Next Issue
Volume 10, February
Previous Issue
Volume 9, October
 
 

Colloids Interfaces, Volume 9, Issue 6 (December 2025) – 17 articles

  • Issues are regarded as officially published after their release is announced to the table of contents alert mailing list.
  • You may sign up for e-mail alerts to receive table of contents of newly released issues.
  • PDF is the official format for papers published in both, html and pdf forms. To view the papers in pdf format, click on the "PDF Full-text" link, and use the free Adobe Reader to open them.
Order results
Result details
Section
Select all
Export citation of selected articles as:
11 pages, 1014 KB  
Article
Influence of Sodium Polystyrene Sulfonate on Surface Properties of Dispersions of Oat Globulin Fibrils
by Boris A. Noskov, Alexey G. Bykov, Alexandra D. Khrebina, Evlaliya A. Levchuk, Giuseppe Loglio, Reinhard Miller and Egor A. Tsyganov
Colloids Interfaces 2025, 9(6), 89; https://doi.org/10.3390/colloids9060089 - 17 Dec 2025
Cited by 1 | Viewed by 580
Abstract
The formation of mixed adsorption layers of amyloid fibrils of a plant protein, oat globulin (OG), and a strong polyelectrolyte, sodium polystyrene sulfonate (PSS), at the liquid–gas interface was studied by measurements of the kinetic dependencies of surface tension, dynamic surface elasticity, and [...] Read more.
The formation of mixed adsorption layers of amyloid fibrils of a plant protein, oat globulin (OG), and a strong polyelectrolyte, sodium polystyrene sulfonate (PSS), at the liquid–gas interface was studied by measurements of the kinetic dependencies of surface tension, dynamic surface elasticity, and ellipsometric angle. The micromorphology of the layers was determined by atomic force microscopy. A strong increase in the surface elasticity was discovered when both components had similar concentrations and formed a network of threadlike aggregates at the interface, thereby explaining the high foam stability in this concentration range. The sequential adsorption of PSS and OG resulted in the formation of thick mixed multilayers and the surface elasticity increased with the number of duplex layers. Full article
(This article belongs to the Special Issue State of the Art of Colloid and Interface Science in Asia)
Show Figures

Graphical abstract

8 pages, 1476 KB  
Article
Reducing the Degradation of CsFAMA Perovskite Solar Cells
by Aleksandr Degterev, Aleksandr Tarasov, Mariya Degtereva, Marina Pavlova, Nikita Khorshev, Yevgeniy Levin, Ivan Mikhailov, Dmitriy Testov, Ivan Lamkin and Sergey Tarasov
Colloids Interfaces 2025, 9(6), 88; https://doi.org/10.3390/colloids9060088 - 15 Dec 2025
Viewed by 781
Abstract
Triple-cation perovskite solar cells, such as Cs0.05(FA0.83MA0.17)0.95Pb(I0.83Br0.17)3 (hereinafter referred to as CsFAMA) have high efficiency (>26%), but their stability is limited by phase segregation and defects at grain boundaries. In [...] Read more.
Triple-cation perovskite solar cells, such as Cs0.05(FA0.83MA0.17)0.95Pb(I0.83Br0.17)3 (hereinafter referred to as CsFAMA) have high efficiency (>26%), but their stability is limited by phase segregation and defects at grain boundaries. In this work, the effect of formic acid (HCOOH) on suppressing the degradation of perovskite films is investigated. It is shown that the addition of HCOOH to the precursor solution reduces the size of colloidal particles by 90%, which contributes to the formation of highly homogeneous films with a photoluminescence intensity deviation of ≤3%. Structural analysis and dynamic light scattering measurements confirmed that HCOOH suppresses iodide oxidation and cation deprotonation, reducing the defect density. Aging tests (ISOS-D) demonstrated an increase in the T80 lifetime (time to 80% efficiency decline) from 158 to 320 days for the modified cells under ambient conditions at room temperature and 40% relative humidity. The obtained results indicate a key role of HCOOH in stabilizing CsFAMA perovskite by controlling colloidal dynamics and defect passivation, which opens up prospects for the creation of commercially viable PSCs. Full article
(This article belongs to the Topic New Research on Thin Films and Nanostructures)
Show Figures

Figure 1

15 pages, 1688 KB  
Article
Alginate-Based Edible Coating to Preserve the Quality and Extend the Shelf Life of Fresh-Cut Salad
by Martina Cofelice, Antonella De Leonardis, Francesco Letizia, Massimo Iorizzo, Francesca Cuomo and Francesco Lopez
Colloids Interfaces 2025, 9(6), 87; https://doi.org/10.3390/colloids9060087 - 12 Dec 2025
Cited by 3 | Viewed by 1201
Abstract
The food industry is actively seeking solutions to reduce or replace conventional petroleum-based plastic packaging and, at the same time, to identify strategies that limit the rapid deterioration of fresh products. In this context, the present study evaluated the effectiveness of an edible [...] Read more.
The food industry is actively seeking solutions to reduce or replace conventional petroleum-based plastic packaging and, at the same time, to identify strategies that limit the rapid deterioration of fresh products. In this context, the present study evaluated the effectiveness of an edible emulsion coating based on lemongrass essential oil and alginate in delaying the spoilage of Lactuca sativa salad. Following rheological investigation, 1% alginate emulsion was selected as the coating formulation and applied by spraying onto fresh-cut lettuce, and the effect of the treatment was monitored throughout storage. Fresh-cut Lactuca sativa salad was assessed in terms of weight loss, pH, titratable acidity, visual appearance, sensory analysis, and microbiological contamination. Measurements of weight loss, pH, and titratable acidity indicated the lack of significant differences between coated and uncoated salads leaves. However, coated samples exhibited improved quality in the first 8 days of storage, particularly with evidence of a reduction in psychrotrophic and mesophilic bacteria. The proposed coating also helped to preserve the visual appearance of the leaves, with no visible browning during storage, and the sensory evaluation results were encouraging. Overall, these findings suggest that the technology investigated is promising for supporting the use of emulsion-based edible coatings to reduce the rapid spoilage of Lactuca sativa salad during storage. Full article
(This article belongs to the Special Issue Food Colloids: 4th Edition)
Show Figures

Graphical abstract

28 pages, 7691 KB  
Article
Comprehensive Study of the Efficiency of Low-Concentration Nanoemulsions with Diesel Fuel for Enhanced Oil Recovery
by Andrey Minakov, Vladimir Zhigarev, Angelica Skorobogatova, Dmitriy Guzei, Andrey Pryazhnikov, Maxim Pryazhnikov, Sergey Lubenets and Roman Vaganov
Colloids Interfaces 2025, 9(6), 86; https://doi.org/10.3390/colloids9060086 - 11 Dec 2025
Viewed by 735
Abstract
This article presents the results of experimental studies examining the effectiveness of low-concentration nanoemulsions for enhanced oil recovery (EOR). The maximum volume concentration of diesel fuel in the emulsions did not exceed 1% by volume. The volume concentration of the emulsifier ranged from [...] Read more.
This article presents the results of experimental studies examining the effectiveness of low-concentration nanoemulsions for enhanced oil recovery (EOR). The maximum volume concentration of diesel fuel in the emulsions did not exceed 1% by volume. The volume concentration of the emulsifier ranged from 0.05% to 0.4%. A method for preparing stable nanoemulsions was developed. The colloidal stability, viscosity, interfacial tension, wettability, and capillary imbibition rate of low-concentration nanoemulsions were studied. Filtration experiments were conducted to study oil displacement on microfluidic chips simulating a porous medium and core samples. This is the first systematic study of the properties of nanoemulsions containing diesel fuel. It was demonstrated that the developed emulsions have high potential for EOR. It was shown that increasing the emulsifier concentration reduces the contact angle from 35 to 16 degrees and halves the surface tension coefficient. Experiments studying the capillary imbibition of oil-saturated cores with nanoemulsions also confirmed their ability to reduce interfacial tension and improve rock wettability. Oil displacement efficiency during capillary imbibition increases by 22%. Filter tests on microfluidic chips and core samples confirmed the high efficiency of the developed nanoemulsions. Increasing the emulsifier concentration in the emulsion to 0.4% increases the displacement efficiency from 32% for water displacement to 57% for nanoemulsion displacement. Core tests showed that additional injection of nanoemulsions significantly increases the oil displacement efficiency by 10–14%, depending on the emulsifier concentration in the nanoemulsion. It was also established that the use of an aqueous solution of an emulsifier without a hydrocarbon phase does not provide such a significant increase in the displacement coefficient as in the emulsion composition. Full article
(This article belongs to the Section Application of Colloids and Interfacial Aspects)
Show Figures

Figure 1

10 pages, 2193 KB  
Article
Atomically Dispersed Pt–Sn Nanocluster Catalysts for Enhanced Toluene Hydrogenation in LOHC Systems
by Jun Wang, Hao Lin, Qizhong Chan, Yaohong Zhao and Xiaohui He
Colloids Interfaces 2025, 9(6), 85; https://doi.org/10.3390/colloids9060085 - 10 Dec 2025
Cited by 1 | Viewed by 839
Abstract
Liquid organic hydrogen carriers (LOHCs) are promising materials for safe, reversible, and high-density hydrogen storage. Atomically dispersed bimetallic Pt–Sn nanocluster catalysts supported on TiO2 (Pt–Sn/TiO2) were developed to enhance the hydrogenation step in the toluene-methylcyclohexane cycle, a model LOHC system. [...] Read more.
Liquid organic hydrogen carriers (LOHCs) are promising materials for safe, reversible, and high-density hydrogen storage. Atomically dispersed bimetallic Pt–Sn nanocluster catalysts supported on TiO2 (Pt–Sn/TiO2) were developed to enhance the hydrogenation step in the toluene-methylcyclohexane cycle, a model LOHC system. Compared with monometallic Pt/TiO2 and Sn/TiO2, Pt–Sn/TiO2 exhibited superior hydrogenation performance. Mechanistic studies, including X-ray photoelectron spectroscopy, kinetic analysis, and H2-D2 exchange experiments, revealed that Sn incorporation modulates the electronic structure of Pt, enhancing H2 activation and spillover. These findings provide insights into the rational design of atomically dispersed bimetallic nanocluster catalysts for efficient and durable hydrogen storage in LOHC-based systems. Full article
(This article belongs to the Special Issue State of the Art of Colloid and Interface Science in Asia)
Show Figures

Graphical abstract

33 pages, 4694 KB  
Review
Hydrogels as Reversible Adhesives: A Review on Sustainable Design Strategies and Future Prospects
by Monica Tonelli and Massimo Bonini
Colloids Interfaces 2025, 9(6), 84; https://doi.org/10.3390/colloids9060084 - 8 Dec 2025
Cited by 2 | Viewed by 3154
Abstract
Reversible adhesives enable temporary yet robust bonding between surfaces, allowing controlled detachment without structural or interfacial damage. This capability is gaining increasing recognition as a crucial requirement for sustainable technologies, where repairability, reusability, and minimal waste are key objectives. Among the diverse strategies [...] Read more.
Reversible adhesives enable temporary yet robust bonding between surfaces, allowing controlled detachment without structural or interfacial damage. This capability is gaining increasing recognition as a crucial requirement for sustainable technologies, where repairability, reusability, and minimal waste are key objectives. Among the diverse strategies explored for reversible adhesion (including supramolecular assemblies, bioinspired dry adhesives, and stimuli-responsive polymers), hydrogel-based systems have emerged as particularly versatile candidates due to their tunable mechanics, elasticity, and intrinsic biocompatibility. Recent studies highlight the use of renewable or biodegradable polymers to develop sustainable, water-rich hydrogel networks with controllable adhesive properties, minimizing environmental impact while maintaining performance. Despite these advances, significant challenges still hinder full implementation: biopolymer-based systems such as chitosan or starch often exhibit strong but poorly controllable adhesion, compromising reversibility and reusability. This review provides a comprehensive overview of strategies for developing hydrogel-based reversible adhesives, focusing on sustainable material selection, molecular design principles, and the underlying mechanisms of bonding and debonding. Furthermore, characterization methodologies, from conventional mechanical testing to surface-sensitive and dynamic techniques, are discussed in detail to establish structure–property–function relationships. Finally, emerging directions and application opportunities are outlined, offering a framework for the rational design of next-generation, sustainable adhesive systems. Full article
(This article belongs to the Section Application of Colloids and Interfacial Aspects)
Show Figures

Graphical abstract

13 pages, 4516 KB  
Article
Onset of Tectomeric Self-Assemblies in Aqueous Solutions of Three-Antennary Oligoglycines
by Anna Y. Gyurova, Ljubomir Nikolov and Elena Mileva
Colloids Interfaces 2025, 9(6), 83; https://doi.org/10.3390/colloids9060083 - 4 Dec 2025
Viewed by 502
Abstract
A detailed investigation of the structure–property relationships of three-antennary oligoglycines in aqueous solutions is performed. Two representatives of these substances are investigated: CH3C(-CH2-NH-Gly5)3 and CH3C(-CH2-NH-Gly7)3. The aim is [...] Read more.
A detailed investigation of the structure–property relationships of three-antennary oligoglycines in aqueous solutions is performed. Two representatives of these substances are investigated: CH3C(-CH2-NH-Gly5)3 and CH3C(-CH2-NH-Gly7)3. The aim is to clarify the effect of molecular peculiarities and the concentration of the oligoglycines on bulk-solution performance and on adsorption-layer properties at the solution–air interface. This study is focused on the clarification of the conditions for the onset of bulk and interfacial supramolecular species in the aqueous environment. The presence of oligoglycine antennae attached to a common carbon-atom center allows the formation of highly coordinated intra- and intermolecular ‘click-clack’ interactions and presumes the possibility for the development of extended H-bonded networks, e.g., in the form of Polyglycine II motifs. A combined study protocol, including dynamic light scattering, profile analysis tensiometry, and microscopic thin-liquid-film techniques, is applied. The results allow the drawing of essential conclusions about the possible coupling mechanism of bulk and interfacial phenomena. The outcomes give grounds to advance the following hypothesis: due to the synchronized action of noncovalent interactions, three types of tectomeric structures may appear—dimers, gel-like elements, and disk-like supramolecular entities. Options for fine-tuning of the tectomer formation in aqueous solutions are presented, and possible application routes are outlined. Full article
(This article belongs to the Special Issue Advances in Soft Matter Interfaces and Structures)
Show Figures

Figure 1

17 pages, 4633 KB  
Article
Systematic Study of Counterion Effects and NaCl-Induced Modulation of Foam Performance in Lauroyl Glutamate Surfactants
by Tianyu Cao and Fu Han
Colloids Interfaces 2025, 9(6), 82; https://doi.org/10.3390/colloids9060082 - 3 Dec 2025
Viewed by 1023
Abstract
This study systematically compares how three counterions (Na+, K+, NH4+) regulate the interfacial properties, foaming behavior, and foam stability of lauroyl glutamate (LG) surfactants, and further examines how added NaCl modifies these properties in the sodium [...] Read more.
This study systematically compares how three counterions (Na+, K+, NH4+) regulate the interfacial properties, foaming behavior, and foam stability of lauroyl glutamate (LG) surfactants, and further examines how added NaCl modifies these properties in the sodium salt (SLG). The three counterions induce only slight variations in surface activity and foam generation. Their influence is more evident in foam stability, with the sodium salt exhibiting enhanced stability across a wider concentration range. For SLG, NaCl addition markedly lowers the critical micelle concentration and induces concentration-dependent changes in foaming behavior: 1% NaCl enhances foam generation, while higher salt levels diminish this effect. Foam stability is strongly affected in the sub-cmc regime, with 3% NaCl producing the most stable foams. Surfactant concentration and salt content are the main factors affecting foam performance. Full article
(This article belongs to the Section Colloidal Systems)
Show Figures

Graphical abstract

16 pages, 4519 KB  
Article
Evaluating Raw Albizia amara Plant Powder as a Plant-Derived Surface-Active Material
by Wenghong Fong, Yalini Sadasivam, Awatif Belkhiri-Baines, Valerie Pinfield and Anna Trybala
Colloids Interfaces 2025, 9(6), 81; https://doi.org/10.3390/colloids9060081 - 3 Dec 2025
Cited by 1 | Viewed by 1191
Abstract
This study investigates the apparent surface-active and emulsifying behaviour of raw Albizia amara (AA) powder suspended in water, reflecting its traditional mode of use. AA suspensions (0.1–1% w/v) were prepared without extraction and evaluated for apparent surface tension, droplet size [...] Read more.
This study investigates the apparent surface-active and emulsifying behaviour of raw Albizia amara (AA) powder suspended in water, reflecting its traditional mode of use. AA suspensions (0.1–1% w/v) were prepared without extraction and evaluated for apparent surface tension, droplet size distribution, emulsification capacity, and emulsion stability. Increasing AA concentration reduced apparent surface tension from 57.13 ± 2.17 mN/m to 48.9 ± 0.06 mN/m, plateauing at higher concentrations. Both blending and high-shear mixing produced oil-in-water emulsions. Blending generated smaller initial droplets (1–10 µm), whilst high-shear mixing produced more uniform distributions (d50 = 31.23 ± 0.95 µm). Emulsion capacity and stability increased with AA concentration, reaching 95.19 ± 3.39% and 89.81 ± 0.02% at 0.8% AA. As the system contains undissolved plant material, all measurements represent the apparent behaviour of a heterogeneous suspension. The specific molecular contributors to surface activity cannot be identified within this study. These findings provide a baseline physicochemical assessment of raw AA powder and support future work involving extraction, purification, and chemical characterisation to establish the mechanisms underlying its surface-active properties. Full article
Show Figures

Graphical abstract

15 pages, 1594 KB  
Review
Fabricating Partial Acylglycerols for Food Applications
by Harsh B. Jadhav, Dheeraj Kumar and Federico Casanova
Colloids Interfaces 2025, 9(6), 80; https://doi.org/10.3390/colloids9060080 - 1 Dec 2025
Viewed by 810
Abstract
The functional characteristics of Partial acylglycerols (PAGs) have attracted the attention of researchers in designing PAGs for food applications as a potential substitute for conventional fats/oils. Designing PA using enzymes has been of great interest due to the greater specificity of enzymes, giving [...] Read more.
The functional characteristics of Partial acylglycerols (PAGs) have attracted the attention of researchers in designing PAGs for food applications as a potential substitute for conventional fats/oils. Designing PA using enzymes has been of great interest due to the greater specificity of enzymes, giving high-quality products for food applications. The utilization of PA in fat-based products, such as bakery, dairy, and emulsion foods, exhibits superior functionalities and health-friendly characteristics. The PA can also be used for cooking/frying applications. However, exposure of PA to a higher temperature for a longer time shows inferior characteristics. The functional characteristics of PA, such as solid fat content, rheology, microstructure, crystal formation, and thermal behavior, make it a potential replacement for conventional fat. The present review focuses on a comparative assessment of synthetic routes, the functional characteristics of PA, food applications, and technological drawbacks in commercializing PA-based products. Furthermore, the future prospect focuses on supporting future research that will facilitate the incorporation of PA in food products at an industrial scale. Full article
(This article belongs to the Special Issue Feature Reviews in Colloids and Interfaces)
Show Figures

Figure 1

16 pages, 1092 KB  
Article
Proton Binding of Halloysite Nanotubes at Varied Ionic Strength: A Potentiometric Titration and Electrophoretic Mobility Study
by Bojana Katana and Duško Čakara
Colloids Interfaces 2025, 9(6), 79; https://doi.org/10.3390/colloids9060079 - 27 Nov 2025
Cited by 1 | Viewed by 693
Abstract
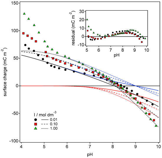
Proton binding (i.e., charging) isotherms of halloysite nanotubes (HNT) were determined from cycled acid-base potentiometric titrations in KCl solution at constant ionic strengths (0.01, 0.10, 1.00 mol dm−3). The isotherms measured in the pH cycle from 3 to 11 and back [...] Read more.
Proton binding (i.e., charging) isotherms of halloysite nanotubes (HNT) were determined from cycled acid-base potentiometric titrations in KCl solution at constant ionic strengths (0.01, 0.10, 1.00 mol dm−3). The isotherms measured in the pH cycle from 3 to 11 and back exhibit a pronounced hysteresis with respect to the direction of pH change, which is accurately reproducible when the cycle is repeated. The hysteresis is absent if the cycled titration is performed within a narrow pH range between 5 and 9. These results align with the dissolution rates of alumina and silica, which form the two surfaces of the rolled kaolinite sheet in HNT, and clearly point to reversible partial dissolution-deposition processes in the HNT interior during a titration cycle, outside the above pH range (alumina dissolution below pH ≈ 5 and silica dissolution above pH ≈ 8.5). In the studied titration experiments, these processes produce partially dissolved surface-bound, rather than completely dissolved species (reversible surface etching). Under the applied conditions, reversible surface etching is less pronounced in the acidic part of the titration cycle. Charging isotherms recorded in the decreasing pH titrations at varied ionic strength exhibit a common intersection point very close to zero charge (point of zero charge) around pH ≈ 8.1, characteristic for an amphoteric solid surface. These isotherms were reasonably well fitted by applying the surface protonation model in the HNT interior, which invokes the Stern model of the electric double layer (EDL), by summing the surface charges calculated for alumina and silica as separate components (surfaces). The model surface charge isotherms for alumina surface in the HNT interior exhibit a point of zero charge at pH = 9.0, while the silica surface has a negative charge above pH > 8.5, which is in very good agreement with the values reported in the literature: as for these two surfaces, thus for kaolinite nanoparticles. The best-fit protonation site density for both surfaces is equal to 8.0 nm−2, while the best-fit intrinsic pKa for alumina and silica surfaces of HNT are equal to 9.0 and 8.5, respectively. The pH-dependence of electrophoretic mobility, measured by means of electrophoretic light scattering, reveals a more acidic behavior of the outermost silica surface than within the inner HNT phase, which is consistent with the literature result reported for kaolinite. The results reported herein confirm that the inner and outer surfaces of the HNT are oppositely charged below pH < 8.0 and negatively charged above that value, and importantly, they reveal new details about the protonation affinities and EDL parameters at active surfaces of HNT, important for the colloidal stability of HNT suspensions and the functionalization of HNT through the electrostatic binding of active molecules. Full article
(This article belongs to the Special Issue Ten Years Without Nikola Kallay)
Show Figures

Graphical abstract

21 pages, 7229 KB  
Article
Thermodynamic Phase Control of Poly(TFEMA) Nucleation and Surface Deposition in Supercritical CO2–Toluene
by James R. Zelaya and Gary C. Tepper
Colloids Interfaces 2025, 9(6), 78; https://doi.org/10.3390/colloids9060078 - 25 Nov 2025
Viewed by 619
Abstract
The aim of this study was to investigate the nucleation, growth, and surface deposition of poly(2,2,2-trifluoroethyl methacrylate) [poly(TFEMA)] from the one-phase, cloud point, and two-phase regions of a supercritical CO2–toluene solvent. A ternary mixture of 20 wt% toluene + 79 wt% [...] Read more.
The aim of this study was to investigate the nucleation, growth, and surface deposition of poly(2,2,2-trifluoroethyl methacrylate) [poly(TFEMA)] from the one-phase, cloud point, and two-phase regions of a supercritical CO2–toluene solvent. A ternary mixture of 20 wt% toluene + 79 wt% scCO2 + 1 wt% poly(TFEMA) at 40.0 °C was exposed to a fluorine-doped tin oxide (FTO) surface for 30 min at pressures placing the solution in (i) a one-phase region (15.86 MPa), (ii) the cloud point (12.37 MPa), and (iii) a two-phase region (8.96 MPa). Using the Altunin–Gadetskii–Haar–Gallagher–Kell (AG–HGK) equation of state (EOS), the corresponding CO2 densities are 793.9, 729.2, and 477.8 kg m−3. Scanning electron microscopy (SEM) and particle-size analysis (sample sizes N = 852–1177) show particle-size distributions (PSDs) that are well described by the following lognormal form: the mean diameter increases monotonically with a decrease in pressure (1.767 μm → 2.605 μm → 2.863 μm), while dispersion tightens slightly near the cloud point (coefficient of variation, CV: ≈0.47 → 0.44) and then broadens strongly in the two-phase region (CV ≈ 1.02). Morphologies transition from sparse, compact islands (one-phase) to agglomerated, necked spheres (cloud point) and finally hierarchical populations containing hollow/pitted large particles (two-phase). These outcomes are consistent with a phase-state-controlled shift in nucleation pathways, as follows: from heterogeneous surface nucleation in the one-phase regime to homogeneous nucleation with agglomeration at the cloud point, and to homogeneous nucleation with coalescence and solvent capture in the two-phase regime. The results provide a mechanistic basis and practical design rules for pressure-programmable control of fluoropolymer coatings prepared from scCO2/aromatic-cosolvent systems. Full article
Show Figures

Figure 1

3 pages, 142 KB  
Editorial
Special Issue “Food Colloids: 3rd Edition”
by Eleni P. Kalogianni and Julia Maldonado-Valderrama
Colloids Interfaces 2025, 9(6), 77; https://doi.org/10.3390/colloids9060077 - 24 Nov 2025
Viewed by 515
Abstract
This Special Issue features a collection of research papers following the 19th Food Colloids Conference, organized by the International Hellenic University and held on the 14–18 April 2024 in Thessaloniki, Greece [...] Full article
(This article belongs to the Special Issue Food Colloids: 3rd Edition)
15 pages, 3196 KB  
Article
Enhanced Recovery of an Arsenopyrite-Type Gold Ore: Flotation Surface Chemistry and Kinetics of Blended Collector W8 with ADD
by Qingqing Xing, Fei Li, Pingtian Ming and Zhen Wang
Colloids Interfaces 2025, 9(6), 76; https://doi.org/10.3390/colloids9060076 - 22 Nov 2025
Cited by 1 | Viewed by 941
Abstract
This study investigated the flotation performance of W8, a blended xanthate collector containing ethyl, butyl, propyl, and amyl xanthates, combined with ammonium dibutyl dithiophosphate (ADD) for treating low-grade arsenopyrite-type gold ore from Golmud, Qinghai. Real ore flotation tests demonstrated the superior efficacy of [...] Read more.
This study investigated the flotation performance of W8, a blended xanthate collector containing ethyl, butyl, propyl, and amyl xanthates, combined with ammonium dibutyl dithiophosphate (ADD) for treating low-grade arsenopyrite-type gold ore from Golmud, Qinghai. Real ore flotation tests demonstrated the superior efficacy of the W8 + ADD system, achieving 84.06% gold recovery with 0.34 g/t tailings, outperforming conventional sodium amyl xanthate (SAX) + ADD and sodium propyl xanthate (SPX) + ADD systems. Systematic studies on pure arsenopyrite revealed a significant synergistic effect in the mixed SPX-SAX system (1:4 ratio), representative of W8 composition. At pH 9, the mixed collector achieved 73.5% recovery, substantially higher than individual SPX (37.5%) or SAX (45.8%). This enhanced performance was attributed to improved surface hydrophobicity (contact angle 47.68° vs. 36.92° for SAX), greater adsorption density (4.97 × 10−7 mol/g under depressant conditions), and extensive formation of molecular aggregates observed via AFM, which increased surface roughness to 28.95 nm. Flotation kinetics further confirmed the advantage of W8 + ADD, which reached 72.1% cumulative recovery in 420 s, exceeding both mixed SPX/SAX (69.5%) and single SAX (65.5%) systems. The synergistic interaction among different xanthate components in W8 enables efficient recovery of gold from this refractory ore. Full article
(This article belongs to the Special Issue State of the Art of Colloid and Interface Science in Asia)
Show Figures

Figure 1

2 pages, 150 KB  
Book Review
Book Review: Kharazi et al. Innovations in Ionic Liquid-Based Surfactants and Interfacial Phenomena; CRC Press: Boca Raton, FL, USA, 2025; ISBN: 978-1-032-74807-8
by Abhijit Dan
Colloids Interfaces 2025, 9(6), 75; https://doi.org/10.3390/colloids9060075 - 13 Nov 2025
Viewed by 457
Abstract
The book series Progress in Colloid and Interface Science was launched in 2009 by Libero Liggieri and Reinhard Miller [...] Full article
19 pages, 21919 KB  
Article
Innovative Preparation of Salted Duck Egg White Lysozyme Functional Film and Its Application in Fresh Storage of Small Nectarines
by Xinjun Yao, Wanrong Li, Jun Guo, Fangkai Han, Muhammad Usman and Lipeng Wu
Colloids Interfaces 2025, 9(6), 74; https://doi.org/10.3390/colloids9060074 - 10 Nov 2025
Viewed by 924
Abstract
Carboxymethyl chitosan (CMCS) is ideal for active packaging due to its non-toxicity and degradability, but its poor film-forming performance (strong hydrophilicity, weak mechanical properties, and low antibacterial activity) limits practical use. This study prepared a new edible antibacterial presFervation film (SDEWL-CMCS) by adding [...] Read more.
Carboxymethyl chitosan (CMCS) is ideal for active packaging due to its non-toxicity and degradability, but its poor film-forming performance (strong hydrophilicity, weak mechanical properties, and low antibacterial activity) limits practical use. This study prepared a new edible antibacterial presFervation film (SDEWL-CMCS) by adding salted duck egg white lysozyme (SDEWL) to CMCS (as the film-forming substrate). It investigated how SDEWL concentration affects the composite film’s properties (thickness, water solubility, moisture/oil resistance, mechanical properties, and antibacterial activity) and tested the film’s preservation effect on small nectarines. The results showed the composite film had significantly improved packaging and antibacterial properties: compared to pure CMCS film, it had higher tensile strength, lower water solubility, better oil resistance and water vapor barrier performance, and stronger antibacterial activity against Escherichia coli and Staphylococcus aureus (larger inhibition zone diameters). The SDEWL-CMCS film effectively preserved small nectarines by inhibiting surface bacteria, regulating the preservation environment, and delaying fungal decay. This study confirms the film’s potential as a sustainable fruit packaging alternative, providing a theoretical basis for developing new fruit/vegetable preservation packaging and reducing the food industry’s reliance on non-degradable petroleum-based packaging. Full article
(This article belongs to the Special Issue Food Colloids: 4th Edition)
Show Figures

Figure 1

1 pages, 133 KB  
Editorial
Colloids and Interfaces: Five New Journal Sections Established
by Reinhard Miller
Colloids Interfaces 2025, 9(6), 73; https://doi.org/10.3390/colloids9060073 - 30 Oct 2025
Viewed by 649
Abstract
The journal Colloids and Interfaces is a platform dedicated to all aspects of colloids and interfaces chemistry [...] Full article
Previous Issue
Next Issue
Back to TopTop