-
Considering the Effects of Cannabinoids and Exercise on the Brain: A Narrative Review -
Jump Rope Training Improves Muscular Strength and Cardiovascular Fitness in University Students: A Controlled Educational Intervention -
The Effect of Consuming Caffeine Before Late Afternoon/Evening Training or Competition on Sleep: A Systematic Review with Meta-Analysis -
Neuroplasticity of Brain Networks Through Exercise: A Narrative Review About Effect of Types, Intensities, and Durations -
Developing the Physical Fitness of Children: A Systematic Scoping Review of Pedagogy in Research
Journal Description
Sports
Sports
is an international, peer-reviewed, open access journal published monthly online by MDPI. The Strength and Conditioning Society (SCS), European Sport Nutrition Society (ESNS) and European Network of Sport Education (ENSE) are affiliated with Sports and their members receive discounts on the article processing charges.
- Open Access— free for readers, with article processing charges (APC) paid by authors or their institutions.
- High Visibility: indexed within Scopus, ESCI (Web of Science), PubMed, PMC, and other databases.
- Journal Rank: JCR - Q1 (Sport Sciences) / CiteScore - Q2 (Physical Therapy, Sports Therapy and Rehabilitation)
- Rapid Publication: manuscripts are peer-reviewed and a first decision is provided to authors approximately 18.7 days after submission; acceptance to publication is undertaken in 3.7 days (median values for papers published in this journal in the first half of 2025).
- Recognition of Reviewers: reviewers who provide timely, thorough peer-review reports receive vouchers entitling them to a discount on the APC of their next publication in any MDPI journal, in appreciation of the work done.
Impact Factor:
2.9 (2024);
5-Year Impact Factor:
3.3 (2024)
Latest Articles
Research Progress on Common Sports Injuries Among Youth Ice Hockey Players and Prevention Strategies: A Narrative Review
Sports 2025, 13(12), 449; https://doi.org/10.3390/sports13120449 (registering DOI) - 11 Dec 2025
Abstract
Background: Ice hockey is a high-intensity collision sport with one of the highest injury rates among youth team sports. Despite advanced protective equipment, youth athletes remain particularly vulnerable due to their unique physiological and psychological characteristics. Objective: This narrative review aims to synthesise
[...] Read more.
Background: Ice hockey is a high-intensity collision sport with one of the highest injury rates among youth team sports. Despite advanced protective equipment, youth athletes remain particularly vulnerable due to their unique physiological and psychological characteristics. Objective: This narrative review aims to synthesise the current evidence on the epidemiology, risk factors, and prevention strategies for common sports injuries in youth ice hockey players. Methods: We conducted a comprehensive literature search across PubMed, Web of Science, Scopus, and the Cochrane Library for publications between August 2015 and August 2025 using an iterative process and manual reference screening to identify relevant studies. Result: The evidence indicates that injury rates are notably high, ranging from 11.7 to 34.4 per 1000 athlete-hours. Concussions and upper/lower limb injuries are most prevalent. Body checking is the most significant modifiable risk factor associated with a threefold increase in concussion incidence. Policy interventions prohibiting body checking have demonstrated substantial benefits, leading to a 50–70% reduction in injury rates and a 57–60% reduction in concussions. Furthermore, the use of full-face protection was associated with a fourfold reduction in the risk of facial and dental injuries. Specialised preparatory activities and neuromuscular training, as well as comprehensive safety and rules training for players and coaches, can reduce the risk of injury in youth hockey players. Conclusion: This review underscores that effective injury prevention in youth ice hockey requires multi-faceted strategies focused on policy changes and proper equipment. Future work should focus on developing personalised prevention models, establishing youth-specific equipment standards, and enhancing safety awareness.
Full article
(This article belongs to the Special Issue Sports Injury Prevention in Young Athletes)
Open AccessArticle
The Relationship Between Neurocognitive Function and Concussion in Women Professional Football Players: A Cross-Sectional Study
by
Freja Fredrika Lähteenmäki, Steve den Hollander, Dina Christa Janse van Rensburg, Tuomas Brinck, Gino Kerkhoffs and Vincent Gouttebarge
Sports 2025, 13(12), 448; https://doi.org/10.3390/sports13120448 (registering DOI) - 11 Dec 2025
Abstract
Objective: To determine the neurocognitive functions of women professional football players and explore their potential connection to concussions. Methods: An observational cross-sectional study was conducted via electronic questionnaires. Neurocognitive function was assessed with the “CNS Vital Signs” testing tool. Results: In total, 68
[...] Read more.
Objective: To determine the neurocognitive functions of women professional football players and explore their potential connection to concussions. Methods: An observational cross-sectional study was conducted via electronic questionnaires. Neurocognitive function was assessed with the “CNS Vital Signs” testing tool. Results: In total, 68 participants performed the neurocognitive function testing. Compared with the reference population, players scored within the average range (≥90) for 11 of 12 neurocognitive domains. Motor speed was above average (SS = 111.7). Overall, no significant neurocognitive deficits were observed. Thirty-two participants (43%) reported one or more concussions, with defenders being most affected (50%). Among defenders, 64% (n = 16) have a history of one or multiple concussions. Players with a history of three concussions showed significant deficits in the simple attention domain. Conclusion: Professional women footballers did not show significant signs of neurocognitive function deficits. However, a history of three concussions was significantly associated with lower standard scores for the simple attention neurocognitive domain.
Full article
(This article belongs to the Special Issue Advances in Football Science: Integrating Technology, Performance, and Well-Being)
Open AccessArticle
Sufficient Standardization? Evaluating the Reliability of an Inertial Sensor (BeyondTM) for Ankle Dorsiflexion After a Brief Familiarization Period
by
Giacomo Belmonte, Alberto Canzone, Marco Gervasi, Eneko Fernández-Peña, Angelo Iovane, Antonino Bianco and Antonino Patti
Sports 2025, 13(12), 447; https://doi.org/10.3390/sports13120447 (registering DOI) - 11 Dec 2025
Abstract
(1) Background: Ankle joint range of motion is recognized as abnormal in individuals with ankle sprains and Chronic ankle instability (CAI), especially in the dorsiflexion movement. This research investigated the test–retest and inter-rater reliability of the Motustech Beyond IMU for dorsiflexion movement following
[...] Read more.
(1) Background: Ankle joint range of motion is recognized as abnormal in individuals with ankle sprains and Chronic ankle instability (CAI), especially in the dorsiflexion movement. This research investigated the test–retest and inter-rater reliability of the Motustech Beyond IMU for dorsiflexion movement following only one hour of rater training and familiarization. (2) Methods: In total, 62 subjects were evaluated for the inter-rater reliability and test–retest with a one-week interval. The intraclass correlation coefficient (ICC), along with the Concordance Correlation Coefficient (CCC), was determined for each test of reliability. Standard error of measurement, coefficients of variation, limits of agreement (LoA) and minimal detectable change (MDC) were used for the measurement error analysis. (3) Results: Test–retest reliability was ranked excellent (ICC = 0.949) and very high (CCC = 0.897) for both ankle dorsiflexion measurements. On the other hand, Inter-Rater reliability was evaluated as good (ICC = 0.881–0.906) and very high (CCC = 0.783–0.811). However, the measurement error analysis showed poor absolute agreement (LoA), indicating that the resulting measurement variability is considered clinically unacceptable for high-precision applications. (4) Conclusions: Beyond Inertial demonstrated excellent test–retest reliability for ankle dorsiflexion movements, although measurement error analysis showed considerable absolute error. Consequently, it may be considered a reliable tool for single-rater monitoring of ankle dorsiflexion ROM in non-clinical settings such as general physical activity and amateur sports. Future research should investigate its potential role in injury prevention contexts.
Full article
(This article belongs to the Special Issue Evaluation and Implementation of Inertial Technologies in the Analysis of Sports Performance and Physical Activity)
►▼
Show Figures

Figure 1
Open AccessArticle
Acute Decrease in Glenohumeral Internal Rotation During Repetitive Baseball Pitching Is Associated with Transient Structural Changes in Medial Longitudinal Arch of Stride Leg: Pilot Study Using Mixed Model
by
Takeru Abekura, Noriaki Maeda, Tsubasa Tashiro, Satoshi Arima, Ryosuke Kaizuka, Madoka Koyanagi, Koshi Iwata, Haruka Yoshida, Ginji Ito, Mayu Ueda and Takashi Yamada
Sports 2025, 13(12), 446; https://doi.org/10.3390/sports13120446 (registering DOI) - 10 Dec 2025
Abstract
►▼
Show Figures
Pitching requires effective transfer of ground reaction force (GRF), and structural breakdown of the medial longitudinal arch (MLA) may influence glenohumeral internal rotation (IR) deficits. This study investigated whether changes in foot morphology of the stride leg and soft tissue characteristics are associated
[...] Read more.
Pitching requires effective transfer of ground reaction force (GRF), and structural breakdown of the medial longitudinal arch (MLA) may influence glenohumeral internal rotation (IR) deficits. This study investigated whether changes in foot morphology of the stride leg and soft tissue characteristics are associated with loss of IR during repeated pitching. Fifteen male college pitchers completed 60 pitches in a simulated game. IR range of motion (IRROM) was assessed before and after pitching. The navicular height, mechanical properties of the abductor hallucis (AbH) and plantar fascia, and GRF were measured at multiple time points. Correlation analysis and a linear mixed model were used to identify predictors of IRROM change. The mean change in shoulder IRROM during pitching was −21.9° ± 8.4°. IRROM and navicular height decreased significantly over time. The AbH elasticity increased throughout the pitching sequence. Greater reductions in IRROM appeared related to a higher vertical GRF (p = 0.021) and increased AbH elasticity (p = 0.046). Vertical GRF was unrelated to fastball velocity (p = 0.260), whereas anteroposterior GRF correlated with fastball velocity (p = 0.038). Morphological and mechanical changes in the stride leg, particularly within the support of the MLA, can influence IRROM. Reducing vertical GRF and stress on the AbH may help preserve the IRROM without compromising performance.
Full article

Figure 1
Open AccessArticle
Effect of Linear Sprints and Change-of-Direction Training Versus Small-Sided Soccer Games on Physical Performance in Highly Trained Young Female Soccer Players: A Randomized Cross-Over Study
by
Abdelwahid Aboulfaraj, Fatiha Laziri, Salah Eddine Haddou, Salah Lahlou, Mohamed Aghrouch, Ali Belamjahad, Juan Del Coso, Luca Paolo Ardigò and Hassane Zouhal
Sports 2025, 13(12), 445; https://doi.org/10.3390/sports13120445 - 10 Dec 2025
Abstract
Background: This study aimed to compare the effects of linear sprint training with changes of direction (LSCD) versus small-sided games (SSSG) on physical performance, agility, and soccer-specific skills in young elite female players. Methods: In a randomized crossover study, 27 players aged 15
[...] Read more.
Background: This study aimed to compare the effects of linear sprint training with changes of direction (LSCD) versus small-sided games (SSSG) on physical performance, agility, and soccer-specific skills in young elite female players. Methods: In a randomized crossover study, 27 players aged 15 to 17 were divided into two groups (G1 = 14, G2 = 13). After a two-week baseline period, each group completed a four-week training mesocycle (three sessions per week) consisting of either LSCD or SSG. After a two-week washout period, participants switched interventions and completed the alternate four-week mesocycle. Performance assessments were conducted before and after each mesocycle to evaluate training effects. Results: Both types of training improved physical performance, with different magnitudes. LSCD induced larger gains in sprint speed (5, 10, 20 m; p < 0.05), agility without the ball (t-test; p = 0.05), and explosive power (countermovement jump, repeated jumps over 15 s; p = 0.02 and p = 0.004). In contrast, SSSG led to larger improvements in aerobic endurance (Yo-Yo IR1 test; p = 0.03) and agility with the ball (t-test with ball; p = 0.05). No transfer effect between cycles was observed. Conclusion: In young elite female players, LSCD training was more effective in improving speed, agility, and power, while SSSG was more effective for aerobic endurance and ball agility.
Full article
Open AccessReview
Exercise-Induced Biomarker Modulation in Sarcopenia: From Inflamm-Aging to Muscle Regeneration
by
Federica Marmondi, Vittoria Ferrando, Luca Filipas, Roberto Codella, Piero Ruggeri, Antonio La Torre, Emanuela Luisa Faelli and Matteo Bonato
Sports 2025, 13(12), 444; https://doi.org/10.3390/sports13120444 - 9 Dec 2025
Abstract
Sarcopenia is a progressive, age-related loss of skeletal muscle mass, strength, and function, strongly associated with frailty, disability, and chronic disease. Its pathogenesis involves chronic low-grade inflammation, hormonal imbalance, and impaired anabolic signaling, making biomarkers essential for diagnosis, prognosis, and intervention monitoring. This
[...] Read more.
Sarcopenia is a progressive, age-related loss of skeletal muscle mass, strength, and function, strongly associated with frailty, disability, and chronic disease. Its pathogenesis involves chronic low-grade inflammation, hormonal imbalance, and impaired anabolic signaling, making biomarkers essential for diagnosis, prognosis, and intervention monitoring. This review systematically analyzes randomized controlled trials (RCTs) evaluating the impact of physical exercise on biomarkers relevant to sarcopenia. Exercise modulates both pro-inflammatory markers (e.g., IL-6, TNF-α, CRP) and anti-inflammatory cytokines (e.g., IL-10, IL-15), while also affecting growth factors like IGF-1, myostatin, and follistatin. These changes support muscle anabolism, reduce catabolic signaling, and improve physical performance. In addition, we highlight a growing class of emerging exerkines, including irisin, apelin, beta-aminoisobutyric acid (BAIBA), decorin, brain-derived neurotrophic factor (BDNF), and meteorin-like factor (Metrnl). These molecules exhibit promising roles in mitochondrial health, lipid metabolism, muscle regeneration, and immune modulation, key processes in combating inflamm-aging and sarcopenic decline. Despite encouraging findings, biomarker responses remain heterogeneous across studies, limiting translational application. The integration of biomarker profiling with exercise prescription holds the potential to personalize interventions and guide precision medicine approaches in sarcopenia management. Future large-scale, standardized trials are needed to validate these biomarkers and optimize exercise protocols for aging populations.
Full article
(This article belongs to the Special Issue Monitoring Hematological and Biochemical Markers in Exercise Programs: From Health Optimization to Performance Enhancement)
►▼
Show Figures

Figure 1
Open AccessArticle
Skin Temperature as a Marker of Physical Fitness Profile: The Impact of High-Speed Running in Professional Soccer Players
by
Victor-Luis Escamilla-Galindo, Armiche Vega-Ramos, Jose Luis Felipe, Antonio Alonso-Callejo and Ismael Fernandez-Cuevas
Sports 2025, 13(12), 443; https://doi.org/10.3390/sports13120443 - 9 Dec 2025
Abstract
High-speed running (HSR) has the greatest physiological impact on soccer players. It is closely linked to neuromuscular fatigue and muscle damage post-match, emphasizing the role that load monitoring plays in both performance and recovery. The aim of this study was to examine the
[...] Read more.
High-speed running (HSR) has the greatest physiological impact on soccer players. It is closely linked to neuromuscular fatigue and muscle damage post-match, emphasizing the role that load monitoring plays in both performance and recovery. The aim of this study was to examine the relationship between match locomotor demands and the relative change in skin temperature (%ΔT) following official matches. A professional soccer team was analyzed during 14 regular-season matches. Infrared thermography (IRT) assessments were conducted before the match and up to 36 h after the match. The analyzed regions included posterior protocols of the lower limb. The kinematic variables of the match were obtained through a GPS device. Players were classified into high- and low-load groups based on the median values of HSR distance (372 m) and total distance (9675 m). Linear mixed-effects models showed that players in the high HSR group (≥372 m) demonstrated greater post-match decreases in %ΔT, particularly in the hamstring region (β = −1.79 ± 0.54 °C, 95% CI: −2.87 to −0.72, p = 0.001, R2 = 0.18), with a moderate-to-large effect size (ES = 0.67). Total distance also explained temperature change in the hamstrings (β = −1.46 ± 0.73 °C, p = 0.04). These findings suggest that post-match skin temperature reduction is sensitive to high-intensity running exposure, supporting IRT as a complementary internal load monitoring tool.
Full article
(This article belongs to the Special Issue Cutting-Edge Research on Physical Fitness Profile in Soccer Players: 2nd Edition)
►▼
Show Figures

Figure 1
Open AccessArticle
Sex Differences in the Metabolic Cost of a Military Load Carriage Task: A Field Based Study
by
Ben Schram, Jacques Rosseau, Elisa F. D. Canetti and Robin Orr
Sports 2025, 13(12), 442; https://doi.org/10.3390/sports13120442 - 9 Dec 2025
Abstract
►▼
Show Figures
Occupational demands, such as load carriage in tactical professions, do not discriminate based on sex. The aim of this study was to explore the differences in metabolic cost of a loaded pack march between the sexes in both absolute and relative terms. Twelve
[...] Read more.
Occupational demands, such as load carriage in tactical professions, do not discriminate based on sex. The aim of this study was to explore the differences in metabolic cost of a loaded pack march between the sexes in both absolute and relative terms. Twelve Army personnel (six males and six females) volunteered to complete three identical load carriage marches (5 km at 5.5 km/h, carrying 30 kg), across flat (on road) and undulating (gravelled path) terrain as part of a larger equipment trial. Heart rate (HR) response (HR average and maximum) was monitored with a Polar Team Pro unit and oxygen consumption with VO Master Pro (VO2 average and maximum) with the level of significance set at 0.05. There were no significant differences in age, years of experience, absolute loads carried, or completion time for each of the three events. Male soldiers were significantly taller (182.3 ± 6.2 cm vs. 167.4 ± 6.9 cm), heavier (88.2 ± 8.7 kg vs. 70.9 ± 10.6 kg), carried significantly less relative load (34.3 ± 3.4% vs. 43.2 ± 7.5%), and had significantly greater predicted VO2max (56.7 ± 6.1 mL/kg/min vs. 45.0 ± 2.9 mL/kg/min). A linear mixed model identified a significant main effect of sex on both average HR (β = −1.10) and peak HR (β = −1.27), and on average VO2 (β = −0.68), but not peak VO2. While the study was not powered to detect sex differences, the large effect sizes observed suggest meaningful physiological differences warranting further investigation. Female soldiers faced significantly greater metabolic costs when carrying the same loads and moving at the same speed and across the same terrain as their male counterparts. Adequate recovery and pacing strategies should be considered for these events, especially during training.
Full article

Figure 1
Open AccessArticle
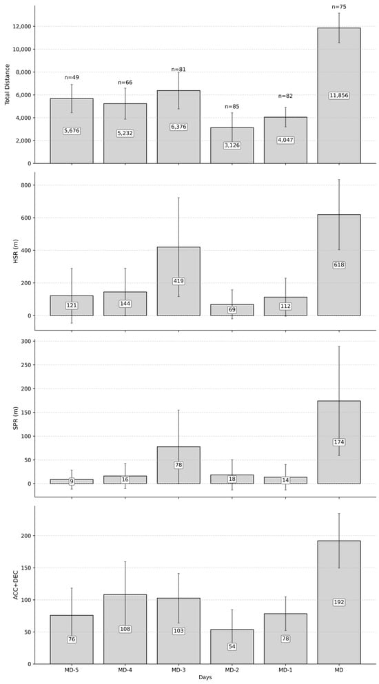
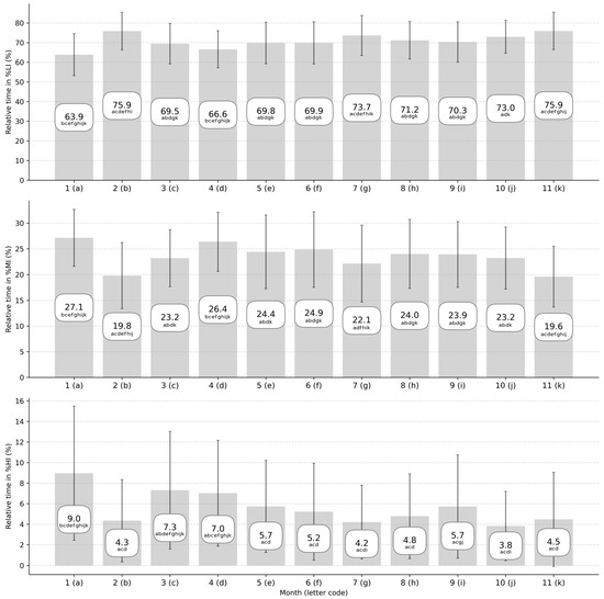
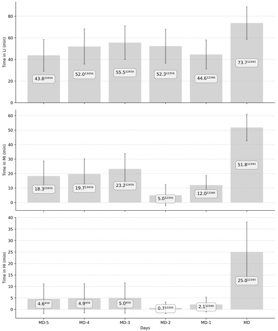
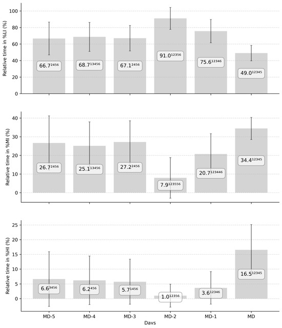
Exercise Heart Rate During Training and Competitive Matches in Elite Soccer: More Questions than Answers
by
Iwen Diouron, Cédric Leduc, Guilhem Escudier and Stéphane Perrey
Sports 2025, 13(12), 441; https://doi.org/10.3390/sports13120441 - 8 Dec 2025
Abstract
►▼
Show Figures
Monitoring the training load of elite soccer players is a common practice for clubs. However, limited information exists about the internal load experienced by elite soccer players. The heart rate (HR) exposure of 51 French elite soccer players was monitored using conductive vests
[...] Read more.
Monitoring the training load of elite soccer players is a common practice for clubs. However, limited information exists about the internal load experienced by elite soccer players. The heart rate (HR) exposure of 51 French elite soccer players was monitored using conductive vests incorporating ECG bands during two consecutive seasons using a three-zone intensity model. HR exposure was broken down into volume (i.e., total time in the three zones) and intensity (i.e., relative time in the three zones). The effect of playing position, as well as the period (monthly or daily), was assessed. Regarding seasonal exposure, a significant difference was observed between key periods of the season (i.e., preseason, in season, end-of-season) for both volume and intensity (p < 0.05). Noteworthily, monthly HR exposure was relatively constant across competitive period. For weekly exposure, a significant difference in HR volume and intensity was observed between matches and training sessions (p < 0.001) potentially highlighting gaps in players’ readiness. Note that there were small variations in terms of HR exposure between the three first training days (p < 0.05), especially for time and relative time over 90% of maximal HR (not significant). This study not only provides insight into typical HR exposure in elite football but also questions the current training periodisation.
Full article

Figure 1
Open AccessReview
Barriers and Facilitators in the Junior-to-Senior Transition in Male Football—A Scoping Review
by
João Tomás, Duarte Araújo, Diogo Martinho, João Ribeiro, Honorato Sousa, Adam Field and Hugo Sarmento
Sports 2025, 13(12), 440; https://doi.org/10.3390/sports13120440 - 5 Dec 2025
Abstract
►▼
Show Figures
Background: Despite many young players showing strong potential, only a small fraction succeeds in the critical transition from youth to elite senior football. This scoping review synthesizes research on the junior-to-senior transition in men’s football, identifying main topics related with barriers and facilitators
[...] Read more.
Background: Despite many young players showing strong potential, only a small fraction succeeds in the critical transition from youth to elite senior football. This scoping review synthesizes research on the junior-to-senior transition in men’s football, identifying main topics related with barriers and facilitators in the transition. Methods: Searches were performed in four databases (PubMed, Scopus, SPORTDiscus, and Web of Science) according to the Preferred Reporting Items for Systematic Reviews and Meta-Analyses (PRISMA, 2020) guidelines, using the following keywords: “football*” OR football AND talent* OR “talent identification” OR “talent development” OR expert* OR gift* AND “junior-to-senior” OR “transition career” or “athlete career transition” OR “transition phase”. Original articles in English focused on the junior-to-senior process in male footballers were included. Results: From 5307 titles, 35 studies met eligibility criteria. The most examined themes were psychosocial factors, including social support, stressors, and resilience. The reviewed studies identified organizational structure and effective club communication as facilitators and emphasized the importance of physical attributes to meet senior-level demands. Conclusions: Overall, the junior-to-senior transition is multifaceted, shaped by psychosocial, organizational, and physical factors. Despite robust research, gaps remain; future longitudinal and interdisciplinary studies should inform evidence-based strategies for optimizing player development and retention.
Full article

Figure 1
Open AccessArticle
Interpretable Machine Learning on Simulation-Derived Biomechanical Features for Hamstrings–Quadriceps Imbalance Detection in Running
by
Andreea Maria Mănescu, Andrei Claudiu Tudor, Corina Claudia Dinciu, Simona Ștefania Hangu, Iulius Radulian Mărgărit, Virgil Tudor, Cătălin Octavian Mănescu, Rela Valentina Ciomag, Mihaela Loredana Rădulescu, Cristian Hangu, Neluța Smîdu, Victor Dulceață, Ioana Cosmina Barac, Sorin Cristian Niță, Carmen Grigoroiu and Dan Cristian Mănescu
Sports 2025, 13(12), 439; https://doi.org/10.3390/sports13120439 - 5 Dec 2025
Abstract
Hamstrings–quadriceps (H–Q) imbalance represents a biomechanical marker of knee instability and injury risk in running. This in silico (simulation-based) study introduces a digital machine learning framework designed to estimate H–Q imbalance using biomechanical features derived entirely from synthetic running trials and conceptually mappable
[...] Read more.
Hamstrings–quadriceps (H–Q) imbalance represents a biomechanical marker of knee instability and injury risk in running. This in silico (simulation-based) study introduces a digital machine learning framework designed to estimate H–Q imbalance using biomechanical features derived entirely from synthetic running trials and conceptually mappable to inertial-sensor domains. Key biomechanical predictors included the dynamic hamstrings-to-quadriceps ratio (H:Qdyn), the knee moment limb symmetry index (LSI), and the early-stance co-contraction index (CCI), all standard indicators of muscular balance and coordination in sports medicine. A reduced musculoskeletal framework emulating flexor–extensor balance, limb symmetry, and co-contraction patterns generated 573 synthetic running trials for 160 virtual subjects across three speeds. These interpretable features trained a calibrated gradient-boosting classifier evaluated via ROC-AUC, PR-AUC, balanced accuracy, F1, and Brier score. Across all conditions, the model achieved ROC-AUC 0.933 (95% CI 0.908–0.958), balanced accuracy 0.943 (95% CI 0.924–0.962), PR-AUC 0.918 (95% CI 0.892–0.943), F1 0.940 (95% CI 0.919–0.958), and Brier 0.056 (95% CI 0.041–0.072), outperforming the logistic baseline. Dynamic H:Q ratio and knee moment symmetry were the dominant predictors, while co-contraction provided complementary biomechanical nuance. These results demonstrate that simulation-derived frameworks can reproduce IMU-relevant biomechanical variability, enabling interpretable machine learning for transparent assessment of muscular balance in sports medicine.
Full article
(This article belongs to the Special Issue Evaluation and Implementation of Inertial Technologies in the Analysis of Sports Performance and Physical Activity)
►▼
Show Figures

Figure 1
Open AccessSystematic Review
Sustainable Career Transitions and Mental Health Support in Elite Sport: A Systematic Review of Evidence and Practices
by
Francesca Di Rocco, Cristian Romagnoli, Simone Ciaccioni, Laura Capranica, Elvira Padua and Flavia Guidotti
Sports 2025, 13(12), 438; https://doi.org/10.3390/sports13120438 - 5 Dec 2025
Abstract
►▼
Show Figures
The present systematic review aims to provide a comprehensive synthesis of evidence and practices regarding sustainable career transitions in elite sport. Following PRISMA guidelines, an extensive literature search was conducted in SPORTDiscus (EBSCOhost), PsycINFO, Scopus, Web of Science, and Google Scholar databases, resulting
[...] Read more.
The present systematic review aims to provide a comprehensive synthesis of evidence and practices regarding sustainable career transitions in elite sport. Following PRISMA guidelines, an extensive literature search was conducted in SPORTDiscus (EBSCOhost), PsycINFO, Scopus, Web of Science, and Google Scholar databases, resulting in 117 manuscripts, published from January 2015 to May 2025, and meeting the defined inclusion criteria. The review focused on mental health, dual-career pathways, transition readiness, and identity-related issues among elite athletes, Olympians, and Paralympians. Methodologies included qualitative, quantitative, and mixed-methods designs, with multisport and mixed-gender samples prevailing. The most commonly used instruments were semi-structured interviews and surveys. The main findings highlighted the centrality of mental health support, the role of dual-career planning, and the importance of proactive identity negotiation. Despite growing research interest, significant gaps persist in access to psychological support, structured transition planning, and dual-career strategies, with notable inconsistencies across countries and sports. The review emphasizes the necessity for integrated, multidimensional guidance, culturally sensitive psychological services, and flexible educational pathways to promote athlete well-being and sustainable post-sport careers. These insights are intended to inform the implementation of the ERASMUS+ funded PORTAL project, supporting evidence-based interventions and the development of resources such as an online platform and Real-Life Transition Officers to enhance the transition experiences of elite athletes.
Full article

Figure 1
Open AccessArticle
The Impact of Jump Type on Muscle Contractile Behavior: Fatigue or Potentiation After Countermovement and Stiffness Jumps?
by
Vedran Dukarić, Ivan Bon and Marijo Baković
Sports 2025, 13(12), 437; https://doi.org/10.3390/sports13120437 - 4 Dec 2025
Abstract
Jumping exercises are widely applied in sport performance and conditioning due to their crucial role in enhancing neuromuscular function and lower-limb power. Acute effects related to contractile properties measured by tensiomyography (TMG) remain insufficiently explored. This study aimed to examine the acute effects
[...] Read more.
Jumping exercises are widely applied in sport performance and conditioning due to their crucial role in enhancing neuromuscular function and lower-limb power. Acute effects related to contractile properties measured by tensiomyography (TMG) remain insufficiently explored. This study aimed to examine the acute effects of two jump types—bilateral countermovement jumps (CMJs) and stiffness jumps (STs)—on the contractile properties of the vastus medialis (VM) and medial gastrocnemius (GM) muscles. Twenty-nine kinesiology students (fourteen males, fifteen females; age 19.4 ± 0.7 years) performed CMJ and ST protocols in a randomized order. Muscle contractile characteristics were measured before and immediately after each protocol and analyzed using a mixed-model repeated-measures ANOVA. Significant pre–post changes were found in both muscles. In the VM, contraction (Tc) and delay (Td) times decreased (p < 0.01), indicating faster responses, whereas relaxation time (Tr) increased and sustain time (Ts) decreased (p < 0.05), suggesting temporary fatigue. Maximal displacement (Dm) increased (p < 0.01), indicating reduced stiffness. In contrast, the GM showed greater responsiveness after stiffness jumps, characterized by shorter Tc and Td (p < 0.01), and reduced endurance after CMJs. These findings highlight muscle specific neuromuscular adaptations and provide practical insights for optimizing warm-up, training, and rehabilitation protocols through targeted jump selection.
Full article
(This article belongs to the Special Issue Muscle Strength Testing in Sports and Rehabilitation)
►▼
Show Figures

Figure 1
Open AccessCase Report
Accelerating an Olympic Decathlete’s Return to Competition Using High-Frequency Blood Flow Restriction Training: A Case Report
by
Chris Gaviglio and Stephen P. Bird
Sports 2025, 13(12), 436; https://doi.org/10.3390/sports13120436 - 4 Dec 2025
Abstract
This case report describes the acceleration of an Olympic decathlete’s return to competition induced via high-frequency Blood Flow Restriction (BFR) training. BFR has gained popularity as an innovative rehabilitation method for promoting muscle repair and adaptation through anabolic and regenerative pathways when high
[...] Read more.
This case report describes the acceleration of an Olympic decathlete’s return to competition induced via high-frequency Blood Flow Restriction (BFR) training. BFR has gained popularity as an innovative rehabilitation method for promoting muscle repair and adaptation through anabolic and regenerative pathways when high mechanical loading is not possible. A 26-year-old elite decathlete with nine years of international experience sustained a Grade 2b strain of the semimembranosus and semitendinosus (a 9 mm central tendon tear) during a hurdle sprint. The injury was confirmed via MRI two days post-injury. Grade 2b hamstring injuries with intramuscular tendon involvement commonly require up to 4 weeks of rehabilitation before full training can be resumed. With the athlete due to complete in an Olympic Games competition 17 days post-injury, an intensive BFR-assisted rehabilitation program was initiated. Over 12 consecutive days, the athlete completed 3–6 BFR sessions per day (20–30 min each) at 50% limb occlusion pressure, along with physiotherapy and pain-limited functional testing. BFR was applied passively for recovery, during conditioning, and in low-load strength sessions. By day 12, sprint velocity reached 95% maximum, and the athlete successfully completed the decathlon, with no adverse effects or reinjury. This case illustrates how high-frequency BFR-assisted rehabilitation may facilitate accelerated recovery from a hamstring injury, enabling an effective return to elite competition within condensed timelines.
Full article
(This article belongs to the Special Issue Strength and Conditioning Society 2024: Sports Performance, Injury Prevention, Rehabilitation, and Health Improvement)
►▼
Show Figures

Figure 1
Open AccessArticle
Youth Soccer Development After a Forced Training Interruption: A Retrospective Analysis of Prepubertal Players
by
Federico Abate Daga, Italo Sannicandro, Alice Tanturli and Samuel Agostino
Sports 2025, 13(12), 435; https://doi.org/10.3390/sports13120435 - 4 Dec 2025
Abstract
This retrospective, non-interventional study investigated the impact of a forced training interruption, such as the COVID-19 nationwide lockdown, on the physical efficiency, performance, and technical-agility skills of prepubertal soccer players by comparing pre- and post-interruption cohorts within the same youth academy and at
[...] Read more.
This retrospective, non-interventional study investigated the impact of a forced training interruption, such as the COVID-19 nationwide lockdown, on the physical efficiency, performance, and technical-agility skills of prepubertal soccer players by comparing pre- and post-interruption cohorts within the same youth academy and at the same chronological age. Anonymised data collected across multiple competitive seasons included anthropometric measures and motor performance tests: Standing Long Jump, Shuttle Run, Shuttle Dribble, and Mini Cooper. Between-group differences were analysed using Mann–Whitney U tests, with p < 0.05 as the level of significance. The post-training interruption cohort showed significantly higher values in the Standing Long Jump (+11.2%, p < 0.001) and the Shuttle Run (+8.0%, p = 0.011), indicating improved explosive power and agility-speed. Conversely, performance on the Shuttle Dribble test declined by 13.4% (p < 0.001), while Mini Cooper results and BMI did not differ significantly. These findings suggest that modifications to compulsory training and children’s natural adaptability may have enhanced physical abilities, whereas the lack of contextual and interactive practice negatively affected technical-agility skills. Coaches should incorporate alternative workouts to maintain motor performance and emphasise ball-related and decision-making drills within ecological and dynamic environments to maximise developmental outcomes. This study offers new insights into the adaptive responses of young athletes and provides practical lessons for future youth soccer development, particularly during periods of forced training interruption.
Full article
(This article belongs to the Special Issue Cutting-Edge Research on Physical Fitness Profile in Soccer Players: 2nd Edition)
►▼
Show Figures

Figure 1
Open AccessArticle
A Preliminary Investigation of a Conceptual Framework of Performance Enhancement Across Different Life Domains
by
Lida Skoufa, Despoina Ourda, Vassilis Barkoukis and Haralambos Tsorbatzoudis
Sports 2025, 13(12), 434; https://doi.org/10.3390/sports13120434 - 4 Dec 2025
Abstract
►▼
Show Figures
The use of chemically assisted performance enhancement (CAPE) substances has become a prominent trend in today’s competitive societies. Although evidence suggests that CAPE behaviors across different life domains share common characteristics, no consistent theoretical framework exists for understanding the decision to engage in
[...] Read more.
The use of chemically assisted performance enhancement (CAPE) substances has become a prominent trend in today’s competitive societies. Although evidence suggests that CAPE behaviors across different life domains share common characteristics, no consistent theoretical framework exists for understanding the decision to engage in such behaviors. The aim of the present study was to examine a unified conceptualization of CAPE behaviors in four life domains. A total of 254 participants (64 competitive athletes, 40 recreational exercisers, 67 students, and 83 professionals) completed a survey assessing distal and proximal associations of CAPE behaviors (adapted for each domain). Path analysis used to evaluate the proposed model demonstrated an adequate fit. Results indicated that proximal associations of intentions (i.e., attitudes, norms, and situational temptation) were predicted by distal variables (i.e., social norms and cultural values). Intentions to engage in CAPE behaviors were predicted by attitudes and situational temptation. Goal commitment predicted only the mean of working, studying, or training. Finally, the mean of supplement use was predicted by norms. These findings provide preliminary evidence for a conceptual framework to understand CAPE behaviors across life domains, which may serve as a basis for designing intervention programs aimed at helping individuals make informed decisions about CAPE.
Full article

Figure 1
Open AccessArticle
Comparative Effects of Core Versus Forearm Training on Pull-Up Repetition Performance in Physically Inactive Males
by
Hamidreza Sepehri Rahnama, Sayyedarmin Ganji, Kitty Vadasz and Judit Prokai
Sports 2025, 13(12), 433; https://doi.org/10.3390/sports13120433 - 4 Dec 2025
Abstract
Pull-ups are a widely recognized exercise for training and assessing upper-body strength and muscular endurance, requiring coordinated activation of the latissimus dorsi, biceps brachii, forearm flexors, and core stabilizers. However, many individuals experience difficulty performing pull-ups due to inadequate grip strength or core
[...] Read more.
Pull-ups are a widely recognized exercise for training and assessing upper-body strength and muscular endurance, requiring coordinated activation of the latissimus dorsi, biceps brachii, forearm flexors, and core stabilizers. However, many individuals experience difficulty performing pull-ups due to inadequate grip strength or core stability. This study aimed to investigate the comparative effects of forearm-specific and core-specific training, combined with standardized pull-up routines, on upper-body performance indicators in physically inactive male students. Thirty participants (age = 21 ± 1.58 years) were randomly assigned to three groups (n = 10): pull-up plus interval training (PIT), pull-up plus forearm training (PFT), and pull-up plus core training (PCT). All groups performed identical pull-up-based programs for eight weeks, differing only in the supplemental exercises. Before and after the intervention, participants were tested for maximum pull-up repetitions, grip strength (both hands), and dead-hanging time. Significant improvements were found in all variables (p ≤ 0.009), with group differences in pull-up repetitions (p < 0.001) and right-hand grip strength (p = 0.004). The PFT group achieved the greatest gains, with a 222.5% increase in repetitions, 12% and 14.0% increases in right- and left-hand grip strength, and a 55.3% increase in hanging time. The PCT group showed moderate progress, while PIT yielded the smallest improvement. Forearm-specific training proved the most effective strategy for enhancing pull-up performance, grip strength, and endurance.
Full article
(This article belongs to the Special Issue Strength and Conditioning Society 2025: Sports Performance, Injury Prevention, Rehabilitation, and Health Improvement)
►▼
Show Figures

Figure 1
Open AccessArticle
Gender Differences in Anti-Doping Rule Violations Based on a 19-Year Data Analysis from the Serbian Anti-Doping Agency: National Study
by
Gorica Milovanovic, Jelena Rasic Ozegovic, Dejan Jovicic, Nenad Radivojevic, Nemanja Rancic, Jelena Stojicevic, Sonja Marjanović, Zoran Vesic and Milica Vukasinovic-Vesic
Sports 2025, 13(12), 432; https://doi.org/10.3390/sports13120432 - 4 Dec 2025
Abstract
Background: Gender differences in anti-doping rule violations (ADRVs) have been noted in international research, yet systematic analyses are rare. This study addresses that gap by providing the first comprehensive evaluation of the doping prevalence by gender in Serbia. Methods: A 19-year retrospective quantitative
[...] Read more.
Background: Gender differences in anti-doping rule violations (ADRVs) have been noted in international research, yet systematic analyses are rare. This study addresses that gap by providing the first comprehensive evaluation of the doping prevalence by gender in Serbia. Methods: A 19-year retrospective quantitative analysis was conducted on data collected by the Anti-Doping Agency of Serbia (ADAS) between 2006 and 2024. In total, 14,919 doping controls were performed, including 10,912 (73.11%) on male athletes and 4007 (26.89%) on female athletes. Results: Across this period, 146 ADRVs were identified, with a clear gender imbalance: 128 (87.32%) cases involved male athletes and 18 (12.68%) female athletes. A Chi-Square test confirmed a significant association between gender and ADRVs, χ2(1, N = 14,919) = 15.11, p < 0.001, indicating that male athletes were more likely to violate anti-doping rules. Substance profiles also differed: anabolic agents (S1) dominated overall, while stimulants (S6) and cannabinoids (S8) were more frequent in males, and diuretics (S5) and hormone modulators (S4) in females. Conclusions: These findings reveal a pronounced gender disparity in doping behavior and substance choice, providing a foundation for further research and emphasizing the need for gender-sensitive anti-doping education and policy.
Full article
Open AccessArticle
The Impact of Landing Complexity and Knee Taping on Stability: A Continuous Kinetics and Kinematics Analysis
by
Kendra Taryn Szeles and Andrew Green
Sports 2025, 13(12), 431; https://doi.org/10.3390/sports13120431 - 3 Dec 2025
Abstract
►▼
Show Figures
Landing biomechanics are strongly influenced by task complexity, yet the combine effects of different landing demands and taping on stability, kinetics, and kinematics remain unclear. Nineteen female athletes performed 40 cm drop landings (DL), drop jump landings (DJL), and countermovement jumps (CMJ) under
[...] Read more.
Landing biomechanics are strongly influenced by task complexity, yet the combine effects of different landing demands and taping on stability, kinetics, and kinematics remain unclear. Nineteen female athletes performed 40 cm drop landings (DL), drop jump landings (DJL), and countermovement jumps (CMJ) under four knee taping conditions: no tape (NT), rigid tape (RT), dynamic tape (DT), and kinesio tape (KT). Stability indices were compared across tasks and taping conditions. Continuous landing-phase biomechanics were analysed using SPM1d repeated measures ANOVA (p < 0.05). SPM1d revealed significant GRF differences between landing tasks (0–3%, p = 0.026; 15–25%, p < 0.001), with DT (p = 0.02) and KT (p = 0.03) reducing peak landing forces in the DJL compared to DL. The DL showed greater biomechanical stability overall, with better dynamic postural stability index (DPSI) across all taping conditions. However, TTS was significantly shorter in the DJL than the DL in RT (p = 0.005), DT and KT (p = 0.037). Significant joint kinematic differences were found between tasks and taping, particularly at the ankle, knee, and hip. Landing complexity influences joint loading and stability. Knee taping may attenuate impact forces and improve stabilisation during complex tasks, suggesting a potential role in enhancing movement efficiency and supporting injury-prevention.
Full article

Figure 1
Open AccessArticle
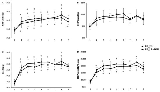
Cardiovascular Responses to a Full Resistance Training Session Performed with and Without Blood Flow Restriction
by
Anderson Geremias Macedo, Gabriel de Souza Zanini, Danilo Alexandre Massini, Tiago André Freire Almeida, David Michel de Oliveria, Cátia Caldeira Ferreira, Ricardo Monteiro Robalo, Mário Cunha Espada and Dalton Muller Pessôa Filho
Sports 2025, 13(12), 430; https://doi.org/10.3390/sports13120430 - 3 Dec 2025
Abstract
Resistance training (RT) can induce cardiovascular overload, especially at high intensities. Blood flow restriction (BFR) has emerged as a low-load alternative that is potentially effective and safe, although its hemodynamic and respiratory effects remain controversial. Background/Objectives: The aim of this study was to
[...] Read more.
Resistance training (RT) can induce cardiovascular overload, especially at high intensities. Blood flow restriction (BFR) has emerged as a low-load alternative that is potentially effective and safe, although its hemodynamic and respiratory effects remain controversial. Background/Objectives: The aim of this study was to compare cardiovascular responses between a high-load RT session (RT_HL; 70% of one repetition maximum—1RM) and a low-load session combined with BFR (RT_LL+BFR; 30% 1RM). Methods: Nineteen trained men (24.3 ± 3.9 years; 177.7 ± 6.3 cm; 84.7 ± 13.0 kg) performed the RT_HL and RT_LL+BFR protocols, with eight exercises for each protocol. The following variables–heart rate (HR), percentage of maximum heart rate (%HRmax), systolic blood pressure (SBP), diastolic blood pressure (DBP), and rate pressure product (RPP)–were assessed during the protocols. Results: Both protocols significantly increased HR (pre: 74 ± 8 bpm; post: RT_HL = 142 ± 9 bpm; RT_LL+BFR = 133 ± 6 bpm; p < 0.01), %HRmax (RT_HL = 72 ± 5%; RT_LL+BFR = 69 ± 4%; p < 0.01), SBP (RT_HL = 144 ± 6 mmHg; RT_LL+BFR = 140 ± 6 mmHg; p < 0.05), and RPP (RT_HL = 20,469 ± 1620; RT_LL+BFR = 18,637 ± 1253; p < 0.01) compared to resting values. No variable exceeded safety thresholds for RPP (<30,000; %HRmax < 75%), and DPB showed a slight elevation in both conditions (p < 0.05), but without differences between protocols (p = 0.28). Conclusions: Exercise load intensity was an important determinant of hemodynamic responses, but BFR elicited comparable stimuli with low load, thereby emphasizing improved safety to traditional high-load-intensity training.
Full article
(This article belongs to the Special Issue Strength and Conditioning: Enhancing Athletic Performance and Promoting Health)
►▼
Show Figures

Figure 1
Journal Menu
► ▼ Journal Menu-
- Sports Home
- Aims & Scope
- Editorial Board
- Topical Advisory Panel
- Instructions for Authors
- Special Issues
- Topics
- Topical Collections
- Article Processing Charge
- Indexing & Archiving
- Editor’s Choice Articles
- Most Cited & Viewed
- Journal Statistics
- Journal History
- Journal Awards
- Society Collaborations
- Editorial Office
Journal Browser
► ▼ Journal BrowserHighly Accessed Articles
Latest Books
E-Mail Alert
News
Topics
Topic in
Applied Sciences, JFMK, Sports, Children
Movement and Health: Holistic Development to Support Long-Term Active Lifestyles
Topic Editors: Francesco Sgrò, David StoddenDeadline: 31 December 2025
Topic in
Biomechanics, JFMK, Sports
Concurrent Strength and Endurance Training
Topic Editors: Alejandro Pérez-Castilla, Manuel A. Rodríguez PérezDeadline: 28 February 2026
Topic in
Biomechanics, JFMK, Sensors, Sports
Current Perspectives and Future Directions in Sports Biomechanics
Topic Editors: Pedro Forte, Rafael Peixoto, Luís BranquinhoDeadline: 25 May 2026
Topic in
Education Sciences, Sports
Sustainability-Oriented Learning in Physical Education and Health (PEH)
Topic Editors: Suzanne Lundvall, Andreas FröbergDeadline: 15 June 2026
Special Issues
Special Issue in
Sports
Physical Activity, Sedentary Behaviors and Exercise Interventions in Children
Guest Editors: Pedro Alexandre Duarte-Mendes, Daniel Marinho, Fernanda M. SilvaDeadline: 15 December 2025
Special Issue in
Sports
Factors and Biological Mechanisms Underlying Exercise Performance in Children
Guest Editors: Eleni Bassa, Papavasileiou AnastasiaDeadline: 20 December 2025
Special Issue in
Sports
Interventions to Increase Physical Activity and Measurements to Evaluate Performance in Children and Adolescents
Guest Editors: Corrado Lupo, Alexandru Nicolae Ungureanu, Paolo BrustioDeadline: 25 December 2025
Special Issue in
Sports
Fostering Sport for a Healthy Life
Guest Editors: Giancarlo Condello, Valentina Presta, Santos VillafainaDeadline: 31 December 2025
Topical Collections
Topical Collection in
Sports
Human Physiology in Exercise, Health and Sports Performance
Collection Editors: Rodrigo Zacca, Robin Pla, Roberto Baldassarre

