Next Article in Journal
Earthquake-Triggered Tsunami Hazard Assessment in the Santorini–Amorgos Tectonic Zone: Insights from Deterministic Scenario Modeling
Previous Article in Journal
Dual-Objective Optimization of Port Tugboat Scheduling with Heterogeneous Service Capabilities
Previous Article in Special Issue
Coupled Vibration Response Analysis of Tension Leg Platform Tendon Under Irregular Ocean Wave Action
 
 
Font Type:
Arial Georgia Verdana
Font Size:
Aa Aa Aa
Line Spacing:
Column Width:
Background:
Article

Novel T–U-Shaped Barge Design and Dynamic Response Analysis for Float-Over Installation of Offshore Converter Platform

1
Shandong Electric Power Engineering Consulting Institute Corp., Ltd., Jinan 250013, China
2
School of Naval Architecture, Ocean and Energy Power Engineering, Wuhan University of Technology, Wuhan 430063, China
*
Author to whom correspondence should be addressed.
J. Mar. Sci. Eng. 2025, 13(10), 2004; https://doi.org/10.3390/jmse13102004
Submission received: 2 September 2025 / Revised: 13 October 2025 / Accepted: 16 October 2025 / Published: 19 October 2025
(This article belongs to the Special Issue Advanced Studies in Marine Structures)

Abstract

To address the current lack of specialized equipment for offshore wind platform installation and the unresolved challenges in deploying large offshore converter stations, this paper proposes a novel T–U-shaped barge for large offshore wind structures. First, a hydrodynamic model of the T–U-shaped barge is constructed and analyzed in ANSYS-AQWA. The influence of resonance occurring in the gap at the U-shaped stern on the frequency-domain model of the T–U-shaped barge is investigated. Subsequently, two installation configurations are examined: loading at the bow and loading at the stern of the T–U-shaped barge. This study comprehensively considers key components of the float-over installation system, including leg mating units (LMUs), deck support units (DSUs), fenders, and mooring cables. The results show that, for both installation schemes, the dynamic load distribution on each LMU evolves as the load-transfer stage progresses, and the sensitivity to wave period varies across different load-transfer stages, even under the same operating condition. This study evaluates the performance of the proposed T–U-shaped barge in the float-over installation of large offshore converter stations, demonstrating that its distinctive configuration endows it with strong functionality and provides valuable references for optimizing offshore wind-structure installation methods, as well as for the design and manufacturing of installation equipment.

1. Introduction

With the continual growth of the global population and the ongoing advancement of social civilization, the over-exploitation of fossil fuels, the increasingly acute energy shortage, and the persistent deterioration of air quality collectively impose significant challenges on energy development [1]. Driven by the strategic goals of peaking carbon emissions and achieving carbon neutrality, China has been steadily expanding its investment in clean renewable-energy sectors such as wind power and photovoltaic generation, thereby promoting the transition from traditional fossil fuels to clean energy [2]. Offshore wind farms, as key facilities for harnessing offshore wind resources, are expanding in both scale and distance from the shore. Consequently, offshore converter stations are attracting growing attention because of their large-scale, high-capacity characteristics.
For the offshore installation of large marine platforms such as offshore converter stations, two principal techniques are employed: the lifting operation and the float-over installation [3]. As offshore wind farms expand, the size and weight of the associated converter stations increase accordingly, and vessels capable of lifting in the ten-thousand-ton class are extremely scarce worldwide; the largest crane vessel currently available has a maximum lifting capacity of only 20,000 t. The lifting approach now faces several challenges, including a limited number of large floating cranes, long construction duration, narrow installation windows, and high charter costs [4]. In contrast, the float-over installation method offers superior load-carrying capacity, higher efficiency, and lower cost, making it the preferred solution for installing large offshore converter stations.
Based on the various float-over installation techniques, the types of float-over barges differ. In addition to the conventional rectangular-deck barges, many researchers have investigated alternative barge configurations. Bai et al. [5] employed experimental methods to study a T-barge float-over installation, examining the motions of the barge and its upper module as well as the loads on the docking device. Their work revealed the evolution of the T-barge’s motion response during load transfer. Geba et al. [6] proposed a novel deck installation method based on a small water plane area twin-hull (SWATH) structure. They evaluated the performance of the installation system at each stage, offering new insights for offshore installation under rough sea conditions. In addition, depending on the type of installation foundation, a twin-barge float-over system composed of two barges may be required for the installation. Maher et al. [7] investigated the twin-barge float-over installation of a Spar platform in the Gulf of Mexico through numerical simulations and model tests, demonstrating its high feasibility for regions including the Gulf of Mexico, Brazil, and West Africa. Similarly, Tahar et al. [8] analyzed the float-over installation of a topside onto a Compliant Platform using model testing and numerical simulation. Their analysis specifically considered LMU and DSU capacity limitations, simulating the system’s motion responses and assessing load conditions on these critical components under these constraints. Edelson et al. [9] analyzed the nonlinear dynamic response of the spar platform’s upper module during load transfer in a twin-barge float-over installation, and their results show that, from the 20% stage to the 80% stage, the system can withstand incident waves from any direction, with wave heights exceeding 1 m. Tao et al. [10] simulated the continuous load transfer process of a twin-barge float-over installation, using a time-varying point mass to model the ballast system, but they did not modify the hydrodynamic coefficients of the floats during the simulation. Zhao et al. [11,12] developed a dynamic simulation model for twin-barge float-over installation, incorporating time-varying hydrodynamic coefficients interpolated from an established database for varying barge drafts.
The hydrodynamic complexity of float-over installation systems varies markedly with the type of platform foundation, its geometric characteristics, and the vessel configuration. When a float-over system incorporates narrow gaps analogous to a moon pool, gap resonance becomes significant. Research on gap resonance originated in the 1960s, initially relying on two-dimensional slice theory [13,14]. Contemporary numerical analyses of hydrodynamic resonance are dominated by direct time-domain methods based on potential flow theory [15] and approaches that explicitly account for viscous flow [16,17,18]. Molin [19] employed linear potential flow theory together with a semi-analytical method to derive the piston mode and sloshing mode resonance frequencies of a moon pool under both two-dimensional and three-dimensional conditions, and presented empirical expressions that exhibit a high degree of reliability. Lewandowski [20] employed potential flow theory to investigate hydrodynamic interactions and gap resonance phenomena among adjacent multiple floating bodies, with particular emphasis on how the interactions alter the bodies’ hydrodynamic coefficients. Sun et al. [21] used the frequency-domain hydrodynamic solver DIFFRACT, which is based on a high boundary-element method, to examine the gap resonance behavior of neighboring floating bodies under first-order and second-order forces, and then analyzed the wave surface distribution within the gap. Because potential flow theory neglects viscous effects, its numerical predictions tend to be overly optimistic. Introducing appropriate corrections into the potential flow model can therefore improve the accuracy of the computed results [22,23]. Chua et al. [24] proposed converting viscous energy loss into a damping coefficient that can be incorporated into an ideal fluid potential flow model, thereby enabling the analysis of energy dissipation caused by fluid viscosity. Zou et al. [25] used a twin-barge float-over installation as the reference configuration, performed numerical simulations of narrow gap resonance, and validated the results against experiments.
Based on existing research, a novel T–U-shaped barge suitable for the float-over installation of large offshore converter stations is proposed. The vessel is derived from a conventional T-barge but incorporates a slot at the stern; this retains the typical installation capability of a T-barge while allowing the U-shaped stern opening to be employed in a twin-barge float-over installation of small step-up stations. The new T–U-shaped barge is modeled and analyzed using the AQWA software (Version 2023 R1) to investigate the influence of hydrodynamic resonance in the U-shaped stern gap on the frequency-domain model, and its performance in the float-over installation of large offshore converter stations is evaluated. The findings provide a reference for optimizing offshore wind-farm structure installation methods and for the design and manufacture of installation equipment.

2. Theoretical Background

2.1. Frequency-Domain Analysis

The frequency-domain solver in AQWA is mainly established based on the linear wave theory. For a single floating body system, the frequency-domain motion equation can be written as a linear system of equations for six degrees of freedom [26]:
ω 2 M + A ω i ω B ω + C X i ω = F i ω ,
where M is the mass of the floating body, A ω is the added mass, B ω is the radiation damping, C is the 6 × 6 hydrostatic restoring stiffness matrix of the floating body, F i ω is the complex form of the wave excitation force, and X i ω is the complex form of the floating body’s motion in six degrees of freedom (6-DOF). By taking the amplitude of the complex form of the floating body’s 6-DOF motion, the frequency-domain Response Amplitude Operator (RAO) of the floating body can be obtained [27].
The linear potential flow theory used in AQWA cannot calculate the viscous roll damping of the hull, but additional damping can be input manually for correction. In the absence of experimental data, a critical damping ratio of 8% is used for correction. The critical damping is calculated by the following formula:
D c r i t i c a l = [ M i i + A i i ( ω n ) ] K i i ,
where i = 3 ,   4 ,   5 represent the motion directions of the floating body with restoring force, M i i is the mass, A i i is the added mass of the floating body in the corresponding degree of freedom, and K i i is the hydrostatic stiffness of the floating body in the corresponding degree of freedom.
Since classical potential flow theory neglects viscous effects, the analysis of narrow gap water bodies—such as the resonant behavior of a moon pool [28,29]—can yield physically unrealistic responses at the resonance frequency. This leads to substantial errors in the computation of wave loads and degrades the accuracy of the derived hydrodynamic coefficients. Accordingly, AQWA introduces a nonlinear free surface boundary condition that incorporates fluid viscosity, implemented as an artificial damping lid:
ω 2 g α 2 f 1 1 φ 2 i ω 2 g α f 1 φ + φ z = 0   ,   z = 0 ,
where α is the damping coefficient and f 1 is a function of the characteristic gap scale d g a p , which can be expressed as follows:
f 1 = s i n 2 π 2 ω ω 0   , ω < ω 0 ω ω 0 2   , ω ω 0 ,
ω 0 = max 0.1 ,   π g d g a p ,
The damping coefficient is generally recommended to be set between 0 and 0.2. In practical applications, a damping coefficient of 0.2 already imposes a considerable amount of damping on the free surface [30].
When incident waves reach a specific frequency, resonance phenomena may occur on the free surface of water in a moon pool or narrow gap. There are two forms of resonance: one is the piston mode, and the other is the sloshing mode. The resonance frequencies of both modes can be derived through theoretical or empirical formulas. For example, the formula for calculating the piston resonance frequency in a three-dimensional moon pool proposed by Molin [19] is as follows:
ω 00 g h + b f 3 ( b / l ) ,
f 3 = 1 π sinh 1 ( l b ) + l b sinh 1 ( b l ) + 1 3 ( b l + l 2 b 2 ) 1 3 ( 1 + l 2 b 2 ) b 2 l 2 + 1 ,
where b is the moon pool width, l is the moon pool length, and h is the barge draft.
Molin also derived the approximate values of the first three orders of sloshing resonance frequencies for moon pools in three-dimensional space:
ω 01 2 g π d g a p coth π D d g a p + 1.030 ω 02 2 2 g π d g a p coth 2 π D d g a p + 1.488 ω 03 2 3 g π d g a p coth 3 π D d g a p + 1.666 ,
where ω 01 is the first-order sloshing resonance frequency and D is the draft.
Newman [31], on the basis of the relationship between wavelength and the characteristic scale of the moon pool, proposed a simplified formula for calculating the sloshing frequency:
ω n = g π n d g a p , n = 2 d λ n = 1 ,   2 ,   3 ,

2.2. Time-Domain Model

While linear solutions for the floating body’s wave-induced motions can be obtained in the frequency domain, practical ocean engineering applications often involve numerous nonlinear loads, such as second-order forces, mooring forces, and fender impact forces, which are difficult to account for in frequency-domain motion analyses. In 1962, Cummins [32] proposed a time-domain calculation method based on the impulse response function. In this method, the impulse response function is employed as the kernel of a convolution integral to compute the radiation force induced by the motion of the floating body, thereby effectively capturing the memory effect of the fluid field. Assuming that the speed of the floating body is zero, the Cummins equation can be expressed in the following form [33]:
[ M + A ( ) ] x ¨ ( t ) + 0 t K ( t τ ) x ˙ ( τ ) d τ + C x ( t ) = F e x c ( t ) ,
where A ( ) is the added mass at infinite frequency, K ( t ) is the impulse response function, and F e x c ( t ) is the time-varying wave excitation force, which includes both the Froude–Krylov force and the diffraction force acting on the floating body.
The impulse response function K ( t ) can be derived from the added mass A ω and radiation damping B ω obtained in the frequency-domain analysis through the Ogilvie relation [34]:
K ( t ) = 2 π 0 B ω cos ω t d ω ,
A ( ) = A ( ω ) + 1 ω 0 K ( τ ) sin ω τ d τ ,
Generally, when calculating the convolution integral, the impulse response function based on the velocity term is used. However, in AQWA, the impulse response function based on the acceleration is employed:
[ M + A ( ) ] x ¨ ( t ) + 0 t L ( t τ ) x ¨ ( τ ) d τ + C x ( t ) = F e x c ( t ) ,
K ( t ) = d L ( t ) d t = 2 π 0 B ω sin ω t ω d ω ,
At this point, we have derived the time-domain motion equations that account for external nonlinear loads:
[ M + A ( ) ] x ¨ ( t ) + B L x ˙ ( t ) + 0 t L ( t τ ) x ¨ ( τ ) d τ + C x ( t ) = F e x c ( t ) + F E ( t ) ,
where F E ( t ) is external load, including mooring force, wind load, and current load; and B L is linear added damping coefficients, such as roll added damping.
In AQWA, the Fender is a component that can simulate a spring damping system. If the stiffness of the spring damping system is linear, the reaction force of the system can be expressed as follows:
F s d = K s d δ + B s d δ ˙ ,
B s d = 2 μ K s d δ / g ,
where K s d is spring stiffness. In AQWA, a polynomial of up to the fifth order can be used to define the stiffness of the spring damping system. B s d is the damping coefficient, which can be determined based on the damping ratio μ , stiffness K s d , and compression δ .
In this study, a bilinear spring stiffness is employed to simulate the LMU/DSU collision and steel-to-steel contact during float-over installation [35]. When using a bilinear spring, the equivalent stiffness of the system is as follows [36]:
  • where δ < δ 0 ,
K s d = K 1 = K 0 K 2 K 0 + K 2 ,
  • where δ > δ 0 ,
K s d = K 2 ,
where K 1 is stiffness corresponding to the initial soft-contact stage and K 2 is stiffness of the subsequent steel-to-steel contact. δ 0 is maximum compression of LMU/DSU. K 0 is stiffness of the LMU/DSU prior to coupling with the jacket foundation or the barge DSF.

2.3. Irregular Waves

In actual sea states, the waves are random. According to linear wave theory, a random sea can be described as a superposition of a large number of simple harmonic components with differing amplitudes, frequencies, and phases. The superposition of these harmonic components yields a complex, irregular wave surface:
η t = n = 1 ζ n cos ( ω n t + ψ n ) ,
The motion response of the barge differs under various wave directions. Generally speaking, conditions of following or head seas are more suitable for float-over installation operations [37]. During the waiting stage of the float-over installation, there is the flexibility to wait for a suitable operational window. Therefore, this study conducts numerical simulations of the T–U-shaped barge under head seas to analyze the operational characteristics of the T–U-shaped barge under favorable environmental conditions.
Since the wave elevation η ( t ) is a random process, it can be described using statistical methods. For an irregular wave sequence, the total wave energy can be characterized by its energy spectrum:
E = n = 1 1 2 ρ g a n 2 = ρ g 0 S ( ω ) d ω ,
Common wave spectra include the Pierson–Moskowitz (PM) spectrum [38], the ITTC spectrum [39], and the JONSWAP spectrum [40]. In this paper, the JONSWAP spectrum is employed as the primary representation.
S J ( ω ) = α J g 2 ω 5 exp ( β J ( ω p ω ) 4 ) γ exp ( ( ω ω p 1 ) 2 2 σ 2 ) ,
where ω p is the peak frequency; α J is a parameter that can be obtained from the significant wave height H S ; β J is a parameter taken as 1.25; σ is a parameter determined by the peak frequency ω p ; and γ is the peak-enhancement factor prescribed by standard practice, typically set to 3.3. When γ = 1 , the JONSWAP spectrum reduces to the PM spectrum.
α J = 5.061 H s 2 T p 4 ( 1 0.287 ln ( γ ) ) ,
where ω < ω p ,
σ = 0.07 ,
where ω > ω p ,
σ = 0.09 .

3. T–U-Shaped Barge Model Parameters and Time-Domain Model Configuration

3.1. Model Parameters

This paper proposes a novel T–U-shaped barge, whose geometric model is shown in Figure 1a,b, with the relevant parameters listed in Table 1. Rxx, Ryy, and Rzz are the radius of gyration of the floating body about the x-axis, y-axis, and z-axis, respectively. The same applies to the subsequent tables. The stern notched design of the new T–U-shaped barge enables it to perform float-over installation of large offshore converter stations at the bow, while also allowing the installation of offshore booster stations weighing thousands of tons at the stern U-shaped slot. The two installation methods are illustrated schematically in Figure 1c,d. Compared to conventional T-shaped barges, the new T–U-shaped barge accommodates float-over installation of offshore wind platforms of varying dimensions.
The U-shaped slot design of the T–U-shaped barge affects both the structural strength of the barge and its performance in resisting wind and wave forces. This study focuses on the dynamic response characteristics of the T–U-shaped barge during float-over installation operations under real sea-state wave conditions, comparing and validating the rationality of the U-shaped slot design from the perspective of the barge’s hydrodynamic characteristics.

3.2. Time-Domain Modeling of Bow-In Float-Over Installation

During the simulation of the load transfer stage in the float-over installation, it is assumed that the offshore fixation of the topside module has been removed. Consequently, in the time-domain analysis, the topside module and the T–U-shaped barge are modeled as two independent rigid bodies. During the float-over installation process, the barge undergoes progressive ballasting operations synchronized with load transfer progression. This controlled ballast water intake systematically increases the barge’s draft until the topside structure is fully supported by the substructure. Consequently, the barge displacement increases proportionally to the magnitude of transferred load. The mass parameters of the T–U-shaped barge are presented in Table 2, while the mass properties of the topside module are given in Table 3. This study adopts a quasi-static approach for the float-over installation analysis of the T–U-shaped barge. The continuous installation process is discretized into sequential phases, with critically selected representative states subjected to independent time-domain simulations. It should be noted that, for convenience in defining the coordinates of the LMU and DSU, the origin of the coordinate system is set at the projection of the topside module’s center of gravity onto the still water surface.
During the load transfer stage of the float-over installation, the DSF is mounted on the barge, and the topside module is connected to the DSF through the DSU, while the jacket foundation is connected to the topside module through the LMU. The modeling of the DSU and LMU constitutes the most critical aspect of the load transfer stage in float-over installation. Moreover, the DSU is generally designed with a certain load bearing capacity, and any load exceeding this capacity can be assumed to act fully on the DSF. Accordingly, the DSU and DSF system can be simplified as a bilinear spring damping system. Similarly, the LMU and the jacket legs can also be simplified as a bilinear spring damping system. The LMU incorporates elastic cushioning elements constructed of rubber material, providing both horizontal and vertical buffering capabilities. In the numerical model, the horizontal buffering system is idealized as four spring-damper units arranged at 90-degree intervals. Under the bow-in float-over installation condition of the T–U-shaped barge, the parameters of the LMU and DSU are listed in Table 4 and Table 5, respectively.
Xu [41] simulated the nonlinear characteristics of fenders in a float-over installation model test by employing two sets of springs with distinct stiffness values. However, to achieve higher fidelity, this paper models the fender interaction between the barge and the jacket using a fifth-order polynomial fit to more accurately capture the nonlinear stiffness curve. The stiffness characteristics and arrangements of the fenders are illustrated in Figure 2 and Figure 3b. The mooring system in the float-over installation consists of the barge mooring lines and the springing mooring lines between the barge and the jacket, with detailed parameters and configurations provided in Table 6 and Figure 3a.

3.3. Time-Domain Modeling of Stern-In Float-Over Installation

According to the design intent, the stern of the T–U-shaped barge is designated for the installation of booster stations weighing thousands of tons. When the topside module is loaded and floated in from the stern, the jacket will be surrounded by the cantilevered U-shaped slot, with the DSU positioned on the outer side of the platform and the LMU on the inner side, a configuration similar to that of a twin-barge float-over installation. In this study, the stern of the T–U-shaped barge is employed to simulate the float-over installation of an 8000-ton booster station topside module. The mass parameters of the T–U-shaped barge under the stern-in float-over installation condition are presented in Table 7, while those of the topside module are given in Table 8. The origin of the coordinate system is defined in the same manner as in the bow-in float-over installation condition.
Under the stern-in float-over installation condition of the T–U-shaped barge, the detailed parameters of the LMU and the DSU are presented in Table 9 and Table 10, respectively. The fender between the barge and the jacket is modeled by fitting stiffness curves with a fifth-order polynomial. The mooring system of the float-over installation consists of the barge mooring lines and the springing mooring lines between the barge and the jacket, with parameters identical to those of the bow-in float-over installation condition. The LMU, DSU, and fender under the stern-in installation condition are illustrated in Figure 4b, while the configuration of the mooring system is shown in Figure 4a.

4. Frequency-Domain Analysis

The T–U-shaped barge integrates the characteristics of T-shaped barges and U-shaped barges. Whether it can meet the requirements of the float-over installation operation of offshore converter stations needs to be compared and analyzed with other traditional barge types. The frequency-domain analysis method based on the linear potential flow theory can quickly evaluate the hydrodynamic characteristics of ships. In this section, the frequency-domain analysis method is used to conduct hydrodynamic calculation and analysis. Firstly, viscous correction is performed on the T–U-shaped barge, including roll damping correction and artificial damping correction applied in the moon pool. Subsequently, a comparative study is carried out on the differences in the frequency-domain hydrodynamic responses between the T–U-shaped barge and other traditional barge types. The mass parameters of the other three barges used for comparison are shown in Table 11. The dimension diagrams of all four barges are shown in Figure 5.

4.1. Damping Correction for T–U-Shaped Barge Model

In this section, the barge during the standby stage is taken as the research subject. Since the T–U-shaped barge differs between the two installation methods only in terms of mass properties and ballasting at various installation stages, while its hydrodynamic characteristics remain the same, the bow-in float-over installation condition is adopted as a representative case to facilitate the analysis of the gap resonance phenomenon in the moon pool region at the stern slot of the T–U-shaped barge.
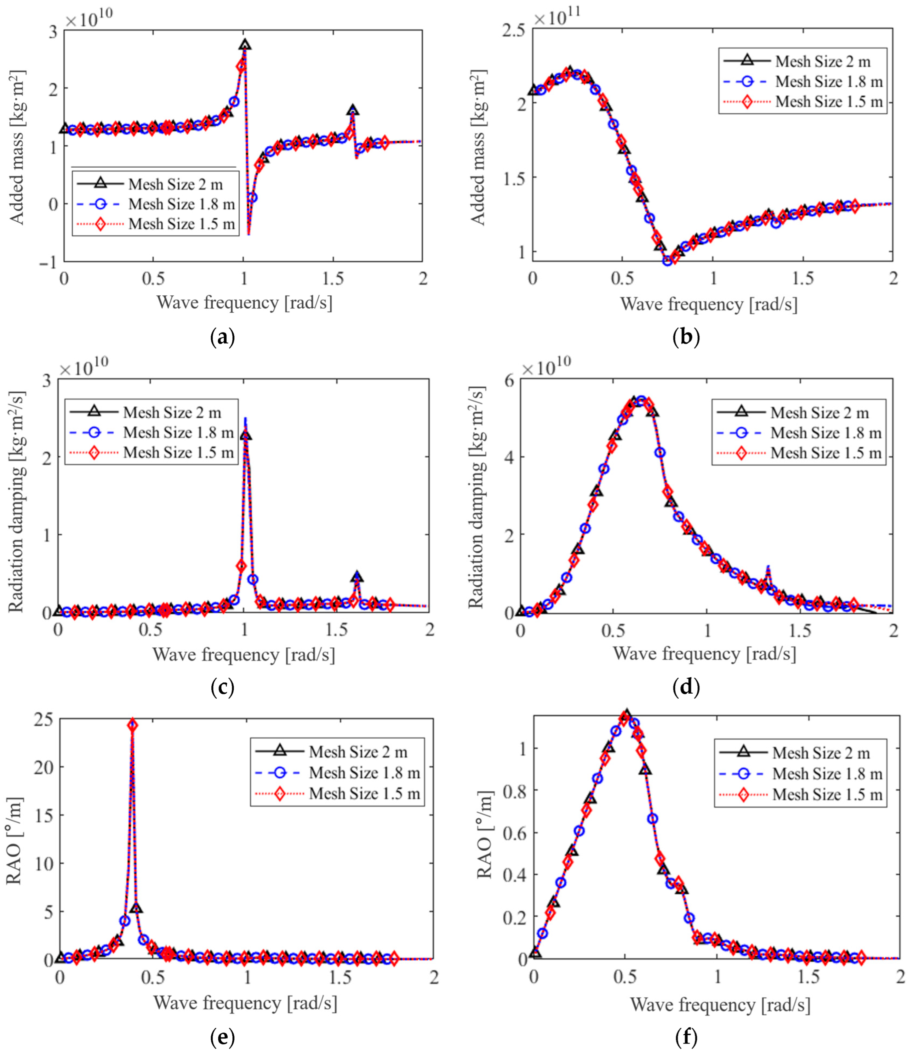
Prior to carrying out the hydrodynamic calculations, a mesh convergence analysis is conducted to ensure the appropriateness of the mesh. Three mesh sizes are selected for comparison, namely 2.0 m, 1.8 m, and 1.5 m.
The detailed parameters of the mesh convergence analysis are provided in Table 12. Among the three selected meshes, the number of panels increases rapidly as the mesh size decreases. In AQWA, the maximum calculable wave frequency is constrained by the mesh size. The results show that computation time grows rapidly with the numbers of mesh. For instance, when the mesh size is reduced from 2.0 m to 1.5 m, the number of mesh nearly doubles, while the computation time increases by a factor of 2.761.
The hydrodynamic results obtained with the three mesh sizes are compared in Figure 6. No significant differences are observed in the hydrodynamic coefficients among the three cases, except for minor fluctuations at high frequencies due to the maximum frequency limitation. Within the selected mesh size range, no notable errors are present. Therefore, to balance computational efficiency and accuracy, the mesh size of 1.8 m is adopted for the subsequent calculations in this study.
Although linear potential flow theory enables a rapid assessment of a vessel’s hydrodynamic characteristics under different wave excitation frequencies, it is inadequate for accurately capturing the effects of viscous forces or nonlinear phenomena during vessel motions [42]. Therefore, for the proposed novel T–U-shaped barge, damping corrections must be applied prior to conducting frequency-domain hydrodynamic analysis and time-domain simulations.
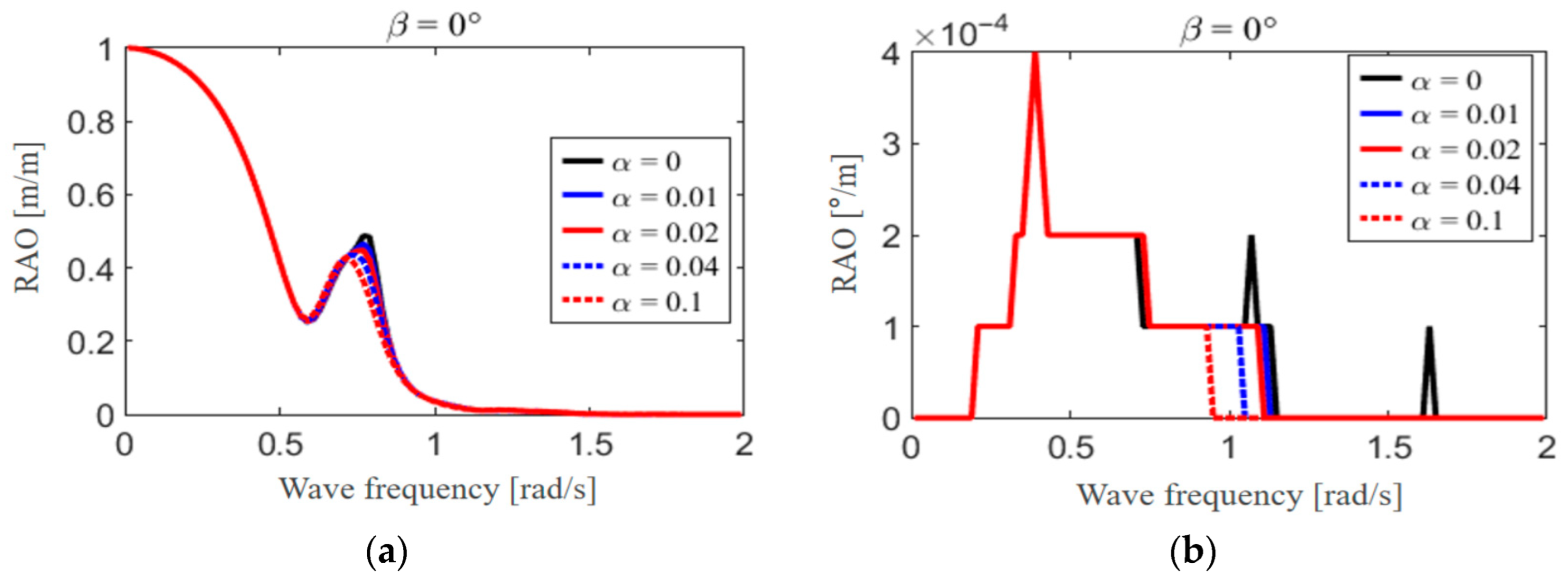
As a first step, a roll damping correction is introduced. In the absence of experimental data, a correction value corresponding to 8% of critical damping is adopted [43]. The effect of the roll damping correction on the roll Response Amplitude Operator (RAO)—defined as the amplitude of roll motion per unit wave amplitude—is illustrated in Figure 7. After applying the 8% critical damping correction, the RAO peak response is reduced to approximately 5°.
To enhance the simulation accuracy of potential flow numerical models for such hydrodynamic resonance phenomena, Huijsmans et al. [44] proposed a method involving the addition of a rigid lid at the gap surface to eliminate unrealistically high water velocities on the hull. In contrast, Chen et al. [45] were the first to introduce an artificial damping term to suppress gap resonance between floating bodies. Currently, the selection of the required artificial damping for potential flow model correction typically relies on comparisons with model test results or CFD numerical simulations [46]. Within the AQWA software, this artificial damping is applied by implementing an additional damped free-surface boundary condition on the free surface of the gap fluid.
The U-shaped slot at the stern of the T–U-shaped barge is designed in such a way that the moon pool structure can induce hydrodynamic resonance phenomena. Therefore, it is necessary to correct the wave surface within the moon pool. In this study, an artificial damping lid method is employed to modify the free surface of the U-shaped slot in the barge, thereby obtaining more accurate hydrodynamic coefficients.
For the moon pool resonance phenomenon, the wave surface RAO response in the moon pool can well reflect the resonance type, mode, and resonance frequency. In this study, two groups of equidistantly distributed points were selected to extract the wave surface. The first group of points is along the ship length direction, with the starting point at (0, 0, 0), each point spaced 4 m apart, and the end point at (36, 0, 0); there are nine points in total, hereinafter referred to as Profile 1. The second group of points is along the ship width direction, with the starting point at (18, −18, 0), each point spaced 4 m apart, and the end point at (18, 18, 0); there are nine points in total, hereinafter referred to as Profile 2. Both groups of points lie on the axis of symmetry of the U-shaped trough. The origin is located at the midline of the ship’s stern on the horizontal plane; the direction from the stern to the bow is the positive direction of the x-axis, and the port side direction is the positive direction of the y-axis.
Figure 8 shows the wave surface RAO distributions at the two groups of points under different wave directions. From Figure 8a,b, under the 0° wave direction, it can be observed that the first resonance frequency that appears is 0.77 rad/s. At resonance, the wave RAOs at the two groups of points are almost horizontal lines, with the maximum wave height approaching 3 m. This indicates that the wave surface in the entire U-shaped trough can be approximately regarded as a flat surface, which is close to the piston resonance mode. The second resonance frequency occurs at 1.03 rad/s; at this frequency, a complete wave form—with one wave crest and one wave trough—can be observed in Profile 1, while the wave heights in Profile 2 show a linear distribution. The third resonance frequency is 1.33 rad/s, at which two complete wave forms can be seen in Profile 1.
From Figure 8c,d, under the 45° wave direction, the piston mode resonance phenomenon can be observed at 0.77 rad/s; obvious first-order and second-order sloshing resonance modes can also be observed at 1.07 rad/s and 1.33 rad/s, respectively. In Profile 2, when the frequency is 1.63 rad/s, three complete wave forms can be observed, indicating a third-order sloshing resonance, and the maximum wave height at y = 18 m reaches 5.2 m/m. From Figure 8e,f, under the 90° wave direction, the aforementioned piston resonance mode and first- to third-order resonance modes can be observed; under the third-order mode, the maximum wave height RAOs in both profiles exceed 5 m/m. However, under the 135° and 180° wave directions (as shown in Figure 8g–j), due to the shielding effect of the barge itself, the values of the wave height RAOs are relatively small, but the corresponding resonant wave surface patterns still appear.
Table 13 presents the resonance frequencies derived from the wave surface RAOs and those calculated by formulas. Except for the piston mode, the values of the first- to third-order sloshing modes show a high degree of consistency with the theoretical calculation results. Molin [19] argues that when the piston mode occurs, the water body in the entire moon pool moves up and down almost like a rigid body, and the wave surface is a flat plane. However, in the wave surface results extracted from the calculation, under the wave surface pattern close to the piston mode, the wave surface in the U-shaped trough is not a completely flat plane. This may be because the U-shaped trough is not a typical moon pool structure—one of its sides is directly connected to the external water body, so the resonance mode cannot be estimated entirely by the piston mode estimation formula for closed moon pools.
The artificial damping lid is defined by two parameters: the damping coefficient and the gap width. In this study, the gap width is set to 36 m. The optimal value for the damping coefficient is determined through a parameter analysis. In the AQWA, the recommended maximum value for the damping coefficient is 0.2 [47]. In contrast, values typically adopted in other published computational models or experimental studies generally range from 0.01 to 0.05 [25]. Figure 9, Figure 10 and Figure 11 show the added mass, radiation damping, and partial RAO of the barge under different damping coefficients. As shown in Figure 9, without the damping lid, the added mass reaches a maximum value, followed by a sudden minimum, which may even become negative.
Similarly, in Figure 10, the partial radiation damping curve exhibits significant fluctuations at α = 0 , though it does not show the negative values seen in the added mass curve. Instead, large peaks are observed at specific resonance frequencies. From the added mass and radiation damping curves, it can be observed that the moon pool resonance phenomenon has a significant impact on the barge’s overall hydrodynamic coefficients only at certain resonance frequencies. As the damping coefficient increases, the oscillation of the hydrodynamic coefficient curve diminishes.
On the other hand, from the RAO results shown in Figure 11, it is clear that in the heave and pitch motions, the impact of resonance on the frequency-domain motion response weakens with an increasing damping coefficient, though there is minimal effect on the roll motion. Additionally, due to the unique shape of the T–U-shaped barge, a noticeable longitudinal pitch response still occurs under transverse wave conditions, which is not confined to the resonance frequencies.
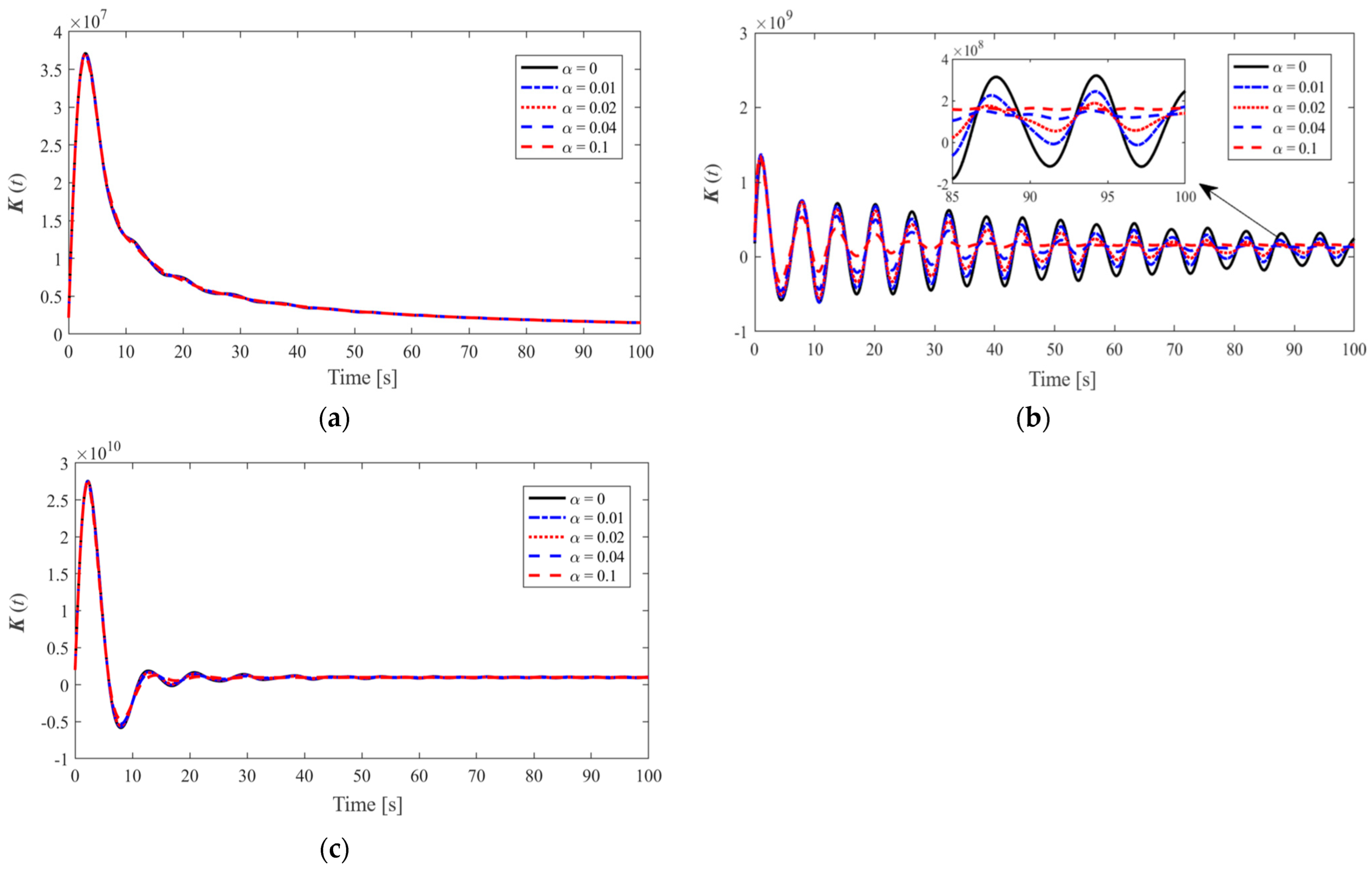
The added mass, radiation damping, and RAO results only reflect the linear outcomes directly calculated from the hydrodynamic coefficients with respect to the damping coefficient. In contrast, the impulse response function represents the effect of radiated forces in the time-domain model. The main distinction between the frequency-domain equations and the time-domain approach is that the impulse response function introduced in Cummins’ equation accounts for the fluid memory effect, thereby enabling the computation and capture of nonlinear effects in the time-domain process. Therefore, the impulse response function K t can also provide an indication of the accuracy of the frequency-domain hydrodynamic model.
Figure 12a–c show the impulse response functions in the heave, roll, and pitch directions, respectively. From the figures, it can be observed that although the RAO curves exhibit significant changes with varying damping coefficients in the heave and pitch directions, the impulse response functions in these directions are not sensitive to the damping coefficient. Conversely, in the roll direction, although the effect of the damping coefficient on the RAO is minimal, the impulse response function exhibits strong oscillations at α = 0 . As the damping coefficient increases, the oscillations in the impulse response function diminish, and at a damping coefficient of 0.10, this coefficient already results in significantly greater damping on the free surface.
Following the selection of an appropriate damping coefficient, a frequency-domain and time-domain validation is conducted to determine the reasonableness of the chosen damping value. In the frequency-domain calculations, the computed motion responses are linear, as they do not incorporate any nonlinear effects. Conversely, when solving the time-domain model using Cummins’ equation, the introduction of the impulse response function accounts for fluid memory effects. Consequently, the resulting time-domain motion responses inherently include nonlinear effects. Theoretically, in the absence of any additional nonlinear effects (e.g., fenders, mooring lines, nonlinear stiffness/damping), the computational results for the same model under identical initial conditions should be consistent between linear solution methods (frequency-domain) and nonlinear solution methods (time-domain).
Time-domain simulations were performed using regular waves with unit wave amplitude at frequencies of 0.77 rad/s and 1.07 rad/s. These frequencies correspond to the piston-mode resonance and the first-order sloshing resonance within the U-shaped slot, respectively. The specific regular wave cases analyzed are detailed in Table 14. Figure 13 presents the RAO for the T–U-shaped barge under 90° wave incidence with unit wave amplitude. It can be observed that at both the piston-mode resonance frequency and the first-order sloshing resonance frequency, the frequency-domain and time-domain results for the barge motions demonstrate good agreement, with no significant discrepancies evident. This agreement validates the selected damping coefficient.

4.2. Frequency-Domain Results Comparison for Various Ship Types

Figure 14, Figure 15 and Figure 16 show the heave, pitch, and roll RAOs of the four barges under wave incidence from different directions, respectively. Since the barge motion is nearly zero under certain wave conditions, the roll RAOs under the 0° and 180° wave directions are not presented. As evidenced in Figure 14, the T–U barge exhibits significantly larger heave RAO at 0° wave direction compared to the other three barges. This amplification is directly attributable to its stern U-shaped slot, which may compromise mating accuracy during the final installation phase due to excessive vertical motions. In contrast, under the 180° wave direction, there is little difference in the heave RAOs between the T–U-shaped barge and the other three barges. The presence of the U-shaped trough makes the T–U-shaped barge relatively sensitive to the 45° wave direction, and the effect of artificial damping correction is significant. It can be observed from Figure 15 that under the 90° wave direction, there is no significant difference in the motion performance between the T–U-shaped barge (after correction) and the other three barges. Despite the fact that the roll of Barge 1 (Flat Barge 1) is extremely small under all wave directions, the roll RAOs of the other three barges are relatively close under each wave direction.
As can be seen from Figure 16, in the pitch direction, the T–U-shaped barge is relatively sensitive to the 0° wave direction, and there is a large pitch motion response at its natural frequency. Under the 90° wave direction, the pitch amplitude of the T–U-shaped barge is obviously larger than that of the other barges; after artificial damping correction is applied, the pitch RAO is reduced to a certain extent overall. In contrast, the HYSY228 exhibits a certain degree of pitch motion under the 90° wave direction. However, the U-shaped slot at the stern of the T–U barge results in a more significant pitch response, which may adversely affect the stability of the load transfer process during actual installation. Given that float-over installation is a weather-sensitive operation, it is advisable to prioritize the 180° wave direction during practical operations to mitigate installation risks associated with the slot design.

5. Time-Domain Analysis of T–U Barge Operating in Bohai Sea Conditions

5.1. Calculation Conditions

In this study, the referenced offshore converter station is located at the junction of the northern Yellow Sea and the Bohai Sea, with a water depth of 58 m. During the load transfer process, the current velocity is taken as 0.6 m/s and the wind speed as 10 m/s. The significant wave height was selected in accordance with the Analysis Guide for Transportation and Floating Installation of Large Marine Structures 2020 [37] issued by the China Classification Society (CCS). The characteristic wave period range was determined based on the most probable spectral peak periods derived from the joint probability distribution of wave height and period in the Bohai Sea. A JONSWAP spectrum with a peak enhancement factor of 1.4 is employed to simulate the wave distribution at the installation case [48]. The environmental parameters selected for the calculation conditions are presented in Table 15.

5.2. Bow-In Float-Over Installation Analysis

Following the calculation of the signal’s frequency components via the Fast Fourier Transform (FFT), the power spectral density (PSD) is ultimately yielded through a series of mathematical procedures. These procedures include squaring the spectral amplitude and applying frequency averaging. This enables an analysis of the distribution of time-domain responses within each frequency range, revealing the response distribution patterns and dynamic coupling mechanisms of the system components. Figure 17, Figure 18 and Figure 19 show the PSD curves of the LMU load at different spectral peak periods during the 0%, 50%, and 100% load transfer stages, with the corresponding wave spectra indicated in the figures.
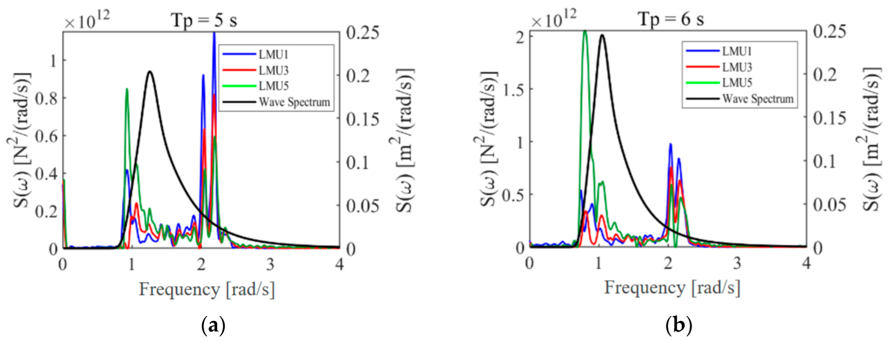
From Figure 17 it can be observed that during the 0% load transfer stage, as the wave period increases, the proportion of low frequency components in the LMU response gradually increases, indicating that the system is more sensitive to low-frequency wave excitation at this stage. At the 0% stage, the energy on LMU1 is significantly larger than that on LMU3 and LMU5, and the load distribution across the LMU with respect to frequency follows a similar pattern. However, as the load transfer progresses, the characteristics of the LMU loads show components that do not vary with wave period, which can be regarded as the system’s inherent period. This is because, as the platform’s weight is transferred to the jacket, the load borne by the LMU increases, resulting in a stronger coupling effect between the topside module and the jacket.
From Figure 18 it can be observed that at the 50% stage, the load on LMU3 and LMU5 gradually increases, and the load distribution across the LMU with respect to frequency becomes more differentiated. For instance, at the 0% stage, the energy on LMU1, LMU3, and LMU5 is concentrated around 0.9 rad/s, whereas at the 50% stage, LMU1 remains concentrated around 0.9 rad/s, while LMU3 and LMU5 shift to the region around 1.8 rad/s. The PSD of LMU5 is noticeably higher than that of the other LMUs, and the PSD peak at 1.8 rad/s decreases as the period increases.
From Figure 19 it can be observed that at the 100% stage, the PSD of LMU1 is significantly lower than that of LMU3 and LMU5. Furthermore, at this stage, the LMU insertion point has made contact with the steel-to-steel collision section, causing the LMU stiffness to become nonlinear. As a result, the PSD of LMU3 and LMU5 shifts to 1 rad/s and 2 rad/s, with an additional response mode at 3 rad/s.
Overall, the float-over installation system is more sensitive to low-frequency loads, particularly at period of 8 s. A peak at 0.55 rad/s appears in all three stages, despite the relatively low energy level of the wave spectrum at this frequency.
Figure 20 presents the maximum values of various parameters for the float-over installation system under different load transfer stages and spectral peak periods. In Figure 20a, the maximum vertical LMU load shows no significant sensitivity to the spectral peak period, with the difference being less than 1% across the given spectral peak periods.
As shown in Figure 20b, the peak of the maximum vertical acceleration of the topside module gradually shifts to lower-frequency, longer-period waves as the load transfer progresses. At the 0% stage, the peak occurs at a period of 8 s, at the 50% stage it shifts to 7 s, and at the 100% stage, it appears at 6 s.
In Figure 20c, it can be seen that the maximum roll angle of the topside module is relatively large at the 0% stage but significantly decreases to very low levels during the subsequent 50% and 100% stages. This is because, after part of the weight of the topside module is transferred to the foundation, the stiffness of the DSU transitions from steel-to-steel contact to soft contact. As the coupling between the barge and the topside module through the DSU further reduces the reaction force on the DSU, the influence on the roll amplitude of the topside module is greatly reduced.
Figure 20d shows that the maximum pitch angle of the topside module generally increases with longer spectral peak periods within the same load transfer stage. Under the same spectral peak period, the maximum roll angle at the 0% stage is noticeably larger than in the other two stages, and there is little difference between the 50% and 100% stages.
In Figure 20e,f, it is evident that within the same load transfer stage, the heave and pitch amplitudes of the barge increase with the wave period. However, for the same spectral peak period, the heave and pitch responses at the 0% and 100% stages are generally larger than at the 50% stage. This is due to the coupling effect between the barge, platform, and jacket, which constrains the barge’s motion.

5.3. Stern-In Float-Over Installation Analysis

Figure 21, Figure 22 and Figure 23 present the PSD curves of LMU loads at different spectral peak periods during the 0%, 50%, and 100% load transfer stages, respectively.
In Figure 21, at the 0% stage, three dominant frequency components are observed, located at 0.65 rad/s, 1.1 rad/s, and 2.1 rad/s. At a wave period of 5 s, the wave spectrum exhibits nearly zero energy around 0.65 rad/s, yet the LMU load response in the vicinity of this frequency is pronounced, even exceeding the response near the spectral peak frequency. At a period of 6 s, however, the wave-frequency response regains its dominant role. When the period increases to 7 s, the wave spectrum further extends toward lower frequencies, and strong responses appear at both 0.65 rad/s and 1.1 rad/s around the spectral peak frequency. As the incident wave spectral peak period further lengthens, the low-frequency LMU load component at 0.65 rad/s becomes dominant again, and its magnitude is significantly greater than that of the other components.
In Figure 22, at the 50% stage, as the spectral peak period increases, the low frequency components of the LMU load response gradually intensify, while the high frequency components of the power spectral density remain essentially unchanged. It is noteworthy that the figure shows a clear distribution pattern: in the high frequency range, LMU1 exhibits the strongest response, followed by LMU3, with LMU5 being the weakest. On the contrary, in the low frequency range, LMU5 shows the strongest response, while LMU1 is the weakest.
In Figure 23, at the 100% stage, four major frequency components emerge: 0.6 rad/s, 1.03 rad/s, 2.06 rad/s, and 3.1 rad/s. These frequencies are also present in the 0% and 50% stages but are not dominant there. Once the topside module is fully transferred onto the jacket, however, these frequency components become the primary contributors to the LMU response. Among them, the natural periods of the interaction between the topside module and the jacket are determined by the stiffness of the LMU and the mass of the topside module itself, independent of other external conditions. When the wave spectrum has relatively strong energy near the natural periods of the float-over installation system, significant responses are observed in the LMU loads. This explains why the spectral density peaks of LMU loads at wave periods of 7 s and 8 s are much greater than those at 5 s and 6 s.
Figure 24 shows the maximum values of various parameters of the topside module at different load transfer stages and spectral peak periods during the stern-in float-over installation.
As seen in Figure 24a, with the progression of load transfer, the maximum vertical load on the LMU increases. At the 0% stage, the vertical load is smallest at a 5 s period and reaches its maximum at a 6 s period, gradually decreasing at 7 s and 8 s. During the 50% stage, the LMU vertical load increases with the spectral period, peaking at 7 s and slightly decreasing at 8 s.
In Figure 24b, for the maximum vertical acceleration of the topside module, at the 0% stage, it is smallest at the 5 s period and largest at the 6 s period, gradually decreasing at 7 s and 8 s. In both the 50% and 100% stages, the maximum vertical acceleration of the topside module initially increases with the spectral period, peaking at 7 s, and then decreasing at 8 s. At the 50% load transfer stage, the LMU and DSU constrain the motion of the barge and platform at the spectral peak periods of 6 s and 7 s.
The significant maximum roll response observed in Figure 24c could be attributed to the complex coupling mechanisms of the float-over installation system. Additionally, in the stern-in float-over condition, the collision loads are concentrated at the stern, far from the barge’s center of gravity and flotation center, making the barge’s motion more unstable and inducing greater roll motion of the topside module. As the load transfer progresses, the maximum roll amplitude of the topside module rapidly decreases to a lower level in both the 50% and 100% stages.
In Figure 24d, it can be observed that the maximum pitch angle of the topside module increases with the spectral peak period at the same load transfer stage. However, for different load transfer stages, the pitch angle is largest at the 0% load transfer stage, followed by the 100% stage, with the 50% stage being the smallest.
In Figure 24e,f, it can be observed that, in contrast to the bow-in float-over installation condition, in the stern-in float-over installation condition, the coupling effect between the barge, platform, and jacket does not significantly constrain the heave motion of the barge. This is because, in the stern-in float-over condition, the topside module is far from the barge’s center of gravity, and the forces acting on the barge from the topside module are mainly transmitted as moments. At spectral peak periods of 5 s, 6 s, and 8 s, the maximum pitch amplitude of the barge at the 50% stage is smaller than at the 0% and 100% stages, indicating that the coupling effect between the topside module and the barge mainly affects the pitch motion.

6. Conclusions

In this study, a novel T–U-shaped barge is proposed. The damping of the T–U barge was corrected based on ANSYS-AQWA to ensure the validity of its frequency-domain hydrodynamic model. Simulations were conducted for the load transfer stage of float-over installation using different methods with the T–U-shaped barge. The nonlinear dynamic response characteristics during the load transfer of float-over installation in the mooring condition were analyzed. The main conclusions of this study are as follows:
  • Since the viscous effects are neglected when calculating the wave loads on the barge using linear potential flow theory, it is necessary to correct the roll damping of the barge, as well as to apply artificial damping to suppress the unrealistic free surface responses inside the U-shaped slot. Ultimately, the roll damping was set to 8% of the critical damping in the roll direction, and the damping coefficient of the artificial damping lid in the U-shaped slot was set to 0.1. After applying these damping corrections, the calculated hydrodynamic coefficients no longer exhibited strong oscillations. Comparison with HYSY228’s frequency-domain analysis results demonstrates that the slot design of the T–U-shaped barge does not induce significant motion responses under wave conditions. While performing float-over installation operations under equivalent weight conditions, the T–U-shaped barge exhibits motion responses comparable to those of HYSY228. However, the U-slot design significantly enhances compatibility with diverse installation requirements for offshore wind platforms of varying sizes.
  • Based on the barge’s inherent hull characteristics, two time-domain models for the float-over installation were established and analyzed. The results indicate that the natural frequencies of the system change with the progression of the load transfer stages, and the dynamic load distribution on each LMU also varies at each stage. Therefore, in designing the float-over installation scheme, it is essential to fully consider the natural frequencies of the system at each load transfer stage and to properly schedule the weather window.
  • A wave period sensitivity analysis was conducted for different load transfer stages under two installation conditions. The results show that even under the same condition, whether using bow-in or stern-in installation, the sensitivity to wave periods varies at different load transfer stages.
Since the stern of the T–U-shaped barge is slotted, its internal structural design is affected to a certain extent, making it necessary to accurately assess whether its stability and ballasting capacity can meet the requirements of large offshore converter station installation. Meanwhile, the damping correction for the resonant water motion in the U-shaped slots at the stern of the T–U-shaped barge has not yet been validated through experiments or CFD simulations, and further research is required to provide correction parameters that are more representative of real conditions.

Author Contributions

Conceptualization, M.C. and P.L.; methodology, P.L. and L.Z.; software, M.O., K.Y., and R.Z.; validation, R.Z., M.C., and M.O.; formal analysis, L.Z. and M.Z.; investigation, L.Z. and M.Z.; resources, P.L. and M.C.; data curation, P.L.; writing—original draft preparation, P.L. and M.C.; writing—review and editing, K.Y., M.Z., and M.C.; visualization, K.Y.; supervision, M.C.; project administration, P.L.; funding acquisition, M.C. All authors have read and agreed to the published version of the manuscript.

Funding

This research was funded by the National Natural Science Foundation of China, grant numbers 52171275.

Data Availability Statement

The original contributions presented in this study are included in the article. Further inquiries can be directed to the corresponding author.

Conflicts of Interest

Ping Li, Li Zhao, Rui Zhao were employed by Shandong Electric Power Engineering Consulting Institute Corp., Ltd. The remaining authors declare that the research was conducted in the absence of any commercial or financial relationships that could be construed as a potential conflict of interest.

References

  1. Shi, Z.; Yao, W.; Li, Z.; Zeng, L.; Zhao, Y.; Zhang, R.; Tang, Y.; Wen, J. Artificial intelligence techniques for stability analysis and control in smart grids: Methodologies, applications, challenges and future directions. Appl. Energy 2020, 278, 115733. [Google Scholar] [CrossRef]
  2. Li, J.; Yang, B.; Huang, J.; Guo, Z.; Wang, J.; Zhang, R.; Hu, Y.; Shu, H.; Chen, Y.; Yan, Y. Optimal planning of Electricity–Hydrogen hybrid energy storage system considering demand response in active distribution network. Energy 2023, 273, 127142. [Google Scholar] [CrossRef]
  3. Liu, G.; Li, H. Offshore Platform Integration and Floatover Technology; Springer: Berlin/Heidelberg, Germany, 2017. [Google Scholar]
  4. O’Neill, L.; Fakas, E.; Ronalds, B.; Christiansen, P. History, trends and evolution of float-over deck installation in open waters. In Proceedings of the SPE Annual Technical Conference and Exhibition, Dallas, TX, USA, 1–4 October 2000; p. SPE-63037-MS. [Google Scholar]
  5. Bai, X.; Luo, H.; Xie, P. Experimental investigation on motions behavior and loads characteristic of floatover installation with T-shaped barge. Ocean Eng. 2020, 195, 106761. [Google Scholar] [CrossRef]
  6. Geba, K.A.; Welaya, Y.M.; Leheta, H.W.; Abdel-Nasser, Y.A. The hydrodynamic performance of a novel float-over installation. Ocean Eng. 2017, 133, 116–132. [Google Scholar] [CrossRef]
  7. Maher, J.; Prislin, I.; Chao, J.; Halkyard, J.; Finn, L. Floatover deck installation for spars. In Proceedings of the Offshore Technology Conference, Houston, TX, USA, 30 April–3 May 2001; p. OTC-12971-MS. [Google Scholar]
  8. Tahar, A.; Halkyard, J.; Steen, A.; Finn, L. Float over installation method—Comprehensive comparison between numerical and model test results. J. Offshore Mech. Arct. Eng. 2006, 128, 256–262. [Google Scholar] [CrossRef]
  9. Edelson, D.; Halkyard, J.; Chen, L.; Chabot, L. Floatover deck installation on spars. In Proceedings of the International Conference on Offshore Mechanics and Arctic Engineering, San Diego, CA, USA, 10–15 June 2007; pp. 735–748. [Google Scholar]
  10. Tao, W.; Wang, S.; Song, X.; Guo, Y.; Zhao, Y. A continuous simulation method of load transfer process during twin-barge float-over installation. In Proceedings of the ISOPE International Ocean and Polar Engineering Conference, Virtual, 11–16 October 2020; p. ISOPE-I-20-1295. [Google Scholar]
  11. Zhao, S.; Meng, X.; Li, H.; Li, D.; Fu, Q. Continuous multi-body dynamic analysis of float-over deck installation with rapid load transfer technique in open waters. Ocean Eng. 2021, 224, 108729. [Google Scholar] [CrossRef]
  12. Zhao, S.; Meng, X.; Gao, Z.; Li, H. Numerical modeling of nonstationary hydrodynamic forces and induced motions of a coupled offshore floating installation system. Ocean Eng. 2022, 246, 110618. [Google Scholar] [CrossRef]
  13. Ohkusu, M. Ship Motions in Vicinity of a Structure; BOSS’76: Trondheim, Norway, 1976. [Google Scholar]
  14. Kodan, N. The motions of adjacent floating structures in oblique waves. J. Energy Resour. Technol. 1984, 106, 199–205. [Google Scholar] [CrossRef]
  15. Feng, X.; Bai, W. Wave resonances in a narrow gap between two barges using fully nonlinear numerical simulation. Appl. Ocean Res. 2015, 50, 119–129. [Google Scholar] [CrossRef]
  16. Jiang, S.; Bai, W.; Yan, B. Higher-order harmonic induced wave resonance for two side-by-side boxes in close proximity. Phys. Fluids 2021, 33, 102113. [Google Scholar] [CrossRef]
  17. Gao, J.; Lyu, J.; Wang, J.-H.; Zhang, J.; Liu, Q.; Zang, J.; Zou, T. Study on transient gap resonance with consideration of the motion of floating body. China Ocean Eng. 2022, 36, 994–1006. [Google Scholar] [CrossRef]
  18. Gao, J.; Gong, S.; He, Z.; Shi, H.; Zang, J.; Zou, T.; Bai, X. Study on wave loads during steady-state gap resonance with free heave motion of floating structure. J. Mar. Sci. Eng. 2023, 11, 448. [Google Scholar] [CrossRef]
  19. Molin, B. On the piston and sloshing modes in moonpools. J. Fluid Mech. 2001, 430, 27–50. [Google Scholar] [CrossRef]
  20. Lewandowski, E.M. Multi-vessel seakeeping computations with linear potential theory. Ocean Eng. 2008, 35, 1121–1131. [Google Scholar] [CrossRef]
  21. Sun, L.; Eatock Taylor, R.; Taylor, P.H. First-and second-order analysis of resonant waves between adjacent barges. J. Fluids Struct. 2010, 26, 954–978. [Google Scholar] [CrossRef]
  22. Xu, X.; Yang, J.; Li, X.; Xu, L. Hydrodynamic performance study of two side-by-side barges. Ships Offshore Struct. 2014, 9, 475–488. [Google Scholar] [CrossRef]
  23. Zhou, K.; Hu, Z.; Zhao, D. Time-domain analysis of the relative motions between side-by-side FLNG and LNGC under oblique waves. J. Mar. Sci. Appl. 2018, 17, 519–530. [Google Scholar] [CrossRef]
  24. Chua, K.; Eatock Taylor, R.; Choo, Y. Hydrodynamic interaction of side-by-side floating bodies part I: Development of CFD-based numerical analysis framework and modified potential flow model. Ocean Eng. 2018, 166, 404–415. [Google Scholar] [CrossRef]
  25. Zou, M.; Chen, M.; Zhu, L.; Li, L.; Zhao, W. A constant parameter time domain model for dynamic modelling of multi-body system with strong hydrodynamic interactions. Ocean Eng. 2023, 268, 113376. [Google Scholar] [CrossRef]
  26. Zou, M.; Chen, C.; Chen, M.; Xiao, P.; Ouyang, M.; Tang, Y.; Zhao, W.; Tian, X. Development of a coupled time-domain model for complexly moored multi-body system with application in catamaran float-over deck installation. Mar. Struct. 2025, 103, 103849. [Google Scholar] [CrossRef]
  27. Chen, M.; Zou, M.; Zhu, L. Frequency-domain response analysis of adjacent multiple floaters with flexible connections. J. Ship Mech. 2018, 22, 1164–1180. [Google Scholar]
  28. Chalkias, D.; Krijger, J.W. Moonpool behavior of a stationary vessel in waves and a method to increase operability. In Proceedings of the International Conference on Offshore Mechanics and Arctic Engineering, Trondheim, Norway, 25–30 June 2017; p. V001T001A014. [Google Scholar]
  29. Markeng, K.; Vada, T.; Pan, Z. Investigation of free surface damping models with applications to gap resonance problems. In Proceedings of the International Conference on Offshore Mechanics and Arctic Engineering, Trondheim, Norway, 25–30 June 2017; p. V07AT06A048. [Google Scholar]
  30. Cheetham, P.; Du, S.; May, R.; Smith, S. Hydrodynamic analysis of ships side by side in waves. In Proceedings of the International Aerospace CFD Conference, Paris, France, 18–19 June 2007. [Google Scholar]
  31. Newman, J.N. Wave effects on multiple bodies. Hydrodyn. Ship Ocean Eng. 2001, 3, 3–26. [Google Scholar]
  32. Cummins, W. The impulse response function and ship motions. Schiffstechnik 1962, 47, 101–109. [Google Scholar]
  33. Zhang, K.; Chen, M.; Zhou, H.; Chen, N.; Liang, C.; Hallak, T.S.; Yun, Q.; Tang, Y. An efficient time domain model for hybrid floating wind-wave platforms considering multi-body constraints and mooring system. Ocean Eng. 2025, 334, 121601. [Google Scholar] [CrossRef]
  34. Ogilvie, T.F. Recent progress toward the understanding and prediction of ship motions. In Proceedings of the Fifth Symposium on Naval Hydrodynamics, Bergen, Norway, 10–12 September 1964; pp. 3–79. [Google Scholar]
  35. Chen, M.; Zou, M.; Zhu, L.; Ouyang, M.; Liang, Q.; Zhao, W. A fully coupled time domain model capturing nonlinear dynamics of float-over deck installation. Ocean Eng. 2024, 293, 116721. [Google Scholar] [CrossRef]
  36. Chen, M.; Ouyang, M.; Li, T.; Zou, M.; Ye, J.; Tian, X. Numerical modelling of a catamaran float-over deck installation for a spar platform with complex hydrodynamic interactions and mechanical couplings. Ocean Eng. 2023, 287, 115905. [Google Scholar] [CrossRef]
  37. CCS. Analysis Guide for Transportation and Floatover Installation of Large Marine Structures; CCS: Beijing, China, 2020. [Google Scholar]
  38. Moskowitz, L. Estimates of the power spectrums for fully developed seas for wind speeds of 20 to 40 knots. J. Geophys. Res. 1964, 69, 5161–5179. [Google Scholar] [CrossRef]
  39. Kim, K.; Turnock, S.; Ando, J.; Becchi, P.; Minchev, A.; Semionicheva, E.; Van, S.; Zhou, W.; Korkut, E. The propulsion committee: Final report and recommendations to the 25th ITTC. In Proceedings of the 25th ITTC, Fukuoka, Japan, 14–20 September 2008. Volume I. [Google Scholar]
  40. Hasselmann, K.; Barnett, T.P.; Bouws, E.; Carlson, H.; Cartwright, D.E.; Enke, K.; Ewing, J.; Gienapp, A.; Hasselmann, D.; Kruseman, P. Measurements of wind-wave growth and swell decay during the Joint North Sea Wave Project (JONSWAP). Ergaenzungsheft Dtsch. Hydrogr. Z. Reihe A 1973. Available online: https://pure.mpg.de/pubman/faces/ViewItemOverviewPage.jsp?itemId=item_3262854 (accessed on 15 September 2025).
  41. Xu, X. Investigation on Couplng Dynamic Response of The Floatover System. Ph.D. Thesis, Shanghai Jiao Tong University, Shanghai, China, 2014. [Google Scholar]
  42. Tang, Y.; Chen, X.; Huang, G.; Chen, M.; Zhang, K.; Jiang, Y.; Li, T.; Tao, T.; Yang, Y. Dynamic analysis of multi-module floating photovoltaic platforms with composite mooring system by considering tidal variation and platform configuration. Ocean Eng. 2024, 312, 119243. [Google Scholar] [CrossRef]
  43. Gao, W.; Dong, L.; Huang, J. ANSYS AQWA Ruanjian Rumen Yu Tigao; China Water & Power Press: Beijing, China, 2018. [Google Scholar]
  44. Huijsmans, R.; Pinkster, J.; De Wilde, J. Diffraction and radiation of waves around side-by-side moored vessels. In Proceedings of the ISOPE International Ocean and Polar Engineering Conference, Stavanger, Norway, 17–22 June 2001; p. ISOPE-I-01-061. [Google Scholar]
  45. Chen, X. Hydrodynamic analysis for offshore LNG terminals. In Proceedings of the 2nd Offshore Hydrodynamics Symposium, Rio de Janeiro, Brazil, 14–15 April 2005. [Google Scholar]
  46. Zhao, W.; Pan, Z.; Lin, F.; Li, B.; Taylor, P.H.; Efthymiou, M. Estimation of gap resonance relevant to side-by-side offloading. Ocean Eng. 2018, 153, 1–9. [Google Scholar] [CrossRef]
  47. Ansys, A. AQWA Theory Manual; AQWA: Canonsburg, PA, USA, 2023. [Google Scholar]
  48. CCS. Application Guide for Structural Design and Assessment of Environmental Conditions in Marine Engineering; CCS: Beijing, China, 2021. [Google Scholar]
Figure 1. The parameters of the T–U-shaped barge and its design for float-over installation operations. (a) Front view and side view of the T–U-shaped barge. (b) Plan view of the T–U-shaped barge. (c) Schematic diagram of the bow-in float-over installation. (d) Schematic diagram of the stern-in float-over installation.
Figure 1. The parameters of the T–U-shaped barge and its design for float-over installation operations. (a) Front view and side view of the T–U-shaped barge. (b) Plan view of the T–U-shaped barge. (c) Schematic diagram of the bow-in float-over installation. (d) Schematic diagram of the stern-in float-over installation.
Jmse 13 02004 g001
Figure 2. Nonlinear stiffness curve of fenders.
Figure 2. Nonlinear stiffness curve of fenders.
Jmse 13 02004 g002
Figure 3. The time-domain modeling of bow-in float-over installation. (a) Schematic diagram of mooring lines and springing lines. (b) Schematic diagram of LMU, DSU, and fenders.
Figure 3. The time-domain modeling of bow-in float-over installation. (a) Schematic diagram of mooring lines and springing lines. (b) Schematic diagram of LMU, DSU, and fenders.
Jmse 13 02004 g003
Figure 4. The time-domain modeling of stern-in float-over installation. (a) Schematic diagram of mooring lines and springing lines. (b) Schematic diagram of LMU, DSU, and fenders.
Figure 4. The time-domain modeling of stern-in float-over installation. (a) Schematic diagram of mooring lines and springing lines. (b) Schematic diagram of LMU, DSU, and fenders.
Jmse 13 02004 g004
Figure 5. Schematic diagram of four barges with principal dimensions.
Figure 5. Schematic diagram of four barges with principal dimensions.
Jmse 13 02004 g005
Figure 6. Frequency-domain results across mesh sizes. (a,b) Added mass in roll and pitch. (c,d) Radiation damping in roll and pitch. (e,f) Motion RAOs in roll and pitch.
Figure 6. Frequency-domain results across mesh sizes. (a,b) Added mass in roll and pitch. (c,d) Radiation damping in roll and pitch. (e,f) Motion RAOs in roll and pitch.
Jmse 13 02004 g006
Figure 7. Comparison of roll RAO with and without damping corrections.
Figure 7. Comparison of roll RAO with and without damping corrections.
Jmse 13 02004 g007
Figure 8. Wave surface RAO within the U-shaped slot at various wave incidence angles. (a,c,e,g,i) Wave surface RAO in the 0°, 45°, 90°, 135°, and 180° wave directions for Profile 1. (b,d,f,h,j) Wave surface RAO in the 0°, 45°, 90°, 135°, and 180° wave directions for Profile 2.
Figure 8. Wave surface RAO within the U-shaped slot at various wave incidence angles. (a,c,e,g,i) Wave surface RAO in the 0°, 45°, 90°, 135°, and 180° wave directions for Profile 1. (b,d,f,h,j) Wave surface RAO in the 0°, 45°, 90°, 135°, and 180° wave directions for Profile 2.
Jmse 13 02004 g008aJmse 13 02004 g008b
Figure 9. Added mass for six degrees of freedom at varying damping coefficients. (a) Surge. (b) Sway. (c) Heave. (d) Roll. (e) Pitch. (f) Yaw.
Figure 9. Added mass for six degrees of freedom at varying damping coefficients. (a) Surge. (b) Sway. (c) Heave. (d) Roll. (e) Pitch. (f) Yaw.
Jmse 13 02004 g009
Figure 10. Radiation damping for six degrees of freedom at varying damping coefficients. (a) Surge. (b) Sway. (c) Heave. (d) Roll. (e) Pitch. (f) Yaw.
Figure 10. Radiation damping for six degrees of freedom at varying damping coefficients. (a) Surge. (b) Sway. (c) Heave. (d) Roll. (e) Pitch. (f) Yaw.
Jmse 13 02004 g010
Figure 11. Selected RAO under varying wave directions and damping coefficients. (ac) Heave, roll, and pitch RAOs in 0° wave directions under varying damping coefficients. (df) Heave, roll, and pitch RAOs in 45° wave directions under varying damping coefficients. (gi) Heave, roll, and pitch RAOs in 90° wave directions under varying damping coefficients.
Figure 11. Selected RAO under varying wave directions and damping coefficients. (ac) Heave, roll, and pitch RAOs in 0° wave directions under varying damping coefficients. (df) Heave, roll, and pitch RAOs in 45° wave directions under varying damping coefficients. (gi) Heave, roll, and pitch RAOs in 90° wave directions under varying damping coefficients.
Jmse 13 02004 g011aJmse 13 02004 g011b
Figure 12. Impulse response functions K t for multiple degrees of freedom under varying damping coefficients. (a) Heave. (b) Roll. (c) Pitch.
Figure 12. Impulse response functions K t for multiple degrees of freedom under varying damping coefficients. (a) Heave. (b) Roll. (c) Pitch.
Jmse 13 02004 g012
Figure 13. Comparison of frequency-domain and time-domain responses at the resonant frequency. (a) Heave motion in the piston mode. (b) Heave motion coupled with the first-order sloshing mode. (c) Roll motion in the piston mode. (d) Roll motion coupled with the first-order sloshing mode.
Figure 13. Comparison of frequency-domain and time-domain responses at the resonant frequency. (a) Heave motion in the piston mode. (b) Heave motion coupled with the first-order sloshing mode. (c) Roll motion in the piston mode. (d) Roll motion coupled with the first-order sloshing mode.
Jmse 13 02004 g013
Figure 14. Heave motion response of various barges for different wave incidence angles. (a) Heave RAO in the 0° wave direction. (b) Heave RAO in the 45° wave direction. (c) Heave RAO in the 90° wave direction. (d) Heave RAO in the 135° wave direction. (e) Heave RAO in the 180° wave direction.
Figure 14. Heave motion response of various barges for different wave incidence angles. (a) Heave RAO in the 0° wave direction. (b) Heave RAO in the 45° wave direction. (c) Heave RAO in the 90° wave direction. (d) Heave RAO in the 135° wave direction. (e) Heave RAO in the 180° wave direction.
Jmse 13 02004 g014
Figure 15. Roll motion response of various barges for different wave incidence angles. (a) Roll RAO in the 45° wave direction. (b) Roll RAO in the 90° wave direction. (c) Roll RAO in the 135° wave direction.
Figure 15. Roll motion response of various barges for different wave incidence angles. (a) Roll RAO in the 45° wave direction. (b) Roll RAO in the 90° wave direction. (c) Roll RAO in the 135° wave direction.
Jmse 13 02004 g015
Figure 16. Pitch motion response of various barges for different wave incidence angles. (a) Pitch RAO in the 0° wave direction. (b) Pitch RAO in the 45° wave direction. (c) Pitch RAO in the 90° wave direction. (d) Pitch RAO in the 135° wave direction. (e) Pitch RAO in the 180° wave direction.
Figure 16. Pitch motion response of various barges for different wave incidence angles. (a) Pitch RAO in the 0° wave direction. (b) Pitch RAO in the 45° wave direction. (c) Pitch RAO in the 90° wave direction. (d) Pitch RAO in the 135° wave direction. (e) Pitch RAO in the 180° wave direction.
Jmse 13 02004 g016
Figure 17. PSD function of LMU loads at the 0% stage under varying wave peak periods during the bow-in float-over installation. (a) 5 s; (b) 6 s; (c) 7 s; and (d) 8 s.
Figure 17. PSD function of LMU loads at the 0% stage under varying wave peak periods during the bow-in float-over installation. (a) 5 s; (b) 6 s; (c) 7 s; and (d) 8 s.
Jmse 13 02004 g017
Figure 18. PSD function of LMU loads at the 50% stage under varying wave peak periods during the bow-in float-over installation. (a) 5 s; (b) 6 s; (c) 7 s; and (d) 8 s.
Figure 18. PSD function of LMU loads at the 50% stage under varying wave peak periods during the bow-in float-over installation. (a) 5 s; (b) 6 s; (c) 7 s; and (d) 8 s.
Jmse 13 02004 g018
Figure 19. PSD function of LMU loads at the 100% stage under varying wave peak periods during the bow-in float-over installation. (a) 5 s; (b) 6 s; (c) 7 s; and (d) 8 s.
Figure 19. PSD function of LMU loads at the 100% stage under varying wave peak periods during the bow-in float-over installation. (a) 5 s; (b) 6 s; (c) 7 s; and (d) 8 s.
Jmse 13 02004 g019
Figure 20. Dynamic responses of the bow-in float-over installation system under varying load transfer stages and wave periods, the different colors denote the results corresponding to various wave periods. (a) Maximum LMU load. (b) Maximum vertical acceleration of the topside module. (c) Maximum roll angle of the topside module. (d) Maximum pitch angle of the topside module. (e) Maximum heave amplitude of the barge. (f) Maximum pitch angle of the barge.
Figure 20. Dynamic responses of the bow-in float-over installation system under varying load transfer stages and wave periods, the different colors denote the results corresponding to various wave periods. (a) Maximum LMU load. (b) Maximum vertical acceleration of the topside module. (c) Maximum roll angle of the topside module. (d) Maximum pitch angle of the topside module. (e) Maximum heave amplitude of the barge. (f) Maximum pitch angle of the barge.
Jmse 13 02004 g020aJmse 13 02004 g020b
Figure 21. PSD function of LMU loads at the 0% stage under varying wave peak periods during the stern-in float-over installation. (a) 5 s; (b) 6 s; (c) 7 s; and (d) 8 s.
Figure 21. PSD function of LMU loads at the 0% stage under varying wave peak periods during the stern-in float-over installation. (a) 5 s; (b) 6 s; (c) 7 s; and (d) 8 s.
Jmse 13 02004 g021
Figure 22. PSD function of LMU loads at the 50% stage under varying wave peak periods during the stern-in float-over installation. (a) 5 s; (b) 6 s; (c) 7 s; and (d) 8 s.
Figure 22. PSD function of LMU loads at the 50% stage under varying wave peak periods during the stern-in float-over installation. (a) 5 s; (b) 6 s; (c) 7 s; and (d) 8 s.
Jmse 13 02004 g022aJmse 13 02004 g022b
Figure 23. PSD function of LMU loads at the 100% stage under varying wave peak periods during the stern-in float-over installation. (a) 5 s; (b) 6 s; (c) 7 s; and (d) 8 s.
Figure 23. PSD function of LMU loads at the 100% stage under varying wave peak periods during the stern-in float-over installation. (a) 5 s; (b) 6 s; (c) 7 s; and (d) 8 s.
Jmse 13 02004 g023
Figure 24. Dynamic responses of the stern-in float-over installation system under varying load transfer stages and wave periods, the different colors denote the results corresponding to various wave periods. (a) Maximum LMU load. (b) Maximum vertical acceleration of the topside module. (c) Maximum roll angle of the topside module. (d) Maximum pitch angle of the topside module. (e) Maximum heave amplitude of the barge. (f) Maximum pitch angle of the barge.
Figure 24. Dynamic responses of the stern-in float-over installation system under varying load transfer stages and wave periods, the different colors denote the results corresponding to various wave periods. (a) Maximum LMU load. (b) Maximum vertical acceleration of the topside module. (c) Maximum roll angle of the topside module. (d) Maximum pitch angle of the topside module. (e) Maximum heave amplitude of the barge. (f) Maximum pitch angle of the barge.
Jmse 13 02004 g024
Table 1. Parameters of the novel T–U-shaped barge.
Table 1. Parameters of the novel T–U-shaped barge.
ParameterValue
Length [m]170
Width [m]36/58
Draft [m]8
Displacement [t]39,508
Rxx [m]15
Ryy [m]50
Rzz [m]50
Table 2. Parameters of the T–U-shaped barge during different transfer stages in bow-in float-over installation.
Table 2. Parameters of the T–U-shaped barge during different transfer stages in bow-in float-over installation.
ParameterStages
0%50%100%
Displacement [t]39,50849,33659,164
Longitudinal center of gravity position [m]−44.62−38.00−33.57
Horizontal distance from stern to jacket center [m]120120120
Vertical center of gravity [m]−2.00−1.90−1.80
Rxx [m]151515
Ryy [m]504847
Rzz [m]504847
Table 3. Topside module parameters during bow-in float-over installation.
Table 3. Topside module parameters during bow-in float-over installation.
ParameterValue
Length [m]62
Width [m]51
Height [m]30
Weight [t]13,000
Longitudinal center of gravity position [m]0
Vertical center of gravity [m]40.54
Rxx [m]29.54
Ryy [m]16.93
Rzz [m]29.06
Table 4. LMU parameters during bow-in float-over installation.
Table 4. LMU parameters during bow-in float-over installation.
ParameterValue
LMU stiffness [N/m]7.08 × 107
Maximum compression stroke of the LMU [m]0.30
LMU load-bearing capacity [t]1.30 × 104
DTS stiffness [N/m]3.54 × 108
Maximum compression stroke of the DTS [m]0.30
Horizontal stiffness [N/m]1.00 × 108
Horizontal capture radius [m]0.25
Table 5. DSU parameters during bow-in float-over installation.
Table 5. DSU parameters during bow-in float-over installation.
ParameterValue
DSU stiffness [N/m]7.08 × 107
Maximum compression stroke of the DSU [m]0.15
DSU load-bearing capacity [t]6.49 × 103
DTB stiffness [N/m]3.54 × 108
Maximum compression stroke of the DTB [m]0.15
Horizontal stiffness [N/m]1.00 × 108
Horizontal capture radius [m]0.25
Table 6. Mooring system parameters.
Table 6. Mooring system parameters.
ParameterMooring Chain 1Wire RopeMooring Chain 2Springing Mooring Lines
Diameter [mm]554747/
Weight per Unit [kg/m]51.8419.4425.92/
EA [N]4.67 × 1084.67 × 1072.80 × 1083.55 × 108
Table 7. Parameters of the T–U-shaped barge during different transfer stages in stern-in float-over installation.
Table 7. Parameters of the T–U-shaped barge during different transfer stages in stern-in float-over installation.
ParameterStages
0%50%100%
Displacement [t]44,50854,33664,164
Longitudinal center of gravity position [m]80.7273.4668.43
Horizontal distance from stern to jacket center [m]181818
Vertical center of gravity [m]−2.00−1.90−1.80
Rxx [m]151515
Ryy [m]504847
Rzz [m]504847
Table 8. Topside module parameters during stern-in float-over installation.
Table 8. Topside module parameters during stern-in float-over installation.
ParameterValue
Length [m]26
Width [m]51
Height [m]26
Weight [ton]8000
Longitudinal center of gravity position [m]0
Vertical center of gravity [m]30
Rxx [m]25
Ryy [m]12
Rzz [m]25
Table 9. LMU parameters during stern-in float-over installation.
Table 9. LMU parameters during stern-in float-over installation.
ParameterValue
LMU stiffness [N/m]4.36 × 107
Maximum compression stroke of the LMU [m]0.30
LMU load-bearing capacity [t]7.99 × 103
DTS stiffness [N/m]2.17 × 108
Maximum compression stroke of the DTS [m]0.50
Horizontal stiffness [N/m]1.00 × 108
Horizontal capture radius [m]0.25
Table 10. DSU parameters during stern-in float-over installation.
Table 10. DSU parameters during stern-in float-over installation.
ParameterValue
DSU stiffness [N/m]4.36 × 107
Maximum compression stroke of the DSU [m]0.15
DSU load-bearing capacity [t]3.99 × 103
DTB stiffness [N/m]2.17 × 108
Maximum compression stroke of the DTB [m]0.50
Horizontal stiffness [N/m]1.00 × 108
Horizontal capture radius [m]0.25
Table 11. Parameters of the three barges in standby condition.
Table 11. Parameters of the three barges in standby condition.
ParameterHYSY228Barge 1Barge 2
Length [m]170170170
Width [m]36/56.53656.5
Draft [m]888
Displacement [t]60,24540,88071,178
Longitudinal center of gravity position [m]76.7384.4584.45
Vertical center of gravity [m]−2−2−2
Rxx [m]28.8626.4231.75
Ryy [m]55.4443.7953.72
Rzz [m]55.0241.3651.73
Table 12. Comparative mesh convergence analysis data.
Table 12. Comparative mesh convergence analysis data.
Mesh Size [m]Mesh QuantityMaximum Calculation Frequency [rad/s] Relative Calculation Time
226141.921
1.833792.051.605
1.549332.282.761
Table 13. Comparison of resonance modes from AQWA and theoretical analysis.
Table 13. Comparison of resonance modes from AQWA and theoretical analysis.
Resonance ModeAQWA Result (rad/s)Theoretical Analysis (rad/s)
Formula (6)Formula (8)Formula (9)
Piston mode0.770.63//
First-order sloshing mode1.07/0.950.93
Second-order sloshing mode1.33/1.311.31
Third-order sloshing mode1.63/1.601.61
Table 14. Setup of validation cases in frequency and time domains.
Table 14. Setup of validation cases in frequency and time domains.
NumberWave TypeAmplitude [m]Frequency [rad/s]Direction [°]
1Airy wave10.7790
211.0790
Table 15. Environmental conditions configuration.
Table 15. Environmental conditions configuration.
StagesWave Direction [°]Wave Height [m]Wave Period [s]Wind Speed [m/s]Current Velocity [m/s]
0%1801.55, 6, 7, 8100.6
50%1801.5100.6
100%1801.5100.6
Disclaimer/Publisher’s Note: The statements, opinions and data contained in all publications are solely those of the individual author(s) and contributor(s) and not of MDPI and/or the editor(s). MDPI and/or the editor(s) disclaim responsibility for any injury to people or property resulting from any ideas, methods, instructions or products referred to in the content.

Share and Cite

MDPI and ACS Style

Li, P.; Zhao, L.; Ouyang, M.; Ye, K.; Zhao, R.; Zou, M.; Chen, M. Novel T–U-Shaped Barge Design and Dynamic Response Analysis for Float-Over Installation of Offshore Converter Platform. J. Mar. Sci. Eng. 2025, 13, 2004. https://doi.org/10.3390/jmse13102004

AMA Style

Li P, Zhao L, Ouyang M, Ye K, Zhao R, Zou M, Chen M. Novel T–U-Shaped Barge Design and Dynamic Response Analysis for Float-Over Installation of Offshore Converter Platform. Journal of Marine Science and Engineering. 2025; 13(10):2004. https://doi.org/10.3390/jmse13102004

Chicago/Turabian Style

Li, Ping, Li Zhao, Mingjun Ouyang, Kai Ye, Rui Zhao, Meiyan Zou, and Mingsheng Chen. 2025. "Novel T–U-Shaped Barge Design and Dynamic Response Analysis for Float-Over Installation of Offshore Converter Platform" Journal of Marine Science and Engineering 13, no. 10: 2004. https://doi.org/10.3390/jmse13102004

APA Style

Li, P., Zhao, L., Ouyang, M., Ye, K., Zhao, R., Zou, M., & Chen, M. (2025). Novel T–U-Shaped Barge Design and Dynamic Response Analysis for Float-Over Installation of Offshore Converter Platform. Journal of Marine Science and Engineering, 13(10), 2004. https://doi.org/10.3390/jmse13102004

Note that from the first issue of 2016, this journal uses article numbers instead of page numbers. See further details here.

Article Metrics

Back to TopTop