Therapist-Guided Versus Self-Guided Forest Immersion: Comparative Efficacy on Short-Term Mental Health and Economic Value
Abstract
1. Introduction
2. Materials and Methods
2.1. Design and Participants
2.2. Outcome Measures
2.3. Missing Data
2.4. Homogeneity Across Groups
2.5. Outcome Analysis
2.6. Illustrative Economic Assessment
2.6.1. Standardization of Change
2.6.2. Mapping to QALY Gain
2.6.3. Accounting for Statistical Significance and Inclusion
2.6.4. Multivariate Combination
2.6.5. Monetization
2.6.6. Uncertainty Analysis
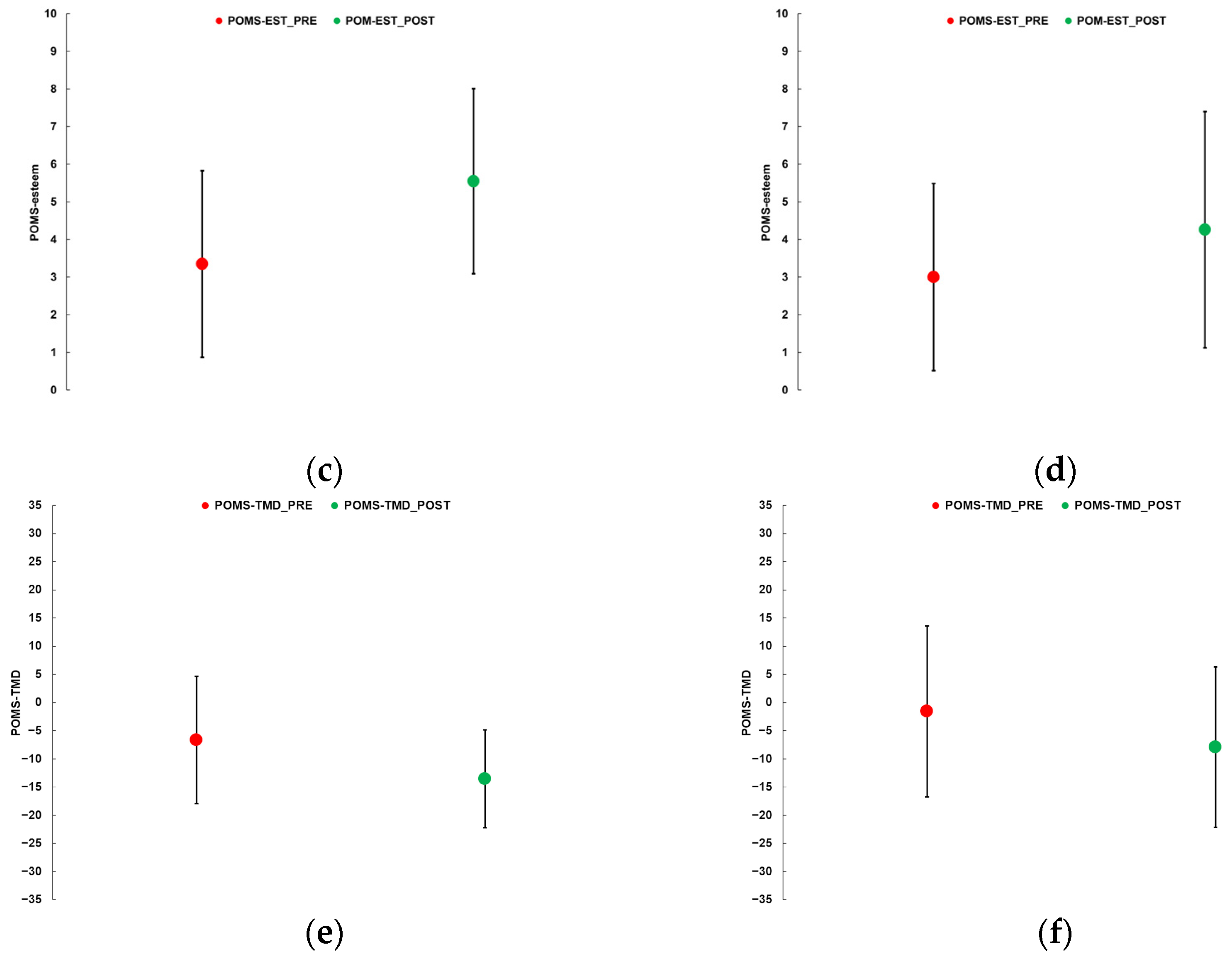
3. Results and Discussion
3.1. Data Imputation
3.2. Pairwise Group Homogeneity
3.3. Pairwise Comparison of Effects
3.4. Economic Assessment
3.5. Limitations
4. Conclusions
Supplementary Materials
Author Contributions
Funding
Institutional Review Board Statement
Informed Consent Statement
Data Availability Statement
Acknowledgments
Conflicts of Interest
Abbreviations
| CEAC | Cost-effectiveness acceptability curve |
| KNN | k-nearest neighbors |
| POMS | Profile of Mood States |
| POMS-esteem | Profile of Mood States—self-esteem |
| POMS-TMD | Profile of Mood States—total mood disturbance |
| QALY | Quality-adjusted life years |
| SG | Self-guided |
| STAI | State-Trait Anxiety Inventory |
| STAI-S | State-Trait Anxiety Inventory—state |
| STAI-T | State-Trait Anxiety Inventory—trait |
| TG | Therapist-guided |
References
- Bai, Z., Zhang, S., He, H., & Xu, M. (2025). Nature perception and positive emotions in urban forest parks enhance subjective well-being. Scientific Reports, 15(1), 31457. [Google Scholar] [CrossRef]
- Barnes, L. L. B., Harp, D., & Jung, W. S. (2002). Reliability generalization of scores on the spielberger state-trait anxiety inventory. Educational and Psychological Measurement, 62(4), 603–618. [Google Scholar] [CrossRef]
- Beretta, L., & Santaniello, A. (2016). Nearest neighbor imputation algorithms: A critical evaluation. BMC Medical Informatics and Decision Making, 16(S3), 74. [Google Scholar] [CrossRef]
- Buckley, R., Brough, P., Hague, L., Chauvenet, A., Fleming, C., Roche, E., Sofija, E., & Harris, N. (2019). Economic value of protected areas via visitor mental health. Nature Communications, 10(1), 5005. [Google Scholar] [CrossRef]
- Buckley, R. C., & Chauvenet, A. L. M. (2022). Economic value of nature via healthcare savings and productivity increases. Biological Conservation, 272, 109665. [Google Scholar] [CrossRef]
- Buckley, R. C., Cooper, M. A., & Zhong, L. (2024). Principal sensory experiences of forest visitors in four countries, for evidence-based nature therapy. People and Nature, 6, 2480–2493. [Google Scholar] [CrossRef]
- Caponnetto, P., Inguscio, L., Triscari, S., Casu, M., Ferrante, A., Cocuzza, D., & Maglia, M. M. (2022). New perspectives in psychopathology and psychological well-being by using forest therapy: A systematic review. The Open Psychology Journal, 15(1), e187435012209200. [Google Scholar] [CrossRef]
- Chauvenet, A. L. M., Wardle, C., Westaway, D., & Buckley, R. (2025). Duration and economic value of a walking-in-nature therapy programme: Implications for conservation. People and Nature, 7, 2895–2910. [Google Scholar] [CrossRef]
- Chen, H., Meng, Z., & Luo, J. (2025). Is forest bathing a panacea for mental health problems? A narrative review. Frontiers in Public Health, 13, 1454992. [Google Scholar] [CrossRef] [PubMed]
- Chen, S., Zhu, H., & Jounaidi, Y. (2024). Comprehensive snapshots of natural killer cells functions, signaling, molecular mechanisms and clinical utilization. Signal Transduction and Targeted Therapy, 9(1), 302. [Google Scholar] [CrossRef]
- Cohen, J. (2013). Statistical power analysis for the behavioral sciences (2nd ed.). Routledge. [Google Scholar] [CrossRef]
- Cramér, H. (1999). Mathematical methods of statistics. Princeton University Press. [Google Scholar]
- Czakert, J., Kandil, F. I., Boujnah, H., Tavakolian, P., Blakeslee, S. B., Stritter, W., Dommisch, H., & Seifert, G. (2024). Scenting serenity: Influence of essential-oil vaporization on dental anxiety—A cluster-randomized, controlled, single-blinded study (AROMA_dent). Scientific Reports, 14(1), 14143. [Google Scholar] [CrossRef]
- Delacre, M., Lakens, D., & Leys, C. (2017). Why psychologists should by default use welch’s t-test instead of student’s t-test. International Review of Social Psychology, 30(1), 92–101. [Google Scholar] [CrossRef]
- Dempster, A. P., Laird, N. M., & Rubin, D. B. (1977). Maximum likelihood from incomplete data via the EM algorithm. Journal of the Royal Statistical Society Series B: Statistical Methodology, 39(1), 1–22. [Google Scholar] [CrossRef]
- Donelli, D., Meneguzzo, F., Antonelli, M., Ardissino, D., Niccoli, G., Gronchi, G., Baraldi, R., Neri, L., & Zabini, F. (2023). Effects of plant-emitted monoterpenes on anxiety symptoms: A propensity-matched observational cohort study. International Journal of Environmental Research and Public Health, 20(4), 2773. [Google Scholar] [CrossRef]
- Efron, B., & Tibshirani, R. J. (1994). An introduction to the bootstrap. In An introduction to the bootstrap. Chapman and Hall/CRC. [Google Scholar] [CrossRef]
- Fenwick, E., O’Brien, B. J., & Briggs, A. (2004). Cost-effectiveness acceptability curves—Facts, fallacies and frequently asked questions. Health Economics, 13(5), 405–415. [Google Scholar] [CrossRef]
- Fernández-Abascal, E. G., & Martín-Díaz, M. D. (2021). Longitudinal study on affect, psychological well-being, depression, mental and physical health, prior to and during the COVID-19 pandemic in Spain. Personality and Individual Differences, 172, 110591. [Google Scholar] [CrossRef] [PubMed]
- Grove, J. R., & Prapavessis, H. (1992). Preliminary evidence for the reliability and validity of an abbreviated profile of mood states. International Journal of Sport Psychology, 23(2), 93–109. Available online: https://www.researchgate.net/publication/232536671_Preliminary_evidence_for_the_reliability_and_validity_of_an_abbreviated_Profile_of_Mood_States (accessed on 6 October 2025).
- Guo, D., Xu, T., Luo, J., Wang, X., Lin, S., Lin, C., Hong, Y., & Chang, W. (2025). The evidence for stress recovery in forest therapy programs: Investigating whether forest walking and guided forest therapy activities have the same potential? Journal of Forestry Research, 36(1), 15. [Google Scholar] [CrossRef]
- Houben, M., Van Den Noortgate, W., & Kuppens, P. (2015). The relation between short-term emotion dynamics and psychological well-being: A meta-analysis. Psychological Bulletin, 141(4), 901–930. [Google Scholar] [CrossRef]
- Kaplan, R., & Kaplan, S. (1989). The experience of nature: A psychological perspective. Cambridge University Press. [Google Scholar]
- Kim, J. G., & Shin, W. S. (2021). Forest therapy alone or with a guide: Is there a difference between self-guided forest therapy and guided forest therapy programs? International Journal of Environmental Research and Public Health, 18(13), 6957. [Google Scholar] [CrossRef]
- König, H.-H., Born, A., Günther, O., Matschinger, H., Heinrich, S., Riedel-Heller, S. G., Angermeyer, M. C., & Roick, C. (2010). Validity and responsiveness of the EQ-5D in assessing and valuing health status in patients with anxiety disorders. Health and Quality of Life Outcomes, 8(1), 47. [Google Scholar] [CrossRef] [PubMed]
- Li, Q. (2025). Preventive effects of forest bathing/shinrin-yoku on cardiovascular diseases: A review of mechanistic evidence. Forests, 16(2), 310. [Google Scholar] [CrossRef]
- Li, Q., Takayama, N., Kimura, Y., Takayama, H., Kumeda, S., Miura, T., Kitagawa, T., Aoyagi, Y., & Imai, M. (2025). Forest bathing improves inflammatory markers, SpO2 and subjective symptoms related to COPD (chronic obstructive pulmonary disease) in male subjects at risk of developing COPD. Journal of Occupational Health, 67, uiaf041. [Google Scholar] [CrossRef]
- Longman, D. P., Van Hedger, S. C., McEwan, K., Griffin, E., Hannon, C., Harvey, I., Kikuta, T., Nickels, M., O’Donnell, E., Pham, V. A.-V., Robinson, J., Slater, R., Szazvai, M., Williams, J., & Shaw, C. N. (2025). Forest soundscapes improve mood, restoration and cognition, but not physiological stress or immunity, relative to industrial soundscapes. Scientific Reports, 15(1), 33967. [Google Scholar] [CrossRef] [PubMed]
- Ma, J., Lin, P., & Williams, J. (2024). Effectiveness of nature-based walking interventions in improving mental health in adults: A systematic review. Current Psychology, 43(11), 9521–9539. [Google Scholar] [CrossRef]
- Mac Giollabhui, N., Slaney, C., Hemani, G., Foley, É. M., van der Most, P. J., Nolte, I. M., Snieder, H., Davey Smith, G., Khandaker, G. M., & Hartman, C. A. (2025). Role of inflammation in depressive and anxiety disorders, affect, and cognition: Genetic and non-genetic findings in the lifelines cohort study. Translational Psychiatry, 15(1), 164. [Google Scholar] [CrossRef]
- Mao, G., Cao, Y., Wang, B., Wang, S., Chen, Z., Wang, J., Xing, W., Ren, X., Lv, X., Dong, J., Chen, S., Chen, X., Wang, G., & Yan, J. (2017). The salutary influence of forest bathing on elderly patients with chronic heart failure. International Journal of Environmental Research and Public Health, 14(4), 368. [Google Scholar] [CrossRef]
- Markwell, N., & Gladwin, T. E. (2020). Shinrin-yoku (Forest Bathing) Reduces stress and increases people’s positive affect and well-being in comparison with its digital counterpart. Ecopsychology, 12(4), 247–256. [Google Scholar] [CrossRef]
- Mazzoleni, E., Donelli, D., Zabini, F., Meneguzzo, F., & Antonelli, M. (2024). Forest therapy research in Europe: A scoping review of the scientific literature. Forests, 15(5), 848. [Google Scholar] [CrossRef]
- McHugh, M. L. (2013). The Chi-square test of independence. Biochemia Medica, 23, 143–149. [Google Scholar] [CrossRef]
- McKinney, W. (2010, June 28–July 3). Data structures for statistical computing in Python. 9th Python in Science Conference (pp. 51–56), Austin, TX, USA. Available online: https://proceedings.scipy.org/articles/Majora-92bf1922-00a.pdf (accessed on 6 October 2025).
- Menardo, E., Brondino, M., Hall, R., & Pasini, M. (2021). Restorativeness in natural and urban environments: A meta-analysis. Psychological Reports, 124(2), 417–437. [Google Scholar] [CrossRef]
- Miani, A., & Shang, J. (2025). Nature as medicine: A one health approach to global health challenges. International Journal of Environmental Medicine, 1(1), 2. [Google Scholar] [CrossRef]
- Moskowitz, D. S., & Young, S. N. (2006). Ecological momentary assessment: What it is and why it is a method of the future in clinical psychopharmacology. Journal of Psychiatry & Neuroscience: JPN, 31(1), 13–20. Available online: http://www.ncbi.nlm.nih.gov/pubmed/16496031 (accessed on 6 October 2025).
- Norman, G. R., Sloan, J. A., & Wyrwich, K. W. (2003). Interpretation of changes in health-related quality of life. Medical Care, 41(5), 582–592. [Google Scholar] [CrossRef]
- Ochiai, H., Inoue, S., Masuda, G., Amagasa, S., Sugishita, T., Ochiai, T., Yanagisawa, N., Nakata, Y., & Imai, M. (2025). Randomized controlled trial on the efficacy of forest walking compared to urban walking in enhancing mucosal immunity. Scientific Reports, 15(1), 3272. [Google Scholar] [CrossRef]
- Paletto, A., Baldessari, S., Barbierato, E., Bernetti, I., Cerutti, A., Righi, S., Ruggieri, B., Landi, A., Notaro, S., & Sacchelli, S. (2025). A quantitative literature review on forest-based practices for human well-being. Forests, 16(8), 1246. [Google Scholar] [CrossRef]
- Pedregosa, F., Varoquaux, G., Gramfort, A., Michel, V., Thirion, B., Grisel, O., Blondel, M., Prettenhofer, P., Weiss, R., Dubourg, V., Vanderplas, J., Passos, A., Cournapeau, D., Brucher, M., Perrot, M., & Duchesnay, É. (2011). Scikit-learn: Machine learning in python. Journal of Machine Learning Research, 12(85), 2825–2830. [Google Scholar]
- Price, D. D., Finniss, D. G., & Benedetti, F. (2008). A comprehensive review of the placebo effect: Recent advances and current thought. Annual Review of Psychology, 59(1), 565–590. [Google Scholar] [CrossRef]
- Razani, N., Morshed, S., Kohn, M. A., Wells, N. M., Thompson, D., Alqassari, M., Agodi, A., & Rutherford, G. W. (2018). Effect of park prescriptions with and without group visits to parks on stress reduction in low-income parents: SHINE randomized trial. PLoS ONE, 13(2), e0192921. [Google Scholar] [CrossRef]
- Rencz, F., Mukuria, C., Bató, A., Poór, A. K., & Finch, A. P. (2022). A qualitative investigation of the relevance of skin irritation and self-confidence bolt-ons and their conceptual overlap with the EQ-5D in patients with psoriasis. Quality of Life Research, 31(10), 3049–3060. [Google Scholar] [CrossRef]
- Rossi, V., & Pourtois, G. (2012). Transient state-dependent fluctuations in anxiety measured using STAI, POMS, PANAS or VAS: A comparative review. Anxiety, Stress and Coping, 25(6), 603–645. [Google Scholar] [CrossRef]
- Rubin, D. B. (1987). Multiple imputation for nonresponse in surveys. Wiley. [Google Scholar] [CrossRef]
- Russo, P., Zanuzzi, M., Carletto, A., Sammarco, A., Romano, F., & Manca, A. (2023). Role of economic evaluations on pricing of medicines reimbursed by the Italian national health service. PharmacoEconomics, 41(1), 107–117. [Google Scholar] [CrossRef] [PubMed]
- Sealy Phelan, A., Grilli, G., Pisani, E., & Secco, L. (2025). Using the life satisfaction approach to economically value the health and wellbeing benefits of forest and green space visits in Italy. Forest Policy and Economics, 181, 103640. [Google Scholar] [CrossRef]
- Serrat, M., Royuela-Colomer, E., Alonso-Marsol, S., Ferrés, S., Nieto, R., Feliu-Soler, A., & Muro, A. (2025). The psychological benefits of forest bathing in individuals with fibromyalgia and chronic fatigue syndrome/myalgic encephalomyelitis: A pilot study. Healthcare, 13(14), 1654. [Google Scholar] [CrossRef]
- Shin, W.-S., & Kim, J.-G. (2023). The influence of self-guided and guided forest therapy program on students’ psychological benefits. Journal of People, Plants, and Environment, 26(2), 169–179. [Google Scholar] [CrossRef]
- Shin, W. S., Seong, I. K., & Kim, J. G. (2023). Psychological benefits of self-guided forest healing program using campus forests. Forests, 14(2), 336. [Google Scholar] [CrossRef]
- Spielberger, C. D., Sydeman, S. J., Owen, A. E., & Marsh, B. J. (1999). Measuring anxiety and anger with the State-Trait Anxiety Inventory (STAI) and the State-Trait Anger Expression Inventory (STAXI). In M. E. Maruish (Ed.), The use of psychological testing for treatment planning and outcomes assessment (pp. 993–1021). Lawrence Erlbaum Associates Publishers. [Google Scholar]
- Steininger, M. O., White, M. P., Lengersdorff, L., Zhang, L., Smalley, A. J., Kühn, S., & Lamm, C. (2025). Nature exposure induces analgesic effects by acting on nociception-related neural processing. Nature Communications, 16(1), 2037. [Google Scholar] [CrossRef]
- Stellar, J. E., John-Henderson, N., Anderson, C. L., Gordon, A. M., McNeil, G. D., & Keltner, D. (2015). Positive affect and markers of inflammation: Discrete positive emotions predict lower levels of inflammatory cytokines. Emotion, 15(2), 129–133. [Google Scholar] [CrossRef]
- Szlávicz, E., Szabó, Á., Kinyó, Á., Szeiffert, A., Bancsók, T., Brodszky, V., Gyulai, R., & Rencz, F. (2024). Content validity of the EQ-5D-5L with skin irritation and self-confidence bolt-ons in patients with atopic dermatitis: A qualitative think-aloud study. Quality of Life Research, 33(1), 101–111. [Google Scholar] [CrossRef]
- Tan, C., Yin, J., An, Y., Wang, J., & Qiu, J. (2024). The structural validity and latent profile characteristics of the Abbreviated Profile of Mood States among Chinese athletes. BMC Psychiatry, 24(1), 636. [Google Scholar] [CrossRef]
- Troyanskaya, O., Cantor, M., Sherlock, G., Brown, P., Hastie, T., Tibshirani, R., Botstein, D., & Altman, R. B. (2001). Missing value estimation methods for DNA microarrays. Bioinformatics, 17(6), 520–525. [Google Scholar] [CrossRef] [PubMed]
- Ulrich, R. S., Simons, R. F., Losito, B. D., Fiorito, E., Miles, M. A., & Zelson, M. (1991). Stress recovery during exposure to natural and urban environments. Journal of Environmental Psychology, 11(3), 201–230. [Google Scholar] [CrossRef]
- Virtanen, P., Gommers, R., Oliphant, T. E., Haberland, M., Reddy, T., Cournapeau, D., Burovski, E., Peterson, P., Weckesser, W., Bright, J., van der Walt, S. J., Brett, M., Wilson, J., Millman, K. J., Mayorov, N., Nelson, A. R. J., Jones, E., Kern, R., Larson, E., … Vázquez-Baeza, Y. (2020). SciPy 1.0: Fundamental algorithms for scientific computing in Python. Nature Methods, 17(3), 261–272. [Google Scholar] [CrossRef]
- Wen, Y., Yan, Q., Pan, Y., Gu, X., & Liu, Y. (2019). Medical empirical research on forest bathing (Shinrin-yoku): A systematic review. Environmental Health and Preventive Medicine, 24(1), 70. [Google Scholar] [CrossRef] [PubMed]



| Site Identification | Coordinates g | Site Characteristic | Vegetation | Session | Weather | |||||
|---|---|---|---|---|---|---|---|---|---|---|
| ID | Location | Latitude | Longitude | Altitude h | Climb i | Length j | Dominant Forestry Species | Date | T | Cloudiness k |
| (Name) | (°N) | (°E) | (m a.s.l.) | (m) | (m) | (dd-mmm-yy) | (°C) | (/8) | ||
| S1 | Pordenone Refuge a | 46.383 | 12.498 | 1177 | 25 | 2060 | Spruce; mountain pine; birch; white willow; alder | 4 September 2021 | 18 | 1 |
| S2 | Mincio Park b | 45.168 | 10.807 | 18 | 28 | 1570 | Willow; poplars; oak; turkey oak; alder | 18 September 2021 | 22 | 3 |
| S3 | Tovel Lake c | 46.259 | 10.954 | 1240 | 135 | 2180 | Larch; beech; silver fir; sycamore maple; aspen | 19 June 2022 | 23 | 0 |
| S4 | Consuma Pass | 43.783 | 11.588 | 945 | 118 | 1780 | Beech; silver fir; Douglas fir; sequoia | 13 July 2024 | 25 | 0 |
| S5 | Borbotto Spring d | 43.883 | 11.688 | 1242 | 132 | 1280 | Beech; silver fir | 21 July 2024 | 25 | 0 |
| S6 | Ratoio Hillock d | 43.853 | 11.637 | 1053 | 160 | 1800 | Black pine; silver fir; beech | 28 July 2024 | 25 | 2 |
| S7 | Partenio Park e | 40.982 | 14.698 | 1170 | 89 | 1690 | Beech | 22 June 2025 | 23 | 0 |
| S8 | Mount Cimino f | 42.411 | 12.204 | 1010 | 45 | 1000 | Beech | 20 September 2025 | 23 | 0 |
| Site_Session | Participants | |||||||
|---|---|---|---|---|---|---|---|---|
| ID_Type | Gender a | Age Classes (%) b | ||||||
| Total; M-F | M (%) | F (%) | ≤29 | 30–44 | 45–54 | 55–69 | ≥70 | |
| S1_TG | 22; 5, 16 | 23.8 | 76.2 | 4.5 | 36.4 | 27.3 | 27.3 | 4.5 |
| S1_SG | 24; 11, 12 | 47.8 | 52.2 | 8.3 | 20.8 | 12.5 | 41.7 | 16.7 |
| S2_TG | 16; 3,10 | 23.1 | 76.9 | 6.3 | 0.0 | 12.5 | 43.8 | 37.5 |
| S2_SG | 15; 7, 6 | 53.8 | 46.2 | 0.0 | 33.3 | 6.7 | 46.7 | 13.3 |
| S3_TG | 29; 7, 5 | 19.2 | 80.8 | 7.1 | 7.1 | 7.1 | 39.3 | 39.3 |
| S3_SG | 13; 2, 8 | 20.0 | 80.0 | 25.0 | 0.0 | 16.7 | 41.7 | 16.7 |
| S4_TG | 13; 7, 5 | 58.3 | 41.7 | 38.5 | 7.7 | 23.1 | 23.1 | 7.7 |
| S4_SG | 13; 3, 8 | 27.3 | 72.7 | 15.4 | 7.7 | 38.5 | 30.8 | 7.7 |
| S5_TG | 13; 1, 9 | 10.0 | 90.0 | 23.1 | 23.1 | 15.4 | 38.5 | 0.0 |
| S5_SG | 11; 5, 4 | 55.6 | 44.4 | 18.2 | 9.1 | 27.3 | 45.5 | 0.0 |
| S6_TG | 11; 2, 6 | 25.0 | 75.0 | 0.0 | 54.5 | 9.1 | 36.4 | 0.0 |
| S6_SG | 15; 5, 7 | 41.7 | 58.3 | 0.0 | 53.3 | 6.7 | 40.0 | 0.0 |
| S7_TG | 21; 6, 11 | 35.3 | 64.7 | 9.5 | 19.0 | 38.1 | 28.6 | 4.8 |
| S7_SG | 14; 6, 7 | 46.2 | 53.8 | 7.1 | 0.0 | 14.3 | 64.3 | 14.3 |
| S8_TG | 26; 5, 19 | 20.8 | 79.2 | 7.7 | 34.6 | 38.5 | 19.2 | 0.0 |
| S8_SG | 26; 2, 21 | 8.7 | 91.3 | 3.8 | 23.1 | 53.8 | 19.2 | 0.0 |
| Sessions | Gender | Age Class | STAI-T | Assessment a | |||
|---|---|---|---|---|---|---|---|
| p | Cramer’s V | p | Cramer’s V | p | Cohen’s d | ||
| S1_TG S1_SG | 0.10 | 0.25 | 0.31 | 0.32 | 0.43 | 0.27 | H |
| S2_TG S2_SG | 0.11 | 0.32 | 0.08 | 0.52 + | 0.75 | 0.49 | SI |
| S3_TG S3_SG | 0.96 | 0.01 | 0.60 | 0.28 | 0.17 | 0.60 + | SI |
| S4_TG S4_SG | 0.13 | 0.31 | 0.75 | 0.27 | 0.05 | 0.70 + | SI |
| S5_TG S5_SG | 0.03 * | 0.49 | 0.74 | 0.23 | 0.98 | 0.07 | SI |
| S6_TG S6_SG | 0.44 | 0.17 | 0.96 | 0.05 | 0.34 | 0.36 | H |
| S7_TG S7_SG | 0.55 | 0.11 | 0.10 | 0.47 | 0.11 | 0.53 + | SI |
| S8_TG S8_SG | 0.24 | 0.17 | 0.66 | 0.18 | 0.77 | 0.04 | H |
| ID | STAI-S | POMS-Esteem | POMS-TMD | ||||||
|---|---|---|---|---|---|---|---|---|---|
| p | d | p_Welch | p | d | p_Welch | p | d | p_Welch | |
| S1_TG | 0.001 *** | 1.31 ### | 0.008 ** | 0.001 *** | 0.89 ### | 0.417 | 0.004 ** | 0.77 ## | 0.133 |
| S1_SG | 0.028 * | 0.43 # | 0.143 | 0.061 | 0.41 # | 0.176 | 0.009 ** | 0.44 # | 0.489 |
| S2_TG | 0.001 *** | 1.45 ### | 0.079 | 0.001 *** | 0.68 ## | 0.174 | 0.062 | 0.68 ## | 0.479 |
| S2_SG | 0.037 * | 0.45 # | 0.432 | 0.315 | 0.15 | 0.386 | 0.077 | 0.24 # | 0.500 |
| S3_TG | 0.001 *** | 0.42 # | 0.352 | 0.001 *** | 0.89 ### | 0.225 | 0.011 * | 0.73 ## | 0.048 * |
| S3_SG | 0.409 | 0.17 | 0.245 | 0.215 | 0.27 # | 0.248 | 0.112 | 0.29 # | 0.446 |
| S4_TG | 0.014 * | 0.93 ### | 0.225 | 0.043 * | 0.78 ## | 0.388 | 0.079 | 0.45 # | 0.481 |
| S4_SG | 0.002 ** | 1.11 ### | 0.199 | 0.067 | 0.71 ## | 0.398 | 0.079 | 0.54 ## | 0.152 |
| S5_TG | 0.005 ** | 1.49 ### | 0.089 | 0.165 | 0.42 # | 0.200 | 0.047 * | 0.54 ## | 0.324 |
| S5_SG | 0.012 * | 0.73 ## | 0.487 | 0.014 * | 0.44 # | 0.353 | 0.035 * | 0.74 ## | 0.436 |
| S6_TG | 0.256 | 0.28 # | 0.396 | 0.047 * | 0.79 ## | 0.394 | 0.245 | 0.05 | 0.266 |
| S6_SG | 0.062 | 0.38 # | 0.378 | 0.014 * | 0.79 ## | 0.084 | 0.185 | 0.83 ### | 0.134 |
| S7_TG | 0.000 *** | 1.20 ### | 0.391 | 0.013 ** | 0.81 ### | 0.214 | 0.134 | 0.20 # | 0.493 |
| S7_SG | 0.119 | 0.31 # | 0.328 | 0.124 | 0.28 # | 0.388 | 0.147 | 0.31 # | 0.395 |
| S8_TG | 0.010 ** | 0.54 ## | 0.470 | 0.001 *** | 0.99 ### | 0.405 | 0.020 * | 0.52 ## | 0.487 |
| S8_SG | 0.000 *** | 0.79 ## | 0.490 | 0.016 * | 0.60 ## | 0.330 | 0.056 | 0.44 # | 0.467 |
| ID | Mean Changes | EUR per Person, Annual | |||
|---|---|---|---|---|---|
| STAI-S | POMS-Esteem | POMS-TMD | EUR 20,000/QALY | EUR 50,000/QALY | |
| S1_TG | −8.5 | 2.2 | −6.9 | 4967 (95% C.I. 2832 to 8839, pCEAC = 1.0) | 12,418 (95% C.I. 7080 to 22,098, pCEAC = 1.0) |
| S1_SG | −4.1 | 0.0 | −6.3 | 1537 (95% C.I. 687 to 5118, pCEAC = 1.0) | 3843 (95% C.I. 1717 to 12,794, pCEAC = 1.0) |
| S2_TG | −7.2 | 2.3 | 0.0 | 5313 (95% C.I. 2854 to 12,233, pCEAC = 1.0) | 13,283 (95% C.I. 7137 to 30,583, pCEAC = 1.0) |
| S2_SG | −2.9 | 0.0 | 0.0 | 1167 (95% C.I. 258 to 5034, pCEAC = 1.0) | 2917 (95% C.I. 645 to 12,586, pCEAC = 1.0) |
| S3_TG | −3.5 | 1.6 | −7.4 | 5438 (95% C.I. 2594 to 9050, pCEAC = 1.0) | 13,595 (95% C.I. 6485 to 22,625, pCEAC = 1.0) |
| S3_SG | 0.0 | 0.0 | 0.0 | 0 (95% C.I. 0 to 11,428, pCEAC = 0.343) | 0 (95% C.I. 0 to 28,569, pCEAC = 0.343) |
| S4_TG | −7.8 | 2.6 | 0.0 | 3765 (95% C.I. 1924 to 7607, pCEAC = 1.0) | 9413 (95% C.I. 4810 to 19,018, pCEAC = 1.0) |
| S4_SG | −6.4 | 0 | 0 | 5221 (95% C.I. 2447 to 9468, pCEAC = 1.0) | 13,052 (95% C.I. 6118 to 23,670, pCEAC = 1.0) |
| S5_TG | −8.2 | 0.0 | −5.8 | 2617 (95% C.I. 2061 to 6472, pCEAC = 1.0) | 6544 (95% C.I. 5153 to 16,180, pCEAC = 1.0) |
| S5_SG | −7.7 | 1.6 | −10.6 | 4588 (95% C.I. 2487 to 10,307, pCEAC = 1.0) | 11,469 (95% C.I. 6217 to 25,767, pCEAC = 1.0) |
| S6_TG | 0.0 | 1.7 | 0.0 | 2909 (95% C.I. 900 to 9225, pCEAC = 0.999) | 7274 (95% C.I. 2249 to 23,063, pCEAC = 0.999) |
| S6_SG | 0.0 | 2.4 | 0.0 | 3386 (95% C.I. 1771 to 10,765, pCEAC = 1.0) | 8467 (95% C.I. 4427 to 26,913, pCEAC = 1.0) |
| S7_TG | −6.2 | 2.4 | 0.0 | 3678 (95% C.I. 2168 to 7574, pCEAC = 1.0) | 9195 (95% C.I. 5419 to 18,935, pCEAC = 1.0) |
| S7_SG | 0.0 | 0.0 | 0.0 | 0 (95% C.I. 0 to 4605, pCEAC = 0.351) | 0 (95% C.I. 0 to 11,512, pCEAC = 0.351) |
| S8_TG | −4.5 | 2.5 | −6.6 | 4386 (95% C.I. 2634 to 7071, pCEAC = 1.0) | 10,965 (95% C.I. 6584 to 17,676, pCEAC = 1.0) |
| S8_SG | −5.8 | 1.6 | 0.0 | 3802 (95% C.I. 2409 to 6116, pCEAC = 1.0) | 9504 (95% C.I. 6021 to 15,291, pCEAC = 1.0) |
| Median across TG sessions | −6.7 | 2.25 | −2.9 | 4076 | 10,189 |
| Median across SG sessions | −3.5 | 0 | 0 | 2462 | 6154 |
Disclaimer/Publisher’s Note: The statements, opinions and data contained in all publications are solely those of the individual author(s) and contributor(s) and not of MDPI and/or the editor(s). MDPI and/or the editor(s) disclaim responsibility for any injury to people or property resulting from any ideas, methods, instructions or products referred to in the content. |
© 2025 by the authors. Licensee MDPI, Basel, Switzerland. This article is an open access article distributed under the terms and conditions of the Creative Commons Attribution (CC BY) license (https://creativecommons.org/licenses/by/4.0/).
Share and Cite
Rivieccio, R.; Meneguzzo, F.; Margheritini, G.; Re, T.; Riccucci, U.; Zabini, F. Therapist-Guided Versus Self-Guided Forest Immersion: Comparative Efficacy on Short-Term Mental Health and Economic Value. Behav. Sci. 2025, 15, 1618. https://doi.org/10.3390/bs15121618
Rivieccio R, Meneguzzo F, Margheritini G, Re T, Riccucci U, Zabini F. Therapist-Guided Versus Self-Guided Forest Immersion: Comparative Efficacy on Short-Term Mental Health and Economic Value. Behavioral Sciences. 2025; 15(12):1618. https://doi.org/10.3390/bs15121618
Chicago/Turabian StyleRivieccio, Rosa, Francesco Meneguzzo, Giovanni Margheritini, Tania Re, Ubaldo Riccucci, and Federica Zabini. 2025. "Therapist-Guided Versus Self-Guided Forest Immersion: Comparative Efficacy on Short-Term Mental Health and Economic Value" Behavioral Sciences 15, no. 12: 1618. https://doi.org/10.3390/bs15121618
APA StyleRivieccio, R., Meneguzzo, F., Margheritini, G., Re, T., Riccucci, U., & Zabini, F. (2025). Therapist-Guided Versus Self-Guided Forest Immersion: Comparative Efficacy on Short-Term Mental Health and Economic Value. Behavioral Sciences, 15(12), 1618. https://doi.org/10.3390/bs15121618

