High Resolution Site Index Prediction in Boreal Forests Using Topographic and Wet Areas Mapping Attributes †
Abstract
1. Introduction
2. Materials and Methods
2.1. Study Site, Sample Plot, and Tree Selection Criteria
2.2. Data Collection and Variable Estimation
2.2.1. Field Sampling Data
2.2.2. Mapped Data
2.3. Statistical Analysis
3. Results
3.1. Optimizing Size of Catchment Areas (CA) for Estimating SI
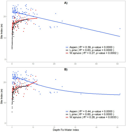
3.2. SI-Environment Relationship
4. Discussion
5. Conclusions
Supplementary Materials
Acknowledgments
Author Contributions
Conflicts of Interest
References
- Skovsgaard, J.P.; Vanclay, J.K. Forest site productivity: A review of the evolution of dendrometric concepts for even-aged stands. Forestry 2008, 81, 13–31. [Google Scholar] [CrossRef]
- Farrelly, N.; Dhubhain, A.N.; Nieuwenhuis, M. Sitka spruce site index in response to varying soil moisture and nutrients in three different climate regions in Ireland. For. Ecol. Manag. 2011, 262, 2199–2206. [Google Scholar] [CrossRef]
- Aertsen, W.; Kint, V.; de Vos, B.; Deckers, J.; van Orshoven, J.; Muys, B. Predicting forest site productivity in temperate lowland from forest floor, soil and litterfall characteristics using boosted regression trees. Plant Soil 2012, 354, 157–172. [Google Scholar] [CrossRef]
- Szwaluk, K.S.; Strong, W.L. Near-surface soil characteristics and understory plants as predictors of Pinus contorta site index in southwestern Alberta, Canada. For. Ecol. Manag. 2003, 176, 13–24. [Google Scholar] [CrossRef]
- Subedi, S.; Fox, T.R. Predicting Loblolly Pine Site Index from Soil Properties Using Partial Least-Squares Regression. For. Sci. 2016, 62, 449–456. [Google Scholar] [CrossRef]
- Aertsen, W.; Kint, V.; van Orshoven, J.; Özkan, K.; Muys, B. Comparison and ranking of different modelling techniques for prediction of site index in Mediterranean mountain forests. Ecol. Model. 2010, 221, 1119–1130. [Google Scholar] [CrossRef]
- Socha, J. Effect of topography and geology on the site index of Picea abies in the West Carpathian, Poland. Scand. J. For. Res. 2008, 23, 203–213. [Google Scholar] [CrossRef]
- Wang, G.G.; Huang, S.; Monserud, R.A.; Klos, R.J. Lodgepole pine site index in relation to synoptic measures of climate, soil moisture and soil nutrients. For. Chron. 2004, 80, 678–686. [Google Scholar] [CrossRef]
- Antón-Fernández, C.; Mola-Yudego, B.; Dalsgaard, L. Climate sensitive site index models for Norway. Can. J. For. Res. 2016, 46, 794–803. [Google Scholar] [CrossRef]
- Weiskittel, A.; Crookston, N.; Radtke, P. Linking climate, gross primary productivity, and site index across forests of the western United States. Can. J. For. Res. 2011, 41, 1710–1721. [Google Scholar] [CrossRef]
- Monserud, R.A.; Huang, S.; Yang, Y. Predicting lodgepole pine site index from climatic parameters in Alberta. For. Chron. 2006, 82, 562–571. [Google Scholar] [CrossRef]
- Bontemps, J.-D.; Bouriaud, O. Predictive approaches to forest site productivity: Recent trends, challenges and future perspectives. Forestry 2014, 87, 109–128. [Google Scholar] [CrossRef]
- Iverson, L.R.; Dale, M.E.; Scott, C.T.; Prasad, A. A GIS-derived integrated moisture index to predict forest composition and productivity of Ohio forests (U.S.A.). Landsc. Ecol. 1997, 12, 331–348. [Google Scholar] [CrossRef]
- Berrill, J.P.; O’Hara, K.L. How do biophysical factors contribute to height and basal area development in a mixed multiaged coast redwood stand? Forestry 2016, 89, 170–181. [Google Scholar] [CrossRef]
- Mitsuda, Y.; Ito, S.; Sakamoto, S. Predicting the site index of sugi plantations from GIS-derived environmental factors in Miyazaki Prefecture. J. For. Res. 2007, 12, 177–186. [Google Scholar] [CrossRef]
- Laamrani, A.; Valeria, O.; Bergeron, Y.; Fenton, N.; Cheng, L.Z.; Anyomi, K. Effects of topography and thickness of organic layer on productivity of black spruce boreal forests of the canadian clay belt region. For. Ecol. Manag. 2014, 330, 144–157. [Google Scholar] [CrossRef]
- White, B.; Ogilvie, J.; Campbell, D.M.H.; Hiltz, D.; Gauthier, B.; Chisholm, H.K.; Wen, H.K.; Murphy, P.N.C.; Arp, P.A. Using the Cartographic Depth-to-Water Index to Locate Small Streams and Associated Wet Areas across Landscapes. Can. Water Resour. J. 2012, 37, 333–347. [Google Scholar] [CrossRef]
- Murphy, P.N.C.; Ogilvie, J.; Arp, P. Topographic modelling of soil moisture conditions: A comparison and verification of two models. Eur. J. Soil Sci. 2009, 60, 94–109. [Google Scholar] [CrossRef]
- Murphy, P.N.C.; Ogilvie, J.; Meng, F.R.; White, B.; Bhatti, J.S.; Arp, P.A. Modelling and mapping topographic variations in forest soils at high resolution: A case study. Ecol. Model. 2011, 222, 2314–2332. [Google Scholar] [CrossRef]
- Ågren, A.M.; Lidberg, W.; Strömgren, M.; Ogilvie, J.; Arp, P.A. Evaluating digital terrain indices for soil wetness mapping—A Swedish case study. Hydrol. Earth Syst. Sci. Discuss. 2014, 11, 4103–4129. [Google Scholar] [CrossRef]
- Oltean, G.S.; Comeau, P.G.; White, B. Linking the Depth-to-Water Topographic Index to Soil Moisture on Boreal Forest Sites in Alberta. For. Sci. 2016, 62, 154–165. [Google Scholar] [CrossRef]
- Hiltz, D.; Gould, J.; White, B.; Ogilvie, J.; Arp, P. Modeling and mapping vegetation type by soil moisture regime across boreal landscapes. In Restoration and Reclamation of Boreal Ecosystems: Attaining Sustainable Development; Cambridge University Press: New York, NY, USA, 2012; pp. 56–75. [Google Scholar]
- Nijland, W.; Nielsen, S.E.; Coops, N.C.; Wulder, M.A.; Stenhouse, G.B. Fine-spatial scale predictions of understory species using climate- and LiDAR-derived terrain and canopy metrics. J. Appl. Remote Sens. 2014, 8, 083572. [Google Scholar] [CrossRef]
- Nijland, W.; Coops, N.C.; Macdonald, S.E.; Nielsen, S.E.; Bater, C.W.; White, B.; Ogilvie, J.; Stadt, J. Remote sensing proxies of productivity and moisture predict forest stand type and recovery rate following experimental harvest. For. Ecol. Manag. 2015, 357, 239–247. [Google Scholar] [CrossRef]
- Hennigar, C.; Weiskittel, A.; Allen, H.L.; MacLean, D.A. Development and evaluation of a biomass increment-based index for site productivity. Can. J. For. Res. 2017, 47, 400–410. [Google Scholar] [CrossRef]
- Parresol, B.R.; Scott, D.A.; Zarnoch, S.J.; Edwards, L.A.; Blake, J.I. Modeling forest site productivity using mapped geospatial attributes within a South Carolina Landscape, USA. For. Ecol. Manag. 2017, 406, 196–207. [Google Scholar] [CrossRef]
- Wang, T.; Hamann, A.; Spittlehouse, D.L.; Murdock, T.Q. ClimateWNA-high-resolution spatial climate data for western North America. J. Appl. Meteorol. Climatol. 2012, 51, 16–29. [Google Scholar] [CrossRef]
- Beckingham, J.D.; Corns, I.G.W.; Archibald, J.H. Field Guide to Ecosites of West-Central Alberta; Natural Resources Canada, Canadian Forest Service, Northern Forestry Centre: Edmonton, AB, Canada, 1996. [Google Scholar]
- SIBEC Sampling and Data Standards. Available online: https://www2.gov.bc.ca/assets/gov/environment/plants-animals-and-ecosystems/ecosystems/sibec-documents/standards.pdf (accessed on 1 March 2018).
- Huang, S.; Meng, S.X.; Yang, Y. A Growth and Yield Projection System (GYPSY) for Natural and Post-harvest Stands in Alberta. Alta. Sustain. Resour. Dev. Tech. Rep. 2009, T/216, 1–22. [Google Scholar]
- McCune, B.; Keon, D. Equations for potential annual direct incident radiation and heat load. J. Veg. Sci. 2002, 13, 603–606. [Google Scholar] [CrossRef]
- Dilts, T.E. Topography Tools for ArcGIS 10.1. Available online: http://www.arcgis.com/home/item.html?id=b13b3b40fa3c43d4a23a1a09c5fe96b9 (accessed on 1 March 2018).
- Beven, K.J.; Kirkby, M.J. A physically based, variable contributing area model of basin hydrology. Hydrol. Sci. Bull. 1979, 24, 43–69. [Google Scholar] [CrossRef]
- Weiss, A. Topographic position and landforms analysis. Poster Present. ESRI User Conf. San Diego CA 2001, 64, 227–245. [Google Scholar]
- Jenness, J. Some Thoughts on Analyzing Topographic Habitat Characteristics. Available online: http://www.jennessent.com/downloads/topographic_analysis_online.pdf (accessed on 1 March 2018).
- White, J.C.; Wulder, M.A.; Varhola, A.; Vastaranta, M.; Coops, N.C.; Cook, B.D.; Pitt, D.; Woods, M. A best practices guide for generating forest inventory attributes from airborne laser scanning data using an area-based approach. For. Chron. 2013, 89, 722–723. [Google Scholar] [CrossRef]
- Hijmans, R.; van Etten, J.; Cheng, J.; Mattiuzzi, M.; Sumner, M.; Greenberg, J.A.; Lamigueiro, O.; Bevan, A.; Racine, E.; Shortridge, A.; et al. Raster: Geographic Data Analysis and Modeling. Available online: http://cran.r-project.org/package=raster (accessed on 1 March 2018).
- Quinn, G.P.; Keough, M.J. Experimental Design and Data Analysis for Biologists; Cambridge University Press: New York, NY, USA, 2002; p. 537. [Google Scholar]
- Borcard, D.; Gillet, F.; Legendre, P. Numerical Ecology with R; Springer: New York, NY, USA, 2011; ISBN 9780387938363. [Google Scholar]
- Oksanen, J.; Blanchet, F.G.; Friendly, M.; Kindt, R.; Legendre, P.; Mcglinn, D.; Minchin, P.R.; O’hara, R.B.; Simpson, G.L.; Solymos, P.; et al. Vegan: Community Ecology Package. Available online: https://CRAN.R-project.org/package=vegan (accessed on 1 March 2018).
- The R Project for Statistical Computing. Available online: http://www.R-project.org/ (accessed on 1 March 2018).
- Brosofske, K.D.; Froese, R.E.; Falkowski, M.J.; Banskota, A. A review of methods for mapping and prediction of inventory attributes for operational forest management. For. Sci. 2014, 60, 733–756. [Google Scholar] [CrossRef]
- Wang, Y.; Raulier, F.; Ung, C.H. Evaluation of spatial predictions of site index obtained by parametric and nonparametric methods—A case study of lodgepole pine productivity. For. Ecol. Manag. 2005, 214, 201–211. [Google Scholar] [CrossRef]
- Aertsen, W.; Kint, V.; Van Orshoven, J.; Muys, B. Evaluation of modelling techniques for forest site productivity prediction in contrasting ecoregions using stochastic multicriteria acceptability analysis (SMAA). Environ. Model. Softw. 2011, 26, 929–937. [Google Scholar] [CrossRef]
- Watt, M.S.; Dash, J.P.; Bhandari, S.; Watt, P. Comparing parametric and non-parametric methods of predicting Site Index for radiata pine using combinations of data derived from environmental surfaces, satellite imagery and airborne laser scanning. For. Ecol. Manag. 2015, 357, 1–9. [Google Scholar] [CrossRef]
- Sabatia, C.O.; Burkhart, H.E. Predicting site index of plantation loblolly pine from biophysical variables. For. Ecol. Manag. 2014, 326, 142–156. [Google Scholar] [CrossRef]
- Lumley, T. Leaps: Regression Subset Selection. Available online: https://CRAN.R-project.org/package=leaps (accessed on 1 March 2018).
- Guisan, A.; Edwards, T.C.; Hastie, T. Generalized linear and generalized additive models in studies of species distributions: Setting the scene. Ecol. Model. 2002, 157, 89–100. [Google Scholar] [CrossRef]
- Wood, A.S.; Wood, M.S. Mgcv: Mixed GAM Computation Vehicle with Automatic Smoothness Estimation. Available online: https://cran.r-project.org/web/packages/mgcv/index.html (accessed on 1 March 2018).
- Zuur, A.F.; Ieno, E.N.; Walker, N.J.; Saveliev, A.A.; Smith, G.M. Mixed Effects Models and Extensions in Ecology with R; Statistics Biology Health Springer: New York, NY, USA, 2009; 579p. [Google Scholar]
- Therneau, T.; Atkinson, B.; Ripley, B.; Ripley, M.B. Rpart: Recursive Partitioning and Regression Trees. Available online: https://cran.r-project.org/web/packages/rpart/index.html (accessed on 1 March 2018).
- Maindonald, J.; Braun, W.J. Data Analysis and Graphics Using R—An Example-Based Approach, 3rd ed.; Cambridge University Press: New York, NY, USA, 2003; p. 565. [Google Scholar]
- Breiman, L. Random forests. Mach. Learn. 2001, 5–32. [Google Scholar] [CrossRef]
- Liaw, A.; Wiener, M.; Andy Liaw, M. randomForest: Breiman and Cutler’s Random Forests for Classification and Regression. Available online: http://cran.r-project.org/package=randomForest (accessed on 1 March 2018).
- Campbell, D.M.H.; White, B.; Arp, P.A. Modeling and mapping soil resistance to penetration and rutting using LiDAR-derived digital elevation data. J. Soil Water Conserv. 2013, 68, 460–473. [Google Scholar] [CrossRef]
- Oltean, G.S.; Comeau, P.G.; White, B. Carbon isotope discrimination by Picea glauca and Populus tremuloides is related to the topographic depth to water index and rainfall. Can. J. Res. 2016, 46, 1225–1233. [Google Scholar] [CrossRef]
- Ung, C.H.; Bernier, P.Y.; Raulier, F.; Fournier, R.A.; Lambert, M.C.; Régnière, J. Biophysical site indices for shade tolerant and intolerant boreal species. For. Sci. 2001, 47, 83–95. [Google Scholar]
- Chen, H.Y.; Klinka, K.; Kabzems, R.D. Site index, site quality, and foliar nutrients of trembling aspen: Relationships and predictions. Can. J. For. Res. 1998, 28, 1743–1755. [Google Scholar] [CrossRef]
- Chen, H.Y.; Krestov, P.V.; Klinka, K. Trembling aspen site index in relation to environmental measures of site quality at two spatial scales. Can. J. For. Res. 2002, 32, 112–119. [Google Scholar] [CrossRef]
- Pinno, B.D.; Paré, D.; Guindon, L.; Bélanger, N. Predicting productivity of trembling aspen in the Boreal Shield ecozone of Quebec using different sources of soil and site information. For. Ecol. Manag. 2009, 257, 782–789. [Google Scholar] [CrossRef]
- Anyomi, K.A.; Lorenzetti, F.; Bergeron, Y.; Leduc, A. Stand Dynamics, Humus Type and Water Balance Explain Aspen Long Term Productivity across Canada. Forests 2015, 6, 416–432. [Google Scholar] [CrossRef]
- Burns, R.M.; Honkala, B.H. Silvics of North America: 1. Conifers; 2. Hardwoods; United States Department of Agriculture: Washington, DC, USA, 1990; Volume 2, p. 877.
- Pinno, B.D.; Bélanger, N. Estimating trembling aspen productivity in the boreal transition ecoregion of saskatchewan using site and soil variables. Can. J. Soil Sci. 2011, 91, 661–669. [Google Scholar] [CrossRef]
- Fries, A.; Lindgren, D.; Ying, C.C.; Ruotsalainen, S.; Lindgren, K.; Elfving, B.; Karlmats, U. The effect of temperature on site index in western Canada and Scandinavia estimated from IUFRO Pinus contorta provenance experiments. Can. J. For. Res. 2000, 30, 921–929. [Google Scholar] [CrossRef]
- Wang, G.G.; Klinka, K. Use of synoptic variables in predicting white spruce site index. For. Ecol. Manag. 1996, 80, 95–105. [Google Scholar] [CrossRef]
- Wang, G.G. White spruce site index in relation to soil, understory vegetation, and foliar nutrients. Can. J. For. Res. 1995, 25, 29–38. [Google Scholar] [CrossRef]
- Nigh, G.D.; Ying, C.C.; Qian, H. Climate and Productivity of Major Conifer Species in the Interior of British Columbia, Canada. For. Sci. 2004, 50, 659–671. [Google Scholar]
- Albert, M.; Schmidt, M. Climate-sensitive modelling of site-productivity relationships for Norway spruce (Picea abies (L.) Karst.) and common beech (Fagus sylvatica L.). For. Ecol. Manag. 2010, 259, 739–749. [Google Scholar] [CrossRef]
- Anyomi, K.A.; Raulier, F.; Bergeron, Y.; Mailly, D. The predominance of stand composition and structure over direct climatic and site effects in explaining aspen (Populus tremuloides Michaux) site index within boreal and temperate forests of western Quebec, Canada. For. Ecol. Manag. 2013, 302, 390–403. [Google Scholar] [CrossRef]
- Aertsen, W.; Kint, V.; Muys, B.; Van Orshoven, J. Effects of scale and scaling in predictive modelling of forest site productivity. Environ. Model. Softw. 2012, 31, 19–27. [Google Scholar] [CrossRef]
- Latta, G.; Temesgen, H.; Barrett, T.M. Mapping and imputing potential productivity of Pacific Northwest forests using climate variables. Can. J. For. Res. 2009, 39, 1197–1207. [Google Scholar] [CrossRef]
- Zald, H.S.J.; Spies, T.A.; Seidl, R.; Pabst, R.J.; Olsen, K.A.; Steel, E.A. Complex mountain terrain and disturbance history drive variation in forest aboveground live carbon density in the western Oregon Cascades, USA. For. Ecol. Manag. 2016, 366, 193–207. [Google Scholar] [CrossRef] [PubMed]
- McKenney, D.W.; Pedlar, J.H. Spatial models of site index based on climate and soil properties for two boreal tree species in Ontario, Canada. For. Ecol. Manag. 2003, 175, 497–507. [Google Scholar] [CrossRef]
- Weiskittel, A.R.; Hann, D.W.; Kershaw, J.; Vanclay, J.K. Forest Growth and Yield Modeling; John Wiley & Sons: Hoboken, NJ, USA, 2011. [Google Scholar]
- Latutrie, M.; Mérian, P.; Picq, S.; Bergeron, Y.; Tremblay, F. The effects of genetic diversity, climate and defoliation events on trembling aspen growth performance across Canada. Tree Genet. Genomes 2015, 11, 96. [Google Scholar] [CrossRef]







| Trembling Aspen (n = 97) | Lodgepole Pine (n = 50) | White Spruce (n = 45) | Trembling Aspen (n = 97) | Lodgepole Pine (n = 50) | White Spruce (n = 45) | ||||
|---|---|---|---|---|---|---|---|---|---|
| Variable | Abbrev. | Mean (S.D.) | Mean (S.D.) | Mean (S.D.) | Variable | Abbrev. | Mean (S.D.) | Mean (S.D.) | Mean (S.D.) | 
| Map-based (remote sensing) variables | Field survey-based (ground-based) variables | ||||||||
| Depth-to-water at 0.5 ha CA (m) | DTW_0.5 | 4.51 (5.76) | 1.00 (1.13) | 1.97 (2.08) | Site Index (base 50 years) | SI | 20.97 (2.78) | 14.93 (3.02) | 17.40 (2.67) | 
| Depth-to-water at 1 ha CA (m) | DTW_1 | 5.80 (7.65) | 1.14 (1.33) | 2.35 (2.47) | Soil organic thickness (cm) | SOT | 45.6 (0.7) | 43.4 (3.0) | 83.2 (13.8) | 
| Depth-to-water at 2 ha CA (m) | DTW_2 | 7.47 (8.97) | 1.22 (1.47) | 2.67 (2.66) | Coarse fragments (%) | CF | 10.8 (5.3) | 11.8 (14.0) | 15.9 (10.7) | 
| Depth-to-water at 4 ha CA (m) | DTW_4 | 10.01 (10.78) | 1.56 (1.85) | 2.82 (2.82) | Humus form | HUM | 7.1 (13.0) | 11.1 (15.2) | 5.4 (12.7) | 
| Depth-to-water at 6 ha CA (m) | DTW_6 | 11.35 (11.92) | 1.86 (2.31) | 3.28 (3.29) | Texture | TEXT | 8.01 (1.96) | 7.92 (1.70) | 8.93 (1.60) | 
| Depth-to-water at 10 ha CA (m) | DTW_10 | 12.68 (12.57) | 1.96 (2.37) | 3.51 (3.33) | Effective texture class | ETEXT | 3.69 (0.68) | 3.76 (0.59) | 3.82 (0.44) | 
| Flow accumulation | FA | 15.7 * (169.1) | 12.3 * (393.2) | 42.7 * (21,994.9) | Drainage | DRN | 3.57 (0.90) | 3.58 (1.05) | 3.89 (1.13) | 
| Altitude (m) | ALT | 810.9 (38.5) | 840.6 (42.9) | 802.3 (43.1) | Soil moisture regime | SMR | 4.97 (0.73) | 4.98 (0.94) | 5.44 (0.84) | 
| Aspect index N-S folded | AI0 | 95.1 (37.5) | 96.7 (34.1) | 84.4 (41.5) | Soil nutrient regime | SNR | 3.14 (0.58) | 2.48 (0.58) | 3.47 (0.55) | 
| Aspect index NE-SW folded | AI45 | 88.9 (40.2) | 86.0 (36.7) | 72.0 (40.1) | Altitude (m) | ALTT | 797.2 (38.2) | 824.5 (42.8) | 786.5 (43.5) | 
| Slope (%) | SLO | 18.1 (13.5) | 4.5 (9.8) | 16.2 (9.0) | Aspect index N-S folded | AI0K | 96.5 (49.1) | 50.0 (104.0) | 92.2 (50.7) | 
| Mean curvature | MCUR | 0.9 (1.64) | 0.64 (0.84) | 0.14 (1.25) | Aspect index NE-SW folded | AI45K | 86.1 (52.8) | 89.9 (53.7) | 80.3 (56.0) | 
| Profile curvature | PRCUR | −0.59 (1.10) | −0.39 (0.46) | 0.06 (0.84) | Slope (%) | SLOV | 18.5 (17.6) | 9.6 (6.3) | 15.8 (11.9) | 
| Plan curvature | PLCUR | 0.30 (0.68) | 0.25 (0.49) | 0.20 (0.79) | Slope Position | SPI | 4.12 (1.36) | 4.2 (1.48) | 3.47 (1.16) | 
| Topographic Wetness Index | TWI | 70.1 * (2288.9) | 97.7 * (2704.8) | 69.5 * (529.5) | |||||
| Slope Position Index (15 m) | SPI15 | 3.90 (1.13) | 3.32 (1.25) | 3.51 (1.20) | |||||
| Slope Position Index (20 m) | SPI20 | 4.12 (1.33) | 3.38 (1.32) | 3.56 (1.29) | |||||
| Species | Data Source | Mod. Method | No. Par. | Variables | RMSE (m) | rRMSE (%) | Variance Explained | AIC | BIC | 
|---|---|---|---|---|---|---|---|---|---|
| Aspen | RS | MLR | 5 | DTW_1, FA, ALT, AI45, PLCUR | 1.63 | 7.77 | 0.64 | 104.8 | 117.7 | 
| GAM | 4 | DTW_1, FA, AI45, SPI20 | 1.54 | 7.34 | 0.66 | 91.8 | 102.1 | ||
| RT | 5 | DTW_1, FA, ALT, SLO, PLCUR | 1.47 | 7.01 | 0.70 | 84.7 | 97.6 | ||
| RF | 3 | DTW_1, FA, SPI20 | 1.74 | 8.30 | 0.59 | 113.5 | 121.2 | ||
| WAM | MLR | 2 | DTW_1, FA | 1.91 | 9.11 | 0.51 | 129.5 | 134.7 | |
| GAM | 2 | DTW_1, FA | 1.70 | 8.11 | 0.60 | 106.9 | 112.1 | ||
| RT | 2 | DTW_1, FA | 1.55 | 7.39 | 0.68 | 89.0 | 94.2 | ||
| RF | 2 | DTW_1, FA | 1.82 | 8.68 | 0.56 | 120.2 | 125.3 | ||
| GB | MLR | 5 | SNR, ALTT, AI45K, SLOV, SP | 1.59 | 7.58 | 0.65 | 100.0 | 117.4 | |
| GAM | 5 | SNR, ALTT, AI45K, SLOV, SP | 1.59 | 7.58 | 0.65 | 100.0 | 112.8 | ||
| RT | 4 | ALTT, AI45K, SLOV, SP | 1.65 | 7.87 | 0.63 | 105.2 | 115.4 | ||
| RF | 4 | SMR, ALTT, SLOV, SP | 1.83 | 8.73 | 0.55 | 125.2 | 135.5 | ||
| L. pine | RS | MLR | 2 | DTW_2, ALT | 1.54 | 10.31 | 0.72 | 47.2 | 51.0 | 
| GAM | 2 | DTW_2, ALT | 1.59 | 10.65 | 0.69 | 50.4 | 54.2 | ||
| RT | 2 | DTW_2, ALT | 1.52 | 10.18 | 0.73 | 45.9 | 49.7 | ||
| RF | 3 | DTW_2, ALT, SLO | 1.77 | 11.86 | 0.63 | 63.1 | 68.8 | ||
| WAM | MLR | 2 | DTW_2, FA | 1.73 | 11.59 | 0.65 | 58.8 | 62.6 | |
| GAM | 2 | DTW_2, FA | 1.80 | 12.06 | 0.60 | 62.8 | 66.6 | ||
| RT | 1 | DTW_2 | 1.77 | 11.86 | 0.65 | 59.1 | 64.9 | ||
| RF | 2 | DTW_2, FA | 2.26 | 15.14 | 0.42 | 85.5 | 89.4 | ||
| GB | MLR | 3 | SNR, ALTT, SP | 1.69 | 11.32 | 0.66 | 58.5 | 64.2 | |
| GAM | 3 | SNR, ALTT, SP | 1.68 | 11.25 | 0.66 | 57.9 | 63.6 | ||
| RT | 3 | SNR, ALTT, SP | 1.71 | 11.45 | 0.66 | 59.6 | 65.4 | ||
| RF | 4 | SNR, ALTT, SLOV, SP | 1.73 | 11.59 | 0.64 | 62.8 | 70.5 | ||
| W. spruce | RS | MLR | 2 | DTW_10, FA | 2.01 | 11.55 | 0.39 | 66.8 | 70.4 | 
| GAM | 2 | DTW_10, FA | 2.06 | 11.84 | 0.34 | 69.0 | 72.7 | ||
| RT | 3 | DTW_10, ALT, SPI20 | 1.91 | 10.98 | 0.44 | 64.2 | 69.7 | ||
| RF | 3 | DTW_10, FA, ALT | 2.14 | 12.30 | 0.31 | 74.5 | 79.9 | ||
| WAM | MLR | 2 | DTW_10, FA | 2.01 | 11.55 | 0.39 | 66.8 | 70.4 | |
| GAM | 2 | DTW_10, FA | 2.06 | 11.84 | 0.34 | 69.0 | 72.6 | ||
| RT | 2 | DTW_10, FA | 1.90 | 10.92 | 0.47 | 61.8 | 65.4 | ||
| RF | 2 | DTW_10, FA | 2.33 | 13.39 | 0.20 | 80.1 | 83.7 | ||
| GB | MLR | 2 | HUM, DRN | 1.84 | 10.57 | 0.49 | 58.9 | 62.5 | |
| GAM | 2 | HUM, DRN | 1.82 | 10.46 | 0.50 | 57.9 | 61.5 | ||
| RT | 2 | HUM, DRN | 1.91 | 10.98 | 0.46 | 62.2 | 65.9 | ||
| RF | 2 | HUM, DRN | 2.03 | 11.67 | 0.39 | 67.7 | 71.3 | 
© 2018 by the authors. Licensee MDPI, Basel, Switzerland. This article is an open access article distributed under the terms and conditions of the Creative Commons Attribution (CC BY) license (http://creativecommons.org/licenses/by/4.0/).
Share and Cite
Bjelanovic, I.; Comeau, P.G.; White, B. High Resolution Site Index Prediction in Boreal Forests Using Topographic and Wet Areas Mapping Attributes. Forests 2018, 9, 113. https://doi.org/10.3390/f9030113
Bjelanovic I, Comeau PG, White B. High Resolution Site Index Prediction in Boreal Forests Using Topographic and Wet Areas Mapping Attributes. Forests. 2018; 9(3):113. https://doi.org/10.3390/f9030113
Chicago/Turabian StyleBjelanovic, Ivan, Philip G. Comeau, and Barry White. 2018. "High Resolution Site Index Prediction in Boreal Forests Using Topographic and Wet Areas Mapping Attributes" Forests 9, no. 3: 113. https://doi.org/10.3390/f9030113
APA StyleBjelanovic, I., Comeau, P. G., & White, B. (2018). High Resolution Site Index Prediction in Boreal Forests Using Topographic and Wet Areas Mapping Attributes. Forests, 9(3), 113. https://doi.org/10.3390/f9030113
 
        


 
       