- Article
Aligning Tourist Demand with Urban Forest Ecosystem Services: Sustainable Development Strategies for Enhancing Urban Tourism Resilience in Kunming
- Xing Zhang,
- Jinglun Zhang,
- Zihao Cao,
- Jing Wang,
- Jasni Dolah and
- Xiaoou Mao
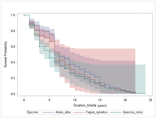
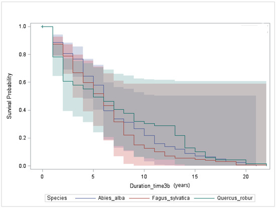
With the increasing importance of urban green spaces in leisure, ecology, emergency management, and other functions, urban forest parks play a key role in enhancing urban tourism resilience. Tourists are closely related to this, but current research...

