Journal Description
Behavioral Sciences
Behavioral Sciences
is an international, peer-reviewed, open access journal on psychology, neuroscience, cognitive science, behavioral biology and behavioral genetics published monthly online by MDPI.
- Open Access— free for readers, with article processing charges (APC) paid by authors or their institutions.
- High Visibility: indexed within Scopus, SSCI (Web of Science), PubMed, PMC, PsycInfo, and other databases.
- Journal Rank: JCR - Q2 (Psychology, Multidisciplinary) / CiteScore - Q2 (Development)
- Rapid Publication: manuscripts are peer-reviewed and a first decision is provided to authors approximately 29.6 days after submission; acceptance to publication is undertaken in 3.4 days (median values for papers published in this journal in the first half of 2025).
- Recognition of Reviewers: reviewers who provide timely, thorough peer-review reports receive vouchers entitling them to a discount on the APC of their next publication in any MDPI journal, in appreciation of the work done.
- Companion journal: International Journal of Cognitive Sciences
- Journal Cluster of Education and Psychology: Adolescents, Behavioral Sciences, Education Sciences, Journal of Intelligence, Psychology International and Youth.
Impact Factor:
2.5 (2024);
5-Year Impact Factor:
2.6 (2024)
Latest Articles
Implementing Self-Regulated Learning in Classrooms: Connecting What Primary School Teachers Think and Do Through Video-Based Observations and Interviews
Behav. Sci. 2025, 15(12), 1627; https://doi.org/10.3390/bs15121627 - 26 Nov 2025
Abstract
Self-regulated learning (SRL) is crucial for effective learning, supporting academic achievement and lifelong competencies. Fostering SRL in primary education is important, yet teachers’ understanding and use of strategies are underexplored. This study provides an innovative, multi-method investigation of whether and how primary school
[...] Read more.
Self-regulated learning (SRL) is crucial for effective learning, supporting academic achievement and lifelong competencies. Fostering SRL in primary education is important, yet teachers’ understanding and use of strategies are underexplored. This study provides an innovative, multi-method investigation of whether and how primary school teachers’ knowledge and beliefs about SRL align with their classroom practices. Video-based classroom observations were combined with semi-structured interviews to capture both what teachers think and what they do. The study addressed three research questions: (1) how and to what extent teachers implement SRL; (2) their knowledge and beliefs regarding SRL and alignment of these with classroom practice; (3) factors perceived as facilitating or constraining SRL implementation. Eight teachers participated, providing 16 h of observations and 11 h of interview data. Observations were analyzed using the ATES instrument, and interviews were coded thematically. Findings revealed variation in SRL implementation and misalignments between knowledge, beliefs, and practice. Teachers held misconceptions and focused mainly on metacognitive and motivational strategies in classroom practice. Limited self-efficacy and school- and classroom-level factors further constrained SRL implementation. Results indicate a need for professional development addressing knowledge gaps, misconceptions, and teachers’ self-efficacy, while encouraging school-wide reflective practices to support SRL in primary classrooms.
Full article
(This article belongs to the Special Issue The Promotion of Self-Regulated Learning (SRL) in the Classroom)
Open AccessArticle
Religious and Spiritual Dimensions of Pro-Ana Discourse on X: A Linguistic Analysis for Counseling Practice
by
Krisy Elrod and Angeliki Trifonopoulos
Behav. Sci. 2025, 15(12), 1626; https://doi.org/10.3390/bs15121626 - 26 Nov 2025
Abstract
Anorexia nervosa is among the most lethal psychiatric conditions. Online pro-anorexia (“pro-ana”) communities may frame starvation and restriction in moral or spiritual terms. This study explored how pro-ana discourse on X (formerly Twitter) encodes values, spirituality, and identity through language, with attention to
[...] Read more.
Anorexia nervosa is among the most lethal psychiatric conditions. Online pro-anorexia (“pro-ana”) communities may frame starvation and restriction in moral or spiritual terms. This study explored how pro-ana discourse on X (formerly Twitter) encodes values, spirituality, and identity through language, with attention to clinical practice. A dataset of 2396 English-language tweets (2020–2025) was collected using dual criteria (pro-ana hashtags plus eating-disorder keywords). Only U.S.-based English tweets were included to maintain linguistic and cultural coherence with LIWC-22 norms and counseling frameworks developed in U.S. contexts. Tweets were separated into three corpora (full, hashtags, and tweet bodies) and analyzed using Linguistic Inquiry and Word Count 2022 (LIWC-22), supplemented with custom spirituality and pro-ana dictionaries, and keyword/keyness analysis against a 36-billion-token web reference corpus. Religious language appeared consistently higher in hashtags compared with tweets and Twitter norms. Tweets contained more authenticity and self-disclosure, while hashtags functioned as collective markers of identity and practice. Body and food terms were strongly elevated, and affiliation terms appeared comparatively suppressed. Keyness analysis identified distinctive items such as prayer fast, fasting prayer (Luke), OMAD fast, hunger hurt, and I’m punching, illustrating how sacred, cultural, and diet-related slogans were combined within pro-ana discourse. Pro-ana rhetoric may function as a sacralized identity frame that can provide existential meaning to disordered practices. These findings contribute to behavioral science by highlighting how online communities linguistically construct health-related identities and values. They also suggest that effective clinical interventions should address eating disorders not only at behavioral and cognitive levels but also at the level of values and spirituality.
Full article
(This article belongs to the Section Psychiatric, Emotional and Behavioral Disorders)
Open AccessArticle
The Ambiguous Morpheme Processing in Chinese Compound Word Recognition in Deaf Readers
by
Yang Liu, Mengfang Zhang and Yan Wu
Behav. Sci. 2025, 15(12), 1625; https://doi.org/10.3390/bs15121625 - 25 Nov 2025
Abstract
This study used event-related potentials (ERPs) to examine how deaf individuals process ambiguous morphemes during Chinese compound word recognition in a masked priming lexical decision paradigm. Ambiguous morphemes were classified as balanced or biased, and two experiments employed a 3 × 2 within-subject
[...] Read more.
This study used event-related potentials (ERPs) to examine how deaf individuals process ambiguous morphemes during Chinese compound word recognition in a masked priming lexical decision paradigm. Ambiguous morphemes were classified as balanced or biased, and two experiments employed a 3 × 2 within-subject design. Each morpheme’s two meanings served as both primes and targets. The independent variables were prime type (meaning1 vs. meaning2 vs. unrelated) and target type (meaning1 vs. meaning2), with meaning1 being the dominant meaning and meaning2 being the subordinate meaning for biased morphemes. In the N250 (sublexical processing), balanced morphemes showed a main effect of prime type: any orthographically similar prime elicited priming. In the N400 (semantic processing), an interaction of prime and target type emerged, with only contextually congruent meanings activated. For biased morphemes, interactions were observed across N250 and N400 stages. The dominant meaning was consistently activated: when the target was dominant, both meanings showed priming; when the target was subordinate, only the subordinate meaning produced priming. These results reveal a dissociation in how deaf readers process ambiguous morphemes: balanced morphemes rely on contextual information, whereas biased morphemes are influenced by meaning frequency. The findings provide novel insights into the temporal dynamics of morpheme-based lexical access in deaf Chinese readers, with implications for reading and vocabulary instruction.
Full article
(This article belongs to the Section Cognition)
►▼
Show Figures

Figure 1
Open AccessArticle
Contrasting Temporal Sequencing Effects of Self-Regulation, Mood, and Self-Efficacy Changes Within National Cancer Institute-Certified Obesity Intervention Processes Targeting Multiple Weight-Loss Behaviors in Community Settings
by
James J. Annesi
Behav. Sci. 2025, 15(12), 1624; https://doi.org/10.3390/bs15121624 - 25 Nov 2025
Abstract
For behavioral obesity treatments to improve their typically minimal effects and reduce an increasing reliance on surgical and pharmacologic interventions, an enhanced understanding of theory-driven psychosocial factors is needed. Recent applied research successfully targeted the social cognitive theory-related variables of self-efficacy (SE), self-regulation
[...] Read more.
For behavioral obesity treatments to improve their typically minimal effects and reduce an increasing reliance on surgical and pharmacologic interventions, an enhanced understanding of theory-driven psychosocial factors is needed. Recent applied research successfully targeted the social cognitive theory-related variables of self-efficacy (SE), self-regulation (SR), and mood (e.g., total mood disturbance; TMD) to increase participants’ exercise outputs and improve their dietary behaviors to sustain weight losses. However, an improved understanding of interactions of changes in those psychosocial factors, especially within paths toward longer-term behavioral changes, is required to increase both the reliability and effectiveness of obesity interventions. Women (N = 106) participated in a 12-month, community-based cognitive–behavioral obesity intervention. Consistent with tenets of social cognitive theory, most of the treatment time was focused on building SR and SE related to both exercise and controlled eating, and improving mood (i.e., TMD), primarily through increased exercise. Improvements in SR, SE, and TMD were significant (ps < 0.001) from baseline to Months 3, 6, and 9 (except in SE over 9 months). These effect sizes were large (ds = 0.82–1.53). In line with the prediction of both exercise and dietary improvements over 12 months, paths from 3-month, to 6-month, to 9-month changes in SR → TMD → SE (B = 0.93, SEB = 0.59, 95% CI [0.034, 2.274], and B = 0.46, SEB = 0.25, 95% CI [0.035, 1.025], respectively) and TMD → SR → SE (B = −0.08, SEB = 0.03, 95% CI [−0.145, −0.020], and B = −0.04, SEB = 0.01, 95% CI [−0.070, −0.015], respectively) were significant, whereas the other possible paths incorporating changes in SR, SE, and TMD were not. Consistent with social cognitive theory and the mood–behavior model, findings supported the value of early treatment foci on interactions of TMD and SR changes in pursuit of longer-term advancements in SE and weight-loss behaviors.
Full article
(This article belongs to the Section Health Psychology)
Open AccessArticle
Changing Pre-Service Teachers’ Beliefs About Self-Regulated Learning: The Role of Refutational Texts and Instructional Analogies
by
Irini Skopeliti, Natassa Kyriakopoulou and Athanasia Androutsopoulou
Behav. Sci. 2025, 15(12), 1623; https://doi.org/10.3390/bs15121623 - 25 Nov 2025
Abstract
Pre-service teachers develop belief systems about teaching, learning, and self-regulated learning (SRL) that are often shaped by their own schooling experiences, which typically promote traditional teacher-centered views. During teacher education, they are introduced to student-centered approaches aligned with SRL, but these new beliefs
[...] Read more.
Pre-service teachers develop belief systems about teaching, learning, and self-regulated learning (SRL) that are often shaped by their own schooling experiences, which typically promote traditional teacher-centered views. During teacher education, they are introduced to student-centered approaches aligned with SRL, but these new beliefs often coexist with prior conceptions, resulting in internal inconsistencies. This study examined pre-service teachers’ beliefs about learning, teaching, and SRL, and evaluated whether specific instructional techniques—refutational texts and instructional analogies—could reduce conflicting beliefs. One hundred and sixty pre-service teachers completed a pretest-posttest questionnaire measuring their beliefs. Participants were randomly assigned to read one of four instructional texts about SRL-based teaching: explanatory or refutational, with or without analogies. Prior to the intervention, participants showed mixed and often conflicting beliefs about SRL. After the intervention, the refutational text combined with analogy proved most effective in reducing belief inconsistencies. These findings suggest that targeted instructional materials can support belief change by explicitly addressing and challenging prior misconceptions, thereby facilitating the adoption of coherent, student-centered perspectives aligned with SRL.
Full article
(This article belongs to the Special Issue The Promotion of Self-Regulated Learning (SRL) in the Classroom)
Open AccessArticle
Windows to the Social Mind: What Eye-Tracking Reveals About Theory of Mind in Children and Young Adults with Autism Spectrum Disorder (ASD)
by
Sobh Chahboun, Brian Sullivan, David Saldaña, Mila Vulchanova and Martina Micai
Behav. Sci. 2025, 15(12), 1622; https://doi.org/10.3390/bs15121622 - 25 Nov 2025
Abstract
Human social life is dependent on the ability of individuals to understand other people as separate cognitive agents, capable of thought independent from themselves. This understanding and the attribution of mental states to others, often called Theory of Mind (ToM), is a naturally
[...] Read more.
Human social life is dependent on the ability of individuals to understand other people as separate cognitive agents, capable of thought independent from themselves. This understanding and the attribution of mental states to others, often called Theory of Mind (ToM), is a naturally developing ability. Individuals with Autism Spectrum Disorder (ASD) seem to experience difficulty in attributing mental states to others, and this may explain impaired social interaction and communication behaviors. The Frith-Happé animations are short videos designed to test ToM development by varying the degree of intentionality present and asking viewers to describe their interpretation. The present study recorded eye movements and verbal descriptions in 15 children and 23 young adults with ASD and 20 and 15 typically developing (TD) peers, respectively. The results showed eye movement patterns in ASD and TD children did not differ significantly, but both groups differed from adults in their verbal responses. Children with Autism Spectrum Disorder (ASD) produced shorter (F(1,60) = 5.8, p = 0.019) and less appropriate (F(1,60) = 4.4, p = 0.04) ToM descriptions than TD peers, although their eye movement patterns were comparable to those of TD children. While low-level visual processing may be intact in individuals with ASD, challenges with social cognition and verbal expression may remain.
Full article
(This article belongs to the Special Issue Language and Cognitive Development in Autism Spectrum Disorders)
►▼
Show Figures

Figure 1
Open AccessArticle
Parental and Teacher Autonomy Support in Developing Self-Regulation Skills
by
Mustafa Özgenel and Süleyman Avcı
Behav. Sci. 2025, 15(12), 1621; https://doi.org/10.3390/bs15121621 - 25 Nov 2025
Abstract
Homework is a key learning activity that promotes students’ self-regulation, motivation, and academic achievement. Previous studies highlight the importance of parental and teacher autonomy support in fostering these outcomes, but the mechanisms underlying these relationships require further investigation. This study investigates the effects
[...] Read more.
Homework is a key learning activity that promotes students’ self-regulation, motivation, and academic achievement. Previous studies highlight the importance of parental and teacher autonomy support in fostering these outcomes, but the mechanisms underlying these relationships require further investigation. This study investigates the effects of parental and teacher autonomy support on students’ self-regulation skills, mathematics homework completion, and academic achievement. Additionally, it examines whether gender moderates these relationships. The research was conducted with 530 middle school students from five public schools in Istanbul, covering 5th, 6th, and 7th grades. Data were collected on teachers’ and parents’ autonomy support in homework, students’ self-regulation strategies, homework behaviors, and academic performance. Analyses were performed using SPSS 25 and AMOS 25 software, employing structural equation modeling (SEM) with mediation paths, multi-group path analysis, and correlation tests. The results indicate that both parental and teacher autonomy support positively influence students’ use of self-regulation strategies, which in turn enhances homework completion and academic success. Self-regulation was found to mediate these relationships, confirming its crucial role in academic outcomes. However, gender did not significantly moderate these associations. This study advances the understanding of how parental and teacher autonomy support influence self-regulation, homework behavior, and academic achievement, contributing to the existing literature. By examining the mediating role of self-regulation and the moderating effect of gender, it provides in-depth insights into variations in homework engagement and academic outcomes. Findings highlight the importance of autonomy-supportive practices by parents and teachers to foster students’ independent study skills. Future studies could extend these findings by examining subject-specific differences and longitudinal effect.
Full article
(This article belongs to the Section Educational Psychology)
►▼
Show Figures

Figure 1
Open AccessArticle
The Power of Self-Compassion and PERMA+4: A Dual-Path Model for Employee Flourishing
by
Scott I. Donaldson, Margaret L. Kern, Martin Suchta, Michelle McQuaid and Stewart I. Donaldson
Behav. Sci. 2025, 15(12), 1620; https://doi.org/10.3390/bs15121620 - 25 Nov 2025
Abstract
►▼
Show Figures
A growing body of research has linked PERMA+4 to employee well-being and performance, yet the role of self-compassion as a psychological mechanism remains unexplored. This study tested a dual-pathway model using mediation and latent profile analyses to examine how PERMA+4 and self-compassion jointly
[...] Read more.
A growing body of research has linked PERMA+4 to employee well-being and performance, yet the role of self-compassion as a psychological mechanism remains unexplored. This study tested a dual-pathway model using mediation and latent profile analyses to examine how PERMA+4 and self-compassion jointly influence work-related outcomes. A sample of full-time employees (N = 576) completed an online survey assessing PERMA+4, self-compassion, and psychological functioning. Mediation analyses showed that self-compassion partially mediated the relationship between PERMA+4 and PsyCap (β = 0.10), JAWS-positive (β = 0.04), JAWS-negative (β = −0.08), job stress (β = −0.10), and turnover intentions (β = −0.05). Latent profile analysis identified two psychological profiles: Flourishers and Strugglers. Flourishers reported higher well-being across all outcomes. These findings offer support for a dual-pathway model of flourishing and provide practical implications for organizations seeking to improve employee well-being through integrated positive psychology interventions targeting both PERMA+4 and self-compassion.
Full article

Figure 1
Open AccessArticle
Reverse Buffering Effects of Active Coping on Suicidal Ideation in Bullied Adolescents: Age Cohort Differences
by
Sichen Liu, Qing Xiong, Ya Gao, Le Wang and Quanlei Yu
Behav. Sci. 2025, 15(12), 1619; https://doi.org/10.3390/bs15121619 - 25 Nov 2025
Abstract
►▼
Show Figures
Previous research indicates that bullying victimization is a key predictor of adolescent suicidal ideation. From the perspective of the Integrated Motivational–Volitional (IMV) model, active coping strategies may buffer the feelings of defeat and humiliation caused by bullying victimization, thereby mitigating the emergence of
[...] Read more.
Previous research indicates that bullying victimization is a key predictor of adolescent suicidal ideation. From the perspective of the Integrated Motivational–Volitional (IMV) model, active coping strategies may buffer the feelings of defeat and humiliation caused by bullying victimization, thereby mitigating the emergence of suicidal ideation. However, this buffering effect weakens as the severity of bullying increases, reflecting a reverse buffering pattern. Moreover, due to developmental differences in the effectiveness of coping under varying levels of bullying severity, this moderating effect is further influenced by age cohort. To investigate the moderating role of active coping strategies and the moderating effect of age cohort (early-to-middle adolescents vs. late-age adolescents) in the bullying victimization–suicidal ideation relationship, we collected data from 3227 Chinese students, measuring bullying victimization, suicidal ideation, active coping strategies, age and other demographic variables. The results revealed that (a) bullying victimization was significantly and positively associated with suicidal ideation and (b) active coping significantly buffered this relationship; however, the buffering effect weakened as bullying severity increased, and (c) the reverse buffering effect of active coping was significant among early-to-middle-aged adolescents but not among late-age adolescents. This study offers important implications for designing targeted prevention and intervention strategies to reduce suicidal ideation among youth exposed to bullying.
Full article

Figure 1
Open AccessArticle
Therapist-Guided Versus Self-Guided Forest Immersion: Comparative Efficacy on Short-Term Mental Health and Economic Value
by
Rosa Rivieccio, Francesco Meneguzzo, Giovanni Margheritini, Tania Re, Ubaldo Riccucci and Federica Zabini
Behav. Sci. 2025, 15(12), 1618; https://doi.org/10.3390/bs15121618 - 24 Nov 2025
Abstract
Forest therapy, guided by clinical professionals (psychologists or psychotherapists), is increasingly recognized as a preventive and complementary health practice with evidence-based therapeutic potential; however, the specific contribution of therapist guidance compared to self-guided immersion remains unclear. This retrospective study evaluated the short-term mental
[...] Read more.
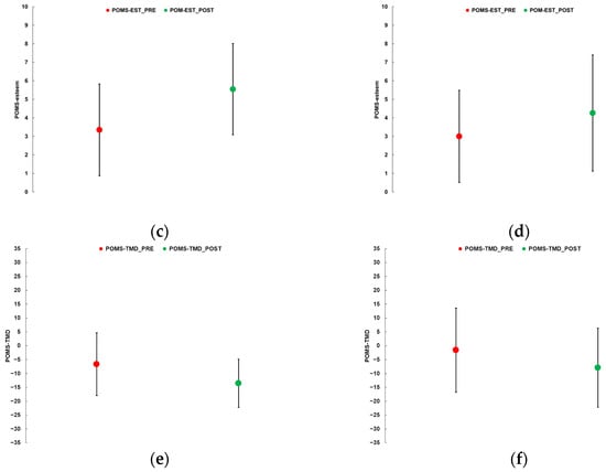
Forest therapy, guided by clinical professionals (psychologists or psychotherapists), is increasingly recognized as a preventive and complementary health practice with evidence-based therapeutic potential; however, the specific contribution of therapist guidance compared to self-guided immersion remains unclear. This retrospective study evaluated the short-term mental health outcomes of therapist-guided (TG) compared to self-guided (SG) forest immersion, based on the validated State–Trait Anxiety Inventory and Profile of Mood States questionnaires. Data were collected from 282 adults participating in eight paired TG–SG sessions conducted at the same forest sites across Italy. The results showed that TG sessions were associated with greater improvements in state anxiety, self-esteem, and total mood disturbance, with statistically significant effects in most cases. Therapist-led guidance also occasionally reduced interindividual variability, suggesting enhanced emotional regulation. An illustrative economic assessment, based on standardized psychometric improvements translated into quality-adjusted life years (QALYs), indicated that the TG sessions yielded approximately 1.7 times the annual per-person economic value of the SG sessions, outweighing the associated therapist-related costs. These findings suggest that TG forest therapy interventions deliver significant and economically quantifiable added value compared to SG experiences, supporting their inclusion in preventive health and mental well-being programs and justifying further longitudinal and cost-effectiveness investigations.
Full article
(This article belongs to the Special Issue The Effects of Nature Therapy on Affective and Cognitive Functioning)
►▼
Show Figures

Figure 1
Open AccessArticle
More than Just Aversive: A Network Analysis of the Dark Triad, Coping, and Psychopathology
by
Micheala McIlvenna, Tayler Truhan and Kostas Papageorgiou
Behav. Sci. 2025, 15(12), 1617; https://doi.org/10.3390/bs15121617 - 24 Nov 2025
Abstract
The dark triads are a set of personality traits (subclinical narcissism, subclinical psychopathy, and Machiavellianism) aggregated due to their primarily socially aversive associations. However, recent work has suggested that some dimensions of these traits (e.g., narcissistic extraversion) may be adaptive in coping with
[...] Read more.
The dark triads are a set of personality traits (subclinical narcissism, subclinical psychopathy, and Machiavellianism) aggregated due to their primarily socially aversive associations. However, recent work has suggested that some dimensions of these traits (e.g., narcissistic extraversion) may be adaptive in coping with psychopathology. Lesser researched are the dimensions of psychopathy and Machiavellianism in association with mental health and coping. The current study, therefore, examined the dimensions of all dark triad traits in association with psychopathology. Participants (N = 350) completed questions on dark triad factors, psychopathology, and coping. Data were analyzed using lasso regularized network analysis. The findings demonstrated that narcissistic extraversion and neuroticism could act positively and negatively, respectively, on depression through Machiavellian agency. Machiavellian agency also connected strongly and negatively to depression; however, centrality indices showed that this connection was not influential. Machiavellian agency instead acted as a bridge node to facilitate the indirect, negative connection from narcissistic extraversion and the positive connection from narcissistic neuroticism to depression. Machiavellian agency is often overlooked in dark triad research. Further research should be undertaken to understand the mechanisms by which Machiavellian agency interacts with narcissistic extraversion to protect against depression.
Full article
(This article belongs to the Special Issue Individual Differences in Narcissism: From Personality to Psychopathology)
►▼
Show Figures

Figure 1
Open AccessCorrection
Correction: Aydin and Diken (2025). Examining Problem Behaviors and Social Skills in Preschoolers Exhibiting Early Signs of Learning Disabilities. Behavioral Sciences, 15(8), 1087
by
Yalcin Aydin and Ibrahim Halil Diken
Behav. Sci. 2025, 15(12), 1616; https://doi.org/10.3390/bs15121616 - 24 Nov 2025
Abstract
An error was identified in the original publication (Aydin & Diken, 2025) concerning the formatting of the references [...]
Full article
(This article belongs to the Special Issue Behaviors in Educational Settings—2nd Edition)
Open AccessArticle
From Choirs to Collective Singing Communities: Learning the Art of Care from a Journey Through Lebanon, Mozambique, Benin, and Greece
by
Ágata Ricca, Inês Lamela and Paulo Maria Rodrigues
Behav. Sci. 2025, 15(12), 1615; https://doi.org/10.3390/bs15121615 - 24 Nov 2025
Abstract
In this paper we discuss a journey through different collective singing experiences held between 2019 and 2023 in Lebanon, Mozambique, Benin, and Greece. It is an autoethnographic work that includes the short-term participant observation of a choir in a context of conflicting neighbourhoods
[...] Read more.
In this paper we discuss a journey through different collective singing experiences held between 2019 and 2023 in Lebanon, Mozambique, Benin, and Greece. It is an autoethnographic work that includes the short-term participant observation of a choir in a context of conflicting neighbourhoods (Lebanon); the long-term experience of teaching choirs in a musical project aiming at social integration (Mozambique); the short-term experience of leading musical activities in a project for orphaned children rescued from voodoo convents (Benin); and the medium-term experience of facilitating music sessions in an organization working with people living in refugee camps (Greece). Ethics of care emerged as an inspiration for reformulating previous European choir tradition practices, adapting it to the reality of each context and supporting the overall experience. Starting from an idea of choir rooted in our European background, this journey transformed our perception of collective singing communities and how we can nurture well-being and build a sense of care within groups. Assuming different types of leadership, adapting the communication to specific circumstances, and being aware of opposite needs for continuity were the main strategies involved in making each experience a unique act of care.
Full article
(This article belongs to the Special Issue The Impact of Music on Individual and Social Well-Being)
Open AccessArticle
Efficacy of Coping with Negative Affect via Alcohol Use Pre- and Post Acute Stress
by
Mairéad A. Willis, Tongyao Ran and Sean P. Lane
Behav. Sci. 2025, 15(12), 1614; https://doi.org/10.3390/bs15121614 - 24 Nov 2025
Abstract
Alcohol use is common for emotional coping due to stress. However, it may not effectively mitigate negative emotions or the stressors. The current study sought to test if use predicts negative affect (NA) relief on days prior to acute stress as predicted by
[...] Read more.
Alcohol use is common for emotional coping due to stress. However, it may not effectively mitigate negative emotions or the stressors. The current study sought to test if use predicts negative affect (NA) relief on days prior to acute stress as predicted by theories such as the stress-response-dampening hypothesis, particularly among those who use to cope. Undergraduates (N = 226) preparing for a premedical examination participated in a 14-day diary study (NDays = 2920). Reports included morning and evening NA, evening alcohol consumption, and a baseline measure of substance-use-directed coping. Multilevel mediation models indicated that only substance-use-directed coping was positively associated with alcohol use on days prior to the exam. In contrast, post-exam, coping was positively associated but morning NA and its interaction with coping were negatively associated with drinking quantity. While drinking was associated with lower prospective evening NA overall, only post-exam indirect effects were observed. NA may not potentiate alcohol use under acute stress, even though use does alleviate NA. Post-stress, NA and substance use coping unexpectedly reduced drinking, perhaps as a protective effort. However, this led to indirect effects whereby NA escalated. Among low/moderate users, the negative reinforcement process is likely not established, though at such levels of use it may be effective.
Full article
(This article belongs to the Special Issue Stress and Drinking)
►▼
Show Figures

Figure 1
Open AccessArticle
Gross Motor Proficiency and Reading Abilities Among Chinese Primary School Students
by
Tongtong Shao, Feng Lu, Dingzhou Liu, Hongfan Chen and Haomin Zhang
Behav. Sci. 2025, 15(12), 1613; https://doi.org/10.3390/bs15121613 - 23 Nov 2025
Abstract
The relation between motor skills and reading performance among young children has been explored in existing studies, but few of them focused on gross motor skills, and these demonstrated inconsistent findings. The current study aimed to examine the relationship between gross motor proficiency
[...] Read more.
The relation between motor skills and reading performance among young children has been explored in existing studies, but few of them focused on gross motor skills, and these demonstrated inconsistent findings. The current study aimed to examine the relationship between gross motor proficiency and reading abilities among Chinese primary school students (N = 107, mean age = 8.70 years). Participants completed measures of a non-verbal intelligence test, a gross motor proficiency test, and reading ability tests that assess their Chinese phonological awareness, Chinese morphological awareness, vocabulary knowledge, and reading comprehension. The results of correlational and regression analyses revealed a weak association between gross motor level and each component of reading achievement. Meanwhile, the correlation between gross motor proficiency and morphological awareness, as well as between gross motor proficiency and reading comprehension, did not reach statistical significance. In conclusion, the present study justified the negligible predictive power of gross motor proficiency on reading abilities among Chinese young students.
Full article
(This article belongs to the Special Issue Physical Activity for Psychological and Cognitive Development—Second Edition)
►▼
Show Figures

Figure 1
Open AccessArticle
Middle School Academic Outcomes Related to Timing of English Language Acquisition in Dual Language Learners
by
Gabriele Norvell, Tevis L. Tucker and Adam Winsler
Behav. Sci. 2025, 15(12), 1612; https://doi.org/10.3390/bs15121612 - 23 Nov 2025
Abstract
Dual Language Learners (DLLs) who become English proficient earlier experience better academic outcomes, but longitudinal research on the relationship between the timing of DLLs acquiring English proficiency and later academic outcomes while accounting for relevant factors is rare. We examined how the year
[...] Read more.
Dual Language Learners (DLLs) who become English proficient earlier experience better academic outcomes, but longitudinal research on the relationship between the timing of DLLs acquiring English proficiency and later academic outcomes while accounting for relevant factors is rare. We examined how the year in school in which DLL students (N = 14,852; 47% female; 85% in poverty; 88% Latinx, 8% Black, and 3% White/Asian/Other) acquired English proficiency (according to school system criteria) correlates with their later middle school (sixth–eighth grade) academic outcomes (GPA, standardized test scores, and grade retention), controlling for relevant factors. Earlier acquisition of English predicted better middle school outcomes and a lower likelihood of being retained in middle school. Some relations between the timing of English acquisition and outcomes were stronger for students not experiencing poverty. Implications for the education of DLL students in the U.S. and future research are discussed.
Full article
(This article belongs to the Special Issue Language and Cognitive Development in Bilingual Children)
►▼
Show Figures

Figure 1
Open AccessArticle
From Emotion to Action: How Framed Sustainability Messages Trigger Physiological Reactions and Influence Consumer Choices
by
Alina Simona Tecău, Cătălin Ioan Maican, Eliza Ciobanu, Camelia Schiopu, Silvia Sumedrea, Ioana Bianca Chițu, Radu Constantin Lixăndroiu and Gabriel Brătucu
Behav. Sci. 2025, 15(12), 1611; https://doi.org/10.3390/bs15121611 - 22 Nov 2025
Abstract
The study examines the emotional and physiological effects of message framing in sustainability communication. Specifically, it explores how different image–message combinations shape consumer engagement by measuring physiological arousal (activation), and emotional resonance (impact) across various product categories. By using Galvanic Skin Response data
[...] Read more.
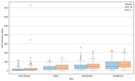
The study examines the emotional and physiological effects of message framing in sustainability communication. Specifically, it explores how different image–message combinations shape consumer engagement by measuring physiological arousal (activation), and emotional resonance (impact) across various product categories. By using Galvanic Skin Response data combined with a hierarchical cluster analysis, the research provides insights into how individuals process sustainability information at both emotional and cognitive levels. The results reveal diverse and nuanced reactions shaped by the interaction of message framing, topic, and gender. The identification of seven distinct response patterns contributes to emerging consumer typologies in sustainability communication, offering practical value for organizations seeking to tailor messaging, enhance audience engagement, and encourage sustainable behavior.
Full article
(This article belongs to the Special Issue The Emotional Antecedents and Consequences of Buying and Consuming: A Multidisciplinary Perspective on Consumers’ Emotions—Second Edition)
►▼
Show Figures

Figure 1
Open AccessSystematic Review
Virtual Reality-Based Cognitive and Physical Interventions in Cognitive Impairment: A Network Meta-Analysis of Immersion Level Effects
by
Wanyi Li, Wei Gao and Xiangyang Lin
Behav. Sci. 2025, 15(12), 1610; https://doi.org/10.3390/bs15121610 - 22 Nov 2025
Abstract
►▼
Show Figures
Virtual reality (VR) has emerged as an innovative platform for delivering cognitive and physical training to individuals with cognitive impairment. However, the differential effectiveness of fully immersive versus partially immersive VR interventions remains unclear. This network meta-analysis aimed to evaluate how immersion level
[...] Read more.
Virtual reality (VR) has emerged as an innovative platform for delivering cognitive and physical training to individuals with cognitive impairment. However, the differential effectiveness of fully immersive versus partially immersive VR interventions remains unclear. This network meta-analysis aimed to evaluate how immersion level influences cognitive, motor, and functional outcomes in neurodegenerative populations. A systematic search of PubMed, Embase, Cochrane Library, and Web of Science up to October 2025 identified 20 randomized controlled trials involving 1382 participants with mild cognitive impairment (MCI) or dementia. Interventions were categorized into four groups: (1) fully immersive VR (head-mounted displays), (2) partially immersive VR (screen-based or motion-capture systems), (3) active control (traditional cognitive or physical training), and (4) passive control (usual care or health education). Outcomes included the Mini-Mental State Examination (MMSE), Montreal Cognitive Assessment (MoCA), Trail Making Test (TMT), Digit Span Test (DST), Timed Up and Go (TUG), and Instrumental Activities of Daily Living (IADL). Standardized mean differences (SMDs) and surface under the cumulative ranking curve (SUCRA) values were calculated using RevMan 5.4 and Stata 18.0. Fully immersive VR significantly improved global cognition compared to passive control (MMSE: SMD = 0.51, 95% CI [0.06, 0.96]), while partially immersive VR showed superior effects on executive function versus active control (TMT-B: SMD = −1.29, 95% CI [−2.62, −0.93]) and on motor function (TUG: SMD = −0.59, 95% CI [−1.11, −0.08]). In MoCA performance, both VR modalities outperformed traditional interventions (SUCRA: fully immersive = 76.0%; partially immersive = 84.8%). SUCRA rankings suggest that fully immersive VR is optimal for memory and foundational cognition (81.7%), whereas partially immersive VR performs best for executive function (98.9%). These findings indicate that the efficacy of VR-based cognitive or physical–cognitive interventions is modulated by immersion level. Tailoring VR modality to specific cognitive domains may optimize rehabilitation outcomes in MCI and dementia care.
Full article

Figure 1
Open AccessArticle
The Role of Dispositional Rule-Following and Metaphors About Psychological Flexibility on Operant Schedule Control
by
Grace A. Lyons and Robert D. Zettle
Behav. Sci. 2025, 15(12), 1609; https://doi.org/10.3390/bs15121609 - 22 Nov 2025
Abstract
►▼
Show Figures
Metaphors are used throughout acceptance and commitment therapy (ACT) to minimize the inflexibility of rule-governed, rather than contingency-shaped, behavior. Within the behavior analytic literature underlying ACT, responding on operant schedules has been used to parse out these differing sources of behavioral control. We
[...] Read more.
Metaphors are used throughout acceptance and commitment therapy (ACT) to minimize the inflexibility of rule-governed, rather than contingency-shaped, behavior. Within the behavior analytic literature underlying ACT, responding on operant schedules has been used to parse out these differing sources of behavioral control. We thus used this preparation to more directly link the therapeutic use of metaphors to this literature. Participants were 105 undergraduates presented one of three passages—two metaphors and one nonmetaphor—with varying relevance for schedule control on an operant task where points could be both gained and lost. Schedule control was analyzed by visual analysis of cumulative point records over the course of the task. Two measures of dispositional rule-following—tracking and pliance—were also examined as moderators. No differences in schedule control were found between passage conditions alone. However, participants high in tracking who received the task-relevant metaphor were most likely to demonstrate schedule control reflective of psychological flexibility, while those low in both tracking and pliance who received the task-relevant metaphor were least likely to do so. Findings suggest dispositional tracking heightens the impact of therapeutic metaphors on psychological flexibility. Limitations and implications for further research on the behavior analysis of therapeutic metaphors are discussed.
Full article

Figure 1
Open AccessArticle
Trauma, Emotional Neglect, and Developmental Vulnerability in Children: Evidence from Albania
by
Anila Sulstarova, Blerta Bodinaku, Skerdi Zahaj, Gerda Sula and Greta Hysi
Behav. Sci. 2025, 15(12), 1608; https://doi.org/10.3390/bs15121608 - 21 Nov 2025
Abstract
Background: Children in Albania and the wider Balkan region are often exposed to subtle yet persistent forms of emotional absence, parentification, and silencing. These relational harms are culturally normalized and rarely identified as neglect, but they create significant developmental vulnerabilities and increase the
[...] Read more.
Background: Children in Albania and the wider Balkan region are often exposed to subtle yet persistent forms of emotional absence, parentification, and silencing. These relational harms are culturally normalized and rarely identified as neglect, but they create significant developmental vulnerabilities and increase the risk of exploitation, including trafficking. Methods: This qualitative study involved 30 participants, including 16 frontline professionals (psychologists, social workers, and legal staff) and 14 survivors of trafficking. Data were collected through semi-structured, trauma-informed interviews and focus groups between December 2024 and March 2025. Reflexive thematic analysis was applied to identify emotional and relational patterns contributing to vulnerability, with attention to cultural contexts and gendered dynamics. Results: Three interrelated themes were identified: (1) emotional absence: children adapt to caregivers’ physical presence but emotional unavailability, leading to self-effacement and diminished entitlement to care; (2) parentification: children assume emotional caregiving roles, often regulating parents’ wellbeing; and (3) silencing: emotional expression becomes equated with shame or punishment, producing long-term relational invisibility. Conclusions: Early relational harms describe developmental conditions that may heighten susceptibility. Prevention and intervention should integrate attachment-based family assessments, early childhood screening, trauma-informed training for professionals, and culturally adapted approaches to break cycles of invisible harm and strengthen children’s emotional safety.
Full article
(This article belongs to the Special Issue Psychological Trauma and Resilience in Children and Adolescents)
Journal Menu
► ▼ Journal Menu-
- Behavioral Sciences Home
- Aims & Scope
- Editorial Board
- Reviewer Board
- Topical Advisory Panel
- Instructions for Authors
- Special Issues
- Topics
- Sections
- Article Processing Charge
- Indexing & Archiving
- Editor’s Choice Articles
- Most Cited & Viewed
- Journal Statistics
- Journal History
- Journal Awards
- Conferences
- Editorial Office
Journal Browser
► ▼ Journal BrowserHighly Accessed Articles
Latest Books
E-Mail Alert
News
Topics
Topic in
Behavioral Sciences, Religions, Social Sciences, Youth
Educational and Health Development of Children and Youths
Topic Editors: Jerf W. K. Yeung, Huifang ChenDeadline: 1 December 2025
Topic in
Behavioral Sciences, Children, Education Sciences, Social Sciences, Sustainability, EJIHPE
Influence of Physical Activity, Nutrition, Educators and Parents on Children's Health Development
Topic Editors: Laura Daniuseviciute-Brazaite, Lina DraudvilieneDeadline: 31 December 2025
Topic in
Behavioral Sciences, IJERPH, Nutrients, Healthcare, Clinics and Practice
Lifestyle Medicine and Nursing Research
Topic Editors: Yibo Wu, Zheng Guo, Zheng Feei Ma, Feng JiangDeadline: 30 January 2026
Topic in
Behavioral Sciences, Brain Sciences, EJIHPE, Healthcare, JCM
New Advances in Addiction Behavior
Topic Editors: Emanuela Mari, Laura Piccardi, Alessandro QuaglieriDeadline: 1 March 2026
Conferences
Special Issues
Special Issue in
Behavioral Sciences
Music Listening as Exploratory Behavior
Guest Editors: Mark Reybrouck, Piotr Podlipniak, David WelchDeadline: 28 November 2025
Special Issue in
Behavioral Sciences
The Impact of Psychosocial Factors on Health Behaviors
Guest Editor: Hyoung Suk LeeDeadline: 30 November 2025
Special Issue in
Behavioral Sciences
Impression Formation and Decision Making
Guest Editor: Ana GheorghiuDeadline: 30 November 2025
Special Issue in
Behavioral Sciences
The Effects of Sleep Deprivation on Human Behavior and Neural Activity
Guest Editor: Fabio Garcia-GarciaDeadline: 30 November 2025





