Variability and Trends of PM2.5 Across Different Climatic Zones in Saudi Arabia: A Spatiotemporal Analysis
Abstract
1. Introduction
2. Methodology
2.1. MERRA-2 Data
2.2. PM2.5 Observation Data
2.3. Methodology of the Validation of MERRA-2 Data
3. Results and Discussion
3.1. Spatial Variability of PM2.5
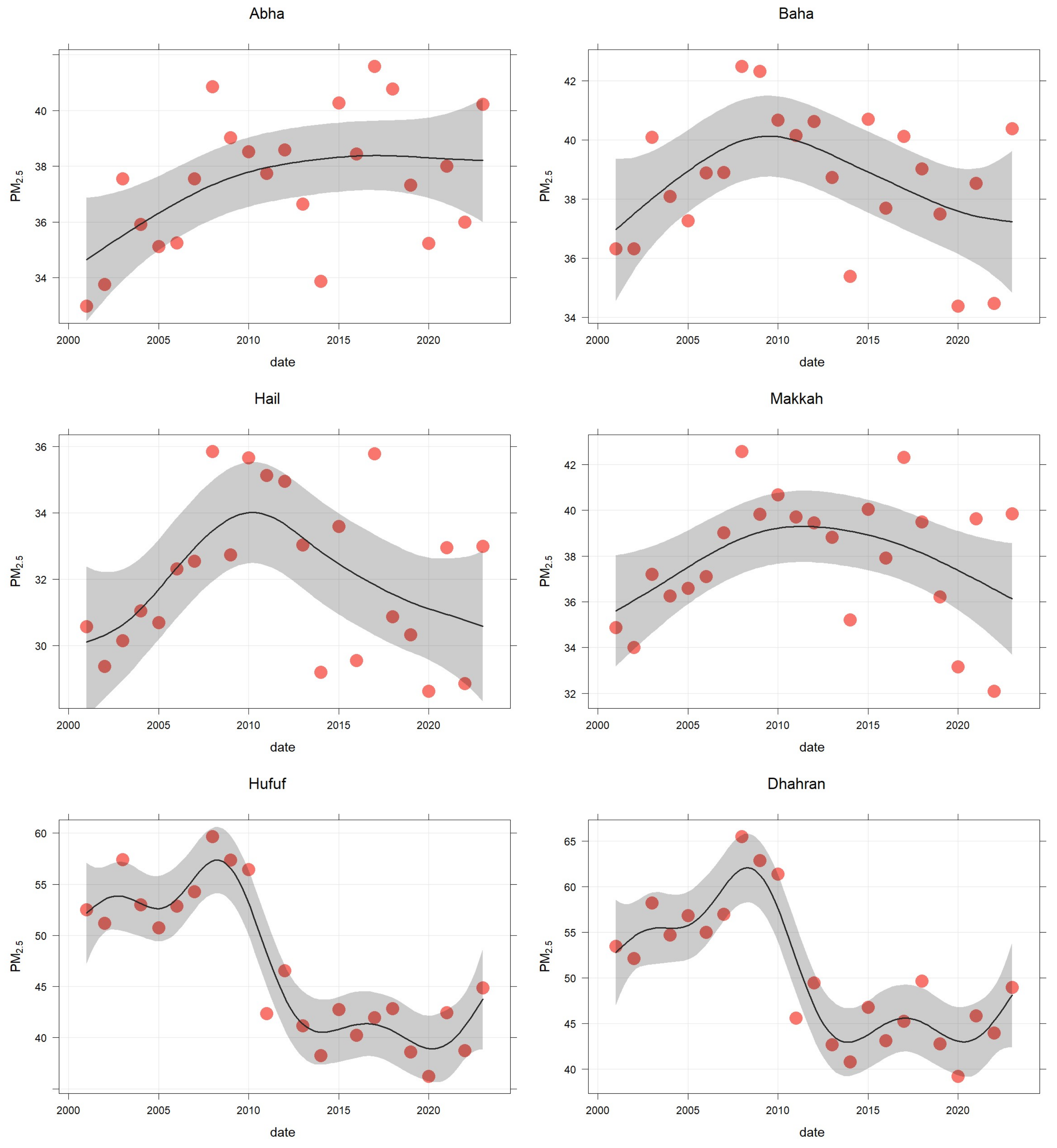
3.2. Historical Temporal Trend
- Increasing trend: Abha was the only city that exhibited a statistically significant increase in PM2.5 levels (at the 90% confidence level). The concentration rose linearly until 2010; afterward, the trend stabilized, suggesting a plateau effect.
- Stable or non-significant trend: Many sites, including Hail and Makkah, followed a pattern of initial increase in PM2.5 concentrations until around 2010, followed by a gradual decline, leading to a more stable long-term trend. This suggested that emissions or atmospheric conditions influencing PM2.5 levels may have changed after 2010, contributing to a slowing or reversal of earlier trends.
- Significant reduction: Some sites, such as Dhahran and Hufuf, experienced a sharp and statistically significant decline in PM2.5 levels after 2010. However, PM2.5 levels slightly increased after 2020, indicating potential changes in emission sources, meteorological factors, or regulatory impacts.
3.3. Annual Cycle of PM2.5 and Correlation with Meteorological Parameters
3.4. Results of the Validation of MERRA-2 Data
4. Conclusions
- (1)
- Strengthening Industrial Regulations: Continue enforcing strict emission control regulations on power plants, refineries, and industrial facilities, especially in high-pollution regions like Riyadh, Jazan, and Makkah. Promoting the adoption of cleaner production technologies and encouraging industrial transition to low-emission energy sources.
- (2)
- Expanding Green and Renewable Energy Initiatives: Accelerating the shift toward solar and wind energy projects to reduce reliance on fossil fuels, thereby lowering PM2.5 emissions from power generation. Encouraging the use of electric vehicles (EVs) and enhancing public transportation infrastructure to minimize traffic-related emissions.
- (3)
- Enhancing Dust and Sandstorm Mitigation Strategies: Investing in vegetation and afforestation programs, particularly in arid regions, to help reduce the resuspension of dust particles. Implementing urban planning strategies that minimize dust exposure, such as improved road infrastructure and dust suppression techniques.
- (4)
- Strengthening Air Quality Monitoring and Public Awareness: Expanding the air quality monitoring network to cover more cities, and rural and remote areas, ensuring real-time data availability for policymakers and researchers. Promoting public awareness campaigns about the health risks of PM2.5 exposure and encouraging community involvement in air quality improvement efforts.
- (5)
- Developing a Sand and Dust Storm (SDS) Pre-Warning System: Such a system is essential to protect public health, transportation, and infrastructure. The Core Components of the SDS Pre-Warning System are as follows: (a) Data Collection and Monitoring; (b) Forecasting and Early Warning; and (c) Communication and Public Awareness.
Author Contributions
Funding
Institutional Review Board Statement
Informed Consent Statement
Data Availability Statement
Conflicts of Interest
References
- Aguilera, R.; Corringham, T.; Gershunov, A.; Benmarhnia, T. Wildfire Smoke Impacts Respiratory Health More Than Fine Particles from Other Sources: Observational Evidence from Southern California. Nat. Commun. 2021, 12, 21708. [Google Scholar] [CrossRef] [PubMed]
- Duarte, R.; Duarte, A. Urban Atmospheric Aerosols: Sources, Analysis, and Effects. Atmosphere 2020, 11, 1221. [Google Scholar] [CrossRef]
- Han, L.; Zhou, W.; Li, W.; Li, L. Impact of Urbanization Level on Urban Air Quality: A Case of Fine Particles (PM2.5) in Chinese Cities. Environ. Pollut. 2014, 194, 163–170. [Google Scholar] [CrossRef]
- Wellenius, G. Ambient Air Pollution and the Risk of Acute Ischemic Stroke. Arch. Intern. Med. 2012, 172, 229–234. [Google Scholar] [CrossRef]
- Yang, M.; Wang, Y.; Liu, Q.; Ding, A.; Li, Y. The Influence of Sandstorms and Long-Range Transport on Polycyclic Aromatic Hydrocarbons (PAHs) in PM2.5 in the High-Altitude Atmosphere of Southern China. Atmosphere 2015, 6, 1633–1651. [Google Scholar] [CrossRef]
- Yoshida, Y. Oxidative Stress Induced by Air Pollution. Antioxidants 2024, 13, 1393. [Google Scholar] [CrossRef]
- Langrish, J.; Li, X.; Wang, S.; Lee, M.; Barnes, G.; Miller, M.; Jiang, L. Reducing Personal Exposure to Particulate Air Pollution Improves Cardiovascular Health in Patients with Coronary Heart Disease. Environ. Health Perspect. 2012, 120, 367–372. [Google Scholar] [CrossRef]
- Lelieveld, J.; Evans, J.S.; Fnais, M.; Giannadaki, D.; Pozzer, A. The Contribution of Outdoor Air Pollution Sources to Premature Mortality on a Global Scale. Nature 2015, 525, 367–371. [Google Scholar] [CrossRef]
- Liu, Q.; Xu, C.; Ji, G.; Liu, H.; Wentao, S.; Zhang, C.; Zhao, P. Effect of Exposure to Ambient PM2.5 Pollution on the Risk of Respiratory Tract Diseases: A Meta-Analysis of Cohort Studies. J. Biomed. Res. 2017, 31, 130–142. [Google Scholar]
- Pope, C.A.; Dockery, D.W. Health Effects of Fine Particulate Air Pollution: Lines That Connect. J. Air Waste Manag. Assoc. 2006, 56, 709–742. [Google Scholar] [CrossRef]
- Southerland, V.; Bräuer, M.; Mohegh, A.; Hammer, M.; Donkelaar, A.; Martin, R.; Anenberg, S. Global Urban Temporal Trends in Fine Particulate Matter (PM2.5) and Attributable Health Burdens: Estimates from Global Datasets. Lancet Planet. Health 2022, 6, e139–e146. [Google Scholar] [CrossRef] [PubMed]
- Li, Y.; Pang, W.; Sun, C.; Zhou, Q.; Lin, Z.; Chang, Y.; Duan, X. Smartphone-Enabled Aerosol Particle Analysis Device. IEEE Access 2019, 7, 101117–101124. [Google Scholar] [CrossRef]
- Pun, V.; Kazemiparkouhi, F.; Manjourides, J.; Suh, H. Long-Term PM2.5 Exposure and Respiratory, Cancer, and Cardiovascular Mortality in Older US Adults. Am. J. Epidemiol. 2017, 186, 961–969. [Google Scholar] [CrossRef] [PubMed]
- Yuan, Z.; Yi, H.; Zhao, C.; Li, Y. Relationship Between Concentration of Fine Particulate Matter and Plasma VWF Level in Healthy Young Adults. Adv. Mater. Res. 2014, 886, 345–348. [Google Scholar] [CrossRef]
- Ostro, B.; Hu, J.; Goldberg, D.; Reynolds, P.; Hertz, A.; Bernstein, L.; Kleeman, M. Associations of Mortality with Long-Term Exposures to Fine and Ultrafine Particles, Species and Sources: Results from the California Teachers Study Cohort. Environ. Health Perspect. 2015, 123, 549–556. [Google Scholar] [CrossRef]
- Suradi, H.; Khan, M.; Sairi, N.; Rahim, H.; Yusoff, S.; Fujii, Y.; Latif, M. Influence of North-Easterly Monsoon on Carbonaceous Particles and Polycyclic Aromatic Hydrocarbons in PM2.5 in the City of Kuala Lumpur, Malaysia. Preprints 2021, 202101, 0362. [Google Scholar]
- Wang, R.; Zhao, H.; Wang, X.; Li, J. Air Microfluidic Chip Design for Atmospheric Particulate Matter Detection. Proc. SPIE 2023, 12, 2681799. [Google Scholar]
- Lin, Z.; Niu, Y.; Jiang, Y.; Chen, B.; Li, P.; Mi, T.; Kan, H. Protective Effects of Dietary Fish-Oil Supplementation on Skin Inflammatory and Oxidative Stress Biomarkers Induced by Fine Particulate Air Pollution: A Pilot Randomized, Double-Blind, Placebo-Controlled Trial. Br. J. Dermatol. 2020, 184, 261–269. [Google Scholar] [CrossRef]
- Wieczorek, J.; Baran, A.; Pawlik, E.; Mądro, I.; Gąsienica, A.; Wojtaszek, I.; Antonkiewicz, J. Assessment of the Health Risk Associated with Exposure to Heavy Metals Present in Particulate Matter Deposition in the Małopolska Province. Geol. Geophys. Environ. 2021, 47, 95–107. [Google Scholar] [CrossRef]
- Goudie, A.S. Desert Dust and Human Health Disorders. Environ. Int. 2014, 63, 101–113. [Google Scholar] [CrossRef]
- Isaifan, R. Air Pollution Burden of Disease Over Highly Populated States in the Middle East. Front. Public Health 2023, 10, 1002707. [Google Scholar] [CrossRef] [PubMed]
- Almulhim, A.; Abubakar, I. Understanding Public Environmental Awareness and Attitudes Toward Circular Economy Transition in Saudi Arabia. Sustainability 2021, 13, 10157. [Google Scholar] [CrossRef]
- Banaga, A.O.; Riyadh, I.M.; Alghamdi, M.A.; Khoder, M.I.; Shamy, M.; Costa, M. Assessment of Air Quality in Makkah, Saudi Arabia: Particulate Matter Pollution and Source Identification. Environ. Pollut. 2020, 258, 113698. [Google Scholar]
- Elminir, H.K. Dependence of Urban Air Pollutants on Meteorology. Sci. Total Environ. 2005, 350, 225–237. [Google Scholar] [CrossRef]
- Munir, S.; Habeebullah, T.M. Vehicular Emissions on Main Roads in Makkah, Saudi Arabia—A Dispersion Modelling Study. Arab. J. Geosci. 2018, 11, 531. [Google Scholar] [CrossRef]
- Munir, S.; Luo, Z.; Dixon, T.; Manla, G.; Francis, D.; Chen, H.; Liu, Y. The impact of smart traffic interventions on roadside air quality employing machine learning approaches. Transp. Res. Part D Transp. Environ. 2022, 110, 103408. [Google Scholar] [CrossRef]
- Munir, S.; Gabr, S.; Habeebullah, T.M.; Janajrah, M.A. Spatiotemporal Analysis of Fine Particulate Matter (PM2.5) in Saudi Arabia Using Remote Sensing Data. Egypt. J. Remote Sens. Space Sci. 2016, 19, 195–205. [Google Scholar] [CrossRef][Green Version]
- Mahmood, H.; Alkhateeb, T.; Al-Qahtani, M.; Allam, Z.; Ahmad, N.; Furqan, M. Energy Consumption, Economic Growth and Pollution in Saudi Arabia. Manag. Sci. Lett. 2020, 10, 979–984. [Google Scholar] [CrossRef]
- Buchard, V.; Randles, C.A.; da Silva, A.M.; Darmenov, A.; Colarco, P.R.; Govindaraju, R.; Pierce, R.B. The MERRA-2 Aerosol Reanalysis, 1980 Onward. Part II: Evaluation and Case Studies. J. Clim. 2017, 30, 6851–6872. [Google Scholar] [CrossRef]
- Randles, C.A.; da Silva, A.M.; Buchard, V.; Colarco, P.R.; Darmenov, A.; Govindaraju, R.; Pierce, R.B. The MERRA-2 Aerosol Reanalysis, 1980 Onward. Part I: System Description and Data Assimilation Evaluation. J. Clim. 2017, 30, 6823–6850. [Google Scholar] [CrossRef]
- Ali, M.; Nichol, J.; Bilal, M.; Qiu, Z.; Mazhar, U.; Wahiduzzaman, M.; Islam, M. Classification of Aerosols Over Saudi Arabia from 2004–2016. Atmos. Environ. 2020, 241, 117785. [Google Scholar] [CrossRef]
- Yu, Y.; Notaro, M.; Liu, Z.; Wang, F.; Alkolibi, F.; Fadda, E.; Bakhrjy, F. Climatic Controls on the Interannual to Decadal Variability in Saudi Arabian Dust Activity: Toward the Development of a Seasonal Dust Prediction Model. J. Geophys. Res. Atmos. 2015, 120, 1739–1758. [Google Scholar] [CrossRef]
- Yu, Y.; Notaro, M.; Liu, Z.; Kalashnikova, O.; Alkolibi, F.; Fadda, E.; Bakhrjy, F. Assessing Temporal and Spatial Variations in Atmospheric Dust Over Saudi Arabia Through Satellite, Radiometric, and Station Data. J. Geophys. Res. Atmos. 2013, 118, 23. [Google Scholar] [CrossRef]
- Rizza, U.; Mancinelli, E.; Morichetti, M.; Passerini, G.; Virgili, S. Aerosol Optical Depth of the Main Aerosol Species Over Italian Cities Based on the NASA/MERRA-2 Model Reanalysis. Atmosphere 2019, 10, 709. [Google Scholar] [CrossRef]
- Masoud, A. Spatio-Temporal Patterns and Trends of the Air Pollution Integrating MERRA-2 and In Situ Air Quality Data Over Egypt (2013–2021). Air Qual. Atmos. Health 2023, 16, 1543–1570. [Google Scholar] [CrossRef]
- Ou, Y.; Li, Z.; Chen, C.; Zhang, Y.; Li, K.; Shi, Z.; Luo, J. Evaluation of MERRA-2 Aerosol Optical and Component Properties Over China Using SONET and PARASOL/GRASP Data. Remote Sens. 2022, 14, 821. [Google Scholar] [CrossRef]
- Carslaw, D.C.; Ropkins, K. Openair—An R Package for Air Quality Data Analysis. Environ. Model Softw. 2012, 27, 52–61. [Google Scholar] [CrossRef]
- R Core Team. R: A Language and Environment for Statistical Computing; R Foundation for Statistical Computing: Vienna, Austria, 2024. [Google Scholar]
- Munir, S.; Habeebullah, T.M.; Mohammed, A.M.F.; Morsy, E.A.; Rehan, M.; Ali, K. Analysing PM2.5 and its Association with PM10 and Meteorology in the Arid Climate of Makkah, Saudi Arabia. Aerosol Air Qual. Res. 2017, 17, 453–464. [Google Scholar] [CrossRef]
- Sayeed, A.; Lin, P.; Gupta, P.; Tran, N.N.M.; Buchard, V.; Christopher, S. Hourly and Daily PM2.5 Estimations Using MERRA-2: A Machine Learning Approach. Earth Space Sci. 2022, 9, e2022EA002375. [Google Scholar] [CrossRef]
- He, L.; Lin, A.; Chen, X.; Zhou, H.; Zhou, Z.; He, P. Assessment of MERRA-2 Surface PM2.5 over the Yangtze River Basin: Ground-Based Verification, Spatiotemporal Distribution and Meteorological Dependence. Remote Sens. 2019, 11, 460. [Google Scholar] [CrossRef]
- Jin, C.; Wang, Y.; Li, T.; Yuan, Q. Global Validation and Hybrid Calibration of CAMS and MERRA-2 PM2.5 Reanalysis Products Based on OpenAQ Platform. Atmos. Environ. 2022, 274, 118972. [Google Scholar] [CrossRef]
- Navinya, C.D.; Vinoj, V.; Pandey, S.K. Evaluation of PM2.5 Surface Concentrations Simulated by NASA’s MERRA Version 2 Aerosol Reanalysis over India and Its Relation to the Air Quality Index. Aerosol Air Qual. Res. 2020, 20, 1329–1339. [Google Scholar] [CrossRef]











| City | Lat | Long | Elevation (m) | Mean_PM2.5 (µg/m3) |
|---|---|---|---|---|
| Abha | 18.23 | 42.66 | 2100 | 37.45 |
| Al Bahah | 20.29 | 41.64 | 1655 | 38.65 |
| Al Hufuf | 25.36 | 49.57 | 252 | 47.06 |
| Al Jubail | 27.00 | 49.65 | 4 | 46.65 |
| Al Qassim | 26.30 | 43.77 | 648 | 41.68 |
| Al Rass | 25.87 | 43.50 | 764 | 38.50 |
| Buraidah | 26.33 | 43.98 | 607 | 43.88 |
| Dammam | 26.50 | 49.80 | 10 | 56.93 |
| Dhahran | 6.29 | 50.11 | 44 | 50.49 |
| Hail | 27.44 | 41.69 | 1000 | 32.04 |
| Jazan | 16.90 | 42.50 | 4 | 31.61 |
| Jeddah | 21.71 | 39.18 | 18 | 34.52 |
| K. Mushait | 18.29 | 42.80 | 2047 | 39.63 |
| Khobar | 26.28 | 50.21 | 26 | 37.05 |
| Makkah | 21.43 | 39.79 | 273 | 37.91 |
| Maniah | 24.54 | 39.70 | 630 | 29.62 |
| Najran | 17.61 | 44.41 | 1213 | 37.01 |
| Riyadh | 24.92 | 46.72 | 612 | 47.58 |
| Tabuk | 28.37 | 36.60 | 770 | 21.90 |
| Taif | 21.48 | 40.55 | 1455 | 35.64 |
| City | Date | PM2.5 | p.Stars | Slope | Lower | Upper |
|---|---|---|---|---|---|---|
| Abha | 2001–2023 | 37.446 | + | 0.167 | −0.019 | 0.348 |
| Bahah | 2001–2023 | 38.653 | −0.023 | −0.263 | 0.122 | |
| Buraidah | 2001–2023 | 47.065 | −0.007 | −0.259 | 0.224 | |
| Dammam | 2001–2023 | 46.653 | + | −0.265 | −0.682 | 0.008 |
| Dhahran | 2001–2023 | 41.677 | *** | −0.690 | −1.113 | −0.361 |
| Hail | 2001–2023 | 38.502 | 0.017 | −0.185 | 0.206 | |
| Hufuf | 2001–2023 | 43.881 | *** | −0.801 | −1.096 | −0.519 |
| Jazan | 2001–2023 | 56.929 | + | −0.163 | −0.366 | 0.026 |
| Jeddah | 2001–2023 | 50.485 | *** | −0.352 | −0.576 | −0.169 |
| Jubail | 2001–2023 | 32.037 | ** | −0.716 | −1.152 | −0.450 |
| Khamis_Mushait | 2001–2023 | 31.609 | −0.093 | −0.366 | 0.118 | |
| Khobar | 2001–2023 | 34.517 | *** | −0.313 | −0.632 | −0.149 |
| Makkah | 2001–2023 | 39.634 | 0.081 | −0.231 | 0.309 | |
| Madinah | 2001–2023 | 37.050 | 0.059 | −0.126 | 0.170 | |
| Najran | 2001–2023 | 37.914 | *** | −0.750 | −1.025 | −0.547 |
| Qassim | 2001–2023 | 29.624 | 0.061 | −0.157 | 0.265 | |
| Rass | 2001–2023 | 37.008 | −0.085 | −0.310 | 0.149 | |
| Riyadh | 2001–2023 | 47.584 | −0.078 | −0.302 | 0.138 | |
| Tabuk | 2001–2023 | 21.899 | 0.021 | −0.083 | 0.100 | |
| Taif | 2001–2023 | 35.640 | −0.006 | −0.222 | 0.220 |
| Parameters | Correlation with PM2.5 |
|---|---|
| Wind speed | 0.53 |
| Wind direction | 0.15 |
| Air pressure | −0.45 |
| Temperature | 0.39 |
| Relative humidity | −0.47 |
| Rainfall | −0.18 |
| Metric | Value | Description |
|---|---|---|
| FAC2 | 0.99 | 99% of MERRA-2 values were within a factor of two of the observed PM2.5 values. |
| MB | 9.74 µg/m3 | MERRA-2 slightly overestimated PM2.5 on average. A near-zero bias is ideal. |
| MAE | 10.20 µg/m3 | Average absolute error between MERRA-2 and the observed values |
| NMB | 0.39 | Very small bias in MERRA-2 compared to the observed values |
| NMGE | 0.45 | MERRA-2’s average deviation from observed values |
| RMSE | 11.32 µg/m3 | Measures the overall error magnitude |
| IOA | 0.07 | Indicates low agreement between MERRA-2 and observed values. Values closer to 1 are better. |
| R | 0.54 | Shows a moderate association between MERRA-2 and observed PM2.5 concentrations; a p-value of 0.000005 shows that the correlation is statistically highly significant. |
| Region | R | RMSE (µg/m3) | MAE (µg/m3) | References |
|---|---|---|---|---|
| YRB (daily) | 0.50 | 19.18 | 11.46 | [41] |
| YRD (daily) | 0.58 | 17.31 | 4.77 | [41] |
| CC (daily) | 0.58 | 16.85 | 9.60 | [41] |
| SB (daily) | 0.31 | 20.62 | 23.24 | [41] |
| SYR (daily) | 0.51 | 18.12 | 10.11 | [41] |
| Global (daily) | 0.23 | 53.02 | 12.06 | [42] |
| India (daily) | 0.60 | 36.9 | 28.6 | [43] |
| India (weekly) | 0.70 | 36.7 | 29.3 | [43] |
| India (monthly) | 0.73 | 34.6 | 27.7 | [43] |
| Saudi Arabia (annually) | 0.54 | 11.32 | 10.20 | Present study |
Disclaimer/Publisher’s Note: The statements, opinions and data contained in all publications are solely those of the individual author(s) and contributor(s) and not of MDPI and/or the editor(s). MDPI and/or the editor(s) disclaim responsibility for any injury to people or property resulting from any ideas, methods, instructions or products referred to in the content. |
© 2025 by the authors. Licensee MDPI, Basel, Switzerland. This article is an open access article distributed under the terms and conditions of the Creative Commons Attribution (CC BY) license (https://creativecommons.org/licenses/by/4.0/).
Share and Cite
Munir, S.; Siddiqui, M.H.; Habeebullah, T.M.A.; Zamreeq, A.O.; Al-Zahrani, N.E.; Khalil, A.A.; Islam, M.N.; Baligh, A.A.; Ismail, M.; Al-Boqami, S.Z. Variability and Trends of PM2.5 Across Different Climatic Zones in Saudi Arabia: A Spatiotemporal Analysis. Atmosphere 2025, 16, 463. https://doi.org/10.3390/atmos16040463
Munir S, Siddiqui MH, Habeebullah TMA, Zamreeq AO, Al-Zahrani NE, Khalil AA, Islam MN, Baligh AA, Ismail M, Al-Boqami SZ. Variability and Trends of PM2.5 Across Different Climatic Zones in Saudi Arabia: A Spatiotemporal Analysis. Atmosphere. 2025; 16(4):463. https://doi.org/10.3390/atmos16040463
Chicago/Turabian StyleMunir, Said, Muhammad H. Siddiqui, Turki M. A. Habeebullah, Arjan O. Zamreeq, Norah E. Al-Zahrani, Alaa A. Khalil, M. Nazrul Islam, Abdalla A. Baligh, Muhammad Ismail, and Saud Z. Al-Boqami. 2025. "Variability and Trends of PM2.5 Across Different Climatic Zones in Saudi Arabia: A Spatiotemporal Analysis" Atmosphere 16, no. 4: 463. https://doi.org/10.3390/atmos16040463
APA StyleMunir, S., Siddiqui, M. H., Habeebullah, T. M. A., Zamreeq, A. O., Al-Zahrani, N. E., Khalil, A. A., Islam, M. N., Baligh, A. A., Ismail, M., & Al-Boqami, S. Z. (2025). Variability and Trends of PM2.5 Across Different Climatic Zones in Saudi Arabia: A Spatiotemporal Analysis. Atmosphere, 16(4), 463. https://doi.org/10.3390/atmos16040463

