Research on the Flexible Job Shop Scheduling Problem with Job Priorities Considering Transportation Time and Setup Time
Abstract
1. Introduction
2. Related Work
3. Problem Description and Mathematical Model
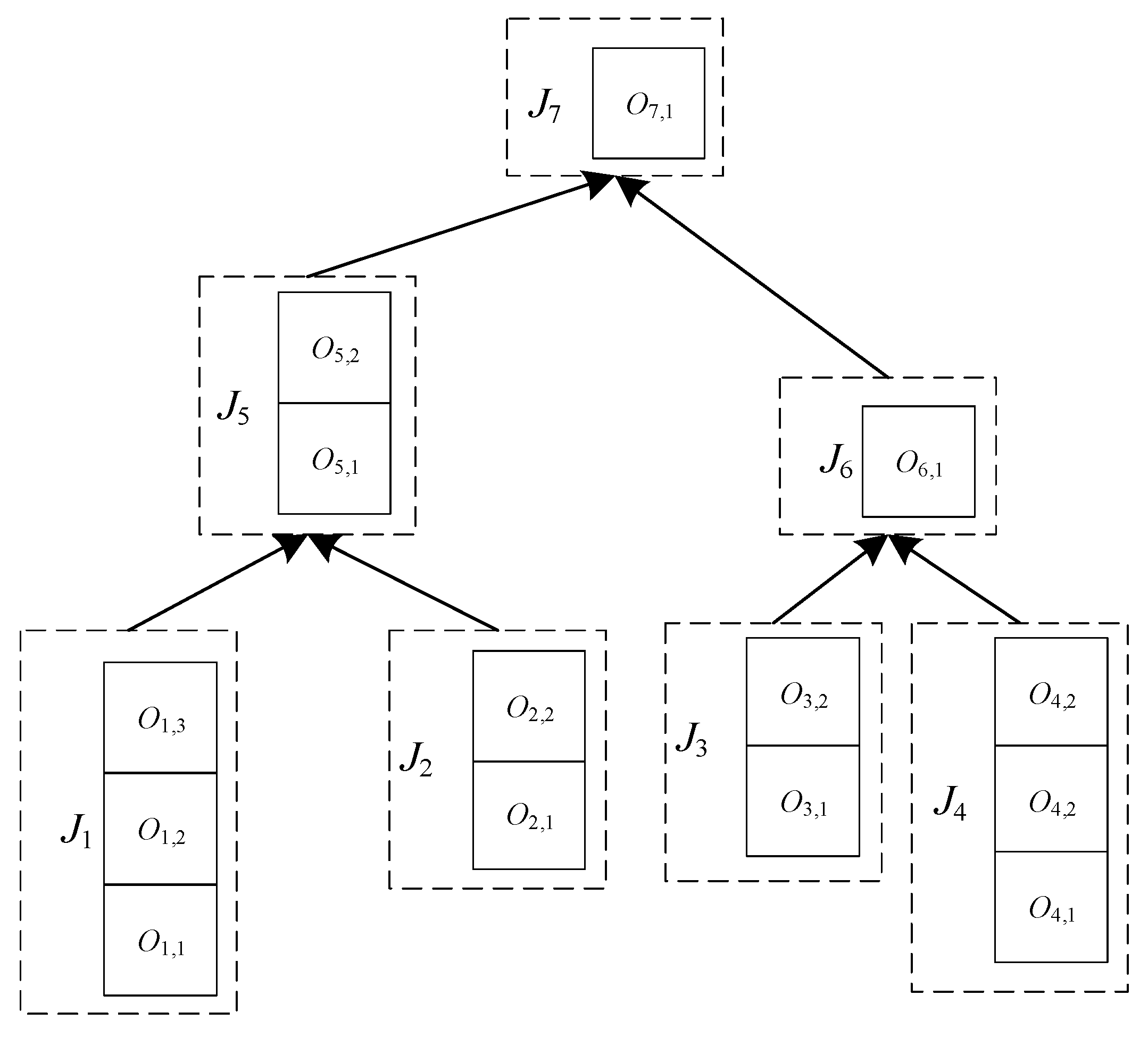
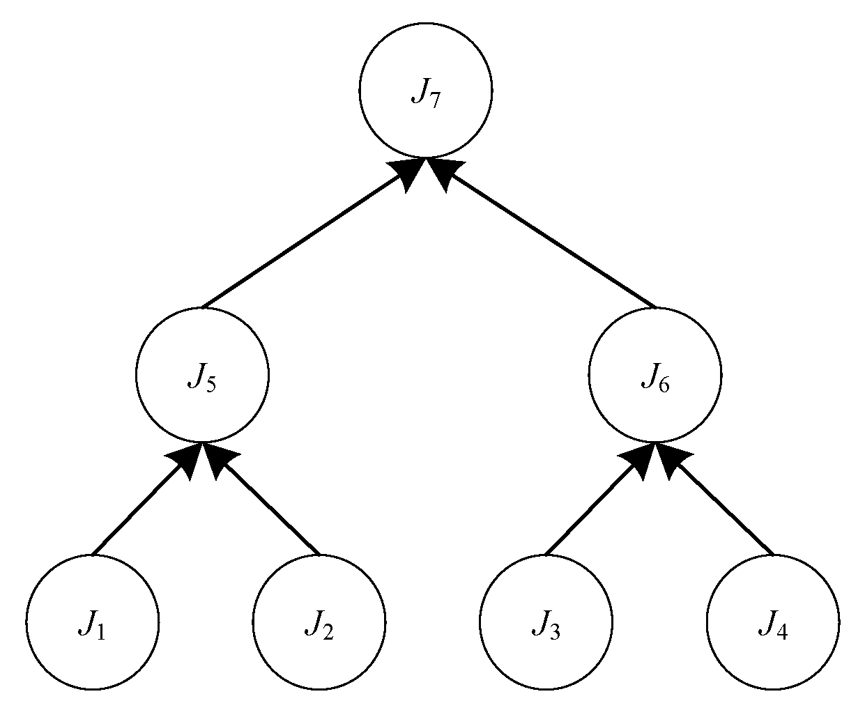
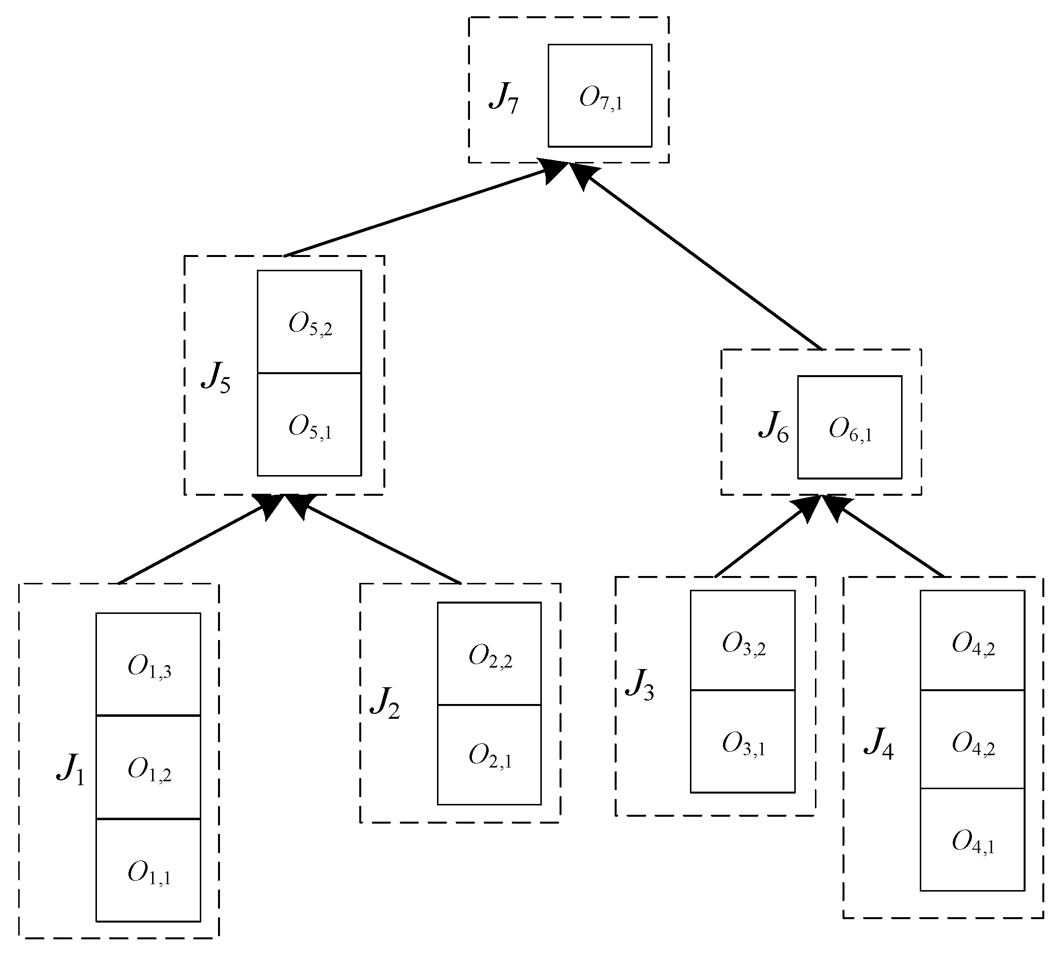
3.1. Problem Description
- (1)
- Each operation can only be processed by one machine, and once processing starts, it must be completed continuously without preemption or interruption allowed.
- (2)
- Each machine can only process one operation at the same time.
- (3)
- An operation cannot be interrupted during processing until the operation is completed.
- (4)
- The processing of a parent job must wait for all its child jobs to be completed.
- (5)
- There is a sufficient number of AGVs or robots, and all jobs can be immediately transported by any available transportation equipment without AGV competition or waiting time.
- (6)
- The setup time of an operation on a machine only depends on the machine and the operation and is not affected by other factors.
- (7)
- Situations such as equipment failures, order insertions, and order cancellations are not considered.
3.2. Mathematical Model
- (1)
- Non-negativity and variable definitions:
- (2)
- Machine assignment constraints:
- (3)
- Intra-job sequence and transportation constraints:
- (4)
- Inter-job precedence (BOM) and transportation constraints:
- (5)
- Machine processing sequence with setup time constraints:
4. Solution Method
4.1. Encoding and Decoding
4.1.1. Encoding
4.1.2. Decoding
- (1)
- For the non-first operation of any job, its start time must meet the following combined conditions: First, it is necessary to wait for the previous operation to be completed on machine , and add the transportation time of the job from machine to the current machine ; at the same time, the current machine needs to complete the previous processing task and the setup time for operation . Since the transportation process and machine setup can be executed in parallel, the actual value of is determined by the maximum of the transportation ready time and the machine ready time, that is:
- (2)
- For the first operation of any job, if job is a parent job, it must additionally wait for the processing and transportation of all its child jobs to be completed, while still satisfying the machine setup constraint as follows:
4.1.3. Population Initialization
4.2. Traditional WOA
- ①
- Encircling Prey: Individuals move towards the current best solution to narrow the encirclement. The position update formulas are:
- ②
- Bubble-net Attacking: After encircling the prey, whales perform a spiral bubble-net attack. They move towards the prey along a logarithmic spiral path while the attack radius decays with iterations. The position update formula is:
- ③
- Searching for Prey: To explore new areas, whales randomly select another individual and move towards it. The position update formulas are:
- ④
- Adaptive Switching Strategy: This strategy intelligently balances global exploration and local exploitation through the dynamic parameter . The absolute value exhibits distinct phase characteristics. In early iterations, a larger often results in , promoting global exploration. Whales are guided toward a randomly selected individual (Equation (31)), introducing random perturbations that help escape local optima and explore unknown regions, thus maintaining population diversity. As iterations progress and decays, typically falls below 1, switching to local exploitation. Whales then focus on the current best solution and select with equal probability (50%) either the shrinking encirclement (Equation (24)) or the spiral update path (Equation (29)). This dual mechanism enables fine-grained search near the optimum, using spiral paths to avoid local traps, thereby enhancing convergence accuracy and speed.
4.3. Improved IWOA
4.3.1. Multi-Level Sub-Population Optimization Strategy
4.3.2. Adaptive Inertia Weight
4.3.3. Cross-Population Differential Evolution Strategy
4.4. Algorithm Steps
4.5. Computational Complexity Analysis
5. Simulation Experiment Analysis
5.1. Instance Generation
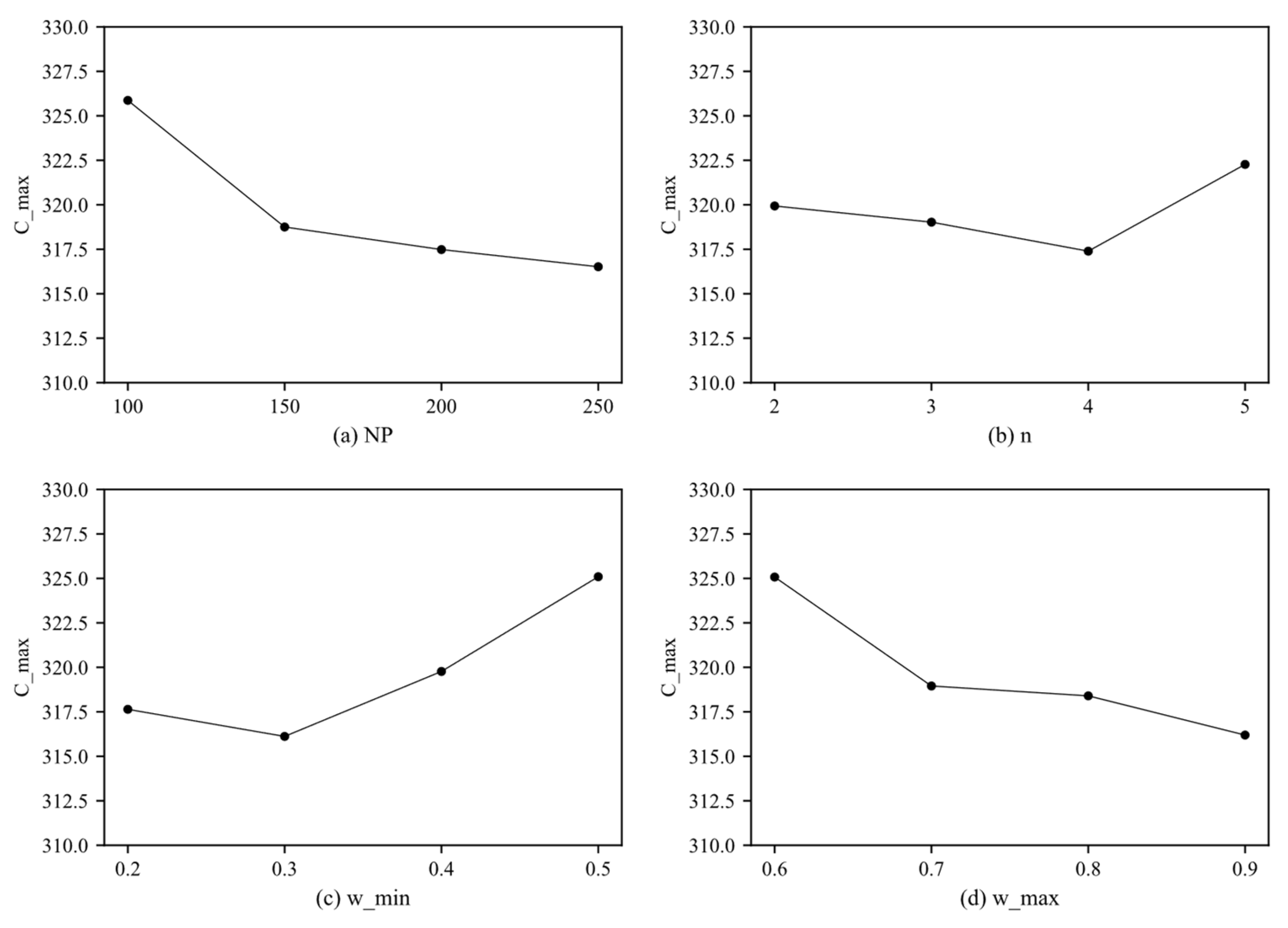
5.2. Parameter Experiments
5.3. Ablation Experiments
5.4. Comparative Experiments
6. Conclusions
Author Contributions
Funding
Data Availability Statement
Conflicts of Interest
Abbreviations
| FJSP | Flexible Job-shop Scheduling Problem |
| BOM | Bill of Materials |
| FJSP-JPC-TST | flexible job-shop scheduling problem with job priority constraints, transportation time, and setup time |
| IWOA | Improved Whale Optimization Algorithm |
| ROV | Ranked Order Value |
References
- Brucker, P.; Schlie, R. Job-shop scheduling with multi-purpose machines. Computing 1990, 45, 369–375. [Google Scholar] [CrossRef]
- Gao, K.; Cao, Z.; Zhang, L.; Chen, Z.; Han, Y.; Pan, Q. A review on swarm intelligence and evolutionary algorithms for solving flexible job shop scheduling problems. IEEE/CAA J. Autom. Sin. 2019, 6, 904–916. [Google Scholar] [CrossRef]
- Jiang, T.; Liu, L.; Zhu, H.; Li, Y. An Improved Elephant Herding Optimization for Energy-Saving Assembly Job Shop Scheduling Problem with Transportation Times. Axioms 2022, 11, 561. [Google Scholar] [CrossRef]
- Liu, L.; Jiang, T.; Zhu, H.; Shang, C. A New Interior Search Algorithm for Energy-Saving Flexible Job Shop Scheduling with Overlapping Operations and Transportation Times. Axioms 2022, 11, 306. [Google Scholar] [CrossRef]
- Yin, N.; He, H.; Zhao, Y.; Chang, Y.; Wang, N. Integrating Group Setup Time Deterioration Effects and Job Processing Time Learning Effects with Group Technology in Single-Machine Green Scheduling. Axioms 2025, 14, 480. [Google Scholar] [CrossRef]
- Branke, J.; Su, N.; Pickardt, C.W.; Zhang, M. Automated design of production scheduling heuristics: A review. IEEE Trans. Evol. Comput. 2016, 20, 110–124. [Google Scholar] [CrossRef]
- Sun, J.; Zhang, G.; Lu, J.; Zhang, W. A hybrid many-objective evolutionary algorithm for flexible job-shop scheduling problem with transportation and setup times. Comput. Oper. Res. 2021, 135, 105263. [Google Scholar] [CrossRef]
- Zhang, H.; Xu, G.; Pan, R.; Ge, H. A novel heuristic method for the energy-efficient flexible job-shop scheduling problem with sequence-dependent set-up and transportation time. Eng. Optim. 2022, 54, 1646–1667. [Google Scholar] [CrossRef]
- Brandimarte, P. Routing and scheduling in a flexible job shop by tabu search. Ann. Oper. Res. 1993, 41, 157–183. [Google Scholar] [CrossRef]
- Vilcot, G.; Billaut, J.C. A tabu search and a genetic algorithm for solving a bicriteria general job shop scheduling problem. Eur. J. Oper. Res. 2008, 190, 398–411. [Google Scholar] [CrossRef]
- Birgin, E.G.; Feofiloff, P.; Fernandes, C.G.; de Paula, F.L.; Pedrosa, D.P.; Toffolo, T.A.M. A MILP model for an extended version of the flexible job shop problem. Optim. Lett. 2014, 8, 1417–1431. [Google Scholar] [CrossRef]
- Zou, P.; Rajora, M.; Liang, S.Y. A new algorithm based on evolutionary computation for hierarchically coupled constraint optimization: Methodology and application to assembly job-shop scheduling. J. Sched. 2018, 21, 545–563. [Google Scholar] [CrossRef]
- Zhu, Z.; Zhou, X.; Shao, K. A novel approach based on Neo4j for multi-constrained flexible job shop scheduling problem. Comput. Ind. Eng. 2019, 130, 671–686. [Google Scholar] [CrossRef]
- Zhu, Z.; Zhou, X. Flexible job-shop scheduling problem with job precedence constraints and interval grey processing time. Comput. Ind. Eng. 2020, 148, 106781. [Google Scholar] [CrossRef]
- Gao, Y.; Xie, Z.; Yang, D.; Yu, X. Flexible integrated scheduling algorithm based on remaining work probability selection coding. Expert Syst. 2021, 38, e12690. [Google Scholar] [CrossRef]
- Xie, Z.; Yang, D.; Ma, M.; Yu, X. An improved artificial bee colony algorithm for the flexible integrated scheduling problem using networked devices collaboration. Int. J. Coop. Inf. Syst. 2020, 29, 2050015. [Google Scholar] [CrossRef]
- Lei, Q.; Guo, W.; Song, Y. Integrated scheduling algorithm based on an operation relationship matrix table for tree-structured products. Int. J. Prod. Res. 2018, 56, 5437–5456. [Google Scholar] [CrossRef]
- Zhu, Z.; Zhou, X.; Cao, D.; Li, M. A shuffled cellular evolutionary grey wolf optimizer for flexible job shop scheduling problem with tree-structure job precedence constraints. Appl. Soft Comput. 2022, 125, 109235. [Google Scholar] [CrossRef]
- Li, H.; Wang, X.; Peng, J. A hybrid differential evolution algorithm for flexible job shop scheduling with outsourcing operations and job priority constraints. Expert Syst. Appl. 2022, 201, 117182. [Google Scholar] [CrossRef]
- Zhang, G.; Sun, J.; Lu, X.; Zhang, H. An improved memetic algorithm for the flexible job shop scheduling problem with transportation times. Meas. Control 2020, 53, 1518–1528. [Google Scholar] [CrossRef]
- Homayouni, S.M.; Fontes, D.B.M.M. Production and transport scheduling in flexible job shop manufacturing systems. J. Glob. Optim. 2021, 79, 437–465. [Google Scholar] [CrossRef]
- Jiang, T.; Zhu, H.; Liu, L.; Gong, Q. Energy-conscious flexible job shop scheduling problem considering transportation time and deterioration effect simultaneously. Sustain. Comput. Inform. Syst. 2022, 35, 100680. [Google Scholar] [CrossRef]
- Pal, M.; Mittal, M.L.; Soni, G.; Chouhan, S.S.; Kumar, M. A multi-agent system for FJSP with setup and transportation times. Expert Syst. Appl. 2023, 216, 119474. [Google Scholar] [CrossRef]
- Chen, X.; Li, J.; Wang, Z.; Li, J.; Gao, K. A genetic programming based cooperative evolutionary algorithm for flexible job shop with crane transportation and setup times. Appl. Soft Comput. 2025, 169, 111456. [Google Scholar] [CrossRef]
- He, Z.; Tang, B.; Gu, C.; Ran, N. Enhanced Monte-Carlo tree search for dynamic flexible job shop scheduling with transportation time constraints. Expert Syst. 2025, 42, e13727. [Google Scholar] [CrossRef]
- Meng, L.; Gao, K.; Ren, Y.; Zhang, B.; Sang, H.; Zhang, C. Novel MILP and CP models for distributed hybrid flowshop scheduling problem with sequence-dependent setup times. Swarm Evol. Comput. 2022, 71, 101063. [Google Scholar] [CrossRef]
- Li, M.; Lei, D. An imperialist competitive algorithm with feedback for energy-efficient flexible job shop scheduling with transportation and sequence-dependent setup times. Eng. Appl. Artif. Intell. 2021, 103, 104320. [Google Scholar] [CrossRef]
- Sun, H.-B.; Chen, Y.-R.; Lin, J. An effective two-stage heuristic for scheduling the distributed assembly flowshops with sequence dependent setup times. Comput. Oper. Res. 2025, 173, 106890. [Google Scholar] [CrossRef]
- Karabulut, K.; Ztop, H.; Kizilay, D.; Tasgetiren, M.F.; Kandiller, L. An evolution strategy approach for the distributed permutation flowshop scheduling problem with sequence-dependent setup times. Comput. Oper. Res. 2022, 142, 105733. [Google Scholar] [CrossRef]
- Chen, X.; Li, J.; Wang, Z.; Chen, Q.; Gao, K.; Pan, Q. Optimizing Dynamic Flexible Job Shop Scheduling Using an Evolutionary Multi-Task Optimization Framework and Genetic Programming. IEEE Trans. Evol. Comput. 2025, 29, 1502–1516. [Google Scholar] [CrossRef]
- Liu, X.; Jiang, D.; Tao, B.; Jiang, G.Z.; Sun, Y.; Kong, J.Y.; Chen, B.J. Genetic algorithm-based trajectory optimization for digital twin robots. Front. Bioeng. Biotechnol. 2021, 9, 793782. [Google Scholar] [CrossRef] [PubMed]
- Teng, G. An improved genetic algorithm for dual-resource constrained flexible job shop scheduling problem with tool-switching dependent setup time. Expert Syst. Appl. 2025, 281, 123456. [Google Scholar] [CrossRef]
- Kong, J.; Wang, Z. Research on flexible job shop scheduling problem with handling and setup time based on improved discrete particle swarm algorithm. Appl. Sci. 2024, 14, 2586. [Google Scholar] [CrossRef]
- Shi, K.J.; Huang, L.; Jiang, D.; Sun, Y.; Tong, X.L.; Xie, Y.M.; Fang, Z.F. Path planning optimization of intelligent vehicle based on improved genetic and ant colony hybrid algorithm. Front. Bioeng. Biotechnol. 2022, 10, 905983. [Google Scholar] [CrossRef]
- Jasim, A.M.; Jasim, B.H.; Bures, V. A novel grid-connected microgrid energy management system with optimal sizing using hybrid grey wolf and cuckoo search optimization algorithm. Front. Energy Res. 2022, 10, 960141. [Google Scholar] [CrossRef]
- Chen, X.L.; Li, J.Q.; Xu, Y. Q-learning based multi-objective immune algorithm for fuzzy flexible job shop scheduling problem considering dynamic disruptions. Swarm Evol. Comput. 2023, 83, 101398. [Google Scholar] [CrossRef]
- Lv, Z.; Zhao, Y.; Kang, H.; Gao, Z.; Qin, Y. An improved Harris hawk optimization algorithm for flexible job shop scheduling problem. Comput. Mater. Contin. 2024, 78, 2337–2360. [Google Scholar] [CrossRef]
- Luo, Q.; Deng, Q.; Gong, G.; Guo, X.; Liu, X. A distributed flexible job shop scheduling problem considering worker arrangement using an improved memetic algorithm. Expert Syst. Appl. 2024, 239, 117984. [Google Scholar] [CrossRef]
- Dehghani, M.; Trojovský, P. Osprey optimization algorithm: A new bio-inspired metaheuristic algorithm for solving engineering optimization problems. Sci. Rep. 2023, 13, 19583. [Google Scholar] [CrossRef]
- Zhang, X.F.; Xiao, F.; Tong, X.L.; Yun, J.T.; Liu, Y.; Sun, Y.; Chen, B.J. Time optimal trajectory planning based on improved sparrow search algorithm. Front. Bioeng. Biotechnol. 2022, 10, 852408. [Google Scholar] [CrossRef]
- Mirjalili, S.; Lewis, A. The whale optimization algorithm. Adv. Eng. Softw. 2016, 95, 51–67. [Google Scholar] [CrossRef]
- Got, A.; Moussaoui, A.; Zouache, D. Hybrid filter-wrapper feature selection using whale optimization algorithm: A multi-objective approach. Expert Syst. Appl. 2021, 183, 115312. [Google Scholar] [CrossRef]
- Aziz, M.A.E.; Ewees, A.A.; Hassanien, A.E. Multi-objective whale optimization algorithm for content-based image retrieval. Multimed. Tools Appl. 2018, 77, 27659–27679. [Google Scholar] [CrossRef]
- Tang, R.; Tang, X.; Zhao, H. Enhancing whale optimization algorithm with differential evolution and Lévy flight for robot path planning. Int. J. Adv. Comput. Sci. Appl. 2024, 15, 401. [Google Scholar] [CrossRef]
- Gurusamy, B.M.; Rangarajan, P.K.; Altalbe, A. Whale-optimized LSTM networks for enhanced automatic text summarization. Front. Artif. Intell. 2024, 7, 1399168. [Google Scholar] [CrossRef] [PubMed]
- Got, A.; Moussaoui, A.; Zouache, D. A guided population archive whale optimization algorithm for solving multiobjective optimization problems. Expert Syst. Appl. 2020, 141, 112972. [Google Scholar] [CrossRef]
- Feng, S.; Jia, J. Acceleration sensor placement technique for vibration test in structural health monitoring using microhabitat frog-leaping algorithm. Struct. Health Monit. 2017, 16, 589–602. [Google Scholar] [CrossRef]
- Yi, W.; Chen, Y.; Pei, Z.; Lu, J. Adaptive differential evolution with ensembling operators for continuous optimization problems. Swarm Evol. Comput. 2022, 69, 100994. [Google Scholar] [CrossRef]












| Jobs | Operations | ||||
|---|---|---|---|---|---|
| J1 | O1,1 | 12/4 | - | - | - |
| O1,2 | - | 8/2 | 2/2 | 13/4 | |
| O1,3 | 6/2 | - | 20/6 | - | |
| J2 | O2,1 | - | 17/5 | 9/3 | 13/4 |
| O2,2 | - | 15/4 | - | 20/6 | |
| J3 | O3,1 | - | 19/6 | - | - |
| O3,2 | - | - | 20/6 | 4/2 | |
| J4 | O4,1 | - | - | 5/2 | 16/5 |
| O4,2 | 12/4 | - | 14/4 | - | |
| O4,3 | - | - | 14/4 | - | |
| J5 | O5,1 | - | - | 2/2 | 19/6 |
| O5,2 | - | 16/5 | 1/2 | - | |
| J6 | O6,1 | - | 17/5 | - | 6/2 |
| J7 | O7,1 | 6/2 | 15/4 | - | 18/5 |
| 0 | 1 | 1 | 2 | |
| 1 | 0 | 1 | 1 | |
| 1 | 1 | 0 | 1 | |
| 2 | 1 | 1 | 0 |
| Symbol Type | Symbol | Symbol Description |
|---|---|---|
| Parameter | Set of all jobs | |
| The -th job, | ||
| The -th operation of job , | ||
| Set of all machines | ||
| The -th machine, | ||
| Set of predecessor jobs of job | ||
| A sufficiently large constant | ||
| Total number of jobs in the product | ||
| Number of operations in job | ||
| Total number of machines | ||
| 1 if machine is a candidate machine for operation , otherwise 0 | ||
| Processing time of operation on machine | ||
| Setup time of operation on machine | ||
| Transportation time between machines and | ||
| Variable | Start time of operation | |
| Completion time of operation | ||
| Completion time of job | ||
| 1 if is processed on machine , otherwise 0 | ||
| when operation is processed on machine before another operation , otherwise 0 | ||
| when operation is processed on machine and is processed on another machine , otherwise 0 | ||
| when the last operation of sub-job is processed on and the first operation of the parent job is processed on another machine , otherwise 0 |
| Update Mode | Condition | Inertia Weight | Corresponding Behavior |
|---|---|---|---|
| Encircling prey | Local exploitation: shrinking towards the current best | ||
| Bubble-net attacking | Local exploitation: spiral search around the best | ||
| Searching for prey | Global exploration: moving towards the random individual |
| Instance | JN | ON | MN | Instance | JN | ON | MN |
|---|---|---|---|---|---|---|---|
| T01 | 10 | 39 | 4 | T07 | 35 | 140 | 7 |
| T02 | 15 | 58 | 4 | T08 | 40 | 155 | 7 |
| T03 | 20 | 80 | 5 | T09 | 40 | 170 | 8 |
| T04 | 25 | 117 | 5 | T10 | 45 | 182 | 8 |
| T05 | 30 | 123 | 6 | T11 | 45 | 201 | 9 |
| T06 | 30 | 133 | 6 | T12 | 50 | 220 | 9 |
| Number of Experiments | Parameter | Avg | |||
|---|---|---|---|---|---|
| 1 | 100 | 2 | 0.2 | 0.6 | 326.8 |
| 2 | 100 | 3 | 0.3 | 0.7 | 324.7 |
| 3 | 100 | 4 | 0.4 | 0.8 | 322.3 |
| 4 | 100 | 5 | 0.5 | 0.9 | 324.8 |
| 5 | 150 | 2 | 0.3 | 0.8 | 310.9 |
| 6 | 150 | 3 | 0.2 | 0.9 | 312.1 |
| 7 | 150 | 4 | 0.5 | 0.6 | 330.2 |
| 8 | 150 | 5 | 0.4 | 0.7 | 320.9 |
| 9 | 200 | 2 | 0.4 | 0.9 | 318.8 |
| 10 | 200 | 3 | 0.5 | 0.8 | 319.0 |
| 11 | 200 | 4 | 0.2 | 0.7 | 308.7 |
| 12 | 200 | 5 | 0.3 | 0.6 | 322.1 |
| 13 | 250 | 2 | 0.5 | 0.7 | 322.8 |
| 14 | 250 | 3 | 0.4 | 0.6 | 317.3 |
| 15 | 250 | 4 | 0.3 | 0.9 | 306.4 |
| 16 | 250 | 5 | 0.2 | 0.8 | 320.1 |
| Instance | IWOA | IWOA1 | IWOA2 | IWOA3 | ||||||||||
|---|---|---|---|---|---|---|---|---|---|---|---|---|---|---|
| Best | Avg | Best | Avg | p | Win | Best | Avg | p | Win | Best | Avg | p | Win | |
| T01 | 145.0 | 145.0 | 145.0 | 145.0 | 1.0000 | = | 145.0 | 145.0 | 1.0000 | = | 145.0 | 145.0 | 1.0000 | = |
| T02 | 205.0 | 207.5 | 208.0 | 210.8 | 0.0102 | + | 210.9 | 210.0 | 0.0091 | + | 205.0 | 210.8 | 0.0588 | = |
| T03 | 199.0 | 204.9 | 206.0 | 209.9 | 0.0113 | + | 208.4 | 208.0 | 0.0821 | = | 205.0 | 208.1 | 0.0757 | = |
| T04 | 292.0 | 296.7 | 303.0 | 306.0 | 0.0002 | + | 304.8 | 306.0 | 0.0004 | + | 297.0 | 303.2 | 0.0058 | + |
| T05 | 301.0 | 304.9 | 306.0 | 309.0 | 0.0312 | + | 309.8 | 315.0 | 0.0211 | + | 301.0 | 307.2 | 0.1988 | = |
| T06 | 306.0 | 313.0 | 317.0 | 324.5 | 0.0004 | + | 319.3 | 329.0 | 0.0041 | + | 312.0 | 316.9 | 0.1405 | = |
| T07 | 318.0 | 328.0 | 330.0 | 341.1 | 0.0010 | + | 338.8 | 351.0 | 0.0032 | + | 330.0 | 337.1 | 0.0028 | + |
| T08 | 347.0 | 358.8 | 361.0 | 373.6 | 0.0012 | + | 371.6 | 378.0 | 0.0022 | + | 356.0 | 362.8 | 0.2730 | = |
| T09 | 354.0 | 363.1 | 388.0 | 402.9 | 0.0002 | + | 390.4 | 402.0 | 0.0002 | + | 372.0 | 378.8 | 0.0004 | + |
| T10 | 341.0 | 347.5 | 358.0 | 365.8 | 0.0002 | + | 359.7 | 382.0 | 0.0009 | + | 348.0 | 354.9 | 0.0588 | = |
| T11 | 326.0 | 338.0 | 342.0 | 351.1 | 0.0073 | + | 351.5 | 356.0 | 0.0025 | + | 331.0 | 343.6 | 0.1124 | = |
| T12 | 483.0 | 495.7 | 514.0 | 523.1 | 0.0002 | + | 519.0 | 536.0 | 0.0002 | + | 496.0 | 505.8 | 0.0343 | + |
| +/=/− | 11/1/0 | 10/2/0 | 4/8/0 | |||||||||||
| Instance | IWOA | FISA_RWPS | ABC_MSE | ISA-VCLDC | MAS_HGWO | WOA | ||||||||||||
|---|---|---|---|---|---|---|---|---|---|---|---|---|---|---|---|---|---|---|
| Best | Avg | Time | Best | Avg | Time | Best | Avg | Time | Best | Avg | Time | Best | Avg | Time | Best | Avg | Time | |
| T01 | 145.0 | 145.0 | 10.3 | 145.0 | 147.1 | 12.8 | 145.0 | 145.5 | 11.7 | 145.0 | 146.3 | 10.7 | 145.0 | 145.2 | 13.5 | 145.0 | 145.9 | 10.4 |
| T02 | 205.0 | 207.5 | 14.9 | 210.0 | 214.4 | 26.6 | 205.0 | 211.0 | 23.3 | 208.0 | 212.1 | 21.7 | 205.0 | 209.7 | 26.8 | 208.0 | 211.2 | 13.5 |
| T03 | 199.0 | 204.9 | 22.8 | 208.0 | 213.6 | 39.8 | 205.0 | 209.0 | 34.9 | 208.0 | 210.3 | 30.7 | 199.0 | 205.4 | 48.5 | 206.0 | 210.2 | 19.3 |
| T04 | 292.0 | 296.7 | 33.9 | 306.0 | 310.3 | 73.6 | 297.0 | 301.0 | 57.2 | 301.0 | 305.7 | 38.8 | 296.0 | 301.8 | 76.6 | 302.0 | 306.0 | 31.3 |
| T05 | 301.0 | 304.9 | 54.3 | 315.0 | 318.4 | 100.1 | 305.0 | 310.7 | 77.9 | 311.0 | 317.0 | 57.3 | 303.0 | 308.2 | 83.1 | 310.0 | 315.1 | 48.3 |
| T06 | 306.0 | 313.0 | 62.3 | 329.0 | 335.7 | 129.2 | 312.0 | 317.8 | 85.4 | 316.0 | 327.5 | 68.8 | 313.0 | 318.4 | 92.7 | 320.0 | 326.4 | 51.9 |
| T07 | 318.0 | 328.0 | 77.8 | 349.0 | 362.9 | 159.2 | 327.0 | 340.7 | 79.4 | 332.0 | 341.2 | 85.9 | 325.0 | 335.1 | 122.5 | 336.0 | 343.5 | 69.8 |
| T08 | 347.0 | 358.8 | 107.1 | 378.0 | 386.7 | 170.5 | 358.0 | 365.9 | 142.7 | 364.0 | 374.5 | 118.3 | 352.0 | 363.8 | 138.7 | 368.0 | 376.6 | 102.3 |
| T09 | 354.0 | 363.1 | 114.7 | 402.0 | 409.0 | 218.3 | 372.0 | 379.8 | 117.1 | 382.0 | 395.1 | 131.6 | 368.0 | 381.6 | 148.8 | 396.0 | 404.5 | 95.6 |
| T10 | 341.0 | 347.5 | 123.1 | 382.0 | 389.2 | 259.1 | 349.0 | 357.0 | 135.2 | 376.0 | 382.5 | 149.3 | 344.0 | 353.8 | 183.9 | 393.0 | 399.2 | 122.6 |
| T11 | 326.0 | 338.0 | 129.7 | 356.0 | 376.7 | 277.2 | 339 | 352.2 | 164.8 | 348.0 | 360.5 | 189.1 | 337.0 | 348.8 | 205.4 | 386.0 | 394.2 | 128.1 |
| T12 | 483.0 | 495.7 | 141.3 | 536.0 | 546.9 | 314.4 | 510.0 | 517.2 | 194.7 | 522.0 | 530.9 | 215.0 | 505.0 | 515.6 | 232.5 | 546.0 | 558.8 | 137.8 |
| Instance | FISA_RWPS | ABC_MSE | ISA-VCLDC | MAS_HGWO | WOA | |||||
|---|---|---|---|---|---|---|---|---|---|---|
| p | Win | p | Win | p | Win | p | Win | p | Win | |
| T01 | 0.0588 | = | 0.4497 | = | 0.0588 | = | 1.0000 | = | 0.1306 | = |
| T02 | 0.0012 | + | 0.0233 | + | 0.0058 | + | 0.1405 | = | 0.0065 | + |
| T03 | 0.0012 | + | 0.0640 | = | 0.0046 | + | 0.7055 | = | 0.0113 | + |
| T04 | 0.0002 | + | 0.1041 | = | 0.0006 | + | 0.0312 | + | 0.0002 | + |
| T05 | 0.0002 | + | 0.0082 | + | 0.0004 | + | 0.0696 | = | 0.0005 | + |
| T06 | 0.0002 | + | 0.0452 | + | 0.0003 | + | 0.0173 | + | 0.0002 | + |
| T07 | 0.0002 | + | 0.0013 | + | 0.0003 | + | 0.0091 | + | 0.0002 | + |
| T08 | 0.0002 | + | 0.0312 | + | 0.0003 | + | 0.1620 | = | 0.0002 | + |
| T09 | 0.0002 | + | 0.0002 | + | 0.0002 | + | 0.0007 | + | 0.0002 | + |
| T10 | 0.0002 | + | 0.0062 | + | 0.0002 | + | 0.0376 | + | 0.0002 | + |
| T11 | 0.0002 | + | 0.0036 | + | 0.0002 | + | 0.0156 | + | 0.0002 | + |
| T12 | 0.0002 | + | 0.0002 | + | 0.0002 | + | 0.0002 | + | 0.0002 | + |
| +/=/− | 11/1/0 | 9/3/0 | 11/1/0 | 7/5/0 | 11/1/0 | |||||
| Instance | IWOA | FISA_RWPS | ABC_MSE | ISA-VCLDC | MAS_HGWO | WOA | Rank |
|---|---|---|---|---|---|---|---|
| T01 | 0.0 | 2.2 | 1.1 | 1.5 | 0.0 | 1.3 | 1 |
| T02 | 2.6 | 3.7 | 3.0 | 4.1 | 3.4 | 2.2 | 2 |
| T03 | 3.7 | 4.2 | 2.6 | 3.2 | 3.7 | 3.6 | 4 |
| T04 | 3.9 | 4.2 | 4.8 | 4.0 | 4.6 | 4.5 | 1 |
| T05 | 4.0 | 4.2 | 5.2 | 4.7 | 4.7 | 4.3 | 1 |
| T06 | 4.3 | 5.9 | 4.7 | 6.9 | 4.4 | 4.7 | 1 |
| T07 | 4.8 | 6.0 | 6.3 | 8.7 | 5.3 | 5.3 | 1 |
| T08 | 6.4 | 7.0 | 5.6 | 7.5 | 7.9 | 8.2 | 2 |
| T09 | 6.2 | 5.5 | 5.5 | 8.8 | 11.5 | 6.6 | 3 |
| T10 | 5.4 | 6.7 | 6.6 | 7.1 | 7.0 | 5.7 | 1 |
| T11 | 7.6 | 9.4 | 8.7 | 8.6 | 7.9 | 7.2 | 2 |
| T12 | 8.2 | 9.8 | 9.7 | 8.5 | 9.3 | 9.7 | 1 |
Disclaimer/Publisher’s Note: The statements, opinions and data contained in all publications are solely those of the individual author(s) and contributor(s) and not of MDPI and/or the editor(s). MDPI and/or the editor(s) disclaim responsibility for any injury to people or property resulting from any ideas, methods, instructions or products referred to in the content. |
© 2025 by the authors. Licensee MDPI, Basel, Switzerland. This article is an open access article distributed under the terms and conditions of the Creative Commons Attribution (CC BY) license (https://creativecommons.org/licenses/by/4.0/).
Share and Cite
Zheng, C.; Xie, Z. Research on the Flexible Job Shop Scheduling Problem with Job Priorities Considering Transportation Time and Setup Time. Axioms 2025, 14, 914. https://doi.org/10.3390/axioms14120914
Zheng C, Xie Z. Research on the Flexible Job Shop Scheduling Problem with Job Priorities Considering Transportation Time and Setup Time. Axioms. 2025; 14(12):914. https://doi.org/10.3390/axioms14120914
Chicago/Turabian StyleZheng, Chuchu, and Zhiqiang Xie. 2025. "Research on the Flexible Job Shop Scheduling Problem with Job Priorities Considering Transportation Time and Setup Time" Axioms 14, no. 12: 914. https://doi.org/10.3390/axioms14120914
APA StyleZheng, C., & Xie, Z. (2025). Research on the Flexible Job Shop Scheduling Problem with Job Priorities Considering Transportation Time and Setup Time. Axioms, 14(12), 914. https://doi.org/10.3390/axioms14120914

