Effect of Stir-Frying on Physicochemical and Functional Properties of Oat Protein Isolates
Abstract
1. Introduction
2. Materials and Methods
2.1. Materials
2.2. Extraction of OPI from Oat Grain
2.2.1. Milling and Defatting Process
2.2.2. Extraction of OPI
2.3. Structural Analysis of OPI
2.3.1. Determination of Amino Acid Composition
2.3.2. Determination of Fourier Transform Infrared Spectroscopy (FTIR)
2.3.3. Determination of the Molecular Weight Distribution
2.3.4. Determination of Free Sulfhydryl (SH) and Disulfide Bond (SS) Content
2.3.5. Determination of Average Particle Size
2.4. Determination of Physicochemical and Functional Properties
2.5. Determination of Digestive Properties
2.6. Statistical Analysis
3. Results and Discussion
3.1. Structural Analysis of OPI
3.1.1. Amino Acid Composition of OPI
3.1.2. Secondary Structure Analysis of OPI
3.1.3. Molecular Weights of OPI
3.1.4. Content of Free Sulfhydryl and Disulfide Bond of OPI
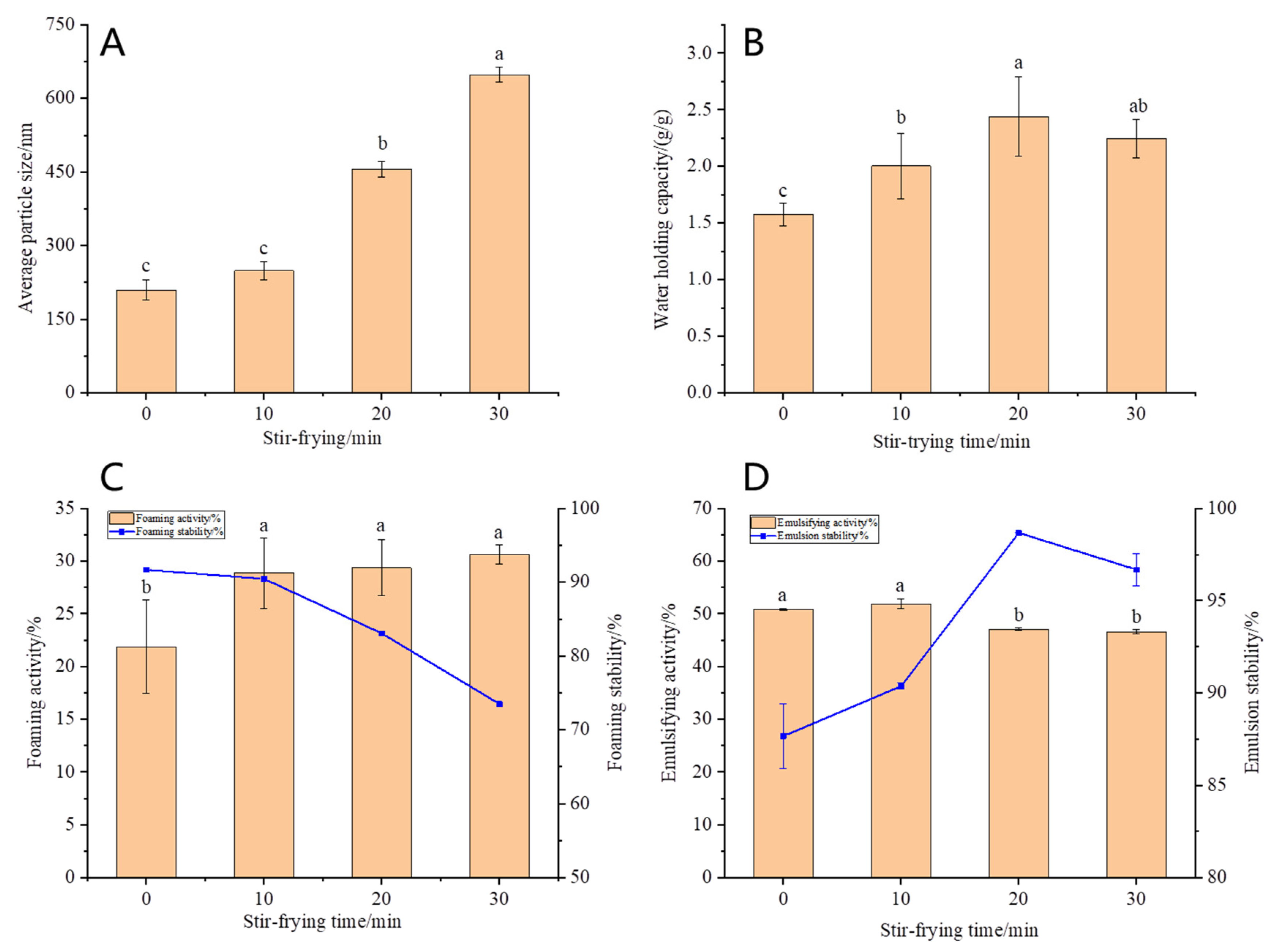
3.1.5. Average Particle Size of OPI
3.2. Physicochemical and Functional Properties of OPI
3.3. Digestive Properties of OPI
4. Conclusions
Author Contributions
Funding
Data Availability Statement
Conflicts of Interest
References
- He, T.; Wang, J.; Hu, X.Z. Effect of heat treatment on the structure and digestion properties of oat globulin. Cereal Chem. 2021, 98, 740–748. [Google Scholar] [CrossRef]
- Hamad, R.; Dong, R.; Wang, X.L.; Aamina, A.; Rana, M.-A.; Li, L.; Zou, L.; Hu, X.-Z. Dietary-Nutraceutical Properties of Oat Protein and Peptides. Front. Nutr. 2022, 9, 950400. [Google Scholar] [CrossRef]
- Klose, C.; Arendt, E.-K. Proteins in Oats; their Synthesis and Changes during Germination: A Review. Crit. Rev. Food Sci. Nutr. 2012, 52, 629–639. [Google Scholar] [CrossRef] [PubMed]
- Gorissen, S.H.M.; Crombag, J.J.R.; Senden, J.M.G.; Waterval, W.A.H.; Bierau, J.; Verdigk, L.B. Protein content and amino acid composition of commercially available plant-based protein isolates. Amino Acids 2018, 50, 1685–1695. [Google Scholar] [CrossRef] [PubMed]
- Lampi, A.M.; Damerau, A.; Li, J. Changes in lipids and volatile compounds of oat flours and extrudates during processing and storage. J. Cereal Sci. 2015, 62, 102–109. [Google Scholar] [CrossRef]
- Hurrell, R.F.; Carpenter, K.J. Nutritional significance of cross-link formation during food processing. Adv. Exp. Med. Biol. 1977, 86, 225–238. [Google Scholar]
- Morris, A.; Watzky, M.; Finke, R. Protein aggregation kinetics, mechanism, and curve-fitting: A review of the literature. Int. J. Biochem. 2009, 1794, 375–379. [Google Scholar] [CrossRef]
- Zhao, Y.; Mine, Y.; Ma, C.Y. Study of thermal aggregation of oat globulin by laser light scattering. J. Agric. Food Chem. 2004, 52, 3089–3096. [Google Scholar] [CrossRef]
- Wang, J.M.; Xia, N.; Yang, X.Q. Adsorption and Dilatational Rheology of Heat-Treated Soy Protein at the Oil–Water Interface: Relationship to Structural Properties. J. Agric. Food Chem. 2012, 60, 3302–3310. [Google Scholar] [CrossRef]
- Saugm, R.; Arcot, J. Effect of domestic processing methods on the starch, non-starch polysaccharides and in vitro starch and protein digestibility of three varieties of rice with varying levels of amylose. Food Chem. 2000, 70, 107–111. [Google Scholar] [CrossRef]
- Runyon, J.R.; Sunilkumar, B.A.; Nilsson, L. The effect of heat treatment on the soluble protein content of oats. J. Cereal Sci. 2015, 65, 119–124. [Google Scholar] [CrossRef]
- Lan, Y.; Chen, B.; Rao, J. Pea protein isolate–high methoxyl pectin soluble complexes for improving pea protein functionality: Effect of pH, biopolymer ratio and concentrations. Food Hydrocoll. 2018, 80, 245–253. [Google Scholar] [CrossRef]
- Mohsin, G.F.; Schmitt, F.J.; Kanzler, C. Structural characterization of melanoidin formed from d-glucose and l-alanine at different temperatures applying FTIR, NMR, EPR, and MALDI-ToF-MS. Food Chem. 2018, 245, 761–767. [Google Scholar] [CrossRef]
- Tang, C.H. Thermal denaturation and gelation of vicilin-rich protein isolates from three Phaseolus legumes: A comparative study. LWT Food Sci. Technol. 2008, 41, 1380–1388. [Google Scholar] [CrossRef]
- Qu, W.; Zhang, X.; Han, X. Structure and functional characteristics of rapeseed protein isolate-dextran conjugates. Food Hydrocoll. 2018, 82, 329–337. [Google Scholar] [CrossRef]
- Rao, A.; Shallo, H.E.; Ericson, A.P. Characterization of Soy Protein Concentrate Produced by Membrane Ultrafiltration. J. Food Sci. 2002, 67, 1412–1418. [Google Scholar] [CrossRef]
- Mirmoghtadale, L.; Shojaee, A.S.; Hosseini, S.M. Recent approaches in physical modification of protein functionality. Food Chem. 2016, 199, 619–627. [Google Scholar] [CrossRef]
- Zhong, L.; Ma, N.; Wu, Y. Characterization and functional evaluation of oat protein isolate-Pleurotus ostreatus β-glucan conjugates formed via Maillard reaction. Food Hydrocoll. 2019, 87, 459–469. [Google Scholar] [CrossRef]
- Minekus, M.; Almnger, M.; Alvito, P. A standardised static in vitro digestion method suitable for food—An international consensus. Food Funct. 2014, 5, 1113–1124. [Google Scholar] [CrossRef]
- Jing, X.; Yang, C.; Zhang, L. Characterization and Analysis of Protein Structures in Oat Bran: Characterization of protein structure. J. Food Sci. 2016, 81, C2337–C2343. [Google Scholar] [CrossRef]
- Duan, Y.; Li, F.; Li, Y. The role of leucine and its metabolites in protein and energy metabolism. Amino Acids 2016, 48, 41–51. [Google Scholar] [CrossRef]
- Paucar-Menacho, L.; Duenas, M.; Pennas, E. Effect of dry heat puffing on nutritional composition, fatty acid, amino acid and phenolic profiles of pseudocereals grains. Pol. J. Food Nutr. Sci. 2018, 68, 289–297. [Google Scholar] [CrossRef]
- Liu, Z.W.; Zhu, M.M.; Wang, F.X. Effect of high temperature hydrothermal treatment on structure and functional properties of soybean protein isolate. Food Ferment. Ind. 2021, 47, 157–164. [Google Scholar]
- Shevkani, K.; Singh, N.; Kaur, A. Structural and functional characterization of kidney bean and field pea protein isolates: A comparative study. Food Hydrocoll. 2015, 43, 679–689. [Google Scholar] [CrossRef]
- Kaleda, A.; Talvistu, K.; Vaikma, H. Physicochemical, textural, and sensorial properties of fibrous meat analogs from oat-pea protein blends extruded at different moistures, temperatures, and screw speeds. Future Foods 2021, 4, 100092. [Google Scholar] [CrossRef]
- Monteiro, P.V.; Prakash, V. Functional properties of homogeneous protein fractions from peanut (Arachis hypogaea L.). J. Agric. Food Chem. 1994, 42, 274–278. [Google Scholar] [CrossRef]
- Juhani, S.; Muharrem, C.; Jussi, L. CO2-defatted oats: Solubility, emulsification and foaming properties. J. Cereal Sci. 2014, 60, 37–41. [Google Scholar] [CrossRef]
- Duijsens, D.; Palchen, K.; Coster, A. Effect of manufacturing conditions on in vitro starch and protein digestibility of (cellular) lentil-based ingredients. Food Res. Int. 2022, 158, 111546. [Google Scholar] [CrossRef]
- Rocha, M.G.P.; Genovese, M.I.; Lajolo, F.M. Albumins from the bean phaseolus vulgaris: Effects of heat teratment. J. Food Biochem. 2002, 26, 191–208. [Google Scholar] [CrossRef]
- Duodu, K.G.; Nunes, A.; Delgadillo, I. Effect of Grain Structure and Cooking on Sorghum and Maize in vitro Protein Digestibility. J. Cereal Sci. 2002, 35, 161–174. [Google Scholar] [CrossRef]




| Amino Acid | Content (%) | |||||
|---|---|---|---|---|---|---|
| 0 min | 10 min | 20 min | 30 min | FAO/WHO Standard (Adult) | ||
| EAA | Isoleccine (Ile) | 0.32 ± 0.05 b | 0.32 ± 0.02 b | 0.32 ± 0.02 b | 0.56 ± 0.03 a | 1.3 |
| Leucine (Leu) | 5.42 ± 0.09 a | 5.31 ± 0.06 a | 5.26 ± 0.04 a | 5.26 ± 0.20 a | 1.9 | |
| Valine (Val) | 3.89 ± 0.77 a | 4.50 ± 0.03 a | 4.41 ± 0.02 a | 3.60 ± 0.09 a | 1.3 | |
| Lysine (Lys) | 2.31 ± 0.10 a | 1.93 ± 0.10 ab | 1.82 ± 0.18 ab | 1.67 ± 0.29 b | 1.6 | |
| Phenyiaianine (Phe) | 3.05 ± 0.67 a | 3.17 ± 0.32 a | 3.00 ± 0.18 a | 3.30 ± 0.14 a | 1.9 | |
| Methionine (Met) | 2.57 ± 1.85 a | 3.14 ± 0.09 a | 3.04 ± 0.07 a | 1.14 ± 0.01 a | 1.7 | |
| Threonine (Thr) | 1.21 ± 0.02 b | 1.08 ± 0.01 c | 1.10 ± 0.02 c | 1.49 ± 0.02 a | 0.9 | |
| Histidine (His) | 1.76 ± 0.14 a | 1.33 ± 0.20 a | 1.36 ± 0.13 a | 1.29 ± 0.33 a | 1.6 | |
| NEAA | Asparagine (Asp) | 4.97 ± 0.16 a | 4.507 ± 0.04 a | 4.27 ± 0.03 a | 5.08 ± 0.60 a | - |
| Serine (Ser) | 2.71 ± 0.05 a | 2.62 ± 0.04 a | 2.43 ± 0.01 a | 2.74 ± 0.43 a | - | |
| Glutamic acid (Glu) | 20.53 ± 0.34 a | 11.67 ± 0.11 b | 12.03 ± 0.15 b | 12.00 ± 0.63 b | - | |
| Giycine (Gly) | 3.32 ± 0.09 a | 3.22 ± 0.03 ab | 3.02 ± 0.05 ab | 2.75 ± 0.37 b | - | |
| Alanine (Ala) | 10.56 ± 0.47 a | 10.06 ± 0.09 ab | 9.62 ± 0.01 b | 9.82 ± 0.38 ab | - | |
| Tryptophan (Tyr) | 3.50 ± 0.41 a | 4.01 ± 0.07 a | 3.56 ± 0.03 a | 3.46 ± 0.20 a | - | |
| Arginine (Arg) | 3.94 ± 0.21 a | 3.14 ± 0.38 a | 3.31 ± 0.13 a | 3.40 ± 0.45 a | - | |
| Proline (Pro) | 7.15 ± 2.53 a | 5.23 ± 0.12 ab | 5.26 ± 0.01 ab | 3.23 ± 0.01 b | - | |
| EAA | 20.53 ± 2.02 a | 20.68 ± 0.60 a | 20.43 ± 0.32 a | 18.30 ± 0.71 a | - | |
| TAA | 77.19 ± 0.12 a | 65.13 ± 0.30 b | 63.93 ± 0.70 b | 60.78 ± 0.96 c | - | |
| Stir-Frying Time/min | Secondary Structure (%) | |||
|---|---|---|---|---|
| α-Helix | β-Sheet | β-Turn | Random Coil | |
| 0 | 17.56 ± 0.02 b | 17.12 ± 1.82 c | 53.00 ± 2.56 a | 12.32 ± 4.39 a |
| 10 | 15.64 ± 3.16 b | 31.00 ± 6.69 b | 41.06 ± 3.73 b | 12.30 ± 0.20 a |
| 20 | 16.06 ± 1.58 b | 31.26 ± 3.15 b | 37.78 ± 1.99 b | 14.90 ± 2.74 a |
| 30 | 22.88 ± 0.81 a | 53.91 ± 0.05 a | 23.21 ± 0.75 c | / |
| Stir-Frying Time/min | Mw (g/mol) | Mn (g/mol) | Mp (g/mol) | PDI |
|---|---|---|---|---|
| 0 | (4.285 ± 1.217%) × 105 | (4.205 ± 1.269%) × 105 | (4.336 ± 1.079%) × 105 | 1.019 ± 1.758% |
| 10 | (4.840 ± 2.024%) × 105 | (4.742 ± 2.087%) × 105 | (4.675 ± 1.846%) × 105 | 1.021 ± 2.907% |
| 20 | (6.725 ± 1.040%) × 105 | (6.459 ± 1.055%) × 105 | (6.587 ± 1.000%) × 105 | 1.041 ± 1.481% |
| 30 | (9.350 ± 1.269%) × 105 | (8.825 ± 1.266%) × 105 | (8.977 ± 1.280%) × 105 | 1.059 ± 1.792% |
Disclaimer/Publisher’s Note: The statements, opinions and data contained in all publications are solely those of the individual author(s) and contributor(s) and not of MDPI and/or the editor(s). MDPI and/or the editor(s) disclaim responsibility for any injury to people or property resulting from any ideas, methods, instructions or products referred to in the content. |
© 2023 by the authors. Licensee MDPI, Basel, Switzerland. This article is an open access article distributed under the terms and conditions of the Creative Commons Attribution (CC BY) license (https://creativecommons.org/licenses/by/4.0/).
Share and Cite
Wang, X.; Lei, Y.; Rafique, H.; Zou, L.; Hu, X. Effect of Stir-Frying on Physicochemical and Functional Properties of Oat Protein Isolates. Foods 2023, 12, 2670. https://doi.org/10.3390/foods12142670
Wang X, Lei Y, Rafique H, Zou L, Hu X. Effect of Stir-Frying on Physicochemical and Functional Properties of Oat Protein Isolates. Foods. 2023; 12(14):2670. https://doi.org/10.3390/foods12142670
Chicago/Turabian StyleWang, Xia, Yang Lei, Hamad Rafique, Liang Zou, and Xinzhong Hu. 2023. "Effect of Stir-Frying on Physicochemical and Functional Properties of Oat Protein Isolates" Foods 12, no. 14: 2670. https://doi.org/10.3390/foods12142670
APA StyleWang, X., Lei, Y., Rafique, H., Zou, L., & Hu, X. (2023). Effect of Stir-Frying on Physicochemical and Functional Properties of Oat Protein Isolates. Foods, 12(14), 2670. https://doi.org/10.3390/foods12142670

