Sign in to use this feature.

Years

Between: -

Subjects

remove_circle_outline
remove_circle_outline
remove_circle_outline
remove_circle_outline
remove_circle_outline
remove_circle_outline
remove_circle_outline
remove_circle_outline
remove_circle_outline

Journals

Article Types

Countries / Regions

remove_circle_outline
remove_circle_outline
remove_circle_outline

Search Results (351)

Search Parameters:
Keywords = modified atmosphere packaging

Order results
Result details
Results per page
Select all
Export citation of selected articles as:
20 pages, 3170 KB  
Article
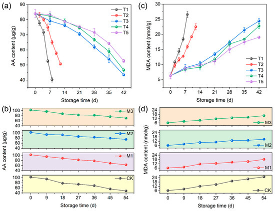
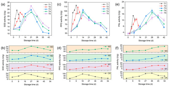
From Synergistic Preservation to Shelf-Life Prediction: Optimizing Storage Conditions for Kyoho Grapes with Subzero Temperature and Modified Atmosphere
by Anqi Ji, Shaoyu Tao, Zhaoyang Ding and Jing Xie
Processes 2026, 14(6), 1008; https://doi.org/10.3390/pr14061008 - 21 Mar 2026
Viewed by 38
Abstract
Kyoho grape, a leading table grape variety in China, is prone to rapid postharvest deterioration due to its soft texture and high respiration rate. Despite the use of low-temperature storage and modified atmosphere packaging (MAP), systematic studies defining the optimal combination of subzero [...] Read more.
Kyoho grape, a leading table grape variety in China, is prone to rapid postharvest deterioration due to its soft texture and high respiration rate. Despite the use of low-temperature storage and modified atmosphere packaging (MAP), systematic studies defining the optimal combination of subzero temperature and gas composition for Kyoho grapes remain lacking. This study aimed to fill this gap by evaluating the synergistic effects of subzero temperature and MAP on quality preservation. Results demonstrated that storage at −1 °C most effectively maintained fruit firmness, stem freshness, and key biochemical components. Based on this temperature, a gas composition of 3% O2, 15% CO2, and 82% N2 was identified as the most effective, extending postharvest shelf life to 54 days. Additionally, a kinetic shelf-life prediction model based on firmness changes was developed with relative errors below 10%, demonstrating high accuracy. This study establishes an integrated preservation strategy combining subzero temperature (−1 °C) and optimized MAP (3% O2, 15% CO2, 82% N2) that significantly extends the shelf life of Kyoho grapes, providing a practical solution for enhancing postharvest quality. Full article
(This article belongs to the Special Issue Development of Innovative Processes in Food Engineering)
Show Figures

Graphical abstract

18 pages, 801 KB  
Article
Clean-Label Preservation of Refrigerated Bluefin Tuna Using Astaxanthin: Effects of Immersion Treatments and Packaging Conditions
by Antonio Fernando Ramírez-Fajardo and José Luis Guil-Guerrero
Appl. Sci. 2026, 16(6), 2963; https://doi.org/10.3390/app16062963 - 19 Mar 2026
Viewed by 16
Abstract
Fresh bluefin tuna is highly susceptible to quality deterioration during refrigerated storage due to lipid oxidation and microbial activity, creating a need for effective clean-label preservation strategies. This study evaluated the efficacy of natural astaxanthin as an antioxidant treatment to improve the refrigerated [...] Read more.
Fresh bluefin tuna is highly susceptible to quality deterioration during refrigerated storage due to lipid oxidation and microbial activity, creating a need for effective clean-label preservation strategies. This study evaluated the efficacy of natural astaxanthin as an antioxidant treatment to improve the refrigerated stability of fresh bluefin tuna (Thunnus thynnus) fillets stored under vacuum packaging (VP) or modified atmosphere packaging (MAP; 70% N2/30% CO2). Tuna fillets were treated by short immersion in astaxanthin solutions (10–20 mg/L), applied alone or in combination with other natural antioxidants, including ascorbic acid, and compared with a rosemary–ascorbic acid reference system. Selected treatments incorporated microencapsulated astaxanthin to enhance antioxidant stability. Quality changes were monitored during refrigerated storage (4 °C) through sensory evaluation (appearance, colour, and odour), total volatile basic nitrogen (TVBN), histamine determination, and microbiological analyses. Astaxanthin-treated samples exhibited improved colour stability, delayed sensory deterioration, and significantly lower TVBN accumulation compared with the rosemary–ascorbic acid reference treatment. Under MAP conditions, astaxanthin reduced TVBN values by approximately 20% after 12 days of storage, while microencapsulated astaxanthin combined with ascorbic acid achieved reductions of up to 30% under vacuum packaging. All selected treatments complied with regulatory microbiological and histamine limits throughout storage. These results indicate that natural astaxanthin, particularly in microencapsulated formulations, can enhance quality stability of fresh bluefin tuna when applied in combination with oxygen-limiting packaging systems under controlled refrigerated conditions. The findings provide a scientific basis for further investigation of astaxanthin-based preservation strategies in high-value seafood products. Full article
(This article belongs to the Special Issue Advanced Food Processing Technologies and Food Quality: 2nd Edition)
Show Figures

Figure 1

26 pages, 5581 KB  
Article
Combined Effects of Gas Composition in Modified Atmosphere Packaging and Chitooligosaccharide-EGCG on Quality Changes in Refrigerated Asian Hard Clam Meat
by Ajay Mittal, Claret Shalini D’souza, Mohammad Fikry, Matsapume Detcharoen, Soottawat Benjakul, Feby Luckose, Nurul Huda, Premy Puspitawati Rahayu and Avtar Singh
Foods 2026, 15(6), 1026; https://doi.org/10.3390/foods15061026 - 15 Mar 2026
Viewed by 175
Abstract
The influence of different gas compositions in modified atmospheric packaging (MAP) without and with chitooligosaccharide-EGCG (CE) conjugate on storage stability of Asian hard clam (HC) meat during storage at 4 °C was studied. Microbial load of HC meat was <5 log CFU/g when [...] Read more.
The influence of different gas compositions in modified atmospheric packaging (MAP) without and with chitooligosaccharide-EGCG (CE) conjugate on storage stability of Asian hard clam (HC) meat during storage at 4 °C was studied. Microbial load of HC meat was <5 log CFU/g when packaged under MAP, regardless of treatment, up to 18 days of storage, whereas control exceeded viable bacterial count (6 log CFU/g) on day 9. The lowest microbial load, volatile bases, and lipid oxidation were obtained in HC meat pretreated with 600 ppm of CE conjugate and MAP (80% CO2/20% O2) (MAP4-CE) (p < 0.05). Correlation heatmap analysis showed that a high-CO2/low-O2 atmosphere was the primary determinant of reduced Pseudomonas growth and lipid oxidation in HC meat, whereas the CE conjugate conferred only minor oxidation and nitrogenous spoilage indices. HC packed under MAP exhibited higher cooking and drip loss, along with increased toughness and firmness, irrespective of treatment. PUFA of MAP4-CE was retained during 18 days of storage. High-CO2, with or without CE, redirected the microbial diversity toward CO2-tolerant taxa. Overall, MAP4-CE had an extended shelf-life of at least 18 days while better preserving lipid quality and delayed growth of spoilage bacteria. Full article
(This article belongs to the Section Food Packaging and Preservation)
Show Figures

Figure 1

22 pages, 1815 KB  
Article
Effect of Water Vapor Generated by Fresh-Cut Mango (Mangifera indica) on the Release of β-Carotene from β-Cyclodextrin Inclusion Complexes Under Modified-Atmosphere Packaging
by Andrés Leobardo Puebla-Duarte, Daniel Fernández-Quiroz, Ariadna Thalía Bernal-Mercado, Francisco Rodríguez-Félix, Rey David Iturralde-García, Miguel Ángel Robles-García, Saul Ruiz-Cruz, José de Jesús Ornelas-Paz, Ricardo Iván González-Vega and Carmen Lizette Del-Toro-Sánchez
Molecules 2026, 31(6), 976; https://doi.org/10.3390/molecules31060976 - 14 Mar 2026
Viewed by 231
Abstract
This study evaluated the effect of water vapor generated by fresh-cut mango (Mangifera indica) on the release of β-carotene from β-cyclodextrin complexes (β-C:β-CD) under stored Modified Atmosphere Packaging (MAP) and to demonstrate β-carotene stabilization and passive–active packaging behavior under MAP conditions. [...] Read more.
This study evaluated the effect of water vapor generated by fresh-cut mango (Mangifera indica) on the release of β-carotene from β-cyclodextrin complexes (β-C:β-CD) under stored Modified Atmosphere Packaging (MAP) and to demonstrate β-carotene stabilization and passive–active packaging behavior under MAP conditions. Containers with fresh-cut mangoes, with and without MAP (4% O2, 6% CO2, 90% N2), were prepared for monitoring over 6 days at 4 °C. β-C:β-CD complexes were incorporated into the lids of containers. The physicochemical, relative humidity, antioxidant, erythroprotective, microbiological, and biofunctional qualities of freshly cut mangoes during storage were analyzed. Active metabolic respiration of plant tissue led to a progressive decrease in O2 and an increase in CO2 in sealed containers, a phenomenon intensified by cutting, high humidity, and the system’s limited gas permeability. Application of MAP effectively modulated this microenvironment, reducing respiration rate, water loss, acidification, and the degradation of bioactive compounds. Compared to treatments without MAP, mangoes stored under modified atmosphere showed greater color stability, a slower rate of change in pH and titratable acidity, less loss of antioxidant activity and phenolic compounds, and significant preservation of erythroprotective capacity. Furthermore, MAP maintained microbial counts within the limits established by current regulations until the sixth day of storage. The encapsulation of β-C in β-CD effectively protected its bioactivity from oxidation, especially under MAP, although its release into the food matrix was limited, suggesting a predominantly passive behavior of the active packaging system. Overall, the results demonstrate that the combination of MAP constitutes a promising strategy for extending the shelf life and biofunctional stability of fresh-cut mangoes and β-C into the complex. Full article
Show Figures

Figure 1

19 pages, 1296 KB  
Article
Primary Shelf-Life Assessment of Fresh Vegan Spinach Potato-Based Pasta (Gnocchi) Using an Accelerated Test Approach
by Stefano Zardetto, Carlos Gabriel Arp and Gabriella Pasini
Foods 2026, 15(6), 1012; https://doi.org/10.3390/foods15061012 - 12 Mar 2026
Viewed by 178
Abstract
The primary shelf life (PSL) of fresh vegan spinach gnocchi packaged under a modified atmosphere (MAP) was investigated. Microbiological, physicochemical, and sensory properties were monitored during storage at three temperatures (4, 8, and 12 °C). The microbial load remained below the limit considered [...] Read more.
The primary shelf life (PSL) of fresh vegan spinach gnocchi packaged under a modified atmosphere (MAP) was investigated. Microbiological, physicochemical, and sensory properties were monitored during storage at three temperatures (4, 8, and 12 °C). The microbial load remained below the limit considered safe (3 log CFU g−1) in all samples during storage at all tested temperatures. Storage time significantly increased the hardness of uncooked gnocchi (p < 0.05) and the water absorption index (p < 0.05). Moreover, at higher storage temperatures, the kinetic rate of hardness decreased in uncooked gnocchi (0.29 N day−1 at 12 °C vs. 0.35 N day−1 at 4 °C). Conversely, in cooked gnocchi, as the storage temperature increased, the rate of hardness acceleration increased. The sensory analysis results varied according to storage temperature, and the Overall Quality Index (OQI), combined with principal component analysis (PCA), was used to determine PSL values. The Arrhenius relationship successfully described the temperature dependence of reaction rate constants, and the calculated Q10 value (3.0) confirmed hardness as the quality attribute most affected by temperature. OQI showed a strong correlation with cooked-gnocchi hardness, and a sensory cutoff of 6.5 was established and confirmed by the sensory panel. The corresponding hardness rejection value was 12.1 N. The PSL was estimated based on sensory and texture criteria, as microbial quality was not a limiting factor. Under non-isothermal cold-chain conditions, PSL was predicted using the time–temperature tolerance (TTT) approach, yielding a value of 42 ± 3 days. Full article
Show Figures

Graphical abstract

16 pages, 976 KB  
Article
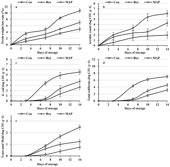
Effects of LED Light Combinations on the Growth and Storage Stability of Ipomoea aquatica in a Plant Factory System
by Si-Hong Kim, Jeong-Eun Sim, Ah-Young Shin, Yu-Jin Kang, Han-Kyeol Park, Jae-Kyung Kim, Ju-Yeon Ahn, Byeong-Jun Jeon and Ho-Min Kang
Plants 2026, 15(5), 776; https://doi.org/10.3390/plants15050776 - 3 Mar 2026
Viewed by 307
Abstract
This study investigated how different LED spectral compositions affect seed germination, early growth, photosynthetic efficiency, and the postharvest quality and microbiological stability of Ipomoea aquatica Forsk. cultivated in a plant factory system, aiming to propose an integrated management strategy for stable year-round production. [...] Read more.
This study investigated how different LED spectral compositions affect seed germination, early growth, photosynthetic efficiency, and the postharvest quality and microbiological stability of Ipomoea aquatica Forsk. cultivated in a plant factory system, aiming to propose an integrated management strategy for stable year-round production. Five LED light treatments with varying red and blue light ratios (R10, R7B3, R5B5, R3B7, and B10) were applied during cultivation. After harvest, the plants were stored under low-temperature conditions using either carton box packaging or modified atmosphere packaging (MAP) to evaluate postharvest quality and microbial changes. Germination analysis indicated that red-dominant treatments (R10 and R7B3) significantly enhanced germination percentage, rate, and uniformity. These treatments also promoted greater plant height and fresh biomass accumulation during early growth while maintaining a higher maximum quantum yield of photosystem II (Fv/Fm), indicating improved photochemical efficiency. In contrast, blue-dominant treatments led to reduced growth performance and lower Fv/Fm values. Postharvest quality and microbiological stability were more significantly affected by the packaging method than by the LED light treatment. MAP effectively minimized fresh weight loss and inhibited the growth of aerobic bacteria, Escherichia coli, total coliforms, and yeast and mold during storage. Overall, the findings demonstrate that red-centered LED spectra are optimal for enhancing early growth and physiological stability of I. aquatica, while MAP is crucial for preserving postharvest quality and microbial safety. This study underscores the synergistic potential of combining LED spectral management during cultivation with optimized packaging strategies to achieve stable year-round production and extended shelf life of I. aquatica in controlled plant factory systems. Full article
Show Figures

Figure 1

11 pages, 1297 KB  
Proceeding Paper
Influence of Modified-Atmosphere Packaging, Antioxidants and Mild Heat Treatment on the Shelf Life of Fresh-Cut Eggplant (Solanum melongena)
by María Laura Lemos, Diego Ricardo Gutiérrez and Silvia del Carmen Rodríguez
Biol. Life Sci. Forum 2026, 56(1), 21; https://doi.org/10.3390/blsf2026056021 - 27 Feb 2026
Viewed by 202
Abstract
The influence of passive and active modified-atmosphere packaging (MAP), antioxidants (citric acid and ascorbic acid) and their combinations with a mild thermal process on the shelf life of cut eggplants was evaluated. Eggplant slices were subjected to different treatments (a—MAP: packaged in air [...] Read more.
The influence of passive and active modified-atmosphere packaging (MAP), antioxidants (citric acid and ascorbic acid) and their combinations with a mild thermal process on the shelf life of cut eggplants was evaluated. Eggplant slices were subjected to different treatments (a—MAP: packaged in air with 35 μm polypropylene; b—MAP1: packaged with 3% O2 + 15% CO2; c—MAP2: packaged with 5% O2 + 15% CO2; d—citric acid 1% + MAP; e—ascorbic acid (A2) 1% + MAP; f—A2 + MAP1; g—TT (50 °C for 1 min) + A2 + MAP; h—TT + A2 + MAP1; and i—control: no treatment) and stored for 12 days at 5 °C. The evolution of sensory characteristics such as color and the browning index, ascorbic acid (AA), total phenols (TP), antioxidant capacity (AC), microorganism count (mesophilic and psychrophilic aerobes, enterobacteria, molds and yeasts) and polyphenol oxidase PPO activity were periodically evaluated. Treatment h was the most effective in prolonging shelf life, maintaining eggplant’s optimal sensory characteristics for up to 10 days, with greater retention of AA and AC and without significantly varying the initial level of TP. Full article
(This article belongs to the Proceedings of The 6th International Electronic Conference on Foods)
Show Figures

Figure 1

30 pages, 4265 KB  
Review
Fish Preservation Techniques: An Overview of Principles, Methods, and Quality Implications
by Omar Nateras-Ramírez, Perla Rosa Fitch-Vargas, María del Rosario Martínez-Macias, Rebeca Sánchez-Cárdenas, Sofía Choza-Farías and Arturo Alfonso Fernandez-Jaramillo
Processes 2026, 14(4), 723; https://doi.org/10.3390/pr14040723 - 23 Feb 2026
Viewed by 862
Abstract
Fresh fish is a highly nutritious and widely consumed product that remains highly perishable due to its chemical composition. Conventional preservation methods, such as chilling and freezing, are effective at inhibiting microbial growth but often compromise nutritional and organoleptic quality. Advanced thermal techniques, [...] Read more.
Fresh fish is a highly nutritious and widely consumed product that remains highly perishable due to its chemical composition. Conventional preservation methods, such as chilling and freezing, are effective at inhibiting microbial growth but often compromise nutritional and organoleptic quality. Advanced thermal techniques, including supercooling and cryogenic storage, can extend shelf life to approximately 180 days but involve high infrastructure costs and potential sensory alterations. In response, non-thermal technologies have emerged as promising alternatives capable of minimizing microbial and enzymatic deterioration while reducing oxidative and sensory damage. These include high-pressure processing, cold plasma, gamma irradiation, advanced packaging systems (e.g., modified atmospheres, edible coatings), and natural antioxidants. However, such methods face limitations such as lipid oxidation, flavor changes, and scalability issues, highlighting the need for integrated preservation strategies. This study addresses a critical gap in the application of synergistic, multi-hurdle approaches that combine non-thermal technologies to enhance shelf life without compromising nutritional or sensory quality. It is essential to propose tailored and scalable solutions specific to fishery products to advance the development of sustainable and effective preservation systems that meet the practical needs of the seafood industry. Full article
Show Figures

Graphical abstract

19 pages, 1788 KB  
Article
Molecular Hydrogen Improves Storage Quality of Bok Choy by Reducing Water Loss and Maintaining Cell Wall Integrity
by Guanjie Zhu, Ronghui Yu, Yuhao Wang, Pengfei Cheng, Ke Jiang, Xin Zhou, Feng Cao, Zhe Wang and Wenbiao Shen
Plants 2026, 15(4), 649; https://doi.org/10.3390/plants15040649 - 19 Feb 2026
Viewed by 503
Abstract
Bok choy (Brassica rapa var. chinensis) experiences rapid postharvest quality decline, primarily due to water loss. This study aims to evaluate the effect of H2-modified atmosphere packaging (MAP; containing 0.01%, 0.1%, and 1% H2) on extending the [...] Read more.
Bok choy (Brassica rapa var. chinensis) experiences rapid postharvest quality decline, primarily due to water loss. This study aims to evaluate the effect of H2-modified atmosphere packaging (MAP; containing 0.01%, 0.1%, and 1% H2) on extending the shelf life of bok choy. First, we observed that the storage of bok choy for 9 d (4 °C and 85% relative humidity) was accompanied by a decreasing tendency of molecular hydrogen (H2) production. Subsequently, the effects of hydrogen (H2) administered via modified atmosphere packaging on the preservation of bok choy were investigated. The results showed that among the treatments, 0.1% H2 MAP could effectively improve the storage quality of bok choy under identical storage conditions. Compared to the control groups at 9 d, the contents of chlorophyll a/b, carotenoids, total phenols and flavonoids, and total soluble solids were increased by 43.75%, 40%, 27.78%, 28.89%, 102.38%, and 7.29%, and weight loss rate and electrolyte leakage were reduced by 31.77% and 50.19% (p < 0.05). Meanwhile, the combined water fraction was increased and respiration rate was decreased. Biochemical evidence further showed that xyloglucan endotransglycosylase 2/3 (XET2/3) transcripts and xyloglucan endotransglycosylase (XET) activity, responsible for cell wall degradation, were decreased. By contrast, peroxidase 31/37 (POD31/37) genes and peroxidase (POD) activity, key to the synthesis of lignin, were increased. Importantly, these changes were positively matched with the maintenance of cell wall integrity by H2 MAP. Together, the results clearly suggested that H2 MAP could maintain the postharvest quality of bok choy via alleviating water loss and maintaining cell wall integrity. These findings thus provide a useful technology for improving the storage quality of vegetables prone to water loss. Full article
(This article belongs to the Section Plant Molecular Biology)
Show Figures

Figure 1

20 pages, 878 KB  
Review
Green Hydrogen in Sustainable Agri-Food Systems: A Review of Applications in Agriculture and the Food Industry
by Ferruccio Giametta, Ruggero Angelico, Gianluca Tanucci, Pasquale Catalano and Biagio Bianchi
Sci 2026, 8(2), 30; https://doi.org/10.3390/sci8020030 - 3 Feb 2026
Viewed by 643
Abstract
The agri-food sector is a major contributor to global greenhouse gas emissions while facing increasing demand for food production driven by population growth. Transitioning towards sustainable and low-carbon agricultural systems is therefore critical. Green hydrogen, produced from renewable energy sources, holds significant promise [...] Read more.
The agri-food sector is a major contributor to global greenhouse gas emissions while facing increasing demand for food production driven by population growth. Transitioning towards sustainable and low-carbon agricultural systems is therefore critical. Green hydrogen, produced from renewable energy sources, holds significant promise as a clean energy carrier and chemical feedstock to decarbonize multiple stages of the agri-food supply chain. This systematic review is based on a structured analysis of peer-reviewed literature retrieved from Web of Science, Scopus, and Google Scholar, covering over 120 academic publications published between 2010 and 2025. This review provides a comprehensive overview of hydrogen’s current and prospective applications across agriculture and the food industry, highlighting opportunities to reduce fossil fuel dependence and greenhouse gas emissions. In agriculture, hydrogen-powered machinery, hydrogen-rich water treatments for crop enhancement, and the use of green hydrogen for sustainable fertilizer production are explored. Innovative waste-to-hydrogen strategies contribute to circular resource utilization within farming systems. In the food industry, hydrogen supports fat hydrogenation and modified atmosphere packaging to extend product shelf life and serves as a sustainable energy source for processing operations. The analysis indicates that near-term opportunities for green hydrogen deployment are concentrated in fertilizer production, food processing, and controlled-environment agriculture, while broader adoption in agricultural machinery remains constrained by cost, storage, and infrastructure limitations. Challenges such as scalability, economic viability, and infrastructure development are also discussed. Future research should prioritize field-scale demonstrations, technology-specific life-cycle and techno-economic assessments, and policy frameworks adapted to decentralized and rural agri-food contexts. The integration of hydrogen technologies offers a promising pathway to achieve carbon-neutral, resilient, and efficient agri-food systems that align with global sustainability goals and climate commitments. Full article
Show Figures

Figure 1

21 pages, 2732 KB  
Article
Effect of Plasma-Activated Water Pretreatment Combined with High-CO2 Modified Atmosphere Packaging on the Quality and Microbial Profile of Half-Smooth Tongue Sole (Cynoglossus semilaevis) During Superchilling Storage
by Xiang Qiu, Jun Mei and Jing Xie
Foods 2026, 15(3), 529; https://doi.org/10.3390/foods15030529 - 3 Feb 2026
Viewed by 375
Abstract
Half-smooth tongue sole has high nutritional value due to its delicious meat and high protein content. However, its high protein content makes it highly susceptible to spoilage caused by microbial action. This study utilized plasma-activated water to pretreat half-smooth tongue sole, which was [...] Read more.
Half-smooth tongue sole has high nutritional value due to its delicious meat and high protein content. However, its high protein content makes it highly susceptible to spoilage caused by microbial action. This study utilized plasma-activated water to pretreat half-smooth tongue sole, which was then subjected to various packaging methods: CK (air packaging), VP (vacuum packaging), MAP1 (75% CO2/5% O2/20% N2), MAP2 (20% CO2/5% O2/75% N2), and MAP3 (75% CO2/10% O2/15% N2). The packaged samples were stored at −1 °C. Preservation efficacy was assessed by monitoring changes in microbial counts and physicochemical quality indicators throughout storage. The findings revealed a progressive increase in microbial counts, a deterioration in fish quality, and a darkening of color over extended storage periods. During superchilling storage, the increase in total volatile basic nitrogen (TVB-N) and K value was markedly reduced in the MAP1 group. Regarding protein stability, the MAP1 group exhibited a slower rise in carbonyl content as well as a slower reduction in total sulfhydryl content, further confirming its superior preservation effect. Moreover, this group demonstrated excellence in maintaining the secondary and tertiary structures of myofibrillar proteins, thereby minimizing the structural damage of fish during superchilling storage. In summary, based on observed microbial and protein changes, MAP1 (75% CO2/5% O2/20% N2) was the most effective in preserving quality and extending shelf life. Full article
Show Figures

Graphical abstract

14 pages, 669 KB  
Article
Mixing Ratio and Packaging Amount Synergistically Improved Antioxidant Properties of Baby Lettuce (Lactuca sativa L.) and Spinach (Spinacia oleracea L.) Mixes
by Lijuan Zhan, Cosimo M. Profico, Giuseppe Pignata, Manuela Casale, Han Gao, Marco Devecchi and Silvana Nicola
Foods 2026, 15(3), 499; https://doi.org/10.3390/foods15030499 - 1 Feb 2026
Viewed by 595
Abstract
Fresh baby leaves are commercially marketed in various mixing ratios and packaging amounts, creating very distinct microenvironmental conditions that significantly affect the postharvest quality of the fresh product. This study investigated the synergistic effect of mixing ratio (50LB, 50% lettuce + 50% spinach; [...] Read more.
Fresh baby leaves are commercially marketed in various mixing ratios and packaging amounts, creating very distinct microenvironmental conditions that significantly affect the postharvest quality of the fresh product. This study investigated the synergistic effect of mixing ratio (50LB, 50% lettuce + 50% spinach; 75LB, 75% lettuce + 25% spinach; 100LB, 100% lettuce) and packaging amount (125F, 125 g; 250F, 250 g) on the antioxidant qualities of baby lettuce and spinach mixes during 9 days of storage at 4 °C. The results showed that 50LB × 250F inhibited the degradation of chlorophyll and carotenoids and preserved 28% higher total antioxidant capacity (TAC), 43% higher total phenolic compounds (TPC), and 20% higher vitamin C (Vit.C) than the mean values of all samples, resulting in 0.8% lower O2 and 14.7% higher CO2 levels at the end of storage. TPC, Vit.C, and carotenoids were the main contributors to TAC, with strong correlations (p < 0.001). The total bacterial (TB) and yeast + mold (Y + M) counts were only affected by the mixing ratios, with TB increasing by only 1 Log10 cfu g−1 FW, and Y + M remaining within the same order of magnitude over time. After 9 days of storage, the leaves were still fresh and marketable. This study not only provides a practical strategy for the fresh-cut industry to enhance product quality but also underscores the significance of multifactorial synergism in salad mix packaging. Full article
(This article belongs to the Special Issue Storage and Shelf-Life Assessment of Food Products: 2nd Edition)
Show Figures

Figure 1

25 pages, 5019 KB  
Article
Synergistic Effects of Pre-Cooling and MAP on Postharvest Quality During Storage of ‘Blanca de Tudela’ Globe Artichokes
by Sonia Dávila-Falcones, Marina Giménez-Berenguer, Pedro J. Zapata, María J. Giménez and Vicente Serna-Escolano
Agriculture 2026, 16(3), 317; https://doi.org/10.3390/agriculture16030317 - 27 Jan 2026
Viewed by 384
Abstract
The globe artichoke (Cynara cardunculus var. scolymus L.) is one of the most economically important vegetable crops in Spain. ‘Blanca de Tudela’ is the most widely grown and consumed cultivar and it is also highly valued on international export markets. Postharvest preservation [...] Read more.
The globe artichoke (Cynara cardunculus var. scolymus L.) is one of the most economically important vegetable crops in Spain. ‘Blanca de Tudela’ is the most widely grown and consumed cultivar and it is also highly valued on international export markets. Postharvest preservation is crucial for maintaining the quality of this highly perishable product. This study focused on comparing the effectiveness of two different postharvest strategies in preserving the quality of whole artichokes and extending their shelf-life: packaging in modified atmosphere packaging (MAP), and pre-cooling to 4 °C followed by MAP. In addition, one batch of artichokes was stored under refrigeration conditions, i.e., without packaging, at a temperature of 2 °C and a relative humidity of 85%. Parameters such as respiration rate, weight loss, firmness, total phenolic content, chlorophyll levels and visual sensorial quality were analyzed throughout 42 days of refrigerated storage at 2 °C. The results showed that non-packed artichokes exhibited rapid deterioration, with weight loss exceeding 45% and phenolic and chlorophyll content decreasing by over 50% and 78%, respectively, by the end of the storage period. In contrast, MAP drastically reduced quality deterioration, reduced weight loss to 2%, and preserved approximately 60% more phenolic compounds. The combined application of pre-cooling and MAP further enhanced preservation, reducing weight loss by an additional 25% compared to MAP alone and retaining nearly double the chlorophyll content. Thus, this treatment also ensured the highest preservation of phenolic compounds, with final values about 45% higher than MAP alone. Visual sensory assessment confirmed that both MAP and Pre-cooling + MAP maintained acceptable appearance and consumer-relevant quality parameters throughout storage. Overall, the results of this study indicate that MAP, particularly when combined with pre-cooling, effectively maintained the physical, biochemical, and sensory quality of whole ‘Blanca de Tudela’ artichokes over 42 days under cold storage conditions, demonstrating the potential of this integrated strategy to support postharvest preservation for long-distance export markets. Full article
(This article belongs to the Section Agricultural Product Quality and Safety)
Show Figures

Graphical abstract

9 pages, 725 KB  
Proceeding Paper
Effect of UV-C Radiation and Modified Atmosphere Packaging on the Quality of Minimally Processed Grated Anco Squash (Curcubita moschata)
by Julio Federico Benites, Diego Ricardo Gutiérrez, Silvana Cecilia Ruiz and Silvia del Carmen Rodríguez
Biol. Life Sci. Forum 2026, 56(1), 2; https://doi.org/10.3390/blsf2026056002 - 8 Jan 2026
Viewed by 199
Abstract
This study evaluated the effects of different UV-C radiation doses combined with modified atmosphere packaging (MAP) on the conservation of minimally processed grated anco squash. The squash, obtained from producers in Santiago del Estero (Argentina), was washed, sanitized, cut, peeled, grated, and centrifuged. [...] Read more.
This study evaluated the effects of different UV-C radiation doses combined with modified atmosphere packaging (MAP) on the conservation of minimally processed grated anco squash. The squash, obtained from producers in Santiago del Estero (Argentina), was washed, sanitized, cut, peeled, grated, and centrifuged. It was then subjected to UV-C treatments of 5 kJ/m2 (T5), 15 kJ/m2 (T15), 30 kJ/m2 (T30), and 50 kJ/m2 (T50). An immersion treatment with NaClO (100 ppm, 3 min) (TH) and an untreated control (TC) were also included. All samples were packaged in PVC trays and sealed with 35 μm polypropylene film, forming a passive MAP. Treatments T5 and T15 preserved acceptable sensory quality for up to 8 days, and no significant differences in color parameters were observed among treatments during storage. Overall, PC decreased by 12–20% and C by 15–37%, while AC increased by 15–40% after 8 days. Treatments T15, T30, and T50 effectively reduced psychrophilic microorganisms for up to 4 days, achieving reductions of 1–2 log compared to TH and TC (6 log CFU/g). By day 8, all treatments reached the microbial limit. In conclusion, the T15 treatment was the most suitable for preserving grated anco squash for up to 4 days at 5 °C, offering a potential alternative to sodium hypochlorite–based sanitization. Full article
(This article belongs to the Proceedings of The 6th International Electronic Conference on Foods)
Show Figures

Figure 1

29 pages, 1449 KB  
Review
Innovative Preservation Technologies and Supply Chain Optimization for Reducing Meat Loss and Waste: Current Advances, Challenges, and Future Perspectives
by Hysen Bytyqi, Ana Novo Barros, Victoria Krauter, Slim Smaoui and Theodoros Varzakas
Sustainability 2026, 18(1), 530; https://doi.org/10.3390/su18010530 - 5 Jan 2026
Cited by 2 | Viewed by 1194 | Correction
Abstract
Food loss and waste (FLW) is a chronic problem across food systems worldwide, with meat being one of the most resource-intensive and perishable categories. The perishable character of meat, combined with complex cold chain requirements and consumer behavior, makes the sector particularly sensitive [...] Read more.
Food loss and waste (FLW) is a chronic problem across food systems worldwide, with meat being one of the most resource-intensive and perishable categories. The perishable character of meat, combined with complex cold chain requirements and consumer behavior, makes the sector particularly sensitive to inefficiencies and loss across all stages from production to consumption. This review synthesizes the latest advancements in new preservation technologies and supply chain efficiency strategies to minimize meat wastage and also outlines current challenges and future directions. New preservation technologies, such as high-pressure processing, cold plasma, pulsed electric fields, and modified atmosphere packaging, have substantial potential to extend shelf life while preserving nutritional and sensory quality. Active and intelligent packaging, bio-preservatives, and nanomaterials act as complementary solutions to enhance safety and quality control. At the same time, blockchain, IoT sensors, AI, and predictive analytics-driven digitalization of the supply chain are opening new opportunities in traceability, demand forecasting, and cold chain management. Nevertheless, regulatory uncertainty, high capital investment requirements, heterogeneity among meat types, and consumer hesitancy towards novel technologies remain significant barriers. Furthermore, the scalability of advanced solutions is limited in emerging nations due to digital inequalities. Convergent approaches that combine technical innovation with policy harmonization, stakeholder capacity building, and consumer education are essential to address these challenges. System-level strategies based on circular economy principles can further reduce meat loss and waste, while enabling by-product valorization and improving climate resilience. By integrating preservation innovations and digital tools within the framework of UN Sustainable Development Goal 12.3, the meat sector can make meaningful progress towards sustainable food systems, improved food safety, and enhanced environmental outcomes. Full article
Show Figures

Graphical abstract

Back to TopTop