Deep Learning-Based Non-Parametric System Identification and Interpretability Analysis for Improving Ship Motion Prediction
Abstract
1. Introduction
- (1)
- A hybrid model combining convolutional neural networks, bidirectional long short-term memory networks, and attention mechanisms was proposed and applied to the nonparametric system identification of ship motion.
- (2)
- The predictive capability of the model can be enhanced by incorporating environmental factors and additional historical factors as inputs, based on traditional ship operation motion models.
- (3)
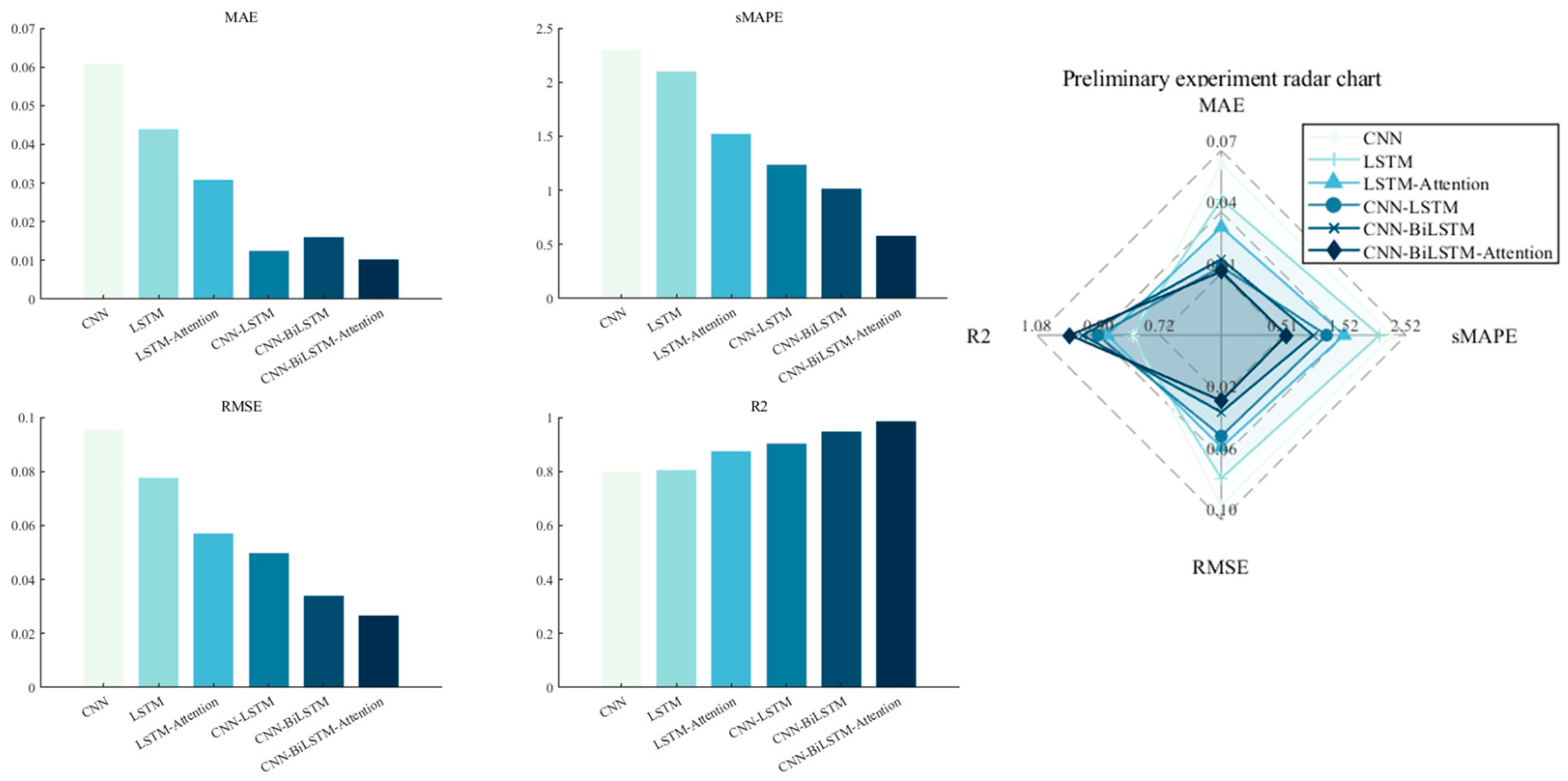
- The proposed CNN-BiLSTM-Attention model was compared with the current mainstream deep learning models CNN, LSTM, LSTM-Attention, CNN-LSTM, and CNN-BiLSTM, considering four evaluation metrics: MAE, sMAPE, RMSE, and R2.
- (4)
- A coupled CNN-BiLSTM-Attention model employing SHapley Additive exPlanations (SHAP) technology was adopted to predict ship motion processes and identify key input feature factors for global interpretation and analysis.
2. The Construction of a MIMO Ship Maneuvering Motion Model
2.1. An Introduction to the 4-DOF Ship Maneuvering Motion Model
2.2. The Construction of Deep Learning Networks
2.2.1. Convolutional Neural Network Model
2.2.2. LSTM and BiLSTM Model
2.2.3. Multi-Head Attention Mechanisms
2.2.4. CNN-BiLSTM-Attention Model
3. SHapley Additive exPlanations Technology
4. Experimental Data and Design
4.1. Composition of Experimental Data
4.2. Evaluation Indicators
4.3. Determination of Historical Data Dimensions
5. Results and Discussion
5.1. The Training Process
5.2. Comparative Experiments of Different Models
5.3. Global Interpretation and Analysis of Models
6. Conclusions
Author Contributions
Funding
Data Availability Statement
Conflicts of Interest
References
- Zhao, L.; Xu, M.; Liu, L.; Bai, Y.; Zhang, M.; Yan, R. Intelligent Shipping: Integrating Autonomous Maneuvering and Maritime Knowledge in the Singapore-Rotterdam Corridor. Commun. Eng. 2025, 4, 11. [Google Scholar] [CrossRef]
- Zhuang, S.; Liu, Y.; Wang, W.; Guo, S.; Ni, D. Traffic Flow Theory for Waterway Traffic: Current Challenges and Countermeasures. J. Mar. Sci. Eng. 2024, 12, 2254. [Google Scholar] [CrossRef]
- Chislett, M.S.; Strom-Tejsen, J. Planar Motion Mechanism Tests and Full-Scale Steering and Manoeuvring Predictions for a MARINER Class Vessel. Int. Shipbuild. Prog. 1965, 12, 201–224. [Google Scholar] [CrossRef]
- Norrbin, N.H. Theory and Observations on the Use of a Mathematical Model for Ship Manoeuvring in Deep and Confined Waters; Swedish State Shipbuilding Experimental Tank (SSPA): Gothenburg, Sweden, 1971; 122p. [Google Scholar]
- Ogawa, A.; Kasai, H. On the Mathematical Model of Manoeuvring Motion of Ships. Int. Shipbuild. Prog. 1978, 25, 306–319. [Google Scholar] [CrossRef]
- Abkowitz, M.A. Measurement of Hydrodynamic Characteristics from Ship Maneuvering Trials by System Identification; Society of Naval Architects and Marine Engineers (SNAME): Jersey City, NJ, USA, 1980; 27p. [Google Scholar]
- Nomoto, K.; Taguchi, T.; Honda, K.; Hirano, S. On the Steering Qualities of Ships. Int. Shipbuild. Prog. 1957, 4, 354–370. [Google Scholar] [CrossRef]
- Sutulo, S.; Soares, C.G. Nomoto-Type Manoeuvring Mathematical Models and Their Applicability to Simulation Tasks. Ocean. Eng. 2024, 304, 117639. [Google Scholar] [CrossRef]
- Liu, Y.; An, S.; Wang, L.; Liu, P.; Deng, F.; Liu, S.; Wang, Z.; Fan, Z. Maneuverability Prediction of Ship Nonlinear Motion Models Based on Parameter Identification and Optimization. Measurement 2024, 236, 115033. [Google Scholar] [CrossRef]
- Suyama, R.; Matsushita, R.; Kakuta, R.; Wakita, K.; Maki, A. Parameter Fine-Tuning Method for MMG Model Using Real-Scale Ship Data. Ocean Eng. 2024, 298, 117323. [Google Scholar] [CrossRef]
- Chiuso, A.; Pillonetto, G. System Identification: A Machine Learning Perspective. Annu. Rev. Control Robot. Auton. Syst. 2019, 2, 281–304. [Google Scholar] [CrossRef]
- Wang, Z.; Zou, Z.; Soares, C.G. Identification of Ship Manoeuvring Motion Based on Nu-Support Vector Machine. Ocean Eng. 2019, 183, 270–281. [Google Scholar] [CrossRef]
- Shigunov, V. Manoeuvrability in Adverse Conditions: Rational Criteria and Standards. J. Mar. Sci. Technol. 2018, 23, 958–976. [Google Scholar] [CrossRef]
- Iphar, C.; Le Berre, I.; Foulquier, É.; Napoli, A. Port Call Extraction from Vessel Location Data for Characterising Harbour Traffic. Ocean. Eng. 2024, 293, 116771. [Google Scholar] [CrossRef]
- Yan, Z.; Cheng, L.; He, R.; Yang, H. Extracting Ship Stopping Information from AIS Data. Ocean Eng. 2022, 250, 111004. [Google Scholar] [CrossRef]
- Xue, Y.; Chen, G.; Li, Z.; Xue, G.; Wang, W.; Liu, Y. Online Identification of a Ship Maneuvering Model Using a Fast Noisy Input Gaussian Process. Ocean Eng. 2022, 250, 110704. [Google Scholar] [CrossRef]
- Hao, L.; Han, Y.; Shi, C.; Pan, Z. Recurrent Neural Networks for Nonparametric Modeling of Ship Maneuvering Motion. Int. J. Nav. Archit. Ocean. Eng. 2022, 14, 100436. [Google Scholar] [CrossRef]
- Lou, J.; Wang, H.; Yuan, W.; Yi, H. Influence of Sample Intervals in Real-Sea Trails on the Nonparametric Model of 3-DoF Ship Motion Predictions. J. Ocean. Eng. Sci. 2024, 10, 621–645. [Google Scholar] [CrossRef]
- Wakita, K.; Maki, A.; Umeda, N.; Miyauchi, Y.; Shimoji, T.; Rachman, D.M.; Akimoto, Y. On Neural Network Identification for Low-Speed Ship Maneuvering Model. J. Mar. Sci. Technol. 2022, 27, 772–785. [Google Scholar] [CrossRef]
- Zhu, M.; Tian, K.; Wen, Y.-Q.; Cao, J.-N.; Huang, L. Improved PER-DDPG Based Nonparametric Modeling of Ship Dynamics with Uncertainty. Ocean Eng. 2023, 286, 115513. [Google Scholar] [CrossRef]
- Wang, Z.; Kim, J.; Im, N. Non-Parameterized Ship Maneuvering Model of Deep Neural Networks Based on Real Voyage Data-Driven. Ocean Eng. 2023, 284, 115162. [Google Scholar] [CrossRef]
- Woo, J.; Park, J.; Yu, C.; Kim, N. Dynamic Model Identification of Unmanned Surface Vehicles Using Deep Learning Network. Appl. Ocean. Res. 2018, 78, 123–133. [Google Scholar] [CrossRef]
- Jiang, Y.; Hou, X.-R.; Wang, X.-G.; Wang, Z.-H.; Yang, Z.-L.; Zou, Z.-J. Identification Modeling and Prediction of Ship Maneuvering Motion Based on LSTM Deep Neural Network. J. Mar. Sci. Technol. 2022, 27, 125–137. [Google Scholar] [CrossRef]
- Siami-Namini, S.; Tavakoli, N.; Namin, A.S. The Performance of LSTM and BiLSTM in Forecasting Time Series. In Proceedings of the 2019 IEEE International Conference on Big Data (Big Data), Los Angeles, CA, USA, 9–12 December 2019; pp. 3285–3292. [Google Scholar]
- Mei, B.; Li, C.; Liu, D.; Zhang, J.; Wang, H. AUV Maneuvering Modeling Using System Identification Methods with Adaptive VMD, Improved CNN, and Free-Running Model Test. Ocean Eng. 2025, 324, 120645. [Google Scholar] [CrossRef]
- Chen, Y.; Yuan, L.; Qin, L.; Zhang, N.; Li, L.; Wu, K.; Zhou, Z. A Forecasting Model with Hybrid Bidirectional Long Short-Term Memory for Mooring Line Responses of Semi-Submersible Offshore Platforms. Appl. Ocean. Res. 2024, 150, 104145. [Google Scholar] [CrossRef]
- Strumbelj, E.; Kononenko, I. An Efficient Explanation of Individual Classifications Using Game Theory. J. Mach. Learn. Res. 2010, 11, 1–18. [Google Scholar]
- Zhu, X.; Zhang, H.; Liu, Z.; Cai, C.; Fu, L.; Yang, M.; Chen, H. Deep Learning-Based Interpretable Prediction and Compensation Method for Improving Pose Accuracy of Parallel Robots. Expert Syst. Appl. 2025, 268, 126289. [Google Scholar] [CrossRef]
- He, L.; Aouf, N.; Song, B. Explainable Deep Reinforcement Learning for UAV Autonomous Path Planning. Aerosp. Sci. Technol. 2021, 118, 107052. [Google Scholar] [CrossRef]
- Li, Z.; Liu, F.; Yang, W.; Peng, S.; Zhou, J. A Survey of Convolutional Neural Networks: Analysis, Applications, and Prospects. IEEE Trans. Neural Netw. Learn. Syst. 2022, 33, 6999–7019. [Google Scholar] [CrossRef]
- LeCun, Y.; Boser, B.; Denker, J.S.; Henderson, D.; Howard, R.E.; Hubbard, W.; Jackel, L.D. Backpropagation Applied to Handwritten Zip Code Recognition. Neural Comput. 1989, 1, 541–551. [Google Scholar] [CrossRef]
- Gu, J.; Wang, Z.; Kuen, J.; Ma, L.; Shahroudy, A.; Shuai, B.; Liu, T.; Wang, X.; Wang, G.; Cai, J.; et al. Recent Advances in Convolutional Neural Networks. Pattern Recognit. 2018, 77, 354–377. [Google Scholar] [CrossRef]
- Cui, Z.; Ke, R.; Pu, Z.; Wang, Y. Deep Bidirectional and Unidirectional LSTM Recurrent Neural Network for Network-Wide Traffic Speed Prediction. arXiv 2019, arXiv:1801.02143. [Google Scholar] [CrossRef]
- Handhayani, T.; Lewenusa, I.; Herwindiati, D.E.; Hendryli, J. A Comparison of LSTM and BiLSTM for Forecasting the Air Pollution Index and Meteorological Conditions in Jakarta. In Proceedings of the 2022 5th International Seminar on Research of Information Technology and Intelligent Systems (ISRITI), Yogyakarta, Indonesia, 8–9 December 2022; pp. 334–339. [Google Scholar]
- Vaswani, A.; Shazeer, N.; Parmar, N.; Uszkoreit, J.; Jones, L.; Gomez, A.N.; Kaiser, Ł.; Polosukhin, I. Attention Is All You Need. arXiv 2023, arXiv:1706.03762. [Google Scholar]
- Li, J.; Wang, X.; Tu, Z.; Lyu, M.R. On the Diversity of Multi-Head Attention. Neurocomputing 2021, 454, 14–24. [Google Scholar] [CrossRef]
- Chen, H.; Jiang, D.; Sahli, H. Transformer Encoder With Multi-Modal Multi-Head Attention for Continuous Affect Recognition. IEEE Trans. Multimed. 2021, 23, 4171–4183. [Google Scholar] [CrossRef]
- Štrumbelj, E.; Kononenko, I. Explaining Prediction Models and Individual Predictions with Feature Contributions. Knowl. Inf. Syst. 2014, 41, 647–665. [Google Scholar] [CrossRef]
- Ribeiro, M.T.; Singh, S.; Guestrin, C. “Why Should I Trust You?”: Explaining the Predictions of Any Classifier. In Proceedings of the 22nd ACM SIGKDD International Conference on Knowledge Discovery and Data Mining (KDD ’16), San Francisco, CA, USA, 13–17 August 2016; Association for Computing Machinery: San Francisco, CA, USA, 2016; pp. 1135–1144. [Google Scholar] [CrossRef]
- Lundberg, S.M.; Erion, G.; Chen, H.; DeGrave, A.; Prutkin, J.M.; Nair, B.; Katz, R.; Himmelfarb, J.; Bansal, N.; Lee, S.-I. From Local Explanations to Global Understanding with Explainable AI for Trees. Nat. Mach. Intell. 2020, 2, 56–67. [Google Scholar] [CrossRef]
- Baier, A.; Boukhers, Z.; Staab, S. Hybrid Physics and Deep Learning Model for Interpretable Vehicle State Prediction. arXiv 2022, arXiv:2103.06727. [Google Scholar] [CrossRef]
- Perez, T.; Ross, A.; Fossen, T. A 4-DOF Simulink Model of a Coastal Patrol Vessel for Manoeuvring in Waves. In Proceedings of the 7th IFAC Conference on Manoeuvring and Control of Marine Craft, Lisbon, Portugal, 20–22 September 2006; International Federation for Automatic Control: Lisbon, Portugal, 2006; pp. 1–6. [Google Scholar]
- Isherwood, R.M. Wind Resistance of Merchant Ships; Royal Institution of Naval Architects: London, UK, 1973; Volume 115, pp. 327–338. [Google Scholar]
- Hasselmann, K.; Barnett, T.; Bouws, E.; Carlson, H.; Cartwright, D.; Enke, K.; Ewing, J.; Gienapp, H.; Hasselmann, D.; Kruseman, P.; et al. Measurements of Wind-Wave Growth and Swell Decay during the Joint North Sea Wave Project (JONSWAP). Deut. Hydrogr. Z. 1973, 8, 1–95. [Google Scholar]
- Kingma, D.P.; Ba, J. Adam: A Method for Stochastic Optimization. arXiv 2017, arXiv:1412.6980. [Google Scholar] [CrossRef]
- Reddi, S.J.; Kale, S.; Kumar, S. On the Convergence of Adam and Beyond. arXiv 2019, arXiv:1904.09237. [Google Scholar] [CrossRef]




















| Symbol | Physical Meaning/Description |
|---|---|
| Surge, sway, and heave velocities in the body-fixed coordinate system. | |
| Rolling, pitching, and yaw rates representing angular velocities about the principal axes. | |
| Linear and angular accelerations corresponding to . | |
| Roll, pitch, and yaw angles describing vessel attitude. | |
| Rudder angle, deflection of the rudder from the neutral position controlling yaw motion. | |
| Propeller rotational speed determining thrust magnitude. | |
| Hydrodynamic forces (surge, sway) and moments (roll, yaw) acting on the hull. | |
| Ship mass and moments of inertia about the longitudinal and vertical axes. | |
| True wind speed and relative wind angle acting on the vessel. | |
| Nonlinear mapping function approximated by the deep learning model. | |
| Trainable weight matrices and bias vectors in each neural network layer. | |
| Hidden and cell state vectors in LSTM/BiLSTM units representing temporal dependencies. | |
| Query, key, and value matrices used in the multi-head attention mechanism. | |
| Evaluation metrics measuring absolute, relative, and overall prediction accuracy. | |
| SHapley value of feature i, indicating its contribution to the model’s output. | |
| Set of all features considered in SHAP computation. | |
| Marginal contribution of feature i to model prediction, computed by game-theoretic averaging. |
| Items | MAE | sMAPE | RMSE | |
|---|---|---|---|---|
| 0 s | 0.0670 | 2.6426 | 0.1533 | 0.5576 |
| 1 s | 0.0531 | 3.7412 | 0.0932 | 0.7602 |
| 5 s | 0.0344 | 3.1501 | 0.0884 | 0.8960 |
| 10 s | 0.0260 | 3.0280 | 0.0725 | 0.9058 |
| 50 s | 0.0276 | 2.9250 | 0.0717 | 0.9044 |
| Component | Configuration and Description |
|---|---|
| Input | sampled at 1 Hz; historical time steps are used as sequential inputs. |
| CNN stack | Two Conv1D layers: filters [32, 64]; kernel size = 3; stride = 1; padding = “same”; each followed by ReLU and MaxPool (pool size = 2). |
| Temporal alignment | Feature maps flattened/reshaped into a time–feature sequence for recurrent processing. |
| BiLSTM | Two bidirectional LSTM layers; 128 hidden units per direction. |
| Multi-head self-attention | Number of heads = 3; key dimension = 6; attention weights computed with softmax. |
| Outputs | Predicted accelerations . |
| Loss | MSE. |
| Activation function | ReLU. |
| Optimizer | Adam. |
| Learning-rate schedule | Initial 0.001; reduced to 0.0002 after 3000 iterations. |
| Dropout | 0.05. |
| Batch size | 256. |
| Epochs | 5000. |
| CNN | LSTM | LSTM- Attention | CNN-LSTM | CNN-BiLSTM | CNN-BiLSTM-Attention | |
|---|---|---|---|---|---|---|
| 0.0186 | 0.0188 | 0.0177 | 0.0158 | 0.0122 | 0.0099 | |
| 1.1914 | 1.1903 | 1.1120 | 1.0269 | 1.0057 | 0.6708 | |
| 0.0418 | 0.0419 | 0.0409 | 0.0396 | 0.0338 | 0.0262 | |
| 0.8368 | 0.8381 | 0.8718 | 0.900 | 0.9354 | 0.9829 |
| CNN | LSTM | LSTM- Attention | CNN-LSTM | CNN-BiLSTM | |
|---|---|---|---|---|---|
| 46.46 | 46.86 | 43.74 | 36.78 | 18.41 | |
| 55.34 | 43.65 | 39.67 | 34.69 | 33.30 | |
| 37.14 | 37.36 | 35.79 | 33.58 | 22.33 | |
| 14.85 | 14.72 | 11.30 | 8.32 | 4.83 |
| CNN-LSTM | CNN-BiLSTM | CNN-BiLSTM-Attention | ||||||||||
|---|---|---|---|---|---|---|---|---|---|---|---|---|
| MAE | 0.0153 | 0.0156 | 0.0162 | 0.159 | 0.0122 | 0.0126 | 0.0131 | 0.0128 | 0.0095 | 0.0101 | 0.0112 | 0.099 |
| sMAPE | 1.0245 | 1.0232 | 1.0643 | 1.0336 | 1.0068 | 1.0078 | 1.0082 | 1.008 | 0.6843 | 0.7105 | 0.7522 | 0.6635 |
| RMSE | 0.0394 | 0.0391 | 0.0411 | 0.0392 | 0.0327 | 0.0333 | 0.0358 | 0.0347 | 0.0262 | 0.0268 | 0.0271 | 0.0265 |
| R2 | 0.9193 | 0.9263 | 0.8942 | 0.9125 | 0.9308 | 0.9279 | 0.9187 | 0.9294 | 0.9844 | 0.9821 | 0.9819 | 0.9848 |
Disclaimer/Publisher’s Note: The statements, opinions and data contained in all publications are solely those of the individual author(s) and contributor(s) and not of MDPI and/or the editor(s). MDPI and/or the editor(s) disclaim responsibility for any injury to people or property resulting from any ideas, methods, instructions or products referred to in the content. |
© 2025 by the authors. Licensee MDPI, Basel, Switzerland. This article is an open access article distributed under the terms and conditions of the Creative Commons Attribution (CC BY) license (https://creativecommons.org/licenses/by/4.0/).
Share and Cite
Guo, S.; Zhuang, S.; Wang, J.; Peng, X.; Liu, Y. Deep Learning-Based Non-Parametric System Identification and Interpretability Analysis for Improving Ship Motion Prediction. J. Mar. Sci. Eng. 2025, 13, 2017. https://doi.org/10.3390/jmse13102017
Guo S, Zhuang S, Wang J, Peng X, Liu Y. Deep Learning-Based Non-Parametric System Identification and Interpretability Analysis for Improving Ship Motion Prediction. Journal of Marine Science and Engineering. 2025; 13(10):2017. https://doi.org/10.3390/jmse13102017
Chicago/Turabian StyleGuo, Shaojie, Siqing Zhuang, Junyi Wang, Xi Peng, and Yihua Liu. 2025. "Deep Learning-Based Non-Parametric System Identification and Interpretability Analysis for Improving Ship Motion Prediction" Journal of Marine Science and Engineering 13, no. 10: 2017. https://doi.org/10.3390/jmse13102017
APA StyleGuo, S., Zhuang, S., Wang, J., Peng, X., & Liu, Y. (2025). Deep Learning-Based Non-Parametric System Identification and Interpretability Analysis for Improving Ship Motion Prediction. Journal of Marine Science and Engineering, 13(10), 2017. https://doi.org/10.3390/jmse13102017

