Path Identification in Passive Acoustic Tomography via Time Delay Difference Comparison and Accumulation Analysis
Abstract
1. Introduction
2. Theory
2.1. Empirical Green’s Function Extraction
2.2. Arrival Time Delay Difference Modeling
3. Sensitivity Analysis of Coherent Wavefront Extraction
3.1. Influence of SSP Variability and Spacing of Seafloor Hydrophones on Coherent Wavefront Extraction
3.2. Sensitivity of Arrival Time Delay and Delay Differences to SSP Perturbation
3.3. Impact of Accumulation Time on Coherent Wavefront Extraction
4. Experiment
4.1. Overview of Experiment
4.2. Temporal Variability of the NCF
4.3. Ray Path Identification
4.3.1. Hydrophone Pair D–F
4.3.2. Hydrophone Pairs C–D and C–B
5. Conclusions
Author Contributions
Funding
Data Availability Statement
Conflicts of Interest
Abbreviations
| Abbreviations | Description | Mathematical Symbols | Description |
| POAT | Passive Ocean Acoustic Tomography | c | Sound speed |
| OAT | Ocean Acoustic Tomography | Correlation coefficient of time delay | |
| NCF | Noise Cross-correlation Function | Correlation coefficient of time delay difference | |
| EGF | Empirical Green’s Function | t | Time delay |
| TDGF | Time-domain Green’s Function | Time delay difference | |
| CIR | Coherent-to-Incoherent Ratio | p | Sound pressure |
| SNR | Signal-to-Noise Ratio | Correlation time | |
| SSP | Sound Speed Profile | Recording duration | |
| HYCOM | Hybrid Coordinate Ocean Model | r | Hydrophone pair spacing |
| D | Direct arrival | a | Amplitude |
| B | Single bottom-reflected arrival | C | Noise cross-correlation function |
| 2B | Double bottom-reflected arrival | G | Green’s function |
| 3B | Triple bottom-reflected arrival | ||
| 1S1B | Single surface-bottom reflection arrival | ||
| 2S2B | Double surface-bottom reflection arrival | ||
| 3S3B | Triple surface-bottom reflection arrival | ||
| 4S4B | Quadruple surface-bottom reflection arrival |
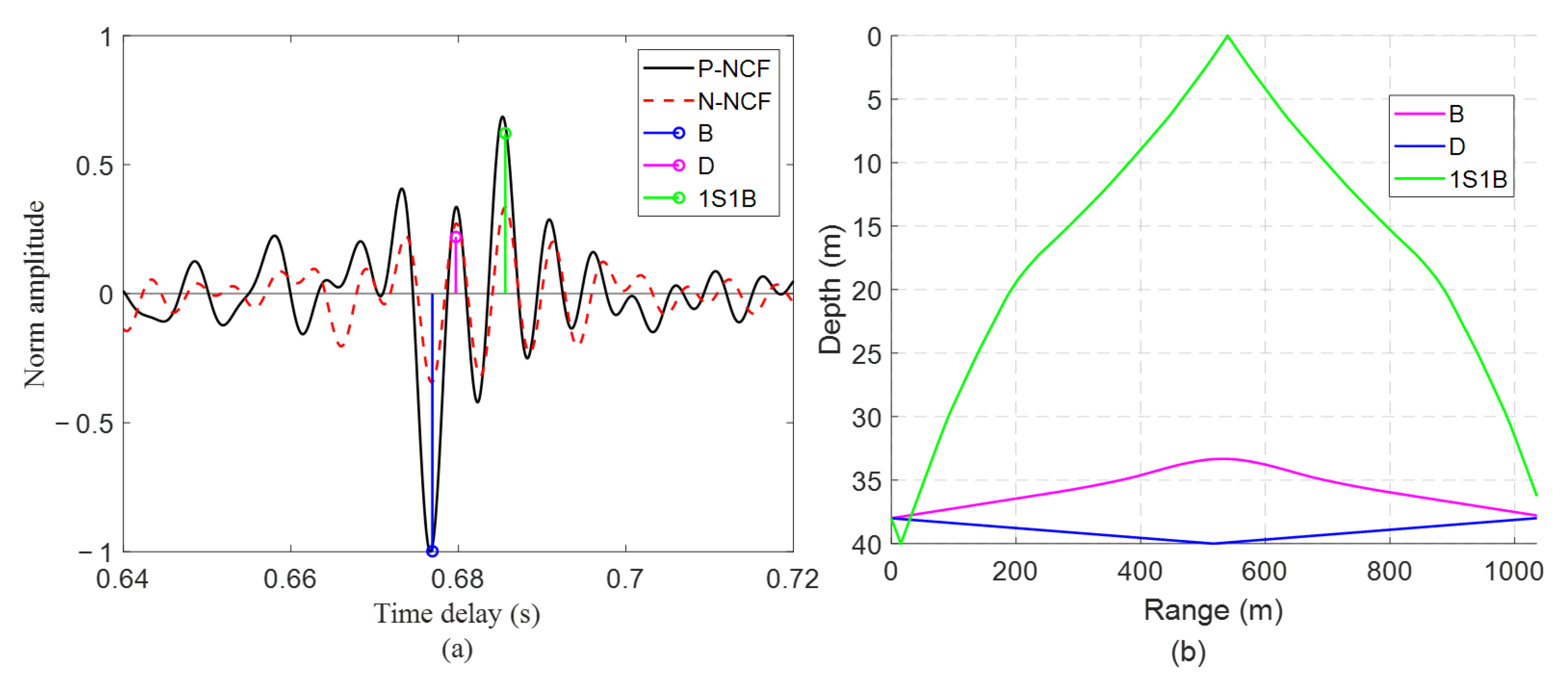
Appendix A
- 1.
- The direct path (D) arrival time delay is identified by maximizing correlation between:
- Simulated D arrival time delay (Bellhop).
- Experimental peak time delay .
- 2.
- Time delay differences ( for experiment, for simulation) are computed for all other arrival paths relative to D.
- 3.
- Experimental values are correlated with Bellhop-simulated , where , , and is time delay of simulated arrival path except D. The correlation coefficient . is the number of SSP at different time instants.
- 4.
- Each experimental peak is assigned a path label (e.g., 1S1B, 2S2B) based on the correlation coefficient between and . A threshold (e.g., 0.5) is used to determine reliable matches.
Appendix B
References
- Tan, T.; Godin, O.A. Rapid emergence of empirical Green’s functions from cross-correlations of ambient sound on continental shelf. J. Acoust. Soc. Am. 2023, 154, 3784–3798. [Google Scholar] [CrossRef]
- Li, F.; Yang, X.; Zhang, Y.; Luo, W.; Gan, W. Passive ocean acoustic tomography in shallow water. J. Acoust. Soc. Am. 2019, 145, 2823–2830. [Google Scholar] [CrossRef] [PubMed]
- Fried, S.E.; Kuperman, W.A.; Sabra, K.G.; Roux, P. Extracting the local Green’s function on a horizontal array from ambient ocean noise. J. Acoust. Soc. Am. 2008, 124, EL183–EL188. [Google Scholar] [CrossRef] [PubMed]
- Brooks, L.A.; Gerstoft, P. Green’s function approximation from cross-correlations of 20–100 Hz noise during a tropical storm. J. Acoust. Soc. Am. 2009, 125, 723–734. [Google Scholar] [CrossRef] [PubMed]
- Godin, O.A. Accuracy of the deterministic travel time retrieval from cross-correlations of non-diffuse ambient noise. J. Acoust. Soc. Am. 2009, 126, EL183–EL189. [Google Scholar] [CrossRef]
- Brown, M.G.; Godin, O.A.; Williams, N.J.; Zabotin, N.A.; Zabotina, L.; Banker, G.J. Acoustic Green’s function extraction from ambient noise in a coastal ocean environment. Geophys. Res. Lett. 2014, 41, 5555–5562. [Google Scholar] [CrossRef]
- Weaver, R.; Froment, B.; Campillo, M. On the correlation of non-isotropically distributed ballistic scalar diffuse waves. J. Acoust. Soc. Am. 2009, 126, 1817–1826. [Google Scholar] [CrossRef]
- Godin, O.A. Cross-correlation function of acoustic fields generated by random high-frequency sources. J. Acoust. Soc. Am. 2010, 128, 600–610. [Google Scholar] [CrossRef]
- Godin, O.A.; Zabotin, N.A.; Goncharov, V.V. Ocean tomography with acoustic daylight. Geophys. Res. Lett. 2010, 37, L13605. [Google Scholar] [CrossRef]
- Skarsoulis, E.; Cornuelle, B. Cross-correlation of shipping noise: Refraction and receiver-motion effects. J. Acoust. Soc. Am. 2019, 145, 3003–3010. [Google Scholar] [CrossRef]
- Skarsoulis, E.; Cornuelle, B. Cross-correlation sensitivity kernels with respect to noise source distribution. J. Acoust. Soc. Am. 2020, 147, 1–9. [Google Scholar] [CrossRef] [PubMed]
- Godin, O.A. Ocean tomography with acoustic daylight. J. Acoust. Soc. Am. 2018, 143, 595–604. [Google Scholar] [CrossRef] [PubMed]
- Roux, P.; Kuperman, W.A.; Group, N. Extracting coherent wavefronts from acoustic ambient noise in the ocean. Geophys. Res. Lett. 2004, 116, 1995–2003. [Google Scholar]
- Sabra, K.G.; Roux, P.; Kuperman, W.A. Arrival-time structure of the time-averaged ambient noise cross-correlation function in an oceanic waveguide. J. Acoust. Soc. Am. 2005, 116, 164–174. [Google Scholar] [CrossRef]
- Siderius, M.; Harrison, C.H.; Porter, M.B. A passive fathometer technique for imaging seabed layering using ambient noise. J. Acoust. Soc. Am. 2006, 120, 1315–1323. [Google Scholar] [CrossRef]
- Siderius, M.; Song, H.; Gerstoft, P. Adaptive passive fathometer processing. J. Acoust. Soc. Am. 2010, 127, 2193–2200. [Google Scholar] [CrossRef]
- Leroy, C.; Lani, S.; Sabra, K.G. Enhancing the emergence rate of coherent wavefronts from ocean ambient noise correlations using spatio-temporal filters. J. Acoust. Soc. Am. 2012, 132, 883–893. [Google Scholar] [CrossRef]
- Fried, S.E.; Walker, S.C.; Hodgkiss, W.S.; Kuperman, W.A. Measuring the effect of ambient noise directionality and split-beam processing on the convergence of the cross-correlation function. J. Acoust. Soc. Am. 2013, 134, 1824–1832. [Google Scholar] [CrossRef]
- Lani, W.; Sabra, K.G.; Hodgkiss, W.S.; Kuperman, W.A.; Philippe, R. Coherent processing of shipping noise for ocean monitoring. J. Acoust. Soc. Am. 2013, 133, EL108–EL113. [Google Scholar] [CrossRef]
- Woolfe, K.F.; Lani, S.; Sabra, K.G.; Kuperman, W.A. Monitoring deep-ocean temperatures using acoustic ambient noise. Geophys. Res. Lett. 2015, 42, 2878–2884. [Google Scholar] [CrossRef]
- Evers, L.G.; Wapenaar, K.; Heaney, K.D.; Snellen, M. Deep ocean sound speed characteristics passively derived from the ambient acoustic noise field. Geophys. J. Int. 2017, 210, 27–33. [Google Scholar] [CrossRef]
- Munk, W.; Wunsch, C.; Heaney, K.D.; Snellen, M. Ocean acoustic tomography: A scheme for large scale monitoring. Deep Sea Res. Part A 1979, 26, 123–161. [Google Scholar] [CrossRef]
- Behringer, D.; Birdsall, T.; Brown, M.; Cornuelle, B.; Heinmiller, R.; Knox, R.; Metzger, K.; Munk, W.; Spiesberger, J.; Spindel, R. A demonstration of ocean acoustic tomography. Nature 1982, 299, 121–125. [Google Scholar] [CrossRef]
- Munk, W.H.; Worcester, P.; Wuncsh, C. Ocean Acoustic Tomography; Cambridge University Press: Cambridge, UK, 1995; Volume 26. [Google Scholar]
- Shang, E.C. Ocean acoustic tomography based on adiabatic mode theory. J. Acoust. Soc. Am. 1989, 4, 1531–1537. [Google Scholar] [CrossRef]
- Tolstoy, A.; Diachok, O. Low frequency acoustic tomography using matched field processing. In Proceedings of the Engineering in the Ocean Environment, Washington, DC, USA, 24–26 September 1990; pp. 24–26. [Google Scholar]
- Li, F.; Wang, K.; Yang, X.; Zhang, B.; Zhang, Y. Passive ocean acoustic thermometry with machine learning. Appl. Acoust. 2021, 181, 108167. [Google Scholar] [CrossRef]
- Goncharov, V.; Shurup, A.; Godin, O.; Zabotin, N.; Vedenev, A.; Sergeev, S.; Brown, M.G.; Shatravin, A. Tomographic inversion of measured cross-correlation functions of ocean noise in shallow water using ray theory. Acoust. Phys. 2016, 62, 436–446. [Google Scholar] [CrossRef]
- Sergeev, S.; Shurup, A.; Godin, O.; Vedenev, A.; Goncharov, V.; Mukhanov, P.Y.; Zabotin, N.; Brown, M.G. Separation of acoustic modes in the Florida Straits using noise interferometry. Acoust. Phys. 2017, 63, 76–85. [Google Scholar] [CrossRef]
- Godin, O.A. Recovering the acoustic Green’s function from ambient noise cross correlation in an inhomogeneous moving medium. Phys. Rev. Lett. 2006, 97, 054301. [Google Scholar] [CrossRef]
- Sabra, K.G.; Roux, P.; Thode, A.M.; D’Spain, G.L.; Hodgkiss, W.S.; Kuperman, W.A. Emergence rate of the time-domain green’s function from the ambient noise cross-correlation function. J. Acoust. Soc. Am. 2005, 118, 3524–3531. [Google Scholar] [CrossRef]
- Sabra, K.G.; Roux, P.; Kuperman, W.A. Using ocean ambient noise for array self-localization and self-synchronization. IEEE J. Oceanic Eng. 2005, 30, 338–347. [Google Scholar] [CrossRef]
- Medwin, H.; Clay, C.S.; Stanton, T.K. Fundamentals of acoustical oceanography. J. Acoust. Soc. Am. 1999, 4, 2065–2066. [Google Scholar] [CrossRef]
- Porter, M.B.; Bucker, H.P. Gaussian beam tracing for computing ocean acoustic fields. J. Acoust. Soc. Am. 1987, 82, 1349–1359. [Google Scholar] [CrossRef]
- Jensen, F.B.; Kuperman, W.A.; Porter, M.B. Computational Ocean Acoustics; Springer: New York, NY, USA, 1995. [Google Scholar]
- Zabotin, N.A.; Godin, O.A. Emergence of acoustic Green’s functions from time averages of ambient noise. Acta Acust. United Acust. 2011, 97, 44–53. [Google Scholar] [CrossRef]
- Godin, O.A.; Brown, M.G.; Zabotin, N.A.; Zabotina, L.Y.; Williams, N.J. Passive acoustic measurement of flow velocity in the Straits of Florida. Geosci. Lett. 2014, 1, 16–23. [Google Scholar] [CrossRef]
- Tan, T.W.; Godin, O.A.; Brown, M.G.; Zabotin, N.A. Characterizing the seabed in the Straits of Florida by using acoustic noise interferometry and time warping. J. Acoust. Soc. Am. 2019, 146, 2321–2334. [Google Scholar] [CrossRef]
- Tan, T.W.; Godin, O.A.; Katsnelson, B.; Yarina, M. Passive geoacoustic inversion in the Mid-Atlantic Bight in the presence of strong water column variability. J. Acoust. Soc. Am. 2020, 125, 453–459. [Google Scholar] [CrossRef]















| No. | Time (2023) |
|---|---|
| 1 | 6 August, 11:07 |
| 2–4 | 7 August, 16:08, 11:07, 19:59 |
| 5–6 | 8 August, 16:05, 19:56 |
| 7–12 | 9 August, 10:04, 10:44, 12:00, 14:16, 17:06, 17:41 |
| 13–17 | 10 August, 9:31, 14:58, 15:41, 17:50, 19:39 |
| 18–20 | 11 August, 10:30, 14:37, 15:45 |
| 21 | 12 August, 15:46 |
| 22 | 13 August, 10:00 |
| Hydrophone | Recording Duration | Clock Drift |
|---|---|---|
| D | 6 Days | 1.46 μs |
| F | 5 Days | 66.3 μs |
| J | 6 Days | 13.1 μs |
| B | 6 Days | 30.8 μs |
| C | 6 Days | 91.9 μs |
Disclaimer/Publisher’s Note: The statements, opinions and data contained in all publications are solely those of the individual author(s) and contributor(s) and not of MDPI and/or the editor(s). MDPI and/or the editor(s) disclaim responsibility for any injury to people or property resulting from any ideas, methods, instructions or products referred to in the content. |
© 2025 by the authors. Licensee MDPI, Basel, Switzerland. This article is an open access article distributed under the terms and conditions of the Creative Commons Attribution (CC BY) license (https://creativecommons.org/licenses/by/4.0/).
Share and Cite
Ma, T.; Zhang, T.; Xu, W. Path Identification in Passive Acoustic Tomography via Time Delay Difference Comparison and Accumulation Analysis. J. Mar. Sci. Eng. 2025, 13, 1996. https://doi.org/10.3390/jmse13101996
Ma T, Zhang T, Xu W. Path Identification in Passive Acoustic Tomography via Time Delay Difference Comparison and Accumulation Analysis. Journal of Marine Science and Engineering. 2025; 13(10):1996. https://doi.org/10.3390/jmse13101996
Chicago/Turabian StyleMa, Tianyu, Ting Zhang, and Wen Xu. 2025. "Path Identification in Passive Acoustic Tomography via Time Delay Difference Comparison and Accumulation Analysis" Journal of Marine Science and Engineering 13, no. 10: 1996. https://doi.org/10.3390/jmse13101996
APA StyleMa, T., Zhang, T., & Xu, W. (2025). Path Identification in Passive Acoustic Tomography via Time Delay Difference Comparison and Accumulation Analysis. Journal of Marine Science and Engineering, 13(10), 1996. https://doi.org/10.3390/jmse13101996

