Effect of Fertilization Regime of Common Wheat (Triticum aestivum) on Flour Quality and Shelf-Life of PDO Tuscan Bread
Abstract
1. Introduction
2. Materials and Methods
2.1. Experimental Field
2.2. Characterizzation of Flours
2.3. Breadmaking Process
2.4. Bread Shelf-Life Assessment
2.5. Statistical Analysis
3. Results and Discussion
3.1. Flour Quality Characterization
3.2. Trend of Weight Loss, Water Activity, and Softness
3.3. Mold Appearance
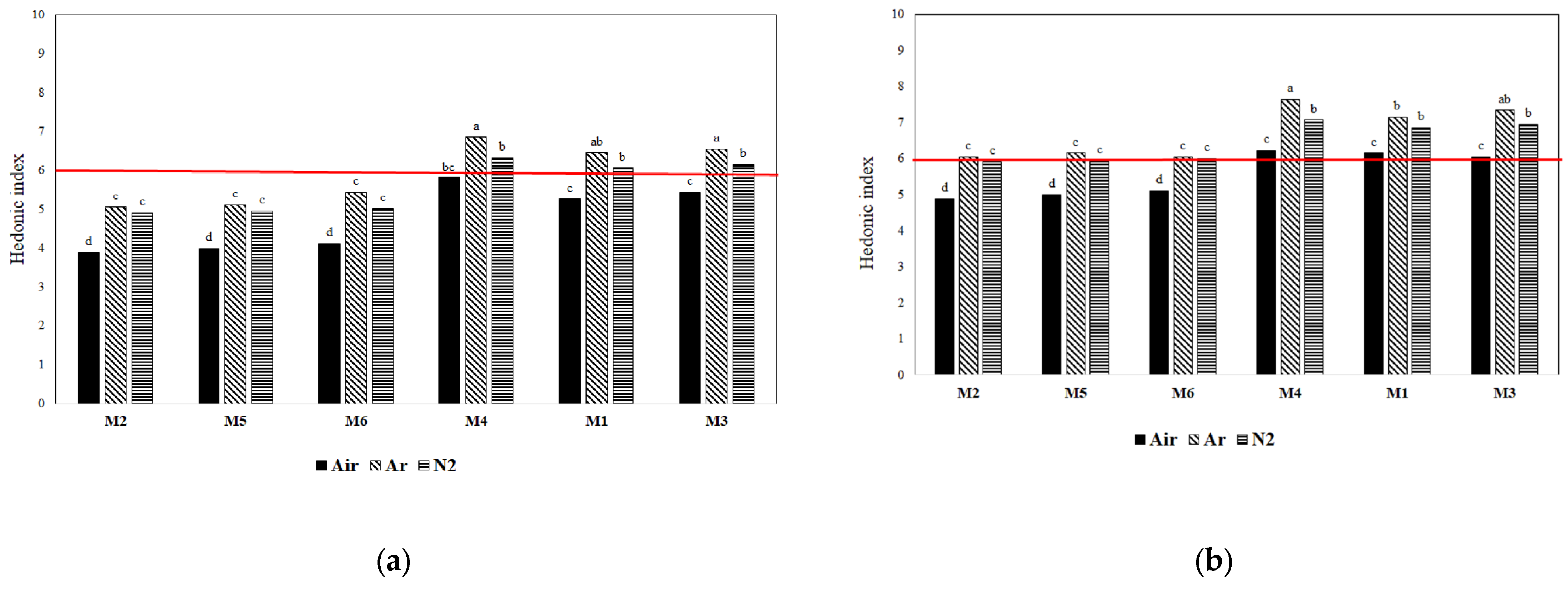
3.4. Sensory Evaluation of Bread
4. Conclusions
Supplementary Materials
Author Contributions
Funding
Institutional Review Board Statement
Data Availability Statement
Conflicts of Interest
References
- Taglieri, I.; Macaluso, M.; Bianchi, A.; Sanmartin, C.; Quartacci, M.F.; Zinnai, A.; Venturi, F. Overcoming bread quality decay concerns: Main issues for bread shelf life as a function of biological leavening agents and different extra ingredients used in formulation. A review. J. Sci. Food Agric. 2021, 101, 1732–1743. [Google Scholar] [CrossRef]
- Pagani, M.A.; Lucisano, M.; Mariotti, M. Italian Bakery Products. In Bakery Products Science and Technology; Wiley Online Library: Hoboken, NJ, USA, 2014; pp. 685–721. ISBN 9781118792001. [Google Scholar]
- Taglieri, I.; Sanmartin, C.; Venturi, F.; Macaluso, M.; Zinnai, A.; Tavarini, S.; Serra, A.; Conte, G.; Flamini, G.; Angelini, L.G. Effect of the Leavening Agent on the Compositional and Sensorial Characteristics of Bread Fortified with Flaxseed Cake. Appl. Sci. 2020, 10, 5235. [Google Scholar] [CrossRef]
- Bianchi, A.; Taglieri, I.; Zinnai, A.; Macaluso, M.; Sanmartin, C.; Venturi, F. Effect of Argon as Filling Gas of the Storage Atmosphere on the Shelf-Life of Sourdough Bread—Case Study on PDO Tuscan Bread. Foods 2022, 11, 3470. [Google Scholar] [CrossRef] [PubMed]
- Sacchi, G.; Belletti, G.; Biancalani, M.; Lombardi, G.V.; Stefani, G. The valorisation of wheat production through locally-based bread chains: Experiences from Tuscany. J. Rural Stud. 2019, 71, 23–35. [Google Scholar] [CrossRef]
- Ma, S.; Wang, Z.; Guo, X.; Wang, F.; Huang, J.; Sun, B.; Wang, X. Sourdough improves the quality of whole-wheat flour products: Mechanisms and challenges—A review. Food Chem. 2021, 360, 130038. [Google Scholar] [CrossRef]
- Venturi, F.; Sanmartin, C.; Taglieri, I.; Nari, A.; Andrich, G. Effect of the baking process on artisanal sourdough bread-making: A technological and sensory evaluation. Agrochimica 2016, 60, 186–198. [Google Scholar] [CrossRef]
- Ben Mariem, S.; González-Torralba, J.; Collar, C.; Aranjuelo, I.; Morales, F. Durum Wheat Grain Yield and Quality under Low and High Nitrogen Conditions: Insights into Natural Variation in Low- and High-Yielding Genotypes. Plants 2020, 9, 1636. [Google Scholar] [CrossRef]
- Parenti, O.; Guerrini, L.; Zanoni, B. Techniques and technologies for the breadmaking process with unrefined wheat flours. Trends Food Sci. Technol. 2020, 99, 152–166. [Google Scholar] [CrossRef]
- Cornell, H.J. The Chemistry and Biochemistry of Wheat, 2nd ed.; Woodhead Publishing Limited: Sawston, UK, 2012; ISBN 9780857090607. [Google Scholar]
- Schirmer, M.; Höchstötter, A.; Jekle, M.; Arendt, E.; Becker, T. Physicochemical and morphological characterization of different starches with variable amylose/amylopectin ratio. Food Hydrocoll. 2013, 32, 52–63. [Google Scholar] [CrossRef]
- Rasmussen, P.H.; Hansen, A. Staling of wheat bread stored in modified atmosphere. LWT-Food Sci. Technol. 2001, 34, 487–491. [Google Scholar] [CrossRef]
- Wang, S.; Li, C.; Copeland, L.; Niu, Q.; Wang, S. Starch Retrogradation: A Comprehensive Review. Compr. Rev. Food Sci. Food Saf. 2015, 14, 568–585. [Google Scholar] [CrossRef]
- Monteau, J.-Y.; Purlis, E.; Besbes, E.; Jury, V.; Le-Bail, A. Water transfer in bread during staling: Physical phenomena and modelling. J. Food Eng. 2017, 211, 95–103. [Google Scholar] [CrossRef]
- Ottenhof, M.-A.; Farhat, I.A. The effect of gluten on the retrogradation of wheat starch. J. Cereal Sci. 2004, 40, 269–274. [Google Scholar] [CrossRef]
- Allan, M.C.; Mauer, L.J. Variable Effects of Twenty Sugars and Sugar Alcohols on the Retrogradation of Wheat Starch Gels. Foods 2022, 11, 3008. [Google Scholar] [CrossRef]
- Tabak, M.; Lepiarczyk, A.; Filipek-Mazur, B.; Lisowska, A. Efficiency of Nitrogen Fertilization of Winter Wheat Depending on Sulfur Fertilization. Agronomy 2020, 10, 1304. [Google Scholar] [CrossRef]
- Mussarat, M.; Shair, M.; Muhammad, D.; Mian, I.A.; Khan, S.; Adnan, M.; Fahad, S.; Dessoky, E.S.; El Sabagh, A.; Zia, A.; et al. Accentuating the Role of Nitrogen to Phosphorus Ratio on the Growth and Yield of Wheat Crop. Sustainability 2021, 13, 2253. [Google Scholar] [CrossRef]
- Blandino, M.; Marinaccio, F.; Reyneri, A. Effect of late-season nitrogen fertilization on grain yield and on flour rheological quality and stability in common wheat, under different production situations. Ital. J. Agron. 2016, 11, 107–113. [Google Scholar] [CrossRef]
- Litke, L.; Gaile, Z.; Ruža, A. Effect of nitrogen fertilization on winter wheat yield and yield quality. Agron. Res. 2018, 16, 500–509. [Google Scholar] [CrossRef]
- Orlando, F.; Mancini, M.; Motha, R.; Qu, J.J.; Orlandini, S.; Dalla Marta, A. Modelling durum wheat (Triticum turgidum L. var. durum) grain protein concentration. J. Agric. Sci. 2017, 155, 930–938. [Google Scholar] [CrossRef]
- Dalla Marta, A.; Grifoni, D.; Mancini, M.; Zipoli, G.; Orlandini, S. The influence of climate on durum wheat quality in Tuscany, Central Italy. Int. J. Biometeorol. 2011, 55, 87–96. [Google Scholar] [CrossRef]
- López-Bellido, L.; López-Bellido, R.J.; Castillo, J.E.; López-Bellido, F.J. Effects of long-term tillage, crop rotation and nitrogen fertilization on bread-making quality of hard red spring wheat. Field Crops Res. 2001, 72, 197–210. [Google Scholar] [CrossRef]
- Xue, C.; Matros, A.; Mock, H.-P.; Mühling, K.-H. Protein Composition and Baking Quality of Wheat Flour as Affected by Split Nitrogen Application. Front. Plant Sci. 2019, 10, 642. [Google Scholar] [CrossRef]
- Rekowski, A.; Wimmer, M.A.; Henkelmann, G.; Zörb, C. Is a Change of Protein Composition after Late Application of Nitrogen Sufficient to Improve the Baking Quality of Winter Wheat? Agriculture 2019, 9, 101. [Google Scholar] [CrossRef]
- Rossmann, A.; Buchner, P.; Savill, G.P.; Hawkesford, M.J.; Scherf, K.A.; Mühling, K.H. Foliar N application at anthesis alters grain protein composition and enhances baking quality in winter wheat only under a low N fertiliser regimen. Eur. J. Agron. 2019, 109, 125909. [Google Scholar] [CrossRef]
- Guerrini, L.; Napoli, M.; Mancini, M.; Masella, P.; Cappelli, A.; Parenti, A.; Orlandini, S. Wheat Grain Composition, Dough Rheology and Bread Quality as Affected by Nitrogen and Sulfur Fertilization and Seeding Density. Agronomy 2020, 10, 233. [Google Scholar] [CrossRef]
- Rial-Lovera, K.; Davies, W.P.; Cannon, N.D.; Conway, J.S. Influence of tillage systems and nitrogen management on grain yield, grain protein and nitrogen-use efficiency in UK spring wheat. J. Agric. Sci. 2016, 154, 1437–1452. [Google Scholar] [CrossRef]
- Tong, J.; Wang, S.; He, Z.; Zhang, Y. Effects of Reduced Nitrogen Fertilization and Irrigation on Structure and Physicochemical Properties of Starch in Two Bread Wheat Cultivars. Agriculture 2021, 11, 26. [Google Scholar] [CrossRef]
- Zhou, T.; Zhou, Q.; Li, E.; Yuan, L.; Wang, W.; Zhang, H.; Liu, L.; Wang, Z.; Yang, J.; Gu, J. Effects of nitrogen fertilizer on structure and physicochemical properties of ‘super’ rice starch. Carbohydr. Polym. 2020, 239, 116237. [Google Scholar] [CrossRef]
- Xue, C.; auf’m Erley, G.S.; Rossmann, A.; Schuster, R.; Koehler, P.; Mühling, K.-H. Split Nitrogen Application Improves Wheat Baking Quality by Influencing Protein Composition Rather Than Concentration. Front. Plant Sci. 2016, 7, 738. [Google Scholar] [CrossRef] [PubMed]
- Ulloa, M.; Nunes-Nesi, A.; da Fonseca-Pereira, P.; Poblete-Grant, P.; Reyes-Díaz, M.; Cartes, P. The effect of silicon supply on photosynthesis and carbohydrate metabolism in two wheat (Triticum aestivum L.) cultivars contrasting in response to phosphorus nutrition. Plant Physiol. Biochem. 2021, 169, 236–248. [Google Scholar] [CrossRef]
- Bueis, T.; Bravo, F.; Pando, V.; Kissi, Y.-A.; Turrión, M.-B. Phosphorus availability in relation to soil properties and forest productivity in Pinus sylvestris L. plantations. Ann. For. Sci. 2019, 76, 97. [Google Scholar] [CrossRef]
- Zhang, W.; Liu, D.; Liu, Y.; Chen, X.; Zou, C. Overuse of Phosphorus Fertilizer Reduces the Grain and Flour Protein Contents and Zinc Bioavailability of Winter Wheat (Triticum aestivum L.). J. Agric. Food Chem. 2017, 65, 1473–1482. [Google Scholar] [CrossRef] [PubMed]
- Zinnai, A.; Venturi, F.; Sanmartin, C.; Andrich, G. Changes in physicochemical and sensory characteristics of fresh bread rolls maintained in different storage conditions. Agrochimica 2012, 56, 140–155. [Google Scholar]
- Kotsianis, I.S.; Giannou, V.; Tzia, C. Production and packaging of bakery products using MAP technology. Trends Food Sci. Technol. 2002, 13, 319–324. [Google Scholar] [CrossRef]
- Gutiérrez, L.; Sánchez, C.; Batlle, R.; Nerín, C. New antimicrobial active package for bakery products. Trends Food Sci. Technol. 2009, 20, 92–99. [Google Scholar] [CrossRef]
- Saiyed, I.M.; Bullock, P.R.; Sapirstein, H.D.; Finlay, G.J.; Jarvis, C.K. Thermal time models for estimating wheat phenological development and weather-based relationships to wheat quality. Can. J. Plant Sci. 2009, 89, 429–439. [Google Scholar] [CrossRef]
- Macaluso, M.; Bianchi, A.; Sanmartin, C.; Taglieri, I.; Venturi, F.; Testai, L.; Flori, L.; Calderone, V.; De Leo, M.; Braca, A.; et al. By-Products from Winemaking and Olive Mill Value Chains for the Enrichment of Refined Olive Oil: Technological Challenges and Nutraceutical Features. Foods 2020, 9, 1390. [Google Scholar] [CrossRef]
- Bianchi, A.; Venturi, F.; Zinnai, A.; Taglieri, I.; Najar, B.; Macaluso, M.; Merlani, G.; Angelini, L.G.; Tavarini, S.; Clemente, C.; et al. Valorization of an Old Variety of Triticum aestivum: A Study of Its Suitability for Breadmaking Focusing on Sensory and Nutritional Quality. Foods 2023, 12, 1351. [Google Scholar] [CrossRef] [PubMed]
- Macaluso, M.; Taglieri, I.; Venturi, F.; Sanmartin, C.; Bianchi, A.; De Leo, M.; Braca, A.; Quartacci, M.F.; Zinnai, A. Influence of the Atmosphere Composition during Malaxation and Storage on the Shelf Life of an Unfiltered Extra Virgin Olive Oil: Preliminary Results. Eur. J. Lipid Sci. Technol. 2021, 123, 2000122. [Google Scholar] [CrossRef]
- Sanmartin, C.; Taglieri, I.; Venturi, F.; Macaluso, M.; Zinnai, A.; Tavarini, S.; Botto, A.; Serra, A.; Conte, G.; Flamini, G.; et al. Flaxseed cake as a tool for the improvement of nutraceutical and sensorial features of sourdough bread. Foods 2020, 9, 204. [Google Scholar] [CrossRef]
- Taglieri, I.; Sanmartin, C.; Venturi, F.; Macaluso, M.; Bianchi, A.; Sgherri, C.; Quartacci, M.F.; De Leo, M.; Pistelli, L.; Palla, F.; et al. Bread fortified with cooked purple potato flour and citrus albedo: An evaluation of its compositional and sensorial properties. Foods 2021, 10, 942. [Google Scholar] [CrossRef] [PubMed]





| Year 2019 | ||||||||
|---|---|---|---|---|---|---|---|---|
| Parameters | Units | 1 | M1 | M2 | M3 | M4 | M5 | M6 |
| Chemical | ||||||||
| Humidity | % w/w | ns | 11.13 | 10.92 | 11.28 | 11.00 | 10.05 | 10.82 |
| Ashes | % w/w | ns | 1.24 | 1.17 | 1.26 | 1.08 | 1.09 | 1.13 |
| Proteins | % w/w | ** | 13.34 c | 13.42 c | 13.69 b | 13.98 ab | 14.26 a | 14.51 a |
| Total fats | % w/w | ns | 2.05 | 2.18 | 2.14 | 1.98 | 2.06 | 2.15 |
| Total dietary fiber | % w/w | ** | 5.02 c | 6.83 a | 5.38 c | 5.31 c | 6.12 b | 6.21 b |
| Sucrose | % w/w | * | 0.79 ab | 0.68 c | 0.87 a | 0.86 a | 0.71 bc | 0.72 bc |
| Glucose | % w/w | * | 0.293 ab | 0.22 b | 0.30 a | 0.33 a | 0.22 b | 0.24 b |
| Fructose | % w/w | ns | 0.10 | 0.08 | 0.12 | 0.10 | 0.09 | 0.11 |
| Maltose | % w/w | *** | 5.02 ab | 4.42 d | 5.21 a | 5.28 a | 4.90 b | 4.70 c |
| Wet gluten | % w/w | ** | 38.72 b | 36.12 c | 38.65 b | 38.14 b | 41.22 a | 41.86 a |
| Dry gluten | % w/w | ** | 11.51 c | 10.43 d | 11.54 c | 11.70 c | 11.94 b | 12.84 a |
| Gluten index | % w/w | ** | 67.64 c | 63.21 d | 70.74 b | 67.33 c | 69.12 b | 71.92 a |
| Total Starch | % w/w | ** | 83.64 cd | 83.02 d | 84.85 ab | 84.03 b | 85.09 a | 85.71 a |
| Amylose | % w/w | *** | 22.82 c | 24.64 b | 22.64 c | 22.72 c | 25.73 a | 25.42 a |
| Amylopectin | % w/w | *** | 77.21 c | 75.44 b | 77.48 c | 77.31 c | 74.32 a | 74.68 a |
| Falling number | seconds | ns | 303 | 298 | 300 | 310 | 312 | 316 |
| Total polyphenol | mg GAE/kg dm | *** | 635 a | 449 c | 617 b | 642 a | 440 c | 416 d |
| Total flavonoids | mg CE/kg dm | ** | 55.82 ab | 46.43 c | 53.45 b | 57.42 a | 40.44 d | 48.42 c |
| ABTS | μmol TE/g dm | *** | 0.79 a | 0.53 c | 0.68 b | 0.82 a | 0.50 c | 0.41 d |
| DPPH | μmol TE/g dm | ** | 0.40 ab | 0.32 c | 0.38 b | 0.45 a | 0.31 c | 0.35 c |
| FRAP | μmol TE/g dm | *** | 0.79 a | 0.56 c | 0.81 a | 0.84 a | 0.55 c | 0.48 d |
| Technological | ||||||||
| W | 10−4 joules | * | 229 c | 248 bc | 237 b | 240 b | 258 a | 262 a |
| P/L | * | 1.62 b | 1.92 a | 1.54 b | 1.67 b | 1.98 a | 2.06 a | |
| P | mm | ns | 106 | 112 | 105 | 112 | 113 | 114 |
| L | mm | * | 48 a | 40 b | 49 a | 48 a | 41 b | 39 b |
| G | * | 13.5 a | 12.6 b | 13.6 a | 13.4 a | 12.7 b | 12.7 b | |
| Water absorption | % | ** | 67.4 c | 73.1 a | 67.4 c | 67.2 c | 72.0 b | 71.5 b |
| Dough time | Minutes | ns | 5.6 | 5.2 | 5.8 | 5.3 | 5.5 | 5.3 |
| Stability | Minutes | ns | 5.1 | 4.6 | 4.9 | 4.8 | 4.6 | 4.9 |
| E10 | UF | ns | 41 | 50 | 52 | 50 | 48 | 42 |
| E(ICC) | UF | ns | 74 | 72 | 74 | 80 | 79 | 81 |
| FQN | ns | 75 | 64 | 70 | 72 | 68 | 65 | |
| Year 2020 | ||||||||
|---|---|---|---|---|---|---|---|---|
| Parameters | Units | 1 | M1 | M2 | M3 | M4 | M5 | M6 |
| Chemical | ||||||||
| Humidity | % w/w | ns | 11.08 | 11.22 | 10.85 | 10.90 | 11.05 | 11.22 |
| Ashes | % w/w | ns | 1.34 | 1.37 | 1.36 | 1.37 | 1.30 | 1.33 |
| Proteins | % w/w | ** | 12.24 c | 12.52 bc | 12.64 b | 12.90 b | 13.46 a | 13.50 a |
| Total fats | % w/w | ns | 2.45 | 2.52 | 2.44 | 2.50 | 2.46 | 2.45 |
| Total dietary fiber | % w/w | * | 5.82 d | 8.83 a | 6.58 c | 6.70 bc | 7.32 b | 7.41 b |
| Sucrose | % w/w | * | 0.94 ab | 0.80 c | 0.97 a | 0.96 a | 0.91 b | 0.89 b |
| Glucose | % w/w | ** | 0.43 ab | 0.31 c | 0.46 a | 0.45 a | 0.39 b | 0.38 b |
| Fructose | % w/w | ns | 0.12 | 0.13 | 0.11 | 0.14 | 0.13 | 0.13 |
| Maltose | % w/w | ** | 7.22 a | 6.52 c | 7.21 a | 7.28 a | 6.75 b | 6.70 b |
| Wet gluten | % w/w | ** | 39.72 c | 36.22 d | 39.65 c | 39.14 c | 41.22 b | 42.86 a |
| Dry gluten | % w/w | ** | 12.51 c | 11.63 d | 12.54 c | 12.90 c | 12.94 b | 13.84 a |
| Gluten index | % w/w | * | 67.60 d | 69.21 cd | 73.71 b | 75.32 a | 72.14 bc | 73.92 b |
| Total Starch | % w/w | ** | 86.29 b | 85.03 c | 86.65 b | 86.71 b | 88.54 a | 88.32 a |
| Amylose | % w/w | *** | 20.72 b | 23.64 a | 21.04 b | 20.82 b | 23.73 a | 23.42 a |
| Amylopectin | % w/w | *** | 79.31 b | 76.44 a | 79.03 b | 79.22 b | 76.32 a | 76.68 a |
| Falling number | seconds | ns | 333 | 332 | 340 | 327 | 318 | 326 |
| Total polyphenol | mg GAE/kg dm | ** | 835 a | 749 b | 827 a | 842 a | 719 c | 716 c |
| Total flavonoids | mg CE/kg dm | *** | 75.82 a | 63.43 c | 73.45 b | 77.42 a | 60.44 d | 58.42 e |
| ABTS | μmol TE/g dm | ** | 1.15 ab | 0.83 c | 1.09 b | 1.23 a | 0.79 c | 0.66 d |
| DPPH | μmol TE/g dm | ** | 0.70 ab | 0.52 c | 0.65 b | 0.75 a | 0.51 cd | 0.45 d |
| FRAP | μmol TE/g dm | *** | 1.50 a | 1.22 c | 1.41 b | 1.54 a | 1.16 c | 1.01 d |
| Technological | ||||||||
| W | 10−4 joules | * | 245 d | 262 bc | 258 c | 259 c | 273 ab | 282 a |
| P/L | * | 2.62 b | 2.92 a | 2.54 b | 2.67 b | 2.98 a | 3.06 a | |
| P | mm | ns | 156 | 162 | 150 | 152 | 160 | 160 |
| L | mm | * | 63 a | 56 b | 61 a | 68 a | 51 b | 56 b |
| G | * | 15.5 a | 14.1 b | 15.6 a | 15.4 a | 14.7 b | 14.8 ab | |
| Water absorption | % | ** | 68.4 b | 69.7 a | 68.4 b | 68.2 b | 69.9 a | 69.5 a |
| Dough time | Minutes | ns | 4.6 | 4.2 | 4.8 | 4.3 | 4.5 | 4.3 |
| Stability | Minutes | ns | 6.2 | 5.5 | 5.9 | 5.4 | 6.4 | 6.2 |
| E10 | UF | ns | 46 | 59 | 48 | 46 | 58 | 52 |
| E(ICC) | UF | ns | 81 | 92 | 81 | 90 | 87 | 87 |
| FQN | ns | 85 | 73 | 80 | 81 | 74 | 75 | |
| Sample | Year 2019 | Year 2020 | ||||||
|---|---|---|---|---|---|---|---|---|
| Slope (Weight) | R2 | Slope (aw) | R2 | Slope (Weight) | R2 | Slope (aw) | R2 | |
| M1-Air | 0.448 c | 0.987 | 0.361 c | 0.972 | 0.473 b | 0.986 | 0.261 b | 0.962 |
| M1-Ar | 0.333 d | 0.993 | 0.236 d | 0.996 | 0.321 c | 0.984 | 0.135 c | 0.973 |
| M1-N2 | 0.344 d | 0.995 | 0.255 d | 0.994 | 0.352 c | 0.986 | 0.155 c | 0.968 |
| M2-Air | 0.643 a | 0.970 | 0.509 a | 0.964 | 0.571 a | 0.990 | 0.376 a | 0.960 |
| M2-Ar | 0.466 bc | 0.980 | 0.380 bc | 0.982 | 0.478 b | 0.991 | 0.303 b | 0.976 |
| M2-N2 | 0.500 b | 0.979 | 0.420 b | 0.974 | 0.473 b | 0.986 | 0.306 b | 0.959 |
| M3-Air | 0.441 c | 0.988 | 0.359 c | 0.984 | 0.445 b | 0.992 | 0.265 b | 0.982 |
| M3-Ar | 0.329 d | 0.995 | 0.236 d | 0.994 | 0.347 c | 0.998 | 0.156 c | 0.978 |
| M3-N2 | 0.341 d | 0.978 | 0.250 d | 0.985 | 0.341 c | 0.983 | 0.158 c | 0.968 |
| M4-Air | 0.440 c | 0.991 | 0.353 c | 0.991 | 0.455 b | 0.992 | 0.273 b | 0.963 |
| M4-Ar | 0.321 d | 0.994 | 0.238 d | 0.993 | 0.336 c | 0.985 | 0.132 c | 0.972 |
| M4-N2 | 0.327 d | 0.997 | 0.249 d | 0.998 | 0.345 c | 0.993 | 0.149 c | 0.965 |
| M5-Air | 0.625 a | 0.969 | 0.506 a | 0.967 | 0.548 a | 0.988 | 0.388 a | 0.966 |
| M5-Ar | 0.534 b | 0.991 | 0.388 b | 0.963 | 0.471 b | 0.992 | 0.275 b | 0.960 |
| M5-N2 | 0.527 b | 0.992 | 0.396 b | 0.976 | 0.459 b | 0.990 | 0.298 b | 0.973 |
| M6-Air | 0.643 a | 0.994 | 0.505 a | 0.966 | 0.556 a | 0.985 | 0.413 a | 0.976 |
| M6-Ar | 0.467 bc | 0.994 | 0.390 b | 0.987 | 0.436 b | 0.986 | 0.274 b | 0.966 |
| M6-N2 | 0.483 b | 0.992 | 0.415 b | 0.992 | 0.437 b | 0.992 | 0.298 b | 0.970 |
Disclaimer/Publisher’s Note: The statements, opinions and data contained in all publications are solely those of the individual author(s) and contributor(s) and not of MDPI and/or the editor(s). MDPI and/or the editor(s) disclaim responsibility for any injury to people or property resulting from any ideas, methods, instructions or products referred to in the content. |
© 2023 by the authors. Licensee MDPI, Basel, Switzerland. This article is an open access article distributed under the terms and conditions of the Creative Commons Attribution (CC BY) license (https://creativecommons.org/licenses/by/4.0/).
Share and Cite
Bianchi, A.; Sanmartin, C.; Taglieri, I.; Macaluso, M.; Venturi, F.; Napoli, M.; Mancini, M.; Fabbri, C.; Zinnai, A. Effect of Fertilization Regime of Common Wheat (Triticum aestivum) on Flour Quality and Shelf-Life of PDO Tuscan Bread. Foods 2023, 12, 2672. https://doi.org/10.3390/foods12142672
Bianchi A, Sanmartin C, Taglieri I, Macaluso M, Venturi F, Napoli M, Mancini M, Fabbri C, Zinnai A. Effect of Fertilization Regime of Common Wheat (Triticum aestivum) on Flour Quality and Shelf-Life of PDO Tuscan Bread. Foods. 2023; 12(14):2672. https://doi.org/10.3390/foods12142672
Chicago/Turabian StyleBianchi, Alessandro, Chiara Sanmartin, Isabella Taglieri, Monica Macaluso, Francesca Venturi, Marco Napoli, Marco Mancini, Carolina Fabbri, and Angela Zinnai. 2023. "Effect of Fertilization Regime of Common Wheat (Triticum aestivum) on Flour Quality and Shelf-Life of PDO Tuscan Bread" Foods 12, no. 14: 2672. https://doi.org/10.3390/foods12142672
APA StyleBianchi, A., Sanmartin, C., Taglieri, I., Macaluso, M., Venturi, F., Napoli, M., Mancini, M., Fabbri, C., & Zinnai, A. (2023). Effect of Fertilization Regime of Common Wheat (Triticum aestivum) on Flour Quality and Shelf-Life of PDO Tuscan Bread. Foods, 12(14), 2672. https://doi.org/10.3390/foods12142672

