Bell Nonlocality and EPR Steering Decay in Dephasing Hyperfine Spins
Abstract
1. Introduction
2. Magnetic Coupling and Quantum States in Atomic Hydrogen
2.1. Fine Structure of the 1s State
2.2. Phase Decoherence in Quantum Evolution
- Population Dynamics:
- Coherence Evolution:
2.3. Initial State and Temporal Evolution
3. Quantifying Nonlocality, Steering, and Purity
3.1. Bell Nonlocality: Beyond Local Hidden Variable Theories
3.2. Quantum Steering: Asymmetrical Nonlocal Correlations
3.3. Quantum Purity: Quantifying State Mixedness
4. Numerical Results and Discussion
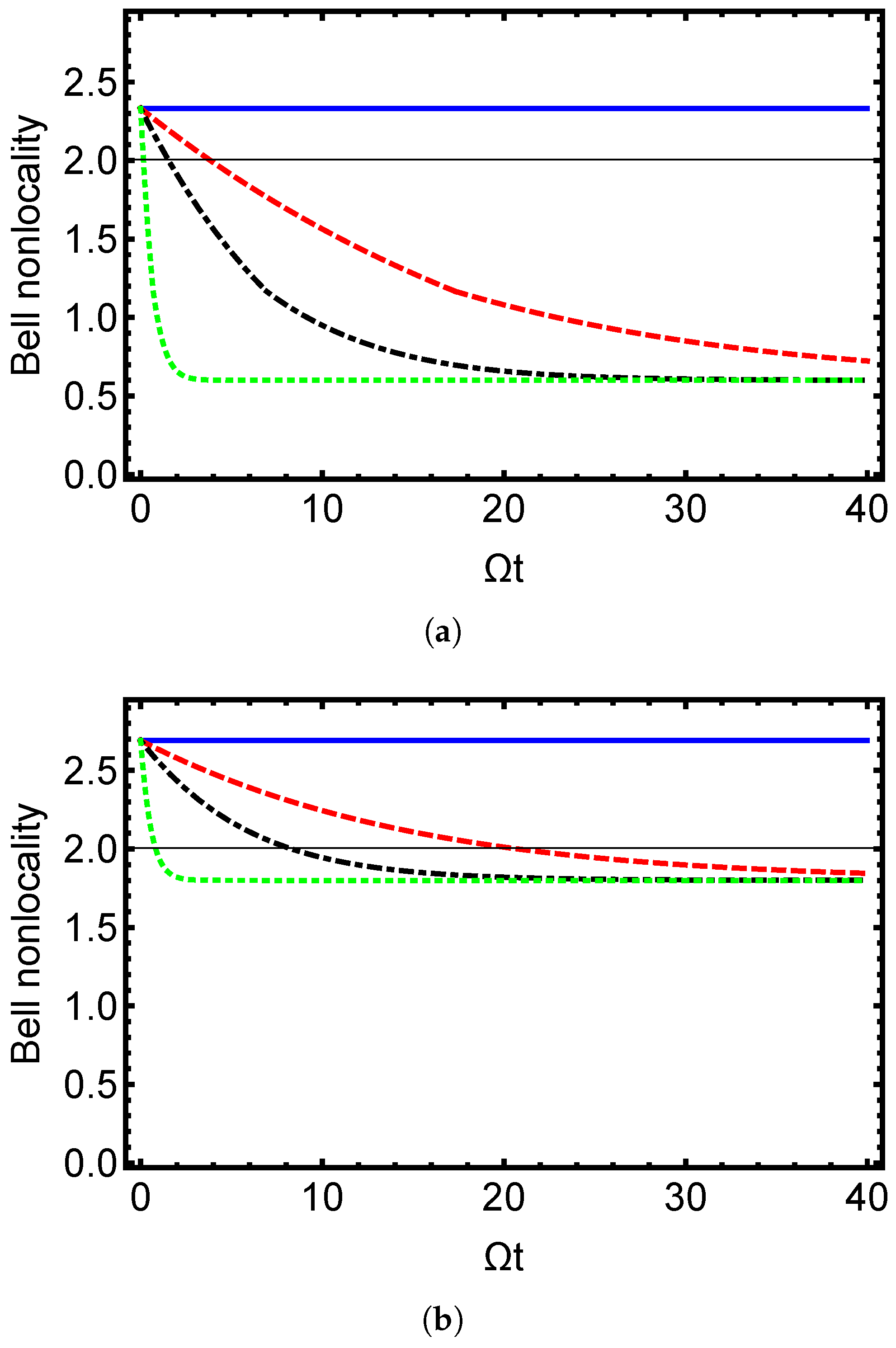
4.1. Analysis of Bell Nonlocality Dynamics Under Dephasing
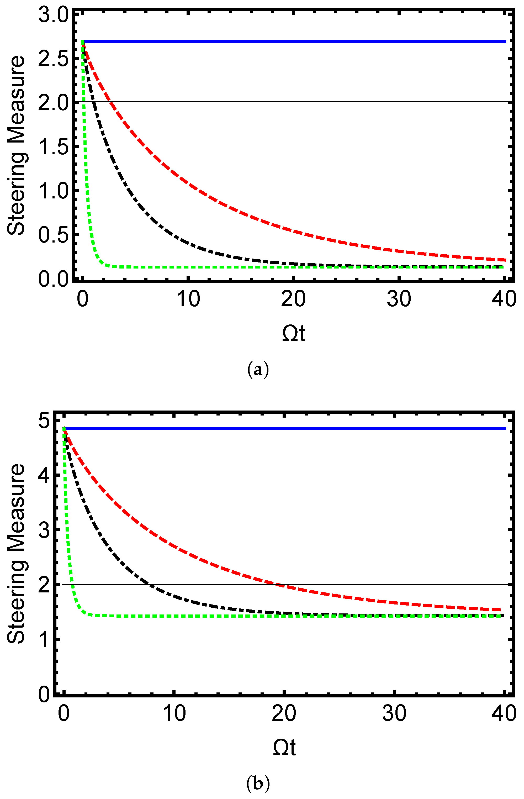
4.2. Analysis of Quantum Steering Dynamics Under Dephasing
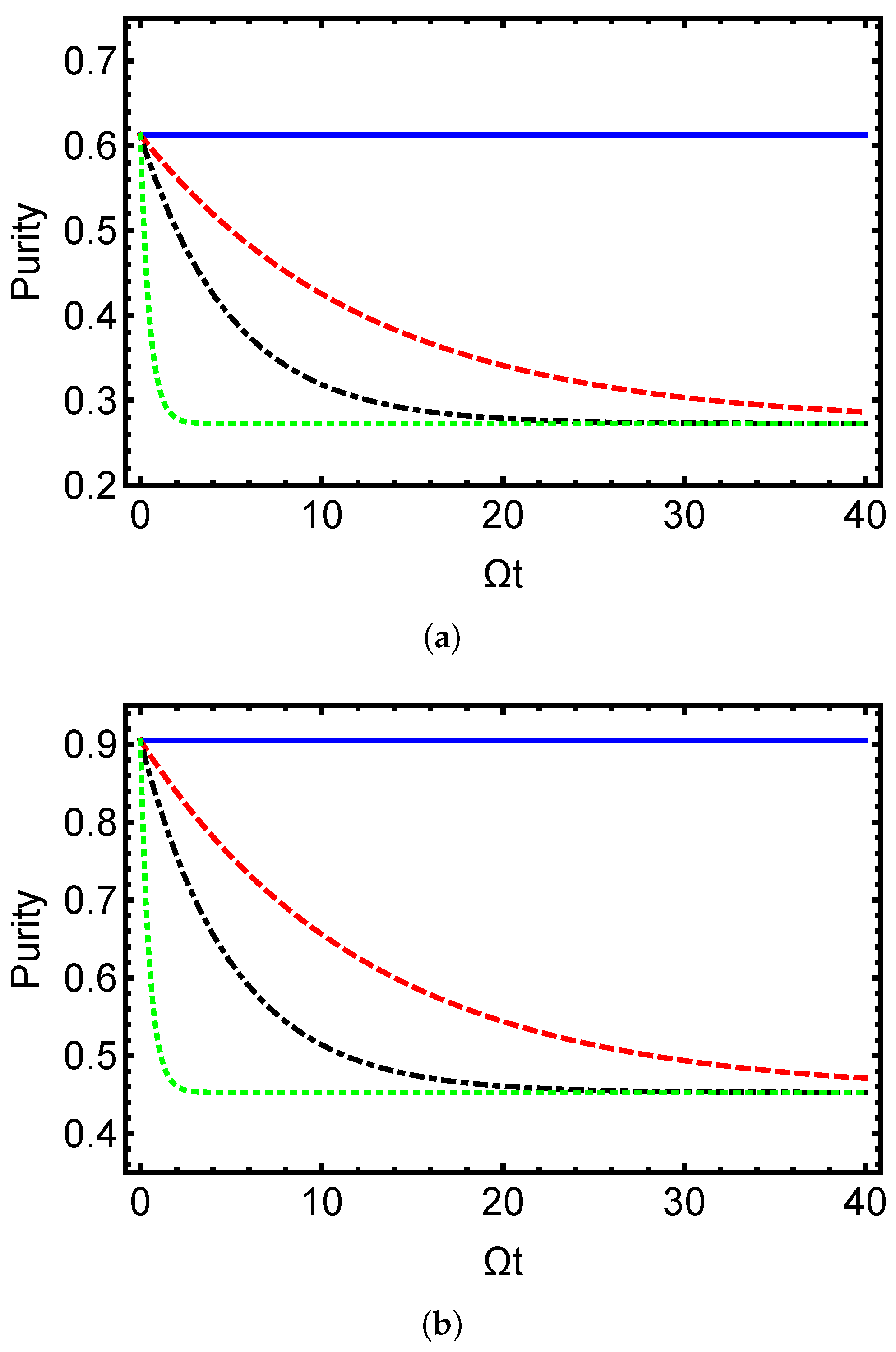
4.3. Analysis of Purity Dynamics Under Dephasing
4.4. Analysis of Werner-State Nonlocality Under Dephasing
5. Conclusions
Author Contributions
Funding
Data Availability Statement
Conflicts of Interest
Appendix A. Detailed Derivation of the Exact Time-Dependent Density Matrix Under Dephasing
References
- Einstein, A.; Podolsky, B.; Rosen, N. Can Quantum-Mechanical Description of Physical Reality Be Considered Complete? Phys. Rev. 1935, 47, 777–780. [Google Scholar] [CrossRef]
- Nilsen, M.A.; Chuang, I.L. Quantum Computation and Quantum Communication; Cambridge University Press: Cambridge, UK, 2000. [Google Scholar]
- Horodecki, R.; Horodecki, P.; Horodecki, M.; Horodecki, K. Quantum entanglement. Rev. Mod. Phys. 2009, 81, 865. [Google Scholar] [CrossRef]
- Bennett, C.H.; DiVincenzo, D.P. Quantum information and computation. Nature 2000, 404, 247–255. [Google Scholar] [CrossRef]
- Berrada, K.; Eleuch, H. Noncommutative deformed cat states under decoherence. Phys. Rev. D 2019, 100, 016020. [Google Scholar] [CrossRef]
- Berrada, K. Quantum metrology with SU(1,1) coherent states in the presence of nonlinear phase shifts. Phys. Rev. A 2013, 88, 013817. [Google Scholar] [CrossRef]
- Zheng, S.B.; Guo, G.C. Efficient Scheme for Two-Atom Entanglement and Quantum Information Processing in Cavity QED. Phys. Rev. Lett. 2000, 85, 2392. [Google Scholar] [CrossRef]
- Castelano, L.K.; Fanchini, F.F.; Berrada, K. Open quantum system description of singlet-triplet qubits in quantum dots. Phys. Rev B 2016, 94, 235433. [Google Scholar] [CrossRef]
- Bell, J.S. On the Einstein Podolsky Rosen paradox. Physics 1964, 1, 195. [Google Scholar]
- Schrödinger, E. Probability relations between separated systems. Math. Proc. Camb. Phil. Soc. 1936, 32, 446. [Google Scholar] [CrossRef]
- Wiseman, H.M.; Jones, S.J.; Doherty, A.C. Steering, Entanglement, Nonlocality, and the Einstein-Podolsky-Rosen Paradox. Phys. Rev. Lett. 2007, 98, 140402. [Google Scholar] [CrossRef]
- Saunders, D.J.; Jones, S.J.; Wiseman, H.M.; Pryde, G.J. Experimental EPR-steering using Bell-local states. Nat. Phys. 2010, 6, 845. [Google Scholar] [CrossRef]
- Wollmann, S.; Walk, N.; Bennet, A.J.; Wiseman, H.M.; Pryde, G.J. Observation of Genuine One-Way Einstein-Podolsky-Rosen Steering. Phys. Rev. Lett. 2016, 116, 160403. [Google Scholar] [CrossRef]
- Gehring, T.; Händchen, V.; Duhme, J.; Furrer, F.; Franz, T.; Pacher, C.; Werner, R.F.; Schnabel, R. Implementation of Continuous-Variable Quantum Key Distribution with Composable and One-Sided-Device-Independent Security Against Coherent Attacks. Nat. Commun. 2015, 6, 8795. [Google Scholar] [CrossRef]
- Cavalcanti, E.G.; Jones, S.J.; Wiseman, H.M.; Reid, M.D. Experimental criteria for steering and the Einstein-Podolsky-Rosen paradox. Phys. Rev. A 2009, 80, 032112. [Google Scholar] [CrossRef]
- Wittmann, B.; Ramelow, S.; Steinlechner, F.; Langford, N.K.; Brunner, N.; Wiseman, H.M.; Ursin, R.; Zeilinger, A. Loophole-free Einstein-Podolsky-Rosen experiment via quantum steering. New J. Phys. 2012, 14, 053030. [Google Scholar] [CrossRef]
- Piani, M.; Watrous, J. Necessary and Sufficient Quantum Information Characterization of Einstein-Podolsky-Rosen Steering. Phys. Rev. Lett. 2015, 114, 060404. [Google Scholar] [CrossRef] [PubMed]
- Branciard, C.; Cavalcanti, E.G.; Walborn, S.P.; Scarani, V.; Wiseman, H.M. One-sided device-independent quantum key distribution: Security, feasibility, and the connection with steering. Phys. Rev. A 2012, 85, 010301. [Google Scholar] [CrossRef]
- He, Q.; Rosales-Zárate, L.; Adesso, G.; Reid, M.D. Secure Continuous Variable Teleportation and Einstein-Podolsky-Rosen Steering. Phys. Rev. Lett. 2015, 115, 180502. [Google Scholar] [CrossRef]
- Jones, S.J.; Wiseman, H.M.; Doherty, A.C. Entanglement, Einstein-Podolsky-Rosen correlations, Bell nonlocality, and steering. Phys. Rev. A 2007, 76, 052116. [Google Scholar] [CrossRef]
- Skrzypczyk, P.; Navascués, M.; Cavalcanti, D. Quantifying Einstein-Podolsky-Rosen Steering. Phys. Rev. Lett. 2014, 112, 180404. [Google Scholar] [CrossRef]
- Walborn, S.P.; Salles, A.; Gomes, R.M.; Toscano, F.; Ribeiro, P.H.S. Revealing Hidden Einstein-Podolsky-Rosen Nonlocality. Phys. Rev. Lett. 2011, 106, 130402. [Google Scholar] [CrossRef]
- Zhen, Y.; Zheng, Y.; Cao, W.; Li, L.; Chen, Z.; Liu, N.; Chen, K. Certifying Einstein-Podolsky-Rosen steering via the local uncertainty principle. Phys. Rev. A 2016, 93, 012108. [Google Scholar] [CrossRef]
- Zukowski, M.; Dutta, A.; Yin, Z. Geometric Bell-like inequalities for steering. Phys. Rev. A 2015, 91, 032107. [Google Scholar] [CrossRef]
- Girdhar, P.; Cavalcanti, E.G. All two-qubit states that are steerable via Clauser-Horne-Shimony-Holt-type correlations are Bell nonlocal. Phys. Rev. A 2016, 94, 032317. [Google Scholar] [CrossRef]
- Bohr, N. On the constitution of atoms and molecules. Philos. Mag. 1913, 26, 1. [Google Scholar] [CrossRef]
- Bethe, H.; Salpeter, E. Quantum Mechanics of One- and Two-Electron Atoms; Springer: Berlin/Heidelberg, Germany, 1957. [Google Scholar]
- Series, G.W. Spectrum of Atomic Hydrogen; Oxford University: New York, NY, USA, 1957. [Google Scholar]
- Landau, L.D.; Lifshitz, E.M. Quantum Mechanics: The Basic Concepts, 3rd ed.; Elsevier: Oxford, UK, 1977. [Google Scholar] [CrossRef]
- Sheludiakov, S.; McColgan, P.T.; Lee, D.M.; Khmelenko, V.V.; Järvinen, J.; Ahokas, J.; Vasiliev, S. Formation of Nuclear-Polarized Phases of H Atoms Embedded in Solid H2 Films. Phys. Rev. Lett. 2019, 122, 225301. [Google Scholar] [CrossRef] [PubMed]
- Ahokas, J.; Vainio, O.; Novotny, S.; Järvinen, J.; Khmelenko, V.V.; Lee, D.M.; Vasiliev, S. Magnetic resonance study of H atoms in thin films of H2 at temperatures below 1 K. Phys. Rev. B 2010, 81, 104516. [Google Scholar] [CrossRef]
- Ahokas, J.; Järvinen, J.; Khmelenko, V.V.; Lee, D.M.; Vasiliev, S. Exotic Behavior of Hydrogen Atoms in Solid H2 at Temperatures below 1 K. Rev. Lett. 2006, 97, 095301. [Google Scholar] [CrossRef] [PubMed]
- Bigelow, N.P.; Freed, J.H.; Lee, D.M. Nuclear-spin waves in polarized atomic hydrogen gas: Temperature and density dependence in the hydrodynamic and Knudsen regimes. Phys. Rev. Lett. 1989, 63, 1609. [Google Scholar] [CrossRef]
- Johnson, A.C.; Petta, J.R.; Taylor, J.M.; Yacoby, A.; Lukin, M.D.; Marcus, C.M.; Hanson, M.P.; Gossard, A.C. Triplet–singlet spin relaxation via nuclei in a double quantum dot. Nature 2005, 435, 925. [Google Scholar] [CrossRef]
- Petta, J.R.; Johnson, A.C.; Taylor, J.M.; Laird, E.A.; Yacoby, A.; Lukin, M.D.; Marcus, C.M.; Hanson, M.P.; Gossard, A.C. Coherent Manipulation of Coupled Electron Spins in Semiconductor Quantum Dots. Science 2005, 309, 2180. [Google Scholar] [CrossRef] [PubMed]
- Taylor, J.M.; Engel, H.A.; Dür, W.; Yacoby, A.; Marcus, C.M.; Zoller, P.; Lukin, M.D. Fault-tolerant architecture for quantum computation using electrically controlled semiconductor spins. Nat. Phys. 2005, 1, 177. [Google Scholar] [CrossRef]
- Ladd, T.D.; Jelezko, F.; Laflamme, R.; Nakamura, Y.; Monroe, C.; O’Brien, J.L. Quantum Computing. Nature 2010, 464, 45. [Google Scholar] [CrossRef]
- Childress, L.; Gurudev Dutt, M.V.; Taylor, J.M.; Zibrov, A.S.; Jelezko, F.; Wrachtrup, J.; Hemmer, P.R.; Lukin, M.D. Coherent Dynamics of Coupled Electron and Nuclear Spin Qubits in Diamond. Science 2006, 314, 281. [Google Scholar] [CrossRef]
- Dutt, M.G.; Childress, L.; Jiang, L.; Togan, E.; Maze, J.; Jelezko, F.; Zibrov, A.S.; Hemmer, P.R.; Lukin, M.D. Quantum Register Based on Individual Electronic and Nuclear Spin Qubits in Diamond. Science 2007, 316, 1312. [Google Scholar] [CrossRef]
- Neumann, P.; Mizuochi, N.; Rempp, F.; Hemmer, P.; Watanabe, H.; Yamasaki, S.; Jacques, V.; Gaebel, T.; Jelezko, F.; Wrachtrup, J. Multipartite Entanglement Among Single Spins in Diamond. Science 2008, 320, 1326. [Google Scholar] [CrossRef]
- Fuchs, G.D.; Dobrovitski, V.V.; Toyli, D.M.; Heremans, F.J.; Awschalom, D.D. Gigahertz Dynamics of a Strongly Driven Single Quantum Spin. Science 2009, 326, 1520. [Google Scholar] [CrossRef]
- Tommassini, P.; Timmermans, E.; Piza, A.F.R.d. The hydrogen atom as an entangled electron–proton system. Am. J. Phys. 1998, 66, 881. [Google Scholar] [CrossRef]
- Zhu, G.-Q.; Du, K.-C.; Li, Y.-Q. Electron-nuclear entanglement in hydrogen atom. Phys. A 2005, 346, 295. [Google Scholar] [CrossRef]
- Lindblad, G. On the generators of quantum dynamical semigroups. Commun. Math. Phys. 1976, 48, 119. [Google Scholar] [CrossRef]
- Breuer, H.-P.; Petruccione, F. The Theory of Open Quantum Systems; Oxford University Press: Oxford, UK, 2002. [Google Scholar]
- Berrada, K.; Bougouffa, S. Quantum Coherence and Mixedness in Hydrogen Atoms: Probing Hyperfine Structure Dynamics Under Dephasing Constraints. Symmetry 2025, 17, 1633. [Google Scholar] [CrossRef]
- Berrada, K.; Bougouffa, S. Harnessing Quantum Entanglement and Fidelity in Hydrogen Atoms: Unveiling Dynamics Under Dephasing Noise. Appl. Sci. 2025, 15, 10938. [Google Scholar] [CrossRef]
- Crawford, S.E.; Shugayev, R.A.; Paudel, H.P.; Lu, P.; Syamlal, M.; Ohodnicki, P.R.; Chorpening, B.; Gentry, R.; Duan, Y. Quantum Sensing for Energy Applications: Review and Perspective. Adv. Quantum Technol. 2021, 4, 2100049. [Google Scholar] [CrossRef]
- Berrada, K.; Bougouffa, S. Quantum Coherence and Purity in Dissipative Hydrogen Atoms: Insights from the Lindblad Master Equation. Entropy 2025, 27, 848. [Google Scholar] [CrossRef] [PubMed]
- Maleki, Y.; Sheludiakov, S.; Khmelenko, V.V.; Scully, M.O.; Lee, D.M.; Zheltikov, A.M. Natural and magnetically induced entanglement of hyperfine-structure states in atomic hydrogen. Phys. Rev. A 2021, 103, 052804. [Google Scholar] [CrossRef]
- Abo, S.; Soubusta, J.; Jiráková, K.; Bartkiewicz, K.; Černoch, A.; Lemr, K.; Miranowicz, A. Experimental hierarchy of two-qubit quantum correlations without state tomography. Sci. Rep. 2023, 13, 8564. [Google Scholar] [CrossRef]
- Ali, M. Effect of Classical and Quantum Superposition of Atomic States on Quantum Correlations. Adv. High Energy Phys. 2023, 2023, 2729561. [Google Scholar]
- Demtröder, W. Atoms, Molecules and Photons; Springer: Berlin/Heidelberg, Germany, 2010. [Google Scholar]
- Pethick, C.J.; Smith, H. Bose–Einstein Condensation in Dilute Gases; Cambridge University Press: Cambridge, UK, 2008. [Google Scholar]
- Nathan, F.; Rudner, M.S. Universal Lindblad equation for open quantum systems. Phys. Rev. B 2020, 102, 115109. [Google Scholar] [CrossRef]
- Manzano, D. A short introduction to the Lindblad master equation. AIP Adv. 2020, 10, 025106. [Google Scholar] [CrossRef]
- Budini, A.A. Lindblad rate equations. Phys. Rev. A 2006, 74, 053815. [Google Scholar] [CrossRef]
- Bennett, C.H.; Wiesner, S.J. Communication via one- and two-particle operators on Einstein-Podolsky-Rosen states. Phys. Rev. Lett. 1992, 69, 2881. [Google Scholar] [CrossRef] [PubMed]
- Bouwmeester, D.; Pan, J.-W.; Mattle, K.; Eibl, M.; Weinfurter, H.; Zeilinger, A. Experimental quantum teleportation. Nature 1997, 390, 575. [Google Scholar] [CrossRef]
- Furusawa, A.; Sørensen, J.L.; Braunstein, S.L.; Fuchs, C.A.; Kimble, H.J.; Polzik, E.S. Unconditional quantum teleportation. Science 1998, 282, 706. [Google Scholar] [CrossRef] [PubMed]
- Clauser, J.F.; Horne, M.A.; Shimony, A.; Holt, R.A. Proposed experiment to test local hidden-variable theories. Phys. Rev. Lett. 1969, 23, 880. [Google Scholar] [CrossRef]
- Aspect, A.; Grangier, P.; Roger, G. Experimental realization of Einstein-Podolsky-Rosen-Bohm Gedankenexperiment: A new violation of Bell’s inequalities. Phys. Rev. Lett. 1982, 49, 91. [Google Scholar] [CrossRef]
- Brunner, N.; Cavalcanti, D.; Pironio, S.; Scarani, V.; Wehner, S. Bell nonlocality. Rev. Mod. Phys. 2014, 86, 419. [Google Scholar] [CrossRef]
- Gisin, N. Bell’s inequality holds for all non-product states. Phys. Lett. A 1991, 154, 201. [Google Scholar] [CrossRef]
- Nielsen, M.A.; Chuang, I.L. Quantum Computation and Quantum Information; Cambridge University Press: Cambridge, UK, 2010. [Google Scholar]
- Bengtsson, I.; Życzkowski, K. Geometry of Quantum States: An Introduction to Quantum Entanglement, 2nd ed.; Cambridge University Press: Cambridge, UK, 2017. [Google Scholar]
- Wilde, M.M. Quantum Information Theory, 2nd ed.; Cambridge University Press: Cambridge, UK, 2017. [Google Scholar]
- van Meter, J.R. Quantum Coherence in Atomic Hydrogen: Probing 21 cm Hyperfine Transitions. Phys. Rev. A 2006, 74, 063804. [Google Scholar]
- Preskill, J. Lecture Notes on Quantum Computation; California Institute of Technology: Pasadena, CA, USA, 1998. [Google Scholar]






Disclaimer/Publisher’s Note: The statements, opinions and data contained in all publications are solely those of the individual author(s) and contributor(s) and not of MDPI and/or the editor(s). MDPI and/or the editor(s) disclaim responsibility for any injury to people or property resulting from any ideas, methods, instructions or products referred to in the content. |
© 2025 by the authors. Licensee MDPI, Basel, Switzerland. This article is an open access article distributed under the terms and conditions of the Creative Commons Attribution (CC BY) license (https://creativecommons.org/licenses/by/4.0/).
Share and Cite
Berrada, K.; Bougouffa, S. Bell Nonlocality and EPR Steering Decay in Dephasing Hyperfine Spins. Axioms 2025, 14, 908. https://doi.org/10.3390/axioms14120908
Berrada K, Bougouffa S. Bell Nonlocality and EPR Steering Decay in Dephasing Hyperfine Spins. Axioms. 2025; 14(12):908. https://doi.org/10.3390/axioms14120908
Chicago/Turabian StyleBerrada, Kamal, and Smail Bougouffa. 2025. "Bell Nonlocality and EPR Steering Decay in Dephasing Hyperfine Spins" Axioms 14, no. 12: 908. https://doi.org/10.3390/axioms14120908
APA StyleBerrada, K., & Bougouffa, S. (2025). Bell Nonlocality and EPR Steering Decay in Dephasing Hyperfine Spins. Axioms, 14(12), 908. https://doi.org/10.3390/axioms14120908

