Next Issue
Volume 15, November
Previous Issue
Volume 15, September
 
 

Educ. Sci., Volume 15, Issue 10 (October 2025) – 151 articles

Cover Story (view full-size image): Integrating literacy-focused curricula in preschool classrooms may meaningfully support children’s early literacy development. Using data from 571 children in 98 classrooms, we examined how such curricula relate to gains in print and letter knowledge, phonological awareness, language and comprehension, and emergent writing. The results showed that teachers’ use of literacy-focused curricula, although not widespread, was positively associated with children’s phonological awareness gains and provided particular benefits for children identified as at risk for later reading difficulties. These findings highlight the potential of literacy-focused curricula to help narrow early learning gaps. View this paper
  • Issues are regarded as officially published after their release is announced to the table of contents alert mailing list.
  • You may sign up for e-mail alerts to receive table of contents of newly released issues.
  • PDF is the official format for papers published in both, html and pdf forms. To view the papers in pdf format, click on the "PDF Full-text" link, and use the free Adobe Reader to open them.
Order results
Result details
Section
Select all
Export citation of selected articles as:
32 pages, 410 KB  
Article
Embedding AI Ethics in Technical Training: A Multi-Stakeholder Pilot Module Emphasizing Co-Design and Interdisciplinary Collaboration at Rome Technopole
by Giuseppe Esposito, Massimo Sanchez, Federica Fratini, Egidio Iorio, Lucia Bertuccini, Serena Cecchetti, Valentina Tirelli and Daniele Giansanti
Educ. Sci. 2025, 15(10), 1416; https://doi.org/10.3390/educsci15101416 - 21 Oct 2025
Viewed by 648
Abstract
Higher technical education plays a strategic role in equipping the workforce to navigate rapid technological advancements and evolving labor market demands. Within the Rome Technopole framework, Spoke 4 targets ITS Academies, promoting the development of flexible, modular programs that integrate advanced technical skills [...] Read more.
Higher technical education plays a strategic role in equipping the workforce to navigate rapid technological advancements and evolving labor market demands. Within the Rome Technopole framework, Spoke 4 targets ITS Academies, promoting the development of flexible, modular programs that integrate advanced technical skills with ethical, legal, and societal perspectives. This study reports on a pilot training initiative on Artificial Intelligence (AI) co-designed by the Istituto Superiore di Sanità (ISS), aimed at exploring the ethical, practical, and educational relevance of AI in higher technical education. The module was developed and tested through a multi-stakeholder collaboration involving educators, institutional actors, and learners. A four-phase approach was adopted: (1) initial stakeholder consultation to identify needs and content directions, (2) collaborative design of the training module, (3) online delivery and engagement using a CAWI-based focus group, and (4) mixed-method evaluation, combining quantitative assessments and open-ended qualitative feedback. This design facilitated asynchronous participation and encouraged critical reflection on the real-world implications of AI. Through the four-phase approach, the pilot module was developed, delivered, and assessed with 37 participants. Quantitative analysis revealed high ratings for clarity, relevance, and perceived utility in terms of employability. Qualitative feedback highlighted the interdisciplinary design, the integration of ethical reasoning, and the module’s broad applicability across sectors—particularly Healthcare and Industry. Participants suggested including more real-world case studies and collaborative learning activities to enhance engagement. The findings support the feasibility and added value of embedding ethically informed, interdisciplinary AI education in professional technical training pathways. Developed within the Rome Technopole ecosystem, the pilot module offers a promising approach to fostering critical digital literacy and preparing learners for responsible engagement with emerging technologies. Full article
(This article belongs to the Special Issue AI Literacy: An Essential 21st Century Competence)
17 pages, 258 KB  
Article
Embedding Culturally Responsive and Sustaining Teaching Practice in an Aotearoa New Zealand Initial Teacher Education Programme
by Steven S. Sexton
Educ. Sci. 2025, 15(10), 1415; https://doi.org/10.3390/educsci15101415 - 21 Oct 2025
Viewed by 534
Abstract
This paper reports on how one initial teacher education (ITE) programme has worked to support culturally responsive and sustaining teaching (CREST) practice for its student teachers. In Aotearoa New Zealand, we are required by law to include as much of the language and [...] Read more.
This paper reports on how one initial teacher education (ITE) programme has worked to support culturally responsive and sustaining teaching (CREST) practice for its student teachers. In Aotearoa New Zealand, we are required by law to include as much of the language and customs of Māori (the Indigenous population) as reasonable in our school policies and practices. The issue becomes that most of us did not grow up in Te Ao Māori (the Māori worldview) to be able to authentically include this in our practice. Therefore, ITE programmes need to prepare future teachers to be able to meet the requirements of biculturalism and authentic inclusion of Māori. The ITE programme in this paper has explicitly included communicative language teaching (CLT) aspects within a noho marae (an overnight stay on a marae with associated aspects of Te Ao Māori) that are then expected to be included by our student teachers, specifically for this paper, in their science education assessment. This paper reports on how a cohort of student teachers has been able to embed CREST practices in their teaching. This paper concludes with recommendations to better ensure the inclusion of CREST practices in ITE and subsequent teaching practice. Full article
19 pages, 284 KB  
Article
Teachers’ Perceptions and Students’ Strategies in Using AI-Mediated Informal Digital Learning for Career ESL Writing
by Lan Thi Huong Nguyen, Hanh Dinh, Thi Bich Nguyen Dao and Ngoc Giang Tran
Educ. Sci. 2025, 15(10), 1414; https://doi.org/10.3390/educsci15101414 - 21 Oct 2025
Viewed by 1911
Abstract
This study aims to explore teachers’ perceptions and students’ strategies when integrating AI-mediated informal digital learning of English tools (AI-IDLE) into career ESL writing instruction. This case study involved six university instructors and over 300 students in an English writing course. Although AI-IDLE [...] Read more.
This study aims to explore teachers’ perceptions and students’ strategies when integrating AI-mediated informal digital learning of English tools (AI-IDLE) into career ESL writing instruction. This case study involved six university instructors and over 300 students in an English writing course. Although AI-IDLE has broadened English access beyond classrooms, existing research on writing skills often neglects students’ diverse strategies that correspond to their professional aspirations, as well as teachers’ perceptions. The data included a demographic questionnaire, think-aloud protocols for real-time assessment of cognitive processes during the task, and semi-structured interviews for teachers’ validation. Findings reveal three major student strategies: (1) explicit genre understanding, (2) student-driven selection of digital multimodal tools—such as Grammarly, ChatGPT, Canva with Magic Write, and Invideo—to integrate text with images, sound, and layout for improved rhetorical accessibility, and (3) alignment with students’ post-graduation career needs. Students’ work with these AI tools demonstrated that when they created projects aligned with professional identities and future job needs, they became more aware of how to improve their writing; however, the teachers expressed hopes and doubts about the tools’ effectiveness and authenticity of the students’ work. Suggestions to use AI-IDLE to improve writing were provided. Full article
21 pages, 389 KB  
Article
Perspective of Supervising Teachers and Tertiary Supervisors on Professional Learning for Professional Experience
by Chrissy Monteleone, Ken Cliff, Rebecca Andrews, Mark Babic, Kathleen Smithers, Matthew Winslade and Iain Hay
Educ. Sci. 2025, 15(10), 1413; https://doi.org/10.3390/educsci15101413 - 21 Oct 2025
Viewed by 650
Abstract
To examine current support mechanisms for supervising teachers and tertiary supervisors in professional experience placements, we investigated the perceived effectiveness of and explored strategies for enhancing university–school collaboration through the lens of situated learning theory, operationalized via a Communities of Practice framework. Data [...] Read more.
To examine current support mechanisms for supervising teachers and tertiary supervisors in professional experience placements, we investigated the perceived effectiveness of and explored strategies for enhancing university–school collaboration through the lens of situated learning theory, operationalized via a Communities of Practice framework. Data were collected from 282 interview participants across multiple institutions. Findings reveal opportunities for enhancing support mechanism availability and effectiveness, with many supervising teachers expressing interest in additional preparation and ongoing support. University supervisors highlight opportunities to strengthen communication and resource allocation to enhance school collaboration. These findings suggest that systematic investment in community-building approaches, strengthening domain knowledge, fostering mutual engagement through collaborative professional learning, and developing shared practices through effective boundary objects, is essential to transforming fragmented supervision practices into coherent communities of practice that enhance professional experience quality and university–school partnerships. Full article
Show Figures

Figure 1

28 pages, 2868 KB  
Article
Preschool and Data Science: Supporting STEM Learning and Teaching with Hands-On Materials, Narratives, and a Digital Tool
by Ashley E. Lewis Presser, Jessica Mercer Young, Emily Braham and Regan Vidiksis
Educ. Sci. 2025, 15(10), 1412; https://doi.org/10.3390/educsci15101412 - 21 Oct 2025
Viewed by 924
Abstract
This paper describes a small, quasi-experimental, mixed method study investigating teacher and child outcomes for a preschool data science intervention condition compared to a business-as-usual comparison condition. The intervention included both hands-on activities and a free digital tool called the Preschool Data Toolbox [...] Read more.
This paper describes a small, quasi-experimental, mixed method study investigating teacher and child outcomes for a preschool data science intervention condition compared to a business-as-usual comparison condition. The intervention included both hands-on activities and a free digital tool called the Preschool Data Toolbox to engage young children in foundational data science activities. The intervention activities aligned with a learning blueprint that articulated a set of early childhood data science learning goals based on K-12 computer science and early mathematics standards. The intervention supports teachers to implement foundational data science investigations using an intuitive tablet app that scaffolds the DS process through structured and open-ended instructional experiences. Findings from classroom observations, teacher surveys, and interviews indicate high feasibility and engagement, with teachers reporting ease of use, developmental appropriateness, and positive impacts on children’s data acumen and math skills (n = 217). After controlling pre-test scores, children who participated in the intervention demonstrated statistically higher post-test scores (p = 0.001) compared to those in the comparison group, highlighting the effectiveness of the program in fostering early STEM skills. The study underscores the potential of developmentally appropriate DS experiences to foster early learning, support teacher confidence, and prepare children for future academic success, while highlighting the need for further research and professional development to scale such interventions effectively. Full article
(This article belongs to the Special Issue Theory and Research in Data Science Education)
Show Figures

Figure 1

21 pages, 1214 KB  
Article
Connecting Beliefs and Practice: Graduate Students’ Approaches to Theoretical Integration and Equitable Literacy Teaching
by Tina Chaseley and Qian Chen
Educ. Sci. 2025, 15(10), 1411; https://doi.org/10.3390/educsci15101411 - 21 Oct 2025
Viewed by 492
Abstract
This qualitative study explores how graduate students in literacy education connect theoretical frameworks to classroom practices. Grounded in Deweyan pragmatist philosophy and Kucer’s multidimensional literacy theory, researchers analyzed course assignments from online graduate students using document review and content analysis. The methodology employed [...] Read more.
This qualitative study explores how graduate students in literacy education connect theoretical frameworks to classroom practices. Grounded in Deweyan pragmatist philosophy and Kucer’s multidimensional literacy theory, researchers analyzed course assignments from online graduate students using document review and content analysis. The methodology employed a collaborative codebook and Dedoose software (version 10.0.25), utilizing descriptive coding to identify literacy practices and deductive coding to examine theoretical alignments. The results show patterns in how graduate students link theory and practice, with varying frequencies of references to different frameworks. Three main themes emerged: students’ integration of multiple theoretical frameworks, their focus on tailoring instruction to students’ developmental needs, and their emphasis on relating literacy instruction to students’ cultural backgrounds and personal experiences. The findings highlight participants’ preference for theoretical diversity, indicating a nuanced understanding of how multiple perspectives can inform teaching practices. This integration reflects educators’ recognition that complex classroom environments require diverse theoretical foundations, emphasizing the value of developing a new survey tool that captures this complexity. These results contribute to our understanding of how literacy educators integrate theoretical knowledge with practical classroom applications in contemporary educational settings. Full article
(This article belongs to the Special Issue Advances in Evidence-Based Literacy Instructional Practices)
Show Figures

Figure 1

20 pages, 2845 KB  
Article
Philosophical Inquiry with 5–7-Year-Olds: ‘My New Thinking Friends’
by Aimee Quickfall
Educ. Sci. 2025, 15(10), 1410; https://doi.org/10.3390/educsci15101410 - 20 Oct 2025
Viewed by 538
Abstract
This paper reports on a small-scale qualitative study, using philosophical inquiry in Key Stage 1 (5–7-year-old children). The study involved a one hour per week session of philosophical inquiry in one primary school, ‘Philosophy Club’, with eight children taking part for six weeks. [...] Read more.
This paper reports on a small-scale qualitative study, using philosophical inquiry in Key Stage 1 (5–7-year-old children). The study involved a one hour per week session of philosophical inquiry in one primary school, ‘Philosophy Club’, with eight children taking part for six weeks. Multiple methods were used, including researcher observations, creative methods such as children’s drawings, notes, models, and discussion, which are combined to make ‘mosaics’ of data. Data analysis focused on broad inquiry foci from across the data, and in this paper, these are reported with reference to children’s views on Philosophy Club as a space to think with their friends, build a community and changing perceptions of club members over the six-week period. Conclusions are drawn tentatively on the benefits of philosophical inquiry clubs for building community and friendship with younger children, particularly in the wake of COVID-19 and potential gaps in social experience in their early years, and how teacher education in the use of philosophical inquiry might support this community building. Full article
Show Figures

Figure 1

20 pages, 265 KB  
Article
Dance Education as a Transdisciplinary Vehicle for Transforming Teacher Education: A Blueprint for Academic Excellence
by Peter J. Cook
Educ. Sci. 2025, 15(10), 1409; https://doi.org/10.3390/educsci15101409 - 20 Oct 2025
Viewed by 1076
Abstract
The urgent need to transform initial teacher education (ITE) in Australia has reached a critical juncture, as the Quality Initial Teacher Education (QITE) Review reveals concerning attrition rates with nearly 40% of ITE students sleaving within six years and approximately one in five [...] Read more.
The urgent need to transform initial teacher education (ITE) in Australia has reached a critical juncture, as the Quality Initial Teacher Education (QITE) Review reveals concerning attrition rates with nearly 40% of ITE students sleaving within six years and approximately one in five beginning teachers exiting within their first three years. Traditional approaches to teacher preparation are failing to adequately equip educators for contemporary classrooms, particularly in developing the cultural responsiveness needed to serve Australia’s diverse student populations. This paper presents a case for reconceptualising ITE through pedagogical features that underpin dance education as a transformative vehicle for reform. In this context, dance education is defined as structured movement-based learning that integrates physical expression, cognitive development, cultural understanding, and pedagogical skills through embodied practices. Through a critical discourse analysis of recent Australian policy documents including the Teacher Education Expert Panel (TEEP) Report and Quality Initial Teacher Education (QITE) Review, alongside systematic examination of international empirical research on dance education, this study reveals how dance education’s inherent integration of physical, cognitive, social-emotional, and cultural learning uniquely addresses persistent challenges in teacher education. This article suggests that embedding dance education principles throughout ITE programs could revolutionise teacher preparation by providing embodied understanding of learning processes while developing practical teaching skills. This innovative approach holds particular promise in developing teachers who are not only technically skilled but also emotionally intelligent and culturally responsive, with implications extending beyond Australia to teacher preparation programs internationally. Full article
(This article belongs to the Special Issue Transforming Teacher Education for Academic Excellence)
19 pages, 981 KB  
Article
Relevance of Social Medicine Skills and the Role of Teaching Formats in the Perception of Medical Students: A Retrospective Trend Study
by Sibylle Hildenbrand, Joachim Graf, Martina Michaelis, Anke Wagner, Susanne Völter-Mahlknecht, Elisabeth Simoes and Monika A. Rieger
Educ. Sci. 2025, 15(10), 1408; https://doi.org/10.3390/educsci15101408 - 20 Oct 2025
Viewed by 470
Abstract
During medical school, students in Germany acquire knowledge, abilities, competencies, and skills in social medicine. The aim of this study was to investigate how human medicine students perceive the relevance of selected social medical issues and their knowledge gain depending on different teaching [...] Read more.
During medical school, students in Germany acquire knowledge, abilities, competencies, and skills in social medicine. The aim of this study was to investigate how human medicine students perceive the relevance of selected social medical issues and their knowledge gain depending on different teaching formats. The study was designed as a retrospective trend study. Included were four semester cohorts (n = 597 students). Five topics were selected as seminar subjects: work incapacity, rehabilitation, (long-term) care level, graded return to work, and assistive technology for activities of daily living. A new teaching format based on problem-based learning (PBL) and peer teaching (PT) was implemented. In the seminars, each student worked on one topic by him/herself (PBL; for this topic, the student is counted within group PBL in the statistical analysis). Through the presentations of fellow students, a student received information regarding other topics (PT; for these topics, the student is counted within group PT in the statistical comparison with group PBL). 550 students completed a standardized questionnaire at the end of the seminar, rating (a) their perceived relevance of these social medical topics with regard to clinical practice and (b) the personal knowledge gain regarding all topics. The results in group PBL tended to be better than those in group PT, indicating that active engagement with socio-medical topics increases the perception of their relevance. The students benefit more from working on topics themselves than from oral presentations or lectures: the probability of stating a notable knowledge gain regarding the respective topic was significantly higher for all topics in group PBL compared with in group PT (Work incapacity: OR: 1.3 (95%-CI: 1.07; 1.58), Rehabilitation: OR 1.8 (95%-CI: 1.41; 2.20), (Long-term) care level: OR: 1.6 (95%-CI: 1.25; 1.94); Graded return to work: OR: 1.95 (95%-CI: 1.57; 2.42), Assistive technology for activities of daily living: OR: 1.8 (95%-CI: 1.45; 2.31)). Medical students can be sensitized to the clinical relevance of social medicine, particularly when they experience its practical implications via appropriate activating teaching formats. The results suggest that PBL formats are preferable for increasing awareness of socio-medical issues. Full article
Show Figures

Figure 1

19 pages, 309 KB  
Article
University Students’ Character Strengths and Their Impact on Quality Education in Higher Education
by Thet Thet Mar, Balqees Rashid Suleiman AL Mandhari, Mária Hercz and Ahmed Said AlGhdani
Educ. Sci. 2025, 15(10), 1407; https://doi.org/10.3390/educsci15101407 - 19 Oct 2025
Viewed by 1139
Abstract
Character strengths are the positive personality traits essential for a meaningful life. Recognising and applying character strengths is crucial to becoming high-quality learners. This study explores the role of character strengths in enhancing the quality of education within Hungarian Higher Education, an area [...] Read more.
Character strengths are the positive personality traits essential for a meaningful life. Recognising and applying character strengths is crucial to becoming high-quality learners. This study explores the role of character strengths in enhancing the quality of education within Hungarian Higher Education, an area often neglected in discussing quality education. Using purposive sampling, semi-structured interviews were conducted with ten international students enrolled in BA and MA Teacher Education programs. The study explored how students perceive and apply character strengths to support learning and academic engagement. Data were analyzed using qualitative content analysis with ATLAS.ti software. The findings highlight several key strengths—such as creativity, hope, curiosity, teamwork, and self-regulation—as essential to fostering effective learning environments. Four predominant thematic areas emerged: the importance of positive personality traits, the pivotal role of the teacher–student relationship in fostering a conducive learning environment, the integration of character strengths in education, and personal development and character strengths, elucidating the integral role of character strengths in promoting quality education, advocating for a harmonious equilibrium between academic knowledge and personal growth. The study also contributes to the limited literature on character strengths in Hungarian Higher Education and suggests directions for future research. Full article
20 pages, 542 KB  
Article
Compassion in Engineering Education: Validation of the Compassionate Engagement and Action Scales (CEAS) and Conceptual Insights
by Alejandro Baquero-Sierra, Cristian Vargas Ordóñez, Jacqueline Tawney and Michael Robinson
Educ. Sci. 2025, 15(10), 1406; https://doi.org/10.3390/educsci15101406 - 19 Oct 2025
Viewed by 663
Abstract
This study validates the Compassionate Engagement and Action Scales for Self and Others (CEAS) for use with undergraduate engineering students in the United States. Compassion, defined as sensitivity to suffering in oneself and others coupled with a commitment to alleviate and prevent it, [...] Read more.
This study validates the Compassionate Engagement and Action Scales for Self and Others (CEAS) for use with undergraduate engineering students in the United States. Compassion, defined as sensitivity to suffering in oneself and others coupled with a commitment to alleviate and prevent it, is increasingly recognized as a vital socio-emotional competency in professional education. Using a cross-sectional survey design, 434 engineering undergraduates completed the CEAS instrument. In addition, students responded to open-ended questions about their definition of compassion and “others” as well as a validated engineering identity scale. Structural equation modeling supported the hypothesized three-flow, two-component structure of compassion, with excellent fit indices (CFI = 0.980, RMSEA = 0.037) and generally strong factor loadings. Reliability was high for most subscales (α = 0.716–0.762), though self-compassion engagement showed lower internal consistency (α = 0.614). Divergent validity was confirmed through weak correlations with engineering identity dimensions. Qualitative salience and thematic analysis revealed that participants most frequently associated compassion with empathy, kindness, caring, and understanding and defined “others” mainly as friends, family, and classmates, with high-compassion scorers being more compassion oriented and including broader social circles. Findings support the CEAS’s structural validity and utility in engineering education while highlighting opportunities to strengthen self-compassion engagement to enhance well-being, ethical reasoning, and socially responsible practice among future engineers. Full article
(This article belongs to the Special Issue Rethinking Engineering Education)
Show Figures

Figure 1

13 pages, 288 KB  
Article
Effect of a “Team Based Learning” Methodology Intervention on the Psychological and Learning Variables of Sport Sciences University Students
by Mario Albaladejo-Saura, Adrián Mateo-Orcajada, Francisco Esparza-Ros and Raquel Vaquero-Cristóbal
Educ. Sci. 2025, 15(10), 1405; https://doi.org/10.3390/educsci15101405 - 19 Oct 2025
Viewed by 415
Abstract
Traditional teaching methods are often far from aligning with professional practice demands. Team-Based Learning (TBL), a variant of Problem-Based Learning, may foster motivation, autonomy, and deeper knowledge acquisition, especially in those educative contexts linked to practical knowledge. The objective of the present research [...] Read more.
Traditional teaching methods are often far from aligning with professional practice demands. Team-Based Learning (TBL), a variant of Problem-Based Learning, may foster motivation, autonomy, and deeper knowledge acquisition, especially in those educative contexts linked to practical knowledge. The objective of the present research was to explore the impact of a TBL program with digital support on Sport Sciences students’ psychological and learning outcomes. A quasi-experimental design with pre- and post-tests was applied to 68 fourth-year students (mean age = 21.45 ± 1.57 years). The intervention spanned 12 weeks, where the students had to solve specific case studies linked to the theoretical content of the subject and its applicability. Variables measured included motivational climate, satisfaction of basic psychological needs, intrinsic motivation, transversal competences, and academic performance. Significant improvements were observed in task- and ego-oriented climate, autonomy, competence, relatedness, knowledge scores, and competence in scientific searches and academic dissemination (p < 0.05). No significant changes were found in intrinsic motivation or audiovisual material competence. Sex influenced several outcomes, while project marks and prior transversal skills did not. TBL combined with digital tools enhanced learning outcomes and key psychological needs, though intrinsic motivation remained unchanged. Findings highlight the value of active methodologies in higher education, while underscoring the need for long-term, broader studies. Full article
22 pages, 1111 KB  
Article
Enhancing Early STEM Engagement: The Impact of Inquiry-Based Robotics Projects on First-Grade Students’ Problem-Solving Self-Efficacy and Collaborative Attitudes
by Rina Zviel-Girshin and Nathan Rosenberg
Educ. Sci. 2025, 15(10), 1404; https://doi.org/10.3390/educsci15101404 - 19 Oct 2025
Cited by 2 | Viewed by 801
Abstract
This study examines the effects of integrating an inquiry-based final project into an early childhood robotics program, focusing on its influence on children’s problem-solving self-efficacy, attitudes toward collaboration, confidence in applying robotics to real-world challenges, and future interest in STEM. A total of [...] Read more.
This study examines the effects of integrating an inquiry-based final project into an early childhood robotics program, focusing on its influence on children’s problem-solving self-efficacy, attitudes toward collaboration, confidence in applying robotics to real-world challenges, and future interest in STEM. A total of 176 first-grade students (aged 6–7) were randomly assigned to either a research group that completed a culminating inquiry-based robotics project or a control group that followed a traditional structured curriculum. A quasi-experimental post-test-only comparison group design was used, and baseline equivalence was confirmed across groups. Results revealed that children who participated in the inquiry-based final project group demonstrated significantly higher problem-solving self-efficacy and more positive attitudes toward peer collaboration, while also being more likely to see the relevance of robotics to real-world problems and to align with inquiry-based learning approaches. Gender analysis showed that these gains were especially pronounced among girls, who exhibited more statistically significant improvements in problem-solving confidence and self-efficacy in inquiry-based problem-solving. The study’s findings highlight the benefits of incorporating inquiry-based final projects into early robotics curricula, addressing a critical gap in early childhood STEM education by providing evidence-based insights into how to enhance foundational STEM dispositions and engagement through inquiry-based, technology-integrated instruction. Full article
(This article belongs to the Special Issue Inquiry-Based Learning and Student Engagement)
Show Figures

Figure 1

22 pages, 1319 KB  
Article
Unveiling Students’ Voices: An Exploratory Study of Portuguese Students’ Feelings
by Lídia Serra, José Matias Alves and Generosa Pinheiro
Educ. Sci. 2025, 15(10), 1403; https://doi.org/10.3390/educsci15101403 - 19 Oct 2025
Viewed by 1142
Abstract
Understanding students’ feelings about daily school life can be a tool for schools to enhance their learning experience and sense of belonging. Despite the abundant research on achievement and engagement, few studies jointly examine the effect of students’ over-age status considering the grade [...] Read more.
Understanding students’ feelings about daily school life can be a tool for schools to enhance their learning experience and sense of belonging. Despite the abundant research on achievement and engagement, few studies jointly examine the effect of students’ over-age status considering the grade attended, gender, and school level within a multi-domain framework of student feelings. Even rarer are studies that examine how these variables interrelate to identify predictors of students’ feelings about the learning experience, the aim of this study. Then, adopting a quantitative research approach, data were collected through a 1012-participant survey to map the students’ feelings about school life. The data were analyzed using t-tests, ANOVA, and linear regression statistics to identify causes and associations with the schooling experience. The findings indicate that students who did not disclose their gender or are over-age, considering the grade attended, exhibited less-positive feelings. Additionally, positive feelings decrease along the school path, and six predictors—assessment, school climate, teacher support, emotional discomfort, relationship with peers, and grade—explain the learning experience feelings, with relevance to their interaction effect. The findings highlight the need for coordinated school interventions that promote students’ positive feelings through inclusive, student-centred, and context-sensitive practices. Full article
(This article belongs to the Section Education and Psychology)
Show Figures

Figure 1

17 pages, 237 KB  
Article
The End of a STEM Identity Pathway: A Girls in Science Program Falls Prey to Current Ideology
by Roxanne Hughes, Maati McKinney and Kim Kelling
Educ. Sci. 2025, 15(10), 1402; https://doi.org/10.3390/educsci15101402 - 19 Oct 2025
Viewed by 648
Abstract
This article provides a compelling argument using qualitative analysis for the longitudinal impact of an all-girls’ summer camp that was recently canceled due to an Executive Order from the Federal government. This paper will discuss: (1) the history of the program, including its [...] Read more.
This article provides a compelling argument using qualitative analysis for the longitudinal impact of an all-girls’ summer camp that was recently canceled due to an Executive Order from the Federal government. This paper will discuss: (1) the history of the program, including its changing funding sources over time; (2) the support of the local community that sustained this program; and (3) the ways in which the program influenced girls long after they graduated from middle and high school. Since 2006, 611 girls have participated in the Girls in STEM (GIS) summer camp. Surveys to alumnae were sent in 2022 and 2024, and 81 GIS alumnae responded. Many of these women explained how the camp helped them to see STEM career options that they were not aware of; improved their confidence that they could pursue careers that were male-dominated; and provided them with peers and mentors who became part of their network. The article concludes with a discussion of the cancellation of the program and the potential consequences of that decision. Full article
24 pages, 1182 KB  
Article
Exploring the Power and Possibility of Contextually Relevant Social Studies–Literacy Integration
by Courtney Hattan, Jennie Baumann, Meghan M. Parkinson and Deborah MacPhee
Educ. Sci. 2025, 15(10), 1401; https://doi.org/10.3390/educsci15101401 - 18 Oct 2025
Viewed by 1663
Abstract
The authors of this article describe a study designed to support first-grade students’ social studies knowledge and literacy development through a teacher–researcher co-constructed and teacher implemented integrated unit within the context of a rural community. The goals of the study were to determine [...] Read more.
The authors of this article describe a study designed to support first-grade students’ social studies knowledge and literacy development through a teacher–researcher co-constructed and teacher implemented integrated unit within the context of a rural community. The goals of the study were to determine the extent to which a contextually relevant unit of study affected the development of students’ content knowledge of key terms from the domain of social studies and influenced students’ reading and social studies interest. The researchers used a combined multi-phase and convergent mixed methods design, implementing a matched pairs design for the quantitative, quasi-experimental component of the study. Results indicated that assignment to the treatment condition was a predictor of students’ post implementation vocabulary scores and social studies interest. In pairing these results with the qualitative analyses of students’ end-of-unit retellings, researchers found that vocabulary can be a powerful bridge to cultural and content knowledge when the focus of instruction and texts is on local and community knowledge, demonstrating that contextually relevant social studies–literacy integration is a promising practice for building content knowledge and interest in first grade classrooms. Directions for future research are discussed. Full article
(This article belongs to the Special Issue Advances in Evidence-Based Literacy Instructional Practices)
Show Figures

Figure 1

20 pages, 944 KB  
Article
Artificial Intelligence Performance in Introductory Biology: Passing Grades but Poor Performance at High Cognitive Complexity
by Megan E. Rai, Michael Ngaw and Natalie J. Nannas
Educ. Sci. 2025, 15(10), 1400; https://doi.org/10.3390/educsci15101400 - 18 Oct 2025
Viewed by 789
Abstract
The emergence of Artificial Intelligence (AI) has impacted the world of higher education, and institutions are faced with challenges in integrating AI into curricula. Within the field of biology education, there has been little to no research on AI capabilities to explain collegiate-level [...] Read more.
The emergence of Artificial Intelligence (AI) has impacted the world of higher education, and institutions are faced with challenges in integrating AI into curricula. Within the field of biology education, there has been little to no research on AI capabilities to explain collegiate-level biological concepts. In this study, we evaluated the ability of ChatGPT-4, ChatGPT-3.5, Google’s Bard, and Microsoft’s Bing to perform on introductory-level college assessments. All AIs were able to pass the biology course with varying degrees of success related to the usage of image-based assessments. With image-based questions, Bing and Bard received a D− and D, respectively; GPT-3.5 and 4 both received a C−, compared to the average student grade of a B. However, without image-based questions in the assessments, AI scores were a full letter grade higher. Additionally, AI performance was analyzed based on the cognitive complexity of the question, based on Bloom’s Taxonomy of learning. Performance by all four AIs dropped significantly with increasing complex questions, while student performance remained consistent. Overall, this study evaluated the ability of different AIs to perform on collegiate-level biology assessments. By understanding their capabilities at different levels of complexity, educators will be better able to adapt assessments based on AI ability, particularly through the utilization of image- and sequence-based questions, and integrate AI into higher education curricula. Full article
(This article belongs to the Topic Generative Artificial Intelligence in Higher Education)
Show Figures

Figure 1

13 pages, 216 KB  
Article
Being an ECEC Teacher Educator—With Love as a Dare
by Kjartan Belseth
Educ. Sci. 2025, 15(10), 1399; https://doi.org/10.3390/educsci15101399 - 18 Oct 2025
Viewed by 1058
Abstract
This article explores the role of the lecturer as a teacher educator in Early Childhood Education and Care (ECEC), drawing on the experiences of former ECEC students. Student perspectives offer valuable insights, especially during times of change and development in the education sector. [...] Read more.
This article explores the role of the lecturer as a teacher educator in Early Childhood Education and Care (ECEC), drawing on the experiences of former ECEC students. Student perspectives offer valuable insights, especially during times of change and development in the education sector. The study is based on a qualitative, open-ended survey conducted with former ECEC students. Thematic analysis of the data reveals that students greatly value the lecturer’s approach to teaching and highlights the significance of lecturers having personal experience from working in kindergartens. The findings are discussed in light of perspectives on care and love, core values traditionally associated with Norwegian ECEC in relation to children, but perhaps less emphasized in the context of higher education and teacher training. A limitation of the study is the small sample size of 20 participants; however, the aim is not to produce generalizable results, but to offer thoughtful reflections on former students’ experiences and perceptions of the lecturer’s role in ECEC teacher education. Full article
(This article belongs to the Section Early Childhood Education)
20 pages, 314 KB  
Article
Inclusion Across Educational Levels: Cultural Differences in the Attitudes of Jewish and Arab Teachers in Elementary, Middle, and High Schools
by Nirit Karni-Vizer, Maha Arslan and Batel Hazan-Liran
Educ. Sci. 2025, 15(10), 1398; https://doi.org/10.3390/educsci15101398 - 18 Oct 2025
Viewed by 2175
Abstract
This study examined cultural differences in teachers’ attitudes towards the inclusion of students with disabilities in Jewish and Arab Israeli schools. We explored whether cultural differences influence attitudes and perceptions, considering the distinct educational contexts and cultural values. The research involved 1191 teachers [...] Read more.
This study examined cultural differences in teachers’ attitudes towards the inclusion of students with disabilities in Jewish and Arab Israeli schools. We explored whether cultural differences influence attitudes and perceptions, considering the distinct educational contexts and cultural values. The research involved 1191 teachers who completed an inclusion questionnaire. Jewish teachers rated inclusion more positively across all domains, with no significant differences between school levels. Arab teachers showed more positive attitudes in elementary schools, but these declined in high schools, reflecting cultural tendencies toward community-oriented practices at the primary level. The study highlights the role of cultural values, such as collectivism in Arab communities, in shaping educational practices and underscores the impact of sociocultural dynamics on the success of inclusive education. Full article
(This article belongs to the Section Special and Inclusive Education)
27 pages, 3045 KB  
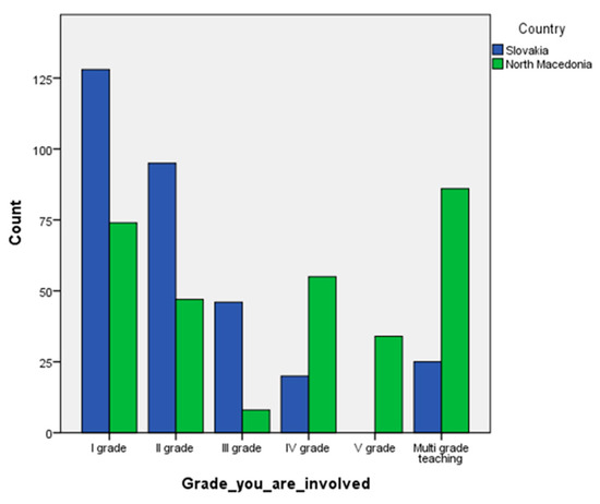
Article
Tandem Teaching for Quality Physical Education: Primary Teachers’ Preparedness and Professional Growth in Slovakia and North Macedonia
by Gabriela Luptáková, Biljana Popeska, Hristina Ristevska, Tibor Balga, Ilija Klincarov and Branislav Antala
Educ. Sci. 2025, 15(10), 1397; https://doi.org/10.3390/educsci15101397 - 18 Oct 2025
Cited by 1 | Viewed by 507
Abstract
Quality Physical Education (QPE) is crucial, yet its delivery at the primary level is often challenged by generalist teachers’ inadequate preparedness, a deficit that collaborative tandem teaching can address. This study compared the perceived preparedness of 618 generalist teachers with varied tandem teaching [...] Read more.
Quality Physical Education (QPE) is crucial, yet its delivery at the primary level is often challenged by generalist teachers’ inadequate preparedness, a deficit that collaborative tandem teaching can address. This study compared the perceived preparedness of 618 generalist teachers with varied tandem teaching experience in Slovakia and North Macedonia, examining differences linked to the structural model type. Data were collected via a questionnaire assessing self-perceived preparedness across 11 PE domains and the need for continuous professional development. A Chi-square test compared responses between the Slovakian model (rotational sports coaches, co-teaching 1 of 3 weekly lessons) and the North Macedonian model (consistent PE teachers, co-teaching all 3 weekly lessons). Generalist teachers in both countries reported overall high preparedness, but a significant deficiency was identified in working with children with diverse learning needs (p < 0.01). North Macedonian teachers, who experience a long-term partnership with a dedicated PE teacher in all weekly PE lessons, reported being significantly better prepared across most domains (e.g., selection of equipment, p = 0.000) than Slovakian teachers, who utilize short, rotational partnerships in 1 of 3 weekly lessons. The findings suggest that the structure of the tandem teaching model is a key factor in enhancing generalist teachers’ preparedness and professional growth in QPE. Full article
(This article belongs to the Special Issue Supporting Teaching Staff Development for Professional Education)
Show Figures

Figure 1

16 pages, 870 KB  
Systematic Review
Effects of AI-Assisted Feedback via Generative Chat on Academic Writing in Higher Education Students: A Systematic Review of the Literature
by Claudio Andrés Cerón Urzúa, Ranjeeva Ranjan, Eleazar Eduardo Méndez Saavedra, María Graciela Badilla-Quintana, Nancy Lepe-Martínez and Andrew Philominraj
Educ. Sci. 2025, 15(10), 1396; https://doi.org/10.3390/educsci15101396 - 18 Oct 2025
Cited by 1 | Viewed by 2655
Abstract
The use of generative chat in education has become widespread over the last four years, raising many questions about its use and the effects of AI on learning. The aim of the current systematic review is to analyze the main effects of feedback [...] Read more.
The use of generative chat in education has become widespread over the last four years, raising many questions about its use and the effects of AI on learning. The aim of the current systematic review is to analyze the main effects of feedback through the use of generative chat on the production of academic texts by university students. This research is defined as a systematic review of the literature according to the guidelines of the PRISMA statement. The search was conducted in three international important databases (Scopus, Eric, and WoS), from which 12 articles were selected. The results highlighted that there are positive effects on university students’ writing when generative chat is used as a means of providing feedback. Among the main results, it was observed that feedback via chat helps to improve aspects mainly associated with the structure and organization of texts, allows for the proper use of grammatical conventions, and improves the fluency and cohesion of sentences, as well as the precision of ideas and vocabulary. In addition, other benefits were observed in the review, such as improved self-efficacy, self-regulation, proactivity, motivation, and reflection on writing, which promotes critical thinking about the text but also about AI, reducing anxiety and stress. Full article
Show Figures

Figure 1

19 pages, 596 KB  
Article
Investigating Teachers’ Changing Perceptions Towards MOOCs Through the Technology Acceptance Model
by Patrick Camilleri, Abeer Watted and Michelle Attard Tonna
Educ. Sci. 2025, 15(10), 1395; https://doi.org/10.3390/educsci15101395 - 17 Oct 2025
Viewed by 984
Abstract
While MOOCs have gained prominence in higher education, their role in fostering pedagogical and technological readiness among teachers remains underexplored. This study addresses this gap by leveraging the Technology Acceptance Model to investigate how MOOCs influence teachers’ digitally inclined attitudes and therefore professional [...] Read more.
While MOOCs have gained prominence in higher education, their role in fostering pedagogical and technological readiness among teachers remains underexplored. This study addresses this gap by leveraging the Technology Acceptance Model to investigate how MOOCs influence teachers’ digitally inclined attitudes and therefore professional growth. By employing a mixed-methods approach, the research explores how perceived usefulness and perceived ease of use influence participants’ behavioural intentions, the emergence and use of MOOCs in teacher education and learning practices from MOOCs. A total of (n = 144) primarily teachers, in their pre-service and in-service stage, completed the “Teaching Thinking” MOOC. Data collection involved pre- and post-course surveys, as well as open-ended questionnaires for a subset of participants. Quantitative findings revealed initial ambivalence toward MOOCs, with moderate Perceived Usefulness and Perceived Ease of Use scores, tempered by concerns over time management and platform usability. Post-course analysis showed significant improvements in participants’ perceptions, highlighting increased acceptance and acknowledgment of MOOCs’ flexibility and access to diverse resources. Qualitative insights underscored key factors driving these shifts, including instructor support, peer interactions, and self-directed learning environment. Results suggest that MOOCs foster critical skills such as time management, problem-solving, and professional engagement while contributing to participants’ self-efficacy and readiness to integrate technology into teaching practices. Challenges identified include technical barriers, lack of personalised feedback, and initial reluctance to adopt online learning. This study underscores MOOCs’ transformative potential in teacher education, emphasising the importance of tailored course design, supportive learning environments, and strategic policy initiatives to enhance engagement and outcomes. Full article
Show Figures

Graphical abstract

38 pages, 2629 KB  
Article
Exploring the Use of AI to Optimize the Evaluation of a Faculty Training Program
by Alexandra Míguez-Souto, María Ángeles Gutiérrez García and José Luis Martín-Núñez
Educ. Sci. 2025, 15(10), 1394; https://doi.org/10.3390/educsci15101394 - 17 Oct 2025
Viewed by 675
Abstract
This study examines the potential of the AI chatbot ChatGPT-4o to support human-centered tasks such as qualitative research analysis. It focuses on a case study involving an initial university teaching training program at the Universidad Politécnica de Madrid (UPM), evaluated through student feedback. [...] Read more.
This study examines the potential of the AI chatbot ChatGPT-4o to support human-centered tasks such as qualitative research analysis. It focuses on a case study involving an initial university teaching training program at the Universidad Politécnica de Madrid (UPM), evaluated through student feedback. The findings indicate that ChatGPT can assist in the qualitative analysis of student assessments by identifying specific issues and suggesting possible solutions. However, expert oversight remains necessary as the tool lacks a full contextual understanding of the actions evaluated. The study concludes that AI systems like ChatGPT offer powerful means to complement complex human-centered tasks and anticipates their growing role in the evaluation of formative programs. By examining ChatGPT’s performance in this context, the study lays the groundwork for prototyping a customized automated system built on the insights gained here, capable of assessing program outcomes and supporting iterative improvements throughout each module, with the ultimate goal of enhancing the quality of the training program Full article
(This article belongs to the Topic AI Trends in Teacher and Student Training)
Show Figures

Figure 1

15 pages, 1223 KB  
Brief Report
Feasibility and Preliminary Efficacy of a Classroom-Based Prosodic Training Program for Infants and Toddlers
by Marisa G. Filipe, Tânia Carneiro, Cátia Severino, Adelaide Mateus, Marina Vigário and Sónia Frota
Educ. Sci. 2025, 15(10), 1393; https://doi.org/10.3390/educsci15101393 - 17 Oct 2025
Viewed by 445
Abstract
Although prosody plays a critical role in early language acquisition, the effects of prosodic training on language outcomes during infancy remain unexplored. This study evaluated the feasibility and preliminary efficacy of a prosodic training program. Thirty-three children aged 6 to 36 months attended [...] Read more.
Although prosody plays a critical role in early language acquisition, the effects of prosodic training on language outcomes during infancy remain unexplored. This study evaluated the feasibility and preliminary efficacy of a prosodic training program. Thirty-three children aged 6 to 36 months attended 23 weekly group sessions in their educational setting. Language development was assessed pre- and post-training using the Griffiths III Language and Communication subscale. Results showed a significant shift in the discrepancy between developmental and chronological age, with mean scores increasing from below-age to above-age expected levels. Educators and caregivers reported high satisfaction, language gains, and strong engagement. Full article
Show Figures

Figure 1

12 pages, 257 KB  
Article
Cooperative Learning and Academic Writing Skills: An Application of the Collective Working Memory Effect
by Dita Surwanti, Sofie Loyens, Michael Burke, Isti’anatul Hikmah, Adria Vitalya Gemilang and Remy Rikers
Educ. Sci. 2025, 15(10), 1392; https://doi.org/10.3390/educsci15101392 - 17 Oct 2025
Viewed by 534
Abstract
Cognitive Load Theory (CLT) has primarily been applied to individual learning, while research on collaborative learning under CLT remains inconclusive. This experimental study investigated the effect of collective working memory on cognitive load, writing performance, and learning efficiency among 150 Indonesian undergraduates. Participants [...] Read more.
Cognitive Load Theory (CLT) has primarily been applied to individual learning, while research on collaborative learning under CLT remains inconclusive. This experimental study investigated the effect of collective working memory on cognitive load, writing performance, and learning efficiency among 150 Indonesian undergraduates. Participants were assigned to either an individual learning (control) or cooperative learning (experimental) condition. Baseline writing performance differed between groups, so gain scores were analyzed. Results showed that both groups improved significantly in writing performance, with no significant differences between conditions. Cognitive load increased slightly in the cooperative learning group, while learning efficiency showed a small positive trend. These findings suggest that cooperative learning may support writing performance and efficiency in complex tasks, although clear advantages over individual learning were not established. Further research is needed with balanced baseline groups and longer interventions. Full article
17 pages, 874 KB  
Article
Analysis of the Neighborhood Effect in School Performance and Impact on Inequality
by Francisco A. Gálvez-Gamboa and Leidy Y. García
Educ. Sci. 2025, 15(10), 1391; https://doi.org/10.3390/educsci15101391 - 17 Oct 2025
Viewed by 793
Abstract
Although Latin American countries have seen major advances in coverage and school attendance, there are still important geographical differences in educational quality, leading to inequalities. The objective of this study is to determine the influence of geographical context on academic achievement among primary [...] Read more.
Although Latin American countries have seen major advances in coverage and school attendance, there are still important geographical differences in educational quality, leading to inequalities. The objective of this study is to determine the influence of geographical context on academic achievement among primary school students in Chile. The methodology involves the estimation of spatial econometric models, specifically, an analysis of spatial dependence including the Moran index, New-GI tests and substantive and residual autocorrelation tests. The data used correspond to standardized test scores obtained from 4030 schools in Chile between 2014 and 2017. The results demonstrate the existence of spatially dependent effects on academic performance for both reading and math. The main indirect spatial effects arise from the concentration of indigenous and immigrant populations. There is also evidence of high spatial inequality in educational quality, as measured through Education Quality Measurement System (SIMCE) tests. Full article
Show Figures

Figure 1

19 pages, 603 KB  
Article
School Infrastructure as a Catalyst for Pedagogical and Collaborative Change: A Cultural-Historical Activity Theory Study
by Takavada Zivave, Peter Sellings, Stephen Bolaji and Victoria Zivave
Educ. Sci. 2025, 15(10), 1390; https://doi.org/10.3390/educsci15101390 - 17 Oct 2025
Viewed by 894
Abstract
This study examines how large-scale school infrastructure reforms shape teaching practice, using Australia’s Building the Education Revolution (BER) initiative as a case example. Guided by Cultural-Historical Activity Theory (CHAT), the research explores how redesigned learning environments act as mediating tools that influence pedagogy, [...] Read more.
This study examines how large-scale school infrastructure reforms shape teaching practice, using Australia’s Building the Education Revolution (BER) initiative as a case example. Guided by Cultural-Historical Activity Theory (CHAT), the research explores how redesigned learning environments act as mediating tools that influence pedagogy, collaboration, and teacher wellbeing. An explanatory sequential mixed-methods design was employed, combining survey data from 34 teachers with focus group interviews involving 13 participants in a redeveloped Victorian Primary School, Australia. Quantitative results showed that 70.5% of teachers reported changes in their teaching practices directly linked to the new infrastructure, with 100% affirming that they had enhanced collaboration opportunities. Qualitative findings revealed that features such as breakout rooms, shared learning zones, and transparent sightlines enabled differentiated instruction, co-teaching, and improved supervision, while also fostering professional pride and collegial support. Contradictions emerged around automated lighting systems, limited display space, and partial teacher consultation during the design process. CHAT analysis demonstrated how physical spaces interact with rules, community, and division of labour within the school activity system, producing both enabling conditions and systemic tensions. The study underscores the need for infrastructure planning to be pedagogically informed, inclusive of teacher voice, and designed to support adaptive, collaborative, and inclusive teaching practices. Full article
(This article belongs to the Section Teacher Education)
Show Figures

Figure 1

24 pages, 638 KB  
Article
Determinants of Chatbot Brand Trust in the Adoption of Generative Artificial Intelligence in Higher Education
by Oluwanife Segun Falebita, Joshua Abah Abah, Akorede Ayoola Asanre, Taiwo Oluwadayo Abiodun, Musa Adekunle Ayanwale and Olubunmi Kayode Ayanwoye
Educ. Sci. 2025, 15(10), 1389; https://doi.org/10.3390/educsci15101389 - 17 Oct 2025
Viewed by 1115
Abstract
The use of generative artificial intelligence (GenAI) chatbots in brands is growing exponentially, and higher education institutions are not unaware of how such tools effectively shape the attitudes and behavioral intentions of students. These chatbots are able to synthesize an enormous amount of [...] Read more.
The use of generative artificial intelligence (GenAI) chatbots in brands is growing exponentially, and higher education institutions are not unaware of how such tools effectively shape the attitudes and behavioral intentions of students. These chatbots are able to synthesize an enormous amount of data input and can create contextually aware, human-like conversational content that is not limited to simple scripted responses. This study examines the factors that determine chatbot brand trust in the adoption of GenAI in higher education. By extending the Technology Acceptance Model (TAM) with the construct of brand trust, the study introduces a novel contribution to the literature, offering fresh insights into how trust in GenAI chatbots is developed within the academic context. Using the convenience sampling technique, a sample of 609 students from public universities in North Central and Southwestern Nigeria was selected. The collected data were analyzed via partial least squares structural equation modelling. The results indicated that attitudes toward chatbots determine behavioral intentions and GenAI chatbot brand trust. Surprisingly, behavioral intentions do not affect GenAI chatbot brand trust. Similarly, the perceived ease of use of chatbots does not determine behavioral intention or attitudes toward GenAI chatbot adoption but rather determines perceived usefulness. Additionally, the perceived usefulness of chatbots affects behavioral intention and attitudes toward GenAI chatbot adoption. Moreover, social influence affects behavioral intention, perceived ease of use, perceived usefulness and attitudes toward GenAI chatbot adoption. The implications of the findings for higher education institutions are that homegrown GenAI chatbots that align with the principles of the institution should be developed, creating an environment that promotes a positive attitude toward these technologies. Specifically, the study recommends that policymakers and university administrators establish clear institutional guidelines for the design, deployment, and ethical use of homegrown GenAI chatbots, ensuring alignment with educational goals and safeguarding student trust. Full article
(This article belongs to the Topic AI Trends in Teacher and Student Training)
Show Figures

Figure 1

16 pages, 656 KB  
Article
The Roles of Teachers and Contextual and Motivational Factors in Young Learners’ Motivation: A Structural Equation Modelling (SEM) Approach
by Mai Sri Lena and Marianne Nikolov
Educ. Sci. 2025, 15(10), 1388; https://doi.org/10.3390/educsci15101388 - 17 Oct 2025
Viewed by 846
Abstract
Motivation is a key variable in successful learning of English, and it is influenced by many factors. However, little research has examined teachers’ roles in motivating young learners (YLs) to learn English. Therefore, this study investigates how teachers’ roles and contextual and motivational [...] Read more.
Motivation is a key variable in successful learning of English, and it is influenced by many factors. However, little research has examined teachers’ roles in motivating young learners (YLs) to learn English. Therefore, this study investigates how teachers’ roles and contextual and motivational factors predict YLs’ motivation to learn English by assessing whether teachers’ roles impact motivation directly or indirectly. Using a novel teacher perspective, the study incorporates these elements into a Structural Equation Modelling (SEM) framework, highlighting direct and indirect pathways affecting children’s motivation. The study employed a quantitative approach by using a valid and reliable questionnaire, with strong internal consistency (CR ranged between 0.69 and 0.86 and α ranged between 0.70 and 0.86) to collect data from 225 English teachers of fifth graders. SEM was used for data analysis. Teachers weakly influenced YLs’ motivation to learn English (β = 0.281), but strongly impacted classroom contextual and motivational factors (β = 0.839). These factors significantly affected YLs’ motivation (β = 0.614) and mediated the impact of teachers’ roles (β = 0.515). Teachers significantly influenced YLs’ motivation by playing a crucial indirect role in shaping the learning environment that enhances students’ desire to learn when contextual and motivational factors mediate the effect. The findings suggest that schools should provide training programs that help teachers create motivational learning environments, such as providing meaningful tasks to motivate YLs intrinsically and extrinsically. The study adds further evidence to motivation theories, including self-determination theory, and sociocultural perspectives that recognize the role of contextual and interpersonal factors in shaping learners’ motivation. Full article
Show Figures

Figure 1

25 pages, 1171 KB  
Article
A Framework for Holistic Assessment of Professional Competencies in Environmental Health WIL at a University of Technology
by Louella M. Daries, Lizel S. Hudson and Lalini Reddy
Educ. Sci. 2025, 15(10), 1387; https://doi.org/10.3390/educsci15101387 - 17 Oct 2025
Viewed by 698
Abstract
The benefits of work-integrated learning (WIL) in higher education are well documented. Conversely, the assessment thereof, across disciplines, remains challenging. WIL is embedded in the environmental health (EH) degree at a University of Technology (UoT) in South Africa (SA), with similar challenges. The [...] Read more.
The benefits of work-integrated learning (WIL) in higher education are well documented. Conversely, the assessment thereof, across disciplines, remains challenging. WIL is embedded in the environmental health (EH) degree at a University of Technology (UoT) in South Africa (SA), with similar challenges. The absence of explicit competency indicators and associated assessment criteria in the current curriculum necessitates an understanding of the full range of professional competencies necessary for achieving environmental health goals. Concomitantly, research relating to EH WIL and its assessment in EH programmes are sparse. The aim of this study is to present a holistic assessment framework for competencies developed due to WIL. Using a qualitative design, data collection occurred through in-depth interviews, document analysis and focus group discussions. Data analysis was guided by the Legitimation Code Theory’s (LCT) Specialization dimension. The results foregrounds competencies beyond mere knowledge integration and technical skill development in WIL. It is thus recommended that current assessment be altered to adopt holistic assessment of EH WIL and include the full range of professional competencies essential for EH practice success. Further research may explore where additional opportunities exist for authentic assessment of the foregrounded competencies, throughout the programme, additional to the WIL assessments. Full article
(This article belongs to the Collection Trends and Challenges in Higher Education)
Show Figures

Figure 1

Previous Issue
Next Issue
Back to TopTop