Next Issue
Volume 9, April
Previous Issue
Volume 9, February
 
 

Forests, Volume 9, Issue 3 (March 2018) – 59 articles

Cover Story (view full-size image): After patch- or clear-cut harvesting, the stumps represent a legacy of the trees that once stood there. In this research, we developed and tested a novel method to detect, segment, classify and measure tree stumps from unmanned aerial vehicle (UAV) imagery. This was done to assess how much stand information could be regenerated. Our trials show that it is indeed possible to capture a range of information on the basis of images from inexpensive UAVs. This information may be useful for a variety of applications. Among these, the possibility to obtain information on the spatial distribution of pathogens such as root- and butt-rot within a stand has great potential in providing decision support in mitigating the negative effects of these pathogens in future tree generations. View this paper
  • Issues are regarded as officially published after their release is announced to the table of contents alert mailing list.
  • You may sign up for e-mail alerts to receive table of contents of newly released issues.
  • PDF is the official format for papers published in both, html and pdf forms. To view the papers in pdf format, click on the "PDF Full-text" link, and use the free Adobe Reader to open them.
Order results
Result details
Section
Select all
Export citation of selected articles as:

Research

Jump to: Review

15 pages, 1357 KB  
Article
Does Certification Change the Trajectory of Tree Cover in Working Forests in The Tropics? An Application of the Synthetic Control Method of Impact Evaluation
by Pushpendra Rana 1 and Erin O. Sills 2,*
1 Department of Natural Resources and Environmental Sciences, University of Illinois, W-425, Turner Hall, 1102 S. Goodwin Ave., Urbana, IL 61801, USA
2 Department of Forestry and Environmental Resources, North Carolina State University, 3110 Jordan Hall, Raleigh, NC 27695-8008, USA
Forests 2018, 9(3), 98; https://doi.org/10.3390/f9030098 - 25 Feb 2018
Cited by 22 | Viewed by 8372
Abstract
Certification by the Forest Stewardship Council (FSC) remains rare among forest management units (FMUs) in natural tropical forests, presenting a challenge for impact evaluation. We demonstrate application of the synthetic control method (SCM) to evaluate the impact of FSC certification on a single [...] Read more.
Certification by the Forest Stewardship Council (FSC) remains rare among forest management units (FMUs) in natural tropical forests, presenting a challenge for impact evaluation. We demonstrate application of the synthetic control method (SCM) to evaluate the impact of FSC certification on a single FMU in each of three tropical forest landscapes. Specifically, we estimate causal effects on tree cover change from the year of certification to 2012 using SCM and open-access, pan-tropical datasets. We demonstrate that it is possible to construct synthetic controls, or weighted combinations of non-certified FMUs, that followed the same path of tree cover change as the certified FMUs before certification. By using these synthetic controls to measure counterfactual tree cover change after certification, we find that certification reduced tree cover loss in the most recent year (2012) in all three landscapes. However, placebo tests show that in one case, this effect was not significant, and in another case, it followed several years in which certification had the opposite effect (increasing tree cover loss). We conclude that SCM has promise for identifying temporally varying impacts of small-N interventions on land use and land cover change. Full article
(This article belongs to the Special Issue Sustainable Forest Management and Forest Certification)
Show Figures

Figure 1

17 pages, 2849 KB  
Article
Diversity and Enzyme Activity of Ectomycorrhizal Fungal Communities Following Nitrogen Fertilization in an Urban-Adjacent Pine Plantation
by Chen Ning 1,2,3,*, Gregory M. Mueller 2,3, Louise M. Egerton-Warburton 2,3, Andrew W. Wilson 2,3,4, Wende Yan 1 and Wenhua Xiang 1
1 Faculty of Life Science and Technology, Central South University of Forestry and Technology, Changsha 410004, China
2 Program in Plant Biology and Conservation, Northwestern University, Evanston, IL 60208, USA
3 Chicago Botanic Garden, Glencoe, IL 60022, USA
4 Denver Botanic Gardens, Sam Mitchel Herbarium of Fungi, Denver, CO 80206, USA
Forests 2018, 9(3), 99; https://doi.org/10.3390/f9030099 - 25 Feb 2018
Cited by 20 | Viewed by 6709
Abstract
Rapid economic development and accelerated urbanization in China has resulted in widespread atmospheric nitrogen (N) deposition. One consequence of N deposition is the alteration of mycorrhizal symbioses that are critical for plant resource acquisition (nitrogen, N, phosphorus, P, water). In this study, we [...] Read more.
Rapid economic development and accelerated urbanization in China has resulted in widespread atmospheric nitrogen (N) deposition. One consequence of N deposition is the alteration of mycorrhizal symbioses that are critical for plant resource acquisition (nitrogen, N, phosphorus, P, water). In this study, we characterized the diversity, composition, and functioning of ectomycorrhizal (ECM) fungal communities in an urban-adjacent Pinus elliottii plantation under ambient N deposition (~24 kg N ha−1 year−1), and following N fertilization (low N, 50 kg N ha−1 year−1; high N, 300 kg N ha−1 year−1). ECM functioning was expressed as the potential activities of extracellular enzymes required for organic N (protease), P (phosphomonoesterase), and recalcitrant polymers (phenol oxidase). Despite high ambient N deposition, ECM community composition shifted under experimental N fertilization, and those changes were linked to disparate levels of soil minerals (P, K) and organic matter (but not N), a decline in acid phosphatase (AP), and an increase in phenol oxidase (PO) potential activities. Based on enzyme stoichiometry, medium-smooth exploration type ECM species invested more in C acquisition (PO) relative to P (AP) following high N fertilization than other exploration types. ECM species with hydrophilic mantles also showed higher enzymatic PO:AP ratios than taxa with hydrophobic mantles. Our findings add to the accumulating evidence that shifts in ECM community composition and taxa specialized in organic C, N, and P degradation could modulate the soil nutrient cycling in forests exposed to chronic elevated N input. Full article
(This article belongs to the Special Issue Carbon and Nitrogen in Forest Ecosystems—Series I)
Show Figures

Figure 1

15 pages, 2226 KB  
Article
Influence of Scarification on the Germination Capacity of Acorns Harvested from Uneven-Aged Stands of Pedunculate Oak (Quercus robur L.)
by Zdzisław Kaliniewicz 1,* and Paweł Tylek 2
1 Faculty of Technical Sciences, University of Warmia and Mazury in Olsztyn, ul. Oczapowskiego 11, 10-719 Olsztyn, Poland
2 Faculty of Forestry, University of Agriculture in Cracow, Al. 29 Listopada 46, 31-425 Kraków, Poland
Forests 2018, 9(3), 100; https://doi.org/10.3390/f9030100 - 26 Feb 2018
Cited by 14 | Viewed by 5222
Abstract
Scarification involves the partial removal of the seed coat on the side of the hilum, opposite the radicle, to speed up germination in acorns. The aim of this study was to determine the influence of scarification on the germination capacity of pedunculate oak [...] Read more.
Scarification involves the partial removal of the seed coat on the side of the hilum, opposite the radicle, to speed up germination in acorns. The aim of this study was to determine the influence of scarification on the germination capacity of pedunculate oak acorns, selected and prepared for sowing. The diameter, length and mass of acorns were measured before and after scarification in four batches of acorns harvested from uneven-aged trees (76, 91, 131 and 161 years). The measured parameters were used to determine the correlations between acorn dimensions and mass, and to calculate the dimensional scarification index and the mass scarification index in acorns. Individual complete and scarified acorns from every batch were germinated on sand and peat substrate for 28 days. The analyzed acorns were characterized by average size and mass. Scarification decreased acorn mass by around 22% and acorn length by around 31% on average. Scarification and the elimination of infected acorns increased germination capacity from around 64% to around 81% on average. Acorns can be divided into size groups before scarification to obtain seed material with varied germination capacity. Larger acorns with higher germination capacity can be used for sowing in container nurseries, whereas smaller acorns with lower germination capacity can be sown in open-field nurseries. Full article
(This article belongs to the Special Issue Seedling Production and Field Performance of Seedlings)
Show Figures

Figure 1

15 pages, 4771 KB  
Article
Overlapping Bark Beetle Outbreaks, Salvage Logging and Wildfire Restructure a Lodgepole Pine Ecosystem
by Charles C. Rhoades 1,*, Kristen A. Pelz 1, Paula J. Fornwalt 1, Brett H. Wolk 2 and Antony S. Cheng 2
1 USDA Forest Service, Rocky Mountain Research Station, Fort Collins, CO 80526, USA
2 Colorado Forest Restoration Institute, Colorado State University, Fort Collins, CO 80523, USA
Forests 2018, 9(3), 101; https://doi.org/10.3390/f9030101 - 27 Feb 2018
Cited by 25 | Viewed by 5086
Abstract
The 2010 Church’s Park Fire burned beetle-killed lodgepole pine stands in Colorado, including recently salvage-logged areas, creating a fortuitous opportunity to compare the effects of salvage logging, wildfire and the combination of logging followed by wildfire. Here, we examine tree regeneration, surface fuels, [...] Read more.
The 2010 Church’s Park Fire burned beetle-killed lodgepole pine stands in Colorado, including recently salvage-logged areas, creating a fortuitous opportunity to compare the effects of salvage logging, wildfire and the combination of logging followed by wildfire. Here, we examine tree regeneration, surface fuels, understory plants, inorganic soil nitrogen and water infiltration in uncut and logged stands, outside and inside the fire perimeter. Subalpine fir recruitment was abundant in uncut, unburned, beetle-killed stands, whereas lodgepole pine recruitment was abundant in cut stands. Logging roughly doubled woody fuel cover and halved forb and shrub cover. Wildfire consumed all conifer seedlings in uncut and cut stands and did not stimulate new conifer regeneration within four years of the fire. Aspen regeneration, in contrast, was relatively unaffected by logging or burning, alone or combined. Wildfire also drastically reduced cover of soil organic horizons, fine woody fuels, graminoids and shrubs relative to unburned, uncut areas; moreover, the compound effect of logging and wildfire was generally similar to wildfire alone. This case study documents scarce conifer regeneration but ample aspen regeneration after a wildfire that occurred in the later stage of a severe beetle outbreak. Salvage logging had mixed effects on tree regeneration, understory plant and surface cover and soil nitrogen, but neither exacerbated nor ameliorated wildfire effects on those resources. Full article
(This article belongs to the Special Issue Wildland Fire, Forest Dynamics, and Their Interactions)
Show Figures

Figure 1

14 pages, 5673 KB  
Article
Tree-Stump Detection, Segmentation, Classification, and Measurement Using Unmanned Aerial Vehicle (UAV) Imagery
by Stefano Puliti *, Bruce Talbot and Rasmus Astrup
Division of Forest and Forest Resources, Norwegian Institute for Bioeconomy Research (NIBIO), Høgskoleveien 8, 1433 Ås, Norway
Forests 2018, 9(3), 102; https://doi.org/10.3390/f9030102 - 27 Feb 2018
Cited by 55 | Viewed by 10728
Abstract
Unmanned aerial vehicles (UAVs) are increasingly used as tools to perform a detailed assessment of post-harvest sites. One of the potential use of UAV photogrammetric data is to obtain tree-stump information that can then be used to support more precise decisions. This study [...] Read more.
Unmanned aerial vehicles (UAVs) are increasingly used as tools to perform a detailed assessment of post-harvest sites. One of the potential use of UAV photogrammetric data is to obtain tree-stump information that can then be used to support more precise decisions. This study developed and tested a methodology to automatically detect, segment, classify, and measure tree-stumps. Among the potential applications for single stump data, this study assessed the possibility (1) to detect and map root- and butt-rot on the stumps using a machine learning approach, and (2) directly measure or model tree stump diameter from the UAV data. The results revealed that the tree-stumps were detected with an overall accuracy of 68–80%, and once the stump was detected, the presence of root- and butt-rot was detected with an accuracy of 82.1%. Furthermore, the root mean square error of the UAV-derived measurements or model predictions for the stump diameter was 7.5 cm and 6.4 cm, respectively, and with the former systematically under predicting the diameter by 3.3 cm. The results of this study are promising and can lead to the development of more cost-effective and comprehensive UAV post-harvest surveys. Full article
(This article belongs to the Special Issue Advances in Precision Forestry)
Show Figures

Graphical abstract

15 pages, 14238 KB  
Article
Predicting Shifts in the Suitable Climatic Distribution of Walnut (Juglans regia L.) in China: Maximum Entropy Model Paves the Way to Forest Management
by Xiang Xu, Huayong Zhang *, Junjie Yue, Ting Xie, Yao Xu and Yonglan Tian
Research Center for Engineering Ecology and Nonlinear Science, North China Electric Power University, Beijing 102206, China
Forests 2018, 9(3), 103; https://doi.org/10.3390/f9030103 - 28 Feb 2018
Cited by 49 | Viewed by 6406
Abstract
Cultivation of woody oil plants in environmentally suitable habitats is a successful ecological solution for oil development and forest management. In this study, we predicted the influences of future climate change on the potentially suitable climatic distribution of an important woody oil plant [...] Read more.
Cultivation of woody oil plants in environmentally suitable habitats is a successful ecological solution for oil development and forest management. In this study, we predicted the influences of future climate change on the potentially suitable climatic distribution of an important woody oil plant species (walnut; Juglans regia L.) in China based on given climate change scenarios and the maximum entropy (MaxEnt) model. The MaxEnt model showed that the minimum temperature of the coldest month and annual precipitation were the most important determinant variables limiting the geographical distribution of J. regia. We have found that the current suitable environmental habitat of J. regia is mainly distributed in central and southwestern China. Results of the MaxEnt model showed that global warming in the coming half-century may lead to an increase in the area size of environmentally suitable habitats for J. regia in China, indicating more lands available for artificial cultivation and oil production. However, those suitable habitat gains may be practically inaccessible due to over-harvest and urban development, and effective management strategies are urgently needed to establish those forests. This research will provide theoretical suggestions for the protection, cultivation management, and sustainable utilization of J. regia resources to face the challenge of global climate change. Full article
(This article belongs to the Special Issue Forest Sustainable Management)
Show Figures

Figure 1

22 pages, 1784 KB  
Article
Predictors of Microhabitat Frequency and Diversity in Mixed Mountain Forests in South-Western Germany
by Josef Großmann 1,2,*, Juliane Schultze 1, Jürgen Bauhus 2 and Patrick Pyttel 2
1 Department of Forest Nature Conservation, Forest Research Institute of Baden-Württemberg (FVA), Wonnhaldestraße 4, D-79100 Freiburg, Germany
2 Chair of Silviculture, Institute of Forest Sciences, Faculty of Environment and Natural Resources, University of Freiburg, Tennenbacherstr. 4, D-79106 Freiburg, Germany
Forests 2018, 9(3), 104; https://doi.org/10.3390/f9030104 - 28 Feb 2018
Cited by 33 | Viewed by 7062
Abstract
Tree-related microhabitats are an important determinant of forest biodiversity. Habitat trees, which typically provide many microhabitats such as hollows, crown dead wood, etc., are therefore selected to maintain those structural attributes within managed forests. To what extent the occurrence of microhabitats on potential [...] Read more.
Tree-related microhabitats are an important determinant of forest biodiversity. Habitat trees, which typically provide many microhabitats such as hollows, crown dead wood, etc., are therefore selected to maintain those structural attributes within managed forests. To what extent the occurrence of microhabitats on potential habitat trees may be predicted from common tree attributes is a question of high practical relevance. Until now, most studies have attempted to predict the quantity of microhabitats at the tree or forest stand level. In our study, we aimed at explaining microhabitat occurrence from a qualitative perspective by considering their diversity. Tree diameter at breast height (dbh), tree species, and canopy class were useful predictors of microhabitat diversity. Microhabitat diversity on broadleaved trees was on average higher than in conifers of the same diameter. In contrast to microhabitat quantity, microhabitat diversity saturated towards higher dbh levels. Microhabitat diversity in beech trees of lower tree canopy classes was found to be surprisingly high. Habitat trees support not only more, but also more diverse, microhabitats in comparison to crop trees. Considering these findings on microhabitat distribution, the selection of habitat trees within Central European mixed mountain forests can be significantly improved. Full article
Show Figures

Figure 1

17 pages, 1690 KB  
Article
Pathogenicity of Neonectria fuckeliana on Norway Spruce Clones in Sweden and Potential Management Strategies
by Martin Pettersson 1,*, Venche Talgø 2, John Frampton 3, Bo Karlsson 4 and Jonas Rönnberg 1
1 Southern Swedish Forest Research Centre, Swedish University of Agricultural Sciences, P.O. Box 49, SE-23053 Alnarp, Sweden
2 Division of Biotecnology and Plant Health, Norwegian Institute of Bioeconomy Research (NIBIO), P.O. Box 115, 1431 Ås, Norway
3 Department of Forestry and Environmental Resources, North Carolina State University, 2800 Faucette Dr., Raleigh, NC 27695, USA
4 The Forestry Research Institute of Sweden (Skogforsk), Ekebo 2250, SE-26890 Svalöv, Sweden
Forests 2018, 9(3), 105; https://doi.org/10.3390/f9030105 - 28 Feb 2018
Cited by 5 | Viewed by 6485
Abstract
The fungus Neonectria fuckeliana has become an increasing problem on Norway spruce (Picea abies) in the Nordic countries during recent years. Canker wounds caused by the pathogen reduce timber quality and top-dieback is a problem for the Christmas tree industry. In [...] Read more.
The fungus Neonectria fuckeliana has become an increasing problem on Norway spruce (Picea abies) in the Nordic countries during recent years. Canker wounds caused by the pathogen reduce timber quality and top-dieback is a problem for the Christmas tree industry. In this study, four inoculation trials were conducted to examine the ability of N. fuckeliana to cause disease on young Norway spruce plants and determine how different wound types would affect the occurrence and severity of the disease. Symptom development after 8–11 months was mainly mild and lesion lengths under bark were generally minor. However, N. fuckeliana could still be reisolated and/or molecularly detected. Slow disease development is in line with older studies describing N. fuckeliana as a weak pathogen. However, the results do not explain the serious increased damage by N. fuckeliana registered in Nordic forests and Christmas tree plantations. Potential management implications, such as shearing Christmas trees during periods of low inoculum pressure, cleaning secateurs between trees, and removal and burning of diseased branches and trees to avoid inoculum transfer and to keep disease pressure low, are based on experiments presented here and experiences with related pathogens. Full article
Show Figures

Figure 1

16 pages, 4803 KB  
Article
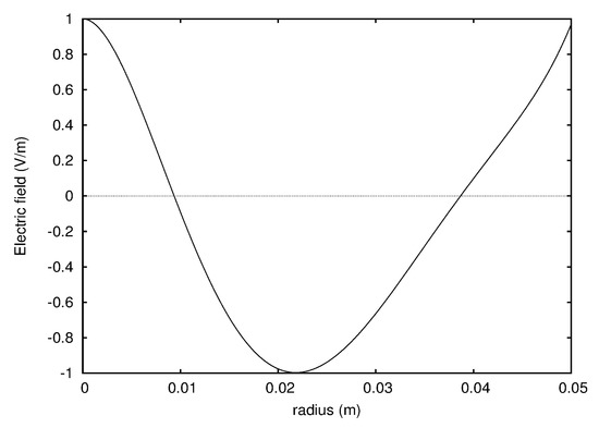
Numerical Study of Focusing Effects of Microwaves inside Wood Due to Timber Ring Structure
by Rocio Sanchez-Montero *, Pablo-Luis Lopez-Espi, Juan Antonio Martinez-Rojas, Jesus Alpuente-Hermosilla and Cristina Alen-Cordero
Department of Signal Theory and Communications, Escuela Politecnica Superior, Universidad de Alcala, Campus Universitario, Ctra. de Madrid a Barcelona km 33.600, Alcala de Henares 28805, Spain
Forests 2018, 9(3), 106; https://doi.org/10.3390/f9030106 - 28 Feb 2018
Cited by 8 | Viewed by 3445
Abstract
The aim of this study is the detailed calculation of microwave propagation inside raw timber in cylindrical configurations. Two different approaches have been used. The first one uses an exact formulation and analytical approximations in order to explore the electromagnetic field distribution inside [...] Read more.
The aim of this study is the detailed calculation of microwave propagation inside raw timber in cylindrical configurations. Two different approaches have been used. The first one uses an exact formulation and analytical approximations in order to explore the electromagnetic field distribution inside dry wood. The introduction of conductivity in the exact model makes it so complex that the equations are unsuitable for analytical manipulation. In order to further explore the effect of moisture in cylindrical wood structures, a full scale numerical simulation using commercial software has been performed. The results show that for microwave frequencies in the 3 GHz range and for typical wood parameters, a cylindrical log behaves as a kind of Fresnel lens. This work has important applications in microwave treatment and sensing of wood. Full article
(This article belongs to the Section Forest Ecophysiology and Biology)
Show Figures

Graphical abstract

14 pages, 1200 KB  
Article
Plant Community Diversity and Tree Growth Following Single and Repeated Glyphosate Herbicide Applications to a White Spruce Plantation
by Philip G. Comeau 1,* and Erin C. Fraser 2
1 Department of Renewable Resources, University of Alberta, Edmonton, AB T6G 2H1, Canada
2 Forest Management Branch, Alberta Agriculture and Forestry, Edmonton, AB T5K 2M4, Canada
Forests 2018, 9(3), 107; https://doi.org/10.3390/f9030107 - 28 Feb 2018
Cited by 14 | Viewed by 3388
Abstract
Glyphosate herbicide is widely used to control bluejoint reedgrass (Calamagrostis canadensis (Michx.) Beauv.), trembling aspen (Populus tremuloides Michx.), and other competing species in regenerating white spruce (Picea glauca (Moench) Voss) plantations in Alberta, Canada. In 2004, we initiated a study [...] Read more.
Glyphosate herbicide is widely used to control bluejoint reedgrass (Calamagrostis canadensis (Michx.) Beauv.), trembling aspen (Populus tremuloides Michx.), and other competing species in regenerating white spruce (Picea glauca (Moench) Voss) plantations in Alberta, Canada. In 2004, we initiated a study to examine the effects of the aerial application of glyphosate herbicide on plant community diversity and tree growth near Calling Lake, Alberta. Four treatments were applied: (a) no treatment (control); (b) herbicide application in the first growing season after harvesting; (c) herbicide application in the third growing season after harvesting; and (d) herbicide application in the second and fourth growing seasons after harvesting (two treatments). After 11 growing seasons, species richness was not significantly affected by treatment, while Shannon and Simpson index values were highest in areas treated with herbicide in the first growing season. Herbicide treatment did not have a significant effect on the cover of bluejoint reedgrass after 11 growing seasons, but did significantly reduce trembling aspen and paper birch cover and height. Application of glyphosate in the second and fourth growing seasons resulted in the greatest reductions to aspen cover and height, as well as significant increases in spruce diameter at age 11. Simulations with the Mixedwood Growth Model indicate that all tested herbicide treatments will reduce aspen volume while increasing spruce volume at age 90, with the largest impacts evident where two treatments were applied. Full article
(This article belongs to the Section Forest Ecology and Management)
Show Figures

Figure 1

25 pages, 12280 KB  
Article
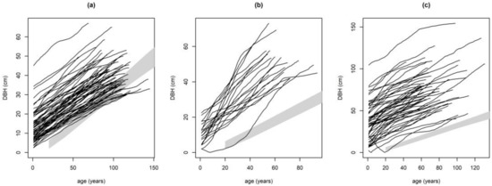
Impact of Climate Trends and Drought Events on the Growth of Oaks (Quercus robur L. and Quercus petraea (Matt.) Liebl.) within and beyond Their Natural Range
by Diana Perkins 1,*, Enno Uhl 1, Peter Biber 1, Ben Du Toit 2, Vinicio Carraro 3, Thomas Rötzer 1 and Hans Pretzsch 1
1 Forest Growth and Yield Science, Center of Life and Food Sciences Weihenstephan, Technical University of Munich, Hans-Carl-von-Carlowitz-Platz 2, 85354 Freising, Germany
2 Department of Forest and Wood Science, Faculty of AgriSciences, Stellenbosch University, Private Bag X1, Matieland, 7602 Stellenbosch, South Africa
3 Department of Land, Environment, Agriculture and Forestry, University of Padova, viale dell’Università 16, Legnaro (PD), 35020 Padua, Italy
Forests 2018, 9(3), 108; https://doi.org/10.3390/f9030108 - 28 Feb 2018
Cited by 51 | Viewed by 8586
Abstract
Due to predicted climate change, it is important to know to what extent trees and forests will be impacted by chronic and episodic drought stress. As oaks play an important role in European forestry, this study focuses on the growth response of sessile [...] Read more.
Due to predicted climate change, it is important to know to what extent trees and forests will be impacted by chronic and episodic drought stress. As oaks play an important role in European forestry, this study focuses on the growth response of sessile oak (Quercus petraea (Matt.) Liebl.) and pedunculate oak (Quercus robur (L.)) under contrasting climatic conditions. Analyses cover both site conditions of their natural occurrence (Southern Germany and Northeast Italy) and site conditions beyond their natural range (South Africa). The sites beyond their natural range represent possible future climate conditions. Tree-ring series from three different sites were compared and analysed using dendrochronological methods. The long-term growth development of oak trees appears to be similar across the sites, yet the growth level over time is higher in the drier and warmer climate than in the temperate zone. When compared with previous growth periods, growth models reveal that oak trees grew more than expected during the last decades. A recent setback in growth can be observed, although growth is still higher than the model predicts. By focusing on the short-term reactions of the trees, distinct drought events and periods were discovered. In each climatic region, similar growth reactions developed after drought periods. A decline in growth rate occurred in the second or third year after the drought event. Oaks in South Africa are currently exposed to a warmer climate with more frequent drought events. This climatic condition is a future prediction also for Europe. In view of this climate change, we discuss the consequences of the long- and short- term growth behaviour of oaks grown in the climate of South Africa for a tree species selection that naturally occurs in Europe. Full article
(This article belongs to the Section Forest Ecology and Management)
Show Figures

Figure 1

15 pages, 3168 KB  
Article
Drought Effects on Photosynthesis and Implications of Photoassimilate Distribution in 11C-Labeled Leaves in the African Tropical Tree Species Maesopsis eminii Engl.
by Jackie Epila, Michiel Hubeau and Kathy Steppe *
1 Laboratory of Plant Ecology, Department of Plants and Crops, Faculty of Bioscience Engineering, Ghent University, Coupure Links 653, 9000 Gent, Belgium
These authors contributed equally to this work.
Forests 2018, 9(3), 109; https://doi.org/10.3390/f9030109 - 28 Feb 2018
Cited by 12 | Viewed by 5298
Abstract
Photoassimilate distribution inside leaves is less studied than photosynthesis, and yet the topic is important as it gives insights into the vital roles played by leaves in plant survival. We combined greenhouse measurements of light response curves with 11C-labelling using leaves of [...] Read more.
Photoassimilate distribution inside leaves is less studied than photosynthesis, and yet the topic is important as it gives insights into the vital roles played by leaves in plant survival. We combined greenhouse measurements of light response curves with 11C-labelling using leaves of 3-year-old potted Maesopsis eminii Engl. trees to improve our understanding of its leaf carbon physiology. This fast-growing pioneer tree species showed low photosynthetic rates for a common tropical pioneer during well-watered reference conditions (5.0 ± 0.7 µmol m−2 s−1), which further decreased in response to drought. 11C-autoradiography indicated active phloem loading and/or rapid phloem transport rates. Active loading is uncommon in tree species, but might be related to deciduousness traits and continuous investment in growth, like in herbaceous active loaders. Active loading involves higher carbon allocation to growth, which might explain why low photosynthetic rates were observed in this fast-growing species. These findings suggest that examining photoassimilate distribution and transport may be critical for understanding the role tree physiology plays in terrestrial carbon cycling. Full article
Show Figures

Figure 1

12 pages, 1632 KB  
Article
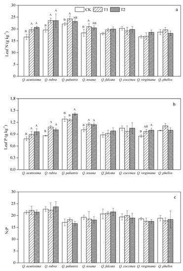
Effect of Wind on the Relation of Leaf N, P Stoichiometry with Leaf Morphology in Quercus Species
by Peng Zhang 1, Hua Wang 2, Qianting Wu 1, Mukui Yu 1 and Tonggui Wu 1,3,*
1 East China Coastal Forest Ecosystem Long-Term Research Station, Research Institute of Subtropical Forestry, Chinese Academy of Forestry, Hangzhou 311400, China
2 Dongtai Forest Center, Dongtai 224200, China
3 Department of Forestry and Environmental Conservation, Clemson University, Clemson, SC 29634-0317, USA
Forests 2018, 9(3), 110; https://doi.org/10.3390/f9030110 - 28 Feb 2018
Cited by 14 | Viewed by 3791
Abstract
Leaf nitrogen (N) and phosphorus (P) stoichiometry correlates closely to leaf morphology, which is strongly impacted by wind at multiple scales. However, it is not clear how leaf N, P stoichiometry and its relationship to leaf morphology changes with wind load. We determined [...] Read more.
Leaf nitrogen (N) and phosphorus (P) stoichiometry correlates closely to leaf morphology, which is strongly impacted by wind at multiple scales. However, it is not clear how leaf N, P stoichiometry and its relationship to leaf morphology changes with wind load. We determined the leaf N and P concentrations and leaf morphology—including specific leaf area (SLA) and leaf dissection index (LDI)—for eight Quercus species under a simulated wind load for seven months. Leaf N and P concentrations increased significantly under these conditions for Quercus acutissima, Quercus rubra, Quercus texana, and Quercus palustris—which have elliptic leaves—due to their higher N, P requirements and a resultant leaf biomass decrease, which is a tolerance strategy for Quercus species under a wind load. Leaf N:P was relatively stable under wind for all species, which supports stoichiometric homeostasis. Leaf N concentrations showed a positive correlation to SLA, leaf N and P concentrations showed positive correlations to LDI under each wind treatment, and the slope of correlations was not affected by wind, which indicates synchronous variations between leaf stoichiometry and leaf morphology under wind. However, the intercept of correlations was affected by wind, and leaf N and P use efficiency decreased under the wind load, which suggests that the Quercus species changes from “fast investment-return” in the control to “slow investment-return” under windy conditions. These results will be valuable to understanding functional strategies for plants under varying wind loads, especially synchronous variations in leaf traits along a wind gradient. Full article
(This article belongs to the Section Forest Ecophysiology and Biology)
Show Figures

Figure 1

12 pages, 1817 KB  
Article
Postural Risk Assessment of Small-Scale Debarkers for Wooden Post Production
by Raffaele Spinelli 1,2,*, Giovanni Aminti 1, Natascia Magagnotti 1,2 and Fabio De Francesco 1
1 CNR Ivalsa, Via Madonna del Piano 10, 50019 Sesto Fiorentino FI, Italy
2 Australian Forest Operations Research Alliance (AFORA), University of the Sunshine Coast, Locked Bag 4, Maroochydore DC, QLD 4558, Australia
Forests 2018, 9(3), 111; https://doi.org/10.3390/f9030111 - 2 Mar 2018
Cited by 13 | Viewed by 4485
Abstract
The study sampled six representative work sites in Northern and Central Italy, in order to assess the risk for developing musculo-skeletal disease due to poor work posture (postural risk) among the operators engaged in semi-mechanized post debarking operations. Assessment was conducted with the [...] Read more.
The study sampled six representative work sites in Northern and Central Italy, in order to assess the risk for developing musculo-skeletal disease due to poor work posture (postural risk) among the operators engaged in semi-mechanized post debarking operations. Assessment was conducted with the Ovako Working posture Analysis System (OWAS) on 1200 still frames randomly extracted from videotaped work samples. The postural risk associated with post debarking was relatively low, and varied with individual operations based on their specific set up. Postural risk was higher for the loading station compared with the unloading station, which makes a strong argument for job rotation. The study suggested that the infeed chute of small-scale debarkers might be too basic and should be further developed, in order to reduce postural risk. Obviously, better machine design should be part of an articulate strategy aimed at decreasing the postural risk and based on proper worksite organization and specific worker training. Full article
(This article belongs to the Special Issue Forest Operations, Engineering and Management)
Show Figures

Figure 1

18 pages, 3779 KB  
Article
Effects of Climate Change and Ozone Concentration on the Net Primary Productivity of Forests in South Korea
by Jin Han Park 1,*, Dong Kun Lee 2,*, Jianbang Gan 1, Chan Park 3, Songyi Kim 4, Sunyong Sung 5, Tae Yong Jung 6 and Sung Chul Hong 7
1 Department of Ecosystem Science and Management, Texas A&M University, College Station, TX 77843, USA
2 Department of Landscape Architecture, College of Agriculture and Life Sciences, Seoul National University, Seoul 08826, Korea
3 Department of Landscape Architecture, College of Urban Science, University of Seoul, Seoul 02504, Korea
4 Tourism Policy Research Division, Korea Culture & Tourism Institute, Seoul 07511, Korea
5 Division of Ecological Assessment, National Institute of Ecology, Seocheon 33657, Korea
6 Graduate School of International Studies, Yonsei University, Seoul 03722, Korea
7 Global Environment Research Division, National Institute of Environmental Research, Incheon 22689, Korea
Forests 2018, 9(3), 112; https://doi.org/10.3390/f9030112 - 2 Mar 2018
Cited by 10 | Viewed by 5038
Abstract
Tropospheric ozone impacts the health and productivity of forest ecosystems. The concentration of ozone on Earth will increase in the future, particularly in China and its neighboring countries, including Korea, due to a projected rise in nitrogen dioxide and ozone precursors as a [...] Read more.
Tropospheric ozone impacts the health and productivity of forest ecosystems. The concentration of ozone on Earth will increase in the future, particularly in China and its neighboring countries, including Korea, due to a projected rise in nitrogen dioxide and ozone precursors as a result of China’s emissions. This study aims to estimate the effect of changes in ozone concentration and climate change on the forests in Korea, based on expected nitrogen dioxide emissions in Korea and China in the future. To do this, we developed an empirical model that represents the statistical relationship between the net primary productivity (NPP) of the forests and ozone concentration using historical data; and, estimated the future NPP of the forests under future ozone concentration scenarios based on nitrogen dioxide emissions of the Shared Socioeconomic Pathway (SSP) scenarios. The analysis suggests that the ozone concentration begin exerting effects to the NPP, about 68.10 tC/km2/year decrement per 0.01 ppm increment. We estimated that the NPP of Korean forests has been reduced by 8.25% due to the current concentration of ozone, and the damage is estimated to increase to a range between 8.47% and 10.55% in the 2050s, and between 5.85% and 11.15% in the 2090s depending on the scenarios. Full article
(This article belongs to the Special Issue Climate Smart Forestry)
Show Figures

Figure 1

23 pages, 4984 KB  
Article
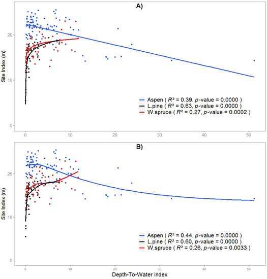
High Resolution Site Index Prediction in Boreal Forests Using Topographic and Wet Areas Mapping Attributes
by Ivan Bjelanovic 1,*, Philip G. Comeau 1 and Barry White 2
1 Department of Renewable Resources, University of Alberta, Edmonton, AB T6G 2H1, Canada
2 Alberta Agriculture and Forestry, Edmonton, AB T5K 2M4, Canada
Forests 2018, 9(3), 113; https://doi.org/10.3390/f9030113 - 2 Mar 2018
Cited by 17 | Viewed by 5368
Abstract
The purpose of this study was to evaluate the relationships between environmental factors and the site index (SI) of trembling aspen, lodgepole pine, and white spruce based on the sampling of temporary sample plots. LiDAR generated digital elevation models (DEM) and wet areas [...] Read more.
The purpose of this study was to evaluate the relationships between environmental factors and the site index (SI) of trembling aspen, lodgepole pine, and white spruce based on the sampling of temporary sample plots. LiDAR generated digital elevation models (DEM) and wet areas mapping (WAM) provided data at a 1 m resolution for the study area in Alberta. Six different catchment areas (CA), ranging from 0.5 ha to 10 ha, were tested to reveal optimal CA for calculation of the depth-to-water (DTW) index from WAM. Using different modeling methods, species-specific SI models were developed for three datasets: (1) topographic and wet area variables derived from DEM and WAM, (2) only WAM variables, and (3) field measurements of soil and topography. DTW was selected by each statistical method for each species and, in most cases, DTW was the strongest predictor in the model. In addition, differences in strength of relationships were found between species. Models based on remotely-sensed information predicted SI with a root mean squared error (RMSE) of 1.6 m for aspen and lodgepole pine, and 2 m for white spruce. This approach appears to adequately portray the variation in productivity at a fine scale and is potentially applicable to forest growth and yield modeling and silviculture planning. Full article
(This article belongs to the Section Forest Inventory, Modeling and Remote Sensing)
Show Figures

Figure 1

18 pages, 2181 KB  
Article
Tree Community Phenodynamics and Its Relationship with Climatic Conditions in a Lowland Tropical Rainforest
by Jakeline P. A. Pires 1, Nicholas A. C. Marino 2, Ary G. Silva 3, Pablo J. F. P. Rodrigues 4 and Leandro Freitas 4,*
1 Departamento de Biologia, Pontifícia Universidade Católica do Rio de Janeiro, Rua Marquês de São Vicente 225, Rio de Janeiro 22451-900, RJ, Brazil
2 Programa de Pós-Graduação em Ecologia, Universidade Federal do Rio de Janeiro (UFRJ), Rio de Janeiro CP 68020, RJ, Brazil
3 Programa de Pós-Graduação em Ecologia de Ecossistemas, Universidade Vila Velha, Rua Comissário José Dantas de Melo 21, Vila Velha 29102-770, ES, Brazil
4 Jardim Botânico do Rio de Janeiro, Rua Pacheco Leão, 915, Rio de Janeiro 22460-030, RJ, Brazil
Forests 2018, 9(3), 114; https://doi.org/10.3390/f9030114 - 2 Mar 2018
Cited by 21 | Viewed by 4957
Abstract
The timing, duration, magnitude and synchronicity of plant life cycles are fundamental aspects of community dynamics and ecosystem functioning, and information on phenodynamics is essential for accurate vegetation classification and modeling. Here, we recorded the vegetative and reproductive phenodynamics of 479 individuals belonging [...] Read more.
The timing, duration, magnitude and synchronicity of plant life cycles are fundamental aspects of community dynamics and ecosystem functioning, and information on phenodynamics is essential for accurate vegetation classification and modeling. Here, we recorded the vegetative and reproductive phenodynamics of 479 individuals belonging to 182 tree species monthly over two years in a lowland Atlantic Forest in southeastern Brazil, and assessed the relationship between local climatic conditions and the occurrence and intensity of phenophases. We found a constant but low intensity of occurrence of both leaf fall and leaf flush with respect to canopy cover, resulting in an evergreen cover throughout the year. The timing of the reproductive phenophases was irregular between the two years of observation, and their amplitude was low. In addition, flowering and fruiting phenograms of activity, intensity and intensity corrected by the basal area did not overlap. These results suggest that a combination of phenological records and community-structure parameters allows for the obtainment of more accurate estimates of resource availability over time. We found that differences in growing degree-days (GDD), photoperiod and precipitation over time were related to temporal variation in leaf fall, leaf flush and flowering, with a large consistency in responses across tree species in this lowland Atlantic Forest. Moreover, there was only a weak relationship between climatic conditions and the dynamics of fruit formation and ripening, which were more strongly related to flowering phenodynamics, which is suggestive of indirect effects of climatic conditions on fruiting. Finally, the association we found between the number of days with precipitation and leaf fall dynamics agrees with the view that the greater potential for extreme events may impair plant growth in tropical forests. This reinforces the growing concerns regarding the risk of ecological collapse of tropical forests due to fragmentation and global climate change. Full article
Show Figures

Figure 1

12 pages, 2198 KB  
Article
Hyperspectral Analysis of Pine Wilt Disease to Determine an Optimal Detection Index
by So-Ra Kim 1, Woo-Kyun Lee 2,*, Chul-Hee Lim 2,3, Moonil Kim 2,4, Menas C. Kafatos 5, Seung-Ho Lee 6 and Sung-Soon Lee 7
1 Korea Forest Conservation Association, Dajeon 35262, Korea
2 Department of Environmental Science and Ecological Engineering, Korea University, Seoul 02481, Korea
3 Institute of Life Science and Natural Resources, Korea University, Seoul 02481, Korea
4 Ecosystem Services and Management Program, International Institute for Applied Systems Analysis (IIASA), Schlossplatz 1, A-2361 Laxenburg, Austria
5 Center of Excellence in Earth Systems Modeling and Observations, Chapman University, Orange, CA 92866, USA
6 Neighbor System, Seoul 07532, Korea
7 Korea Institute of Geoscience and Mineral Resources, Daejeon 34132, Korea
Forests 2018, 9(3), 115; https://doi.org/10.3390/f9030115 - 3 Mar 2018
Cited by 88 | Viewed by 7360
Abstract
Bursaphelenchus xylophilus, the pine wood nematode (PWN) which causes pine wilt disease, is currently a serious problem in East Asia, including in Japan, Korea, and China. This paper investigates the hyperspectral analysis of pine wilt disease to determine the optimal detection indices [...] Read more.
Bursaphelenchus xylophilus, the pine wood nematode (PWN) which causes pine wilt disease, is currently a serious problem in East Asia, including in Japan, Korea, and China. This paper investigates the hyperspectral analysis of pine wilt disease to determine the optimal detection indices for measuring changes in the spectral reflectance characteristics and leaf reflectance in the Pinus thunbergii (black pine) forest on Geoje Island, South Korea. In the present study, we collected the leaf reflectance spectra of pine trees infected with pine wilt disease using a hyperspectrometer. We used 10 existing vegetation indices (based on hyperspectral data) and introduced the green-red spectral area index (GRSAI). We made comparisons between non-infected and infected trees over time. A t-test was then performed to find the most appropriate index for detecting pine wilt disease-infected pine trees. Our main result is that, in most of the infected trees, the reflectance changed in the red and mid-infrared wavelengths within two months after pine wilt infection. The vegetation atmospherically resistant index (VARI), vegetation index green (VIgreen), normalized wilt index (NWI), and GRSAI indices detected pine wilt disease infection faster than the other indices used. Importantly, the GRSAI results showed less variability than the results of the other indices. This optimal index for detecting pine wilt disease is generated by combining red and green wavelength bands. These results are expected to be useful in the early detection of pine wilt disease-infected trees. Full article
Show Figures

Figure 1

8 pages, 1697 KB  
Communication
Identification of Potential Metabolic Markers for the Selection of a High-Yield Clone of Quercus acutissima in Clonal Seed Orchard
by Jun Won Kang, Hyunseok Lee, Hyemin Lim and Wi Young Lee *
1 Division of Forest Tree Improvement, National Institute of Forest Science, Suwon 16631, Gyeonggi, Korea
These authors contributed equally to this work.
Forests 2018, 9(3), 116; https://doi.org/10.3390/f9030116 - 3 Mar 2018
Cited by 7 | Viewed by 3737
Abstract
Quercus acutissima Carruth. is one of the most economically important deciduous tree species in Korea. The acorns of Q. acutissima are used for both food and medicinal purposes in Korea and China. In this study, we analyzed plant hormones and metabolite profiles to [...] Read more.
Quercus acutissima Carruth. is one of the most economically important deciduous tree species in Korea. The acorns of Q. acutissima are used for both food and medicinal purposes in Korea and China. In this study, we analyzed plant hormones and metabolite profiles to identify their correlation with the yield production of Q. acutissima. The contents of sucrose and inositol in the leaves of high-yield clones were significantly higher (p < 0.05) than those of low-yield clones. In addition, high-yield clones have a higher content of phosphoric acid, succinic acid, malic acid, and butane-1,3-diol in stems compared with low-yield clones. Among the identified metabolites, zeatin-9-glucoside showed highly significant negative correlations with tree height, crown volume, and acorn production. It is considered that these metabolites could be useful metabolic markers for the selection of a high yield clone of Q. acutissima. Full article
(This article belongs to the Section Forest Ecophysiology and Biology)
Show Figures

Figure 1

16 pages, 1845 KB  
Article
Pine Plantations and Invasion Alter Fuel Structure and Potential Fire Behavior in a Patagonian Forest-Steppe Ecotone
by Juan Paritsis 1,*, Jennifer B. Landesmann 1, Thomas Kitzberger 1, Florencia Tiribelli 1, Yamila Sasal 1, Carolina Quintero 1, Romina D. Dimarco 2, María N. Barrios-García 3, Aimé L. Iglesias 1, Juan P. Diez 4, Mauro Sarasola 4 and Martín A. Nuñez 5
1 Laboratorio Ecotono, INIBIOMA-Universidad Nacional del Comahue, CONICET, Quintral 1250, 8400 Bariloche, Argentina
2 Grupo de Ecología de Poblaciones de Insectos, INTA-CONICET, EEA Bariloche, CC 277, 8400 Bariloche, Argentina
3 Consejo Nacional de Investigaciones Científicas y Técnicas (CONICET), CENAC-APN, Fagnano 244, 8400 Bariloche, Argentina
4 Grupo Ecología Forestal, INTA EEA Bariloche, CC 277, 8400 Bariloche, Argentina
5 Grupo de Ecología de Invasiones, INIBIOMA-Universidad Nacional del Comahue, CONICET, Quintral 1250, 8400 Bariloche, Argentina
Forests 2018, 9(3), 117; https://doi.org/10.3390/f9030117 - 3 Mar 2018
Cited by 48 | Viewed by 7601
Abstract
Planted and invading non-native plant species can alter fire regimes through changes in fuel loads and in the structure and continuity of fuels, potentially modifying the flammability of native plant communities. Such changes are not easily predicted and deserve system-specific studies. In several [...] Read more.
Planted and invading non-native plant species can alter fire regimes through changes in fuel loads and in the structure and continuity of fuels, potentially modifying the flammability of native plant communities. Such changes are not easily predicted and deserve system-specific studies. In several regions of the southern hemisphere, exotic pines have been extensively planted in native treeless areas for forestry purposes and have subsequently invaded the native environments. However, studies evaluating alterations in flammability caused by pines in Patagonia are scarce. In the forest-steppe ecotone of northwestern Patagonia, we evaluated fine fuels structure and simulated fire behavior in the native shrubby steppe, pine plantations, pine invasions, and mechanically removed invasions to establish the relative ecological vulnerability of these forestry and invasion scenarios to fire. We found that pine plantations and their subsequent invasion in the Patagonian shrubby steppe produced sharp changes in fine fuel amount and its vertical and horizontal continuity. These changes in fuel properties have the potential to affect fire behavior, increasing fire intensity by almost 30 times. Pruning of basal branches in plantations may substantially reduce fire hazard by lowering the probability of fire crowning, and mechanical removal of invasion seems effective in restoring original fuel structure in the native community. The current expansion of pine plantations and subsequent invasions acting synergistically with climate warming and increased human ignitions warrant a highly vulnerable landscape in the near future for northwestern Patagonia if no management actions are undertaken. Full article
(This article belongs to the Special Issue Wildland Fire, Forest Dynamics, and Their Interactions)
Show Figures

Graphical abstract

24 pages, 5611 KB  
Article
Temporal and Spatial Change in Diameter Growth of Boreal Scots Pine, Norway Spruce, and Birch under Recent-Generation (CMIP5) Global Climate Model Projections for the 21st Century
by Seppo Kellomäki 1, Harri Strandman 1, Tero Heinonen 1, Antti Asikainen 2, Ari Venäläinen 3 and Heli Peltola 1,*
1 School of Forest Sciences, Faculty of Science and Forestry, University of Eastern Finland, P.O. Box 111, FI-80101 Joensuu, Finland
2 Natural Resources Institute Finland, P.O. Box 68, FI-801010 Joensuu, Finland
3 Finnish Meteorological Institute, P.O. Box 503, FI-00101 Helsinki, Finland
Forests 2018, 9(3), 118; https://doi.org/10.3390/f9030118 - 3 Mar 2018
Cited by 54 | Viewed by 5845
Abstract
We investigated how climate change affects the diameter growth of boreal Scots pine (Pinus sylvestris L.), Norway spruce (Picea abies (L.) H. Karst.), and silver birch (Betula pendula Roth) at varying temporal and spatial scales. We generated data with a [...] Read more.
We investigated how climate change affects the diameter growth of boreal Scots pine (Pinus sylvestris L.), Norway spruce (Picea abies (L.) H. Karst.), and silver birch (Betula pendula Roth) at varying temporal and spatial scales. We generated data with a gap-type ecosystem model for selected locations and sites throughout Finland. In simulations, we used the current climate and recent-generation (CMIP5) global climate model projections under three representative concentration pathways (RCPs) forcing scenarios for the period 2010–2099. Based on this data, we developed diameter growth response functions to identify the growth responses of forests under mild (RCP2.6), moderate (RCP4.5), and severe (RCP8.5) climate change at varying temporal and spatial scales. Climate change may increase growth primarily in the north, with a clearly larger effect on birch and Scots pine than Norway spruce. In the south, the growth of Norway spruce may decrease largely under moderate and severe climate change, in contrast to that of birch. The growth of Scots pine may also decrease slightly under severe climate change. The degree of differences between tree species and regions may increase along with the severity of climate change. Appropriate site-specific use of tree species may sustain forest productivity under climate change. Growth response functions, like we developed, provide novel means to take account of climate change in empirical growth and yield models, which as such include no climate change for forest calculations. Full article
(This article belongs to the Section Forest Ecology and Management)
Show Figures

Figure 1

15 pages, 3538 KB  
Article
Quantifying Boreal Forest Structure and Composition Using UAV Structure from Motion
by Michael Alonzo 1,*, Hans-Erik Andersen 2, Douglas C. Morton 3 and Bruce D. Cook 3
1 Department of Environmental Science, American University, Washington, DC 20016, USA
2 USDA Forest Service, Pacific Northwest Research Station, Seattle, WA 98195, USA
3 Biospheric Sciences Laboratory, NASA’s Goddard Space Flight Center, Greenbelt, MD 20771, USA
Forests 2018, 9(3), 119; https://doi.org/10.3390/f9030119 - 5 Mar 2018
Cited by 110 | Viewed by 9253
Abstract
The vast extent and inaccessibility of boreal forest ecosystems are barriers to routine monitoring of forest structure and composition. In this research, we bridge the scale gap between intensive but sparse plot measurements and extensive remote sensing studies by collecting forest inventory variables [...] Read more.
The vast extent and inaccessibility of boreal forest ecosystems are barriers to routine monitoring of forest structure and composition. In this research, we bridge the scale gap between intensive but sparse plot measurements and extensive remote sensing studies by collecting forest inventory variables at the plot scale using an unmanned aerial vehicle (UAV) and a structure from motion (SfM) approach. At 20 Forest Inventory and Analysis (FIA) subplots in interior Alaska, we acquired overlapping imagery and generated dense, 3D, RGB (red, green, blue) point clouds. We used these data to model forest type at the individual crown scale as well as subplot-scale tree density (TD), basal area (BA), and aboveground biomass (AGB). We achieved 85% cross-validation accuracy for five species at the crown level. Classification accuracy was maximized using three variables representing crown height, form, and color. Consistent with previous UAV-based studies, SfM point cloud data generated robust models of TD (r2 = 0.91), BA (r2 = 0.79), and AGB (r2 = 0.92), using a mix of plot- and crown-scale information. Precise estimation of TD required either segment counts or species information to differentiate black spruce from mixed white spruce plots. The accuracy of species-specific estimates of TD, BA, and AGB at the plot scale was somewhat variable, ranging from accurate estimates of black spruce TD (+/−1%) and aspen BA (−2%) to misallocation of aspen AGB (+118%) and white spruce AGB (−50%). These results convey the potential utility of SfM data for forest type discrimination in FIA plots and the remaining challenges to develop classification approaches for species-specific estimates at the plot scale that are more robust to segmentation error. Full article
Show Figures

Figure 1

16 pages, 1433 KB  
Article
Ecological Factors Influencing Norway Spruce Regeneration on Nurse Logs in a Subalpine Virgin Forest
by Sophie Stroheker 1,2, Marc Weiss 3, Thomas N. Sieber 2,* and Harald Bugmann 3
1 Swiss Federal Institute for Forest, Snow and Landscape Research WSL, Swiss Forest Protection, Zürcherstrasse 111, 8903 Birmensdorf, Switzerland
2 ETH Zurich, Institute of Integrative Biology, Forest Pathology and Dendrology, Universitätstrasse 16, 8092 Zurich, Switzerland
3 ETH Zurich, Institute of Terrestrial Ecosystems, Forest Ecology, Universitätstrasse 16, 8092 Zurich, Switzerland
Forests 2018, 9(3), 120; https://doi.org/10.3390/f9030120 - 5 Mar 2018
Cited by 21 | Viewed by 4509
Abstract
Regeneration of Picea abies in high-elevation mountain forests often depends on the presence of coarse woody debris (CWD), as logs provide sites with more favorable conditions for spruce regeneration compared to the forest floor. However, there is little quantitative knowledge on the factors [...] Read more.
Regeneration of Picea abies in high-elevation mountain forests often depends on the presence of coarse woody debris (CWD), as logs provide sites with more favorable conditions for spruce regeneration compared to the forest floor. However, there is little quantitative knowledge on the factors that are conducive to or hindering spruce establishment on CWD. We examined spruce regeneration on CWD by sampling 303 plots (50 cm × 50 cm each) on 56 downed logs in a virgin forest in the Swiss Alps. Variables describing microsite conditions were measured, and fungi were isolated from wood samples. To investigate the relationship between the ecological factors and establishment success, two models were fitted with seedling and sapling density as response variables, respectively. Besides log diameter, the models identified different ecological factors as significant for seedling and sapling establishment, i.e., regeneration depends on different factors in different development stages. Seedling density depended on the type of rot, log inclination, and decay stage. Sapling density depended mainly on light availability, cover by bark and moss, the time of tree fall, and the distance between the log surface and the forest floor. A total of 22 polypore fungi were isolated from the wood samples, four of them being threatened species. White- and brown-rot fungi were found in all decay stages. The visual assessment of the type of rot in the field corresponded in only 15% of cases to the type of rot caused by the isolated fungi; hence caution is needed when making field assessments of rot types. Full article
Show Figures

Figure 1

19 pages, 3251 KB  
Article
Optimizing Biomass Feedstock Logistics for Forest Residue Processing and Transportation on a Tree-Shaped Road Network
by Hee Han 1,2, Woodam Chung 1,*, Lucas Wells 1 and Nathaniel Anderson 3
1 Department of Forest Engineering, Resources and Management, College of Forestry, Oregon State University, Corvallis, OR 97331, USA
2 Division of Forest Industry Research, National Institute of Forest Science, Seoul 02455, Korea
3 Rocky Mountain Research Station, USDA Forest Service, Missoula, MT 59807, USA
Forests 2018, 9(3), 121; https://doi.org/10.3390/f9030121 - 5 Mar 2018
Cited by 19 | Viewed by 5187
Abstract
An important task in forest residue recovery operations is to select the most cost-efficient feedstock logistics system for a given distribution of residue piles, road access, and available machinery. Notable considerations include inaccessibility of treatment units to large chip vans and frequent, long-distance [...] Read more.
An important task in forest residue recovery operations is to select the most cost-efficient feedstock logistics system for a given distribution of residue piles, road access, and available machinery. Notable considerations include inaccessibility of treatment units to large chip vans and frequent, long-distance mobilization of forestry equipment required to process dispersed residues. In this study, we present optimized biomass feedstock logistics on a tree-shaped road network that take into account the following options: (1) grinding residues at the site of treatment and forwarding ground residues either directly to bioenergy facility or to a concentration yard where they are transshipped to large chip vans, (2) forwarding residues to a concentration yard where they are stored and ground directly into chip vans, and (3) forwarding residues to a nearby grinder location and forwarding the ground materials. A mixed-integer programming model coupled with a network algorithm was developed to solve the problem. The model was applied to recovery operations on a study site in Colorado, USA, and the optimal solution reduced the cost of logistics up to 11% compared to the conventional system. This is an important result because this cost reduction propagates downstream through the biomass supply chain, reducing production costs for bioenergy and bioproducts. Full article
(This article belongs to the Section Forest Ecology and Management)
Show Figures

Figure 1

13 pages, 1056 KB  
Article
Leaf Trait Variation with Environmental Factors at Different Spatial Scales: A Multilevel Analysis Across a Forest-Steppe Transition
by Haijing Shi, Zhongming Wen * and Minghang Guo
Institute of Soil and Water Conservation, Northwest A & F University, 26 Xinong Road, Yangling 712100, Shaanxi, China
Forests 2018, 9(3), 122; https://doi.org/10.3390/f9030122 - 6 Mar 2018
Cited by 10 | Viewed by 4092
Abstract
In mountain areas, the distribution of plant communities is affected by both regional and microhabitat conditions. The degree to which these different spatial factors contribute to plant communities is not well understood, because few studies have used a uniform sampling methodology to measure [...] Read more.
In mountain areas, the distribution of plant communities is affected by both regional and microhabitat conditions. The degree to which these different spatial factors contribute to plant communities is not well understood, because few studies have used a uniform sampling methodology to measure trait variation across the range of ecological scales. In this study, a stratified sampling method was used to study community weighted leaf traits and environment factors at different spatial (transect and plot) scales. We measured 6 leaf traits (specific leaf area, leaf tissue density, leaf thickness, leaf carbon, nitrogen and phosphorus content) in 258 communities from 57 sites in 9 transects nested within 3 vegetation zones. These communities are located in the loess hilly and gully area of the Yanhe river watershed. We coupled climatic factors at the transect scale with topographic and edaphic factors at the plot scale using multilevel regression modeling to analyze the trait variation associated with spatial scales. At the transect scale, the mean annual rainfall showed a highly significant positive effect on the leaf nitrogen concentration (LNC) (p < 0.01), while it had a highly significant negative effect on leaf thickness (LT) and leaf tissue density (LTD) (p < 0.001) and a significant negative effect on leaf carbon concentration (LCC) (p < 0.05), explaining 10.91%, 36.08%, 57.25% and 66.01% of LTD, LT, LCC and LNC variation at transect scale respectively. At a plot scale, the slope aspect showed a highly significant positive effect on specific leaf area (SLA) and LNC but a highly significant negative effect on LT and LTD. The soil water content had a significant negative effect on LT (p < 0.05) and LTD (p < 0.001) while soil organic matter showed a positive effect on SLA (p < 0.001) and LNC (p < 0.01). Totally, plot scale variables explained 7.28%, 43.60%, 46.43%, 75.39% and 81.17% of LCC, LT, LNC, LTD and SLA variation. The elevation showed positive effect only on LCC (p < 0.05). The results confirmed the existence of consistent trait–environment relationships at both transect and plot scales. These trait–environment relationships at different spatial scales will provide mechanistic understanding on the vegetation community assembly in the study area. Practically, ignoring trait variation within transects will underestimate roles of microhabitat filters in community assembly, and leads to the homogenization of restoration species. This will be like the past restoration plans and programs, causing serious environmental problems such as dwarf trees and soil desiccation. Full article
Show Figures

Figure 1

15 pages, 1252 KB  
Article
Relationship between Soil Characteristics and Stand Structure of Robinia pseudoacacia L. and Pinus tabulaeformis Carr. Mixed Plantations in the Caijiachuan Watershed: An Application of Structural Equation Modeling
by Xi Wei 1, Huaxing Bi 1,2,3,4,*, Wenjun Liang 5, Guirong Hou 1, Lingxiao Kong 1 and Qiaozhi Zhou 1
1 School of Soil and Water Conservation, Beijing Forestry University, Beijing 100083, China
2 Beijing Collaborative Innovation Center for Eco-Environmental Improvement with Forestry and Fruit Trees, Beijing 102206, China
3 Ji County Station, Chinese National Ecosystem Research Network (CNERN), Beijing 100083, China
4 Beijing Forestry University, Key Laboratory of State Forestry Administration on Soil and Water Conservation, Beijing 100083, China
5 College of Forestry, Shanxi Agricultural University, Taigu 030801, China
Forests 2018, 9(3), 124; https://doi.org/10.3390/f9030124 - 6 Mar 2018
Cited by 32 | Viewed by 5261
Abstract
In order to study the multi-factor coupling relationships between typical Robinia pseudoacacia L. and Pinus tabulaeformis Carr. mixed plantations in the Caijiachuan basin of the Loess Plateau of Shanxi Province, West China, 136 sample plots were selected for building a structural equation model [...] Read more.
In order to study the multi-factor coupling relationships between typical Robinia pseudoacacia L. and Pinus tabulaeformis Carr. mixed plantations in the Caijiachuan basin of the Loess Plateau of Shanxi Province, West China, 136 sample plots were selected for building a structural equation model (SEM) of three potential variables: terrain, stand structure, and soil characteristics. Additionally, the indicators (also known as observed variables) were studied in this paper, including slope, altitude, diameter at breast height (DBH), tree height (TH), tree crown area, canopy density, stand density, leaf area index (LAI), soil moisture content, soil maximum water holding capacity (WHC), soil organic matter (SOM), total nitrogen (TN), total phosphorus (TP), ammonia-nitrogen (NH3-N), nitrate-nitrogen (NO3-N), and available phosphorus (AP). The results showed that terrain was the most important factor influencing soil moisture and nutrients, with a total impact coefficient of 1.303 and a direct path coefficient of 0.03, which represented mainly positive impacts; while correspondingly stand structure had a smaller negative impact on soil characteristics, with a total impact coefficient of −0.585 and a direct path coefficient of −0.01. The terrain also had a positive impact on the stand structure, with a total impact coefficient of 0.487 and a direct path coefficient of 0.63, indicating that the topography factors were more suitable for site conditions and both the stand structure and the soil moisture and nutrient conditions were relatively superior. By affecting the stand structure, terrain could restrict some soil, water, and nutrient functions of soil and water conservation. The influence coefficients of the four observed variables of DBH, stand density, soil water content, and organic matter, and potential variable topography reached 0.686, −0.119, 1.117, and 0.732, respectively; and the influence coefficients of soil moisture, organic matter and stand structure were −0.502 and −0.329, respectively. Therefore, besides observing the corresponding latent variables, the observed variables had a considerable indirect influence on other related latent variables. These relationships showed that the measures, such as changing micro-topography and adjusting stand density, should effectively maintain or enhance soil moisture and nutrient content so as to achieve improved soil and water conservation benefits in the ecologically important Loess Area. Full article
(This article belongs to the Special Issue Afforestation and Reforestation: Drivers, Dynamics, and Impacts)
Show Figures

Figure 1

19 pages, 1251 KB  
Article
Coordinating the Uncoordinated: The EU Forest Strategy
by Filip Aggestam 1,* and Helga Pülzl 2
1 European Forest Institute—Resilience Programme, Platz der Vereinten Nationen 7, 53113 Bonn, Germany
2 European Forest Institute—Central Eastern European Regional Office (EFICEEC), Institute of Forest, Environmental and Natural Resource Policy, Department of Economics and Social Sciences, University of Natural Resources and Life Sciences, Vienna (BOKU), Feistmantelstrasse 4, 1180 Vienna, Austria
Forests 2018, 9(3), 125; https://doi.org/10.3390/f9030125 - 6 Mar 2018
Cited by 58 | Viewed by 8854
Abstract
The second European Union (EU) Forest Strategy responds to new challenges facing both forests and the forest-based sector which highlights the EU’s need for a policy framework ensuring coordination and coherence of forest-related policies. The objective of the present article is to analyse [...] Read more.
The second European Union (EU) Forest Strategy responds to new challenges facing both forests and the forest-based sector which highlights the EU’s need for a policy framework ensuring coordination and coherence of forest-related policies. The objective of the present article is to analyse whether the new Strategy contributes towards horizontal policy coherence of EU forest-related policies, given its shared and exclusive competences. This is achieved by comparing European Commission and forest industry policy priorities as articulated in the Strategy and through research carried out for the recent Cumulative Cost Assessment (CCA) of forest-based industries. Results from the comparative analysis demonstrate that the Strategy does not address many EU policies and policy instruments that affect the whole forest value chain and that it clearly omits existing EU policy instrument objectives that entail significant costs for the forest-based industry. It is therefore argued that without coordinating collective EU goals and gathering strong political support, it is at best extremely difficult or at worst impossible, to achieve coherence for EU forest-related policies across the whole forest value chain. Improving coherence of Union forest-related policies will require the Strategy to address more policy areas and instruments, including clearly defined parameters of what constitutes an EU forest-related policy. These pressing needs reach beyond what the Strategy presently sets out to achieve. Full article
Show Figures

Figure 1

22 pages, 3834 KB  
Article
Species Diversity of Oak Stands and Its Significance for Drought Resistance
by Jan Kotlarz 1,2,*, Sylwia A. Nasiłowska 1, Karol Rotchimmel 1, Katarzyna Kubiak 3 and Mariusz Kacprzak 1
1 Remote Sensing Division, Center of Space Technologies, Institute of Aviation, 02-256 Warsaw, Poland
2 Faculty of Physics, Warsaw University, 5 Pasteura Street, 02-093 Warsaw, Poland
3 Department of Forest Protection, Forest Research Institute, Sękocin Stary, 3 Braci Leśnej Street, 05-090 Raszyn, Poland
Forests 2018, 9(3), 126; https://doi.org/10.3390/f9030126 - 7 Mar 2018
Cited by 11 | Viewed by 5949
Abstract
Drought periods have an adverse impact on the condition of oak stands. Research on different types of ecosystems has confirmed a correlation between plant species diversity and the adverse effects of droughts. The purpose of this study was to investigate the changes that [...] Read more.
Drought periods have an adverse impact on the condition of oak stands. Research on different types of ecosystems has confirmed a correlation between plant species diversity and the adverse effects of droughts. The purpose of this study was to investigate the changes that occurred in an oak stand (Krotoszyn Plateau, Poland) under the impact of the summer drought in 2015. We used a method based on remote sensing indices from satellite images in order to detect changes in the vegetation in 2014 and 2015. A positive difference was interpreted as an improvement, whereas a negative one was treated as a deterioration of the stand condition. The Shannon-Wiener species diversity was estimated using an iterative principal component analysis (PCA) algorithm based on aerial images. We observed a relationship between the species indices of the individual forest divisions and their response to drought. The highest correlation between the index differences and the Shannon-Wiener indices was found for the Green Normalized Difference Vegetation Index (GNDVI) index (+0.74). In addition, correlations were observed between the mean index difference and the percentage shares in the forest divisions of species such as Pinus sylvestris L. (P. sylvestris) (+0.67 ± 0.08) and Quercus robur L. (Q. robur) (−0.65 ± 0.10). Our results lead us to infer that forest management based on highly diverse habitats is more suitable to meet the challenges in the context of global climatic changes, characterized by increasingly frequent droughts. Full article
(This article belongs to the Special Issue Remotely Sensing of Drought-Induced Forest Change and Recovery)
Show Figures

Figure 1

20 pages, 2303 KB  
Article
Allocation of Storage Yards in Management Plans in the Amazon by Means of Mathematical Programming
by Evandro Ferreira da Silva 1,*, Gilson Fernandes Da Silva 1, Evandro Orfanó Figueiredo 2, Daniel Henrique Breda Binoti 1, Adriano Ribeiro de Mendonça 1, Carlos Moreira Miquelino Eleto Torres 3 and José Eduardo Macedo Pezzopane 1
1 Department of Forest Sciences and wood, Federal University of Espirito Santo (UFES), Av. Governador Lindemberg, Jerônimo Monteiro 29550-000, ES, Brazil
2 Brazilian Agricultural Research Corporation (EMBRAPA-Acre), BR-364, km 14, Rio Branco 69900-970, AC, Brazil
3 Department of Forest Engineering, Federal University of Viçosa (UFV), Viçosa 36570-000, MG, Brazil
Forests 2018, 9(3), 127; https://doi.org/10.3390/f9030127 - 8 Mar 2018
Cited by 10 | Viewed by 5760
Abstract
The present study aimed to optimize the location of wood storage yards in forest management for the production of wood in the Brazilian Amazon. The area of forest management studied was 638.17 ha, with 1478 trees selected for harvest with a diameter at [...] Read more.
The present study aimed to optimize the location of wood storage yards in forest management for the production of wood in the Brazilian Amazon. The area of forest management studied was 638.17 ha, with 1478 trees selected for harvest with a diameter at breast height of at least 50 cm in accordance with Brazilian legislation. Taking the topography into account—permanent preservation areas, restricted areas, and remaining trees—and using GIS tools, 7896 sites were identified that could be used as wood storage yards. By using mathematical programming techniques, more specifically binary integer linear programming, and based on the classical p-median model, optimal locations for the opening of yards were defined. Four scenarios were proposed combining distance and volume constraints. The scenarios evaluated promoted reductions in infrastructure investment compared with traditional planning. The results showed reductions in the number of forest roads (–6.33%) and trails to extract logs (–15.49%) when compared to traditional planning. The best performing scenario was that with the maximum volume restriction. It was concluded that the application of mathematical programming was able to promote significant gains in the harvest planning of native forests of the Amazon with the potential to reduce environmental damage. Full article
Show Figures

Graphical abstract

15 pages, 1132 KB  
Article
Root Infection of Canker Pathogens, Fusarium circinatum and Diplodia sapinea, in Asymptomatic Trees in Pinus radiata and Pinus pinaster Plantations
by Laura Hernandez-Escribano 1,2, Eugenia Iturritxa 3, Ana Aragonés 3, Nebai Mesanza 3, Mónica Berbegal 4, Rosa Raposo 1,5 and Margarita Elvira-Recuenco 1,*
1 Instituto Nacional de Investigación y Tecnología Agraria y Alimentaria, Centro de Investigación Forestal (INIA-CIFOR), Ctra. La Coruña, Km. 7.5, 28040 Madrid, Spain
2 Doctorado en Biotecnología y Recursos Genéticos de Plantas y Microorganismos Asociados, Departamento de Biotecnología-Biología Vegetal, Escuela Técnica Superior de Ingeniería Agronómica, Alimentaria y de Biosistemas, Universidad Politécnica de Madrid, 28040 Madrid, Spain
3 NEIKER, Granja Modelo de Arkaute, Apdo 46, 01080 Vitoria-Gasteiz, Spain
4 Instituto Agroforestal Mediterráneo, Universitat Politècnica de València, Camino de Vera s/n, 46022 Valencia, Spain
5 Instituto de Gestión Forestal Sostenible (iuFOR), Universidad de Valladolid-INIA, Avenida de Madrid 44, 34071 Palencia, Spain
Forests 2018, 9(3), 128; https://doi.org/10.3390/f9030128 - 8 Mar 2018
Cited by 18 | Viewed by 5802
Abstract
The existence of a latent stage within host tissue of the pine pathogens Fusarium circinatum and Diplodia sapinea, the causal agents of pitch canker and shoot blight disease respectively, has previously been cited. However, studies on this cryptic phase in each disease lifecycle [...] Read more.
The existence of a latent stage within host tissue of the pine pathogens Fusarium circinatum and Diplodia sapinea, the causal agents of pitch canker and shoot blight disease respectively, has previously been cited. However, studies on this cryptic phase in each disease lifecycle has only been focused on the host aerial parts but not on the roots. Therefore, our objective was to analyze the presence of both pathogens in roots of non-symptomatic mature trees in plantations where the pathogens are known to be causing canker symptoms. For that, we sampled roots from ten non-symptomatic and ten symptomatic trees in three Pinus radiata and one Pinus pinaster plantations in Basque Country, Spain. Both pathogens were isolated from roots of non-symptomatic trees in a higher frequency than from roots of symptomatic trees, 23.3% and 6.6% respectively for D. sapinea and 16.6% and 3.3% respectively for F. circinatum. Neither pathogens was detected in the P. pinaster plantation. The two pathogens were never isolated from the same tree. A high molecular variability was observed for D. sapinea isolates with six different haplotypes and two mating types for the eleven characterized isolates, but only one haplotype and mating type was found for F. circinatum, with all isolates of both fungi being proved pathogenic. These results evidence the importance root infection may have in the disease lifecycle and, therefore, disease management. Full article
Show Figures

Figure 1

17 pages, 1228 KB  
Article
Institutional and Actor-Oriented Factors Constraining Expert-Based Forest Information Exchange in Europe: A Policy Analysis from an Actor-Centred Institutionalist Approach
by Tanya Baycheva-Merger 1,*, Metodi Sotirov 1, Sara Holmgren 2 and Andy Selter 1
1 Chair of Forest and Environmental Policy, University of Freiburg (ALU-FR), Tennenbacher Str. 4, 79106 Freiburg, Germany
2 Swedish University of Agricultural Sciences (SLU); Almas Allé 8, 750 07 Uppsala, Sweden
Forests 2018, 9(3), 129; https://doi.org/10.3390/f9030129 - 8 Mar 2018
Cited by 18 | Viewed by 7966
Abstract
Adequate and accessible expert-based forest information has become increasingly in demand for effective decisions and informed policies in the forest and forest-related sectors in Europe. Such accessibility requires a collaborative environment and constant information exchange between various actors at different levels and across [...] Read more.
Adequate and accessible expert-based forest information has become increasingly in demand for effective decisions and informed policies in the forest and forest-related sectors in Europe. Such accessibility requires a collaborative environment and constant information exchange between various actors at different levels and across sectors. However, information exchange in complex policy environments is challenging, and is often constrained by various institutional, actor-oriented, and technical factors. In forest policy research, no study has yet attempted to simultaneously account for these multiple factors influencing expert-based forest information exchange. By employing a policy analysis from an actor-centred institutionalist perspective, this paper aims to provide an overview of the most salient institutional and actor-oriented factors that are perceived as constraining forest information exchange at the national level across European countries. We employ an exploratory research approach, and utilise both qualitative and quantitative methods to analyse our data. The data was collected through a semi-structured survey targeted at forest and forest-related composite actors in 21 European countries. The results revealed that expert-based forest information exchange is constrained by a number of compound and closely interlinked institutional and actor-oriented factors, reflecting the complex interplay of institutions and actors at the national level. The most salient institutional factors that stand out include restrictive or ambiguous data protection policies, inter-organisational information arrangements, different organisational cultures, and a lack of incentives. Forest information exchange becomes even more complex when actors are confronted with actor-oriented factors such as issues of distrust, diverging preferences and perceptions, intellectual property rights, and technical capabilities. We conclude that expert-based forest information exchange is a complex and challenging task. It is driven by actors’ preferences/interests, perceptions, and capabilities, and is shaped by formal rules and social norms. Full article
(This article belongs to the Section Forest Economics, Policy, and Social Science)
Show Figures

Figure 1

26 pages, 5604 KB  
Article
Predicting Potential Fire Severity Using Vegetation, Topography and Surface Moisture Availability in a Eurasian Boreal Forest Landscape
by Lei Fang 1, Jian Yang 2,*, Megan White 2 and Zhihua Liu 1
1 CAS Key Laboratory of Forest Ecology and Management, Institute of Applied Ecology, Chinese Academy of Sciences, Shenyang 110016, China
2 Department of Forestry and Natural Resources, TP Cooper Building, University of Kentucky, Lexington, KY 40546, USA
Forests 2018, 9(3), 130; https://doi.org/10.3390/f9030130 - 8 Mar 2018
Cited by 53 | Viewed by 8381
Abstract
Severity of wildfires is a critical component of the fire regime and plays an important role in determining forest ecosystem response to fire disturbance. Predicting spatial distribution of potential fire severity can be valuable in guiding fire and fuel management planning. Spatial controls [...] Read more.
Severity of wildfires is a critical component of the fire regime and plays an important role in determining forest ecosystem response to fire disturbance. Predicting spatial distribution of potential fire severity can be valuable in guiding fire and fuel management planning. Spatial controls on fire severity patterns have attracted growing interest, but few studies have attempted to predict potential fire severity in fire-prone Eurasian boreal forests. Furthermore, the influences of fire weather variation on spatial heterogeneity of fire severity remain poorly understood at fine scales. We assessed the relative importance and influence of pre-fire vegetation, topography, and surface moisture availability (SMA) on fire severity in 21 lightning-ignited fires occurring in two different fire years (3 fires in 2000, 18 fires in 2010) of the Great Xing’an Mountains with an ensemble modeling approach of boosted regression tree (BRT). SMA was derived from 8-day moderate resolution imaging spectroradiometer (MODIS) evapotranspiration products. We predicted the potential distribution of fire severity in two fire years and evaluated the prediction accuracies. BRT modeling revealed that vegetation, topography, and SMA explained more than 70% of variations in fire severity (mean 83.0% for 2000, mean 73.8% for 2010). Our analysis showed that evergreen coniferous forests were more likely to experience higher severity fires than the dominant deciduous larch forests of this region, and deciduous broadleaf forests and shrublands usually burned at a significantly lower fire severity. High-severity fires tended to occur in gentle and well-drained slopes at high altitudes, especially those with north-facing aspects. SMA exhibited notable and consistent negative association with severity. Predicted fire severity from our model exhibited strong agreement with the observed fire severity (mean r2 = 0.795 for 2000, 0.618 for 2010). Our results verified that spatial variation of fire severity within a burned patch is predictable at the landscape scale, and the prediction of potential fire severity could be improved by incorporating remotely sensed biophysical variables related to weather conditions. Full article
(This article belongs to the Special Issue Wildland Fire, Forest Dynamics, and Their Interactions)
Show Figures

Graphical abstract

16 pages, 2820 KB  
Article
Pinus albicaulis Engelm. (Whitebark Pine) in Mixed-Species Stands throughout Its US Range: Broad-Scale Indicators of Extent and Recent Decline
by Sara A. Goeking 1,* and Deborah Kay Izlar 2
1 Inventory & Monitoring Program, Rocky Mountain Research Station, USDA Forest Service, 507 25th St., Ogden, UT 84401, USA
2 Resource Monitoring and Assessment, Pacific Northwest Research Station, USDA Forest Service, 1220 SW 3rd Avenue, Suite 1400, Portland, OR 97204, USA, kayizlar@hotmail.com
Forests 2018, 9(3), 131; https://doi.org/10.3390/f9030131 - 9 Mar 2018
Cited by 31 | Viewed by 7433
Abstract
We used data collected from >1400 plots by a national forest inventory to quantify population-level indicators for a tree species of concern. Whitebark pine (Pinus albicaulis) has recently experienced high mortality throughout its US range, where we assessed the area of [...] Read more.
We used data collected from >1400 plots by a national forest inventory to quantify population-level indicators for a tree species of concern. Whitebark pine (Pinus albicaulis) has recently experienced high mortality throughout its US range, where we assessed the area of land with whitebark pine present, size-class distribution of individual whitebark pine, growth rates, and mortality rates, all with respect to dominant forest type. As of 2016, 51% of all standing whitebark pine trees in the US were dead. Dead whitebark pines outnumbered live ones—and whitebark pine mortality outpaced growth—in all size classes ≥22.8 cm diameter at breast height (DBH), across all forest types. Although whitebark pine occurred across 4.1 million ha in the US, the vast majority of this area (85%) and of the total number of whitebark pine seedlings (72%) fell within forest types other than the whitebark pine type. Standardized growth of whitebark pines was most strongly correlated with the relative basal area of whitebark pine trees (rho = 0.67; p < 0.01), while both standardized growth and mortality were moderately correlated with relative whitebark pine stem density (rho = 0.39 and 0.40; p = 0.031 and p < 0.01, respectively). Neither growth nor mortality were well correlated with total stand basal area, total stem density, or stand mean diameter. The abundance, extent, and relative growth vs. mortality rates of whitebark pine in multiple forest types presents opportunities for management to encourage whitebark pine recruitment in mixed-species stands. The lodgepole pine forest type contained more whitebark pine seedlings (35%) than any other forest type, suggesting that this forest type represents a potential management target for silvicultural treatments that seek to facilitate the recruitment of whitebark pine seedlings into larger size classes. National forest inventories in other countries may use a similar approach to assess species of concern. Full article
(This article belongs to the Special Issue Ecology and Restoration of Whitebark Pine)
Show Figures

Figure 1

13 pages, 2239 KB  
Article
Comparison of the Economic Value of Urban Trees through Surveys with Photographs in Two Seasons
by Claudia García-Ventura 1, Álvaro Sánchez-Medina 2, M. Ángeles Grande-Ortíz 3, Concepción González-García 3 and Esperanza Ayuga-Téllez 2,*
1 Escuela Técnica Superior de Ingenieros de Montes, Forestal y del Medio Natural, Universidad Politécnica de Madrid, Avda. de las Moreras s/n., 28040 Madrid, Spain
2 Buildings, Infrastructures and Projects for Rural and Environmental Engineering (BIPREE), Universidad Politécnica de Madrid, Ciudad Universitaria s/n., 28040 Madrid, Spain
3 SILVANET. Research Group for Sustainable Environmental Management, Universidad Politécnica de Madrid, Ciudad Universitaria s/n., 28040 Madrid, Spain
Forests 2018, 9(3), 132; https://doi.org/10.3390/f9030132 - 10 Mar 2018
Cited by 3 | Viewed by 5031
Abstract
Urban trees are generally considered to be a public asset and are an important part of a city’s heritage. The aim of this work is to analyse the influence of season on the economic appraisal of various trees in Madrid. Photographs were taken [...] Read more.
Urban trees are generally considered to be a public asset and are an important part of a city’s heritage. The aim of this work is to analyse the influence of season on the economic appraisal of various trees in Madrid. Photographs were taken of 43 individual tree specimens in summer and winter. The survey was designed to compare differences of opinion in the economic assessment of trees. The trees were assessed by eight valuation methods used worldwide. A total of 78 agroforestry engineering students answered a written survey, and the variables considered were: percentage of students who always evaluated the tree equally (%0), percentage of students who assigned more value to the summer photograph (%S), and percentage of students who assigned more value to the winter photograph (%W). The results were analysed by the statistical test of equal proportions and ANOVA to detect differences according to tree type (evergreen or deciduous), species, and other groupings made by the authors in previous works. W and S percentages are similar. The ANOVA analysis rejects the equality of percentages of S and W between groups. The Welch test rejects the equality of the percentage of S, W, and O between species. Full article
(This article belongs to the Special Issue Participatory Forestry: Involvement, Information and Science)
Show Figures

Figure 1

18 pages, 2831 KB  
Article
High-Resolution Analytical Approach to Describe the Sensitivity of Tree–Environment Dependences through Stem Radial Variation
by Claudia Cocozza 1,*, Roberto Tognetti 2,3 and Alessio Giovannelli 4
1 Istituto per la Protezione Sostenibile delle Piante (IPSP), Consiglio Nazionale delle Ricerche (CNR), 50019 Sesto Fiorentino, Italy
2 Dipartimento di Agricoltura, Ambiente e Alimenti, Università degli Studi del Molise, 86100 Campobasso, Italy
3 The EFI Project Centre on Mountain Forests (MOUNTFOR), Edmund Mach Foundation, 38010 San Michele all’Adige, Italy
4 Istituto Valorizzazione Legno e Specie Arboree (IVALSA), Consiglio Nazionale delle Ricerche (CNR), Via Madonna del Piano 10, 50019 Sesto Fiorentino, Italy
Forests 2018, 9(3), 134; https://doi.org/10.3390/f9030134 - 12 Mar 2018
Cited by 18 | Viewed by 4782
Abstract
Stem radius variations are remarkably synchronous to weather conditions. Climate fluctuations can forecast the occurrence and severity of environmental disturbance on radial variations, as well as tissue sensitivity and tree growth. Radial variations were detected through dendrometers and were analyzed coupled to environmental [...] Read more.
Stem radius variations are remarkably synchronous to weather conditions. Climate fluctuations can forecast the occurrence and severity of environmental disturbance on radial variations, as well as tissue sensitivity and tree growth. Radial variations were detected through dendrometers and were analyzed coupled to environmental conditions to define stem sensitivity in response to experimental (logs in lab) and natural (trees in field) drivers. By using a mathematical approach for the analysis of plant traits and environmental variables, this study aimed at highlighting a methodological framework to analytically unravel the environmental control of stem cycles. A derivative analysis was performed on data derived from experimental measurements, which showed a high degree of agreement between environmental drivers and dendrometer signals. The analytical approach provided information on plant performance in response to environmental variation, removing the confounding effects of different variables. Coding of the dendrometer signal provided a process to quantify stem sensitivity to ambient temperature, to portray synchronicity of time series related to stem radial variations and air temperature events, and to identify time lags of environmental effects on plant traits. Full article
Show Figures

Figure 1

19 pages, 10940 KB  
Article
Relationships between Tree Age and Climate Sensitivity of Radial Growth in Different Drought Conditions of Qilian Mountains, Northwestern China
by Lingnan Zhang 1, Yuan Jiang 2,*, Shoudong Zhao 2, Liang Jiao 3 and Yan Wen 2
1 School of Geography and Tourism, Shaanxi Normal University, 620 Western Changan Street, Changan District, Shaanxi, Xi’an 710119, China
2 Beijing Key Laboratory of Traditional Chinese Medicine Protection and Utilization, Faculty of Geography Science, Beijing Normal University, 19 Xinjiekouwai Street, Haidian District, Beijing 100875, China
3 College of Geography and Environment Science, Northwest Normal University, Lanzhou 730070, China
Forests 2018, 9(3), 135; https://doi.org/10.3390/f9030135 - 12 Mar 2018
Cited by 34 | Viewed by 5005
Abstract
The response of radial growth to climate and the climate sensitivity of tree growth at different ages in different drought conditions are essential for predicting forest dynamics and making correct forest management policies. In this study, we analyzed the growth responsiveness of Picea [...] Read more.
The response of radial growth to climate and the climate sensitivity of tree growth at different ages in different drought conditions are essential for predicting forest dynamics and making correct forest management policies. In this study, we analyzed the growth responsiveness of Picea crassifolia Kom. to climate and explored the relationship between age and climate sensitivity of radial growth at the individual tree scale in the wetter eastern area and drier western area of the Qilian Mountains. Pearson correlation coefficients were calculated between the chronology of each tree and climatic factors to examine the climate-growth relationships. Linear fitting, quadratic polynomial fitting and exponential fitting were used to test the relationships between age and mean sensitivity, standard deviation and radial growth’s response to climate. Trees in the wetter eastern area showed a weaker response to climate than those in the drier western area and were significantly correlated with precipitation and mean temperature in the previous and current mid-late summer. Trees in the drier western area were mainly limited by precipitation of the previous August, the current May and June, as well as limited by temperature in the previous and current early-middle summer. In the wetter area, the younger trees were more sensitive to both precipitation and temperature than the older trees. In the drier area, younger/older trees showed a stronger sensitivity to precipitation in the current August and September/May, whereas trees 120–140 years old showed a stronger correlation with temperature factors in the summer. It was determined that mature trees in the drier area were more strongly influenced by the climate, especially in the context of increasing temperature. These trees should be paid special attention in forest management. Full article
Show Figures

Figure 1

20 pages, 1622 KB  
Article
Role of Community and User Attributes in Collective Action: Case Study of Community-Based Forest Management in Nepal
by Swati Negi 1,*, Thu Thuy Pham 2, Bhaskar Karky 3 and Claude Garcia 4,5
1 Institute of Terrestrial Ecosystem, Department of Environmental System Sciences, Swiss Federal Institute of Technology, (ETH) 8092 Zürich, Switzerland
2 Centre for International Forestry Research (CIFOR), 16100 Bogor, Indonesia
3 The International Centre for Integrated Mountain Development (ICIMOD), 44700 Kathmandu, Nepal
4 Centre International de Recherche Agronomique pour le Développement (CIRAD), Research Unit Forests and Societies, 34398 Montpellier, France
5 Department of Environmental System Sciences, Swiss Federal Institute of Technology, Forest Management and Development Group, 8092 Zürich, Switzerland
Forests 2018, 9(3), 136; https://doi.org/10.3390/f9030136 - 13 Mar 2018
Cited by 24 | Viewed by 5885
Abstract
A growing literature on collective action focuses on exploring the conditions that might help or hinder groups to work collectively. In this paper, we focus on community-based forest management in the inner Terai region of Nepal and explore the role of community and [...] Read more.
A growing literature on collective action focuses on exploring the conditions that might help or hinder groups to work collectively. In this paper, we focus on community-based forest management in the inner Terai region of Nepal and explore the role of community and user attributes such as group size, social heterogeneities, forest user’ perception on forests, and affiliation to the user group, in the collective action of managing community forests. Household surveys were carried out with 180 households across twelve community forest users’ groups. We first measured ethnic diversity, income inequality, landholding inequality, and user perception towards the use and management of community forests to understand their effect on the participation of forest users in the management of community forests. Our results show that among the studied variables, group size (number of forest users affiliated to the community forests) and perception of the management of their community forests are strong predictors of forest user participation in community forest management. Income inequality and ethnic diversity were found to have no significant association. Land inequality, however, was found to decrease participation in the management and use of community forests. These community and user attributes play a crucial role in the success of collective action and may vary from community to community. Hence they need to be duly considered by the practitioners prior to any community-based project interventions for stimulating successful collective action. Full article
Show Figures

Figure 1

17 pages, 3543 KB  
Article
Ecoregional Patterns of Spruce Budworm—Wildfire Interactions in Central Canada’s Forests
by Jean-Noël Candau *, Richard A. Fleming and Xianli Wang
Natural Resources Canada, Canadian Forest Service, Great Lakes Forestry Centre, Sault Ste Marie, P6A 2E5 ON, Canada
Forests 2018, 9(3), 137; https://doi.org/10.3390/f9030137 - 14 Mar 2018
Cited by 18 | Viewed by 5991
Abstract
Wildfires and outbreaks of the spruce budworm, Choristoneura fumiferana (Clem.), are the two dominant natural disturbances in Canada’s boreal forest. While both disturbances have specific impacts on forest ecosystems, it is increasingly recognized that their interactions also have the potential for non-linear behavior [...] Read more.
Wildfires and outbreaks of the spruce budworm, Choristoneura fumiferana (Clem.), are the two dominant natural disturbances in Canada’s boreal forest. While both disturbances have specific impacts on forest ecosystems, it is increasingly recognized that their interactions also have the potential for non-linear behavior and long-lasting legacies on forest ecosystems’ structures and functions. Previously, we showed that, in central Canada, fires occurred with a disproportionately higher frequency during a ‘window of opportunity’ following spruce budworm defoliation. In this study, we use Ontario’s spatial databases for large fires and spruce budworm defoliation to locate where these two disturbances likely interacted. Classification tree and Random Forest procedures were then applied to find how spruce budworm defoliation history, climate, and forest conditions best predict the location of such budworm–fire interactions. Results indicate that such interactions likely occurred in areas geographically bound by hardwood content in the south, the prevalence of the three major spruce budworm host species (balsam fir, white spruce and black spruce) in the north, and climate moisture in the west. The occurrence of a spruce budworm–fire interaction inside these boundaries is related to the frequency of spruce budworm defoliation. These patterns provide a means of distinguishing regions where spruce budworm attacks are likely to increase fire risk. Full article
(This article belongs to the Special Issue Wildland Fire, Forest Dynamics, and Their Interactions)
Show Figures

Figure 1

18 pages, 12136 KB  
Article
Ten Years of Monitoring Illustrates a Cascade of Effects of White Pine Blister Rust and Focuses Whitebark Pine Restoration in the Canadian Rocky and Columbia Mountains
by Brenda Shepherd 1,*, Brad Jones 2, Robert Sissons 3, Jed Cochrane 4, Jane Park 5, Cyndi M. Smith 6 and Natalie Stafl 7
1 Conservation Biologist, Parks Canada Agency, Jasper National Park, Jasper, AB T0E 1E0, Canada
2 Resource Manager, Alberta Environment and Parks, Calgary, AB T3L 1S4, Canada
3 Vegetation and Restoration Specialist, Parks Canada Agency, Waterton Lakes National Park, Waterton Park, AB T0K 2M0, Canada
4 Fire and Vegetation Specialist, Parks Canada Agency, Kootenay, Yoho and Lake Louise Field Unit, Radium, BC V0A 1M0, Canada
5 Fire and Vegetation Specialist, Parks Canada Agency, Banff Field Unit, Banff, AB T1L1K2, Canada
6 Scientist Emeritus, Parks Canada Agency, Waterton Lakes National Park, Waterton Park, AB T0K 2M0, Canada
7 A/Ecologist Team Lead, Parks Canada Agency, Mount Revelstoke and Glacier National Park, Revelstoke, BC V0E 2S0, Canada
Forests 2018, 9(3), 138; https://doi.org/10.3390/f9030138 - 14 Mar 2018
Cited by 22 | Viewed by 6515
Abstract
Whitebark pine forests are declining due to infection by white pine blister rust and mountain pine beetle, combined with the effects of climate change and fire suppression. The Canadian Rocky and Columbia Mountains represent a large portion of the whitebark range; a vast [...] Read more.
Whitebark pine forests are declining due to infection by white pine blister rust and mountain pine beetle, combined with the effects of climate change and fire suppression. The Canadian Rocky and Columbia Mountains represent a large portion of the whitebark range; a vast area, exemplifying the need for knowledge about whitebark pine stands to target restoration. The aim of our work was to identify variables predicting live tree infection, seedling infection, canopy kill, mortality, and regeneration across this region, and present the results in spatially-explicit formats to assist land managers with restoration. Live tree and seedling infection by white pine blister rust increased over the last decade and cascading effects of the disease are intensifying, including canopy kill and mortality. We show that large diameter trees are more likely to be infected, and the highest infection rates are in southern and western areas. The conditions for seedling infection are more strongly influenced by fine-scale climatic conditions than for trees. Areas with low regeneration are: (1) the dry east slopes where live tree infection is low; and (2) where live tree infection rates are high, suggesting that canopy kill and mortality are influencing regeneration. Results highlight where to target restoration and coordinate across boundaries. Full article
(This article belongs to the Special Issue Ecology and Restoration of Whitebark Pine)
Show Figures

Figure 1

17 pages, 3645 KB  
Article
Treatment of Picea abies and Pinus sylvestris Stumps with Urea and Phlebiopsis gigantea for Control of Heterobasidion
by Kalle Kärhä 1,*, Ville Koivusalo 1,2, Teijo Palander 2 and Matti Ronkanen 1
1 Stora Enso Wood Supply Finland, P.O. Box 309, FI-00101 Helsinki, Finland
2 Faculty of Science and Forestry, University of Eastern Finland, P.O. Box 111, FI-80101 Joensuu, Finland
Forests 2018, 9(3), 139; https://doi.org/10.3390/f9030139 - 15 Mar 2018
Cited by 13 | Viewed by 5749
Abstract
Heterobasidion spp. root rot causes severe damage to forests throughout the northern temperate zone. In order to prevent Heterobasidion infection in summertime cuttings, stumps can be treated with urea or Phlebiopsis gigantea. In this study, the consumption of stump treatment materials and [...] Read more.
Heterobasidion spp. root rot causes severe damage to forests throughout the northern temperate zone. In order to prevent Heterobasidion infection in summertime cuttings, stumps can be treated with urea or Phlebiopsis gigantea. In this study, the consumption of stump treatment materials and the quality of stump treatment work were investigated. A total of 46 harvesters were examined in May–November 2016 in Finland. The average stem size of softwood removal and softwood removal per hectare explained the consumption of stump treatment material. The quality of stump treatment work was good in the study. The best coverage was achieved with the stumps of 20–39 cm diameter at stump height (d0). It can be recommended that the harvester operator self-monitors and actively controls his/her treatment result in cutting work and sets the stump treatment equipment in a harvester if needed. The results also suggested that when cutting mostly small- and medium-diameter (d0 ≤ 39 cm) conifers, the stump treatment guide bars with relatively few (<18) open holes are used, and at the harvesting sites of large-diameter trees, the guide bars with a relatively great (>27) number of open holes are applied. Full article
(This article belongs to the Special Issue Forest Operations, Engineering and Management)
Show Figures

Figure 1

17 pages, 2592 KB  
Article
Phenotypic and Genotypic Correlations for Wood Properties of Hybrid Poplar Clones of Southern Quebec
by A.S.M. Azmul Huda 1, Ahmed Koubaa 1,*, Alain Cloutier 2, Roger E. Hernández 2, Pierre Périnet 3 and Yves Fortin 2
1 Institut de Recherche sur les Forêts, Université du Québec en Abitibi-Témiscamingue, 445 boul. de l’Université, Rouyn-Noranda, QC J9X 5E4, Canada
2 Des Sciences du Bois et de la Forêt, Université Laval, Québec, QC G1V 0A6, Canada
3 Ministère des Forêts, de la Faune et des Parcs du Québec, Québec, QC G1P 3W8, Canada
Forests 2018, 9(3), 140; https://doi.org/10.3390/f9030140 - 15 Mar 2018
Cited by 12 | Viewed by 4680
Abstract
This study aims to understand the phenotypic and genotypic correlations among wood anatomical, physical, and mechanical properties of hybrid poplar clones. Samples were taken from seven clones grown on three sites in Southern Quebec, Canada. Five trees per clone were randomly sampled from [...] Read more.
This study aims to understand the phenotypic and genotypic correlations among wood anatomical, physical, and mechanical properties of hybrid poplar clones. Samples were taken from seven clones grown on three sites in Southern Quebec, Canada. Five trees per clone were randomly sampled from each site to measure anatomical (fiber length, fiber proportion, vessel proportion, fiber wall thickness, tension wood), physical (basic density, volumetric, longitudinal, tangential, and radial shrinkage), and mechanical wood properties (flexural modulus of elasticity (MOE), modulus of rupture (MOR), ultimate crushing strength parallel to the grain). The observed phenotypic and genotypic correlations between these wood properties were moderate to strong, except for fiber length and vessel proportion. Genotypic correlations for all wood properties were higher than for corresponding phenotypic correlations. Furthermore, fiber length showed weak correlations, whereas, vessel proportion showed strongly negative correlations with all other properties. Strong correlations were also found among fiber proportion, fiber wall thickness, basic density, and mechanical properties. Furthermore, results from this study show close genotypic and phenotypic correlations between fiber proportion, fiber wall thickness, and wood density, which consequently affect the mechanical performance of wood products. These findings indicate that there is a substantial opportunity to improve wood quality by selecting several wood properties for different end uses. Full article
(This article belongs to the Special Issue Wood Property Responses to Silvicultural Treatments)
Show Figures

Figure 1

21 pages, 3063 KB  
Article
Forest Plantations’ Externalities: An Application of the Analytic Hierarchy Process to Non-Industrial Forest Owners in Central Chile
by Giorgia Bottaro 1, Lisandro Roco 2,*, Davide Pettenella 1, Stefano Micheletti 3 and Julien Vanhulst 3
1 Department Land, Environment, Agriculture and Forestry (TESAF), Università di Padova, Agripolis, Via dell’Università 16, 35020 Legnaro, PD, Italy
2 Department of Economics and Institute of Applied Regional Economics (IDEAR), Universidad Católica del Norte, Av. Angamos 0610, Antofagasta 1240000, Chile
3 Department of Social Sciences, School of Sociology and Centro de Estudios Urbano Territoriales (CEUT), Universidad Católica del Maule, Av. San Miguel 3605, Talca 3460000, Chile
Forests 2018, 9(3), 141; https://doi.org/10.3390/f9030141 - 15 Mar 2018
Cited by 9 | Viewed by 6449
Abstract
The forestry sector in Chile has an important role in the domestic economy, being the second leading export sector after the mining industry. Investments in forest plantations have grown in the last 40 years thanks to implementation of the Decree Law 701. Planted [...] Read more.
The forestry sector in Chile has an important role in the domestic economy, being the second leading export sector after the mining industry. Investments in forest plantations have grown in the last 40 years thanks to implementation of the Decree Law 701. Planted forests currently account for 17.4% of the total national forest cover. The objective of the study is to analyse non-industrial forest owners’ perceptions of positive and negative externalities of forest plantations in four less developed municipalities of the Maule Region. We implemented a literature review, the estimation of an Expert’s Response Indicator (ERI), and the implementation of an Analytic Hierarchy Process (AHP) methodology for the analysis. The results indicate that non-industrial forest owners in the four municipalities perceive the importance of each externality in a different way according to their territorial specificities. However, considering the whole study area, “CO2 sequestration”, “improvement of livelihood”, and “more importance of small and medium forest owners” were considered the most important positive externalities, while the most relevant negative externalities were “water shortage”, “power asymmetry”, and “land loss”. The study encourages further research with a similar detailed analysis on stakeholders’ perceptions of plantation projects, both to revise investment features and inform local stakeholders on their real impacts. Full article
(This article belongs to the Section Forest Economics, Policy, and Social Science)
Show Figures

Figure 1

17 pages, 1320 KB  
Article
Factors Affecting Natural Regeneration of Tropical Forests across a Precipitation Gradient in Myanmar
by Inkyin Khaine, Su Young Woo *, MyeongJa Kwak, Seong Han Lee, Sun Mi Je, Hana You, Taeyoon Lee, Jihwi Jang, Hyun Kyung Lee, Hyo Cheng Cheng, Jeong Ho Park, Euddeum Lee, Yang Li, Haenaem Kim, Jong Kyu Lee and Jieun Kim
Department of Environmental Horticulture, University of Seoul, Seoul 02504, Korea
Forests 2018, 9(3), 143; https://doi.org/10.3390/f9030143 - 15 Mar 2018
Cited by 41 | Viewed by 11151
Abstract
Natural regeneration is an essential component of forest dynamics and the recovery of ecosystem functions. Therefore, understanding regeneration status, and how abiotic and biotic factors affect it, is important for ecological studies. This study discovered different regeneration statuses of tropical forests in response [...] Read more.
Natural regeneration is an essential component of forest dynamics and the recovery of ecosystem functions. Therefore, understanding regeneration status, and how abiotic and biotic factors affect it, is important for ecological studies. This study discovered different regeneration statuses of tropical forests in response to differences in rainfall in Myanmar, and the environmental and overstory factors that had the most influence on understory regeneration. Study sites were set up in regions with 625 to 2035 mm of annual rainfall, and ecological characteristics were measured. According to the results, natural regeneration increased with rainfall, showing a good regeneration status at all sites. Forests within a range of 1411–2035 mm of annual rainfall had a significantly higher density and species diversity at specific natural regeneration stages than those with 625–1029 mm. Not only abiotic but also overstory structure affected the natural regeneration of forests. However, not all factors influenced natural regeneration status. Overstory size distribution parameters did not show a significant influence on natural regeneration. Average annual rainfall (abiotic), as well as ecosystem complexity, density, species richness, and diversity (overstory), were found to be the most influential factors for the density and diversity of natural regeneration. The results of this study will support silviculture and the management of tropical forests. Full article
(This article belongs to the Section Forest Ecology and Management)
Show Figures

Figure 1

16 pages, 6652 KB  
Article
Effects of Tree Trunks on Estimation of Clumping Index and LAI from HemiView and Terrestrial LiDAR
by Yunfei Bao 1,*, Wenjian Ni 2, Dianzhong Wang 1, Chunyu Yue 1, Hongyan He 1 and Hans Verbeeck 3
1 Beijing Institute of Space Mechanics and Electricity, No. 104, Road Youyi, Beijing 100094, China
2 State Key Laboratory of Remote Sensing Science, Institute of Remote Sensing and Digital Earth, Chinese Academy of Sciences, Beijing 100101, China
3 CAVELab Computational and Applied Vegetation Ecology, Faculty of Bioscience Engineering, Ghent University, 9000 Ghent, Belgium
Forests 2018, 9(3), 144; https://doi.org/10.3390/f9030144 - 16 Mar 2018
Cited by 22 | Viewed by 5174
Abstract
Estimating clumping indices is important for determining the leaf area index (LAI) of forest canopies. The spatial distribution of the clumping index is vital for LAI estimation. However, the neglect of woody tissue can result in biased clumping index estimates when indirectly deriving [...] Read more.
Estimating clumping indices is important for determining the leaf area index (LAI) of forest canopies. The spatial distribution of the clumping index is vital for LAI estimation. However, the neglect of woody tissue can result in biased clumping index estimates when indirectly deriving them from the gap probability and LAI observations. It is difficult to effectively and automatically extract woody tissue from digital hemispherical photos. In this study, a method for the automatic detection of trunks from Terrestrial Laser Scanning (TLS) data was used. Between-crown and within-crown gaps from TLS data were separated to calculate the clumping index. Subsequently, we analyzed the gap probability, clumping index, and LAI estimates based on TLS and HemiView data in consideration of woody tissue (trunks). Although the clumping index estimated from TLS had better agreement (R2 = 0.761) than that from HemiView, the change of angular distribution of the clumping index affected by the trunks from TLS data was more obvious than with the HemiView data. Finally, the exclusion of the trunks led to a reduction in the average LAI by ~19.6% and 8.9%, respectively, for the two methods. These results also showed that the detection of woody tissue was more helpful for the estimation of clumping index distribution. Moreover, the angular distribution of the clumping index is more important for the LAI estimate than the average clumping index value. We concluded that woody tissue should be detected for the clumping index estimate from TLS data, and 3D information could be used for estimating the angular distribution of the clumping index, which is essential for highly accurate LAI field measurements. Full article
Show Figures

Figure 1

25 pages, 7172 KB  
Article
Decadal-Scale Reduction in Forest Net Ecosystem Production Following Insect Defoliation Contrasts with Short-Term Impacts of Prescribed Fires
by Kenneth L. Clark 1,*, Heidi J. Renninger 2, Nicholas Skowronski 3, Michael Gallagher 1 and Karina V. R. Schäfer 4
1 Silas Little Experimental Forest, USDA Forest Service, 501 Four Mile Road, New Lisbon, NJ 08064, USA
2 Department of Forestry, Mississippi State University, Box 9681, Starkville, MS 39762, USA
3 Northern Research Station, USDA Forest Service, 180 Canfield St., Morgantown, WV 26505, USA
4 Department of Biological Sciences, Rutgers University, 195 University Ave., Newark, NJ 07102, USA
Forests 2018, 9(3), 145; https://doi.org/10.3390/f9030145 - 16 Mar 2018
Cited by 27 | Viewed by 5509
Abstract
Understanding processes underlying forest carbon dynamics is essential for accurately predicting the outcomes of non-stand-replacing disturbance in intermediate-age forests. We quantified net ecosystem production (NEP), aboveground net primary production (ANPP), and the dynamics of major carbon (C) pools before and during the decade [...] Read more.
Understanding processes underlying forest carbon dynamics is essential for accurately predicting the outcomes of non-stand-replacing disturbance in intermediate-age forests. We quantified net ecosystem production (NEP), aboveground net primary production (ANPP), and the dynamics of major carbon (C) pools before and during the decade following invasive insect defoliation and prescribed fires in oak- and pine-dominated stands in the New Jersey Pinelands National Reserve, USA. Gross ecosystem production (GEP) recovered during the year following defoliation at the oak stand, but tree mortality increased standing dead and coarse woody debris, and ecosystem respiration (Re) accounted for >97% of GEP. As a result, NEP averaged only 22% of pre-disturbance values during the decade following defoliation. At the pine stand, GEP also recovered to pre-disturbance values during the year following understory defoliation by gypsy moth and two prescribed fires, while Re was nearly unaffected. Overall, defoliation and tree mortality at the oak stand drove a decadal-scale reduction in NEP that was twofold greater in magnitude than C losses associated with prescribed fires at the pine stand. Our study documents the outcomes of different non-stand-replacing disturbances, and highlights the importance of detrital dynamics and increased Re in long-term measurements of forest C dynamics following disturbance in intermediate-age forests. Full article
(This article belongs to the Special Issue Forest Structural Dynamics in the 21st Century)
Show Figures

Figure 1

11 pages, 1237 KB  
Article
Methods to Improve Survival and Growth of Planted Alternative Species Seedlings in Black Ash Ecosystems Threatened by Emerald Ash Borer
by Nicholas Bolton 1,2,*, Joseph Shannon 1, Joshua Davis 1, Matthew Van Grinsven 1,3, Nam Jin Noh 1,4, Shon Schooler 5, Randall Kolka 6, Thomas Pypker 7 and Joseph Wagenbrenner 1,8
1 School of Forest Resources & Environmental Science, Michigan Technological University, Houghton, MI 49931, USA
2 Daniel B. Warnell School of Forestry and Natural Resources, University of Georgia, Athens, GA 30602, USA
3 Department of Earth, Environment, & Geosciences, Northern Michigan University, Marquette, MI 49855, USA
4 Hawkesbury Institute for the Environment, Western Sydney University, Richmond, NSW 2753, Australia
5 Lake Superior National Estuarine Research Reserve, University of Wisconsin-Superior, Superior, WI 54880, USA
6 USDA (United States Department of Agriculture) Forest Service, Northern Research Station, Grand Rapids, MN, 55744, USA
7 Department of Natural Resource Sciences, Thompson Rivers University, Kamloops, BC V2C 0C8, Canada
8 USDA (United States Department of Agriculture) Forest Service, Pacific Southwest Research Station, Arcata, CA 95521, USA
Forests 2018, 9(3), 146; https://doi.org/10.3390/f9030146 - 16 Mar 2018
Cited by 12 | Viewed by 5290
Abstract
Emerald ash borer (EAB) continues to spread across North America, infesting native ash trees and changing the forested landscape. Black ash wetland forests are severely affected by EAB. As black ash wetland forests provide integral ecosystem services, alternative approaches to maintain forest cover [...] Read more.
Emerald ash borer (EAB) continues to spread across North America, infesting native ash trees and changing the forested landscape. Black ash wetland forests are severely affected by EAB. As black ash wetland forests provide integral ecosystem services, alternative approaches to maintain forest cover on the landscape are needed. We implemented simulated EAB infestations in depressional black ash wetlands in the Ottawa National Forest in Michigan to mimic the short-term and long-term effects of EAB. These wetlands were planted with 10 alternative tree species in 2013. Based on initial results in the Michigan sites, a riparian corridor in the Superior Municipal Forest in Wisconsin was planted with three alternative tree species in 2015. Results across both locations indicate that silver maple (Acer saccharinum L.), red maple (Acer rubrum L.), American elm (Ulmus americana L.), and northern white cedar (Thuja occidentalis L.) are viable alternative species to plant in black ash-dominated wetlands. Additionally, selectively planting on natural or created hummocks resulted in two times greater survival than in adjacent lowland sites, and this suggests that planting should be implemented with microsite selection or creation as a primary control. Regional landowners and forest managers can use these results to help mitigate the canopy and structure losses from EAB and maintain forest cover and hydrologic function in black ash-dominated wetlands after infestation. Full article
(This article belongs to the Special Issue Understanding and Managing Emerald Ash Borer Impacts on Ash Forests)
Show Figures

Figure 1

12 pages, 2416 KB  
Article
Water Level Controls on Sap Flux of Canopy Species in Black Ash Wetlands
by Joseph Shannon 1,*, Matthew Van Grinsven 1,2, Joshua Davis 1, Nicholas Bolton 1,3, Nam Jin Noh 1,4, Thomas Pypker 5 and Randall Kolka 6
1 School of Forest Resources & Environmental Science, Michigan Technological University, Houghton, MI 49931, USA
2 Department of Earth, Environment, & Geosciences, Northern Michigan University, Marquette, MI 49985, USA
3 D.B. Warnell School of Forestry & Natural Resources, University of Georgia, Athens, GA 30602, USA
4 Hawkesbury Institute for the Environment, Western Sydney University, Richmond, NSW 2753, Australia
5 Department of Natural Resource Science, Thompson Rivers University, Kamloops, BC V2C 0C8, Canada
6 Northern Research Station, USDA Forest Service, Grand Rapids, MN 55744, USA
Forests 2018, 9(3), 147; https://doi.org/10.3390/f9030147 - 16 Mar 2018
Cited by 7 | Viewed by 5211
Abstract
Black ash (Fraxinus nigra Marsh.) exhibits canopy dominance in regularly inundated wetlands, suggesting advantageous adaptation. Black ash mortality due to emerald ash borer (Agrilus planipennis Fairmaire) will alter canopy composition and site hydrology. Retention of these forested wetlands requires understanding black [...] Read more.
Black ash (Fraxinus nigra Marsh.) exhibits canopy dominance in regularly inundated wetlands, suggesting advantageous adaptation. Black ash mortality due to emerald ash borer (Agrilus planipennis Fairmaire) will alter canopy composition and site hydrology. Retention of these forested wetlands requires understanding black ash’s ecohydrologic role. Our study examined the response of sap flux to water level and atmospheric drivers in three codominant species: black ash, red maple (Acer rubrum L.), and yellow birch (Betula alleghaniensis Britt.), in depressional wetlands in western Michigan, USA. The influence of water level on sap flux rates and response to vapor pressure deficit (VPD) was tested among species. Black ash had significantly greater sap flux than non-black ash at all water levels (80–160% higher). Black ash showed a significant increase (45%) in sap flux rates as water levels decreased. Black ash and red maple showed significant increases in response to VPD as water levels decreased (112% and 56%, respectively). Exploration of alternative canopy species has focused on the survival and growth of seedlings, but our findings show important differences in water use and response to hydrologic drivers among species. Understanding how a replacement species will respond to the expected altered hydrologic regimes of black ash wetlands following EAB infestation will improve species selection. Full article
(This article belongs to the Special Issue Understanding and Managing Emerald Ash Borer Impacts on Ash Forests)
Show Figures

Figure 1

9 pages, 2363 KB  
Article
Resolving Variables Influencing the Residence Time of Biomass in the Old-Age Forest across Climate Gradients
by Yangrui Han 1, Weifeng Wang 2,*, Weiyan Zhang 1, Jun Zhang 1 and Dandan Shan 1
1 Nantong College of Science and Technology in Jiangsu Province, Nantong 226007, China
2 Research Institute of Ecological Function and Forest Carbon Sink, Inner Mongolia Academy of Forestry Science, Hohhot 010010, China
Forests 2018, 9(3), 148; https://doi.org/10.3390/f9030148 - 16 Mar 2018
Viewed by 3832
Abstract
Standing biomass stocks represent a balance between a number of processes that lead to biomass accumulation or to biomass loss. The average time of biomass residence (ATr) of an ecosystem is the average period of time that carbon is locked up in the [...] Read more.
Standing biomass stocks represent a balance between a number of processes that lead to biomass accumulation or to biomass loss. The average time of biomass residence (ATr) of an ecosystem is the average period of time that carbon is locked up in the living biomass before it is transferred to the litter pool and is an important variable influencing the process leading to biomass loss. Variation in terrestrial ATr with climate is thought to originate from a direct influence of temperature and precipitation on plant mortality. However, variation in ATr may also result from an indirect influence of climate by means of plant age and growing season length. To identify the relative importance of direct and indirect climate effects, we analyzed published data of ecosystem woody biomass and productivity from forest plots across climate gradients, using three approaches: bayesian linear regression, multiple regression, and structural equation modeling. The three approaches provided special insights and they converged in supporting climate as an indirect driver of ATr across climate gradients. Notably, age and growing season length explained most of the variation in ATr, whereas mean annual temperature and precipitation explained almost none, suggesting that climate indirectly influenced ATr. Our analyses provide novel evidence not only supporting that the old-age forests could be a carbon sink with a longer time of biomass residence at a large scale, but also modifying the key drivers of ecosystem processes for vegetation dynamic models. Full article
Show Figures

Figure 1

11 pages, 2482 KB  
Article
Analysis of Soil Degradation Causes in Phyllostachys edulis Forests with Different Mulching Years
by Jiancheng Zhao 1, Bo Wang 1,*, Qin Li 1,*, Hejun Yang 2 and Kang Xu 1
1 Zhejiang Provincial Key Laboratory of Bamboo Research, Bamboo Shoot Engineering and Technology Research Center for State Forestry Administration, Zhejiang Academy of Forestry, Hangzhou 310023, China
2 Agriculture and Forestry Bureau of Shengzhou City, Shengzhou 312400, China
Forests 2018, 9(3), 149; https://doi.org/10.3390/f9030149 - 16 Mar 2018
Cited by 20 | Viewed by 4699
Abstract
Moso bamboo (Phyllostachys edulis (Carrière) J.Houz.) is famous for its fast growth and biomass accumulation, as well as high annual output for timber and bamboo shoots. Organic mulches are widely used to improve shoots’ production in moso bamboo forests. However, continuous mulching [...] Read more.
Moso bamboo (Phyllostachys edulis (Carrière) J.Houz.) is famous for its fast growth and biomass accumulation, as well as high annual output for timber and bamboo shoots. Organic mulches are widely used to improve shoots’ production in moso bamboo forests. However, continuous mulching management may cause bamboo forest degradation and affect sustainable development. The objective of this study was to identify the degradation mechanism and to provide a theoretical basis for recovery. A complete randomized block design with four treatments was conducted, including mulching for one year (M1), two years (M2), three years (M3) and no-mulching management (NM). Soil nutrient contents, enzyme activities and microbial biomass were determined. With the increase of mulching years, the soil pH value gradually reduced, causing soil acidification, but the content of soil organic matter was inclined to ascend. Soil total nitrogen (TN), total phosphorus (TP) and total potassium (TK) contents showed an increasing trend, and they were significantly higher in mulching stands than those in NM (p < 0.05). Contents of soil available nutrients (AN, AP and AK) increased, then decreased with the increase of mulching years and peaked in M1. With the increase of mulching years, the soil stoichiometry ratio (C/N, C/P and N/P) gradually increased. Soil invertase, urease and acid phosphatase activities presented a single-peak curve and reached the maximum within one year after mulching. Total microbial biomass and that of individual groups changed greatly after mulching. Soil microbial biomass increased first and then decreased, and it was the largest in M1. The fungi:bacteria ratio decreased in the first year and then began to rise, while the aerobic:anaerobic ratio showed the opposite trend. According to the overall results, M3 leads to soil acidification, imbalance of the nutrients’ proportion, abnormal enzyme activity and change of soil microbial flora, and rotated mulching management (mulching one year and then recuperating one year) should be recommended in practice. Full article
(This article belongs to the Section Forest Ecology and Management)
Show Figures

Figure 1

15 pages, 1706 KB  
Article
Community Forestry for Livelihoods: Benefiting from Myanmar’s Mangroves
by Melanie Feurer 1,*, David Gritten 2 and Maung Maung Than 2
1 BFH-HAFL—School for Agricultural, Forest and Food Sciences, Bern University of Applied Sciences, Länggasse 85, 3052 Zollikofen, Switzerland
2 RECOFTC—The Center for People and Forests, P.O. Box 1111, Kasetsart Post Office, 10903 Bangkok, Thailand
Forests 2018, 9(3), 150; https://doi.org/10.3390/f9030150 - 17 Mar 2018
Cited by 40 | Viewed by 9920
Abstract
It is well known that in many rural communities in the developing world, forests, particularly those under community management, are important for people’s livelihoods. However, studies on the contribution of forests to the income of different households within a community are rare, including [...] Read more.
It is well known that in many rural communities in the developing world, forests, particularly those under community management, are important for people’s livelihoods. However, studies on the contribution of forests to the income of different households within a community are rare, including the poorest households and how non-members of the community forestry user group (CFUG) benefit from those resources. This paper compares livelihood strategies and the use of a mangrove CF by different community members in Myanmar. Utilizing a livelihoods approach, data were collected through a household survey (n = 110) and various participatory tools. The significance of CF for people’s livelihoods was clearly demonstrated, with as many as 91% of households depending on CF products to varying degrees. Livelihood strategies are largely determined by financial assets and road access. Strategies include large levels of dependence on natural resources such as homegardens and CF. Substantial differences were found for CF’s contribution to total income depending on CF membership (p = 0.004) and wealth (p = 0.022). Non-members benefit mostly through subsistence products. The poorest households were found to get the highest income shares (36%) from CF. This leads to the conclusion that with an inclusive process to membership, CF has the potential to reduce poverty. Full article
(This article belongs to the Section Forest Ecology and Management)
Show Figures

Figure 1

25 pages, 4938 KB  
Article
Topoedaphic and Forest Controls on Post-Fire Vegetation Assemblies Are Modified by Fire History and Burn Severity in the Northwestern Canadian Boreal Forest
by Ellen Whitman 1,2,*, Marc-André Parisien 2, Dan K. Thompson 2 and Mike D. Flannigan 1
1 Department of Renewable Resources, University of Alberta, 751 General Services Building, Edmonton, AB T6G 2H1, Canada
2 Northern Forestry Centre, Canadian Forest Service, Natural Resources Canada, 5320–122nd St., Edmonton, AB T6H 3S5, Canada
Forests 2018, 9(3), 151; https://doi.org/10.3390/f9030151 - 17 Mar 2018
Cited by 52 | Viewed by 7806
Abstract
Wildfires, which constitute the most extensive natural disturbance of the boreal biome, produce a broad range of ecological impacts to vegetation and soils that may influence post-fire vegetation assemblies and seedling recruitment. We inventoried post-fire understory vascular plant communities and tree seedling recruitment [...] Read more.
Wildfires, which constitute the most extensive natural disturbance of the boreal biome, produce a broad range of ecological impacts to vegetation and soils that may influence post-fire vegetation assemblies and seedling recruitment. We inventoried post-fire understory vascular plant communities and tree seedling recruitment in the northwestern Canadian boreal forest and characterized the relative importance of fire effects and fire history, as well as non-fire drivers (i.e., the topoedaphic context and climate), to post-fire vegetation assemblies. Topoedaphic context, pre-fire forest structure and composition, and climate primarily controlled the understory plant communities and shifts in the ranked dominance of tree species (***8% and **13% of variance explained, respectively); however, fire and fire-affected soils were significant secondary drivers of post-fire vegetation. Wildfire had a significant indirect effect on understory vegetation communities through post-fire soil properties (**5%), and fire history and burn severity explained the dominance shifts of tree species (*7%). Fire-related variables were important explanatory variables in classification and regression tree models explaining the dominance shifts of four tree species (R2 = 0.43–0.65). The dominance of jack pine (Pinus banksiana Lamb.) and trembling aspen (Populus tremuloides Michx.) increased following fires, whereas that of black spruce (Picea mariana (Mill.) BSP.) and white spruce (Picea glauca (Moench) Voss) declined. The overriding importance of site and climate to post-fire vegetation assemblies may confer some resilience to disturbed forests; however, if projected increases in fire activity in the northwestern boreal forest are borne out, secondary pathways of burn severity, fire frequency, and fire effects on soils are likely to accelerate ongoing climate-driven shifts in species compositions. Full article
(This article belongs to the Special Issue Wildland Fire, Forest Dynamics, and Their Interactions)
Show Figures

Figure 1

17 pages, 3201 KB  
Article
Overstory Structure and Surface Cover Dynamics in the Decade Following the Hayman Fire, Colorado
by Paula J. Fornwalt 1,*, Camille S. Stevens-Rumann 2 and Byron J. Collins 1
1 USDA Forest Service, Rocky Mountain Research Station, 240 West Prospect Road, Fort Collins, CO 80526, USA
2 Department of Forest and Rangeland Stewardship, Colorado State University, Fort Collins, CO 80523, USA
Forests 2018, 9(3), 152; https://doi.org/10.3390/f9030152 - 17 Mar 2018
Cited by 15 | Viewed by 4772
Abstract
The 2002 Hayman Fire burned with mixed-severity across a 400-ha dry conifer study site in Colorado, USA, where overstory tree and surface cover attributes had been recently measured on 20 0.1-ha permanent plots. We remeasured these plots repeatedly during the first post-fire decade [...] Read more.
The 2002 Hayman Fire burned with mixed-severity across a 400-ha dry conifer study site in Colorado, USA, where overstory tree and surface cover attributes had been recently measured on 20 0.1-ha permanent plots. We remeasured these plots repeatedly during the first post-fire decade to examine how the attributes changed through time and whether changes were influenced by fire severity. We found that most attributes were temporally dynamic and that fire severity shaped their dynamics. For example, low-severity plots experienced a modest reduction in live overstory density due to both immediate and delayed tree mortality, and no change in live overstory basal area through time; in contrast, high-severity plots experienced an immediate and total loss of live overstory density and basal area. Large snag density in low-severity plots did not vary temporally because snag recruitment balanced snag loss; however, in high-severity plots large snag density increased markedly immediately post-fire and then declined by about half by post-fire year ten as snags fell. Mineral soil cover increased modestly immediately post-fire in low-severity plots and substantially immediately post-fire in high-severity plots, but changed little in ensuing years for either severity class. By incorporating pre-fire and repeatedly-measured post-fire data for a range of severities, our study uniquely contributes to the current understanding of wildfire effects in dry conifer forests and should be of interest to managers, researchers, and others. Full article
(This article belongs to the Special Issue Wildland Fire, Forest Dynamics, and Their Interactions)
Show Figures

Figure 1

17 pages, 3064 KB  
Article
Seasonal Effects on Microbial Community Structure and Nitrogen Dynamics in Temperate Forest Soil
by Tomohiro Yokobe 1,*, Fujio Hyodo 2 and Naoko Tokuchi 3
1 Graduate School of Agriculture, Kyoto University, Oiwake-cho, Kitashirakawa, Sakyo-ku, Kyoto 6068502, Japan
2 Research Core for Interdisciplinary Sciences, Okayama University, 3-1-1 Tsushimanaka, Okayama 7008530, Japan
3 Field Science Education and Research Center, Kyoto University, Oiwake-cho, Kitashirakawa, Sakyo-ku, Kyoto 6068502, Japan
Forests 2018, 9(3), 153; https://doi.org/10.3390/f9030153 - 19 Mar 2018
Cited by 50 | Viewed by 7017
Abstract
The soil microbial community and nitrogen (N) dynamics change seasonally due to several factors. The microbial community structure (MCS) can regulate N dynamics. However, there is insufficient information on seasonal changes in MCS and the relationship between MCS and N dynamics. We investigated [...] Read more.
The soil microbial community and nitrogen (N) dynamics change seasonally due to several factors. The microbial community structure (MCS) can regulate N dynamics. However, there is insufficient information on seasonal changes in MCS and the relationship between MCS and N dynamics. We investigated MCS and N dynamics in forest soils with two different fertilities throughout a year. MCS, measured with phospholipid fatty acid (PLFA) analysis, showed a consistent seasonal trend, regardless of the fertility. Microbial indices (particularly the Saturated-/monounsaturated-PLFA ratio; Sat/mono) indicated a major PLFA shift among seasons, with temperature likely the most important factor. The fungal-/bacterial-PLFA ratio in the dormant season (December–April) was approximately 1.3 times greater than in the growing season (June–November). The trend in N dynamics showed that in summer (June–August), the gross N mineralization potential was greater than immobilization, whereas in winter (December–April), immobilization was dominant. The net mineralization potential in the growing season was approximately 1.6 times higher than in the dormant season. Moreover, a relationship was found between Sat/mono and N transformation potentials. We highlight the microbial sensitivity to seasonal dynamics which can be associated with temperature, as well as carbon and N dynamics. Full article
(This article belongs to the Special Issue Carbon, Nitrogen and Phosphorus Cycling in Forest Soils)
Show Figures

Figure 1

17 pages, 1197 KB  
Article
Willow Short Rotation Coppice Trial in a Former Mining Area in Northern Spain: Effects of Clone, Fertilization and Planting Density on Yield after Five Years
by María Castaño-Díaz *, Marcos Barrio-Anta, Elías Afif-Khouri and Asunción Cámara-Obregón
GIS-Forest Research Group, Department of Organisms and Systems Biology, Polytechnic School of Mieres, University of Oviedo, Mieres, E-33600 Asturias, Spain
Forests 2018, 9(3), 154; https://doi.org/10.3390/f9030154 - 20 Mar 2018
Cited by 27 | Viewed by 5246
Abstract
A willow short rotation coppice (SRC) trial was conducted on former mining land in northern Spain over a period of five years, with the purpose of evaluating the effects on yield of two planting densities (9876 and 14,815 cuttings ha−1), three [...] Read more.
A willow short rotation coppice (SRC) trial was conducted on former mining land in northern Spain over a period of five years, with the purpose of evaluating the effects on yield of two planting densities (9876 and 14,815 cuttings ha−1), three treatments (control, two levels of nitrogen, phosphorus and potassium compound fertilizer (NPK) plus weed control) and three willow clones (Björn, Inger, Olof). The area was subsoiled, ploughed, harrowed and fertilized with NPK before trial establishment. A randomized block design was applied, with three replications of each treatment in a total of 54 plots, each of an area of 400 m2. The effects of the interactions between the various factors on yield and other growth parameters were also studied. The clone factor significantly affected the number of shoots per stool (greatest for the Inger clone) and the Olof clone, which showed the lowest mortality rate and produced the largest trees and largest quantity of biomass. The combined application of fertilizer and herbicide also significantly increased the values of all response variables considered, except the mortality rate. The planting density did not significantly affect the response variables. Clone × treatment interactions were significant for the shoots per stool, height, diameter and biomass variables, and the Olof clone displayed the highest height and diameter growth and yield. The results obtained in the first rotation indicate that the Olof clone adapted well to the trial conditions and therefore would be appropriate for producing biomass in abandoned mine land in Asturias. These findings will help in the development of strategies for the establishment and management of SRC on marginal land. Full article
(This article belongs to the Section Forest Ecology and Management)
Show Figures

Figure 1

18 pages, 6042 KB  
Article
Development of an Integrated DBH Estimation Model Based on Stand and Climatic Conditions
by Dongfan Piao 1, Moonil Kim 1,2, Go-Mee Choi 3, Jooyeon Moon 1, Hangnan Yu 1, Woo-Kyun Lee 1,*, Sonam Wangyel Wang 1, Seong Woo Jeon 1, Yowhan Son 1, Yeong-Mo Son 4 and Guishan Cui 5
1 Department of Environmental Science and Ecological Engineering, Korea University, Seoul 02841, Korea
2 International Institute for Applied Systems Analysis, A-2361 Laxenburg, Austria
3 Korea Forest Inventory Center, National Forestry Cooperative Federation, Seoul 02455, Korea
4 Forest Welfare Division, National Institute of Forest Science, Seoul 02455, Korea
5 Department of Geography, Yanbian University, Yanji 133002, China
Forests 2018, 9(3), 155; https://doi.org/10.3390/f9030155 - 20 Mar 2018
Cited by 14 | Viewed by 5277
Abstract
Using Korean National Forest Inventory (NFI) data, our study developed a model to estimate stand mean diameter at breast height (DBH) reflecting the influence of site and climate factors on forest growth for the major tree species in South Korea. A DBH estimation [...] Read more.
Using Korean National Forest Inventory (NFI) data, our study developed a model to estimate stand mean diameter at breast height (DBH) reflecting the influence of site and climate factors on forest growth for the major tree species in South Korea. A DBH estimation model was developed using stand-level variables (stand age, site index and number of trees per hectare) as independent factors. The spatial autocorrelation of residuals of the model was identified using semi-variogram analysis for each tree species. Further, a residual model, in which residuals were estimated by climatic factors (mean temperature, sum temperature in the growing season and precipitation), was developed assuming that the spatial autocorrelation of residuals reflects the differences in regional climatic conditions. Linear regression analysis showed that residuals of all tree species were significantly correlated with temperature and precipitation. The DBH and residual models were integrated to estimate the current DBH under different climatic factors (temperature and precipitation) and stand-level variables. This model had high reliability (R2 = 0.74–0.79), and no obvious dependencies or patterns in residuals were noted. Our results indicated that temperature increases caused by climate change would negatively affect the DBH estimate of coniferous trees, but not of oak species. Full article
(This article belongs to the Special Issue Simulation Modeling of Forest Ecosystems)
Show Figures

Figure 1

14 pages, 6179 KB  
Article
De Novo Sequencing and Assembly Analysis of Transcriptome in Pinus bungeana Zucc. ex Endl.
by Qifei Cai 1,2,3, Bin Li 1,2,3, Furong Lin 1,2,3, Ping Huang 1,2,3, Wenying Guo 1,2,3 and Yongqi Zheng 1,2,3,*
1 State Key Laboratory of Tree Genetics and Breeding, Chinese Academy of Forestry, Beijing 100091, China
2 Research Institute of Forestry, Chinese Academy of Forestry, Beijing 100091, China
3 Key Laboratory of Tree Breeding and Cultivation of State Forestry Administration, Chinese Academy of Forestry, Beijing 100091, China
Forests 2018, 9(3), 156; https://doi.org/10.3390/f9030156 - 20 Mar 2018
Cited by 8 | Viewed by 4754
Abstract
To enrich the molecular data of Pinus bungeana Zucc. ex Endl. and study the regulating factors of different morphology controled by apical dominance. In this study, de novo assembly of transcriptome annotation was performed for two varieties of Pinus bungeana Zucc. ex Endl. [...] Read more.
To enrich the molecular data of Pinus bungeana Zucc. ex Endl. and study the regulating factors of different morphology controled by apical dominance. In this study, de novo assembly of transcriptome annotation was performed for two varieties of Pinus bungeana Zucc. ex Endl. that are obviously different in morphology. More than 147 million reads were produced, which were assembled into 88,092 unigenes. Based on a similarity search, 11,692 unigenes showed significant similarity to proteins from Picea sitchensis (Bong.) Carr. From this collection of unigenes, a large number of molecular markers were identified, including 2829 simple sequence repeats (SSRs). A total of 158 unigenes expressed differently between two varieties, including 98 up-regulated and 60 down-regulated unigenes. Furthermore, among the differently expressed genes (DEGs), five genes which may impact the plant morphology were further validated by reverse transcription quantitative polymerase chain reaction (RT-qPCR). The five genes related to cytokinin oxidase/dehydrogenase (CKX), two-component response regulator ARR-A family (ARR-A), plant hormone signal transduction (AHP), and MADS-box transcription factors have a close relationship with apical dominance. This new dataset will be a useful resource for future genetic and genomic studies in Pinus bungeana Zucc. ex Endl. Full article
(This article belongs to the Special Issue Genetics and Genomics of Forest Trees)
Show Figures

Figure 1

Review

Jump to: Research

21 pages, 12408 KB  
Review
Plant Water Use Strategy in Response to Spatial and Temporal Variation in Precipitation Patterns in China: A Stable Isotope Analysis
by Ying Zhao 1,2 and Li Wang 1,*
1 State Key Laboratory of Soil Erosion and Dryland Farming on the Loess Plateau, Institute of Soil and Water Conservation, Chinese Academy of Sciences and the Ministry of Water Resources, Yangling 712100, China
2 University of Chinese Academy of Sciences, Beijing 100049, China
Forests 2018, 9(3), 123; https://doi.org/10.3390/f9030123 - 6 Mar 2018
Cited by 33 | Viewed by 5953
Abstract
Spatial and temporal variation in precipitation patterns can directly alter the survival and growth of plants, yet in China there is no comprehensive and systematic strategy for plant use based on the effects of precipitation patterns. Here, we examined information from 93 published [...] Read more.
Spatial and temporal variation in precipitation patterns can directly alter the survival and growth of plants, yet in China there is no comprehensive and systematic strategy for plant use based on the effects of precipitation patterns. Here, we examined information from 93 published papers (368 plant species) on plant xylem water stable isotopes (δD and δ18O) in China. The results showed that: (1) The slope of the local meteoric water line (LMWL) gradually increased from inland areas to the coast, as a result of continental and seasonal effects. The correlation between δD and δ18O in plant stem water is also well fitted and the correlation coefficients range from 0.78 to 0.89. With respect to the soil water line, the δ18O values in relation to depth (0–100 cm) varied over time; (2) Plants’ main water sources are largely affected by precipitation patterns. In general, plants prioritize the use of stable and continuous water sources, while they have a more variable water uptake strategy under drought conditions; (3) There are no spatial and temporal variations in the contribution of the main water source (p > 0.05) because plants maintain growth by shifting their use of water sources when resources are unreliable. Full article
(This article belongs to the Special Issue Isotope Application in Forest Growth Assessment)
Show Figures

Figure 1

22 pages, 767 KB  
Review
The Interplay between Forest Management Practices, Genetic Monitoring, and Other Long-Term Monitoring Systems
by Darius Kavaliauskas 1,*, Barbara Fussi 1, Marjana Westergren 2, Filippos Aravanopoulos 3, Domen Finzgar 2, Roland Baier 1, Paraskevi Alizoti 3, Gregor Bozic 2, Evangelia Avramidou 3, Monika Konnert 1 and Hojka Kraigher 2
1 Bavarian Office for Forest Seeding and Planting, Forstamtsplatz 1, 83317 Teisendorf, Germany
2 Slovenian Forestry Institute, Vecna Pot 2, Ljubljana 1000, Slovenia
3 Aristotle University of Thessaloniki, University Campus, 541 24 Thessaloniki, Greece
Forests 2018, 9(3), 133; https://doi.org/10.3390/f9030133 - 10 Mar 2018
Cited by 21 | Viewed by 6233
Abstract
The conservation and sustainable use of forests and forest genetic resources (FGR) is a challenging task for scientists and foresters. Forest management practices can affect diversity on various levels: genetic, species, and ecosystem. Understanding past natural disturbance dynamics and their level of dependence [...] Read more.
The conservation and sustainable use of forests and forest genetic resources (FGR) is a challenging task for scientists and foresters. Forest management practices can affect diversity on various levels: genetic, species, and ecosystem. Understanding past natural disturbance dynamics and their level of dependence on human disturbances and management practices is essential for the conservation and management of FGR, especially in the light of climate change. In this review, forest management practices and their impact on genetic composition are reviewed, synthesized, and interpreted in the light of existing national and international forest monitoring schemes and concepts from various European projects. There is a clear need and mandate for forest genetic monitoring (FGM), while the requirements thereof lack complementarity with existing forest monitoring. Due to certain obstacles (e.g., the lack of unified FGM implementation procedures across the countries, high implementation costs, large number of indicators and verifiers for FGM proposed in the past), merging FGM with existing forest monitoring is complicated. Nevertheless, FGM is of paramount importance for forestry and the natural environment in the future, regardless of the presence or existence of other monitoring systems, as it provides information no other monitoring system can yield. FGM can provide information related to adaptive and neutral genetic diversity changes over time, on a species and/or on a population basis and can serve as an early warning system for the detection of potentially harmful changes of forest adaptability. In addition, FGM offers knowledge on the adaptive potential of forests under the changing environment, which is important for the long-term conservation of FGR. Full article
17 pages, 3546 KB  
Review
Progress and Challenges of Protecting North American Ash Trees from the Emerald Ash Borer Using Biological Control
by Jian J. Duan 1,*, Leah S. Bauer 2, Roy G. Van Driesche 3 and Juli R. Gould 4
1 United States Department of Agriculture, Agricultural Research Service, Beneficial Insects Introduction Research Unit, Newark, DE 19713, USA
2 United States Department of Agriculture, Forest Service, Northern Research Station, Lansing, MI 48910, USA
3 Department of Environment and Conservation, University of Massachusetts, Amherst, MA 01003, USA
4 United States of Department of Agriculture, Animal and Plant Health Inspection Service, Plant Protection and Quarantine, Science and Technology, Buzzards Bay, MA 02542, USA
Forests 2018, 9(3), 142; https://doi.org/10.3390/f9030142 - 15 Mar 2018
Cited by 84 | Viewed by 11748
Abstract
After emerald ash borer (EAB), Agrilus planipennis Fairmaire, was discovered in the United States, a classical biological control program was initiated against this destructive pest of ash trees (Fraxinus spp.). This biocontrol program began in 2007 after federal regulatory agencies and the [...] Read more.
After emerald ash borer (EAB), Agrilus planipennis Fairmaire, was discovered in the United States, a classical biological control program was initiated against this destructive pest of ash trees (Fraxinus spp.). This biocontrol program began in 2007 after federal regulatory agencies and the state of Michigan approved release of three EAB parasitoid species from China: Tetrastichus planipennisi Yang (Eulophidae), Spathius agrili Yang (Braconidae), and Oobius agrili Zhang and Huang (Encyrtidae). A fourth EAB parasitoid, Spathius galinae Belokobylskij (Braconidae) from Russia, was approved for release in 2015. We review the rationale and ecological premises of the EAB biocontrol program, and then report on progress in North American ash recovery in southern Michigan, where the parasitoids were first released. We also identify challenges to conserving native Fraxinus using biocontrol in the aftermath of the EAB invasion, and provide suggestions for program improvements as EAB spreads throughout North America. We conclude that more work is needed to: (1) evaluate the establishment and impact of biocontrol agents in different climate zones; (2) determine the combined effect of EAB biocontrol and host plant resistance or tolerance on the regeneration of North American ash species; and (3) expand foreign exploration for EAB natural enemies throughout Asia. Full article
(This article belongs to the Special Issue Understanding and Managing Emerald Ash Borer Impacts on Ash Forests)
Show Figures

Figure 1

Previous Issue
Next Issue
Back to TopTop