Sign in to use this feature.

Years

Between: -

Subjects

remove_circle_outline
remove_circle_outline
remove_circle_outline
remove_circle_outline
remove_circle_outline
remove_circle_outline
remove_circle_outline
remove_circle_outline
remove_circle_outline

Journals

Article Types

Countries / Regions

remove_circle_outline
remove_circle_outline
remove_circle_outline

Search Results (315)

Search Parameters:
Keywords = amylopectin

Order results
Result details
Results per page
Select all
Export citation of selected articles as:
11 pages, 1844 KB  
Article
Rapid and Efficient Creation of Sweet–Waxy Maize Germplasm via CRISPR/Cas9-Mediated Gene Editing of Sh2 and Wx
by Xiaolan Yan, Junnan Li, Huijian Liu, Wenfei Jia, Guojun Gao, Yongtian Qin, Longxiang Guan, Xiaxia Duan, Jialu Xu, Pingliang Zhou, Yucai Guo, Xuguang Li, Ling Yang, Hongyu Chen, Weihua Li, Pengshuai Yan, Qingqian Zhou, Zhiyuan Fu, Jihua Tang and Hongqiu Wang
Curr. Issues Mol. Biol. 2026, 48(4), 415; https://doi.org/10.3390/cimb48040415 - 17 Apr 2026
Viewed by 190
Abstract
Sweet–waxy maize is a highly valuable specialty maize type with an increasing market demand, but conventional breeding methods for producing sweet–waxy maize are restricted by severe bottlenecks, such as long breeding cycles and linkage drag. This study was conducted to rapidly create sweet–waxy [...] Read more.
Sweet–waxy maize is a highly valuable specialty maize type with an increasing market demand, but conventional breeding methods for producing sweet–waxy maize are restricted by severe bottlenecks, such as long breeding cycles and linkage drag. This study was conducted to rapidly create sweet–waxy maize germplasm using CRISPR/Cas9 genome-editing technology. We used a CRISPR/Cas9 system to target maize Sh2 (regulating the super-sweet kernel trait) and Wx (controlling the waxy kernel trait), which are two key genes in the starch biosynthesis pathway. Two small-guide RNAs (sgRNAs) designed for each gene were incorporated into CRISPR/Cas9 vectors, which were then introduced into maize via Agrobacterium-mediated transformation. We obtained Cas9-free T3 homozygous sh2 and wx mutant lines with significant increases in kernel soluble sugar and amylopectin contents, respectively, but no adverse changes to major agronomic traits. Using these Cas9-free lines, we developed a new type of sweet–waxy maize germplasm, in which waxy and sweet kernels on the same ear segregated at a 3:1 ratio. Our results indicate that CRISPR/Cas9-mediated editing of Sh2 and Wx can efficiently generate sweet–waxy maize germplasm with no detectable linkage drag. The study methods would be useful for optimizing the molecular breeding of novel and innovative maize germplasm. Full article
Show Figures

Figure 1

19 pages, 4749 KB  
Article
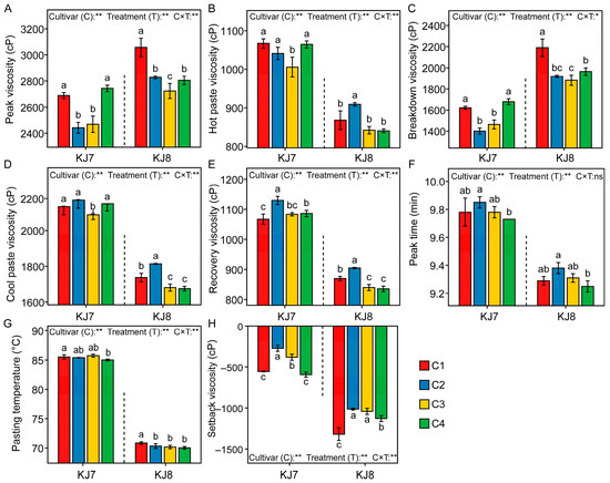
Responses of Japonica Rice Quality Indicators and Starch Properties to Low Temperature at Different Periods of the Grain-Filling Stage in Cold Regions
by Mingyu Fan, Miao Hou, Fanxu Meng, Wenxuan Dai, Chuanming Yang and Hongyu Li
Foods 2026, 15(8), 1355; https://doi.org/10.3390/foods15081355 - 13 Apr 2026
Viewed by 373
Abstract
Low temperature during grain filling is a major constraint affecting rice quality in cold regions. This study investigated how low temperature influences rice quality and starch characteristics at different periods of the grain-filling stage using two Japonica rice cultivars, Kenjing 7 (KJ7, moderate [...] Read more.
Low temperature during grain filling is a major constraint affecting rice quality in cold regions. This study investigated how low temperature influences rice quality and starch characteristics at different periods of the grain-filling stage using two Japonica rice cultivars, Kenjing 7 (KJ7, moderate stress tolerance) and Kenjing 8 (KJ8, strong stress tolerance). Low-temperature treatments (17/13 °C, day/night) were applied during the early (5–11 days after anthesis), middle (12–18 days), and late (19–25 days) grain-filling stages and milling, appearance, nutritional, eating and cooking qualities as well as starch physicochemical properties were evaluated. Responses differed markedly between cultivars and treatment periods. Under low-temperature conditions, brown rice and milled rice rates of KJ8 increased during the early and middle grain-filling stages, whereas those of KJ7 declined during the late stage. Low-temperature stress increased protein, total starch, and amylose contents, while reducing gel consistency and the taste value of KJ7. Grain chalkiness increased significantly during the late stage, whereas during the early and middle stages, grain chalkiness, peak viscosity, and breakdown decreased and setback increased. Low temperature increased starch granule size and the proportions of short and intermediate chains of amylopectin, reduced medium-long and long chain and relative crystallinity, without altering starch crystalline type, and produced uneven starch particle surfaces with small pores. These effects were most pronounced during the late grain-filling stage. Overall, low temperature altered starch content and structure, thereby modifying pasting properties and ultimately leading to differences in rice quality. Full article
(This article belongs to the Section Food Quality and Safety)
Show Figures

Figure 1

22 pages, 6313 KB  
Article
Effects of Nitrogen Fertilizer Levels on Rice Quality and Starch Properties of Common and Glutinous Japonica Rice: Implications for Sustainable Nitrogen Management
by Dongxu Han, Baiwen Jiang and Xingyu You
Sustainability 2026, 18(8), 3828; https://doi.org/10.3390/su18083828 - 13 Apr 2026
Viewed by 380
Abstract
Optimizing nitrogen (N) fertilizer application within conventional rice production systems remains essential for improving grain quality while avoiding inefficient resource use. This study examined how different N application levels influence rice quality, starch structure, and physicochemical properties in two japonica rice types cultivated [...] Read more.
Optimizing nitrogen (N) fertilizer application within conventional rice production systems remains essential for improving grain quality while avoiding inefficient resource use. This study examined how different N application levels influence rice quality, starch structure, and physicochemical properties in two japonica rice types cultivated under cold-region conditions in Northeast China. Using two cultivars, common japonica rice ‘Putian 1498’ and glutinous japonica rice ‘Longjing 57’, four nitrogen levels were established under machine-transplanting conditions: N0 (0 kg/hm2), N1 (80 kg/hm2), N2 (135 kg/hm2), and N3 (190 kg/hm2). The results indicate that increasing nitrogen application differentially affected the milling quality of the two rice types: it reached its maximum at the N1 level for common japonica rice and at the N3 level for glutinous japonica rice. However, the taste value decreased and chalkiness increased in both types. Regarding starch properties, increased nitrogen application led to rougher starch granule surfaces, a decrease in large granules, and an increase in medium and small granules. Starch content decreased, and the amylose-to-amylopectin ratio declined. Relative crystallinity increased, while the FTIR ratio of 1045/1022 cm−1 decreased. Solubility showed an increasing trend, whereas swelling power exhibited the opposite trend. The gelatinization enthalpy and pasting temperatures were positively correlated with nitrogen rate, whereas retrogradation degree showed a negative correlation. These results demonstrate that nitrogen application regulates rice quality through changes in starch structure and physicochemical properties, with distinct responses between common and glutinous japonica rice. Moderate nitrogen input improves milling quality, but excessive application reduces eating quality, indicating a trade-off between processing performance and consumer-oriented quality. This study provides mechanistic evidence to support more precise nitrogen management in conventional rice systems, contributing to improved resource-use efficiency without overstating broader sustainability claims. In conclusion, moderate nitrogen application optimizes rice quality by balancing milling performance and eating quality through its effects on starch structure, whereas excessive nitrogen input leads to quality deterioration and inefficient resource use. Full article
(This article belongs to the Section Sustainable Agriculture)
Show Figures

Figure 1

18 pages, 2467 KB  
Article
Physicochemical, Pasting and Thermal Properties of the Starch of Three Varieties of Yam (Dioscorea spp.) as Potential Food Ingredients
by Mildreth Cordero-Herrera, José Benítez-Lobo, Claudia De Paula, Ricardo Andrade-Pizarro, Piedad Montero-Castillo, Diofanor Acevedo-Correa, Jhon Rodríguez-Meza and Alba Durango-Villadiego
Polymers 2026, 18(8), 943; https://doi.org/10.3390/polym18080943 - 12 Apr 2026
Viewed by 574
Abstract
Yam starch accounts for 70–80% of its dry matter, and its physicochemical and technofunctional properties are crucial for its use in the food industry (gelling agent, thickener, and stabilizer). The objective of this study focuses on the physicochemical, pasting and thermal properties of [...] Read more.
Yam starch accounts for 70–80% of its dry matter, and its physicochemical and technofunctional properties are crucial for its use in the food industry (gelling agent, thickener, and stabilizer). The objective of this study focuses on the physicochemical, pasting and thermal properties of starch extracted from the yam varieties Dioscorea cayenensis, Dioscorea alata, and Dioscorea rotundata. The proximal composition, amylose and amylopectin content, as well as their functional properties (absorption index, solubility, swelling, thermal and pasting behavior, morphology, and color) were analyzed. The results showed that the starch extraction yield varied between varieties, being highest in D. cayenensis with 14.14%. D. alata had the highest starch (82.24%) and amylose (34.69%) content, which gives it greater gel firmness and retrogradation potential, as well as the best techno-functional properties water absorption index (2.46 g/g), water solubility index (1.1%), and swelling power (2.54 g/g). D. cayenensis stands out for its high amylopectin content (69.62%) and brightness (96.89), reflecting greater starch whiteness. D. rotundata has an intermediate balance between amylose and amylopectin, which makes it versatile. The proximal composition and techno-functional properties of yam starch position it as a promising raw material for the food industry, especially in the manufacture of thickeners, gelling agents, and in bakery products, pasta and noodles. Full article
Show Figures

Figure 1

17 pages, 10135 KB  
Article
Physicochemical Properties of Starch from High-Quality Hybrid Indica Rice: Insights from National High-Quality Rice Gold Award Chinese Varieties
by Yumei Wang, Jiale Wu, Xingeng Wu, Yanhua Zeng, Yongjun Zeng, Feiyu Tang and Xiaobing Xie
Foods 2026, 15(8), 1335; https://doi.org/10.3390/foods15081335 - 11 Apr 2026
Viewed by 338
Abstract
The physicochemical properties of starch in high-quality hybrid indica rice (HQR) varieties that have received the National High-Quality Rice Gold Award are not well characterized. Ten HQR and two ordinary-quality indica rice (OQR) varieties were selected for this study. All varieties were identically [...] Read more.
The physicochemical properties of starch in high-quality hybrid indica rice (HQR) varieties that have received the National High-Quality Rice Gold Award are not well characterized. Ten HQR and two ordinary-quality indica rice (OQR) varieties were selected for this study. All varieties were identically cultivated under late-season conditions in southern China and were subsequently analyzed for differences in taste-related attributes, amylopectin fine structure, and functional properties. Compared with OQR varieties, HQR varieties exhibited a distinct starch profile: lower amylose (16.6–20.2%) but higher amylopectin content (62.6–65.0%), a greater proportion of small and medium starch granules, and a higher ratio of A and B1 chains in amylopectin (with few exceptions). Functionally, HQR varieties showed significantly (p < 0.05) higher gel consistency, solubility, and swelling power, along with higher breakdown but lower setback. They also generally exhibited higher crystallinity and gelatinization enthalpy, alongside a softer texture. Notably, the functional properties showed strong correlations (p < 0.05) with most taste-related attributes and amylopectin fine structures across all varieties. These findings provide critical guidance for future breeding programs aimed at improving the quality of indica rice and developing new elite HQR varieties. Full article
Show Figures

Figure 1

16 pages, 6483 KB  
Article
Occurrence of a New Apicomplexan Intracellular Parasite in the Digestive Gland of Bulla striata (Gastropoda: Cephalaspidea) from the South Coast of Portugal
by Sónia Rocha and Alexandre Lobo-da-Cunha
J. Mar. Sci. Eng. 2026, 14(8), 707; https://doi.org/10.3390/jmse14080707 - 10 Apr 2026
Viewed by 345
Abstract
A new intracellular parasite of the phylum Apicomplexa is described infecting the digestive gland of the gastropod Bulla striata from the south coast of Portugal. Only merogonial stages enclosed within parasitophorous vacuoles were observed by light and electron microscopy. The meront cytoplasm contained [...] Read more.
A new intracellular parasite of the phylum Apicomplexa is described infecting the digestive gland of the gastropod Bulla striata from the south coast of Portugal. Only merogonial stages enclosed within parasitophorous vacuoles were observed by light and electron microscopy. The meront cytoplasm contained lipid droplets, rough endoplasmic reticulum cisternae, and several round or oval electron-dense microbodies closely associated with amylopectin granules, suggesting that these microbodies may represent glycosomes. Mitochondria or related organelles were not identified. A reticulum of branched tubules extending from the parasitophorous vacuole membrane was observed, likely increasing the surface available for metabolite exchange between parasite and host cell. Merozoites resulting from meront division were present within the parasitophorous vacuoles. They were elongated and slightly curved, measuring 7–8 µm in length and about 2 µm in width, and possessed an apical complex comprising numerous rod-shaped micronemes, rhoptries, and a conoid. Phylogenetic analyses based on a partial 18S rDNA sequence placed this parasite within the coccidian lineage, at the base of the ichthyocolid clade, a recently recognized group of apicomplexans previously known from fish blood cells. This finding expands the host range of ichthyocolids to gastropods and provides the first ultrastructural observations of this lineage, although only of merogonic stages. Full article
(This article belongs to the Special Issue Parasitology of Marine Animals)
Show Figures

Graphical abstract

23 pages, 2315 KB  
Article
Carbon–Nitrogen Metabolism Associated with Appearance Quality in Superior and Inferior Grains of Soft and Non-Soft Japonica Rice in Southern China
by Xi Chen, Jianghui Yu, Ying Zhu, Guodong Liu, Guangyan Li, Fangfu Xu, Qun Hu, Jiale Cao, Hongcheng Zhang and Haiyan Wei
Plants 2026, 15(8), 1155; https://doi.org/10.3390/plants15081155 - 9 Apr 2026
Viewed by 348
Abstract
To investigate the differences in carbon and nitrogen metabolism between superior and inferior grains of southern soft and non-soft japonica rice and their relationships with appearance quality, the metabolic characteristics and appearance quality of superior and inferior grains during the grain-filling stage were [...] Read more.
To investigate the differences in carbon and nitrogen metabolism between superior and inferior grains of southern soft and non-soft japonica rice and their relationships with appearance quality, the metabolic characteristics and appearance quality of superior and inferior grains during the grain-filling stage were compared between the two rice types. The results showed that, compared with non-soft japonica rice, the activities of AGPase and GBSS in superior grains of soft rice were significantly lower, whereas the activities of SSS, SBE, and DBE were significantly higher. The amylose content decreased by 32.68–44.72%, while amylopectin increased by 7.27–10.73%. The limitation in carbon metabolism was more pronounced in inferior grains, and the non-structural carbohydrate content was 9.33–17.33% lower than that in superior grains. In terms of nitrogen metabolism, GS activity decreased whereas GOGAT activity increased in superior grains, resulting in a 6.28–8.38% increase in protein content. The protein content of inferior grains was 1.75–6.44% higher than that of superior grains. In addition, the chalky grain rate and chalkiness degree of superior grains in soft rice were 79.00–481.03% higher than those in non-soft japonica rice, while the increases in inferior grains ranged from 67.51% to 136.31%. Correlation analysis indicated that the chalky grain rate of superior grains was positively correlated with starch content during the early grain-filling stage, whereas the chalkiness degree of inferior grains was positively correlated with protein content. These results suggest that differences in carbon and nitrogen metabolism between grain positions are closely associated with the formation of appearance quality. Full article
Show Figures

Figure 1

22 pages, 13137 KB  
Article
Effects of High Temperature and Nitrogen Fertilizer on the Carbon and Nitrogen Metabolism Characteristics of Rice Varieties with Differing Taste Stability
by Ke Ma, Yuanyuan Zhou, Yao Ma, Zexin Qi and Heping Xu
Plants 2026, 15(7), 1006; https://doi.org/10.3390/plants15071006 - 25 Mar 2026
Viewed by 416
Abstract
Temperature and nitrogen fertilizer are key environmental factors that significantly affect rice growth and grain quality. There remains a lack of systematic research on the effects of temperature and nitrogen fertilizer on carbon–nitrogen metabolism during grain-filling, and consequently on the taste quality of [...] Read more.
Temperature and nitrogen fertilizer are key environmental factors that significantly affect rice growth and grain quality. There remains a lack of systematic research on the effects of temperature and nitrogen fertilizer on carbon–nitrogen metabolism during grain-filling, and consequently on the taste quality of rice varieties with different taste characteristics. To bridge this gap, pot experiments were conducted under different temperature and nitrogen fertilizer conditions to investigate the changes in carbon and nitrogen metabolism and the quality of different high-quality and stable-taste rice varieties during the grain filling stage. Our research results indicate that high-temperature conditions inhibit both carbon and nitrogen metabolism; however, the variations differ among rice varieties with differing taste stability. Under both normal and high nitrogen levels, compared to Akita Komachi (AK), a variety with poor taste stability, Jikedao 606 (J 606), a variety with strong taste stability, maintained a certain photosynthetic capacity under high-temperature conditions, with smaller decreases in net photosynthetic rate and soil–plant analysis development values, declining by 4.30–5.59% and 4.30–5.59% respectively. The decline in the activities of nitrate reductase, glutamine synthetase, and glutamate synthase in nitrogen metabolism was relatively small; in comparison, the decrease in the activities of ADP-glucose pyrophosphorylase, granule-bound starch synthase, starch branching enzyme, and starch debranching enzyme in carbon metabolism was comparatively minor. The content of amylose and amylopectin in the grains was maintained, improving the milled rice rate and head rice rate, thereby ensuring strong stability of excellent sensory quality. Under both high-temperature and high-nitrogen conditions, the yields of the two rice varieties were maintained. In summary, variations exist in carbon and nitrogen metabolism among different rice varieties with stable excellent taste under varying temperature and nitrogen fertilizer conditions. These metabolic differences affect starch synthesis in the endosperm, ultimately influencing the stability of rice sensory quality. This study provides a theoretical basis for nitrogen fertilizer application under high-temperature conditions and the cultivation of rice varieties with excellent taste stability. Full article
(This article belongs to the Special Issue Genetic and Metabolic Insights into Crop Improvement)
Show Figures

Figure 1

30 pages, 27104 KB  
Article
New Insight into the Multi-Scale Structure and Anti-Digestibility of Nano-Scale Amylopectin Ternary Assemblies Prepared Under High-Power Ultrasound
by Bo Li, Yanjun Zhang, Zuohua Xie, Lixiang Zhou, Yanru Zhou, Xin Yang and Weihong Lu
Foods 2026, 15(6), 1021; https://doi.org/10.3390/foods15061021 - 14 Mar 2026
Viewed by 367
Abstract
High-power ultrasound has been widely used to regulate the anti-digestibility of starch-based products, including the formation of resistant starch (RS-V) in amylopectin assemblies. This can contribute to the attenuation of postprandial hyperglycemia. However, the mechanisms by which high-power ultrasound modulates RS-V remain to [...] Read more.
High-power ultrasound has been widely used to regulate the anti-digestibility of starch-based products, including the formation of resistant starch (RS-V) in amylopectin assemblies. This can contribute to the attenuation of postprandial hyperglycemia. However, the mechanisms by which high-power ultrasound modulates RS-V remain to be elucidated. Therefore, nano-scale Euryale ferox amylopectin (EFA) ternary assemblies were constructed under high-power ultrasound. All EFA assemblies exhibited ternary self-assembly peaks and V-type crystallinity. Combined chemometric analyses revealed that, with increasing ultrasound power, the rising self-assembly sites within B2 and C chains promoted the increase in self-assembly index but decreased semicrystalline lamellae thickness and structural fractal dimension. Consequently, a compact and ordered molecular cross-linking network was formed, contributing to increases in residual crystallinity, molecular weight, short-range order, and molecular density. This resulted in the shrinkage of digestion channel structures and optimization of the molecular gel network. As a result, the reduction in hydrolysis sites with increasing ultrasound power led to increased RS-V content (22.66–60.17%), causing a decline in the estimated glycemic index. The EFA–lauric acid–lactoglobulin assemblies prepared under 600 W ultrasound were the optimal composition and exhibited enhanced anti-digestibility relative to amylopectin assemblies derived from staple crops such as white waxy maize. The present investigation not only serves as a valuable supplement for studying the precise regulation mechanisms of nano-scale amylopectin RS-V, but also provides critical theoretical guidance for the development of foods aimed at preventing hyperglycemia. Full article
Show Figures

Figure 1

13 pages, 1132 KB  
Article
Impact of Storage Duration on the Structural and Functional Properties of Starch in Spicy Strips
by Yujing Ding, Hongling Chao, Xiutian Li, Yang Li, Mingfei Li, Xiaowei Zhang, Shiyuan Miao, Yujie Lu and Dube Nhlanhla Mtelisi
Foods 2026, 15(5), 826; https://doi.org/10.3390/foods15050826 - 2 Mar 2026
Viewed by 359
Abstract
The effects of storage time on the characteristics of starch in spicy strips were investigated. Techniques including differential scanning calorimetry (DSC), thermogravimetric analysis (TGA), and X-ray diffraction (XRD) were employed to analyze the gelatinization properties, thermal characteristics, crystal structure, moisture distribution, and quality [...] Read more.
The effects of storage time on the characteristics of starch in spicy strips were investigated. Techniques including differential scanning calorimetry (DSC), thermogravimetric analysis (TGA), and X-ray diffraction (XRD) were employed to analyze the gelatinization properties, thermal characteristics, crystal structure, moisture distribution, and quality changes of spicy strips under different storage periods (0, 60, 120, and 180 days). The results demonstrated that prolonged storage led to a significant decrease in peak viscosity and an increase in setback value, indicating enhanced starch retrogradation. DSC analysis revealed a continuous increase in enthalpy change (ΔH), confirming the formation of more ordered double-helix structures over time. TGA revealed a shift in thermal degradation profiles, indicating changes in component interactions and moisture-binding capacity over storage. XRD patterns showed a clear transition from A-type to V-type crystals and finally to an amorphous state after 180 days. Consequently, solubility, swelling power, and amylose leaching were markedly inhibited, while the retrogradation rate of amylopectin became dominant during long-term storage. These findings provide insights into starch retrogradation mechanisms in complex snack matrices and offer guidance on mitigating quality deterioration during the shelf life of spicy strips. Full article
Show Figures

Figure 1

24 pages, 24645 KB  
Article
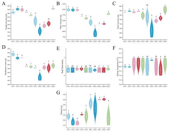
Study on the Regulation of Nitrogen Fertilizer on the Physicochemical Properties and Metabolic Characteristics of Starch in Waxy and Non-Waxy Proso Millet
by Jiao Mao, Jing Yang, Mengyao Wang, Meili Qin, Sichen Liu, Zhan Wang and Xiaoning Cao
Agronomy 2026, 16(5), 505; https://doi.org/10.3390/agronomy16050505 - 25 Feb 2026
Viewed by 350
Abstract
Proso millet (Panicum miliaceum L.) has the characteristics of being drought-resistant and tolerant to poor soil conditions and a high nitrogen (N) utilization rate. It is an ideal crop for studying stress tolerance and nitrogen utilization. This research examined the regulatory effects [...] Read more.
Proso millet (Panicum miliaceum L.) has the characteristics of being drought-resistant and tolerant to poor soil conditions and a high nitrogen (N) utilization rate. It is an ideal crop for studying stress tolerance and nitrogen utilization. This research examined the regulatory effects of different N fertilizer treatments (0, 75, 150, 225, 300 kg·ha−1) on starch physicochemical properties and metabolic characteristics of waxy (Wutai Red proso millet, P1) and non-waxy proso millet (Ningmi No. 9, P2). The results showed that peak yields for P1 and P2 occurred at N applications of 225 kg·ha−1 and 150 kg·ha−1, respectively. As the amount of N applied increased, the proportion of long chains in P1 amylopectin first increased and then decreased, while P2 continued to rise. As the amount of N applied increased, the peak viscosity of P1 gradually decreased, while P2 showed a trend of first decreasing and then increasing. Metabolomics identified 814 metabolites including nonivamide in P1 and P2 under different N treatments. Under the suitable N fertilizer treatment, 130 metabolites, including myristoleic acid, arachidonic acid, and thromboxane B2, were identified in P1, and 98 metabolites, such as trigonelline, 16-hydroxyhexadecanoic acid, and p-anisaldehyde, were identified in P2. Suitable N regulated P1′s starch physicochemical properties via the tricarboxylic acid cycle, glyoxylate and dicarboxylate, and purine and one-carbon metabolism pathways, and P2′s via purine metabolism pathways. This research provides a theoretical basis for the efficient utilization of N fertilizer in proso millet and the cultivation of high-yield and high-quality millet. Full article
(This article belongs to the Special Issue Plant Stress Tolerance: From Genetic Mechanism to Cultivation Methods)
Show Figures

Figure 1

27 pages, 1329 KB  
Review
Hydrophobicity Strategies of Starch-Based Films: Recent Advances and Perspectives
by Elsa F. Vieira, Tomás Amaral, Valentina F. Domingues and Cristina Delerue-Matos
Polymers 2026, 18(4), 490; https://doi.org/10.3390/polym18040490 - 15 Feb 2026
Viewed by 1049
Abstract
The rapid accumulation of plastic waste and the depletion of fossil resources have intensified global efforts to develop biodegradable polymeric materials derived from renewable feedstocks. In this context, starch-based films have emerged as one of the most promising alternatives to conventional petroleum-based plastics, [...] Read more.
The rapid accumulation of plastic waste and the depletion of fossil resources have intensified global efforts to develop biodegradable polymeric materials derived from renewable feedstocks. In this context, starch-based films have emerged as one of the most promising alternatives to conventional petroleum-based plastics, owing to their wide availability, low cost, biodegradability, and ability to form continuous films using simple and scalable processing techniques. Starch is a naturally occurring polysaccharide composed primarily of amylose and amylopectin, whose molecular structure is rich in hydroxyl (–OH) groups. These functional groups promote extensive intermolecular hydrogen bonding, enabling starch gelatinization and film formation in aqueous systems. However, the same hydroxyl-rich structure confers a pronounced hydrophilic character, resulting in high moisture sensitivity, poor water vapor barrier properties, and limited dimensional stability under humid. Consequently, improving the hydrophobicity of starch-based films remains one of the most critical challenges for their practical application in food packaging. This review aims to summarize and critically discuss the main strategies reported for improving the hydrophobicity of starch-based films. The review focuses on composition and processing approaches, including (i) chemical modification of starch, (ii) incorporation of hydrophobic additives, (iii) reinforcement with natural fibers and nanocellulosic materials, (iv) polymer blending and multilayer/gradient architectures, and (v) processing strategies, including film homogenization, shear treatment and aging conditions. Emphasis is placed on the mechanisms governing hydrophobicity enhancement, comparative performance indicators, and current limitations. Full article
(This article belongs to the Special Issue Sustainable Polymers in Waste Management and Recycling)
Show Figures

Figure 1

20 pages, 3995 KB  
Article
Role of Starch Type in Gel-like Network Formation of Extruded Meat Analogs
by Chaeyeon Kang, Ayeon Han and Bon-Jae Gu
Gels 2026, 12(1), 94; https://doi.org/10.3390/gels12010094 - 22 Jan 2026
Cited by 2 | Viewed by 614
Abstract
Starches play a crucial role in determining the expansion, texture, and structural development of extruded meat analogs through their gelatinization behavior and interactions with proteins. In this study, corn, pea, tapioca, sweet potato, and potato starches were incorporated into soy protein-based formulations and [...] Read more.
Starches play a crucial role in determining the expansion, texture, and structural development of extruded meat analogs through their gelatinization behavior and interactions with proteins. In this study, corn, pea, tapioca, sweet potato, and potato starches were incorporated into soy protein-based formulations and processed under low-moisture and high-moisture extrusion conditions to investigate starch-dependent physicochemical properties. Amylose/amylopectin composition and starch pasting properties were evaluated, and the resulting extrudates were characterized in terms of expansion behavior, water-related properties, textural attributes, and internal structure. Distinct differences in pasting behavior were observed among starches, with potato starch exhibiting high peak viscosity and pea starch showing strong viscosity development during cooling. These differences were closely associated with extrusion outcomes, influencing expansion ratio and texture formation. In low-moisture extrusion, starches susceptible to thermal and shear degradation showed increased solubilization, whereas in high-moisture extrusion, enhanced starch gelatinization promoted starch–protein interactions and contributed to improved textural integrity and structural alignment. Overall, the results demonstrate that starch type is a key determinant of expansion behavior, texture, and structural organization in extruded meat analogs, highlighting the importance of starch selection and processing conditions for tailoring product quality. Full article
Show Figures

Figure 1

17 pages, 1810 KB  
Article
Nutrients and Bioactive Compounds in Peruvian Pacay (Inga feuilleei D.C.)
by Mario Cotacallapa-Sucapuca, Rosa M. Cámara, María Ciudad-Mulero, Genciana Serruto-Medina, Romualdo Vilca-Curo, Claudia Arribas, Mercedes M. Pedrosa, Patricia Morales and Montaña Cámara
Foods 2026, 15(2), 278; https://doi.org/10.3390/foods15020278 - 12 Jan 2026
Viewed by 777
Abstract
Pacay (Inga feuilleei D.C.) is a species native to Peru. To the author’s knowledge, the only information found in the literature reference of the chemical composition of the pacay’s edible part (fruit) corresponds to the Peruvian table of food composition of the [...] Read more.
Pacay (Inga feuilleei D.C.) is a species native to Peru. To the author’s knowledge, the only information found in the literature reference of the chemical composition of the pacay’s edible part (fruit) corresponds to the Peruvian table of food composition of the Ministry of Health. Considering the lack of information on this important plant, this study aims to (1) compare the nutritional profiles of the Limeña and Corriente varieties, (2) evaluate the distribution of bioactive compounds across the fruit’s principal fractions (pulp, seed, and peel/mesocarp), and (3) determine the antioxidant capacity and bioactives associated with each fraction. Results showed clear differences both between plant tissues and between genotypes. The edible part showed high amounts of carbohydrates (84–87%), seeds are rich in protein (18–21%), and peels are rich in fiber (around 34%). Amylopectin was the majority starch fraction (86%) found in pacay seeds. All pacay fractions stand out for their high content of total polyphenols, being higher in the case of the peel (1843 mg GAE/100 g). Hydroxycinnamic acids content (40–136 mg FAE/100 g) was higher than the flavonols (18–50 mg GAE/100 g), and both were present in higher amounts in the case of the seed fraction. These findings could be important to enhance the knowledge about this species and its revalorization as functional ingredients to be used in food formulation. Full article
(This article belongs to the Special Issue Health Benefits of Bioactive Compounds from Vegetable Sources)
Show Figures

Figure 1

18 pages, 2321 KB  
Article
Clean-Label Starch Modifications: Dry Heat Treatment in Combination with Ion Exchange
by Johanna A. Thomann, Michael Polhuis, Jan O. P. Broekman, Hero J. Heeres and André Heeres
Foods 2026, 15(2), 246; https://doi.org/10.3390/foods15020246 - 9 Jan 2026
Viewed by 556
Abstract
Potato starch offers the unique potential of mineral enrichment through the presence of phosphorylated amylopectin chains. This property was utilised in a straightforward dual modification of native potato starch by combining mineral enrichment with dry heat treatments (DHT). DHT itself (110–130 °C, 3–6% [...] Read more.
Potato starch offers the unique potential of mineral enrichment through the presence of phosphorylated amylopectin chains. This property was utilised in a straightforward dual modification of native potato starch by combining mineral enrichment with dry heat treatments (DHT). DHT itself (110–130 °C, 3–6% moisture, 2 h) affords potato starches with lower viscosity and gelatinisation temperatures and higher contents of digestible starch. Prior ion exchange with Na+, K+, Mg2+, and Ca2+ enhanced the versatility of dry heat treatments. This study demonstrates the fine-tuning of functional properties (rheology) of these novel, dual-modified starches. Of special interest are magnesium and calcium due to their nutritional value and their valency, allowing ionic cross-linking. The present study contributes to the understanding of starch–ion interactions in DHT, clearly highlighting the role of specific ion effects, as per the Hofmeister series (K+ > Na+ and Ca2+ > Mg2+), in addition to the reversible ionic cross-linking effect of divalent cations. This knowledge is of use for potential substitution of chemically modified starches in food products, serving relevant trends and needs of today’s food industry for clean-label starches. Full article
(This article belongs to the Special Issue Starch: Properties and Functionality in Food Systems)
Show Figures

Figure 1

Back to TopTop