SoC Fusion Estimation Based on Neural Network Long and Short Time Series
Abstract
1. Introduction
2. Methodology
2.1. Fusion Model Overall Framework
2.2. Fusion Methods
2.3. The Base Model
2.3.1. Transformer
2.3.2. LSTM
2.4. Dataset Description
3. Experimental Setup
3.1. Experimental Environment
3.2. Evaluation Index
3.3. Sequence-Length Selection for Different Networks
4. Experimental Results and Analysis
4.1. Base Model Training Results
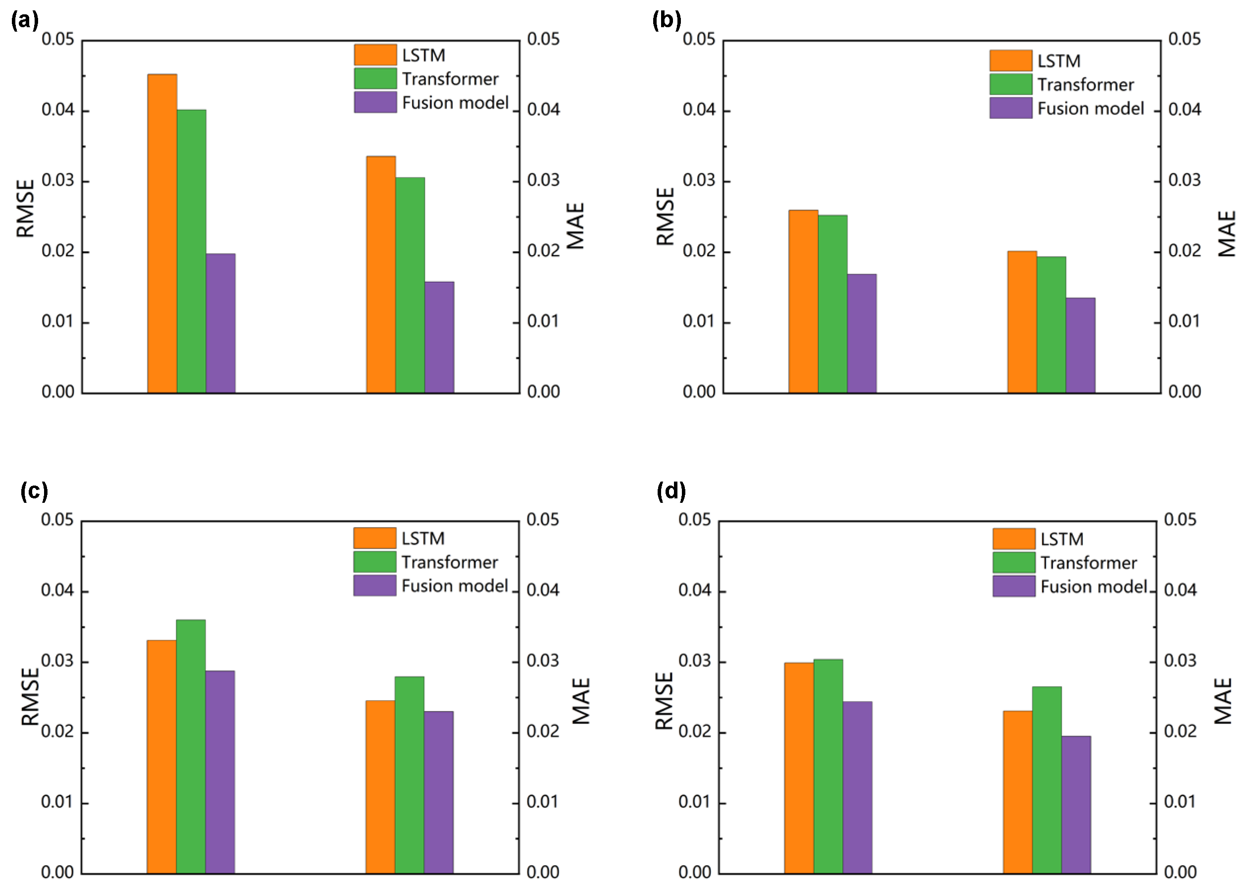
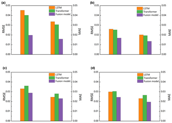
4.2. Fusion Model Prediction Results
4.3. Results at Different Temperatures and Under Different Operating Conditions
5. Conclusions
- 1.
- A data-driven SoC estimation framework is developed by integrating LSTM and Transformer networks, with hyperparameter tuning automated through Bayesian optimization, achieving high-precision SoC predictions across varying temperatures and operating conditions.
- 2.
- The SoC predictions from the LSTM and Transformer models are fused using a neural network, enabling the integration of features across multiple temporal scales. This nonlinear mapping enhances model representation and prediction accuracy.
- 3.
- The complementary strengths of the Transformer’s global context awareness and the LSTM’s responsiveness to short-term variations are effectively combined, improving adaptability to diverse conditions and strengthening the model’s generalization performance.
Author Contributions
Funding
Data Availability Statement
Conflicts of Interest
References
- Fawzy, S.; Osman, A.I.; Doran, J.; Rooney, D.W. Strategies for mitigation of climate change: A review. Environ. Chem. Lett. 2020, 18, 2069–2094. [Google Scholar] [CrossRef]
- Filonchyk, M.; Peterson, M.P.; Zhang, L.; Hurynovich, V.; He, Y. Greenhouse gases emissions and global climate change: Examining the influence of CO2, CH4, and N2O. Sci. Total Environ. 2024, 935, 173359. [Google Scholar] [CrossRef] [PubMed]
- Franzò, S.; Nasca, A. The environmental impact of electric vehicles: A novel life cycle-based evaluation framework and its applications to multi-country scenarios. J. Clean. Prod. 2021, 315, 128005. [Google Scholar] [CrossRef]
- Redlin, M.; Gries, T. Anthropogenic climate change: The impact of the global carbon budget. Theor. Appl. Climatol. 2021, 146, 713–721. [Google Scholar] [CrossRef]
- Pesaran, A.A. Lithium-ion battery technologies for electric vehicles: Progress and challenges. IEEE Electrif. Mag. 2023, 11, 35–43. [Google Scholar] [CrossRef]
- Grebtsov, D.K.; Kubasov, M.K.; Bernatskii, E.R.; Beliauski, P.A.; Kokorenko, A.A.; Isokjanov, S.S.; Kazikov, S.P.; Kashin, A.M.; Itkis, D.M.; Morozova, S.M. Electric Vehicle Battery Technologies: Chemistry, Architectures, Safety, and Management Systems. World Electr. Veh. J. 2024, 15, 568. [Google Scholar] [CrossRef]
- Pranav, D.O.; Babu, P.S.; Indragandhi, V.; Ashok, B.; Vedhanayaki, S.; Kavitha, C. Enhanced SoC estimation of lithium ion batteries with RealTime data using machine learning algorithms. Sci. Rep. 2024, 14, 16036. [Google Scholar] [CrossRef]
- Sun, H.; Tian, W.; Yue, J.; Su, F. Lithium-ion battery heterogeneous electrochemical-thermal-mechanical multiphysics coupling model and characterization of microscopic properties. J. Power Sources 2025, 629, 235970. [Google Scholar] [CrossRef]
- Barik, S.; Saravanan, B. Recent developments and challenges in state-of-charge estimation techniques for electric vehicle batteries: A review. J. Energy Storage 2024, 100, 113623. [Google Scholar] [CrossRef]
- Plett, G.L. Extended Kalman filtering for battery management systems of LiPB-based HEV battery packs: Part 3. State and parameter estimation. J. Power Sources 2004, 134, 277–292. [Google Scholar] [CrossRef]
- Movassagh, K.; Raihan, A.; Balasingam, B.; Pattipati, K. A critical look at coulomb counting approach for state of charge estimation in batteries. Energies 2021, 14, 4074. [Google Scholar] [CrossRef]
- Yuan, B.; Zhang, B.; Yuan, X.; Wang, J.; Chen, L.; Bai, L.; Luo, S. Study on the relationship between open-circuit voltage, time constant and polarization resistance of lithium-ion batteries. J. Electrochem. Soc. 2022, 169, 060513. [Google Scholar] [CrossRef]
- Zheng, F.; Xing, Y.; Jiang, J.; Sun, B.; Kim, J.; Pecht, M. Influence of different open circuit voltage tests on state of charge online estimation for lithium-ion batteries. Appl. Energy 2016, 183, 513–525. [Google Scholar] [CrossRef]
- Yu, Q.Q.; Xiong, R.; Wang, L.Y.; Lin, C. A comparative study on open circuit voltage models for lithium-ion batteries. Chin. J. Mech. Eng. 2018, 31, 1–8. [Google Scholar] [CrossRef]
- Aboueidah, H.; Altahhan, A. A Comparison of Baseline Models and a Transformer Network for SoC Prediction in Lithium-Ion Batteries. In Proceedings of the International Conference on Neural Information Processing, Okinawa, Japan, 20–24 November 2025; pp. 145–159. [Google Scholar]
- Arandhakar, S.; Nakka, J. State of charge estimation of lithium ion battery for electric vehicle using cutting edge machine learning algorithms: A review. J. Energy Storage 2024, 103, 114281. [Google Scholar] [CrossRef]
- Li, Y.; Qi, H.; Shi, X.; Jian, Q.; Lan, F.; Chen, J. A Physics-Based Equivalent Circuit Model and State of Charge Estimation for Lithium-Ion Batteries. Energies 2024, 17, 3782. [Google Scholar] [CrossRef]
- Zhang, H.; Hu, B.; Yu, Z.; Wang, H.; Qu, L.; Yang, D.; Wang, J.; Li, W.; Bai, C.; Sun, Y. State-of-charge estimation of lithium-ion battery based on improved equivalent circuit model considering hysteresis combined with adaptive iterative unscented Kalman filtering. J. Energy Storage 2024, 102, 114105. [Google Scholar] [CrossRef]
- Buchicchio, E.; De Angelis, A.; Santoni, F.; Carbone, P.; Bianconi, F.; Smeraldi, F. Battery SoC estimation from EIS data based on machine learning and equivalent circuit model. Energy 2023, 283, 128461. [Google Scholar] [CrossRef]
- Wang, J.; Ye, Y.; Wu, M.; Zhang, F.; Cao, Y.; Zhang, Z. Temporal Convolutional Recombinant Network: A Novel Method for SoC Estimation and Prediction in Electric Vehicles. IEEE Access 2024, 12, 128326–128337. [Google Scholar] [CrossRef]
- Liu, Z.; Ruan, G.; Tian, Y.; Hu, X.; Yan, R.; Yang, K. A real-world battery state of charge prediction method based on a lightweight mixer architecture. Energy 2024, 311, 133434. [Google Scholar] [CrossRef]
- Tang, P.; Hua, J.; Wang, P.; Qu, Z.; Jiang, M. Prediction of lithium-ion battery SoC based on the fusion of MHA and ConvolGRU. Sci. Rep. 2023, 13, 16543. [Google Scholar] [CrossRef] [PubMed]
- Chen, J.; Zhang, Y.; Wu, J.; Cheng, W.; Zhu, Q. SoC estimation for lithium-ion battery using the LSTM-RNN with extended input and constrained output. Energy 2023, 262, 125375. [Google Scholar] [CrossRef]
- Tian, Y.; Lai, R.; Li, X.; Xiang, L.; Tian, J. A combined method for state-of-charge estimation for lithium-ion batteries using a long short-term memory network and an adaptive cubature Kalman filter. Appl. Energy 2020, 265, 114789. [Google Scholar] [CrossRef]
- Shen, H.; Zhou, X.; Wang, Z.; Wang, J. State of charge estimation for lithium-ion battery using Transformer with immersion and invariance adaptive observer. J. Energy Storage 2022, 45, 103768. [Google Scholar] [CrossRef]
- Hong, J.; Liang, F.; Yang, H.; Zhang, C.; Zhang, X.; Zhang, H.; Wang, W.; Li, K.; Yang, J. Multi-forword-step state of charge prediction for real-world electric vehicles battery systems using a novel LSTM-GRU hybrid neural network. Etransportation 2024, 20, 100322. [Google Scholar] [CrossRef]
- Li, P.; Ju, S.; Bai, S.; Zhao, H.; Zhang, H. State of charge estimation for lithium-ion batteries based on physics-embedded neural network. J. Power Sources 2025, 640, 236785. [Google Scholar] [CrossRef]
- Wu, L.; Lyu, Z.; Huang, Z.; Zhang, C.; Wei, C. Physics-based battery SoC estimation methods: Recent advances and future perspectives. J. Energy Chem. 2024, 89, 27–40. [Google Scholar] [CrossRef]
- Hochreiter, S.; Schmidhuber, J. Long short-term memory. Neural Comput. 1997, 9, 1735–1780. [Google Scholar] [CrossRef]
- Vaswani, A.; Shazeer, N.; Parmar, N.; Uszkoreit, J.; Jones, L.; Gomez, A.N.; Kaiser, L.; Polosukhin, I. Attention is all you need. In Proceedings of the 2017 Conference on Neural Information Processing Systems, Long Beach, CA, USA, 4–9 December 2017. [Google Scholar]
- Victoria, A.H.; Maragatham, G. Automatic tuning of hyperparameters using Bayesian optimization. Evol. Syst. 2021, 12, 217–223. [Google Scholar] [CrossRef]
- Wu, K.; Peng, H.; Chen, M.; Fu, J.; Chao, H. Rethinking and improving relative position encoding for vision transformer. In Proceedings of the IEEE/CVF International Conference on Computer Vision, Montreal, QC, Canada, 10–17 October 2021; pp. 10033–10041. [Google Scholar]
- Pecht, M. Battery Data Set. CALCE; CALCE Battery Research Group, University of Maryland: College Park, MD, USA, 2017. [Google Scholar]
- Tang, Y.; Qi, L.; Xie, F.; Li, X.; Ma, C.; Yang, M.H. PredFormer: Transformers are effective spatial-temporal predictive learners. arXiv 2024, arXiv:2410.04733v1. [Google Scholar]









Disclaimer/Publisher’s Note: The statements, opinions and data contained in all publications are solely those of the individual author(s) and contributor(s) and not of MDPI and/or the editor(s). MDPI and/or the editor(s) disclaim responsibility for any injury to people or property resulting from any ideas, methods, instructions or products referred to in the content. |
© 2025 by the authors. Licensee MDPI, Basel, Switzerland. This article is an open access article distributed under the terms and conditions of the Creative Commons Attribution (CC BY) license (https://creativecommons.org/licenses/by/4.0/).
Share and Cite
Zou, B.; Fu, W.; Yan, C.; Zeng, Q.; Wang, Z.; Wang, R.; Ding, W.; Chen, X.; Gao, Q. SoC Fusion Estimation Based on Neural Network Long and Short Time Series. Batteries 2025, 11, 336. https://doi.org/10.3390/batteries11090336
Zou B, Fu W, Yan C, Zeng Q, Wang Z, Wang R, Ding W, Chen X, Gao Q. SoC Fusion Estimation Based on Neural Network Long and Short Time Series. Batteries. 2025; 11(9):336. https://doi.org/10.3390/batteries11090336
Chicago/Turabian StyleZou, Bosong, Wang Fu, Chunxia Yan, Qingshuang Zeng, Zheng Wang, Rong Wang, Wenlong Ding, Xianglong Chen, and Qiuju Gao. 2025. "SoC Fusion Estimation Based on Neural Network Long and Short Time Series" Batteries 11, no. 9: 336. https://doi.org/10.3390/batteries11090336
APA StyleZou, B., Fu, W., Yan, C., Zeng, Q., Wang, Z., Wang, R., Ding, W., Chen, X., & Gao, Q. (2025). SoC Fusion Estimation Based on Neural Network Long and Short Time Series. Batteries, 11(9), 336. https://doi.org/10.3390/batteries11090336
