Topic Editors

School of Architecture and Urban Planning, Chongqing University, Chongqing 400045, China
School of Architecture, Design and Planning, The University of Queensland, Brisbane, Australia
Sustainable Building Design (SBD) Lab, Department of Urban & Environmental Engineering (UEE), Faculty of Applied Sciences, Université de Liège, 4000 Liège, Belgium
Faculty of Architecture and the Built Environment, Delft University of Technology, 2600 GA Delft, The Netherlands

Climate Change and Environmental Sustainability, 4th Edition

Abstract submission deadline
closed (1 May 2025)
Manuscript submission deadline
closed (1 July 2025)
Viewed by
33722

Topic Information

Dear Colleagues,

The following is a call for papers for the Topic “Climate Change and Environmental Sustainability, 4th Edition”, which aims to empower decision-makers and energy stakeholders to join forces and proactively address the challenges of climate change. The current rate of global warming, being 1.0–1.1 °C above pre-industrial levels, has caused various natural disasters that pose significant challenges for human living environments. In the coming decades, the rate of global warming is expected to hit the threshold of 1.5 °C with severe environmental, economic, and social consequences. This Topic aims to establish a holistic framework to address the immense challenge of climate change whilst achieving United Nations Sustainable Development Goals.

In this framework, climate change mitigation and the decarbonization of society are at the root of addressing this challenge. Climate change adaptation requires immediate action to increase resilience and reduce climate-related impacts and risks. This framework prioritizes sustainable urban–rural transformation and the decarbonization of the built environment since cities and the built environment are the main settlements of human beings and the key sites of implementation for climate resiliency, mitigation, and adaptation. Moreover, this framework encourages the involvement and participation of all professions in society to accelerate progress in climate change mitigation by developing sound climate-related governance systems in education, policy, and advocacy.

This Topic, “Climate Change and Environmental Sustainability, 4th Volume”, welcomes high-quality works focusing on the development and implementation of systems, ideas, pathways, solutions, strategies, technologies, and pilot cases and exemplars that are relevant to climate change impact measurement and assessment, mitigation and adaptation strategies and techniques, and public participation and governance. Relevant themes include but are not limited to the following:

Climate Change Impact Assessment

  • Climate change prediction and analysis
  • Climate-related impacts on infrastructure
  • Human comfort, health, well-being, and work productivity
  • Vulnerability assessment among different groups
  • Climate-related injustice and inequality
  • Climate-induced population migration
  • Climate impacts on low-income countries
  • Direct and indirect economic losses
  • Ecosystem service deterioration

Climate Change Mitigation and Adaptation

  • Greenhouse gas emissions and measurement
  • Climate-related disasters and reduction
  • Risk and vulnerability assessment and visualization
  • Ecosystem services and carbon sequestration
  • Sustainable transport and climate change mitigation and adaptation
  • Sustainable building and construction
  • Industry decarbonization and economic growth
  • Renewable and clean energy potential and implementation
  • Environmental, economic, and social benefits of climate change mitigation

Sustainable Urban–Rural Planning and Design

  • Climate change and regional economic development
  • Territorial spatial planning and carbon neutrality
  • Urban overheating mitigation and adaptation
  • Sustainable land use and planning
  • Low-carbon cities and communities
  • Wind-sensitive urban planning and design
  • Urban morphology and environmental performance
  • Innovative technologies, models, methods, and tools for spatial planning
  • Regional ecological restoration and ecological security
  • Nature-based solutions for urban planning and design
  • Healthy land use and planning

Decarbonization of the Built Environment

  • Demands on energy, materials, and water
  • Assessment methods, systems, and tools
  • Sustainable energy, materials, and water systems
  • Energy efficiency design technologies and appliances
  • Smart technology and sustainable operation
  • Uptake and integration of clean energy
  • Innovative materials for carbon reduction and environmental regulation
  • Building demolition and material recycling and reuse
  • Sustainable building retrofitting and assessment
  • Circular economy strategies for a sustainable built environment
  • Innovation for construction and demolition waste management

Climate-Related Governance and Challenges

  • Targets, pathways, and roadmaps toward carbon neutrality
  • Pathways for climate resilience and future sustainability
  • Challenges, opportunities, and solutions for climate resilience
  • Climate change governance coalition (network) development and challenges
  • Co-benefits, synergies, conflicts, and trade-offs of climate actions
  • Mapping, accounting, and trading carbon emissions
  • Governance models, policies, regulations, and programs
  • Financing urban climate change actions
  • Education, policy, and advocacy for preparation

Sustainable Transport and Land Use

  • Environmentally friendly transport planning and policy
  • Environmentally friendly land use planning and policy
  • Low-carbon built environment
  • Low-carbon physical environment
  • Transit-oriented development (TOD)

Prof. Dr. Baojie He
Prof. Dr. Ali Cheshmehzangi
Prof. Dr. Shady Attia
Dr. Zhengxuan Liu
Topic Editors

Keywords

  • climate change
  • Sustainable Development Goals
  • urban transformation
  • decarbonization
  • built environment
  • governance

Participating Journals

Journal Name Impact Factor CiteScore Launched Year First Decision (median) APC
Buildings
buildings
3.1 4.4 2011 14.9 Days CHF 2600
Forests
forests
2.5 4.6 2010 17.1 Days CHF 2600
Land
land
3.2 5.9 2012 16 Days CHF 2600
Remote Sensing
remotesensing
4.1 8.6 2009 24.9 Days CHF 2700
Smart Cities
smartcities
5.5 14.7 2018 26.8 Days CHF 2000
Sustainability
sustainability
3.3 7.7 2009 19.3 Days CHF 2400
Atmosphere
atmosphere
2.3 4.9 2010 16.9 Days CHF 2400

Preprints.org is a multidisciplinary platform offering a preprint service designed to facilitate the early sharing of your research. It supports and empowers your research journey from the very beginning.

MDPI Topics is collaborating with Preprints.org and has established a direct connection between MDPI journals and the platform. Authors are encouraged to take advantage of this opportunity by posting their preprints at Preprints.org prior to publication:

  1. Share your research immediately: disseminate your ideas prior to publication and establish priority for your work.
  2. Safeguard your intellectual contribution: Protect your ideas with a time-stamped preprint that serves as proof of your research timeline.
  3. Boost visibility and impact: Increase the reach and influence of your research by making it accessible to a global audience.
  4. Gain early feedback: Receive valuable input and insights from peers before submitting to a journal.
  5. Ensure broad indexing: Web of Science (Preprint Citation Index), Google Scholar, Crossref, SHARE, PrePubMed, Scilit and Europe PMC.

Published Papers (29 papers)

Order results
Result details
Journals
Select all
Export citation of selected articles as:
35 pages, 4986 KB  
Article
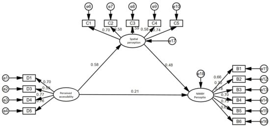
Design Optimization of Composite Grey Infrastructure from NIMBY to YIMBY: Case Study of Five Water Treatment Plants in Shenzhen’s High-Density Urban Areas
by Zhiqi Yang, Yu Yan, Zijian Huang and Heng Liu
Buildings 2025, 15(21), 3966; https://doi.org/10.3390/buildings15213966 - 3 Nov 2025
Abstract
Against the backdrop of Shenzhen’s high-density urban environment, the multifunctional design of water purification plants offers dual benefits: providing residents with urban green spaces while simultaneously mitigating NIMBY sentiments due to their inherent characteristics. Unlike traditional urban development, Shenzhen’s water purification plants integrate [...] Read more.
Against the backdrop of Shenzhen’s high-density urban environment, the multifunctional design of water purification plants offers dual benefits: providing residents with urban green spaces while simultaneously mitigating NIMBY sentiments due to their inherent characteristics. Unlike traditional urban development, Shenzhen’s water purification plants integrate into residents’ daily lives. Therefore, optimizing the built environment and road network structure to enhance residents’ perceptions of proximity benefits while reducing NIMBY (Not In My Backyard effect) sentiments holds significant implications for the city’s sustainable development. To address this question, this study adopted the following three-step mixed-methods approach: (1) It examined the relationships among residents’ YIMBY (Neighboring Benefits Effect) and NIMBY perceptions, perceptions of park spaces atop water purification plants, and perceptions of accessibility through questionnaire surveys and structural equation modeling (SEM), establishing a scoring framework for comprehensive YIMBY and NIMBY perceptions. (2) Random forest models and Shapley Additive Explanations (SHAP) analysis revealed nonlinear relationships between the built environment and composite YIMBY and NIMBY perceptions. (3) Spatial syntax analysis categorized the upgraded road network around the water purification plant into grid-type, radial-type, and fragmented-type structures. Scatter plot fitting methods uncovered relationships between these road network types and resident perceptions. Finally, negative perceptions were mitigated by optimizing path enclosure and reducing visual obstructions around the water purification plant. Enhancing neighborhood benefits—through improved path safety and comfort, increased green spaces and resting areas, optimized path networks, and diversified travel options—optimized the built environment. This approach proposes design strategies to minimize NIMBY perceptions and maximize YIMBY perceptions. Full article
Show Figures

Figure 1

22 pages, 14071 KB  
Article
Spatiotemporal Variations and Seasonal Climatic Driving Factors of Stable Vegetation Phenology Across China over the Past Two Decades
by Jian Luo, Xiaobo Wu, Yisen Gao, Yufei Cai, Li Yang, Yijun Xiong, Qingchun Yang, Jiaxin Liu, Yijin Li, Zhiyong Deng, Qing Wang and Bing Li
Remote Sens. 2025, 17(20), 3467; https://doi.org/10.3390/rs17203467 - 17 Oct 2025
Viewed by 587
Abstract
Vegetation phenology (VP) is a crucial biological indicator for monitoring terrestrial ecosystems and global climate change. However, VP monitoring using traditional remote sensing vegetation indices has significant limitations in precise analysis. Furthermore, most studies have overlooked the distinction between stable and short-term VP [...] Read more.
Vegetation phenology (VP) is a crucial biological indicator for monitoring terrestrial ecosystems and global climate change. However, VP monitoring using traditional remote sensing vegetation indices has significant limitations in precise analysis. Furthermore, most studies have overlooked the distinction between stable and short-term VP in relation to climate change and have failed to clearly identify the seasonal variation in the impact of climatic factors on stable VP (SVP). This study compared the accuracy of solar-induced chlorophyll fluorescence (SIF) and three traditional vegetation indices (e.g., Normalized Difference Vegetation Index) for estimating SVP in China, using ground-based data for validation. Additionally, this study employs Sen’s slope, the Mann–Kendall (MK) test, and the Hurst index to reveal the spatiotemporal evolution of the Start of Season (SOS), End of Season (EOS), and Length of Growing Season (LOS) over the past two decades. Partial correlation analysis and random forest importance evaluation are used to accurately identify the key climatic drivers of SVP across different climate zones and to assess the seasonal contributions of climate to SVP. The results indicate that (1) phenological metrics derived from SIF data showed the strongest correlation coefficients with ground-based observations, with all correlation coefficients (R) exceeding 0.69 and an average of 0.75. (2) The spatial distribution of SVP in China has revealed three primary spatial patterns: the Tibetan Plateau, and regions north and south of the Qinling–Huaihe Line. From arid, cold-to-warm, and humid regions, the rate of SOS advancement gradually increases; EOS transitions from earlier to nearly unchanged; and the rate of LOS delay increases accordingly. (3) The spring climate primarily drives the advancement of SOS across China, contributing up to 70%, with temperatures generally having a negative effect on SOS (r = −0.53, p < 0.05). In contrast, EOS is regulated and more complex, with the vapor pressure deficit exerting a dual ‘limitation–promotion’ effect in autumn (r = −0.39, p < 0.05) and summer (r = 0.77, p < 0.05). This study contributes to a deeper scientific understanding of the interannual variability in SVP under seasonal climate change. Full article
Show Figures

Figure 1

26 pages, 764 KB  
Article
A Multidimensional Impact Study of Heterogeneous Market-Based Environmental Regulations on Carbon Emissions
by Zizhuo Li, Yiniu Cui and Mengyao Guo
Sustainability 2025, 17(20), 9013; https://doi.org/10.3390/su17209013 - 11 Oct 2025
Viewed by 432
Abstract
Within the context of global climate change and China’s commitment to the “Dual Carbon” goals (carbon peak and carbon neutrality), this study proposes a novel taxonomy of market-based environmental regulations, dividing them into investment-driven and tax-based supervisory mechanisms. Using panel data from 30 [...] Read more.
Within the context of global climate change and China’s commitment to the “Dual Carbon” goals (carbon peak and carbon neutrality), this study proposes a novel taxonomy of market-based environmental regulations, dividing them into investment-driven and tax-based supervisory mechanisms. Using panel data from 30 Chinese provinces between 2010 and 2023, we empirically investigate their differential effects on carbon emissions. Results indicate that both regulatory approaches significantly curb carbon emissions, each exhibiting distinct nonlinear patterns: an inverted-U curve for investment-oriented measures and a U-shaped trajectory for tax-oriented policies, implying that excessively stringent tax supervision may lead to a rebound in emissions due to effects such as the “resource curse” and “innovation crowding-out.” Industrial structure transformation functions as a common mediating channel, while green innovation efficiency exerts a distinct moderating influence. Both policy types demonstrate adverse spatial spillover effects, with no support found for the “pollution haven” or “race to the bottom” hypotheses. This study offers new empirical insights into how environmental regulations facilitate green and low-carbon transition through market mechanisms, providing valuable implications for designing ecological policy systems that harmonize emission reduction efficiency with sustainability in China and other emerging economies. Full article
Show Figures

Figure 1

32 pages, 9204 KB  
Article
Unveiling Hidden Green Corridors: An Agent-Based Simulation (ABS) of Urban Green Continuity for Ecosystem Services and Climate Resilience
by Tao Dong, Massimo Tadi and Solomon Tamiru Tesfaye
Smart Cities 2025, 8(5), 163; https://doi.org/10.3390/smartcities8050163 - 1 Oct 2025
Viewed by 1287
Abstract
Urban green spaces are essential for mitigating the heat island effect, supporting ecosystem services, and maintaining biodiversity. The distribution, fragmentation, and connection of the green spaces significantly impact the behavior of species in cities, serving as key indicators of environmental resilience and ecological [...] Read more.
Urban green spaces are essential for mitigating the heat island effect, supporting ecosystem services, and maintaining biodiversity. The distribution, fragmentation, and connection of the green spaces significantly impact the behavior of species in cities, serving as key indicators of environmental resilience and ecological benefits. However, current studies, as well as planning standards, often prioritize green spaces independently through their coverage or density, overlooking the importance of continuity and its impact on thermal regulation and accessibility. In this research, urban “hidden green corridors” refer to the unrecognized but functionally significant pathways that link fragmented green spaces through ecological behaviors, which enhance both biological and human habitats. This research focuses on developing an agent-based simulation (ABS) model based on the Physarealm plugin in Rhino, which can assess the effectiveness of these hidden corridors in different urban settings by integrating geographic information systems (GIS) and space syntax. Based on three case studies in Italy (Lambrate District, Bolognina, and Ispra), the simulation results are further interpreted through the AI agentic workflow “SOFIA”, developed by IMM Design Lab, Politecnico di Milano, and compared using manual analysis as well as mainstream large language models (ChatGPT 4.0 Web). The findings indicate that the “hidden green corridors” are essential for urban heat reduction, enhancement of urban biodiversity, and strengthening ecological flows. Full article
Show Figures

Figure 1

26 pages, 5867 KB  
Article
High-Temperature Risk Assessment and Adaptive Strategy in Dalian Based on Refined Population Prediction Method
by Ziding Wang, Zekun Du, Fei Guo, Jing Dong and Hongchi Zhang
Sustainability 2025, 17(17), 7985; https://doi.org/10.3390/su17177985 - 4 Sep 2025
Viewed by 964
Abstract
Extremely high temperatures can severely impact urban livability and public health safety. However, risk assessments for high temperatures in cold-region cities remain inadequate. This study focuses on Dalian, a coastal city in northeastern China. Utilizing multi-source data, we established a population density prediction [...] Read more.
Extremely high temperatures can severely impact urban livability and public health safety. However, risk assessments for high temperatures in cold-region cities remain inadequate. This study focuses on Dalian, a coastal city in northeastern China. Utilizing multi-source data, we established a population density prediction model based on the random forest algorithm and a heat vulnerability index (HVI) framework following the “Exposure-Sensitivity-Adaptability” paradigm constructed using an indicator system method, thereby building a high-temperature risk assessment system suited for more refined research. The results indicate the following: (1) Strong positive correlations exist between nighttime light brightness (NL), Road Density (RD), the proportion of flat area (SLP), the land surface temperature (LST), and the population distribution density, with correlation coefficients reaching 0.963, 0.963, 0.956, and 0.954, respectively. (2) Significant disparities exist in the spatial distribution of different criterion layers within the study area. Areas characterized by high exposure, high sensitivity, and low adaptability account for 13.04%, 8.05%, and 21.44% of the total area, respectively, with exposure being the primary contributing factor to high-temperature risk. (3) Areas classified as high-risk or extremely high-risk for high temperatures constitute 31.57% of the study area. The spatial distribution exhibits a distinct pattern, decreasing gradually from east to west and from the coast inland. This study provides a valuable tool for decision-makers to propose targeted adaptation strategies and measures based on the assessment results, thereby better addressing the challenges posed by climate change-induced high-temperature risks and promoting sustainable urban development. Full article
Show Figures

Figure 1

33 pages, 13925 KB  
Article
Sensitivity of Human Thermal Comfort Benchmarks to Background Temperature and Individual Factors: An Empirical Study in Wuhan, China
by Minghao Wang, Chi Zhang, Siyao Wang, Huohua Wang, Qiwei Chen, Shen Xu and Baojie He
Buildings 2025, 15(17), 3037; https://doi.org/10.3390/buildings15173037 - 26 Aug 2025
Viewed by 923
Abstract
Individuals often adopt distinct behavioral patterns to adapt to different weather conditions. However, most studies on outdoor thermal comfort fail to consider weather variability and associated individual factors as interventions. This study conducted 12 days of field measurements and surveys across two residential [...] Read more.
Individuals often adopt distinct behavioral patterns to adapt to different weather conditions. However, most studies on outdoor thermal comfort fail to consider weather variability and associated individual factors as interventions. This study conducted 12 days of field measurements and surveys across two residential areas in Wuhan, categorizing the sampled data based on background temperatures. Thermal benchmarks were developed for different age and gender groups under varying weather conditions, with comparative analyses conducted to evaluate differences in thermal comfort responses. With changes in outdoor temperature, the most comfortable thermal sensation in winter showed a wider fluctuation, ranging from 0.13 to 1.58, while in summer, it ranged between −1.76 and −1.18. The relationship between thermal sensation and comfort varied more significantly among different age groups in winter, while in summer, the differences were more evident between genders. As summer temperatures rose, younger and middle-aged individuals showed a greater increase in thermal sensitivity compared to the elderly. Similarly, males exhibited higher sensitivity than females. In terms of thermally acceptable temperatures, the upper limit was similar across age groups, around 35 °C. However, the lower limit varied as follows: the elderly had the lowest acceptable lower limit of around 0–3 °C; middle-aged individuals tolerated 4–7 °C higher; and young people tolerated 10–12 °C higher than the elderly. Between genders, the upper limit was also similar, but females tolerated 7–10 °C lower temperatures than males. In the context of outdoor thermal comfort studies in residential areas of Wuhan, the Universal Thermal Climate Index demonstrated better applicability than the Physiologically Equivalent Temperature. Overall, by analyzing thermal benchmark models for different demographic groups under varying weather conditions, this study enhances the understanding of how outdoor environments influence thermal comfort and provides valuable insights for targeted microclimate regulation and urban design strategies. Full article
Show Figures

Figure 1

27 pages, 1998 KB  
Article
Identifying the Impact of Green Fiscal Policy on Urban Carbon Emissions: New Insights from the Energy Saving and Emission Reduction Pilot Policy in China
by Jianzhe Luo, Xianpu Xu and Lei Liu
Sustainability 2025, 17(17), 7632; https://doi.org/10.3390/su17177632 - 24 Aug 2025
Viewed by 888
Abstract
Urban carbon reduction is instrumental in enabling cities to realize their developmental sustainability objectives. However, regional disparities in economic development pose significant challenges to low-carbon transitions. This study utilizes panel data from 282 cities in China spanning 2006–2021, considering the energy saving and [...] Read more.
Urban carbon reduction is instrumental in enabling cities to realize their developmental sustainability objectives. However, regional disparities in economic development pose significant challenges to low-carbon transitions. This study utilizes panel data from 282 cities in China spanning 2006–2021, considering the energy saving and emission reduction (ESER) fiscal policy as an external shock. Using a multi-period difference-in-differences approach, we assess how ESER impacts urban carbon emissions. Our findings indicate that ESER significantly reduces municipal carbon emissions by an average of 23.3% compared to non-pilot cities. Mechanism analyses suggest that this effect operates through reduced energy consumption, improved industrial structure, and enhanced green innovation. ESER’s impact exhibits heterogeneity across cities with different levels of economic development, population size, innovation capacity, and industrial composition. Moreover, we find evidence of spatial spillover effects, as ESER benefits extend to neighboring regions. These results confirm the effectiveness of ESER in promoting low-carbon development and offer practical implications for enhancing environmental governance through green fiscal instruments. Full article
Show Figures

Figure 1

27 pages, 28315 KB  
Article
Morphological Optimization of Low-Density Commercial Streets: A Multi-Objective Study Based on Genetic Algorithm
by Hongchi Zhang, Liangshan You, Hong Yuan and Fei Guo
Sustainability 2025, 17(16), 7541; https://doi.org/10.3390/su17167541 - 21 Aug 2025
Viewed by 754
Abstract
Through their open space layout, rich green configuration and low floor area ratio (FAR), low-density commercial blocks show significant advantages in creating high-quality outdoor thermal comfort (Universal Thermal Climate Index, UTCI) environment, reducing regional energy consumption load (building energy consumption, BEC) potential, providing [...] Read more.
Through their open space layout, rich green configuration and low floor area ratio (FAR), low-density commercial blocks show significant advantages in creating high-quality outdoor thermal comfort (Universal Thermal Climate Index, UTCI) environment, reducing regional energy consumption load (building energy consumption, BEC) potential, providing pleasant public space experience and enhancing environmental resilience, which are different from traditional high-density business models. This study proposes a workflow for morphological design of low-density commercial blocks based on parametric modeling via the Grasshopper platform and the NSGA-II algorithm, which aims to balance environmental benefits (UTCI, BEC) and spatial efficiency (FAR). This study employs EnergyPlus, Wallacei and other relevant tools, along with the NSGA-II algorithm, to perform numerical simulations and multi-objective optimization, thus obtaining the Pareto optimal solution set. It also clarifies the correlation between morphological parameters and target variables. The results show the following: (1) The multi-objective optimization model is effective in optimizing the three objectives for block buildings. When compared to the extreme inferior solution, the optimal solution that is closest to the ideal point brings about a 33.2% reduction in BEC and a 1.3 °C drop in UTCI, while achieving a 102.8% increase in FAR. (2) The impact of design variables varies across the three optimization objectives. Among them, the number of floors of slab buildings has the most significant impact on BEC, UTCI and FAR. (3) There is a significant correlation between urban morphological parameters–energy efficiency correlation index, and BEC, UTCI, and FAR. Full article
Show Figures

Figure 1

26 pages, 24023 KB  
Article
Climate-Adaptive Archetypes of Vernacular Villages and Their Application in Public Building Design: A Case Study of a Visitor Center in Chaoshan, China
by Fengdeng Wan, Ziqiao Li, Huazhao Li, Li Li and Xiaomiao Xiao
Buildings 2025, 15(16), 2848; https://doi.org/10.3390/buildings15162848 - 12 Aug 2025
Viewed by 822
Abstract
The Sixth Assessment Report of the IPCC highlights that global surface temperatures have risen by 1.1 °C above pre-industrial levels, with a marked increase in the frequency and intensity of extreme heat events in hot–humid regions. Buildings in these areas urgently require passive [...] Read more.
The Sixth Assessment Report of the IPCC highlights that global surface temperatures have risen by 1.1 °C above pre-industrial levels, with a marked increase in the frequency and intensity of extreme heat events in hot–humid regions. Buildings in these areas urgently require passive design strategies to enhance climate adaptability. Employing Zhupu Ancient Village in Chaoshan region in China as an example, this study analyzes and evaluates the wind-driven ventilation archetype and buoyancy-driven ventilation archetype of the village through integrated meteorological data analysis (ECMWF) and computational fluid dynamics (CFD) simulations. The results indicate that the traditional climate-adaptive archetype facilitates wind speeds exceeding 0.5 m/s in over 80% of outdoor areas, achieving unobstructed airflow and a discernible stack ventilation effect. Through archetype translation, the visitor center design incorporates open alleyway systems and water-evaporative cooling strategies, demonstrating that over 80% of outdoor areas attain wind speeds of 0.5 m/s during summer, thereby achieving enhanced ventilation performance. The research provides a climate-response-archetype translation-performance validation framework and practical case studies for climate-adaptive design of public buildings in hot–humid regions. Full article
Show Figures

Figure 1

32 pages, 6681 KB  
Article
Spatial Distribution Characteristics and Cluster Differentiation of Traditional Villages in the Central Yunnan Region
by Tao Chen, Sisi Zhang, Juan Chen, Jiajing Duan, Yike Zhang and Yaoning Yang
Land 2025, 14(8), 1565; https://doi.org/10.3390/land14081565 - 30 Jul 2025
Viewed by 849
Abstract
As an integral component of humanity’s cultural heritage, traditional villages universally confront challenges such as population loss and cultural discontinuity amid rapid urbanization. Cluster-based protection models have increasingly become the international consensus for addressing the survival crisis of such settlements. This study selects [...] Read more.
As an integral component of humanity’s cultural heritage, traditional villages universally confront challenges such as population loss and cultural discontinuity amid rapid urbanization. Cluster-based protection models have increasingly become the international consensus for addressing the survival crisis of such settlements. This study selects the Central Yunnan region of Southwest China—characterized by its complex geography and multi-ethnic habitation—as the research area. Employing ArcGIS spatial analysis techniques alongside clustering algorithms, we examine the spatial distribution characteristics and clustering patterns of 251 traditional villages within this region. The findings are as follows. In terms of spatial distribution, traditional villages in Central Yunnan are unevenly dispersed, predominantly aggregating on mid-elevation gentle slopes; their locations are chiefly influenced by rivers and historical courier routes, albeit with only indirect dependence on waterways. Regarding single-cluster attributes, the spatial and geomorphological features exhibit a composite “band-and-group” pattern shaped by river valleys; culturally, two dominant modes emerge—“ancient-route-dependent” and “ethnic-symbiosis”—reflecting an economy-driven cultural mechanism alongside latent marginalization risks. Concerning construction characteristics, the “Qionglong-Ganlan” and Han-style “One-seal” residential features stand out, illustrating both adaptation to mountainous environments and the cumulative effects of historical culture. Based on these insights, we propose a three-tiered clustering classification framework—“comprehensive-element coordination”, “feature-led”, and “potential-cultivation”—to inform the development of contiguous and typological protection strategies for traditional villages in highland, multi-ethnic regions. Full article
Show Figures

Figure 1

24 pages, 1000 KB  
Article
Exploring Residents’ Perceptions of Offshore Wind Farms in Western Australia: A Qualitative Investigation
by Elena Turner and Michael Odei Erdiaw-Kwasie
Sustainability 2025, 17(15), 6880; https://doi.org/10.3390/su17156880 - 29 Jul 2025
Cited by 1 | Viewed by 1016
Abstract
Residents’ attitudes towards offshore wind farms have been researched extensively over the past few decades. In this research, the precept that offshore wind farms influence residents’ well-being is implicit. Only a few studies have directly examined residents’ knowledge, perceived benefits, and acceptance. This [...] Read more.
Residents’ attitudes towards offshore wind farms have been researched extensively over the past few decades. In this research, the precept that offshore wind farms influence residents’ well-being is implicit. Only a few studies have directly examined residents’ knowledge, perceived benefits, and acceptance. This study attempts to go beyond attitude-based research and explicitly examines factors influencing acceptance decision-making. The data for this qualitative study was collected through face-to-face interviews at a proposed offshore wind farm site in Perth, Western Australia. Results from the study suggest that offshore wind farms are not perceived or responded to uniformly by residents. This study provides a more comprehensive understanding of the dynamics and complexities behind identifying and explaining how residents of designated communities perceive offshore wind farms in a nuanced manner. Therefore, this study proffers significant theoretical discussions and practical implications regarding developing sustainable renewable energy alternatives in cities across Australia. Full article
Show Figures

Figure 1

27 pages, 8650 KB  
Article
Exploring the Impact of Architectural Landscape Characteristics of Urban Functional Areas in Xi’an City on the Thermal Environment in Summer Using Explainable Machine Learning
by Jiayue Xu, Le Xuan, Cong Li, Mengxue Zhang and Xuhui Wang
Sustainability 2025, 17(14), 6489; https://doi.org/10.3390/su17146489 - 16 Jul 2025
Viewed by 733
Abstract
Rapid urbanization has exacerbated the urban heat island effect, posing a significant threat to human health and urban ecosystems. While numerous studies have demonstrated that urban morphology significantly influences land surface temperatures (LSTs), few have systematically explored the impact and contribution of urban [...] Read more.
Rapid urbanization has exacerbated the urban heat island effect, posing a significant threat to human health and urban ecosystems. While numerous studies have demonstrated that urban morphology significantly influences land surface temperatures (LSTs), few have systematically explored the impact and contribution of urban morphology on LST across different functional zones. Therefore, this study takes Xi’an as a case and employs an interpretable CatBoost-SHAP machine learning model to evaluate the nonlinear influence of building landscape features on LST in different functional zones during summer. The results indicate the following: (1) The highest LST in the study area reached 52.68 °C, while the lowest was 21.68 °C. High-temperature areas were predominantly concentrated in the urban center and industrial zones with dense buildings, whereas areas around water bodies and green spaces exhibited relatively lower temperatures. (2) SHAP analysis revealed that landscape indicators exerted the most substantial impact across all functional zones, with green space zones contributing up to 62%. Among these, fractional vegetation coverage (FVC), as a core landscape factor, served as the primary cooling factor in all six functional zones and consistently demonstrated a negative effect. (3) Population density (POP) exhibited a generally high SHAP contribution across all functional zones, showing a positive correlation. Its effect was most pronounced in commercial zones, accounting for 16%. When POP ranged between 0 and 250 people, the warming effect was particularly prominent. (4) The mean building height (MBH) constituted a major influencing factor in most functional zones, especially in residential zones, where the SHAP value reached 0.7643. Within the range of 10–20 m, the SHAP value increased sharply, indicating a significant warming effect. (5) This study proposes targeted cooling strategies tailored to six functional zones, providing a scientific basis for formulating targeted mitigation strategies for different functional zones to alleviate the urban heat island effect. Full article
Show Figures

Figure 1

21 pages, 1524 KB  
Article
An Analysis of Implementation Constraints of Spatial Planning Tools for Disaster Risk Reduction in Mopani’s Informal Settlements, South Africa
by Juliet Akola and Mvuyana Bongekile Yvonne Charlotte
Sustainability 2025, 17(13), 6075; https://doi.org/10.3390/su17136075 - 2 Jul 2025
Viewed by 994
Abstract
Urbanization is rapidly transforming cities, especially in the Global South, with Sub-Saharan Africa expected to see the fastest growth in the next 30 years. In South Africa’s Mopani District, this urban expansion has led to the growth of informal settlements, increasing disaster risks [...] Read more.
Urbanization is rapidly transforming cities, especially in the Global South, with Sub-Saharan Africa expected to see the fastest growth in the next 30 years. In South Africa’s Mopani District, this urban expansion has led to the growth of informal settlements, increasing disaster risks related to water, health, and fire. This study focuses on Giyani Local Municipality, examining disaster risks in its informal settlements and the factors influencing the implementation of spatial planning tools. Using a SWOT analysis combined with the Analytical Hierarchy Process (AHP), the study found that while the municipality has strong land use and disaster management policies, poor enforcement, lack of integration, and weak governance limit their effectiveness. Opportunities for improvement include securing grants from the National Government and Disaster Management Centre to support disaster risk reduction (DRR) initiatives. However, challenges such as land shortages and ecological degradation threaten sustainable planning. The findings provide important insights for policymakers, urban planners, and disaster management professionals. The SWOT-AHP approach helps in prioritizing resource allocation, identifying risk trends, and focusing on key areas for mitigation. Overall, the study supports efforts to enhance resilience and promote sustainable urban development in informal settlements through better spatial planning. Full article
Show Figures

Figure 1

28 pages, 1008 KB  
Article
Assessment of Farm Vulnerability to Climate Change in Southern France
by Abderraouf Zaatra, Mélanie Requier-Desjardins, Hélène Rey-Valette, Thierry Blayac and Hatem Belhouchette
Land 2025, 14(7), 1388; https://doi.org/10.3390/land14071388 - 1 Jul 2025
Viewed by 1310
Abstract
Climate change (CC) is a major threat to agriculture, the sector that supports the territorial economy in the Pays Haut Languedoc et Vignoble (PHLV) region (south France). In this region, farms have been facing the negative effects of CC for several decades. The [...] Read more.
Climate change (CC) is a major threat to agriculture, the sector that supports the territorial economy in the Pays Haut Languedoc et Vignoble (PHLV) region (south France). In this region, farms have been facing the negative effects of CC for several decades. The implementation of agriculture adaptation policies requires a coherent and integrated tool that mobilizes approaches for territorial development, vulnerability assessments, and feasibility. The purpose of this research is to provide a multi-criteria assessment of farm vulnerability to CC in the PHLV region. An index of farm vulnerability was developed based on the classic model of vulnerability, which is the product of exposure and sensitivity divided by adaptive capacity. This assessment was conducted at the farm level, by combining biophysical variables (such as soil type and irrigation) and socioeconomic variables (such as agricultural experience and crop insurance), selected based on a literature review and interviews with local stakeholders and local experts. To solve the weighting problem, we differentiated between a “calculated vulnerability”, without any specific weighting of the vulnerability variables, and a “declared vulnerability” that integrates the scores assigned to the importance of each variable for each farmer surveyed, based on their awareness. Afterward, a discriminant analysis was used to identify the factors that determine the vulnerability classes. Our results show that (i) the majority of the surveyed farms have a relatively high vulnerability index, but wine farms and cereal farms are the most vulnerable; (ii) for all farms the “declared vulnerability” is lower than the “calculated vulnerability”, showing that farmers underestimate their vulnerability; (iii) there is an interesting link between the low level of vulnerability and the adaptation efforts already made over the past ten years by certain farms that have changed or introduced crops and improved their agricultural practices. Full article
Show Figures

Graphical abstract

24 pages, 6382 KB  
Article
An Exploration of the Association Between Residents’ Sentiments and Street Functions During Heat Waves—Taking the Five Core Urban Areas of Chengdu City as an Example
by Tianrui Hua, Yufei Ru, Sining Zhang and Shixian Luo
Land 2025, 14(7), 1377; https://doi.org/10.3390/land14071377 - 30 Jun 2025
Viewed by 673
Abstract
Due to global warming, the impact of heat waves on the sentimental health of urban residents has significantly intensified. However, the associative mechanism between diverse urban functional layouts and residents’ emotions at the street scale remains underexplored. Taking the five core urban areas [...] Read more.
Due to global warming, the impact of heat waves on the sentimental health of urban residents has significantly intensified. However, the associative mechanism between diverse urban functional layouts and residents’ emotions at the street scale remains underexplored. Taking the five core urban areas of Chengdu as an example, this study used natural language processing technology to quantify the sentiments in social media texts and combined traditional geographical information for spatial analysis and correlation analysis, to explore the spatial distribution pattern of sentiments during heat waves (SDHW), as well as the correlation between SDHW and the functional categories of streets (FCS). The findings are as follows: (1) There are significant differences in the spatial distribution pattern of residents’ sentiments in the five core urban areas, and positive emotions within the Second Ring Road exhibit a higher proportion than those of peripheral areas, while negative sentiments are more gathered in the eastern area. (2) The street categories of green space, park, and public show a significant promoting role on residents’ positive sentiments. (3) There is an association between the industrial and commercial categories and negative sentiments, and the impact of the traffic category on residents’ sentiments shows spatial differences. (4) The combination of the residential category and other functional categories has a strong correlation with sentiments, indicating that a reasonable functional combination within residential areas plays a crucial role in promoting residents’ positive sentiments. The current study revealed the influence mechanism of the functional categories of streets on residents’ sentiments during heat waves, providing a scientific basis from the sentimental dimension for the optimization of street functional categories, heat wave emergency management, and the construction of resilient cities. Full article
Show Figures

Figure 1

33 pages, 30723 KB  
Article
Beyond Flood Resilience—Rethinking Typology and Strategies for Flood-Prone Buyback Land in Suburban Brisbane
by Dan Nyandega and Lauren Williams
Sustainability 2025, 17(12), 5565; https://doi.org/10.3390/su17125565 - 17 Jun 2025
Cited by 1 | Viewed by 1373
Abstract
This research investigates the challenges and opportunities of flood-prone buyback land in the context of intensifying climate change and urban intensification, taking the suburbs of Brisbane City in Australia as a case study. While the floodable land buyback strategy has gained global interest, [...] Read more.
This research investigates the challenges and opportunities of flood-prone buyback land in the context of intensifying climate change and urban intensification, taking the suburbs of Brisbane City in Australia as a case study. While the floodable land buyback strategy has gained global interest, there has been limited focus on the future of this acquired land in cities. Approaching the design of flood-prone buyback land requires an understanding of the impacts and the specific manifestations of buyback land while embracing the increasing presence of water in these areas. Buyback land represents spaces to rethink the design of cities, going beyond flood resilience and addressing other climate change-related urban challenges. By combining adaptation and regenerative measures, design disciplines can contribute to generating site-specific buyback land strategies, establishing a stronger connection between these newly acquired lands, hydrological systems, urban intensification, and ecological balance to address the current and future needs of the city. The methodology involves a design-led investigation, combining analytical and speculative–exploratory methods, grounded on a site-specific approach, working at multidisciplinary and multi-scalar levels at city, suburb and site scale. This study identifies five typologies of buyback land: isolated, isolated clusters, block-clusters, park-fronted and water-fronted. Understanding these typologies should shape how we rethink buyback land in the context of climate change and urban intensification. When reconceptualized, the buyback land can redefine the flood-prone cities, by applying strategies that reimagine these areas through local climate adaptation, land repair, regeneration and resource recovery. Current and future buyback land offers opportunities for future design practices and policymakers to rethink the city’s long-term development in a changing climate. Full article
Show Figures

Figure 1

25 pages, 9256 KB  
Article
A Methodological Approach to Revealing the Landscape Morphology of Heijing Village Using Fractal Theory
by Peiyuan Li, Shanshan Liu, Pengjun Wu and Yao Liu
Buildings 2025, 15(12), 2037; https://doi.org/10.3390/buildings15122037 - 13 Jun 2025
Cited by 1 | Viewed by 873
Abstract
With the ongoing globalization, traditional villages around the world face the challenge of balancing modernization with the preservation of their cultural and spatial integrity. Heijing Village, a representative traditional settlement in Yunnan, showcases this global phenomenon through its distinctive spatial form and rich [...] Read more.
With the ongoing globalization, traditional villages around the world face the challenge of balancing modernization with the preservation of their cultural and spatial integrity. Heijing Village, a representative traditional settlement in Yunnan, showcases this global phenomenon through its distinctive spatial form and rich multi-ethnic cultural heritage. This study examines the landscape morphology of Heijing Village to reveal its spatial organization, cultural significance, and adaptive evolution. By applying fractal theory, we quantify the spatial complexity and self-similarity of the village, uncovering underlying patterns in land use that contribute to its sustainability and historical continuity. This study’s innovation lies in its use of fractal analysis to assess the village’s dynamic landscape, offering a novel method for understanding the interplay between traditional spaces and modern demands. The findings demonstrate variations in fractal dimension values before and after model optimization, indicating an enhanced ability to capture the intricate spatial structure of Heijing Village. Notably, changes in fractal dimensions across different land use types (e.g., residential areas: 1.4751 to 1.5323 and public service areas: 1.2846 to 1.3453) suggest improvements in quantification accuracy rather than actual physical transformations. This refined methodological framework provides a robust and replicable tool for planners to quantitatively assess the morphological characteristics of traditional settlements, supporting more evidence-based conservation strategies. Full article
Show Figures

Figure 1

20 pages, 6194 KB  
Article
Modular Constructed Wetlands for Treatment of Rural Domestic Wastewater: Laboratory Performance and Field Application
by Xiaolin Zhao, Jing Yang, Rubin Han, Hui Luo, Limin Chen, Meng Liu and Baojie He
Sustainability 2025, 17(10), 4427; https://doi.org/10.3390/su17104427 - 13 May 2025
Cited by 1 | Viewed by 1146
Abstract
As the discharge points of domestic sewage in rural areas are scattered with large fluctuations, constructed wetlands (CWs) are of great effectiveness in treating rural domestic wastewater. In this paper, horizontal subsurface flow modular constructed wetlands (HSSF-MCWs) with different filler combinations and plant [...] Read more.
As the discharge points of domestic sewage in rural areas are scattered with large fluctuations, constructed wetlands (CWs) are of great effectiveness in treating rural domestic wastewater. In this paper, horizontal subsurface flow modular constructed wetlands (HSSF-MCWs) with different filler combinations and plant species were constructed to analyze the pollutant removal effect on rural domestic wastewater. According to the fuzzy comprehensive evaluation method, the purification effect of the systems on rural domestic wastewater was evaluated for the selection of the best system. The decentralized rural domestic sewage treatment PPP project (Phase III) in Changshu was also monitored for field application. The results indicated that the red brick–volcanic rock (RB-VR) combination showed the best comprehensive removal effect on rural domestic wastewater, with the highest average removal rate of ammonia nitrogen (NH4+-N 81.0 ± 2.5%) and total nitrogen (TN 64.5 ± 3.4%). The fuzzy comprehensive index (FCI) of the RB-VR systems with four rural plants ranged from 2.60 to 3.74, in which Myriophyllum elatinoides Gaudich. showed the optimum long-term purification effect. The water quality and economic analysis results of the pilot project in Changshu indicated that the overall influent concentration was low with large fluctuations, and the qualified effluent rate was relatively low. Moreover, the equipment investment accounted for 51.24% of the overall construction investment of the project, so more economical equipment (1 m3/day and 20 m3/day) should be adopted in rural domestic wastewater treatment. Full article
Show Figures

Figure 1

19 pages, 1642 KB  
Article
Sustainable Management of Bursera bipinnata: Relationship Between Environmental and Physiological Parameters and Resin Extraction
by Fredy Martínez-Galván, Julio César Buendía-Espinoza, Elisa del Carmen Martínez-Ochoa, Selene del Carmen Arrazate-Jiménez and Rosa María García-Núñez
Forests 2025, 16(5), 801; https://doi.org/10.3390/f16050801 - 10 May 2025
Cited by 1 | Viewed by 857
Abstract
Copal is a non-timber forest product of historical, cultural, and industrial significance in Mexico. The use of unsustainable harvesting methods and a lack of understanding of the factors influencing their production have led to a decline in natural populations of resin-producing species. This [...] Read more.
Copal is a non-timber forest product of historical, cultural, and industrial significance in Mexico. The use of unsustainable harvesting methods and a lack of understanding of the factors influencing their production have led to a decline in natural populations of resin-producing species. This study aimed to identify the dendrometric, edaphoclimatic, physiological, and resin extraction method variables with the greatest influence on resin yield in Bursera bipinnata using correlation analysis and multiple linear regression. The research was conducted in the Los Sauces micro-watershed, Morelos, Mexico, with a randomly selected sample of 70 trees. Nineteen explanatory variables were categorized into dendrometric, edaphoclimatic, physiological, and extraction method parameters. Variables significantly correlated with resin yield were diameter at breast height, crown diameter, crown volume, altitude, resin tapping faces on the stem, resin tapping faces on branches, total resin tapping faces, resin tapping face height, total resin tapping area, and the Normalized Difference Moisture Index (NDMI) in October. The regression model revealed that resin yield increased significantly with total tapping area (β=0.649) but decreased with greater incision length (β=0.308) and higher NDMI values in October (β=0.205), explaining 43.8% of the variation in resin yield. Results highlight the importance of tissue damage intensity, tree physiological status, and water availability as determinants of resin production. The model provides practical guidelines for optimizing extraction techniques, enabling sustainable harvesting that maintains tree vitality and supports long-term productivity in resin-harvesting communities. Full article
Show Figures

Figure 1

25 pages, 32208 KB  
Article
Spatio-Temporal Heterogeneity of Vegetation Coverage and Its Driving Mechanisms in the Agro-Pastoral Ecotone of Gansu Province: Insights from Multi-Source Remote Sensing and Geodetector
by Macao Zhuo, Jianyu Yuan, Jie Li, Guang Li and Lijuan Yan
Atmosphere 2025, 16(5), 501; https://doi.org/10.3390/atmos16050501 - 26 Apr 2025
Viewed by 678
Abstract
The agro-pastoral ecotone of Gansu Province, a critical component of the ecological security barrier in northern China, is characterized by pronounced ecological fragility and climatic sensitivity. Investigating vegetation dynamics in this region is essential for balancing ecological conservation and sustainable development. This study [...] Read more.
The agro-pastoral ecotone of Gansu Province, a critical component of the ecological security barrier in northern China, is characterized by pronounced ecological fragility and climatic sensitivity. Investigating vegetation dynamics in this region is essential for balancing ecological conservation and sustainable development. This study integrated MODIS/NDVI remote sensing data (2000–2020), climate, land, and anthropogenic factors, employing Sen’s slope analysis, coefficient of variation (Cv), Hurst index, geodetector modeling, and partial correlation analysis to systematically unravel the spatio-temporal evolution and driving mechanisms of vegetation coverage. Key findings revealed the following: (1) Vegetation coverage exhibited a significant increasing trend (0.05 decade−1), peaking in 2018 (NDVI = 0.71), with a distinct north–south spatial gradient (lower values in northern areas vs. higher values in southern regions). Statistically significant greening trends (p < 0.05) were observed in 55.42% of the study area. (2) Interannual vegetation fluctuations were generally mild (Cv = 0.15), yet central regions showed 2–3 times higher variability than southern/northwestern areas. Future projections (H = 0.62) indicated sustained NDVI growth. (3) Climatic factors dominated vegetation dynamics, with sunshine hours and precipitation exhibiting the strongest explanatory power (q = 0.727 and 0.697, respectively), while the elevation–precipitation interaction achieved peak explanatory capacity (q = 0.845). (4) NDVI correlated positively with precipitation in 43.62% of the region (rmean = 0.47), whereas average temperature, maximum temperature, ≥10 °C accumulated temperature, and sunshine hours suppressed vegetation growth (rmean = −0.06 to −0.42), confirming precipitation as the primary driver of regional vegetation recovery. The multi-scale analytical framework developed here provides methodological and empirical support for precision ecological governance in climate-sensitive transitional zones, particularly for optimizing ecological barrier functions in arid and semi-arid regions. Full article
Show Figures

Figure 1

22 pages, 10154 KB  
Article
A Century of Water–Socioecological Dynamics and Evolutionary Stages in Lake Victoria Basin, East Africa
by Xinxin Zhang, Mengyuan Wang, Shiying Jin, Ismael A. Kimirei and Qun Gao
Land 2025, 14(4), 906; https://doi.org/10.3390/land14040906 - 20 Apr 2025
Cited by 1 | Viewed by 1396
Abstract
Understanding the feedback relationships and evolutionary stages of water–socioecological systems (W-SESs) is crucial for achieving sustainable development in basins. This study focuses on the Lake Victoria Basin (LVB) in East Africa, where population growth, rapid urbanization, and developing industrialization have intensified water resource [...] Read more.
Understanding the feedback relationships and evolutionary stages of water–socioecological systems (W-SESs) is crucial for achieving sustainable development in basins. This study focuses on the Lake Victoria Basin (LVB) in East Africa, where population growth, rapid urbanization, and developing industrialization have intensified water resource supply–demand conflicts, leading to socioecological issues such as water environmental degradation and ecological conflicts. The objective of this research is to develop a theoretical framework for the Lake Victoria Basin W-SESs (LVB-WSESs) based on the SES framework, identify the main drivers and critical nodes in the evolution of the LVB-WSESs, analyze the root causes of water–society–ecology conflicts, and explore the feedback relationships and evolutionary stages of the LVB-WSESs over the past century. To achieve this, we employed an integrated qualitative and quantitative analysis of historical data combined with tipping point detection to systematically assess the dynamics of the LVB-WSESs. Our findings show that, under the drivers of climate change (with a 1 °C increase in annual temperature since 1920s), population growth (a six-fold increase since 1920s), economic development, land-use change, urbanization, and species invasion, the basin’s demand for water resources, water environments, and aquatic ecosystems has continually increased, leading to the gradual degradation and imbalance of the basin’s ecological functions. The evolution of the LVB-WSESs can be divided into five stages against the historical backdrop of societal transitions from colonial to independent democratic systems: the stable resource utilization period, the slow environmental change period (1920s–1960s), the rapid environmental imbalance period (1960s–1990s), the transition period from environmental imbalance to protection (1990s–2015), and the reconstruction period of socioecological equilibrium. This study not only enhances understanding of the long-term dynamics of the LVB-WSESs but also provides practical implications for sustainable water management in similar basins globally. It enriches the local practice of global sustainable development theories, providing new theoretical perspectives and case references for future watershed sustainable management. By identifying critical drivers and evolutionary stages, our findings can inform policy decisions and interventions to mitigate socioecological conflicts and achieve basin-level sustainability. Full article
Show Figures

Figure 1

18 pages, 6835 KB  
Article
Response of Gross Primary Productivity (GPP) of the Desert Steppe Ecosystem in the Northern Foothills of Yinshan Mountain to Extreme Climate
by Shuixia Zhao, Mengmeng Zhang, Yingjie Wu, Enliang Guo, Yongfang Wang, Shengjie Cui and Tomasz Kolerski
Land 2025, 14(4), 884; https://doi.org/10.3390/land14040884 - 16 Apr 2025
Cited by 2 | Viewed by 1059
Abstract
The desert steppe ecosystem at the Northern Foothills of the Yinshan Mountains (NFYS) is characterized by its fragility and heightened sensitivity to global climate change. Understanding the response and lag effects of Gross Primary Productivity (GPP) to climate change is imperative for advancing [...] Read more.
The desert steppe ecosystem at the Northern Foothills of the Yinshan Mountains (NFYS) is characterized by its fragility and heightened sensitivity to global climate change. Understanding the response and lag effects of Gross Primary Productivity (GPP) to climate change is imperative for advancing ecological management and fostering sustainable development. The spatiotemporal dynamics of chlorophyll fluorescence-based GPP data and its responses to precipitation, temperature, and extreme climate from 2001 to 2023 were analyzed. The random forest model and the partial least squares regression model were employed to further elucidate the response mechanisms of GPP to extreme climate, with a specific focus on the lag effect. The findings revealed that the GPP in the NFYS exhibited distinct regional characteristics, demonstrating a predominantly increasing trend over the past 23 years. The region has experienced a warming and drying trend, marked by a decrease in the intensity and frequency of extreme precipitation events, and an increase in extremely high temperatures and consecutive hot days, except a slight, albeit insignificant, increase in precipitation in the northeastern part. GPP exhibits varying degrees of lag, ranging from one to three months, in response to both normal and extreme climatic conditions, with a more immediate response to extreme temperatures than to precipitation. The influence of different climatic conditions on the lag effects of GPP can amplify the negative effects of extreme temperatures and the positive impact of extreme precipitation. The anticipated trend towards a warmer and more humid climate is projected to foster an increase in GPP. This research is of great theoretical and practical significance for deeply understanding the adaptation mechanisms of ecosystems under the context of climate change, optimizing desertification control strategies, and enhancing regional ecological resilience. Full article
Show Figures

Figure 1

24 pages, 120861 KB  
Article
Evaluating the Greenness of Sanandaj City Using Sentinel Imagery in Google Earth Engine
by Werya Lotfi, Neda Abbasi, Ali Cheshmehzangi, Loghman Khodakarami and Hamideh Nouri
Sustainability 2025, 17(8), 3471; https://doi.org/10.3390/su17083471 - 13 Apr 2025
Viewed by 1193
Abstract
Urban greenery and cooling initiatives have become top priorities for municipalities worldwide as they contribute to improved environmental quality and urban resilience. This study leverages advancements in remote sensing (RS) and cloud-based processing to assess and monitor changes in public urban green spaces [...] Read more.
Urban greenery and cooling initiatives have become top priorities for municipalities worldwide as they contribute to improved environmental quality and urban resilience. This study leverages advancements in remote sensing (RS) and cloud-based processing to assess and monitor changes in public urban green spaces (PUGS) in Sanandaj, Iran. Using high-resolution Sentinel-2 imagery (10 m) processed in Google Earth Engine (GEE), we calculated and mapped the normalized difference vegetation index (NDVI) across 20 major PUGSs over a five-year period, from 2019 to 2023. A total of 507 Sentinel-2 images were analyzed, offering a comprehensive view of seasonal and annual greenness trends. Our findings reveal that May is the peak month for greenery, while February consistently shows the lowest NDVI values, indicating seasonal greenness variability. Specifically, the mean NDVI of PUGSs decreased significantly between 2019 and 2022, with values recorded at 0.735, 0.737, 0.622, 0.417, and 0.570 in the greenest month of each respective year, highlighting a noticeable decline in vegetation health and extent. This reduction can be attributed to water scarcity and suboptimal management practices, as evidenced by dried or underperforming green spaces in recent years. Our results underscore the potential of integrating NDVI-based assessments within urban development frameworks to more accurately define and sustain PUGSs in Sanandaj. This methodology provides a replicable approach for cities aiming to optimize urban greenery management through RS technology. Full article
Show Figures

Figure 1

23 pages, 13843 KB  
Article
Multi-Scenario Simulation of Land Use Change and Ecosystem Health Assessment in Chengdu Metropolitan Area Based on SD-PLUS-VORS Coupled Modeling
by Jiancheng Yu, Shuting Guo, Shiyuan Wang and Yanyun Luo
Sustainability 2025, 17(7), 3202; https://doi.org/10.3390/su17073202 - 3 Apr 2025
Cited by 2 | Viewed by 1075
Abstract
Human activities exert considerable influence on ecosystem health, a cornerstone for fostering sustainable regional growth, largely through their effects on land use transformations. This study integrates a system dynamics (SD) model with the patch-generating land use simulation (PLUS) model and the VORS (vigor–organization–resilience–ecosystem [...] Read more.
Human activities exert considerable influence on ecosystem health, a cornerstone for fostering sustainable regional growth, largely through their effects on land use transformations. This study integrates a system dynamics (SD) model with the patch-generating land use simulation (PLUS) model and the VORS (vigor–organization–resilience–ecosystem services) model to simulate the spatiotemporal dynamics of land use/cover change (LUCC) and assess ecosystem health in the Chengdu Metropolitan Area (CMA) from 2020 to 2035. These projections were conducted under three distinct scenarios: the ecological protection scenario (EPS), the natural development scenario (NDS), and the economic development scenario (EDS). The findings indicate the following: (1) Under EPS, NDS, and EDS, both cultivated land and grassland areas decline, and construction land expands by 40.68%, 54.76%, and 75.01%, respectively. (2) Across all three scenarios, ecosystem health demonstrates improvement, and it shifts from “poor” to “moderate.” (3) Ecosystem health levels in the CMA demonstrate significant spatial heterogeneity; they exhibit “low” levels in the central city, while generally stable levels are observed throughout the surrounding region. These results offer a strong scientific foundation for cultivating sustainable land management strategies and protecting ecosystem health in the CMA. Full article
Show Figures

Figure 1

25 pages, 7863 KB  
Article
Assessment of the Impacts of Different Carbon Sources and Sinks on Atmospheric CO2 Concentrations Based on GEOS-Chem
by Ge Qu, Jia Zhou, Yusheng Shi, Yongliang Yang, Mengqian Su, Wen Wu and Zhitao Zhou
Remote Sens. 2025, 17(6), 1009; https://doi.org/10.3390/rs17061009 - 13 Mar 2025
Cited by 3 | Viewed by 1843
Abstract
Global atmospheric CO2 concentrations, driven by anthropogenic emissions and natural carbon cycle dynamics, have emerged as a critical accelerator of climate change. However, due to the spatiotemporal heterogeneity of carbon sources and sinks, estimating CO2 flux remains highly uncertain. Accurately quantifying [...] Read more.
Global atmospheric CO2 concentrations, driven by anthropogenic emissions and natural carbon cycle dynamics, have emerged as a critical accelerator of climate change. However, due to the spatiotemporal heterogeneity of carbon sources and sinks, estimating CO2 flux remains highly uncertain. Accurately quantifying the contribution of various carbon sources and sinks to atmospheric CO2 concentration is essential for understanding the carbon cycle and global carbon balance. In this study, GEOS-Chem (version 13.2.1), driven by MERRA-2 meteorological data, was used to simulate monthly global CO2 concentrations from 2006 to 2010. The model was configured with a horizontal resolution of 2.5° longitude × 2.0° latitude and 47 vertical hybrid-sigma layers up to 0.01 hPa. To evaluate the impact of different emission sources and sinks, the “Inventory switching and replacing” approach was applied, designing a series of numerical experiments in which individual emission sources were selectively disabled. The contributions of eight major CO2 flux components, including fossil fuel combustion, biomass burning, balanced biosphere, net land exchange, aviation, shipping, ocean exchange, and chemical sources, were quantified by comparing the baseline simulation (BASE) with source-specific perturbation experiments (no_X). The results show that global CO2 concentration exhibits a spatial pattern with higher concentrations in the Northern Hemisphere and land areas, with East Asia, Southeast Asia, and eastern North America being high-concentration regions. The global average CO2 concentration increased by 1.8 ppm year−1 from 2006 to 2010, with China’s eastern region experiencing the highest growth rate of 3.0 ppm year−1. Fossil fuel combustion is identified as the largest CO2 emission source, followed by biomass burning, while oceans and land serve as significant CO2 sinks. The impact of carbon flux on atmospheric CO2 concentration is primarily determined by the spatial distribution of emissions, with higher flux intensities in industrialized and biomass-burning regions leading to more pronounced local concentration increases. Conversely, areas with strong carbon sinks, such as forests and oceans, exhibit lower net CO2 accumulation. Full article
Show Figures

Figure 1

27 pages, 27425 KB  
Article
Creating a Thermally Comfortable Environment for Public Spaces in Coastal Villages Considering Both Spatial Genetics and Landscape Elements
by Yue Pang, Xueyu Tang, Cheng Wang and Li Li
Sustainability 2025, 17(6), 2488; https://doi.org/10.3390/su17062488 - 12 Mar 2025
Viewed by 934
Abstract
Thermal comfort is an important criterion affecting the comfort evaluation of public spaces in villages. However, related studies remain scarce because of the intricate climates of seafront villages. In this study, the effect of landscape elements on thermal comfort within public spaces in [...] Read more.
Thermal comfort is an important criterion affecting the comfort evaluation of public spaces in villages. However, related studies remain scarce because of the intricate climates of seafront villages. In this study, the effect of landscape elements on thermal comfort within public spaces in seafront villages was examined. The spatial gene method was employed to extract the layout characteristics of typical public spaces and identify villages with the most comprehensive spatial elements as simulation subjects to enhance our understanding. The Physiological Equivalent Temperature (PET) was selected to quantitatively assess the effect of landscape elements on thermal comfort. The analysis results revealed varying thermal mitigation capacities across different types of landscape elements. Plants, notably in plazas and courtyards, along with buildings on beaches, emerged as the most significant contributors to thermal comfort. Moreover, a diurnal variation in the influence of landscape elements on thermal comfort was observed, attributed to the unique climatic conditions of seafront villages. During daytime, structural elements exerted the most substantial effect on PET in public spaces, accounting for more than 60%, whereas their influence waned in the evening. In contrast, as the sea breeze intensified in the evening, the planting method contributed over 71% to PET. Full article
Show Figures

Figure 1

18 pages, 271 KB  
Article
Research on the Impact of Atmospheric Environment Self-Purification Capacity on Fog-Haze Pollution
by Jingkun Zhou, Yating Li, Xiao Zhao and Ting Yin
Atmosphere 2025, 16(3), 318; https://doi.org/10.3390/atmos16030318 - 10 Mar 2025
Cited by 2 | Viewed by 855
Abstract
Why is fog-haze pollution very serious in Hebei province, where there are many pollution-intensive industries, and in Guangdong province, where it is not so serious? This paper uses the spatial Durbin model, the threshold effect model, and relevant local city data, etc., to [...] Read more.
Why is fog-haze pollution very serious in Hebei province, where there are many pollution-intensive industries, and in Guangdong province, where it is not so serious? This paper uses the spatial Durbin model, the threshold effect model, and relevant local city data, etc., to explore the effect of the atmospheric environment’s self-purification capacity on haze pollution from the perspective of green technology innovation. We found that the great haze outbreak in China is due to the large amount of ultrafine-particle low-cost emissions caused by the haze detection by weight method implemented in 2011 and 2012. This study also found that haze pollution in China has a significant impact on the atmospheric environment’s self-purification capacity. The atmospheric environment’s self-purification capacity has an inhibitory effect on haze pollution. When green technology innovation reaches the first threshold, the atmospheric self-purification capacity can significantly reduce the impact of haze pollution. When green technology innovation reaches the second threshold, the atmospheric self-purification capacity to reduce haze pollution is significantly enhanced. China’s local haze pollution is serious due to the industrial layout being unreasonable, caused by high-pollution industries emitting particles beyond the limits of atmospheric environment self-purification capacity. Industries in Hebei Province and Guangdong Province are more pollution-intensive, and haze pollution in Hebei Province is serious due to the weak self-purification capacity of the atmospheric environment. Guangdong Province’s atmospheric environment self-purification capacity is strong, and its haze pollution is not serious. Given the scientific use of atmospheric environment self-purification capacity and regional differences in green technology innovation, the development of targeted green input and atmospheric self-purification capacity enhancement policies in areas with serious air pollution, along with green technology innovations based on a region with less pollution, would be beneficial. To increase the amount of green technology innovation investment in regions where the atmospheric environment is not seriously polluted and green technology innovation is based on a bad region, more green funds should be invested in the atmospheric environment’s self-purification capacity. In regions where the atmospheric environment is not seriously polluted and the foundation of green technology innovation needs improvement, more green funds should be invested into atmospheric environment self-purification capacity to fully harness its inhibition of haze pollution. This should be accompanied by scientific planning and adjustments to the high-pollution industrial layout, etc., to effectively enhance the self-purification capacity of the regional atmospheric environment. In addition, the gradient transfer of high-pollution industries should be implemented based on atmospheric environment self-purification capacity to effectively reduce the impact of haze pollution. Full article
21 pages, 6436 KB  
Article
Climate Change Amplifies the Effects of Vegetation Restoration on Evapotranspiration and Water Availability in the Beijing–Tianjin Sand Source Region, Northern China
by Xiaoyong Li, Yan Lv, Wenfeng Chi, Zhongen Niu, Zihao Bian and Jing Wang
Land 2025, 14(3), 527; https://doi.org/10.3390/land14030527 - 3 Mar 2025
Viewed by 1257
Abstract
Evapotranspiration (ET) and water availability (WA) are critical components of the global water cycle. Although the effects of ecological restoration on ET and WA have been widely investigated, quantifying the impacts of multiple environmental factors on plant water consumption and regional water balance [...] Read more.
Evapotranspiration (ET) and water availability (WA) are critical components of the global water cycle. Although the effects of ecological restoration on ET and WA have been widely investigated, quantifying the impacts of multiple environmental factors on plant water consumption and regional water balance in dryland areas remains challenging. In this study, we investigated the spatial and temporal trends of ET and WA and isolated the contributions of vegetation restoration and climate change to variations in ET and WA in the Beijing–Tianjin Sand Source Region (BTSSR) in Northern China from 2001 to 2021, using the remote sensing-based Priestley–Taylor-Jet Propulsion Laboratory (PT-JPL) model and scenario simulation experiments. The results indicate that the estimated ET was consistent with field observations and state-of-the-art ET products. The annual ET in the BTSSR increased significantly by 1.28 mm yr−1 from 2001 to 2021, primarily driven by vegetation restoration (0.78 mm yr−1) and increased radiation (0.73 mm yr−1). In contrast, the drier climate led to a decrease of 0.56 mm yr−1 in ET. In semiarid areas, vegetation and radiation were the dominant factors driving the variability of ET, while in arid areas, relative humidity played a more critical role. Furthermore, reduced precipitation and increased plant water consumption resulted in a decline in WA by −0.91 mm yr−1 during 2001–2021. Climate factors, rather than vegetation greening, determined the WA variations in the BTSSR, accounting for 77.6% of the total area. These findings can provide valuable insights for achieving sustainable ecological restoration and ensuring the sustainability of regional water resources in dryland China under climate change. This study also highlights the importance of simultaneously considering climate change and vegetation restoration in assessing their negative impacts on regional water availability. Full article
Show Figures

Figure 1

27 pages, 37733 KB  
Article
Trends, Atmospheric Patterns, and Spatial Variability of Heatwaves in an Oceanic Climate Area of NW Iberia
by Luis Pérez-García, Cristina García-Hernández and Jesús Ruiz-Fernández
Land 2025, 14(2), 310; https://doi.org/10.3390/land14020310 - 2 Feb 2025
Cited by 2 | Viewed by 3243
Abstract
In the Atlantic region of northern Spain, heat extremes were historically rare, but in recent decades, they have become more intense and persistent. This article characterizes heat events in Asturias (NW Spain) between 2001 and 2023, focusing on their frequency, intensity, and duration, [...] Read more.
In the Atlantic region of northern Spain, heat extremes were historically rare, but in recent decades, they have become more intense and persistent. This article characterizes heat events in Asturias (NW Spain) between 2001 and 2023, focusing on their frequency, intensity, and duration, as well as their temporal trends. Additionally, it explores the synoptic patterns linked to these episodes to enhance understanding of their occurrence and evolution over the study period. The research is based on official meteorological records, and it distinguishes between officially declared heatwaves (DHs) and significant heat events (SHEs) identified through regional press reports. This methodology enables the study to capture a broader spectrum of heat-related impacts. During the study period, 17 episodes were documented (11 DHs and 6 SHEs). The frequency, intensity, and duration of heat events have significantly increased, particularly since 2016, standing the last two years (2022 and 2023). Both DHs and SHEs have progressively shifted toward the early and late periods of the astronomical summer, with some events occurring during spring and autumn in the second half of the study period (years 2017, 2022, and 2023). Three atmospheric patterns have been identified as responsible for extreme heat episodes; Type 1 (warm tropical continental air masses, combined with atmospheric stability) is responsible for 10 of the episodes. Furthermore, urban areas and main river valleys were the most affected areas, while coastal regions remained largely unaffected. This research aims to contribute to a broader understanding of how heatwaves are evolving in a temperate climate area under the influence of global warming, providing insights to inform and improve adaptation strategies for mitigating their impacts. Full article
Show Figures

Figure 1

Back to TopTop