paper
Climate-Smart Housing in Pakistan: Exploring Climate-Resilient Solutions for Urban Development
by Saleha Qureshi, Saad Ali Ahmed Malik, Ubaid-Ur Rehman Zia and Muhammad Zulfiqar
Eng. Proc. 2025, 111(1), 23; https://doi.org/10.3390/engproc2025111023 - 27 Oct 2025
Viewed by 816
Abstract
Pakistan’s housing sector faces a significant shortfall alongside growing climate risks. This study assesses climate-smart construction options autoclaved aerated concrete (AAC) blocks, interlocking bricks, and rat-trap bond masonry through energy simulations, cost modeling, and expert consultations. A 10-Marla residential unit in Islamabad was [...] Read more.
Pakistan’s housing sector faces a significant shortfall alongside growing climate risks. This study assesses climate-smart construction options autoclaved aerated concrete (AAC) blocks, interlocking bricks, and rat-trap bond masonry through energy simulations, cost modeling, and expert consultations. A 10-Marla residential unit in Islamabad was used as the reference case. Results indicate AAC reduces cooling energy by 22%, interlocking bricks reduce construction costs by 26.6%, and rat-trap masonry lowers electricity use by 12–16%. Despite technical viability, adoption remains limited due to financing and regulatory barriers. The study proposes a phased policy roadmap to integrate low-carbon materials into Pakistan’s housing and climate adaptation strategies. Full article
Show Figures

Figure 1

11 pages, 2130 KB  
Proceeding Paper
Enhancing Sweeping Frequency and Jet Impingement Cooling in Fluidic Oscillators via Bleed-Feed Channel Width Variation
by Liaqat Hussain, Muhammad Mahabat Khan, Naseem Ahmad, Kifayatullah and Taha Ahmer
Eng. Proc. 2025, 111(1), 24; https://doi.org/10.3390/engproc2025111024 - 28 Oct 2025
Viewed by 562
Abstract
This numerical investigation employs a two-dimensional unsteady Reynolds-averaged Navier–Stokes (URANS) approach with the k-ω SST turbulence model to systematically evaluate the impact of bleed-feed channel geometry (with three width variations: 0.2D, 0.25D, and 0.3D) on double feedback fluidic oscillator performance. The focus is [...] Read more.
This numerical investigation employs a two-dimensional unsteady Reynolds-averaged Navier–Stokes (URANS) approach with the k-ω SST turbulence model to systematically evaluate the impact of bleed-feed channel geometry (with three width variations: 0.2D, 0.25D, and 0.3D) on double feedback fluidic oscillator performance. The focus is on improving oscillation frequency and heat transfer while reducing pressure drop, which are critical parameters in fluidic oscillator-driven jet impingement cooling applications. Addressing these challenges is essential to enhance cooling performance, minimize energy consumption, and enable reliable thermal management in advanced engineering systems. The study analyzes key performance parameters, including oscillation frequency, pressure drop, and heat transfer characteristics, comparing channel-enhanced designs against a baseline smooth oscillator. Results demonstrate that incorporating a bleed-feed channel significantly enhances performance, with the 0.3D width emerging as optimal, delivering a 150% increase in oscillation frequency and a 3.2% reduction in pressure drop compared to the smooth design. These improvements are attributed to the channel’s ability to strengthen feedback flow, thereby accelerating jet switching while minimizing energy losses. Thermally, the 0.3D configuration achieves a 7.3% higher Nusselt number than the smooth oscillator, resulting from combined effects of higher oscillation frequency (intensifying boundary layer disruption) and increased jet momentum from reinforced feedback flow. The progressive performance enhancement across the three channel widths (0.2D to 0.3D) reveals clear geometry–performance relationships. These findings provide valuable insights for optimizing fluidic oscillator designs in applications requiring high-frequency oscillations and targeted cooling, such as electronics or gas turbine blade cooling. Full article
Show Figures

Figure 1

9 pages, 792 KB  
Proceeding Paper
An Improved Adaptive Sliding Mode Controller with Dynamic Surface Extension for Uncertain Robotic Manipulators
by Haris Sheh Zad, Adil Zohaib, Abasin Ulasyar and Sohail Khalid
Eng. Proc. 2025, 111(1), 25; https://doi.org/10.3390/engproc2025111025 - 28 Oct 2025
Viewed by 504
Abstract
This article presents an improved adaptive sliding mode control (SMC) scheme designed for uncertain robotic manipulators through a novel dynamic surface extension. Unlike conventional SMC approaches, which have scalar sliding surfaces, our proposed approach introduces a two-stage sliding variable along with a dynamic [...] Read more.
This article presents an improved adaptive sliding mode control (SMC) scheme designed for uncertain robotic manipulators through a novel dynamic surface extension. Unlike conventional SMC approaches, which have scalar sliding surfaces, our proposed approach introduces a two-stage sliding variable along with a dynamic extension, which allows the independent shaping of reaching and sliding dynamics. The controller adaptively estimates unknown disturbances and ensures finite-time convergence of the sliding variable, while chattering and steady-state errors are suppressed by including the integral term in the dynamic extension. Lyapunov-based analysis was carried out to prove the boundedness of the overall control approach and the asymptotic tracking of the desired trajectory. Simulation studies were carried out on a two-link robot manipulator under varying payloads and external disturbances. The results validate its superior tracking accuracy and disturbance rejection compared to traditional SMC controllers. The results confirm that the proposed control scheme achieves fast convergence, low chattering, and robust performance in the presence of modeling uncertainties, making it a promising solution for high-precision robotic applications. Full article
Show Figures

Figure 1

15 pages, 3318 KB  
Proceeding Paper
Optimization of 3D Printing Parameters for Enhanced Mechanical Strength Using Taguchi Method
by Muhammad Asim, Shahid Ikramullah Butt, Muhammad Rizwan ul Haq and Dil Jan
Eng. Proc. 2025, 111(1), 26; https://doi.org/10.3390/engproc2025111026 - 28 Oct 2025
Viewed by 818
Abstract
Stereolithography (SLA) is a 3D printing process in which liquid resin is cured selectively using ultraviolet light; it is dominantly used for rapid tooling and prototyping. This work aims to identify, investigate, and maximize the influence of process parameters such as layer thickness, [...] Read more.
Stereolithography (SLA) is a 3D printing process in which liquid resin is cured selectively using ultraviolet light; it is dominantly used for rapid tooling and prototyping. This work aims to identify, investigate, and maximize the influence of process parameters such as layer thickness, build orientation, and exposure time on the mechanical performance of biomedical materials through the Taguchi method using masked stereolithography (MSLA). It was found that layer thickness has an inverse relationship with component strength, and the mechanical characteristics are most affected by the vertical build orientation. The improved parameter resulted in an increase of 9.26 percent in tensile, 5.93 percent in flexural, and 17.89 percent in impact strength compared to the average experimental strength. Additionally, an empirical regression model linking strength and process variables was developed. Full article
Show Figures

Figure 1

13 pages, 2465 KB  
Proceeding Paper
Phase-Field Simulation of Bubble Evolution and Heat Transfer in Microchannels Under Subcooled and Saturated Flow Boiling
by Jawed Ahmed Jamali and Ying He
Eng. Proc. 2025, 111(1), 27; https://doi.org/10.3390/engproc2025111027 - 28 Oct 2025
Viewed by 843
Abstract
This study numerically investigates the growth and dynamics of a single vapor bubble in a rectangular microchannel under subcooled and saturated inlet conditions using the phase-field method coupled with the Lee phase-change model. Results demonstrate that subcooled flow induces early bubble nucleation, pronounced [...] Read more.
This study numerically investigates the growth and dynamics of a single vapor bubble in a rectangular microchannel under subcooled and saturated inlet conditions using the phase-field method coupled with the Lee phase-change model. Results demonstrate that subcooled flow induces early bubble nucleation, pronounced lateral expansion along the heated wall, and prolonged bubble-wall contact due to stronger condensation at the interface and thinner microlayer formation. Enhanced recirculating vortices and steeper thermal gradients promote vigorous evaporation and increased local heat flux, resulting in faster downstream bubble propagation driven by significant axial pressure gradients. Analysis of temperature gradient and heat flux profiles confirms that subcooled conditions produce higher wall heat flux and more frequent peaks in evaporative flux compared to the saturated case, indicating intensified phase-change activity and thermal transport. Conversely, saturated conditions produce more spherical bubbles with dominant vertical growth, weaker condensation, and symmetrical thermal and pressure fields, leading to slower growth and delayed detachment near the nucleation site. These findings highlight the critical influence of inlet subcooling on bubble morphology, flow structures, heat transfer, and pressure distribution, underscoring the thermal management advantages of subcooled boiling in microchannel applications. Full article
Show Figures

Figure 1

11 pages, 919 KB  
Proceeding Paper
Active Transfer Learning Gaussian Process for Reliable Trajectory Prediction of the UR5 Robotic Manipulator
by Keenjhar Ayoob, Tayyab Zafar and Amir Hamza
Eng. Proc. 2025, 111(1), 28; https://doi.org/10.3390/engproc2025111028 - 28 Oct 2025
Viewed by 760
Abstract
This paper presents a simulation-driven framework employing an Active Transfer Learning Gaussian Process (ATGP) model for accurate trajectory prediction and reliability analysis of the UR5 robotic manipulator. The method integrates transfer learning, Gaussian Process Regression, and active sampling to address challenges under limited [...] Read more.
This paper presents a simulation-driven framework employing an Active Transfer Learning Gaussian Process (ATGP) model for accurate trajectory prediction and reliability analysis of the UR5 robotic manipulator. The method integrates transfer learning, Gaussian Process Regression, and active sampling to address challenges under limited target data. Preprocessing steps such as outlier removal, feature scaling, and Principal Component Analysis enhance data quality. A physically informed synthetic source domain facilitates effective knowledge transfer. Using DH-parameters as input, the ATGP predicts 3D end-effector trajectories over time. Results show a mean absolute error below 0.01, demonstrating consistency and scalability for real-time, uncertainty-aware robotic applications. This is the first ATGP-based UR5 framework that unites PCA-guided, physics-informed source synthesis with multi-output transfer GPR as well as coordinate- and time-resolved reliability analysis under scarce target-domain data. Full article
Show Figures

Figure 1

8 pages, 1403 KB  
Proceeding Paper
Transient Analysis of Solar Driven Hydrogen Generation System Using Industrial Waste Water
by Yasir Ismail Saad, Muzaffar Ali, Javed Akhtar, Muhammad Usman, Muhammad Taha Manzoor, Müslüm Arıcı and Muhammad Aqil Khan
Eng. Proc. 2025, 111(1), 29; https://doi.org/10.3390/engproc2025111029 - 28 Oct 2025
Viewed by 439
Abstract
This study investigates an integrated solar-powered system for wastewater treatment and hydrogen production, combining solar PV, a humidification–dehumidification (HDH) system, solar thermal collectors, and electrolysis. The objective is to evaluate the feasibility of utilizing industrial wastewater for both clean water production and green [...] Read more.
This study investigates an integrated solar-powered system for wastewater treatment and hydrogen production, combining solar PV, a humidification–dehumidification (HDH) system, solar thermal collectors, and electrolysis. The objective is to evaluate the feasibility of utilizing industrial wastewater for both clean water production and green hydrogen generation. A transient analysis is conducted using TRNSYS and EES software, modeling a system designed to process 4000 kg of wastewater daily. The results indicate that the HDH system produces 300 kg of clean water per hour, while the electrolyzer generates approximately 66.5 kg of hydrogen per hour. The solar PV system operates under the weather conditions of Kohat, Pakistan. This integrated approach demonstrates significant potential for sustainable wastewater treatment and renewable energy production, offering a promising solution for industrial applications. Full article
Show Figures

Figure 1

10 pages, 955 KB  
Proceeding Paper
Enhancing Parabolic Trough Collector Performance Through Surface Treatment: A Comparative Experimental Analysis
by Abdullah Rahman, Nawaf Mehmood Malik and Muhammad Irfan
Eng. Proc. 2025, 111(1), 30; https://doi.org/10.3390/engproc2025111030 - 28 Oct 2025
Cited by 1 | Viewed by 454
Abstract
Parabolic trough collectors (PTCs) are effective solar thermal systems, but their performance can be significantly enhanced through surface treatments. This research investigates the enhancement of thermal performance in parabolic trough collectors (PTCs) by experimentally evaluating the results of surface coating on the absorber [...] Read more.
Parabolic trough collectors (PTCs) are effective solar thermal systems, but their performance can be significantly enhanced through surface treatments. This research investigates the enhancement of thermal performance in parabolic trough collectors (PTCs) by experimentally evaluating the results of surface coating on the absorber tube surface. To achieve this objective, a closed-loop PTC system was fabricated to conduct an experimental comparison between a conventional simple copper tube and a black-painted copper tube. The experimental setup was placed in Islamabad, Pakistan, operated under both laminar and turbulent flow conditions to measure key performance metrics, of temperature difference (ΔT) between the inlet and outlet. The results demonstrate a significant performance advantage for the black-painted tube. In laminar flow, the black-painted tube achieved an average ΔT of 3.54 °C, compared to 2.11 °C for the simple copper tube. Similarly, in turbulent flow, the black-painted tube’s ΔT was 2.1 °C, surpassing the simple copper tube’s 1.57 °C. This superior performance is primarily attributed to the black surface’s high solar absorptivity, which more effectively captures and converts solar radiation into thermal energy. The findings highlight the critical role of surface treatment in optimizing PTC efficiency and provide a practical method for improving solar thermal energy systems. Full article
Show Figures

Figure 1

10 pages, 1549 KB  
Proceeding Paper
Improved Thermal and Power Management of Modified Solar PV System Integrated with Phase Change Material Through Transient Charging and Discharging Cycles
by Mohsin Ali, Muzaffar Ali, Najam Ul Hassan Shah, Guiqiang Li and Andrea Ferrantelli
Eng. Proc. 2025, 111(1), 31; https://doi.org/10.3390/engproc2025111031 - 28 Oct 2025
Viewed by 552
Abstract
Increase in temperatures significantly reduce photovoltaic (PV) panel efficiency by increasing thermalization losses and carrier recombination. To mitigate this issue, phase change material (PCM-RT35) is integrated with the PV system. This study investigates the thermal performance of a PV–PCM hybrid system under the [...] Read more.
Increase in temperatures significantly reduce photovoltaic (PV) panel efficiency by increasing thermalization losses and carrier recombination. To mitigate this issue, phase change material (PCM-RT35) is integrated with the PV system. This study investigates the thermal performance of a PV–PCM hybrid system under the summer climatic conditions of Islamabad, Pakistan. A transient computational model was developed in ANSYS Fluent 2021 R1 and validated against published experimental data, showing an accuracy within 5% for panel temperature. Monthly average hourly heat flux and ambient temperature profiles were used as boundary conditions in three separate simulations. The results show that, although all three months reach a 100% melt fraction, only April achieves complete solidification within a 24-h cycle. In May solidification merely begins before the end of the period, and in June no solidification occurs at all. Importantly, integrating the PCM lowers the PV module’s peak temperature by up to 15 °C and boosts its power-output efficiency by about 6%. By keeping the module cooler, its electrical efficiency is therefore significantly improved. Full article
Show Figures

Figure 1

13 pages, 2848 KB  
Proceeding Paper
Multiscale Modeling of C/SiC Ceramic Matrix Composites (CMCs)
by Sana Ullah, Riccardo Nobile, Gennaro Scarselli, Angelo De Fenza and Mario De Stefano Fumo
Eng. Proc. 2025, 111(1), 32; https://doi.org/10.3390/engproc2025111032 - 31 Oct 2025
Viewed by 873
Abstract
Ceramic Matrix Composites (CMCs) have found numerous applications in aerospace, automotive and space vehicles due to their light weight and ability to withstand extreme temperatures. To develop a design criterion for CMCs, elastic properties at different scales need to be evaluated. In this [...] Read more.
Ceramic Matrix Composites (CMCs) have found numerous applications in aerospace, automotive and space vehicles due to their light weight and ability to withstand extreme temperatures. To develop a design criterion for CMCs, elastic properties at different scales need to be evaluated. In this research, elastic properties of CMCs are evaluated at the micro- and meso-level using representative volume element (RVE) in the Ansys Material Designer module. These properties are then validated using various analytical models including Rule of Mixture (ROM), the Chamis Model and the Mori–Tanaka Model. In-plane elastic properties (E11 and G12) of numerical models are in close agreement with the analytical models at both micro- and mesoscales. However, for out of plane properties (E22, G23), Mori–Tanaka Model provides the highest and the Chamis Model provides the lowest. Full article
Show Figures

Figure 1

10 pages, 2283 KB  
Proceeding Paper
Impact of Lewis Number on Natural Convection with Double Diffusion in a Square Cavity Filled with Non-Newtonian Fluid with Viscosity Varying with Temperature
by Mohamed Rahmoun, Bilal El hadoui, Taoufik Makayssi and Mohamed Lamsaadi
Eng. Proc. 2025, 111(1), 33; https://doi.org/10.3390/engproc2025111033 - 3 Nov 2025
Viewed by 475
Abstract
This work focuses on the numerical analysis of double diffusive natural convection inside a square cavity filled with non-Newtonian fluids obeying the power-law model. The viscosity is considered to vary with temperature following an exponential law. The main parameters studied are the Lewis [...] Read more.
This work focuses on the numerical analysis of double diffusive natural convection inside a square cavity filled with non-Newtonian fluids obeying the power-law model. The viscosity is considered to vary with temperature following an exponential law. The main parameters studied are the Lewis number, thermo-dependent parameter, and behavior index. It was observed that increasing the thermo-dependent parameter intensifies the flow, which leads to a significant improvement in heat and mass transfer within the cavity. When the thermo-dependent parameter is increased from 0 to 3, the average Nusselt number increases by 109% for low Le, while the Sherwood number rises up to 108%, reflecting a significant intensification of heat and mass transfer. This intensification is further enhanced when the behavior index decreases from 1.4 to 0.6, which increases flow intensity due to the decrease in apparent viscosity in high shear areas. Furthermore, a high Lewis number reduces heat transfer but greatly increases mass transfer. Full article
Show Figures

Figure 1

13 pages, 2389 KB  
Proceeding Paper
Assessment of Drought Vulnerability in Faisalabad Through Remote Sensing and GIS
by Ebadat Ur Rehman, Laiba Sajid and Zainab Naeem
Eng. Proc. 2025, 111(1), 34; https://doi.org/10.3390/engproc2025111034 - 4 Nov 2025
Viewed by 672
Abstract
This research has used a multi-indices geospatial framework to combine the utilization of the Normalized Difference Vegetation Index (NDVI), Temperature Condition Index (TCI), and Standardized Precipitation Evapotranspiration Index (SPEI) to measure drought risk in Faisalabad Division, Pakistan (2015–2023). It integrated remote sensing, GIS [...] Read more.
This research has used a multi-indices geospatial framework to combine the utilization of the Normalized Difference Vegetation Index (NDVI), Temperature Condition Index (TCI), and Standardized Precipitation Evapotranspiration Index (SPEI) to measure drought risk in Faisalabad Division, Pakistan (2015–2023). It integrated remote sensing, GIS analysis, and change detection in Land Use Land Cover (LULC) and used Moderate Resolution Imaging Spectroradiometer (MODIS) datasets along with SPEI grids. It was found that the spatial heterogeneity that occurred with District Jhang is at high risk because it is arid (SPEI −1.5), sparsely vegetated (NDVI 0.2), and has high thermal stress (TCI -30), whereas the central/eastern parts are resilient (NDVI 0.4) due to irrigation. Through MODIS LULC analysis, the occurrence of urban growth (13.42 km2 of vegetative cover loss), agricultural intensification, and afforestation (147.34 km2) were identified. As per the risk map, 74 percent of the area was defined as low risk (74 percent), 20 percent as moderate risk, and 6 percent as high risk. The findings highlight the role of water management in climate resilience. Future research should integrate high-resolution imagery, machine learning, and socioeconomic data for improved prediction. Full article
Show Figures

Figure 1

11 pages, 1359 KB  
Proceeding Paper
Proportional Analysis and Microstructural Characterization of Threading Dies Manufactured Using Conventional and EDM Machining Methods
by Zaheer Ahmad, Muhammad Uzair, Afrasyab Khan, Muhammad Huzaifa and Syed Hamza Khurshid
Eng. Proc. 2025, 111(1), 35; https://doi.org/10.3390/engproc2025111035 - 3 Nov 2025
Viewed by 565
Abstract
This experimental study investigates the effects of conventional and non-conventional (Electrical Discharge Machining, EDM) techniques on the performance of threading dies fabricated from H13 die steel. The research focuses on variations in material properties, operational efficiency, and failure mechanisms. Results indicate that conventional [...] Read more.
This experimental study investigates the effects of conventional and non-conventional (Electrical Discharge Machining, EDM) techniques on the performance of threading dies fabricated from H13 die steel. The research focuses on variations in material properties, operational efficiency, and failure mechanisms. Results indicate that conventional machining significantly increases die hardness, leading to higher mechanical stress and premature failure. In contrast, EDM maintains structural integrity with minimal hardness variation. Microstructural analysis confirms superior grain structure stability in EDM-processed dies. Performance testing showed that conventional threading dies failed after threading 16 inches of mild steel rods, while EDM-fabricated dies successfully threaded up to 20 inches. These findings underscore the detrimental effect of mechanically induced stress in conventional techniques and highlight the superior durability and dimensional precision achievable through non-conventional machining methods. Full article
Show Figures

Figure 1

9 pages, 655 KB  
Proceeding Paper
Enabling Solar PV Localization in Pakistan Through Strategic Pathways Under China–Pakistan Industrial Cooperation
by Ayesha Naeem, Arfa Ijaz, Ubaid Ur Rehman Zia and Sarim Zia
Eng. Proc. 2025, 111(1), 36; https://doi.org/10.3390/engproc2025111036 - 4 Nov 2025
Viewed by 1513
Abstract
Pakistan’s solar boom, now contributing 25% of its utility electricity, the highest among major countries, presents a strategic opportunity to localize solar supply chains within Special Economic Zones (SEZs) under the China–Pakistan Economic Corridor (CPEC). This study investigates pathways for enabling solar localization, [...] Read more.
Pakistan’s solar boom, now contributing 25% of its utility electricity, the highest among major countries, presents a strategic opportunity to localize solar supply chains within Special Economic Zones (SEZs) under the China–Pakistan Economic Corridor (CPEC). This study investigates pathways for enabling solar localization, identifies key barriers to local manufacturing, and assesses the potential for domestic value chain development. Employing a mixed-methods approach, combining policy analysis, stakeholder consultations, and feasibility analysis, the study outlines an implementation strategy centered on leveraging SEZs and promoting technology transfer. Results indicate that if Pakistan succeeds in localizing even half of its solar imports, it could reduce import dependency and switching to solar energy could potentially save over $5 billion over two decades. This shift would not only enhance energy security but also enhance sustainable industrial development under CPEC 2.0. Full article
Show Figures

Figure 1

8 pages, 1030 KB  
Proceeding Paper
An Improved Fruit Fly Optimization Algorithm for Multi-Objective Scheduling in Hybrid Flow Shops
by Ziyi Shang, Yarong Chen and Jabir Mumtaz
Eng. Proc. 2025, 111(1), 37; https://doi.org/10.3390/engproc2025111037 - 4 Nov 2025
Cited by 1 | Viewed by 356
Abstract
This study proposes an improved Fruit Fly Optimization Algorithm integrated with Simulated Annealing (SA-FOA) for hybrid flow shop scheduling problems with dual objectives of minimizing makespan and total tardiness. The algorithm adopts a three-stage integration strategy to generate high-quality initial populations, surpassing random [...] Read more.
This study proposes an improved Fruit Fly Optimization Algorithm integrated with Simulated Annealing (SA-FOA) for hybrid flow shop scheduling problems with dual objectives of minimizing makespan and total tardiness. The algorithm adopts a three-stage integration strategy to generate high-quality initial populations, surpassing random initialization. During olfactory search, insertion-based neighborhood operations expand search scope, while visual search incorporates simulated annealing acceptance criteria to escape local optima. Validation employs three scalable instances, comparing SA-FOA against basic FOA and classical scheduling rules. Experimental results demonstrate significant superiority in Inverted Generational Distance (IGD), Non-dominant rate (NR), and Convergence Matrix (C-matrix metrics), highlighting enhanced convergence, distribution, and diversity. Notably, performance advantages amplify with problem scale growth. Full article
Show Figures

Figure 1

10 pages, 616 KB  
Proceeding Paper
Gender-Responsive SEZs for Inclusive Industrialization Under CPEC 2.0
by Ayesha Naeem, Sadia Satti and Ubaid Ur Rehman Zia
Eng. Proc. 2025, 111(1), 38; https://doi.org/10.3390/engproc2025111038 - 4 Nov 2025
Viewed by 581
Abstract
This study investigates the gendered implications of Pakistan’s Special Economic Zones (SEZs) under CPEC 2.0, focusing on risks and opportunities for women in the country’s green industrial transition. Using a mixed-methods approach that combines secondary research with multi-stakeholder consultations, including engagement with SEZ [...] Read more.
This study investigates the gendered implications of Pakistan’s Special Economic Zones (SEZs) under CPEC 2.0, focusing on risks and opportunities for women in the country’s green industrial transition. Using a mixed-methods approach that combines secondary research with multi-stakeholder consultations, including engagement with SEZ authorities, Chinese investors, and women’s professional networks, the paper examines how legal ambiguity, defeminization, and occupational segregation restrict women’s participation and mobility in SEZs. Drawing on global comparative evidence and Pakistan’s specific legal and institutional gaps, the paper argues that SEZs can support gender-equitable industrialization if reforms are integrated into their design and governance. It recommends introducing mandatory gender equity plans in zone licensing, providing targeted skills training for women in high-tech sectors, operationalizing Pakistan’s National Gender Policy Framework within SEZ development, and embedding the Zone Social Responsibility (ZSR) framework across all SEZs to ensure long-term inclusion and empowerment. Full article
Show Figures

Figure 1

11 pages, 768 KB  
Proceeding Paper
Green Hydrogen as a Decarbonization Pathway for Steel Industry in Pakistan
by Arfa Ijaz, Saleha Qureshi, Ubaid Ur Rehman Zia, Sarim Zia, Saad Ali Ahmed Malik and Muhammad Zulfiqar
Eng. Proc. 2025, 111(1), 39; https://doi.org/10.3390/engproc2025111039 - 4 Nov 2025
Cited by 1 | Viewed by 1570
Abstract
The global steel industry emits 1.92 tons of CO2 per ton of output and faces urgent pressure to decarbonize. In Pakistan, the sector accounts for 0.29 tons of CO2 per ton of output, with limited mitigation frameworks in place. Green hydrogen [...] Read more.
The global steel industry emits 1.92 tons of CO2 per ton of output and faces urgent pressure to decarbonize. In Pakistan, the sector accounts for 0.29 tons of CO2 per ton of output, with limited mitigation frameworks in place. Green hydrogen (GH2)-based steelmaking offers a strategic pathway toward decarbonization. However, realizing its potential depends on access to renewable energy. Despite Pakistan’s substantial technical wind potential of 340 GW, grid limitations currently restrict wind power to only 4% of national electricity generation. This study explores GH2 production through sector coupling and power wheeling, repurposing curtailed wind energy from Sindh to supply Karachi’s steel industry, and proposing a phased roadmap for GH, enabling fossil fuel substitution, industrial resilience, and alignment with global carbon-border regulations. Full article
Show Figures

Figure 1

10 pages, 463 KB  
Proceeding Paper
Monitoring, Verification, and Trade Exposure: Evaluating Cross-Border Adjustment Mechanism (CBAM) Compliance in Pakistan’s Steel Sector
by Saad Ali Ahmed Malik, Saleha Qureshi, Arfa Ijaz and Muhammad Zulfiqar
Eng. Proc. 2025, 111(1), 40; https://doi.org/10.3390/engproc2025111040 - 13 Nov 2025
Cited by 1 | Viewed by 1376
Abstract
This study examines Pakistan’s steel sector’s readiness to comply with the European Union’s Carbon Border Adjustment Mechanism (CBAM), which mandates verified emissions disclosures for carbon-intensive imports. Although the sector primarily uses electric arc furnace (EAF) technology, recognized for its lower emissions, Pakistan lacks [...] Read more.
This study examines Pakistan’s steel sector’s readiness to comply with the European Union’s Carbon Border Adjustment Mechanism (CBAM), which mandates verified emissions disclosures for carbon-intensive imports. Although the sector primarily uses electric arc furnace (EAF) technology, recognized for its lower emissions, Pakistan lacks a formal Monitoring, Reporting, and Verification (MRV) framework to support product-level emissions certification. Through qualitative research, including stakeholder engagements and policy analysis, the study identifies key barriers related to emissions data, institutional capacity, and trade exposure. This study proposes actionable policy recommendations to strengthen MRV systems, facilitate compliance, and enhance the sector’s competitiveness in regulated markets. Full article
Show Figures

Figure 1

11 pages, 1188 KB  
Proceeding Paper
Standardizing Indigenous Beverage Production: A Comparative Evaluation of Automated and Traditional Zobo Processing Methods Based on NAFDAC Nutritional Compliance
by Luqman Muhammed Audu, Mathew Levi Asor, Braimah Dirisu, Sunday Asunumeh Ososomi and Emmanuel Omokhagbo Momoh
Eng. Proc. 2025, 111(1), 41; https://doi.org/10.3390/engproc2025111041 - 18 Nov 2025
Viewed by 483
Abstract
This study compares the nutritional consistency and regulatory compliance of automated versus traditional zobo juice production processes, utilizing the nutritional compliant requirements specified by Nigeria’s food consumption regulatory body as benchmarks. The automated system exhibits innovation in precise ingredients measurement, PLC smart temperature [...] Read more.
This study compares the nutritional consistency and regulatory compliance of automated versus traditional zobo juice production processes, utilizing the nutritional compliant requirements specified by Nigeria’s food consumption regulatory body as benchmarks. The automated system exhibits innovation in precise ingredients measurement, PLC smart temperature regulation, two-stage in-line filtration process, enhanced stirring mechanism, and pasteurization chamber. Five production batches from each method were analyzed for key nutrients, including energy, carbohydrates, sugars, fiber, protein, sodium, vitamin C, and iron. The automated method yielded juice with energy values ranging from 55.86 to 60.12 kcal, closely aligning with the NAFDAC nutritional requirements compliance of 60.00 kcal. In contrast, the traditional method showed greater variability, with energy values ranging from 45.85 to 58.12 kcal. Similarly, the automated process demonstrated lower mean deviation from the NAFDAC carbohydrate requirement (15.00 g), with a standard deviation (SD) of 0.23, compared to 1.57 for the traditional process. ANOVA results revealed statistically significant differences between the two methods across most nutrient parameters, with the automated method consistently exhibiting greater precision. Sensory evaluations further indicated that juice produced through automation remained acceptable for up to six days, compared to only three days for traditionally prepared juice. These findings highlight the advantages of automation in enhancing nutritional accuracy, minimizing batch-to-batch variability, and improving adherence to regulatory standards. This study supports the adoption of automated methods in local beverage production to achieve higher product quality and consistency. Full article
Show Figures

Figure 1

9 pages, 581 KB  
Proceeding Paper
Assessing the Feasibility of Electric Vehicle Adoption in Pakistan Affordability, Preferences, and Market Readiness
by Sarim Zia, Saleha Qureshi, Muhammad Zulfiqar and Arfa Ijaz
Eng. Proc. 2025, 111(1), 42; https://doi.org/10.3390/engproc2025111042 - 4 Dec 2025
Viewed by 808
Abstract
The paper discusses the economic and infrastructural challenges preventing the adoption of Electric Vehicles (EVs) in Pakistan. It focuses on key factors such as affordability, consumer preferences, and the overall readiness of the market. Based on a segment-wise comparison, the analysis reveals that [...] Read more.
The paper discusses the economic and infrastructural challenges preventing the adoption of Electric Vehicles (EVs) in Pakistan. It focuses on key factors such as affordability, consumer preferences, and the overall readiness of the market. Based on a segment-wise comparison, the analysis reveals that four-wheeler EVs carry an initial price premium of 20 to 64 percent over internal combustion engine (ICE) vehicles, with payback periods ranging from 11 to 25 years, placing them out of reach for most middle-income consumers. In contrast, electric two- and three-wheelers—comprising more than 90 percent of registered vehicles—offer a significantly more practical and affordable pathway for mass adoption. These vehicles exhibit minimal upfront cost differences, annual operational savings exceeding PKR 62,000, and short payback periods of just 4 to 6 months, making them highly feasible in the local context. The study adopts a mixed-methods approach using national price data, vehicle registration records, and international case studies from India, Kenya, and Norway. It evaluates financing innovations such as battery leasing, concessional green loans, and carbon-credit-linked microfinance, and outlines a consumer-focused policy framework that emphasizes financial inclusion, decentralized infrastructure development, and phased implementation strategies. By aligning global lessons with Pakistan’s socioeconomic and infrastructural realities, the paper offers a scalable and inclusive roadmap for accelerating EV adoption through targeted, consumer-driven solutions. Full article
Show Figures

Figure 1

10 pages, 571 KB  
Proceeding Paper
Role of Fuel Switching in the Decarbonization of Pakistan’s Cement Industry
by Ubaid Zia, Saleha Qureshi, Hina Younis and Adal Farooq
Eng. Proc. 2025, 111(1), 43; https://doi.org/10.3390/engproc2025111043 - 5 Jan 2026
Viewed by 386
Abstract
The cement industry is at the core of global economic and infrastructure development accounts, but it also accounts for 7% to 9% of total emitting CO2 For Pakistan, it is a major consumer of coal, emitting 8.9 Mt of CO2 annually, [...] Read more.
The cement industry is at the core of global economic and infrastructure development accounts, but it also accounts for 7% to 9% of total emitting CO2 For Pakistan, it is a major consumer of coal, emitting 8.9 Mt of CO2 annually, resulting in nearly 49% of the country’s coal While several strategic initiatives are being adopted to lower conventional fuel consumption in the cement sector such as an increased shift towards solar energy deployment, initiating the shift from coal to alternate materials, but a well-regulated alternative fuel policy framework across cement production processes remains a clear gap in the industry’s decarbonization efforts. Given this challenge, this study conducts a scenario-informed quantitative evaluation using the Low-Emission Analysis Platform (LEAP) to explore the decarbonization potential of fuel switching in Pakistan’s cement industry, aligning it with NDC, Net-zero, and energy transition targets. The results reveal that swapping out coal and petroleum coke for cleaner alternatives would be necessary for reducing emissions by 13.5 Mt under the NDC scenario and 17.1 Mt for net-zero by 2050. However, achieving these targets requires a well-defined policy framework, regulatory support for Refuse-Derived Fuel (RDF) and Tire-Derived Fuel (TFD), building a sustainable biomass chain and quality control units, and capital investment in cleaner fuels. Full article
Show Figures

Figure 1

9 pages, 824 KB  
Proceeding Paper
Need Assessment for Implementation of Digital Transformation Practices Through the Capacity Building
by Muhammad Sohail Iqbal, Salman Hussain, Wasim Ahmad, Abaid Ullah and Sajjad Hussain
Eng. Proc. 2025, 111(1), 1001; https://doi.org/10.3390/engproc2025111001 - 14 Oct 2025
Viewed by 596
Abstract
This study systematically identifies and prioritizes barriers to Industry 4.0 adoption in manufacturing within a developing economy. We used a mixed-methods approach—combining a systematic literature review and PLS-SEM. The research synthesizes 45 critical factors across nine I4.0 pillars, mapped to five sustainability dimensions. [...] Read more.
This study systematically identifies and prioritizes barriers to Industry 4.0 adoption in manufacturing within a developing economy. We used a mixed-methods approach—combining a systematic literature review and PLS-SEM. The research synthesizes 45 critical factors across nine I4.0 pillars, mapped to five sustainability dimensions. Data from 160 professionals show the technological dimension (β = 0.218) to be the most significant broad barrier. Analysis of high outer loadings (≥0.80) highlights key specific barriers: IT infrastructure gaps and poor technological leverage; a lack of organizational and digital readiness; cultural fragmentation and weak knowledge systems; high implementation and cyber threat costs; and low customization demands with absent data standards. The study proposes a maturity model and strategic framework to help policymakers address these barriers and promote sustainable digital transformation. Full article
Show Figures

Figure 1

Previous Issue
Back to TopTop