Next Issue
Volume 16, May
Previous Issue
Volume 16, March
 
 

Atmosphere, Volume 16, Issue 4 (April 2025) – 133 articles

Cover Story (view full-size image): This study investigates the transport mechanisms and pollutant dynamics influencing PM10 concentrations at the Pomigliano d’Arco site, a densely urbanized and industrialized area near Naples, Southern Italy, where daily PM10 levels often exceed EU limits. Using a six-year dataset (2018–2023), we applied backward trajectory and residence time analyses to identify predominant air mass pathways and their seasonal variability. The results reveal that both local emissions and long-range transport—particularly, from the central Mediterranean and northern Africa—play crucial roles in shaping PM10 pollution. These findings provide essential guidance for targeted air quality management and mitigation strategies in urban–industrial Mediterranean regions. View this paper
  • Issues are regarded as officially published after their release is announced to the table of contents alert mailing list.
  • You may sign up for e-mail alerts to receive table of contents of newly released issues.
  • PDF is the official format for papers published in both, html and pdf forms. To view the papers in pdf format, click on the "PDF Full-text" link, and use the free Adobe Reader to open them.
Order results
Result details
Section
Select all
Export citation of selected articles as:
9 pages, 3305 KB  
Article
Impact of East Pacific La Niña on Caribbean Climate
by Mark R. Jury
Atmosphere 2025, 16(4), 485; https://doi.org/10.3390/atmos16040485 - 21 Apr 2025
Cited by 3 | Viewed by 2374
Abstract
Statistical cluster analysis applied to monthly 1–100 m ocean temperatures reveals El Niño–Southern Oscillation (ENSO) dipole patterns with a leading mode having opposing centers of action across the dateline and tropical east Pacific. We focus on the La Niña cold phase and study [...] Read more.
Statistical cluster analysis applied to monthly 1–100 m ocean temperatures reveals El Niño–Southern Oscillation (ENSO) dipole patterns with a leading mode having opposing centers of action across the dateline and tropical east Pacific. We focus on the La Niña cold phase and study its impact on the Caribbean climate over the period of 1980–2024. East dipole time scores are used to identify composite years, and anomaly patterns are calculated for Jan-Jun and Jul-Dec. Convective responses over the Caribbean exhibit seasonal contrasts: dry winter–spring and wet summer–autumn. Trade winds and currents across the southern Caribbean weaken and lead to anomalous warming of upper ocean temperatures. Sustained coastal upwelling off Peru and Ecuador during east La Niña is teleconnected with easterly wind shear and tropical cyclogenesis over the Caribbean during summer, leading to costly impacts. This ocean–atmosphere coupling is quite different from the more common central Pacific ENSO dipole. Full article
Show Figures

Figure 1

25 pages, 8173 KB  
Article
Advancing Heat Health Risk Assessment: Hotspot Identification of Heat Stress and Risk Across Municipalities in Algiers, Algeria
by Dyna Chourouk Zitouni, Djihed Berkouk, Mohamed Elhadi Matallah, Mohamed Akram Eddine Ben Ratmia and Shady Attia
Atmosphere 2025, 16(4), 484; https://doi.org/10.3390/atmos16040484 - 21 Apr 2025
Cited by 4 | Viewed by 3083
Abstract
With accelerating surface warming trends in urban regions, cities like Algiers are increasingly exposed to extreme heat, contributing to a growing concern over heat-related illnesses. For a comprehensive long-term assessment (2001–2023) of heat-related risks in Algiers, multi-decade satellite, meteorological, and census data were [...] Read more.
With accelerating surface warming trends in urban regions, cities like Algiers are increasingly exposed to extreme heat, contributing to a growing concern over heat-related illnesses. For a comprehensive long-term assessment (2001–2023) of heat-related risks in Algiers, multi-decade satellite, meteorological, and census data were used in this study to map and assess spatial patterns of the Heat Health Risk Index (HHRI) within the framework established by the Intergovernmental Panel on Climate Change (IPCC) incorporating hazard, exposure and vulnerability components. The Universal Thermal Climate Index (UTCI) was then calculated to assess thermal stress levels during the same period. Following this, the study addressed a critical research gap by coupling the HHRI and UTCI and identified hotspots using the Getis-Ord Gi* statistical analysis tool. Our findings reveal that the intensity of HHRI has increased over time since “very-low” risk areas had an outstanding decrease (93%) and a 6 °C UTCI rise over 23 years reaching the “very strong heat stress” level. The coupled index demonstrated greater and different risk areas compared to the HHRI alone, suggesting that the coupling of both indicators enhances the sensitivity of heat risk assessment. Finally, persistently identified hotspots in central and eastern regions call for localized, targeted interventions in those areas and highlight the value of remote sensing in informing policymakers and enhancing climate resilience. Full article
(This article belongs to the Special Issue Extreme Weather Events in a Warming Climate)
Show Figures

Graphical abstract

15 pages, 24025 KB  
Article
Investigating the Trend Changes in Temperature Extreme Indices in Iran
by Saeedeh Kamali, Ebrahim Fattahi and Maral Habibi
Atmosphere 2025, 16(4), 483; https://doi.org/10.3390/atmos16040483 - 21 Apr 2025
Cited by 2 | Viewed by 3184
Abstract
It is necessary to evaluate the response of extreme events to global warming across different climates and geographical regions. This study aims to examine the trend changes of 13 temperature extreme indices over a 30-year statistical period from 1990 to 2020, using daily [...] Read more.
It is necessary to evaluate the response of extreme events to global warming across different climates and geographical regions. This study aims to examine the trend changes of 13 temperature extreme indices over a 30-year statistical period from 1990 to 2020, using daily maximum and minimum temperature data from 37 synoptic stations in Iran. The Mann–Kendall trend test was employed to analyze the data trends. The results indicate that, except for the two indices, frost days (FDs) and ice days (IDs), the temperature extreme indices show an increasing trend across the country. The forward and backward graphs of the Mann–Kendall test reveal that the trend of the indices is significant at the 0.05 significance level, with the two indices TNn and TXn intersecting in 2009. This indicates that a mutation occurred in that year, where the increasing slope of the trend after the mutation is greater than the slope of the trend before the mutation. Moreover, the decadal changes of the indices in the three decades 1990–2000, 2000–2010, and 2010–2020 demonstrate that the highest increasing trend in temperature occurred in the second and third decades. Full article
(This article belongs to the Special Issue Extreme Climate in Arid and Semi-arid Regions)
Show Figures

Figure 1

24 pages, 8538 KB  
Article
Drought Trend Analysis Using Standardized Precipitation Evapotranspiration Index in Cold-Climate Regions
by Yaser Sabzevari, Saeid Eslamian, Abhiram Siva Prasad Pamula and Mohammad Hadi Bazrkar
Atmosphere 2025, 16(4), 482; https://doi.org/10.3390/atmos16040482 - 21 Apr 2025
Cited by 10 | Viewed by 4443
Abstract
This study aimed to conduct a drought trend analysis using the standardized precipitation evapotranspiration index (SPEI) in two mountainous and cold-climate regions in Iran and the United States (US). The Mann–Kendall test was employed to assess the trend in the Upper Colorado River [...] Read more.
This study aimed to conduct a drought trend analysis using the standardized precipitation evapotranspiration index (SPEI) in two mountainous and cold-climate regions in Iran and the United States (US). The Mann–Kendall test was employed to assess the trend in the Upper Colorado River Basin (UCRB) in the US and Lorestan province. The results reveal a predominantly decreasing trend in drought occurrences across Lorestan, especially in southern and southwestern areas with lower elevations. In contrast, the UCRB showed a positive trend, indicating a wet period. The western parts of the UCRB were predominantly affected by droughts. Among the stations, the Khorram Abad station exhibited the most statistically significant trend at the 99% confidence level (Z > 2.57). A temporal trend analysis of droughts revealed more positive and negative abrupt changes in the UCRB than in Lorestan. This indicates a higher degree of small-scale variability in the UCRB compared to Lorestan. This study indicates that factors such as elevation, land use changes, and proximity to water sources may contribute to the observed variations in drought trends. Additionally, the findings highlight that rising temperatures have a significantly greater impact on drought severity than reductions in precipitation. This study provides a temperature-responsive method for drought assessments, supporting the development of adaptive strategies that address snowmelt variability, seasonal water availability, and shifting drought patterns in cold regions. Full article
(This article belongs to the Special Issue Drought Monitoring, Prediction and Impacts (2nd Edition))
Show Figures

Figure 1

17 pages, 7997 KB  
Article
Synergistic Effects of Multiple Monsoon Systems on Autumn Precipitation in West China
by Luchi Song, Lingli Fan, Chunqiao Lin, Jiahao Li and Jianjun Xu
Atmosphere 2025, 16(4), 481; https://doi.org/10.3390/atmos16040481 - 20 Apr 2025
Cited by 1 | Viewed by 989
Abstract
Multiple monsoon systems impact autumn precipitation in West China; however, their synergistic influence is unknown. Here, we employed statistical analysis of Global Precipitation Climatology Project Version 3.2 precipitation data, European Center for Medium-Range Weather Forecasts ERA5 reanalysis data, and Coupled Model Intercomparison Project [...] Read more.
Multiple monsoon systems impact autumn precipitation in West China; however, their synergistic influence is unknown. Here, we employed statistical analysis of Global Precipitation Climatology Project Version 3.2 precipitation data, European Center for Medium-Range Weather Forecasts ERA5 reanalysis data, and Coupled Model Intercomparison Project model data, and calculated four monsoon indices to analyze the features of the East Asian Monsoon, South Asian Monsoon, Asia Zonal Circulation, and Tibetan Plateau Monsoon, as well as their synergistic impacts on autumn precipitation in West China. The East Asian Monsoon negatively influences autumn precipitation in West China through closed high pressure over Northeast China. The South Asian Monsoon encloses West China between two areas of closed high pressure; strong high pressure to the north guides the abnormal transport of cold air in Northwest China, whereas strong western Pacific subtropical high pressure guides the transport of warm and wet air to West China, which is conducive to the formation of autumn precipitation in West China. During years of strong Asia Zonal Circulation, West China is controlled by an anomalous sinking airflow, which is not conducive to the occurrence of autumn rain. During strong Tibetan Plateau Monsoon, western and southwestern China are affected by plateau subsidence flow, resulting in less precipitation. Based on the CMIP6 model data, the study found that under the SSP5-8.5 emission scenario, the future trends of the four monsoon systems will show significant differences, and the amplitude of autumn and interannual precipitation oscillations in west China will increase. Full article
(This article belongs to the Section Climatology)
Show Figures

Figure 1

33 pages, 15492 KB  
Article
Seasonal Bias Correction of Daily Precipitation over France Using a Stitch Model Designed for Robust Representation of Extremes
by Philippe Ear, Elena Di Bernardino, Thomas Laloë, Adrien Lambert and Magali Troin
Atmosphere 2025, 16(4), 480; https://doi.org/10.3390/atmos16040480 - 19 Apr 2025
Cited by 1 | Viewed by 2212
Abstract
Highly resolved and accurate daily precipitation data are required for impact models to perform adequately and correctly measure the impacts of high-risk events. In order to produce such data, bias correction is often needed. Most of those statistical methods correct the probability distributions [...] Read more.
Highly resolved and accurate daily precipitation data are required for impact models to perform adequately and correctly measure the impacts of high-risk events. In order to produce such data, bias correction is often needed. Most of those statistical methods correct the probability distributions of daily precipitation by modeling them with either empirical or parametric distributions. A recent semi-parametric model based on a penalized Berk–Jones (BJ) statistical test, which allows for automatic and personalized splicing of parametric and non-parametric distributions, has been developed. This method, called the Stitch-BJ model, was found to be able to model daily precipitation correctly and showed interesting potential in a bias correction setting. In the present study, we will consolidate these results by taking into account the seasonal properties of daily precipitation in an out-of-sample context and by considering dry days probabilities in our methodology. We evaluate the performance of the Stitch-BJ method in this seasonal bias correction setting against more classical models such as the Gamma, Exponentiated Weibull (ExpW), Extended Generalized Pareto (EGP) or empirical distributions. Results show that a seasonal separation of data is necessary in order to account for intra-annual non-stationarity. Moreover, the Stitch-BJ distribution was able to consistently perform as well as or better than all the other considered models over the validation set, including the empirical distribution, which is often used due to its robustness. Finally, while methods for correcting dry day probabilities can be easily applied, their relevance can be discussed as temporal and spatial correlations are often neglected. Full article
Show Figures

Figure 1

17 pages, 2582 KB  
Article
Atmospheric Pollution Particulate Matter Absorption Efficiency by Bryophytes in Laboratory Conditions
by Juta Karklina, Edgars Karklins, Lilita Abele, Jean-Baptiste Renard and Liga Strazdina
Atmosphere 2025, 16(4), 479; https://doi.org/10.3390/atmos16040479 - 19 Apr 2025
Cited by 1 | Viewed by 2824
Abstract
The World Health Organization (WHO) has recognized Particulate Matter (PM) as the main threat to human health from air pollution. One of the solutions is Green Infrastructure (GI), which uses different plants to mitigate pollution. Among these plants are bryophytes (or more commonly [...] Read more.
The World Health Organization (WHO) has recognized Particulate Matter (PM) as the main threat to human health from air pollution. One of the solutions is Green Infrastructure (GI), which uses different plants to mitigate pollution. Among these plants are bryophytes (or more commonly used mosses), which have easier maintenance, lighter weight, and durability compared to vascular plants. However, currently, there is limited knowledge of its effectiveness in air pollution mitigation. By addressing this gap in current scientific knowledge, more effective deployment of GI could be introduced by municipalities for society’s health benefits. This study aimed to evaluate three species of mosses (Dicranum scoparium, Plagiomnium affine, and Hypnum cupressiforme) and one thuja (Thuja plicata) as a control species for a possible GI vertical barrier for local de-pollution. The objective was to assess different moss species’ effectiveness in air pollution PM2.5 and PM10 absorption in a laboratory setting. The practical experiment was conducted from June–July 2024 in the Laboratory of the Physics and Chemistry of Environment and Space in Orleans (LPC2E-CNRS), France. For the experiment, a unique air pollution chamber was engineered and built with a linear barrier of GI inside to measure pollution absorption before and after the barrier. With the obtained data from the sensors, the efficiency of the vegetation barrier was calculated. The total average efficiency of all 18 tests and tested moss species is 41% for PM2.5 and 47% for PM10 mass concentrations. Efficiency shows moss species’ maximum or optimal ability to absorb pollution PM2.5 and PM10 in laboratory environments, with the limitations indicated in this article. This research is an essential step towards further and more profound research on the effectiveness of GI barriers of mosses in urban environments. It significantly contributes to understanding GI effects on air pollution and presents the results for specific moss species and their capacity for PM2.5 and PM10 mitigation in the air. The novelty of the study lies in a particular application of the chosen moss species. Full article
(This article belongs to the Section Air Pollution Control)
Show Figures

Figure 1

18 pages, 5894 KB  
Article
Correlation Analysis Between Total Electron Content and Geomagnetic Activity: Climatology of Latitudinal, Seasonal and Diurnal Dependence
by Plamen Mukhtarov and Rumiana Bojilova
Atmosphere 2025, 16(4), 478; https://doi.org/10.3390/atmos16040478 - 19 Apr 2025
Cited by 4 | Viewed by 1049
Abstract
The basic concept of this study is to investigate, by correlation analysis, the relationship between geomagnetic activity and Total Electron Content (TEC) for the period from 1994 to 2023. The global TEC data used have been recalculated to a coordinate system with a [...] Read more.
The basic concept of this study is to investigate, by correlation analysis, the relationship between geomagnetic activity and Total Electron Content (TEC) for the period from 1994 to 2023. The global TEC data used have been recalculated to a coordinate system with a modip latitude and geographical longitude. In the analysis of the parameters used, the global index of geomagnetic activity, Kp, and TEC were converted into relative values, showing the deviation from stationary (quiet) conditions. The investigation defined theoretical cross-correlation functions that allow estimating the time lag constant from the shift of the maximum cross-correlation. The seasonal dependence of the ionospheric response was investigated by splitting it into three monthly segments centered on the equinox and solstice months. The dependence of the ionospheric response on local time was studied by creating time series, including those longitudes at which, at a given moment, the local time coincides with the selected one. The results show the following peculiarities in the TEC response: the type of ionospheric response (positive or negative) in each of the latitudinal zones (auroral ovals, mid-latitude and low-latitude) depends on the season, the local time of the geomagnetic storm and the specific physical mechanism of impact. Full article
(This article belongs to the Section Upper Atmosphere)
Show Figures

Figure 1

13 pages, 9133 KB  
Article
Reconstruction of a Two-Dimensional Blocking Index During the Last Four Hundred Years Using Gridded Temperature and Precipitation Data
by Norel Rimbu, Monica Ionita, Tobias Spiegl and Gerrit Lohmann
Atmosphere 2025, 16(4), 477; https://doi.org/10.3390/atmos16040477 - 19 Apr 2025
Viewed by 1585
Abstract
We present a two-dimensional reconstruction of blocking frequency indices in the Atlantic-European region spanning the last 400 years. Our approach is based on a simple field reconstruction scheme similar to the principal component regression method. The particularity of our reconstruction scheme is that [...] Read more.
We present a two-dimensional reconstruction of blocking frequency indices in the Atlantic-European region spanning the last 400 years. Our approach is based on a simple field reconstruction scheme similar to the principal component regression method. The particularity of our reconstruction scheme is that we select the blocking predictors using observed and reconstructed surface temperature and precipitation gridded data based on the correlation stability criteria. This approach avoids the problem of non-stationarity between predictand and predictors that commonly affects the quality of climate field reconstructions. First, we reconstruct the blocking field back to 1891 using observed gridded surface temperature and precipitation data. Then, the reconstruction is extended back in time to 1602 using seasonal-resolution paleo-reanalysis temperature and precipitation fields. The reconstruction is validated against various observed blocking frequency fields and climate reconstruction indices. The methodology presented in this study offers an opportunity for extracting paleo-weather signals from seasonal-resolution gridded datasets, which enables an improved understanding of the forcing of low-frequency variability for atmospheric blockings and related extremes. Full article
(This article belongs to the Section Climatology)
Show Figures

Figure 1

16 pages, 2992 KB  
Article
Simultaneous Determination of Six Common Microplastics by a Domestic Py-GC/MS
by Yuanqiao Zhou, Bingyue Fu, Jinshui Che and Xingnan Ye
Atmosphere 2025, 16(4), 476; https://doi.org/10.3390/atmos16040476 - 19 Apr 2025
Cited by 11 | Viewed by 4830
Abstract
Pyrolysis coupled with gas chromatography–mass spectrometry (Py-GC/MS) is a novel technology capable of detecting micro- and nanoplastics without a size limit. However, the application of Py-GC/MS to airborne microplastic analysis remains inconsistent. This study explores optimal Py-GC/MS procedures using a domestic HenxiTM [...] Read more.
Pyrolysis coupled with gas chromatography–mass spectrometry (Py-GC/MS) is a novel technology capable of detecting micro- and nanoplastics without a size limit. However, the application of Py-GC/MS to airborne microplastic analysis remains inconsistent. This study explores optimal Py-GC/MS procedures using a domestic HenxiTM PY-1S pyrolyzer-based Py-GC/MS. The initial weight loss of PVC occurs at approximately 260 °C, indicating that the maximum thermal desorption temperature prior to pyrolysis should not exceed 250 °C. To avoid interference from semi-volatile organics present in the sample and injected air, it is essential to purge the sample with pure helium at elevated temperatures before pyrolysis. Microplastic standards can be prepared by ultrasonicating a water–microplastic dispersion system. Significant interactions between microplastic mixtures were observed during co-pyrolysis, indicating that the interactions of mixtures cannot be ignored during the optimization of quantitative references. The optimal procedure features good linearity (R2 > 0.98), low detection limit (0.06~0.0002 μg), and acceptable precisions (RSD < 10% in 8 days). Microplastics determined by the domestic PY-1S pyrolyzer coupled with a GC/MS system are comparable to those of the well-established PY-3030D-based Py-GC/MS, indicating that the domestic pyrolyzer coupled with GC/MS is a reliable and powerful tool for microplastic analysis. Full article
Show Figures

Figure 1

21 pages, 5918 KB  
Article
Surface Ozone Variability in Two Contrasting Megacities, Cairo and Paris, and Its Observation from Satellites
by Amira N. Mostafa, Stephane Alfaro, Juan Cuesta, Ibrahim A. Hassan and M. M. Abdel Wahab
Atmosphere 2025, 16(4), 475; https://doi.org/10.3390/atmos16040475 - 18 Apr 2025
Cited by 1 | Viewed by 1177
Abstract
With recognized adverse effects on human health and the environment, surface ozone constitutes a major problem within and downwind of urbanized areas. In this work, we first analyzed 5 years of hourly concentrations of ozone measured in two megacities with contrasting climates: Paris [...] Read more.
With recognized adverse effects on human health and the environment, surface ozone constitutes a major problem within and downwind of urbanized areas. In this work, we first analyzed 5 years of hourly concentrations of ozone measured in two megacities with contrasting climates: Paris and Cairo. In both cases, the maximal daily concentrations were observed in summer and they exceeded the 35 ppb threshold recommended by the World Health Organization in 45% and 69% of the days, respectively. During periods of forced reduced activities, these concentrations decreased in Cairo but not in Paris. This indicates that low-emission zones are not necessarily effective to help curb the ozone problem. In a second stage, the ozone retrievals of two satellite-based atmospheric sounding methods (AIRS, and the multispectral approach IASI+GOME2) were compared to the surface measurements. A systematic overestimation, larger for AIRS than IASI+GOME2, was observed. This is likely linked to the fact that satellite approaches retrieve ozone concentrations at higher atmospheric levels than the surface. However, a significantly high linear correlation was obtained at the monthly temporal resolution. Therefore, shift adjustments of the satellite measurements provide efficient proxies of surface observations with significant monthly correlations. This may help complete lacunar surface measurements. Full article
(This article belongs to the Special Issue Ozone Evolution in the Past and Future (2nd Edition))
Show Figures

Figure 1

16 pages, 17622 KB  
Article
Knowledge Map-Based Analysis of Carbon Sequestration Research Dynamics in Forest and Grass Systems: A Bibliometric Analysis
by Quanlin Ma, Xinyou Wang, Baoru Mo, Zaiguo Liu, Yangjun Zhang, Wenzheng Zong and Meiting Bai
Atmosphere 2025, 16(4), 474; https://doi.org/10.3390/atmos16040474 - 18 Apr 2025
Cited by 1 | Viewed by 1486
Abstract
Forest and grass systems are globally significant carbon-sequestering ecosystems, crucial for mitigating climate change and optimizing ecological management. To clarify the research history, major contributing groups, and research hotspots related to carbon sequestration in global forest and grass systems, this study utilizes the [...] Read more.
Forest and grass systems are globally significant carbon-sequestering ecosystems, crucial for mitigating climate change and optimizing ecological management. To clarify the research history, major contributing groups, and research hotspots related to carbon sequestration in global forest and grass systems, this study utilizes the core ensemble of the Web of Science database as its data source. Employing bibliometric methodology and software, such as VOSviewer 1.6.20 and CiteSpace 5.7.R1, we analyzed the development of 594 relevant publications from 2010 to 2024, focusing on their developmental lineage, research groups, current research status, and visualizing and analyzing research hotspots and frontiers. The results indicate that the volume of the literature on carbon sequestration in forest and grass systems generally follows the pattern of a logistic growth curve, demonstrating an upward trend from 2010 to 2024. The primary contributors consist of 400 researchers, including Nath, Arun Jyoti, and Ajit, as well as 378 research organizations across 42 countries, including China, the USA, and India. China’s contribution to this field is rapidly increasing, accounting for over 20% of the total articles, with ‘Chinese Acad Sci’ and ‘Univ Chinese Acad Sci’ being the most prominent contributors, together representing 10.45% of the total publications in this field. The 179 journals, including Agroforestry Systems and Forests, serve as a significant platform for academic exchange in the development of this field. The predominant research directions are found in the areas of ‘Environmental Sciences & Ecology’ and ‘Agriculture’, which collectively account for over 50% of the publications. Additionally, research focused on ‘Sequestration’ is increasingly examining the relationship between carbon sequestration in forest and grassland systems and factors such as climate change, ecosystem productivity, and biodiversity. The keyword clusters ‘#0 ferralsol’ and ‘#4 forest ecosystem’ have consistently represented important research directions throughout this period. A total of 21 keywords were identified, with ‘land use change’ exhibiting the highest intensity at 4.4524. Future research should not only prioritize the integration of the impacts of global climate change but also enhance collaboration among authors and institutions. Furthermore, it is essential to promote multidisciplinary and cross-regional collaborative innovations by leveraging emerging technologies such as AI and genetic engineering. Full article
(This article belongs to the Special Issue Forest Ecosystems in a Changing Climate)
Show Figures

Figure 1

15 pages, 1785 KB  
Article
Typhoon-Induced High PM10 Concentration Events in South Korea: A Comprehensive Analysis of Pre-, During, and Post-Typhoon Periods
by Hana Na and Woo-Sik Jung
Atmosphere 2025, 16(4), 473; https://doi.org/10.3390/atmos16040473 - 18 Apr 2025
Viewed by 3118
Abstract
This study challenges the commonly held belief that typhoons universally improve air quality by dispersing pollutants, offering new insights into their complex effects on PM10 concentrations. Through a comprehensive analysis of long-term data (2001–2021) from seven major South Korean cities, we demonstrate that [...] Read more.
This study challenges the commonly held belief that typhoons universally improve air quality by dispersing pollutants, offering new insights into their complex effects on PM10 concentrations. Through a comprehensive analysis of long-term data (2001–2021) from seven major South Korean cities, we demonstrate that typhoons can lead to significant increases in PM10 concentrations, particularly before and after their passage, under specific meteorological conditions. Contrary to the prevailing assumption, PM10 levels often rise before typhoons due to atmospheric stagnation, and after typhoons due to subsidence and long-range pollutant transport. Our results indicate that the post-typhoon period is particularly prone to high-PM10 events, with PM10 concentrations increasing by 84.5% in Incheon, 60.8% in Busan, and 62.3% in Gwangju. A case study of Typhoon MITAK revealed that pre-typhoon atmospheric conditions contributed to PM10 concentrations exceeding 81 μg/m3 in Seoul, a level classified as ‘unhealthy’ by Korean air quality standards. These findings challenge existing perceptions and provide essential insights into the complex relationship between typhoons and air pollution. The study underscores the importance of understanding the nuanced dynamics of typhoon-induced air pollution and its implications for air quality management, particularly in the context of ongoing climate change and urbanization. Moreover, the integration of real-time monitoring data into predictive air quality models could enhance the ability to mitigate the adverse effects of typhoon-induced air pollution in vulnerable regions. Full article
(This article belongs to the Section Meteorology)
Show Figures

Figure 1

15 pages, 6167 KB  
Article
Comparison of Sensors for Air Quality Monitoring with Reference Methods in Zagreb, Croatia
by Silvije Davila, Marija Jelena Lovrić Štefiček, Ivan Bešlić, Gordana Pehnec, Marko Marić and Ivana Hrga
Atmosphere 2025, 16(4), 472; https://doi.org/10.3390/atmos16040472 - 18 Apr 2025
Cited by 2 | Viewed by 1753
Abstract
Within the scope of “Eco Map of Zagreb” project, eight sensor sets (type AQMeshPod) were set up at an automatic measuring station at the Institute for Medical Research and Occupational Health (IMROH) for comparison with reference methods for air quality measurement during 2018. [...] Read more.
Within the scope of “Eco Map of Zagreb” project, eight sensor sets (type AQMeshPod) were set up at an automatic measuring station at the Institute for Medical Research and Occupational Health (IMROH) for comparison with reference methods for air quality measurement during 2018. This station is a city background station within the Zagreb network for air quality monitoring, where measurements of SO2, CO, NO2, O3, PM10 and PM2.5, are performed using standardized methods accredited according to EN ISO/IEC 17025. This paper presents a comparison of pollutant mass concentrations determined by sensors with reference methods. The data were compared and filtered to remove outliers and handle deviations between the results obtained by sensors and reference methods, considering the different approaches to gas and PM data. A comparison of sensor results with the reference methods showed a large scattering of all gaseous pollutants while the comparison for PM10 and PM2.5 indicated a satisfactory low dispersion. The results of a regression analysis showed a significant seasonal dependence for all pollutants. Significant statistical differences between the reference methods and sensors for the whole year and in all seasons for all gas pollutants, as well as for PM10, were observed, while for PM2.5 statistical significance showed varying results. Full article
(This article belongs to the Special Issue Feature Papers in Atmospheric Techniques, Instruments, and Modeling)
Show Figures

Figure 1

17 pages, 992 KB  
Article
Research on the Threshold Effect of Green Technology Innovation on Fog–Haze Pollution in the Transfer of Air Pollution-Intensive Industries: A Perspective of Thermal Power
by Jingkun Zhou and Yating Li
Atmosphere 2025, 16(4), 471; https://doi.org/10.3390/atmos16040471 - 18 Apr 2025
Cited by 3 | Viewed by 1066
Abstract
Green technology innovation can effectively reduce the problem of pollution transfer in air pollution-intensive industries like thermal power and realize the green development of air pollution-intensive industries like thermal power. Based on green technology innovation, this paper analyzes the spatial–temporal characteristics of fog–haze [...] Read more.
Green technology innovation can effectively reduce the problem of pollution transfer in air pollution-intensive industries like thermal power and realize the green development of air pollution-intensive industries like thermal power. Based on green technology innovation, this paper analyzes the spatial–temporal characteristics of fog–haze in 31 provinces and municipalities. Taking the panel data of 31 provinces, municipalities, and autonomous regions from 2000 to 2017 as samples, this paper adopts the panel threshold regression method to examine the relationship between green technology innovation and fog–haze pollution in the transfer of air pollution-intensive industries like thermal power. The study found the following: China’s haze outbreak and the subsequent increasingly serious reasons for the implementation of weight detection haze policy seriously misled the haze prevention and control work, simple disorganized management aggravated the degree of haze pollution, and layer by layer, management methods caused the huge increase in secondary particulate matter; haze pollution aggregation occurs in the area of environmental self-purification capacity in the low air pollution-intensive industrial agglomeration to affect the atmospheric environment, a significant increase in the neighbouring industrial pollution agglomeration in resource-rich provinces; green technology innovation above the threshold has a significant inhibitory effect on the industrial transfer of haze pollution, and so on. There is a need for the scientific planning of pollution industry transfer to undertake the development of the place, the effective transfer of Beijing–Tianjin–Hebei haze pollution and other areas of air pollution-intensive industries, the development of targeted green technology innovation to strengthen policies, the scientific management of haze pollution, and the contribution of the scientific management of haze pollution in China. Full article
Show Figures

Figure 1

18 pages, 9721 KB  
Article
A Multi-Year Investigation of Thunderstorm Activity at Istanbul International Airport Using Atmospheric Stability Indices
by Oğuzhan Kolay, Bahtiyar Efe, Emrah Tuncay Özdemir and Zafer Aslan
Atmosphere 2025, 16(4), 470; https://doi.org/10.3390/atmos16040470 - 17 Apr 2025
Cited by 4 | Viewed by 4004
Abstract
Thunderstorms are weather phenomena that comprise thunder and lightning. They typically result in heavy precipitation, including rain, snow, and hail. Thunderstorms have adverse effects on flight at both the ground and the upper levels of the troposphere. The characteristics of the thunderstorm of [...] Read more.
Thunderstorms are weather phenomena that comprise thunder and lightning. They typically result in heavy precipitation, including rain, snow, and hail. Thunderstorms have adverse effects on flight at both the ground and the upper levels of the troposphere. The characteristics of the thunderstorm of Istanbul International Airport (International Civil Aviation Organization (ICAO) code: LTFM) have been investigated because it is currently one of the busiest airports in Europe and the seventh-busiest airport in the world. Geopotential height (m), temperature (°C), dewpoint temperature (°C), relative humidity (%), mixing ratio (g kg−1), wind direction (°), and wind speed (knots) data for the ground level and upper levels of the İstanbul radiosonde station were obtained from the Turkish State Meteorological Service (TSMS) for 29 October 2018 and 1 January 2023. Surface data were regularly collected by the automatic weather stations near the runway and the upper-level data were collected by the radiosonde system located in the Kartal district of İstanbul. Thunderstorm statistics, stability indices, and meteorological variables at the upper levels were evaluated for this period. Thunderstorms were observed to be more frequent during the summer, with a total of 51 events. June had the highest number of thunderstorm events with a total of 32. This averages eight events per year. A total of 72.22% occurred during trough and cold front transitions. The K index and total totals index represented the thunderstorm events better than other stability indices. In total, 75% of the thunderstorm days were represented by these two stability indices. The results are similar to the covering of this area: the convective available potential energy (CAPE) values which are commonly used for atmospheric instability are low during thunderstorm events, and the K and total totals indices are better represented for thunderstorm events. This study investigates thunderstorm events at the LTFM, providing critical insights into aviation safety and operational efficiency. The research aims to improve flight planning, reduce weather-related disruptions, and increase safety and also serves as a reference for airports with similar climatic conditions. Full article
(This article belongs to the Special Issue Weather and Climate Extremes: Past, Current and Future)
Show Figures

Figure 1

13 pages, 2116 KB  
Article
Effects of Exposure to Air Pollution and Cold Weather on Acute Myocardial Infarction Mortality
by Yu-Hsuan Chen, I-Hsing Liu, Chih-Chun Hsiao, Chun-Gu Cheng and Chun-An Cheng
Atmosphere 2025, 16(4), 469; https://doi.org/10.3390/atmos16040469 - 17 Apr 2025
Cited by 3 | Viewed by 3045
Abstract
(1) Background: Human exposure to air pollution may induce inflammation and oxidative stress. In addition, extreme air temperatures and relative humidity cause vasoconstriction and abnormal blood cell function. These harmful effects may increase cardiovascular disease mortality. The effects of air pollution and climatic [...] Read more.
(1) Background: Human exposure to air pollution may induce inflammation and oxidative stress. In addition, extreme air temperatures and relative humidity cause vasoconstriction and abnormal blood cell function. These harmful effects may increase cardiovascular disease mortality. The effects of air pollution and climatic factors on mortality in patients with acute myocardial infarction (AMI) are relatively unknown. (2) Methods: We used AMI mortality data collected from Taiwan’s Medical Quality Indicator. Air pollutant data were collected from the Taiwanese Environmental Protection Administration, and air temperature and relative humidity data were obtained from the Taiwanese Central Weather Administration. The effects were estimated using Poisson regression to analyze the relative risk (RR) of mortality from AMI associated with exposure to air pollutants and climatic factors. (3) Results: The RR for every 4.7 μg/m3 increase in particulate matter with a diameter less than 2.5 μm (PM2.5) was 1.086 (95% CI: 1.033–1.142, p = 0.001). The RR for every 10.3 ppb increase in ozone concentration was 1.095 (95% CI: 1.011–1.185, p = 0.025). The RR for every 6.5 °C decrease in air temperature was 1.087 (95% CI: 1.024–1.154, p = 0.006) for AMI mortality. (4) Conclusions: This study revealed that higher PM2.5 and ozone concentrations, along with cold weather, are associated with mortality in individuals with AMI. The government must develop policies to promote air pollution prevention, mitigate air pollution, and alert residents about poor air quality and cold weather, thereby promoting sustainable human health. Full article
(This article belongs to the Section Air Quality and Health)
Show Figures

Figure 1

22 pages, 4791 KB  
Article
Investigation into the Best Available Moisture Pretreatment Approach for the Measurement of Trichloroethylene and Nitrous Oxide Emitted from Semiconductor Industries
by Da-Hyun Baek, Byeong-Gyu Park, Sang-Woo Lee, Trieu-Vuong Dinh and Jo-Chun Kim
Atmosphere 2025, 16(4), 468; https://doi.org/10.3390/atmos16040468 - 17 Apr 2025
Viewed by 1119
Abstract
In this study, the effects of various moisture pretreatment devices (MPDs) on the analytical process of trichloroethylene (TCE) and nitrous oxide (N2O), which are representative organic and inorganic compounds emitted from semiconductor industries, were investigated. Three types of MPDs—a KPASS (MPD_K), [...] Read more.
In this study, the effects of various moisture pretreatment devices (MPDs) on the analytical process of trichloroethylene (TCE) and nitrous oxide (N2O), which are representative organic and inorganic compounds emitted from semiconductor industries, were investigated. Three types of MPDs—a KPASS (MPD_K), a Nafion™ dryer (MPD_N), and a cooler (MPD_C)—were evaluated for their performance under sample gas conditions of 25 °C and 150 °C at various flow rates. MPD modification was also carried out to improve their performance at high loading capacities. The results indicated that humidity introduced significant bias in the measurement of TCE and N2O according to the analyzers explored in this study. At a flow rate of 1 L/min, among the MPDs, MPD_N exhibited the highest moisture removal efficiency, followed by MPD_K and MPD_C. In terms of analyte recovery rates, MPD_K achieved the highest TCE recovery, followed by MPD_N and MPD_C, across all tested conditions. Conversely, MPD_C resulted in the lowest N2O recovery rates, whereas MPD_K and MPD_N maintained over 95% recovery rates. At a flow rate of 4 L/min, MPD_N and MPD_C did not work at high temperatures. In contrast, the modified MPD_K, which received less investment compared to many other membranes, showed an acceptable moisture removal efficiency (>85%) and analyte recovery (>98%). Therefore, modified KPASS is recommended as a useful moisture pretreatment device for the analytical process of TCE and N2O at both normal and high loading capacities. Full article
(This article belongs to the Section Air Pollution Control)
Show Figures

Figure 1

14 pages, 3762 KB  
Article
Influence of Black Carbon on Measurement Errors in Scattering-Based Visibility Meters
by Zhihua Yang, Zefeng Zhang, Hengnan Guo and Jing Wang
Atmosphere 2025, 16(4), 467; https://doi.org/10.3390/atmos16040467 - 17 Apr 2025
Viewed by 985
Abstract
Visibility is a fundamental meteorological parameter critical for surface transportation, aviation, maritime navigation, and weather process investigation. Scattering visibility meters are extensively utilised for their simple design and rapid response; however, their measurement principle is inherently limited, as they only quantify the scattering [...] Read more.
Visibility is a fundamental meteorological parameter critical for surface transportation, aviation, maritime navigation, and weather process investigation. Scattering visibility meters are extensively utilised for their simple design and rapid response; however, their measurement principle is inherently limited, as they only quantify the scattering coefficient without assessing the absorption coefficient, potentially causing measurement errors. The World Meteorological Organisation (WMO) posits that the atmospheric absorption coefficient is usually relatively small and can be neglected, justifying the approximation of the extinction coefficient by the scattering coefficient. However, as black carbon is the predominant light-absorbing component in the atmosphere, an increase in its mass concentration markedly alters the atmospheric absorption coefficient, considerably impacting the accuracy of scattering-based visibility meters. Based on Mie scattering theory and incorporating both field observations and laboratory data, we systematically examined the effects of black carbon and its interactions with other aerosol components on the measurement errors of scattering visibility meters. Our findings revealed that the impact of black carbon on measurement errors is substantial, and under certain conditions, particularly pronounced. This influence is not only dependent on the mass concentration of black carbon but also closely associated with aerosol size distribution, mixing state, and the characteristics of other scattering aerosols. Due to the spatiotemporal variability of these factors, the impact of black carbon on visibility errors is uncertain. Therefore, during the calibration of scattering-based visibility meters, the effects of black carbon and its associated factors must be considered to enhance measurement accuracy. We propose calibration recommendations for scattering-based visibility meters aimed at reducing measurement errors and improving the accuracy of visibility assessments. Full article
(This article belongs to the Section Atmospheric Techniques, Instruments, and Modeling)
Show Figures

Figure 1

15 pages, 3455 KB  
Article
Spatiotemporal Dynamics of Retrogressive Thaw Slumps in the Shulenanshan Region of the Western Qilian Mountains
by Yu Zhou, Qingnan Zhang, Guoyu Li, Qingsong Du, Dun Chen, Junhao Chen, Anshuang Su, Miao Wang, Xu Wang and Benfeng Wang
Atmosphere 2025, 16(4), 466; https://doi.org/10.3390/atmos16040466 - 17 Apr 2025
Cited by 1 | Viewed by 1309
Abstract
Climate warming is accelerating the degradation of permafrost, particularly in mid- to low-latitude regions, resulting in the widespread formation of thermokarst landscapes, including retrogressive thaw slumps (RTSs). These landforms, which are predominantly formed by the thawing of ice-rich permafrost, have been shown to [...] Read more.
Climate warming is accelerating the degradation of permafrost, particularly in mid- to low-latitude regions, resulting in the widespread formation of thermokarst landscapes, including retrogressive thaw slumps (RTSs). These landforms, which are predominantly formed by the thawing of ice-rich permafrost, have been shown to impact topography, hydrology, and ecosystem dynamics. However, spatiotemporal changes in RTS distribution and development in mid- to low-latitude permafrost regions are not well understood. This study investigates RTS spatiotemporal dynamics in the Heshenling area of the western Qilian Mountains using multi-temporal PlanetScope and Google Earth imagery, along with Sentinel-1 InSAR data acquired from 2014 to 2023. The results reveal 20 RTSs, averaging 3.7 ha in area, primarily distributed on slopes of 7–23° and at elevations of 3455–3651 m a.s.l. The deformation rates of RTSs ranged from −54 to 27 mm/year. Three developmental stages—active, stable, and mature—were identified through analysis of surface deformation and geometric variations. Active RTSs exhibited accelerated headscarp retreat and debris tongue expansion, with some slumps expanding by up to 35%. This study highlights high temperatures and rainfall as potential factors contributing to the accelerated development of RTS in arid alpine environments, and suggests that RTS activity is likely to accelerate with continued climate change. Full article
(This article belongs to the Special Issue Research About Permafrost–Atmosphere Interactions (2nd Edition))
Show Figures

Figure 1

22 pages, 5718 KB  
Article
Drought Monitoring in the Agrotechnological Districts of the Semear Digital Center
by Tamires Lima da Silva, Luciana Alvim Santos Romani, Silvio Roberto Medeiros Evangelista, Mihai Datcu and Silvia Maria Fonseca Silveira Massruhá
Atmosphere 2025, 16(4), 465; https://doi.org/10.3390/atmos16040465 - 17 Apr 2025
Cited by 6 | Viewed by 1724
Abstract
Drought affects the agricultural sector, posing challenges for farm management, particularly among medium- and small-scale producers. This study uses climate data from remote sensing products to evaluate drought trends in the Semear Digital Center’s Agrotechnological Districts (DATs), which are characterized by a high [...] Read more.
Drought affects the agricultural sector, posing challenges for farm management, particularly among medium- and small-scale producers. This study uses climate data from remote sensing products to evaluate drought trends in the Semear Digital Center’s Agrotechnological Districts (DATs), which are characterized by a high concentration of small- and medium-sized farms in Brazil. Precipitation data from Climate Hazards Group InfraRed Precipitation with Station (CHIRPS) and land surface temperature data from Moderate Resolution Imaging Spectroradiometer (MODIS) were applied to calculate the Standardized Precipitation–Evapotranspiration Index (SPEI) for a 6-month timescale from 2000 to 2024, with analysis divided into 2000–2012 and 2013–2024. Some limitations were noted: MODIS systematically underestimated temperatures, while CHIRPS tended to underestimate precipitation for most of the DATs. Despite discrepancies, these datasets remain valuable for drought monitoring in areas where long-term ground weather station data are lacking for SPEI assessments. Agricultural drought frequency and severity increased in the 2013–2024 period. Exceptional, extreme, severe, and moderate drought events rose by 7.3, 5.4, 2.2 and 1.0 times, respectively. These trends highlight the importance of adopting smart farming technologies to enhance the resilience of the DATs to climate change. Full article
(This article belongs to the Special Issue Observation of Climate Change and Cropland with Satellite Data)
Show Figures

Figure 1

22 pages, 25259 KB  
Article
Spatial Modeling of Trace Element Concentrations in PM10 Using Generalized Additive Models (GAMs)
by Mariacarmela Cusano, Alessandra Gaeta, Raffaele Morelli, Giorgio Cattani, Silvia Canepari, Lorenzo Massimi and Gianluca Leone
Atmosphere 2025, 16(4), 464; https://doi.org/10.3390/atmos16040464 - 16 Apr 2025
Cited by 1 | Viewed by 1222
Abstract
GAMs were implemented to evaluate the spatial variation in concentrations of 33 elements in PM10, in their water-soluble and insoluble fractions used as tracers for different emission sources. Data were collected during monitoring campaigns (November 2016–February 2018) in the Terni basin [...] Read more.
GAMs were implemented to evaluate the spatial variation in concentrations of 33 elements in PM10, in their water-soluble and insoluble fractions used as tracers for different emission sources. Data were collected during monitoring campaigns (November 2016–February 2018) in the Terni basin (an urban and industrial hotspot of Central Italy), using an innovative experimental approach based on high-spatial-resolution (23 sites, approximately 1 km apart) monthly samplings and the chemical characterization of PM10. For each element, a model was developed using monthly mean concentrations as the response variable. As covariates, the temporal predictors included meteorological parameters (temperature, relative humidity, wind speed and direction, irradiance, precipitation, planet boundary layer height), while the spatial predictors encompassed distances from major sources, road length, building heights, land use variables, imperviousness, and population. A stepwise procedure was followed to determine the model with the optimal set of covariates. A leave-one-out cross-validation method was used to estimate the prediction error. Statistical indicators (Adjusted R-Squared, RMSE, FAC2, FB) were used to evaluate the performance of the GAMs. The spatial distribution of the fitted values of PM10 and its elemental components, weighted over all sampling periods, was mapped at a resolution of 100 m. Full article
(This article belongs to the Section Air Quality)
Show Figures

Figure 1

21 pages, 3848 KB  
Article
Variability and Trends of PM2.5 Across Different Climatic Zones in Saudi Arabia: A Spatiotemporal Analysis
by Said Munir, Muhammad H. Siddiqui, Turki M. A. Habeebullah, Arjan O. Zamreeq, Norah E. Al-Zahrani, Alaa A. Khalil, M. Nazrul Islam, Abdalla A. Baligh, Muhammad Ismail and Saud Z. Al-Boqami
Atmosphere 2025, 16(4), 463; https://doi.org/10.3390/atmos16040463 - 16 Apr 2025
Cited by 4 | Viewed by 5524
Abstract
Atmospheric fine particles (PM2.5) pose significant health risks by penetrating deep into the lungs and causing respiratory and cardiovascular issues. In Saudi Arabia, high PM2.5 levels are driven by its geographic location and extreme climate. Therefore, analysis of PM2.5 [...] Read more.
Atmospheric fine particles (PM2.5) pose significant health risks by penetrating deep into the lungs and causing respiratory and cardiovascular issues. In Saudi Arabia, high PM2.5 levels are driven by its geographic location and extreme climate. Therefore, analysis of PM2.5 spatiotemporal variability is crucial for understanding its causes, impacts, and effective management. This study analyzed MERRA-2 reanalysis PM2.5 data for 23 years (2001–2023). MERRA-2 data were validated with in situ observations in terms of several statistical metrics, including RMSE, FAC2, MAE, and Correlation Coefficient. The results revealed a significant spatial variation in PM2.5 levels, with higher concentrations observed in the eastern and southeastern regions and lower concentrations observed in the western and northwestern regions, a trend confirmed by ground-level observations. Employing the robust Theil–Sen technique, temporal trends in PM2.5 concentrations indicated an overall decreasing trend over the study period. At most sites, PM2.5 levels increased until 2010 and then started decreasing, probably due to government interventions for reducing emissions, combating desertification, and enhancing tree plantations. Non-linear modeling provided a more accurate representation of complex trends compared to simple linear models. The findings underscore the need for continued national and regional efforts to mitigate PM2.5 pollution by addressing its emission sources. Full article
Show Figures

Figure 1

22 pages, 89119 KB  
Article
Quantifying the Effects of Climate Change on the Urban Heat Island Intensity in Luxembourg—Sustainable Adaptation and Mitigation Strategies Through Urban Design
by Jürgen Junk, Céline Lett, Ivonne Trebs, Elke Hipler, Jairo A. Torres-Matallana, Ruben Lichti and Andreas Matzarakis
Atmosphere 2025, 16(4), 462; https://doi.org/10.3390/atmos16040462 - 16 Apr 2025
Cited by 5 | Viewed by 4108
Abstract
Rapid urbanization and climate change intensify the urban heat island effect. This study quantifies the UHI impact in Luxembourg’s Pro-Sud region and explores sustainable mitigation strategies. In situ and mobile measurements, EURO-CORDEX regional climate projections (RCP4.5), and the FITNAH-3D urban climate model were [...] Read more.
Rapid urbanization and climate change intensify the urban heat island effect. This study quantifies the UHI impact in Luxembourg’s Pro-Sud region and explores sustainable mitigation strategies. In situ and mobile measurements, EURO-CORDEX regional climate projections (RCP4.5), and the FITNAH-3D urban climate model were used considering also future building developments. The results reveal a significant UHI effect, with substantial temperature and thermal stress level differences between urban and rural areas. Regional climate projections indicate a marked UHI intensification under future scenarios. FITNAH-3D simulations show increased thermal stress levels, especially in densely built areas, and highlight green infrastructure’s importance in mitigating UHI effects. Recommendations for spatial unit-specific urban climate measures specifically for vegetation, unsealing, and optimized urban design and planning are provided. Our research emphasizes the urgent need for tailored urban planning, adaptation, and mitigation strategies to enhance urban climate resilience and address thermal stress. Full article
(This article belongs to the Special Issue Urban Heat Islands and Global Warming (3rd Edition))
Show Figures

Figure 1

21 pages, 6971 KB  
Article
Study on Dust Hazard Levels and Dust Suppression Technologies in Cabins of Typical Mining Equipment in Large Open-Pit Coal Mines in China
by Xiaoliang Jiao, Wei Zhou, Junpeng Zhu, Xinlu Zhao, Junlong Yan, Ruixin Wang, Yaning Li and Xiang Lu
Atmosphere 2025, 16(4), 461; https://doi.org/10.3390/atmos16040461 - 16 Apr 2025
Cited by 4 | Viewed by 2430
Abstract
As the world’s largest open-pit coal producer, China faces severe dust pollution in mining operations. Cabins of mining equipment (electric shovels, haul trucks, drills) exhibit unique micro-environmental contamination due to dual-source pollution (external infiltration and internal secondary dust generation), posing severe health risks [...] Read more.
As the world’s largest open-pit coal producer, China faces severe dust pollution in mining operations. Cabins of mining equipment (electric shovels, haul trucks, drills) exhibit unique micro-environmental contamination due to dual-source pollution (external infiltration and internal secondary dust generation), posing severe health risks to miners. This study focused on electric shovel cabins at the Heidaigou open-pit coal mine to address cabin dust pollution. Through analysis of dust physicochemical properties, a pollution characteristic database was established. Field measurements and statistical methods revealed temporal–spatial variation patterns of dust concentrations, quantifying occupational exposure risks and providing theoretical foundations for dust control. A novel gradient-pressurized air purification system was developed for harsh mining conditions. Key findings include the following. (1) Both coal-shovel and rock-shovel operators were exposed to Level I (mild hazard level), with rock-shovel operators approaching Level II (moderate hazard level). (2) The system reduced respirable dust concentrations from 0.313 mg/m3 to 0.208 mg/m3 (≥33.34% improvement) in coal-shovel cabins and from 0.625 mg/m3 to 0.421 mg/m3 (≥32.64% improvement) in rock-shovel cabins. These findings offer vital guidance for optimizing cabin design, improving dust control, and developing scientific management strategies, thereby effectively protecting miners’ health and ensuring operational safety. Full article
(This article belongs to the Special Issue Air Pollution: Health Risks and Mitigation Strategies)
Show Figures

Figure 1

13 pages, 928 KB  
Article
Evaluating Soil Temperature Variations for Enhanced Radon Monitoring in Volcanic Regions
by Miroslaw Janik, Mashiro Hosoda, Shinji Tokonami, Yasutaka Omori and Naofumi Akata
Atmosphere 2025, 16(4), 460; https://doi.org/10.3390/atmos16040460 - 16 Apr 2025
Viewed by 1168
Abstract
Soil temperature, a key factor in subsurface geochemical processes, is influenced by environmental and geological dynamics. This study analyzed hourly soil temperature variations at depths of 10 to 100 cm near the Sakurajima volcano, alongside concurrent ambient temperature measurements. By applying temperature models [...] Read more.
Soil temperature, a key factor in subsurface geochemical processes, is influenced by environmental and geological dynamics. This study analyzed hourly soil temperature variations at depths of 10 to 100 cm near the Sakurajima volcano, alongside concurrent ambient temperature measurements. By applying temperature models and statistical methods, we characterized both seasonal and short-term thermal dynamics, including soil-atmosphere thermal coupling. Our findings revealed a depth-dependent thermal diffusivity, establishing distinct thermal regimes within the soil profile. The soil’s strong thermal buffering capacity, evidenced by increasing amplitude attenuation and temporal lag with depth, allowed us to identify optimal instrument placement depths (80–100 cm) for minimal diurnal temperature influence. We also quantified the relationship between ambient temperature fluctuations and soil thermal response at various depths, as well as the impact of these temperature variations on soil permeability. These results enhance our understanding of subsurface thermal behaviour in volcanic environments and offer practical guidance for environmental monitoring and geohazard studies. Full article
Show Figures

Figure 1

18 pages, 7773 KB  
Article
Expanding Lake Area on the Changtang Plateau Amidst Global Lake Water Storage Declines: An Exploration of Underlying Factors
by Da Zhi, Yang Pu, Chuan Jiang, Jiale Hu and Yujie Nie
Atmosphere 2025, 16(4), 459; https://doi.org/10.3390/atmos16040459 - 16 Apr 2025
Viewed by 1145
Abstract
The remarkable expansion of lake areas across the Changtang Plateau (CTP, located in the central Tibetan Plateau) since the late 1990s has drawn considerable scientific interest, presenting a striking contrast to the global decline in natural lake water storage observed during the same [...] Read more.
The remarkable expansion of lake areas across the Changtang Plateau (CTP, located in the central Tibetan Plateau) since the late 1990s has drawn considerable scientific interest, presenting a striking contrast to the global decline in natural lake water storage observed during the same period. This study systematically investigates the mechanisms underlying lake area variations on the CTP by integrating glacierized area changes derived from the Google Earth Engine (GEE) platform with atmospheric circulation patterns from the ERA5 reanalysis dataset. Our analysis demonstrates that the limited glacier coverage on the CTP exerted significant influence only on glacial lakes in the southern region (r = −0.65, p < 0.05). The widespread lake expansion across the CTP predominantly stems from precipitation increases (r = 0.74, p < 0.01) associated with atmospheric circulation changes. Enhanced Indian summer monsoon (ISM) activity facilitates anomalous moisture transport from the Indian Ocean to the southwestern CTP, manifesting as increased specific humidity (Qa) in summer. Simultaneously, the weakened westerly jet stream reinforces moisture convergence across the CTP, driving enhanced annual precipitation. By coupling glacier coverage variations with atmospheric processes, this research establishes that precipitation anomalies rather than glacial meltwater primarily govern the extensive lake expansion on the CTP. These findings offer critical insights for guiding ecological security strategies and sustainable development initiatives on the CTP. Full article
Show Figures

Figure 1

12 pages, 2013 KB  
Article
A New Approach to Estimating the Sensible Heat Flux in Bare Soils
by Francesc Castellví and Nurit Agam
Atmosphere 2025, 16(4), 458; https://doi.org/10.3390/atmos16040458 - 16 Apr 2025
Cited by 3 | Viewed by 1072
Abstract
The estimation of sensible heat flux (H) in drylands is important because it constitutes a significant portion of the net available surface energy. A model to estimate H half-hourly measurements for bare soils was derived by combining the surface renewal (SR) theory and [...] Read more.
The estimation of sensible heat flux (H) in drylands is important because it constitutes a significant portion of the net available surface energy. A model to estimate H half-hourly measurements for bare soils was derived by combining the surface renewal (SR) theory and the Monin–Obukhov similarity theory (MOST), involving the land surface temperature (LST), wind speed, and the air temperature in a period of half an hour, HSR-LST. The surface roughness lengths for momentum (zom) and for heat (z0h) were estimated at neutral conditions. The dataset included dry climates and different measurement heights (1.5 m up to 20 m). Root mean square error (RMSE) over the mean actual sensible heat flux estimate (HEC), E =RMSEHEC¯100%, was considered excellent, good, and moderate for E values of up to 25%, 35%, and 40%, respectively. In stable conditions, HSR-LST and HMOST values were comparable and both were unacceptable (E > 40%). However, the RMSE using HSR-LST ranged between 8 Wm2 and 12 Wm2 and performed slightly better than HMOST. In unstable conditions, HSR-LST was in excellent, good, and moderate agreement in 3, 6, and 5 cases, respectively; HMOST was good in 3 cases; and the remaining 11 cases were intolerable because they required site-specific calibration. Full article
(This article belongs to the Special Issue The Water Cycle and Climate Change (3rd Edition))
Show Figures

Figure 1

24 pages, 5064 KB  
Article
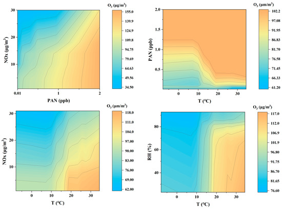
Predicting Ozone Concentrations in Ecologically Sensitive Coastal Zones Through Structure Mining and Machine Learning: A Case Study of Chongming Island, China
by Yan Liu, Tingting Hu, Yusen Duan and Jingqi Deng
Atmosphere 2025, 16(4), 457; https://doi.org/10.3390/atmos16040457 - 15 Apr 2025
Cited by 1 | Viewed by 1294
Abstract
Elevated O3 concentrations pose a significant threat to human health and ecosystems, but little research has been performed on coastal wetlands near large cities. This study focuses on investigating the key factors affecting O3 formation in the ecologically sensitive Dongtan Wetland [...] Read more.
Elevated O3 concentrations pose a significant threat to human health and ecosystems, but little research has been performed on coastal wetlands near large cities. This study focuses on investigating the key factors affecting O3 formation in the ecologically sensitive Dongtan Wetland (Chongming District, Shanghai, China) area. By comparing the performance of O3 concentration prediction of multiple machine learning models, this study found that the random forest model achieved the highest accuracy (R2 = 0.9, RMSE = 11.5). Feature importance and structure mining showed that peroxyacetyl nitrate (PAN), nitrogen oxides (NOx), temperature, wind direction, and relative humidity were the main drivers of O3 formation. Specifically, PAN concentrations exceeding 0.1 ppb and temperatures above 3 °C were found to have a significant impact on O3 levels, especially in spring, summer, and autumn. Trajectory analysis showed that westward urban pollution and emissions transported from the ocean were the main factors in O3 formation in the area. This study highlights the need for targeted emission control strategies, especially for PAN precursors generated by ships and NOx generated by urban industries, providing important insights for improving air quality in ecologically sensitive coastal areas. Full article
(This article belongs to the Section Atmospheric Techniques, Instruments, and Modeling)
Show Figures

Figure 1

19 pages, 3327 KB  
Article
Southwest Pacific Tropical Cyclone Rapid Intensification Classification Utilizing Machine Learning
by Rupsa Bhowmick
Atmosphere 2025, 16(4), 456; https://doi.org/10.3390/atmos16040456 - 15 Apr 2025
Viewed by 1601
Abstract
This study evaluates the ability of three machine learning methods—decision tree classifier (DTC), random forest classifier (RFC), and XGBoost classifier (XGBC)—to classify and predict tropical cyclone (TC) rapid intensification (RI) and non-RI over the Southwest Pacific Ocean basin (SWPO) from 1982 to 2023. [...] Read more.
This study evaluates the ability of three machine learning methods—decision tree classifier (DTC), random forest classifier (RFC), and XGBoost classifier (XGBC)—to classify and predict tropical cyclone (TC) rapid intensification (RI) and non-RI over the Southwest Pacific Ocean basin (SWPO) from 1982 to 2023. Among the 324 TCs within the domain, 81 were identified as RI TCs, exhibiting a 24-h intensity increase of at least 15 ms−1 at least once in their lifetime. Environmental variables used for the input matrix are extracted from the nearest grid cell corresponding to each RI and non-RI event’s geographic location and time of occurrence. Additionally, the geographic location of each event and its initial intensity positions (24-h prior) are also included in the model. The XGBC, with 10-fold cross-validation, became the optimum classifier by achieving the highest classification accuracy, as well as the lowest probability of false detection and the highest AUC score on the unseen data. The model identified the longitude of RI and non-RI events, initial intensity latitude, extent of initial intensity, and relative humidity at 850 hPa as the most important variables in the classification decision. This study will advance storm preparedness strategies for the SWPO nations through correctly predicting RI-TCs and prioritizing early prediction of contributing environmental variables. Full article
(This article belongs to the Section Climatology)
Show Figures

Figure 1

Previous Issue
Next Issue
Back to TopTop