Spatiotemporal Variations and Seasonal Climatic Driving Factors of Stable Vegetation Phenology Across China over the Past Two Decades
Abstract
Highlights
- SIF demonstrates a significantly better performance in extracting vegetation phenology compared to NDVI, EVI, and LAI;
- Short-term vegetation interference was excluded during the analysis of vegetation phenology’s response to climate change;
- Latitudinal variation in vegetation phenology is more pronounced than the longitudinal variation;
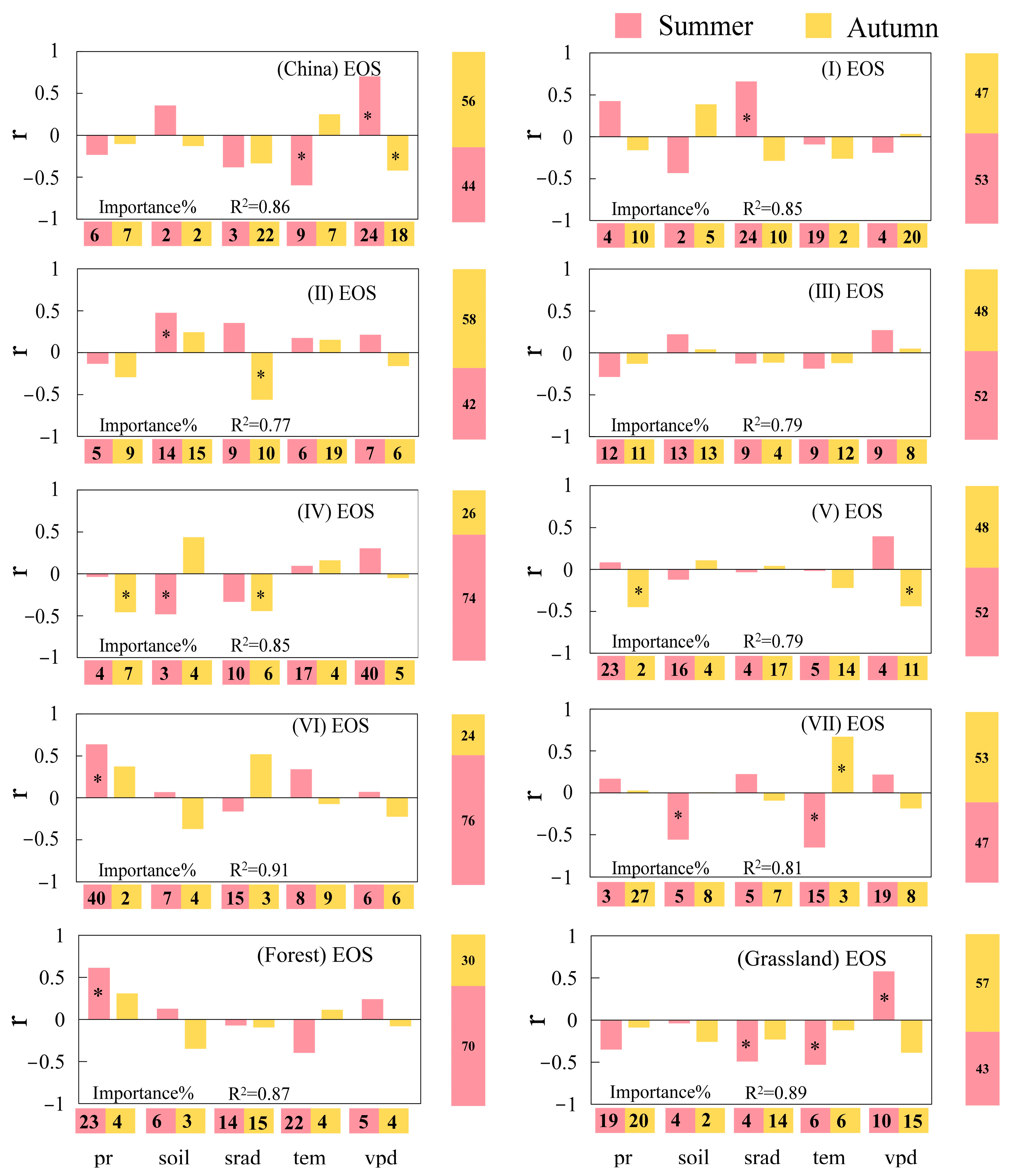
- SOS advances more rapidly in climate zones that are located further south and the more humid and warmer; EOS is positively correlated with summer vapor pressure deficit(vpd) and negatively correlated with autumn vpd.
Abstract
1. Introduction
2. Materials and Methods
2.1. Study Area
2.2. Data Sources and Preprocessing
2.3. Methods
2.3.1. SVP Metrics Estimation
2.3.2. Evaluation of the Accuracy of Phenology Estimation
2.3.3. Analyzing Trends and Persistence in Changes to Phenological Metrics
2.3.4. Analysis of the Response of SVP to Seasonal Climate Variability
3. Results
3.1. Accuracy Assessment of SVP Estimation from Four Remote Sensing Datasets
3.2. Spatial Distribution of SVP in China
3.3. Spatiotemporal Evolution of SVP in China
3.4. Effects of Seasonal Climate Factor Changes on SVP
4. Discussion
4.1. Performance Differences in VP Retrieval Using Multi-Source Remote Sensing Data
4.2. The Spatiotemporal Evolution Patterns of SVP in China
4.3. Characteristics of SVP in China Regulated by Seasonal Climate Change
4.4. Limitations and Future
5. Conclusions
Author Contributions
Funding
Data Availability Statement
Conflicts of Interest
References
- Lieth, H. (Ed.) Phenology and Seasonality Modeling; Springer: Berlin/Heidelberg, Germany, 1974; p. 4. [Google Scholar]
- Peters-Lidard, C.D.; Zion, M.S.; Wood, E.F. A soil-vegetation-atmosphere transfer scheme for modeling spatially variable water and energy balance processes. J. Geophys. Res. Atmos. 1997, 102, 4303–4324. [Google Scholar] [CrossRef]
- Root, T.L.; Price, J.T.; Hall, K.R.; Schneider, S.H.; Rosenzweig, C.; Pounds, J.A. Fingerprints of global warming on wild animals and plants. Nature 2003, 421, 57–60. [Google Scholar] [CrossRef]
- Chen, X.; Hu, B.; Yu, R. Spatial and temporal variation of phenological growing season and climate change impacts in temperate eastern China. Glob. Change Biol. 2005, 11, 1118–1130. [Google Scholar] [CrossRef]
- Chang, Q.; Xiao, X.; Jiao, W.; Wu, X.; Doughty, R.; Wang, J.; Du, L.; Zou, A.; Qin, Y. Assessing consistency of spring phenology of snow-covered forests as estimated by vegetation indices, gross primary production, and solar-induced chlorophyll fluorescence. Agric. For. Meteorol. 2019, 275, 305–316. [Google Scholar] [CrossRef]
- Yang, X.; Mustard, J.F.; Tang, J.; Xu, H. Regional-scale phenology modeling based on meteorological records and remote sensing observations. J. Geophys. Res. Biogeosci. 2012, 117, G03029. [Google Scholar] [CrossRef]
- Hmimina, G.; Dufrêne, E.; Pontailler, J.-Y.; Delpierre, N.; Aubinet, M.; Caquet, B.; De Grandcourt, A.; Burban, B.; Flechard, C.R.; Granier, A.; et al. Evaluation of the potential of MODIS satellite data to predict vegetation phenology in different biomes: An investigation using ground-based NDVI measurements. Remote Sens. Environ. 2013, 132, 145–158. [Google Scholar] [CrossRef]
- Melaas, E.K.; Friedl, M.A.; Zhu, Z. Detecting interannual variation in deciduous broadleaf forest phenology using Landsat TM/ETM+ data. Remote Sens. Environ. 2013, 132, 176–185. [Google Scholar] [CrossRef]
- Zhang, X.; Friedl, M.A.; Schaaf, C.B.; Strahler, A.H.; Hodges, J.C.F.; Gao, F.; Reed, B.C.; Huete, A. Monitoring vegetation phenology using MODIS. Remote Sens. Environ. 2003, 84, 471–475. [Google Scholar] [CrossRef]
- Tucker, C.J. Red and photographic infrared linear combinations for monitoring vegetation. Remote Sens. Environ. 1979, 8, 127–150. [Google Scholar] [CrossRef]
- Huete, A.; Didan, K.; Miura, T.; Rodriguez, E.P.; Gao, X.; Ferreira, L.G. Overview of the radiometric and biophysical performance of the MODIS vegetation indices. Remote Sens. Environ. 2002, 83, 195–213. [Google Scholar] [CrossRef]
- Xiang, Y.; Xiao, Z.; Liang, S.; Wang, J.; Song, J. Validation of Global LAnd Surface Satellite (GLASS) leaf area index product. J. Remote Sens. 2014, 18, 573–588. [Google Scholar] [CrossRef]
- Pinzon, J.E.; Tucker, C.J. A non-stationary 1981–2012 AVHRR NDVI3g time series. Remote Sens. 2014, 6, 6929–6960. [Google Scholar] [CrossRef]
- Zhou, Y.K.; Zhang, R.X.; Sun, W.B.; Zhang, S.H. Spatial and temporal characteristics of vegetation phenology in the Northeast China based on sun-induced chlorophyll fluorescence and its response to climate. Remote Sens. Technol. Appl. 2024, 39, 185–197. [Google Scholar]
- Wang, M.Y.; Luo, Y.; Zhang, Z.Y.; Xie, Q.Y.; Wu, X.D.; Ma, X.L. Recent advances in remote sensing of vegetation phenology: Retrieval algorithm and validation strategy. Natl. Remote Sens. Bull. 2022, 26, 431–455. [Google Scholar] [CrossRef]
- Bertani, G.; Wagner, F.H.; Anderson, L.O.; Aragão, L.E.O.C. Chlorophyll fluorescence data reveals climate-related photosynthesis seasonality in Amazonian forests. Remote Sens. 2017, 9, 1275. [Google Scholar] [CrossRef]
- Joiner, J.; Yoshida, Y.; Vasilkov, A.P.; Schaefer, K.; Jung, M.; Guanter, L.; Zhang, Y.; Garrity, S.; Middleton, E.; Huemmrich, K.; et al. The seasonal cycle of satellite chlorophyll fluorescence observations and its relationship to vegetation phenology and ecosystem atmosphere carbon exchange. Remote Sens. Environ. 2014, 152, 375–391. [Google Scholar] [CrossRef]
- Piao, S.; Liu, Q.; Chen, A.; Janssens, I.A.; Fu, Y.; Dai, J.; Liu, L.; Lian, X.; Shen, M.; Zhu, X. Plant phenology and global climate change: Current progresses and challenges. Glob. Change Biol. 2019, 25, 1922–1940. [Google Scholar] [CrossRef] [PubMed]
- Porcar-Castell, A.; Tyystjärvi, E.; Atherton, J.; Van der Tol, C.; Flexas, J.; Pfündel, E.E.; Moreno, J.; Frankenberg, C.; Berry, J.A. Linking chlorophyll a fluorescence to photosynthesis for remote sensing applications: Mechanisms and challenges. J. Exp. Bot. 2014, 65, 4065–4095. [Google Scholar] [CrossRef] [PubMed]
- Jeong, S.-J.; Schimel, D.; Frankenberg, C.; Drewry, D.T.; Fisher, J.B.; Verma, M.; Berry, J.A.; Lee, J.-E.; Joiner, J. Application of satellite solar-induced chlorophyll fluorescence to understanding large-scale variations in vegetation phenology and function over northern high latitude forests. Remote Sens. Environ. 2017, 190, 178–187. [Google Scholar] [CrossRef]
- Lu, X.; Liu, Z.; Zhou, Y.; Liu, Y.; An, S.; Tang, J. Comparison of phenology estimated from reflectance-based indices and solar-induced chlorophyll fluorescence (SIF) observations in a temperate forest using GPP-based phenology as the standard. Remote Sens. 2018, 10, 932. [Google Scholar] [CrossRef]
- Wang, X.; Sun, Z.; Lu, S.; Zhang, Z. Comparison of phenology estimated from monthly vegetation indices and solar-induced chlorophyll fluorescence in China. Front. Earth Sci. 2022, 10, 802763. [Google Scholar] [CrossRef]
- Zhou, H.; Sun, H.; Shi, Z.; Peng, F.; Lin, Y. Solar-induced chlorophyll fluorescence data-based study on the spatial and temporal patterns of vegetation phenology in the Northern Hemisphere during the period of 2007—2018. Natl. Remote Sens. Bull. 2023, 27, 376–393. [Google Scholar] [CrossRef]
- Bao, Y.; Tian, H.; Wang, X. Effects of climate change and ozone on vegetation phenology on the Tibetan Plateau. Sci. Total Environ. 2024, 932, 172780. [Google Scholar] [CrossRef]
- Zhang, R.; Qi, J.; Leng, S.; Wang, Q. Long-term vegetation phenology changes and responses to preseason temperature and precipitation in Northern China. Remote Sens. 2022, 14, 1396. [Google Scholar] [CrossRef]
- Ji, Z.X.; Pei, T.T.; Chen, Y.; Qin, G.X.; Hou, Q.Q.; Xie, B.P.; Wu, H.W. Vegetation phenology changes and its response to seasonal climate changes on the Loess Plateau. Acta Ecol. Sin. 2021, 41, 6600–6612. [Google Scholar] [CrossRef]
- Rezaei, E.E.; Siebert, S.; Ewert, F. Climate and management interaction cause diverse crop phenology trends. Agric. For. Meteorol. 2017, 233, 55–70. [Google Scholar] [CrossRef]
- Sacks, W.J.; Kucharik, C.J. Crop management and phenology trends in the US Corn Belt: Impacts on yields, evapotranspiration and energy balance. Agric. For. Meteorol. 2011, 151, 882–894. [Google Scholar] [CrossRef]
- Zhou, Q.; Yang, P.; Wu, W.; Chen, Z.; Tang, H.; Shibasaki, R. Characterizing spatial patterns of phenology in cropland of China based on remotely sensed data. Agric. Sci. China 2010, 9, 101–112. [Google Scholar] [CrossRef]
- Liu, F.S.; Chen, Y.; Shi, W.J.; Zhang, S.; Tao, F.L.; Ge, Q.S. Influences of agricultural phenology dynamics on land surface biophysical processes and climate feedback: A review. Acta Geol. Sin. 2017, 72, 1139–1150. [Google Scholar] [CrossRef]
- Forrest, J.; Miller-Rushing, A.J. Toward a synthetic understanding of the role of phenology in ecology and evolution. Philos. Trans. R. Soc. B 2010, 365, 3101–3112. [Google Scholar] [CrossRef]
- Liu, Q.; Fu, Y.H.; Zhu, Z.; Liu, Y.; Liu, Z.; Huang, M.; Janssens, I.A.; Piao, S. Delayed autumn phenology in the Northern Hemisphere is related to change in both climate and spring phenology. Glob. Change Biol. 2016, 22, 3702–3712. [Google Scholar] [CrossRef] [PubMed]
- Liu, Q.; Fu, Y.H.; Zeng, Z.; Huang, M.; Li, X.; Piao, S. Temperature, precipitation, and insolation effects on autumn vegetation phenology in temperate China. Glob. Change Biol. 2016, 22, 644–653. [Google Scholar] [CrossRef] [PubMed]
- Yu, H.; Luedeling, E.; Xu, J. Winter and spring warming result in delayed spring phenology on the Tibetan Plateau. Proc. Natl. Acad. Sci. USA 2010, 107, 22151–22156. [Google Scholar] [CrossRef] [PubMed]
- Shen, X.; Liu, B.; Xue, Z.; Jiang, M.; Lu, X.; Zhang, Q. Spatiotemporal variation in vegetation spring phenology and its response to climate change in freshwater marshes of Northeast China. Sci. Total Environ. 2019, 666, 1169–1177. [Google Scholar] [CrossRef]
- Jiang, K.; Bao, G. Changes in vegetation green-up period on the Mongolian Plateau from 2001 to 2017 and its response to climate change. Acta Ecol. Sin. 2019, 38, 2490. [Google Scholar]
- Menzel, A.; Sparks, T.H.; Estrella, N.; Koch, E.; Aasa, A.; Ahas, R.; Alm-Kübler, K.; Bissolli, P.; Braslavská, O.; Briede, A.; et al. European phenological response to climate change matches the warming pattern. Glob. Change Biol. 2006, 12, 1969–1976. [Google Scholar] [CrossRef]
- Hu, Y.; Fu, B.; Michaelides, K.; De Kauwe, M.G.; Wang, J.; Shen, M.; Zhang, W.; Wang, Y.; Xiao, X.; Qin, Y.; et al. Contrasting Trends in Onset of Spring Green-Up Between Grasslands and Forests in China. Earth’s Future 2025, 13, e2024EF005379. [Google Scholar] [CrossRef]
- Ministry of Natural Resources of the People’s Republic of China. Standard Map Service. Available online: http://bzdt.ch.mnr.gov.cn/ (accessed on 1 October 2024).
- Zhao, S.Q. A new scheme for comprehensive natural geographical zoning in China. Acta Geogr. Sin. 1983, 38, 1–10. [Google Scholar]
- Li, X.; Xiao, J. A global, 0.05-degree product of solar-induced chlorophyll fluorescence derived from OCO-2, MODIS, and reanalysis data. Remote Sens. 2019, 11, 517. [Google Scholar] [CrossRef]
- Jönsson, P.; Eklundh, L. Seasonality extraction by function fitting to time-series of satellite sensor data. IEEE Trans. Geosci. Remote Sens. 2002, 40, 1824–1832. [Google Scholar] [CrossRef]
- Ni, L. Changes in Grassland Phenology in China over the Past 30 Years and Its Response to Climatic Factors. Master’s Thesis, Gansu Agricultural University, Lanzhou, China, 2019. [Google Scholar]
- Sen, P.K. Estimates of the regression coefficient based on Kendall’s tau. J. Am. Stat. Assoc. 1968, 63, 1379–1389. [Google Scholar] [CrossRef]
- Kendall, M.G. Rank Correlation Methods; Griffin: London, UK, 1948. [Google Scholar]
- Mann, H.B. Nonparametric tests against trend. Econometrica 1945, 13, 245–259. [Google Scholar] [CrossRef]
- Hurst, H.E. Long-term storage capacity of reservoirs. Trans. Am. Soc. Civ. Eng. 1951, 116, 770–799. [Google Scholar] [CrossRef]
- Venter, Z.S.; Chakraborty, T.; Lee, X. Crowdsourced air temperatures contrast satellite measures of the urban heat island and its mechanisms. Sci. Adv. 2021, 7, eabb9569. [Google Scholar] [CrossRef]
- Camps-Valls, G.; Campos-Taberner, M.; Moreno-Martínez, Á.; Walther, S.; Duveiller, G.; Cescatti, A.; Mahecha, M.D.; Muñoz-Marí, J.; García-Haro, F.J.; Guanter, L.; et al. A unified vegetation index for quantifying the terrestrial biosphere. Sci. Adv. 2021, 7, eabc7447. [Google Scholar] [CrossRef] [PubMed]
- Zhang, J.; Gonsamo, A.; Tong, X.; Xiao, J.; Rogers, C.A.; Qin, S.; Liu, P.; Yu, P.; Ma, P. Solar-induced chlorophyll fluorescence captures photosynthetic phenology better than traditional vegetation indices. ISPRS J. Photogramm. Remote Sens. 2023, 203, 183–192. [Google Scholar] [CrossRef]
- Fang, J.; Li, X.; Xiao, J.; Yan, X.; Li, B.; Liu, F. Vegetation photosynthetic phenology metrics in northern terrestrial ecosystems: A dataset derived from a gross primary productivity product based on solar-induced chlorophyll fluorescence. Earth Syst. Sci. Data 2022, 14, 5433–5450. [Google Scholar] [CrossRef]
- Karkauskaite, P.; Tagesson, T.; Fensholt, R. Evaluation of the plant phenology index (PPI), NDVI and EVI for start-of-season trend analysis of the Northern Hemisphere boreal zone. Remote Sens. 2017, 9, 485. [Google Scholar] [CrossRef]
- Meng, F.; Huang, L.; Chen, A.; Zhang, Y.; Piao, S. Spring and autumn phenology across the Tibetan Plateau inferred from normalized difference vegetation index and solar-induced chlorophyll fluorescence. Big Earth Data 2021, 5, 182–202. [Google Scholar] [CrossRef]
- Wu, C.; Peng, D.; Soudani, K.; Siebicke, L.; Gough, C.M.; Arain, M.A.; Bohrer, G.; Lafleur, P.M.; Peichl, M.; Gonsamo, A.; et al. Land surface phenology derived from normalized difference vegetation index (NDVI) at global FLUXNET sites. Agric. For. Meteorol. 2017, 233, 171–182. [Google Scholar] [CrossRef]
- Zhang, J.; Xiao, J.; Tong, X.; Zhang, J.; Meng, P.; Li, J.; Liu, P.; Yu, P. NIRv and SIF better estimate phenology than NDVI and EVI: Effects of spring and autumn phenology on ecosystem production of planted forests. Agric. For. Meteorol. 2022, 315, 108819. [Google Scholar] [CrossRef]
- Xu, Y.; Li, X.; Du, H.; Mao, F.; Zhou, G.; Huang, Z.; Fan, W.; Chen, Q.; Ni, C.; Guo, K. Improving extraction phenology accuracy using SIF coupled with the vegetation index and mapping the spatiotemporal pattern of bamboo forest phenology. Remote Sens. Environ. 2023, 297, 113785. [Google Scholar] [CrossRef]
- Huang, P.; Pu, J.W.; Zhao, Q.Q.; Li, Z.J.; Song, H.K.; Zhao, X.Q. Research progress and development trends in vegetation remote sensing information extraction. Remote Sens. Nat. Resour. 2022, 34, 10–19. [Google Scholar] [CrossRef]
- Xue, Y.Y. Response of Vegetation Photosynthetic Phenology to Temperature-Precipitation-Drought in China. Master’s Thesis, Guizhou Normal University, Guiyang, China, 2024. [Google Scholar]
- Wang, Z.; Chen, J.; Li, Y.; Li, C.; Zhang, L.; Chen, F. Effects of climate change and cultivar on summer maize phenology. Int. J. Plant Prod. 2016, 10, 509–526. [Google Scholar] [CrossRef]
- Ji, Y.; Zhan, W.; Du, H.; Wang, S.; Li, L.; Xiao, J.; Liu, Z.; Huang, F.; Jin, J. Urban-rural gradient in vegetation phenology changes of over 1500 cities across China jointly regulated by urbanization and climate change. ISPRS J. Photogramm. Remote Sens. 2023, 205, 367–384. [Google Scholar] [CrossRef]
- Yao, J.H.; Ding, H.Y. Temporal and spatial variation characteristics analysis of vegetation phenology in Beijing based on MODIS time-series data. Remote Sens. Nat. Resour. 2024, 36, 1–10. [Google Scholar]
- Piao, S.; Friedlingstein, P.; Ciais, P.; Viovy, N.; Demarty, J. Growing season extension and its impact on terrestrial carbon cycle in the Northern Hemisphere over the past 2 decades. Glob. Biogeochem. Cycles 2007, 21, GB3018. [Google Scholar] [CrossRef]
- White, M.A.; De Beurs, K.M.; Didan, K.; Inouye, D.W.; Richardson, A.D.; Jensen, O.P.; O’Keefe, J.; Zhang, G.; Nemani, R.R.; van Leeuwen, W.J.D.; et al. Intercomparison, interpretation, and assessment of spring phenology in North America estimated from remote sensing for 1982–2006. Glob. Change Biol. 2009, 15, 2335–2359. [Google Scholar] [CrossRef]
- Zhao, Z.; Wang, X.; Li, R.; Luo, W.; Wu, C. Impacts of climate extremes on autumn phenology in contrasting temperate and alpine grasslands in China. Agric. For. Meteorol. 2023, 336, 109495. [Google Scholar] [CrossRef]
- Zhang, X.; Wang, X.; Zohner, C.M.; Peñuelas, J.; Li, Y.; Wu, X.; Zhang, Y.; Liu, H.; Shen, P.; Jia, X.; et al. Declining precipitation frequency may drive earlier leaf senescence by intensifying drought stress and enhancing drought acclimation. Nat. Commun. 2025, 16, 910. [Google Scholar] [CrossRef] [PubMed]
- Chen, X.; Ciais, P.; Maignan, F.; Zhang, Y.; Bastos, A.; Liu, L.; Bacour, C.; Fan, L.; Gentine, P.; Goll, D.; et al. Vapor Pressure Deficit and Sunlight Explain Seasonality of Leaf Phenology and Photosynthesis Across Amazonian Evergreen Broadleaved Forest. Glob. Biogeochem. Cycles 2021, 35, e2020GB006893. [Google Scholar] [CrossRef]
- Li, C.; Zhang, L.; Wang, H.; Peng, L.; Yin, P.; Miao, P. Influence of vapor pressure deficit on vegetation growth in China. J. Arid Land 2024, 16, 779–797. [Google Scholar] [CrossRef]
- Wang, Q.F.; Lu, J.K.; Zhang, R.R. Characteristics of vegetation phenology response to drought in mid-high latitude regions of China. J. S. China Norm. Univ. (Nat. Sci. Ed.) 2024, 56, 70–79. [Google Scholar] [CrossRef]
- Yuan, W.; Zheng, Y.; Piao, S.; Ciais, P.; Lombardozzi, D.; Wang, Y.; Ryu, Y.; Chen, G.; Dong, W.; Hu, Z.; et al. Increased atmospheric vapor pressure deficit reduces global vegetation growth. Sci. Adv. 2019, 5, eaax1396. [Google Scholar] [CrossRef] [PubMed]
- Jia, Q.; Gao, X.; Jiang, Z.; Li, H.; Guo, J.; Lu, X.; Li, F.Y. Sensitivity of temperate vegetation to precipitation is higher in steppes than in deserts and forests. Ecol. Indic. 2024, 166, 112317. [Google Scholar] [CrossRef]
- Cong, N.; Zhang, Y.J.; Zhu, J.T. Temperature sensitivity of vegetation phenology in spring in mid-to high-latitude regions of Northern Hemisphere during the recent three decades. Chin. J. Plant Ecol. 2022, 46, 125–135. [Google Scholar] [CrossRef]
- Graves, A. Long Short-Term Memory. In Supervised Sequence Labelling with Recurrent Neural Networks; Springer: Berlin/Heidelberg, Germany, 2012; pp. 37–45. [Google Scholar] [CrossRef]
- Vaswani, A.; Shazeer, N.; Parmar, N.; Uszkoreit, J.; Jones, L.; Gomez, A.N.; Kaiser, L.; Polosukhin, I. Attention is all you need. Adv. Neural Inf. Process. Syst. 2017, 30, 5998–6008. [Google Scholar]











| Variable | Product | Spatial Resolution | Temporal Resolution | |
|---|---|---|---|---|
| Analysis data | SIF | GOSIF | 0.05° | 8-day |
| NDVI | MOD13Q1 | 250 m | 16-day | |
| EVI | MOD13Q1 | 250 m | 16-day | |
| LAI | MOD15A2H | 500 m | 8-day | |
| Auxiliary data | Land cover type | MCD12C1 | 0.05° | annual |
| DEM | SRTM | 30 m | / | |
| Reanalysis data | sm | TerraClimate | 4 km | monthly |
| srad | ||||
| pr | ||||
| pet | ||||
| vpd | ||||
| tem |
| Slope | Z | Trend of SVP | Percentage of Area (%) | ||
|---|---|---|---|---|---|
| SOS | EOS | LOS | |||
| >0.05 | >1.96 | significant delay | 1.53 | 3.46 | 12.06 |
| >0.05 | −1.96~1.96 | Non-significant delay | 15.56 | 33.44 | 46.19 |
| −0.05~0.05 | ~ | Basically stable | 7.95 | 11.34 | 7.80 |
| <−0.05 | −1.96~1.96 | Significant advance | 18.79 | 9.25 | 3.29 |
| <−0.05 | <−1.96 | Non-significant advance | 56.17 | 42.51 | 30.66 |
| Slope | HI | Future Trends | Percentage of Area (%) | ||
|---|---|---|---|---|---|
| SOS | EOS | LOS | |||
| >0.05 | 0~0.5 | Delay-advance trend | 13.57 | 28.12 | 45.08 |
| >0.05 | 0.5~1 | Continuously delaying status | 3.53 | 8.78 | 13.17 |
| −0.05~0.05 | 0~0.5 | Unpredictable change | 6.35 | 8.79 | 5.93 |
| −0.05~0.05 | 0.5~1 | Continuously stable | 1.60 | 2.55 | 1.87 |
| <−0.05 | 0~0.5 | Advance-delay trend | 57.97 | 38.46 | 25.76 |
| <−0.05 | 0.5~1 | Continuously advancing status | 16.98 | 13.30 | 8.19 |
Disclaimer/Publisher’s Note: The statements, opinions and data contained in all publications are solely those of the individual author(s) and contributor(s) and not of MDPI and/or the editor(s). MDPI and/or the editor(s) disclaim responsibility for any injury to people or property resulting from any ideas, methods, instructions or products referred to in the content. |
© 2025 by the authors. Licensee MDPI, Basel, Switzerland. This article is an open access article distributed under the terms and conditions of the Creative Commons Attribution (CC BY) license (https://creativecommons.org/licenses/by/4.0/).
Share and Cite
Luo, J.; Wu, X.; Gao, Y.; Cai, Y.; Yang, L.; Xiong, Y.; Yang, Q.; Liu, J.; Li, Y.; Deng, Z.; et al. Spatiotemporal Variations and Seasonal Climatic Driving Factors of Stable Vegetation Phenology Across China over the Past Two Decades. Remote Sens. 2025, 17, 3467. https://doi.org/10.3390/rs17203467
Luo J, Wu X, Gao Y, Cai Y, Yang L, Xiong Y, Yang Q, Liu J, Li Y, Deng Z, et al. Spatiotemporal Variations and Seasonal Climatic Driving Factors of Stable Vegetation Phenology Across China over the Past Two Decades. Remote Sensing. 2025; 17(20):3467. https://doi.org/10.3390/rs17203467
Chicago/Turabian StyleLuo, Jian, Xiaobo Wu, Yisen Gao, Yufei Cai, Li Yang, Yijun Xiong, Qingchun Yang, Jiaxin Liu, Yijin Li, Zhiyong Deng, and et al. 2025. "Spatiotemporal Variations and Seasonal Climatic Driving Factors of Stable Vegetation Phenology Across China over the Past Two Decades" Remote Sensing 17, no. 20: 3467. https://doi.org/10.3390/rs17203467
APA StyleLuo, J., Wu, X., Gao, Y., Cai, Y., Yang, L., Xiong, Y., Yang, Q., Liu, J., Li, Y., Deng, Z., Wang, Q., & Li, B. (2025). Spatiotemporal Variations and Seasonal Climatic Driving Factors of Stable Vegetation Phenology Across China over the Past Two Decades. Remote Sensing, 17(20), 3467. https://doi.org/10.3390/rs17203467

