Next Issue
Volume 61, December
Previous Issue
Volume 61, October
 
 
medicina-logo

Journal Browser

Journal Browser

Medicina, Volume 61, Issue 11 (November 2025) – 185 articles

Cover Story (view full-size image): SGLT2 inhibitors, initially developed for diabetes, demonstrate broad benefits beyond glycemic control. They significantly reduce cardiovascular death, heart failure hospitalizations, and chronic kidney disease progression, regardless of diabetes status. Mechanisms include natriuresis, improved mitochondrial function, anti-inflammatory/antifibrotic effects, and enhanced vascular health. Major trials (EMPA-REG, DAPA-HF, CREDENCE, etc.) and real-world data confirm efficacy across heart failure (all ejection fractions), CKD, and metabolic disorders. Guidelines now strongly recommend SGLT2is. They show promise in combination therapies (e.g., with GLP-1 RAs, MRAs) and represent a cornerstone, multi-organ protective strategy for the interconnected cardio–renal–metabolic syndrome, heralding a new therapeutic era. View this paper
  • Issues are regarded as officially published after their release is announced to the table of contents alert mailing list.
  • You may sign up for e-mail alerts to receive table of contents of newly released issues.
  • PDF is the official format for papers published in both, html and pdf forms. To view the papers in pdf format, click on the "PDF Full-text" link, and use the free Adobe Reader to open them.
Order results
Result details
Section
Select all
Export citation of selected articles as:
19 pages, 563 KB  
Review
Gonadal Function and Reproductive Health Challenges in Triple a Syndrome: A Narrative Review
by Ana Gheorghe-Milea and Carmen Emanuela Georgescu
Medicina 2025, 61(11), 2073; https://doi.org/10.3390/medicina61112073 - 20 Nov 2025
Viewed by 292
Abstract
Background and Objectives: Triple A syndrome (TAS) is a rare autosomal recessive disorder characterized by the triad of adrenocorticotropic hormone (ACTH)-resistant adrenal insufficiency, alacrimia (absence of tear production), and achalasia. This article aims to provide a better understanding of gonadal function and reproductive [...] Read more.
Background and Objectives: Triple A syndrome (TAS) is a rare autosomal recessive disorder characterized by the triad of adrenocorticotropic hormone (ACTH)-resistant adrenal insufficiency, alacrimia (absence of tear production), and achalasia. This article aims to provide a better understanding of gonadal function and reproductive health in TAS by summarizing existing data from the literature regarding this topic. Materials and Methods: A comprehensive literature review was carried out until September 2025, using four electronic databases (PubMed, Embase, Web of Science and Scopus). Results: The review included a total of 25 articles. The most frequent findings in the articles included in the review were erectile dysfunction, ejaculatory dysfunction, delayed puberty, hypogonadism and fertility issues. Furthermore, several studies revealed reduced adrenal androgen levels in male patients, while other case reports documented the presence of osteoporosis in individuals with TAS. Conclusions: Gonadal dysfunction and reproductive health challenges in TAS remain underexplored aspects. The multisystemic nature of TAS requires a comprehensive approach to patient care for optimizing quality of life, and this review underscores the importance of evaluating reproductive function in individuals with this rare syndrome. Full article
Show Figures

Figure 1

17 pages, 1030 KB  
Review
Current Trends in the Treatment of Cervical Pregnancy: A Narrative Review
by Nikoleta Stoyanova, Angel Yordanov and Nikola Popovski
Medicina 2025, 61(11), 2072; https://doi.org/10.3390/medicina61112072 - 20 Nov 2025
Viewed by 787
Abstract
Background and Objective: Cervical pregnancy, as a rare type of ectopic pregnancy, can lead to life-threatening complications. Early diagnosis is crucial for optimal management and fertility-sparing strategies. However, despite advances in imaging and early detection, standardized guidelines for management are still lacking. [...] Read more.
Background and Objective: Cervical pregnancy, as a rare type of ectopic pregnancy, can lead to life-threatening complications. Early diagnosis is crucial for optimal management and fertility-sparing strategies. However, despite advances in imaging and early detection, standardized guidelines for management are still lacking. Materials and Methods: This narrative review is based on the collection of case reports of CEP, published in PubMed and Google Scholar in the period 1984–2025. We also included heterotopic cervical pregnancy as it poses even greater challenge to the clinicians. Results: Twenty-two articles reporting a total of twenty-four case reports specifically focus on different management techniques and their corresponding success rates. Currently, there is no consensus regarding the optimal management of this type of ectopic pregnancy, and therapeutic decisions are largely influenced by the clinical presentation, available resources, and the expertise of the treating clinicians and institutions. Conclusions: Conservative approaches should be prioritized as first-line therapy in hemodynamically stable patients where fertility preservation is desired. Minimally invasive procedures may be considered as second-line options following failure of conservative management. Hysterectomy remains the last resort for patients with refractory disease or life-threatening hemorrhage. The proposed algorithm provides an expert-based framework for the management of cervical ectopic pregnancy, emphasizing hemodynamic stability, β-hCG levels, and fertility preservation as key determinants of treatment selection. Full article
(This article belongs to the Section Obstetrics and Gynecology)
Show Figures

Figure 1

13 pages, 329 KB  
Opinion
The Self-Identification Program (SIP): A Clinically Implemented Third-Wave CBT Deepening Dysfunctional Self-Identification in Mood Disorders
by Martin Leurent and Déborah Ducasse
Medicina 2025, 61(11), 2071; https://doi.org/10.3390/medicina61112071 - 20 Nov 2025
Viewed by 437
Abstract
Third-wave cognitive-behavioral therapies (CBT3) have progressively shifted the focus of psychotherapy from symptom reduction to process-based and transdiagnostic mechanisms of change, emphasizing self-identification as a core dimension. Within this evolution, the Self-Identification Program (SIP) represents a conceptual and clinical advancement particularly relevant to [...] Read more.
Third-wave cognitive-behavioral therapies (CBT3) have progressively shifted the focus of psychotherapy from symptom reduction to process-based and transdiagnostic mechanisms of change, emphasizing self-identification as a core dimension. Within this evolution, the Self-Identification Program (SIP) represents a conceptual and clinical advancement particularly relevant to mood disorders, where maladaptive self-identification, rumination, and self-judgment play central roles. SIP directly targets dysfunctional self-identification—the reification of transient and maladaptive mental contents as defining features of a self—through a framework integrating the three levels of CBT3: mindfulness (CBT3.1), loving/kindness and compassion (CBT3.2), and deconstructive insight into the nature of a self (CBT3.3). Theoretically, SIP aligns with dimensional psychiatry (AMPD, HiTOP, RDoC) and recent advances in behavioral linguistics (Relational Frame Theory) and psychotherapy (Process-Based Behavioral Therapy). By integrating linguistic, affective, and neuroscientific perspectives, SIP bridges contextual behavioral science and contemplative practice, offering a unified, process-based model of identity transformation. Clinically, SIP extends CBT3 beyond mindfulness and loving/kindness and/or compassion training to specifically address the mechanism by which self-identification becomes a source of suffering—namely, the mistaken identification with an independent and permanent self. In doing so, SIP provides a novel, mechanistically grounded pathway toward enduring change in depressive and bipolar spectrum disorders. Full article
10 pages, 636 KB  
Article
Effects of Immunomodulatory Therapy on the Skin Barrier Function in Patients with Psoriasis Vulgaris
by Anete Mālkalne, Vanda Bondare-Ansberga, Ilona Hartmane, Ingmārs Mikažāns and Lelde Reinberga
Medicina 2025, 61(11), 2070; https://doi.org/10.3390/medicina61112070 - 20 Nov 2025
Viewed by 297
Abstract
Background and Objectives: Psoriasis vulgaris features epidermal barrier dysfunction. Materials and Methods: Barrier function changes were prospectively evaluated over 12 weeks during TNF-α inhibition with adalimumab, along with concurrent changes in disease severity and quality of life. Adults with moderate-to-severe plaque [...] Read more.
Background and Objectives: Psoriasis vulgaris features epidermal barrier dysfunction. Materials and Methods: Barrier function changes were prospectively evaluated over 12 weeks during TNF-α inhibition with adalimumab, along with concurrent changes in disease severity and quality of life. Adults with moderate-to-severe plaque psoriasis initiating adalimumab (80 mg loading on day 1; 40 mg every other week thereafter, starting day 8) underwent assessments at baseline and at week 12 (n = 9; mean age 44.1 ± 14.9 years, range 20–61). Transepidermal water loss (TEWL; g/m2/h) and skin pH were measured at the elbow, lower leg, abdomen, back, and scalp; PASI, BSA, and DLQI were recorded. The measurements were standardized, though room temperature/humidity were not identical between visits. Results: The clinical indices improved markedly and TEWL also decreased at all sites—the elbow, lower leg, abdomen, back, and scalp—indicating barrier recovery; in contrast, the pH remained within a mildly acidic range at all sites. Lesion-to-non-lesion conversion occurred, and no site worsened. Conclusions: In summary, 12 weeks of adalimumab were associated with a notable clinical improvement and consistent, site-spanning reductions in TEWL, whereas skin surface pH showed no material change. TEWL appears to be a sensitive objective adjunct to clinical indices for monitoring response. Full article
(This article belongs to the Special Issue Psoriasis and Related Conditions: Recent Advances and Controversies)
Show Figures

Figure 1

14 pages, 3172 KB  
Article
Lumbar Interlaminar Ventral Epidural Injection Without Catheter at L5–S1 for Lumbosacral Radicular Pain: A Pilot Feasibility Study
by Jiho Park, Seounghun Lee, Sunyeul Lee, ChaeSeong Lim and Yeojung Kim
Medicina 2025, 61(11), 2069; https://doi.org/10.3390/medicina61112069 - 20 Nov 2025
Viewed by 249
Abstract
Background and Objectives: Lumbar interlaminar ventral epidural injection (LIVEI) offers a promising alternative to transforaminal epidural injection (TFEI) by enabling ventral epidural delivery while minimizing complication risks. While previous approaches often required catheter assistance, this pilot study evaluates the safety, technical feasibility, and [...] Read more.
Background and Objectives: Lumbar interlaminar ventral epidural injection (LIVEI) offers a promising alternative to transforaminal epidural injection (TFEI) by enabling ventral epidural delivery while minimizing complication risks. While previous approaches often required catheter assistance, this pilot study evaluates the safety, technical feasibility, and early outcomes of a simplified LIVEI method at L5–S1 without catheter insertion. Materials and Methods: Twelve patients with lumbosacral radicular pain received unilateral catheter-free LIVEI at L5–S1 between October 2021 and September 2022. This small retrospective pilot cohort did not include a control group. Contrast spread patterns were evaluated fluoroscopically based on AP and lateral views. Spread was classified into three grades depending on anterior epidural distribution, cranio-caudal extent, and foraminal involvement. Visual Analog Scale (VAS) scores were assessed before and two weeks after the procedure. Spread was classified into three grades depending on anterior epidural distribution, cranio-caudal extent, and foraminal involvement. Results: Fluoroscopic images confirmed ventral epidural spread in all patients, with 75% showing foraminal extension and 67% demonstrating cranio-caudal spread over two or more levels. Baseline VAS scores averaged 6.5 ± 1.0, decreasing to 3.42 ± 1.31 two weeks post-procedure (p < 0.0001), with a mean reduction of 3.08 ± 1.00. No adverse events or complications were observed. Conclusions: Catheter-free LIVEI at the L5–S1 level demonstrated consistent anterior and multi-level ventral epidural contrast distribution on fluoroscopy, supporting the technical feasibility of this approach. In addition to this radiographic validation, patients achieved clinically meaningful pain relief with excellent tolerability. Further confirmation through larger-scale controlled studies is warranted to validate long-term clinical effectiveness. Full article
(This article belongs to the Special Issue Anesthesiology, Resuscitation, and Pain Management)
Show Figures

Figure 1

11 pages, 792 KB  
Article
Elderly Men with De Novo Metastatic Castration-Sensitive Prostate Cancer: Therapy and Does Comorbidity Matter
by Ugur Ozberk, Selin Akturk Esen, Alican Uguz, Efnan Algın, Oznur Bal, Bulent Akıncı and Dogan Uncu
Medicina 2025, 61(11), 2068; https://doi.org/10.3390/medicina61112068 - 20 Nov 2025
Viewed by 339
Abstract
Background and Objectives: Prostate cancer (PC) is largely a disease of elderly men, and de novo metastatic presentations are increasingly reported in this population. Yet older patients remain underrepresented in clinical trials, limiting the applicability of guideline-based treatments. Materials and Methods: We [...] Read more.
Background and Objectives: Prostate cancer (PC) is largely a disease of elderly men, and de novo metastatic presentations are increasingly reported in this population. Yet older patients remain underrepresented in clinical trials, limiting the applicability of guideline-based treatments. Materials and Methods: We retrospectively analyzed 90 patients aged ≥75 years with de novo metastatic castration-sensitive PC (mCSPC) to describe clinical features, treatment patterns, and survival outcomes. Results: Median age was 81 years; high-volume disease and Gleason grade 9–10 tumors predominated. A substantial portion of patients received androgen deprivation therapy (ADT) alone or with bicalutamide despite recommendations for intensified therapy. Enzalutamide was associated with the longest median progression-free survival (PFS, 25.4 months) and overall survival (OS, 30.5 months), though between-group differences were not significant. Castration resistance occurred only in the high-volume group (22.4%). Absence of hypertension was associated with a lower risk of progression (HR 0.46, 95% CI 0.23–0.92, p = 0.028). Conclusions: Elderly patients with de novo mCSPC often have aggressive forms of the disease. Enzalutamide was associated with numerically longer survival compared to other treatments, although the difference was not statistically significant. Additionally, the absence of hypertension appeared to be linked with a lower risk of progression, suggesting that comorbid conditions such as hypertension may influence treatment outcomes in elderly patients. Full article
(This article belongs to the Section Oncology)
Show Figures

Figure 1

11 pages, 583 KB  
Article
Impact of Distributing Test Result Reports for Chronic Viral Hepatitis on Awareness of Hepatitis Testing Among Non-Specialist Physicians
by Jun Itakura, Yutaka Ito, Takashi Suzuki, Yukiko Aoki, Kaori Takamura, Kenji Yajima, Rie Miyahara, Hiroyuki Uetake and Yasuhiro Otomo
Medicina 2025, 61(11), 2067; https://doi.org/10.3390/medicina61112067 - 20 Nov 2025
Viewed by 270
Abstract
Background and Objectives: Patients who undergo hepatitis virus testing may remain unaware of their results in the absence of clinician feedback, particularly from non-specialists. To address this issue, we introduced patient-directed test result reports and evaluated their effectiveness in promoting physician responses among [...] Read more.
Background and Objectives: Patients who undergo hepatitis virus testing may remain unaware of their results in the absence of clinician feedback, particularly from non-specialists. To address this issue, we introduced patient-directed test result reports and evaluated their effectiveness in promoting physician responses among non-specialists. Materials and Methods: Distribution of hepatitis virus test result reports began on 22 August 2022 at the National Hospital Organization Disaster Medical Center in Japan. The study included all patients who underwent hepatitis testing, excluding those whose tests were ordered by gastroenterologists or screening physicians. The numbers of tests performed and reports distributed were obtained from electronic medical records. Results: Between August 2022 and August 2025, 30,700 patients underwent hepatitis B surface antigen (HBsAg) and/or hepatitis C virus antibody (HCV-Ab) testing, and 11,797 individuals received test result reports. In the most recent one-year period (September 2024–August 2025), the report distribution rate was 49.7%, unaffected by test positivity. Compared with the year before report implementation, the referral rates to gastroenterologists increased significantly for both HBsAg-positive (11.4% to 34.5%) and HCV-Ab-positive cases (7.7% to 25.2%; p < 0.01). Documentation of test results and confirmation of clinical cure or ongoing treatment by the ordering physician both improved. Cases without physician response decreased markedly (from 61.4% to 23.6% in HBsAg-positive patients and from 59.3% to 24.5% in HCV-Ab-positive patients; p < 0.01 for both). Conclusions: Distribution of dedicated hepatitis virus test result reports improved awareness among non-specialist physicians and contributed to better management of test-positive patients. Full article
(This article belongs to the Section Epidemiology & Public Health)
Show Figures

Graphical abstract

14 pages, 444 KB  
Article
Prevalence, Clinical, and Immunological Features of Familial Type 1 Diabetes Among Children and Adolescents: A Retrospective Study from Saudi Arabia
by Raed Abutaleb, Saeed Yafei, Abdulrahman Hummadi, Yahia Solan, Abdullah Khawaji, Mohammed Hakami, Ali Jaber Alhagawy, Amer Al Ali, Morghema Adawi, Azizah Makrami, Fatima Bahsan, Molouk Mashhour, Lina Khardaly, Dalia Zahrani, Raga Johar and Nouf Algohani
Medicina 2025, 61(11), 2066; https://doi.org/10.3390/medicina61112066 - 20 Nov 2025
Viewed by 995
Abstract
Background and Objectives: Familial type 1 diabetes (FT1D) represents a distinct subgroup of T1D potentially influenced by shared genetic and environmental factors. Data from Middle Eastern populations—where both T1D incidence and consanguinity are high—remain limited. This study aimed to determine the prevalence [...] Read more.
Background and Objectives: Familial type 1 diabetes (FT1D) represents a distinct subgroup of T1D potentially influenced by shared genetic and environmental factors. Data from Middle Eastern populations—where both T1D incidence and consanguinity are high—remain limited. This study aimed to determine the prevalence of FT1D and to compare the clinical, metabolic, and immunological features of FT1D with non-familial T1D (NFT1D) among children and adolescents in Saudi Arabia. Materials and Methods: A retrospective analytic study was conducted among 987 individuals diagnosed with T1D before 18 years of age and followed at the Jazan Endocrinology and Diabetes Center between 2015 and 2023. Participants were categorized as FT1D if they had at least one affected first-degree relative. Demographic, clinical, and biochemical data—including autoantibody profiles, associated autoimmune diseases, glycemic indices, and acute complications—were compared. Multivariate regression analyses were performed to assess independent associations after adjustment for age at diagnosis, sex, and parental consanguinity. Results: FT1D accounted for 19.5% of all T1D cases, with siblings being the most affected relatives (11.3%). FT1D patients were diagnosed at a younger age (8.2 ± 3.4 y vs. 9.3 ± 3.7 y; p = 0.001), had lower HbA1c (10.7 ± 1.5 vs. 12.0 ± 1.5; p < 0.001), less DKA at presentation (33.9% vs. 49.7%; p < 0.001), and fewer ICU admissions (13.5% vs. 20.8%; p = 0.023). In adjusted models, FT1D remained independently associated with lower odds of DKA (OR = 0.54, 95% CI 0.39–0.76, p < 0.001) and ICU admission (OR = 0.58, 95% CI 0.37–0.92, p = 0.019), and with higher odds of extra-pancreatic autoantibody positivity (OR = 1.78, 95% CI 1.21–2.61, p = 0.003) and anti-tissue transglutaminase antibodies (OR = 1.64, 95% CI 1.05–2.56, p = 0.031). Conclusions: FT1D constitutes a considerable proportion of pediatric T1D in Saudi Arabia and is characterized by earlier onset, milder metabolic decompensation at diagnosis, higher consanguinity, and higher likelihood of associated extra-pancreatic autoimmune diseases. Despite these differences, short-term glycemic outcomes remain similar to non-familial cases. These findings emphasize the need for family-based screening, genetic counseling, and early detection programs in high-risk populations. Full article
(This article belongs to the Section Endocrinology)
Show Figures

Figure 1

13 pages, 983 KB  
Article
Adipokines as Prognostic Biomarkers in Multiple Myeloma: A Case–Control Study
by Nóra Obajed Al-Ali, Dóra Csige, László Imre Pinczés, Katalin Farkas, István Rebenku, Andrea Domján, György Panyi, Zoltán Szekanecz, Gabriella Szűcs, Árpád Illés and László Váróczy
Medicina 2025, 61(11), 2065; https://doi.org/10.3390/medicina61112065 - 20 Nov 2025
Viewed by 291
Abstract
Background and Objectives: Multiple myeloma (MM) remains an incurable plasma cell malignancy with heterogeneous clinical outcomes. Although current prognostic systems integrate biochemical and cytogenetic parameters, they do not fully capture disease complexity. Adipocytes within the bone marrow microenvironment secrete adipokines that regulate inflammation, [...] Read more.
Background and Objectives: Multiple myeloma (MM) remains an incurable plasma cell malignancy with heterogeneous clinical outcomes. Although current prognostic systems integrate biochemical and cytogenetic parameters, they do not fully capture disease complexity. Adipocytes within the bone marrow microenvironment secrete adipokines that regulate inflammation, metabolism, and immune interactions and may influence disease progression. This study aimed to assess circulating adipokines and related microenvironmental mediators as potential biomarkers of disease activity and treatment response in MM. Materials and Methods: In this case–control, cross-sectional study, the serum levels of eight adipokine-related molecules—adiponectin, leptin, resistin, chemerin, adipsin, thrombospondin-1 (TSP-1), paraoxonase-1 (PON-1), and myeloperoxidase (MPO)—were measured in 40 MM patients and 38 age- and sex-matched healthy controls. Enzyme-linked immunosorbent assays (ELISA) and bead-based multiplex immunoassays were used. Associations with prognostic markers (serum β2-microglobulin (sB2M), LDH, albumin, hemoglobin, renal function) and treatment response were analyzed using correlation and non-parametric statistical methods. Results: Compared to the controls, MM patients exhibited significantly higher circulating levels of adiponectin, resistin, chemerin, adipsin, TSP-1, and MPO, while leptin was decreased. Among clinical correlations, chemerin and PON-1 correlated positively with sB2M, TSP-1 correlated with LDH, and MPO correlated with M-protein and albumin. Resistin was lower in patients with renal impairment and an advanced disease stage. Adiponectin and TSP-1 were significantly lower in progressive disease compared to complete remission, suggesting their potential association with treatment response. Conclusions: This study demonstrates that multiple adipokines are dysregulated in MM and exhibit distinct associations with disease burden, renal function, and therapeutic response. Novel associations identified for TSP-1, PON-1, and adipsin highlight previously unrecognized microenvironmental pathways in MM biology. Adipokine profiling may complement established prognostic markers and provide new insights into the tumour microenvironment in MM. Full article
(This article belongs to the Special Issue Hematologic Malignancies: Diagnosis, Prognosis and Management)
Show Figures

Figure 1

16 pages, 11850 KB  
Review
Checkpoint Inhibitor Pneumonitis: Key Insights for Pulmonologists
by Candela Serra, Mariana Benegas, Xavier Alsina-Restoy, Nuria Roger-Casals and Fernanda Hernández-González
Medicina 2025, 61(11), 2064; https://doi.org/10.3390/medicina61112064 - 19 Nov 2025
Viewed by 528
Abstract
Immune checkpoint inhibitors (ICIs) have transformed cancer therapy, offering significant efficacy and a generally favorable safety profile. However, they are associated with a spectrum of immune-related adverse events (irAEs), among which pneumonitis stands out due to its relatively high mortality. This condition is [...] Read more.
Immune checkpoint inhibitors (ICIs) have transformed cancer therapy, offering significant efficacy and a generally favorable safety profile. However, they are associated with a spectrum of immune-related adverse events (irAEs), among which pneumonitis stands out due to its relatively high mortality. This condition is characterized by nonspecific clinical manifestations and a broad differential diagnosis, often requiring the involvement of pulmonologists for accurate diagnosis and management. Given its potential severity, it is crucial for pulmonologists to be well-versed in recognizing and addressing checkpoint inhibitor pneumonitis (CIP). In this narrative review, we examine reported cases of pneumonitis in patients with various types of cancer treated with ICIs. The article explores the mechanisms of action of ICIs, the underlying pathophysiology of pneumonitis, associated risk factors, clinical presentation, diagnostic approaches, and current treatment strategies, intended to support pulmonologists in improving early detection and implementing evidence-based management of this potentially life-threatening complication. Full article
(This article belongs to the Special Issue Advances in Interstitial Lung Diseases: From Diagnosis to Treatment)
Show Figures

Figure 1

24 pages, 1067 KB  
Article
Early Rehabilitation Versus Conventional Approaches in Post-Traumatic Hand Injuries with Multiple Lesions: Clinical Outcomes and Future Directions
by Adriana Serban, Andreea Grosu-Bularda, Eliza-Maria Bordeanu-Diaconescu, Georgiana-Ozana Tache and Marius Stoica
Medicina 2025, 61(11), 2063; https://doi.org/10.3390/medicina61112063 - 19 Nov 2025
Viewed by 515
Abstract
Background and Objectives: Complex hand injuries often lead to long-term functional impairment and require structured rehabilitation following surgery. While early rehabilitation may improve outcomes by preventing stiffness and adhesions, it can also increase pain and psychological distress. In contrast, delayed rehabilitation may offer [...] Read more.
Background and Objectives: Complex hand injuries often lead to long-term functional impairment and require structured rehabilitation following surgery. While early rehabilitation may improve outcomes by preventing stiffness and adhesions, it can also increase pain and psychological distress. In contrast, delayed rehabilitation may offer short-term comfort but risks slower recovery. The study aimed to compare the outcomes of early versus delayed rehabilitation through a four-phase therapeutic protocol, with standardized assessments at baseline, 4 weeks, and 12 weeks. Materials and Methods: This study included 90 patients with complex hand trauma who underwent emergency surgical intervention followed by a structured rehabilitation program. Key parameters included active range of motion (TAM), grip strength, pain (VAS), edema, hand function (QuickDASH), and anxiety levels (GAD-7). Statistical analysis was used to evaluate differences in physical and psychological recovery over time between the two rehabilitation approaches. Results: This study demonstrated that both early and delayed postoperative rehabilitation significantly improved physical and psychological outcomes in patients with complex hand trauma. However, early rehabilitation was associated with faster resolution of edema, quicker gains in functional mobility, and earlier improvement in grip strength, despite causing higher initial levels of pain and anxiety. Conversely, delayed rehabilitation resulted in lower early pain and anxiety but showed slower functional recovery. Subgroup analysis revealed that patients with flexor tendon injuries benefited most from early rehabilitation in terms of mobility, strength, and anxiety reduction, while those with multifocal or complex injuries achieved greater long-term pain relief. Conclusions: As rehabilitation continues to evolve, the adoption of personalized, multimodal, and technologically integrated strategies holds promise for improving both the speed and quality of recovery while addressing the psychological and functional dimensions of patient care. Overall, the study supports early, structured, and individualized rehabilitation protocols, emphasizing a multidisciplinary approach that integrates both physical and psychological recovery strategies. Full article
Show Figures

Figure 1

13 pages, 1237 KB  
Article
Role of Final Kissing Balloon Inflation in Left Main Distal Bifurcation Single Stenting: Insights from Angiographic Microvascular Resistance
by En Chen, Danqing Hu, Hong Zheng, Lianglong Chen and Wei Cai
Medicina 2025, 61(11), 2062; https://doi.org/10.3390/medicina61112062 - 19 Nov 2025
Viewed by 293
Abstract
Background and Objectives: The roles of final kissing balloon inflation (FKBI) in single stenting remain controversial, with no prior studies evaluating its impact on angiographic restenosis from the perspective of coronary microcirculation. This study aimed to investigate whether FKBI reduced angiographic restenosis [...] Read more.
Background and Objectives: The roles of final kissing balloon inflation (FKBI) in single stenting remain controversial, with no prior studies evaluating its impact on angiographic restenosis from the perspective of coronary microcirculation. This study aimed to investigate whether FKBI reduced angiographic restenosis in patients treated with single stenting in the left main (LM)–left anterior descending (LAD) after propensity score matching (PSM) to balance baseline characteristics, including the pre-procedural angiography-derived index of microcirculatory resistance (AMR). Additionally, it aimed to demonstrate the temporal changes in AMR (pre-procedure, post-procedure, and follow-up) and their impact on angiographic restenosis. Materials and Methods: AMR was calculated based on coronary angiography from a single view of the LM–left circumflex (LCX), pre- and post-procedure and during follow-up. Long-term angiographic restenosis was assessed using percent diameter stenosis (DS%). Results: A total of 197 patients underwent the simple crossover, and 70 underwent FKBI, while 61 pairs were matched after the PSM. The long-term DS% in the LM and LAD was lower in the FKBI group after the PSM. The long-term AMR demonstrated an increase in the simple crossover group but stability in the FKBI group. The long-term AMR was lower post-FKBI regardless of the PSM. The pre-procedural AMR was a positive predictor of long-term LAD angiographic restenosis in the simple crossover group, but it did not show any correlation in the FKBI group. Conclusions: After PSM involving pre-procedural AMR, FKBI could reduce long-term angiographic restenosis in the LM and LAD following left main distal bifurcation single stenting and exhibited lower long-term AMR compared to the simple crossover group. The pre-procedural AMR predicted the future LAD progression in the simple crossover group, yet FKBI seemed to nullify the association. Full article
Show Figures

Figure 1

17 pages, 651 KB  
Article
The Effect of Humeral Head Depressor Strengthening on Individuals with Subacromial Impingement Syndrome
by Utku Kurtaran, Tuba Yerlikaya, Barış Yenen and Ahmet Özgül
Medicina 2025, 61(11), 2061; https://doi.org/10.3390/medicina61112061 - 19 Nov 2025
Viewed by 433
Abstract
Background and Objectives: Subacromial pain syndrome (SAPS) is one of the most common musculoskeletal problems affecting the shoulder joint. In this study, we aimed to investigate the effectiveness of a rehabilitation program targeting humeral head depressor muscles on symptoms in individuals with [...] Read more.
Background and Objectives: Subacromial pain syndrome (SAPS) is one of the most common musculoskeletal problems affecting the shoulder joint. In this study, we aimed to investigate the effectiveness of a rehabilitation program targeting humeral head depressor muscles on symptoms in individuals with SAPS. Materials and Methods: Participants were sequentially assigned to study and control groups in a quasi-randomized design. While the control group received standard physical therapy and rehabilitation, the study group underwent a combined progressive exercise program, including humeral head depressor strengthening, peri-articular muscle exercises, scapular stabilization, and proprioceptive training. Acromio–humeral distance (AHD) and tendon thickness measurements were evaluated via ultrasonography (USG), while pain intensity, upper-extremity disability, and kinesiophobia were measured using the VAS and McGill Pain Questionnaire, DASH-T, and the Fear Avoidance Beliefs Questionnaire, respectively. Results: Both the study and control groups showed statistically significant increments in AHD compared to the baseline. The first and final measurements changed from 7.92 mm to 10.54 mm and from 7.72 mm to 8.41 mm, respectively. However, the increase in AHD was greater in the study group relative to the control group, and the value was statistically significant. The study group showed significant improvements in pain and disability. Kinesiophobia levels, on the other hand, decreased in both groups, but a greater decrease was observed in the study group. Conclusions: In this study, both the study and control groups showed an increase in AHD, but the combined exercise program targeting humeral head depressor muscles resulted in a greater improvement. Reduced tendon thickness indicated the eased motion of the rotator cuff, supporting the improvements in pain and disability. The program had a positive impact on psychosocial parameters, including pain-related kinesiophobia. Given the limited literature on the effects of such exercises on AHD and tendon thickness, this study provides an original contribution. Clinical Trial Registration: ClinicalTrials.gov identifier: NCT07228455. Full article
(This article belongs to the Section Orthopedics)
Show Figures

Figure 1

9 pages, 263 KB  
Article
Inflammatory Semaphorins in the Pathogenesis and Prognosis of Acute Ischemic Stroke
by Esen Çiçekli, Dilcan Kotan and Levent Avcı
Medicina 2025, 61(11), 2060; https://doi.org/10.3390/medicina61112060 - 19 Nov 2025
Viewed by 323
Abstract
Background and Objectives: Semaphorins are immunoregulatory proteins involved in inflammation and neurovascular modulation. Their roles in ischemic stroke pathogenesis and prognosis have recently gained attention. This study aimed to evaluate serum levels of semaphorin 3A, 3F, 4A, 4D, and 7A in patients [...] Read more.
Background and Objectives: Semaphorins are immunoregulatory proteins involved in inflammation and neurovascular modulation. Their roles in ischemic stroke pathogenesis and prognosis have recently gained attention. This study aimed to evaluate serum levels of semaphorin 3A, 3F, 4A, 4D, and 7A in patients with acute ischemic stroke and investigate their relationship with disease severity and prognosis. Materials and Methods: A total of 45 patients with acute ischemic stroke and 39 control individuals were enrolled. Serum semaphorin levels were measured using ELISA. Clinical data, including TOAST classification, NIHSS scores, and laboratory parameters, were recorded. Correlations between semaphorin levels and clinical or biochemical variables were analyzed statistically. Results: Semaphorin 4A levels were significantly lower and semaphorin 7A levels significantly higher in the patient group compared to controls (p < 0.001). Semaphorin 7A positively correlated with NIHSS scores (r = 0.390. p = 0.008). Semaphorin 3A and 4A levels showed significant correlations with inflammatory markers and lipid profiles. Semaphorin 3A was higher in female patients. No associations were found with TOAST subtypes or treatment modalities. Five (11.1%) patients died due to stroke-related complications, no significant differences in semaphorin levels were observed between survivors and non-survivors. Conclusions: Semaphorin 3A, 4A, and 7A levels may serve as potential biomarkers for inflammation and disease severity in acute ischemic stroke. Semaphorin 7A, in particular, showed strong prognostic value due to its association with stroke severity. These findings suggest that semaphorins could aid in clinical risk stratification and early intervention planning in ischemic stroke. Full article
(This article belongs to the Section Neurology)
11 pages, 2664 KB  
Article
Identifying Aortic Arch Branching Variations Using Advanced Imaging Techniques
by Elisabeth M. Mandler, Moritz Horodecki-Tuchslau, Johannes M. Mittendorfer, Franz Kainberger and Lena Hirtler
Medicina 2025, 61(11), 2059; https://doi.org/10.3390/medicina61112059 - 19 Nov 2025
Viewed by 297
Abstract
Background and Objectives: The branching pattern of the aortic arch (AA) is highly variable, with the typical supra-aortic branching configuration observed in about three out of four cases. Even though some variants carry a heightened risk for certain diseases and intraoperative complications, [...] Read more.
Background and Objectives: The branching pattern of the aortic arch (AA) is highly variable, with the typical supra-aortic branching configuration observed in about three out of four cases. Even though some variants carry a heightened risk for certain diseases and intraoperative complications, they are often underrepresented in standard textbooks. One of the earliest meta-analyses on this topic was published by Dr. Herbert Lippert in 1967. This study aims to use modern imaging to identify AA variations, compare the prevalence with Lippert’s findings, and evaluate the relevance of his classification in today’s Central European population. Materials and Methods: Computed tomography angiography (CTA) scans of 400 patients were retrospectively analyzed and categorized according to Lippert’s classification of AA variations. The prevalence of each variation was calculated and compared to the results reported by Lippert. Results: The typical AA branching was observed in 75.5% of cases. Brachiocephalic trunk variations were the second most common, occurring in 19.5% of patients. Variations involving the left vertebral artery branching directly off the AA had a prevalence of 4%. Additionally, two cases (0.5%) exhibited a thyroidea ima artery originating from the AA, and two cases (0.5%) demonstrated an arteria lusoria with a retroesophageal course. Conclusions: Lippert’s classification remains highly relevant in describing supra-aortic branching pattern prevalence within today’s Central European population. Although most variants are of limited clinical relevance, some can become symptomatic or cause complications during medical interventions. Awareness of these variations is therefore essential for optimal patient care. Full article
(This article belongs to the Section Cardiology)
Show Figures

Figure 1

18 pages, 2074 KB  
Article
EVD-Associated Infections in Subarachnoid Hemorrhage: Risk Factors and Clinical Predictions—A Retrospective Single-Center Study
by Hraq Sarkis, Abed Alrazzak Kerhani, Ann-Kathrin Joerger, Carolin Albrecht, Chiara Negwer, Maria Wostrack, Arthur Wagner and Bernhard Meyer
Medicina 2025, 61(11), 2058; https://doi.org/10.3390/medicina61112058 - 19 Nov 2025
Viewed by 405
Abstract
Background and Objectives: External ventricular drain (EVD)-associated infections are a serious complication in subarachnoid hemorrhage (SAH) patients, with reported incidence rates of 1–45%. Existing prediction models show limited performance and focus on the static risk factors assessed at insertion, failing to examine how [...] Read more.
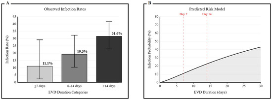
Background and Objectives: External ventricular drain (EVD)-associated infections are a serious complication in subarachnoid hemorrhage (SAH) patients, with reported incidence rates of 1–45%. Existing prediction models show limited performance and focus on the static risk factors assessed at insertion, failing to examine how infection risk changes over time. We sought to identify the independent predictors of EVD infections in SAH patients and develop a practical clinical prediction model. Materials and Methods: We retrospectively analyzed 198 SAH patients with EVDs treated at our center between January 2022 and April 2025, collecting 4757 laboratory observations throughout their hospital stay. Univariate and multivariate logistic regression analyses were performed to identify the independent risk factors and develop a clinical prediction model. Results: Of 198 patients undergoing EVD insertion for SAH, 49 developed associated infections (24.7%). Univariate analysis identified several significant risk factors, including EVD duration (Cohen’s d = 1.00, p < 0.001), EVD revisions (d = 1.11, p < 0.001), Hunt & Hess grade ≥ 4 (p = 0.011), and peak laboratory values, including CSF lactate (d = 0.53, AUC = 0.79), CSF protein (d = 0.52, AUC = 0.74), CSF glucose (d = 0.63, AUC = 0.73), and procalcitonin (d = 0.58, AUC = 0.75). However, multivariate analysis revealed that only EVD duration retained statistical significance (adjusted OR = 3.50 per continuous day; 95% CI: 2.11–5.78; p < 0.000001); note that continuous daily scale modeling implies exponential risk escalation (3.5-fold increase per single day). For clinical interpretation, categorical duration analysis provides more conservative estimates: 8–14 days versus ≤7-day reference OR = 1.92 (p = 0.013), and >14 days versus ≤7-day reference OR = 3.70 (p < 0.001). All other variables lost statistical independence after mutual adjustment. Infection rates demonstrated a dose–response relationship with EVD duration: 11.1% for ≤7 days, 19.3% for 8–14 days, and 31.6% for >14 days. The final prediction model achieved good discrimination (AUC = 0.737). Conclusions: EVD duration emerged as the dominant predictor of infection risk in SAH patients, which is a traditional factor. These findings support clinical protocols that prioritize minimizing drain duration whenever medically appropriate, shifting focus from complex risk scoring to time-based management strategies. Full article
(This article belongs to the Special Issue Neurosurgery for Brain or Spine Tumors: Recent Technical Advances)
Show Figures

Figure 1

29 pages, 1254 KB  
Review
Choline in Adolescent Pregnancy: The Impact on Fetal Brain Development and Long-Term Cognitive Outcomes of Offspring
by Abdul Jabar Khudor, Marius Alexandru Moga, Oana Gabriela Dimienescu, Andrada Camelia Nicolau, Cristian Andrei Arvătescu, Mircea Daniel Hogea and Natalia Ciobanu
Medicina 2025, 61(11), 2057; https://doi.org/10.3390/medicina61112057 - 18 Nov 2025
Viewed by 921
Abstract
Pregnancy in adolescence represents a major nutritional challenge, with competing demands between maternal development and fetal growth. Choline is the essential nutrient with a critical role for fetal brain development and exhibits distinct metabolic patterns in pregnant adolescents aged 15–19 years compared to [...] Read more.
Pregnancy in adolescence represents a major nutritional challenge, with competing demands between maternal development and fetal growth. Choline is the essential nutrient with a critical role for fetal brain development and exhibits distinct metabolic patterns in pregnant adolescents aged 15–19 years compared to adult pregnant women. This narrative review examines the specific impact of choline status on fetal neurodevelopment in adolescent pregnancies. A comprehensive literature review was conducted using PubMed and Web of Science databases from 2000 to 2025, focusing on choline metabolism, placental transport mechanisms, and neurodevelopmental outcomes in adolescent pregnancy. Adolescent pregnant women demonstrate reduced choline clearance (0.8 ± 0.2 vs. 1.2 ± 0.3 mL/min/kg), decreased choline kinase activity (25–30% reduction), and reduced placental transporter expression (CTL1 reduced by 15–20%) compared to adults. These metabolic differences result in maternal–fetal competition for limited choline resources, potentially compromising fetal brain development during critical neurodevelopmental windows. The consequences include increased risk of neural tube defects, altered hippocampal development, and long-term cognitive impairments in offspring. Adolescent pregnancy creates a unique biochemical environment that may predispose to choline deficiency with lasting neurodevelopmental consequences, and current supplementation guidelines do not address adolescent-specific needs, pointing out the urgent requirement for appropriate age recommendations and targeted interventions to optimize maternal and fetal outcomes in this vulnerable population. Full article
Show Figures

Graphical abstract

25 pages, 1334 KB  
Review
Arrhythmogenic Risk in iPSC-Derived Cardiomyocytes: Current Limitations and Therapeutic Perspectives
by Dhienda C. Shahannaz, Tadahisa Sugiura, Brandon E. Ferrell and Taizo Yoshida
Medicina 2025, 61(11), 2056; https://doi.org/10.3390/medicina61112056 - 18 Nov 2025
Viewed by 549
Abstract
Background and Objectives: Induced pluripotent stem cell-derived cardiomyocytes (iPSC-CMs) have revolutionized cardiac research by providing patient-specific models for studying arrhythmias. However, their clinical application is hindered by arrhythmogenic risks associated with grafted iPSC-CMs. This review aims to delineate the current limitations in [...] Read more.
Background and Objectives: Induced pluripotent stem cell-derived cardiomyocytes (iPSC-CMs) have revolutionized cardiac research by providing patient-specific models for studying arrhythmias. However, their clinical application is hindered by arrhythmogenic risks associated with grafted iPSC-CMs. This review aims to delineate the current limitations in iPSC-CM-based arrhythmia modeling and explore emerging therapeutic strategies to mitigate these risks. Materials and Methods: A comprehensive literature review was conducted, focusing on studies published in the last two decades that address the electrophysiological characteristics of iPSC-CMs, their arrhythmogenic potential, and therapeutic interventions. Sources include peer-reviewed journals, clinical trial reports, and recent advancements in stem cell technology. Results: Findings indicate that while iPSC-CMs offer a promising platform for arrhythmia modeling, challenges such as cellular heterogeneity, immaturity, and proarrhythmic potential persist. Advancements in maturation protocols, co-culture systems, and gene editing techniques have shown promise in enhancing the safety profile of iPSC-CMs. Conclusions: Addressing the arrhythmogenic risks associated with iPSC-CMs requires a multifaceted approach, including improved differentiation protocols, maturation strategies, and therapeutic interventions. Continued research is essential to translate these models into safe and effective clinical applications. Full article
(This article belongs to the Special Issue Ventricular Arrhythmias: Current Advances and Future Perspectives)
Show Figures

Figure 1

22 pages, 3368 KB  
Article
Adherence and Compliance with Endocrine Treatment After Primary Breast Cancer Treatment: A Cross-Sectional Qualitative Study
by Odhran Cosgrove, Sadaf Zehra and Dinesh Kumar Thekkinkattil
Medicina 2025, 61(11), 2055; https://doi.org/10.3390/medicina61112055 - 18 Nov 2025
Viewed by 421
Abstract
Background and Objectives: Breast cancer is the most common cancer in women, with approximately 80% being oestrogen receptor positive, necessitating adjuvant endocrine therapy (AET) to reduce recurrence. Treatment adherence is crucial, yet 10–50% of patients take incorrect doses or discontinue therapy, which is [...] Read more.
Background and Objectives: Breast cancer is the most common cancer in women, with approximately 80% being oestrogen receptor positive, necessitating adjuvant endocrine therapy (AET) to reduce recurrence. Treatment adherence is crucial, yet 10–50% of patients take incorrect doses or discontinue therapy, which is associated with a 20% increase in mortality. AET may also impact bone health. This study aimed to explore patients’ beliefs about endocrine treatment, investigate how perceptions of medication risk and benefit affect adherence, and assess changes in bone mineral density (BMD) during therapy. Materials and Methods: A cross-sectional mixed-method study was conducted. One hundred patients diagnosed with oestrogen receptor-positive breast cancer in 2020 were sent the Beliefs about Medicines Questionnaire–Adjuvant Endocrine Therapy (BMQ-AET) and 101 semi-structured telephone interviews were completed. Initial and most recent Dual-Energy X-ray Absorptiometry (DEXA) scans were compared to assess changes in BMD. Results: The questionnaire response rate was 55% (n = 55). Forty-nine patients returned the postal paper survey and six patients responded via QR code. One hundred and one patients participated in semi-structured telephone interviews. Of the total cohort, 91.7% were adherent to AET, while 13 patients (8.3%) were non-adherent. Non-adherent patients had significantly lower BMQ-AET Necessity scores (mean 12.08 vs. 19.22; median 12 vs. 20; p < 0.001) and higher Concerns scores (mean 17 vs. 13.46; Median 17 vs. 13; p = 0.002). The most common reasons for non-adherence were joint pain and reduced quality of life (58%), highlighting a need for additional support in managing side effects. Among the participants with suitable DEXA data, the majority (54.2%) demonstrated an increase in BMD over time. Conclusions: This study demonstrates high adherence to AET, with non-adherent patients showing lower perceived necessity and greater concern about treatment. These findings emphasise the importance of addressing patient beliefs to enhance adherence. The observed improvements in BMD suggest that proactive bone health management, alongside AET, may mitigate expected declines, challenging conventional assumptions regarding therapy-related bone loss. Full article
(This article belongs to the Special Issue Future Trends in Breast Cancer Management)
Show Figures

Figure 1

11 pages, 1514 KB  
Article
Pediatric Early Warning System (PEWS) Association with ICU Mortality in Children with Acute Lymphoblastic Leukemia: A Cohort Study from Kazakhstan
by Yedil Kurakbayev, Abay Kussainov, Kuanysh Umbetov, Yernur Zikiriya, Yergali Sarsekbayev, Botagoz Turdaliyeva, Nazira Nurgozhayeva and Arai Tolemisova
Medicina 2025, 61(11), 2054; https://doi.org/10.3390/medicina61112054 - 18 Nov 2025
Viewed by 399
Abstract
Background and Objectives: Childhood acute lymphoblastic leukemia (ALL) carries substantial morbidity, mortality, and economic burden, particularly in middle-income countries. The Pediatric Early Warning System (PEWS) is designed to trigger timely escalation of care, yet its independent impact on survival among critically ill [...] Read more.
Background and Objectives: Childhood acute lymphoblastic leukemia (ALL) carries substantial morbidity, mortality, and economic burden, particularly in middle-income countries. The Pediatric Early Warning System (PEWS) is designed to trigger timely escalation of care, yet its independent impact on survival among critically ill leukemic children has not been well defined in Kazakhstan and Central Asia. Materials and Methods: We conducted a retrospective review all ICU admissions for patients aged 0–18 years with ALL at the National Center of Pediatrics, Almaty, across two periods: pre-implementation (January 2020–December 2022) and post-implementation of 24 h PEWS monitoring (September 2023–December 2024). The primary outcome was ICU mortality. Seven domains of covariates—demographic, clinical history, transfusion, vital signs, symptoms, laboratory, and instrumental data—were extracted. Univariable and multivariable logistic regression models were used to assess associations with mortality. Results: Among 255 admissions (105 during PEWS implementation; 150 prior to PEWS implementation), overall ICU mortality was 21.7%. After adjustment, PEWS implementation was not associated with reduced ICU mortality (AOR 0.89), despite a lower unadjusted mortality (15.9% vs. 26.6%). The most clinically relevant secondary findings included strong associations between mortality and bilateral pneumonia (AOR 7.45), ≥4 episodes of hyperthermia within 24 h of ICU admission (AOR 5.42), and systemic inflammatory response syndrome (AOR 4.61). Conclusions: These findings suggest that, within this high-acuity cohort, inflammatory and cardiorespiratory derangements outweigh any potential survival benefit from ward-based PEWS surveillance. Optimizing outcomes will require integrating early warning systems with timely deterioration management, focused cardiopulmonary support, and resource allocation tailored to the clinical context—rather than relying solely on surveillance scores. Full article
(This article belongs to the Section Intensive Care/ Anesthesiology)
Show Figures

Figure 1

13 pages, 4334 KB  
Systematic Review
Infection Risk in Dermatology Patients Receiving Next-Generation Medication: A Meta-Analysis of JAK Inhibitors and Biologics
by Aditya K. Gupta, Susmita and Vasiliki Economopoulos
Medicina 2025, 61(11), 2053; https://doi.org/10.3390/medicina61112053 - 18 Nov 2025
Viewed by 503
Abstract
Background/Objectives: Next-generation drugs, such as JAK inhibitors and biologics, have proved to be very effective treatment choices in several autoimmune and autoinflammatory skin disorders. However, these drugs are not without risk. Due to their immune-modulating properties, these drugs may pose a risk [...] Read more.
Background/Objectives: Next-generation drugs, such as JAK inhibitors and biologics, have proved to be very effective treatment choices in several autoimmune and autoinflammatory skin disorders. However, these drugs are not without risk. Due to their immune-modulating properties, these drugs may pose a risk of infection, which could vary between drug target, disorder type and pathogen. Our goal was to determine infection risk and how it may vary by drug target, pathogen and skin disorder, namely psoriasis, atopic dermatitis, alopecia areata, vitiligo and hidradenitis suppurativa. Methods: We performed a systematic search and meta-analysis where we extracted the rates of different infections from the adverse events of each trial that were found and met our inclusion criteria. Results: We found significant associations in psoriasis and atopic dermatitis where infection risk varied by drug, skin condition and pathogen type. We specifically found that there was an increased risk of viral infection for patients with atopic dermatitis with both JAK inhibitors and biologics. We also found an increased risk of fungal infections in psoriasis patients receiving targeted therapies. Lastly, we observed a decreased risk of bacterial infections in atopic dermatitis with dupilumab specifically. Additionally, there was a significantly higher incidence of herpes simplex infections in atopic dermatitis patients with target-selective JAK inhibitors, while no increased risk was observed with herpes zoster. Conclusions: There is a varied risk with these next-generation medications that needs to be considered when determining treatment regime. Full article
(This article belongs to the Section Dermatology)
Show Figures

Figure 1

1 pages, 183 KB  
Retraction
RETRACTED: Kaya et al. The Superiority of Compressed Colchicine Tablets over Coated Colchicine Tablets for Familial Mediterranean Fever. Medicina 2024, 60, 1728
by Mehmet Nur Kaya, Muhammed Canbaş, Özlem Kılıç, Abdullah Doğan and Sedat Yılmaz
Medicina 2025, 61(11), 2052; https://doi.org/10.3390/medicina61112052 - 18 Nov 2025
Viewed by 266
Abstract
The Journal retracts the article “The Superiority of Compressed Colchicine Tablets Over Coated Colchicine Tablets for Familial Mediterranean Fever” [...] Full article
20 pages, 957 KB  
Article
Comparative Outcomes of Pancreaticogastrostomy and Pancreaticojejunostomy Following Pancreaticoduodenectomy: A Retrospective Cohort Study from a Romanian High-Volume Center
by Septimiu Alex Moldovan, Emil Ioan Moiș, Florin Graur, Vlad Ionuț Nechita, Luminița Furcea, Florin Zaharie, Raluca Bodea, Simona Mirel, Mihaela Ştefana Moldovan, Andreea Donca, Tudor Mocan, Andrada Seicean and Nadim Al Hajjar
Medicina 2025, 61(11), 2051; https://doi.org/10.3390/medicina61112051 - 17 Nov 2025
Viewed by 325
Abstract
Background and Objectives: Pancreaticogastrostomy (PG) and pancreaticojejunostomy (PJ) are the two most frequently employed reconstruction techniques following pancreaticoduodenectomy (PD), yet the optimal method remains debated. The objective of this study was to compare perioperative outcomes of PG versus PJ in patients undergoing [...] Read more.
Background and Objectives: Pancreaticogastrostomy (PG) and pancreaticojejunostomy (PJ) are the two most frequently employed reconstruction techniques following pancreaticoduodenectomy (PD), yet the optimal method remains debated. The objective of this study was to compare perioperative outcomes of PG versus PJ in patients undergoing PD for resectable periampullary tumors at a high-volume center. Materials and Methods: We conducted a retrospective cohort study including 604 consecutive patients who underwent PD between January 2019 and May 2025. Reconstruction of the pancreatic remnant was achieved by binding PG in 415 patients and duct-to-mucosa PJ in 189 patients. Demographics, intraoperative data, and postoperative outcomes were analyzed using standardized ISGPS/ISGLS definitions. Results: The overall complication rate was similar between groups (43.9% vs. 47.1%; p = 0.481). However, PG was associated with significantly lower rates of postoperative pancreatic fistula (POPF) (12.3% vs. 18.5%; p = 0.042) and postoperative biliary fistula (POBF) (2.9% vs. 6.3%; p = 0.044) compared with PJ. No significant differences were observed in delayed gastric emptying (DGE), postpancreatectomy hemorrhage (PPH), intra-abdominal abscess, relaparotomy, length of postoperative stay, or 90-day mortality. Conclusions: PG was associated with reduced rates of anastomotic fistulas compared with PJ, while other perioperative outcomes were comparable. These findings suggest that PG may be particularly advantageous in patients with a soft pancreatic remnant or nondilated duct, where the risk of fistula is higher, whereas PJ remains appropriate for firm, fibrotic glands with dilated ducts. Tailoring the reconstructive technique to pancreatic texture and ductal anatomy may therefore improve surgical outcomes and reduce postoperative morbidity. Full article
(This article belongs to the Section Gastroenterology & Hepatology)
Show Figures

Figure 1

19 pages, 4271 KB  
Review
Femoral Malunion and Its Correction: A Review
by Rahul Vaidya, Matthew Mazur, Ihunanya Agomuoh, David Abdelnour, Magd Boutany and Robert Teitge
Medicina 2025, 61(11), 2050; https://doi.org/10.3390/medicina61112050 - 17 Nov 2025
Viewed by 516
Abstract
Background and Objectives: Femoral malunion, defined as healing of a femoral fracture in an anatomically incorrect position, can lead to significant biomechanical and functional impairment despite modern fixation techniques achieving union rates near 99%. The lack of a universal definition and standardized [...] Read more.
Background and Objectives: Femoral malunion, defined as healing of a femoral fracture in an anatomically incorrect position, can lead to significant biomechanical and functional impairment despite modern fixation techniques achieving union rates near 99%. The lack of a universal definition and standardized management approach continues to hinder optimal outcomes. This review aims to synthesize the literature on the causes, clinical presentation, radiologic assessment, surgical indications, corrective procedures, and outcomes of femoral malunion to guide clinical decision-making and future research. Materials and Methods: A narrative review of peer-reviewed orthopedic literature was conducted, focusing on adult femoral malunions across anatomical regions. Articles detailing deformity thresholds, imaging modalities, corrective osteotomies, and fixation strategies were included. Particular emphasis was placed on region-specific deformities—femoral head, neck, intertrochanteric, diaphyseal, and distal femur—and their corresponding surgical correction methods, including valgus intertrochanteric osteotomy, clamshell osteotomy, and lengthening with external or magnetic intramedullary devices. Results: Malunion most commonly presents as angular, rotational, or length deformity, with thresholds of >5–10° angulation, >10° rotation, or >1–2 cm shortening being clinically significant. Patients may experience pain, limp, gait asymmetry, and early-onset arthritis. Corrective techniques tailored to the anatomical site yield favorable results: valgus intertrochanteric osteotomy restores leg length and alignment; diaphyseal malunions respond well to single- or multi-plane osteotomies with internal fixation or gradual correction; distal femoral malunions often require multiplanar osteotomy to reestablish the joint line. Most series report high union rates and functional improvement, though complications such as infection and hardware failure may occur. Conclusions: Femoral malunion remains a complex but treatable condition. Successful outcomes rely on accurate deformity characterization, patient-specific surgical planning, and restoration of mechanical alignment. Standardized deformity criteria and long-term functional outcome studies are needed to refine management algorithms and improve patient care. Full article
(This article belongs to the Section Orthopedics)
Show Figures

Figure 1

24 pages, 5310 KB  
Article
Evaluation of Hematological, Biochemical, and Coagulation Tests in Patients with Hepatitis C
by Ieva Janulaityte, Gintare Petkute, Asta Maciuliene, Jurgita Borodiciene, Jokubas Kareiva and Astra Vitkauskiene
Medicina 2025, 61(11), 2049; https://doi.org/10.3390/medicina61112049 - 17 Nov 2025
Viewed by 384
Abstract
Background and Objectives: Hepatitis C virus (HCV) remains a significant cause of chronic liver disease worldwide. While direct-acting antivirals achieve high cure rates, the interplay between viral load, gender, and routine laboratory parameters remains unclear. This study aimed to investigate hematological, biochemical, [...] Read more.
Background and Objectives: Hepatitis C virus (HCV) remains a significant cause of chronic liver disease worldwide. While direct-acting antivirals achieve high cure rates, the interplay between viral load, gender, and routine laboratory parameters remains unclear. This study aimed to investigate hematological, biochemical, and coagulation profiles, as well as derived non-invasive indices, in HCV-infected patients, stratified by gender and viremia levels. Materials and Methods: This retrospective study included 367 patients with HCV infection (223 males and 144 females). Patients were divided into four groups: high viremia males (hiVM), high viremia females (hiVF), low viremia males (loVM), and low viremia females (loVF), using 800,000 IU/mL as the threshold. Routine hematological, biochemical, and coagulation tests were conducted, and derived indices (FIB-4, APRI, AST/ALT ratio, PLR, NLR, SII, AISI, PNI, HALP, PAR, NAR) were calculated. Results: Significant gender- and viremia-specific differences were observed. hiVM showed higher erythrocyte indices and altered coagulation parameters, whereas hiVF had increased lymphocyte counts and AST/ALT ratio elevation. loVM displayed reduced hemoglobin and hematocrit, along with worse coagulation results. Biochemical analysis revealed gender differences in GGT, bilirubin, and albumin levels. Among derived indices, FIB-4 and APRI were higher in loVM, while SII and PLR were elevated in loVF. At the second visit after 17±4 weeks, when patients had no detectable HCV DNA in the peripheral blood, most indices improved significantly across groups. Conclusions: HCV infection affects laboratory profiles depending on gender and viremia levels. Non-invasive indices from routine tests offer valuable insights into inflammatory and nutritional status. Using these indices alongside traditional markers may aid hypothesis generation or clinical assessment and help prioritize further assessment for HCV patients. Full article
(This article belongs to the Topic Human Anatomy and Pathophysiology, 3rd Edition)
Show Figures

Figure 1

10 pages, 297 KB  
Review
Globicatella sanguinis—A Literature Review of Case Reports
by Carmen Valerica Rîpă, Roxana Gabriela Cobzaru, Luminita Smaranda Iancu, Miruna Raluca Rîpă, Gabriela Popescu, Alexandra Maștaleru, Andra Oancea and Maria Magdalena Leon
Medicina 2025, 61(11), 2048; https://doi.org/10.3390/medicina61112048 - 17 Nov 2025
Viewed by 362
Abstract
Globicatella sanguinis is a rare and distinct Gram-positive coccus, first described in 1992, and part of the normal human microbiota. Although infrequent, it can cause serious infections such as urinary tract infections, meningitis, and endocarditis, particularly in vulnerable populations. Due to its atypical [...] Read more.
Globicatella sanguinis is a rare and distinct Gram-positive coccus, first described in 1992, and part of the normal human microbiota. Although infrequent, it can cause serious infections such as urinary tract infections, meningitis, and endocarditis, particularly in vulnerable populations. Due to its atypical biochemical profile and frequent misidentification by conventional diagnostic systems, accurate identification is essential to avoid inappropriate treatment. This narrative review analyzes 21 published case reports involving 51 patients, with many cases linked to invasive procedures or immunosuppression. The review emphasizes the need for molecular diagnostic tools and individualized antimicrobial therapy, while also identifying gaps in current knowledge that warrant further investigation. Full article
(This article belongs to the Section Infectious Disease)
15 pages, 414 KB  
Article
Evaluation of the Relationship Between Pain and Functional Status, Depression, Anxiety and Quality of Life in Patients with Spinal Cord Injury: Neuropathic Pain in Spinal Cord Injury
by Zeynel Abidin Akar, Mehmet Karakoç, Mustafa Akif Sarıyıldız, Öznur Batmaz and Remzi Çevik
Medicina 2025, 61(11), 2047; https://doi.org/10.3390/medicina61112047 - 17 Nov 2025
Viewed by 376
Abstract
Background and Objectives: Neuropathic pain is a prevalent and disabling consequence of spinal cord injury (SCI), adversely affecting physical function, psychological health, social engagement, and overall quality of life. Objectives: This study aimed to determine the prevalence of neuropathic pain in patients [...] Read more.
Background and Objectives: Neuropathic pain is a prevalent and disabling consequence of spinal cord injury (SCI), adversely affecting physical function, psychological health, social engagement, and overall quality of life. Objectives: This study aimed to determine the prevalence of neuropathic pain in patients with spinal cord injury (SCI) and to examine its associations with clinical and demographic factors, quality of life, depression, and anxiety. Materials and Methods: Eighty-four patients with spinal cord injury (SCI) who were admitted to the Department of Physical Medicine and Rehabilitation and followed up at the rehabilitation outpatient clinic of Dicle University Faculty of Medicine (Diyarbakır, Turkey) were included in the study. Neurological status was assessed using the American Spinal Injury Association (ASIA) scale. Functional ambulation was evaluated with the Walking Index for Spinal Cord Injury (WISCI) and the Functional Ambulation Scale (FAS), while independence was measured using the Spinal Cord Independence Measure, version 3 (SCIM-III). Quality of life was assessed with the Short Form-36 (SF-36), and depression and anxiety were evaluated using the Beck Depression Inventory (BDI) and Beck Anxiety Inventory (BAI), respectively. The severity of neuropathic pain, fatigue, and paresthesia was assessed using the Visual Analog Scale (VAS) and the Leeds Assessment of Neuropathic Symptoms and Signs (LANSS) questionnaire. Results: Neuropathic pain was observed in 41.7% of patients. No significant differences were found in age, sex, or marital status between patients with and without neuropathic pain. Patients with neuropathic pain had significantly higher Beck Anxiety Inventory (BAI) scores and lower scores in several Short Form-36 (SF-36) domains, including vitality, bodily pain, and emotional well-being. Leeds Assessment of Neuropathic Symptoms and Signs (LANSS) scores were positively correlated with Visual Analog Scale (VAS) fatigue and BAI scores, and negatively correlated with SF-36 domains such as vitality, general health, and bodily pain. Conclusions: Neuropathic pain is a common and debilitating complication following spinal cord injury (SCI). It is closely associated with reduced quality of life and heightened psychological distress, particularly anxiety. Early recognition and effective management of neuropathic pain are crucial for optimizing functional recovery and enhancing psychosocial well-being in patients with SCI. Full article
(This article belongs to the Section Neurology)
Show Figures

Figure 1

11 pages, 938 KB  
Article
Association Between Thyroid-Stimulating Hormone and Estimated Glomerular Filtration Rate in the Third Trimester of Pregnancy: A Retrospective Cross-Sectional Study in Euthyroid Women
by Canan Satır Özel, Yaşar Sertbaş, Şeyma Taştekin, Asya Tancer Özçelik, Meltem Sertbaş, Özge Kınlı Yıldız and Abdulkadir Turgut
Medicina 2025, 61(11), 2046; https://doi.org/10.3390/medicina61112046 - 16 Nov 2025
Viewed by 372
Abstract
Background and Objectives: This study investigated the relationship between thyroid function and renal parameters during the third trimester of pregnancy in euthyroid women, a physiological interaction that remains poorly characterized. Materials and Methods: In this retrospective, single-center cross-sectional study, 820 euthyroid [...] Read more.
Background and Objectives: This study investigated the relationship between thyroid function and renal parameters during the third trimester of pregnancy in euthyroid women, a physiological interaction that remains poorly characterized. Materials and Methods: In this retrospective, single-center cross-sectional study, 820 euthyroid pregnant women (≥28 weeks of gestation) were evaluated. Thyroid-stimulating hormone (TSH), free triiodothyronine (fT3), free thyroxine (fT4), serum creatinine, and estimated glomerular filtration rate (eGFR) were analyzed using tertile-based comparisons, correlation tests, and linear regression analysis. Results: Higher TSH levels were associated with slightly higher serum creatinine (p = 0.011) and a weak negative correlation with eGFR (r = −0.079, p = 0.023). Conversely, fT3 levels were positively correlated with eGFR (r = 0.106, p = 0.002) and inversely correlated with creatinine (r = −0.074, p = 0.035), while fT4 showed weaker associations. Regression analysis confirmed that fT3 (β = 0.099, p = 0.005) and fT4 (β = 0.083, p = 0.019) were independent positive predictors of eGFR. Conclusions: The correlations observed were statistically significant but clinically modest. Regression analysis confirmed that FT3 and FT4 were independent positive predictors of GFR, suggesting that subtle variations in thyroid activity may reflect physiological rather than pathological renal adaptations in late pregnancy. Monitoring TSH and fT3 may enhance understanding of maternal endocrine and renal interplay, though the clinical utility of such associations remains limited and warrants confirmation in prospective studies. Full article
(This article belongs to the Special Issue Advances in Obstetrics and Maternal-Fetal Medicine)
Show Figures

Figure 1

16 pages, 1384 KB  
Article
Intravenous Lidocaine for Postoperative Pain and Recovery After Robotic Prostate Adenomectomy: A Retrospective Observational Cohort Study
by Georgiana Maria Popa, Simona-Alina Abu-Awwad, Ahmed Abu-Awwad, Carmen-Ioana Marta, Erika Bimbo-Szuhai, Mihaela Gabriela Bontea, Adrian Gheorghe Osiceanu, Anca Mihaela Bina, Cristian Mihai Moisa Cezar, Ciprian Dumitru Puscas and Mihai O. Botea
Medicina 2025, 61(11), 2045; https://doi.org/10.3390/medicina61112045 - 16 Nov 2025
Viewed by 397
Abstract
Background and Objectives: Effective perioperative pain management remains a key goal of enhanced recovery protocols, especially in minimally invasive urologic surgery, where optimizing comfort while limiting opioid exposure is essential. Intravenous lidocaine has gained attention for its multimodal analgesic and anti-inflammatory properties, [...] Read more.
Background and Objectives: Effective perioperative pain management remains a key goal of enhanced recovery protocols, especially in minimally invasive urologic surgery, where optimizing comfort while limiting opioid exposure is essential. Intravenous lidocaine has gained attention for its multimodal analgesic and anti-inflammatory properties, yet evidence in robotic prostatectomy remains limited. This study evaluated whether intraoperative lidocaine infusion was associated with lower early postoperative pain scores and reduced opioid use in patients undergoing robotic-assisted radical prostatectomy. Materials and Methods: A retrospective, single-center analysis was conducted at Pelican Clinical Hospital, Oradea, Romania, including 112 patients operated on between January 2020 and December 2023. All procedures were performed by the same surgical and anesthetic teams using standardized ERAS-based protocols. Patients were divided into two groups: the Lidocaine Group (LG, n = 51), who received a bolus of 1.5 mg/kg lidocaine followed by an infusion of 1.5 mg/kg/h during surgery, and the Control Group (CG, n = 61), who received standard anesthesia without lidocaine. Postoperative pain was measured using the visual analog scale (VAS) at 0, 4, 12, and 24 h, and opioid use was converted into morphine milligram equivalents (MME). Secondary outcomes included time to ambulation, gastrointestinal recovery, oral intake, hospital stay, and complications. Results: Pain intensity was significantly lower in the lidocaine group at 4 h postoperatively (VAS 3.5 ± 1.1 vs. 4.3 ± 1.3; p = 0.01), with similar scores later. Total opioid use was reduced by about 18% in the lidocaine group (25.7 ± 9.4 vs. 31.2 ± 10.5 MME; p = 0.03). Recovery parameters and complication rates were comparable between groups, and no lidocaine-related adverse events were recorded. Conclusions: Intraoperative intravenous lidocaine was associated with lower early postoperative pain scores and reduced opioid requirements after robotic-assisted radical prostatectomy without affecting recovery or safety. Its favorable profile and low cost support its inclusion as a practical adjunct in multimodal analgesia within ERAS pathways. Full article
(This article belongs to the Special Issue Anesthesiology, Resuscitation, and Pain Management)
Show Figures

Figure 1

16 pages, 1338 KB  
Article
Interstitial Lung Disease Secondary to Sjogren’s Syndrome and Antisynthetase Syndrome: Converging Disease Trajectories
by Giuseppe Muscato, Giulia Morina, Evelina Fagone, Mary Fruciano, Elisa Gili, Serafina Martella, Stefano Palmucci, Domenico Sambataro, Carlo Vancheri and Gianluca Sambataro
Medicina 2025, 61(11), 2044; https://doi.org/10.3390/medicina61112044 - 15 Nov 2025
Viewed by 344
Abstract
Background and Objectives: Interstitial lung disease is one of the main causes of mortality in Sjögren’s Syndrome (SjS) and Anti-Synthetase Syndrome (ASyS). The objective of the study is to compare clinical, serological and radiological features of these conditions, as well as their [...] Read more.
Background and Objectives: Interstitial lung disease is one of the main causes of mortality in Sjögren’s Syndrome (SjS) and Anti-Synthetase Syndrome (ASyS). The objective of the study is to compare clinical, serological and radiological features of these conditions, as well as their prognosis. Materials and Methods: we retrospectively enrolled 34 SjS-ILD and 33 ASyS-ILD patients. The two cohorts were jointly followed by rheumatologists and pulmonologists for at least two years. Results: From a clinical point of view, ASyS-ILD patients showed a greater prevalence of myositis (18.2% vs. 2.3%, p = 0.04), whereas more SjS patients had sicca syndrome (85.3% vs. 9.1%, p < 0.001). No other clinical differences were noted. From a serological point of view, ASyS-ILD patients had a greater proportion of antinuclear antibody positivity with a cytoplasmic pattern (24.9% vs. 2.9%, p = 0.005) and positivity for Anti-Synthetase Antibodies (ASA), which were not found in the SjS cohort. SjS-ILD patients were mainly positive for anti-Ro52kD (61.8% vs. 27.3%, p = 0.002). No significant differences were noted in radiological pattern of ILD, functional values, disease progression and prognosis. Conclusions: SjS-ILD and ASyS patients show several common features. It could be hypothesized that some patients classified as SjS-ILD could have undetectable or unknown ASA, and the upcoming ASyS classification criteria may be useful in highlighting these patients for deeper research. Full article
(This article belongs to the Section Pulmonology)
Show Figures

Figure 1

Previous Issue
Next Issue
Back to TopTop