- Article
A Flexible Bivariate Lifetime Model with Upper Bound: Theoretical Development and Lifetime Application
- Shuhrah Alghamdi,
- Tassaddaq Hussain,
- Hassan S. Bakouch and
- Maher Kachour
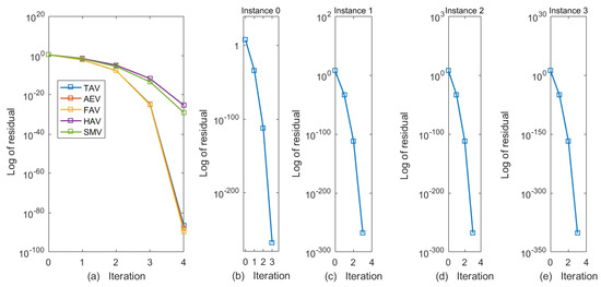
This paper introduces the bivariate bounded Gompertz–log-logistic (BBGLL) distribution, a bounded bivariate lifetime model built by coupling two bounded Gompertz–log-logistic marginals through a Clayton copula with an independent dependen...

