Next Issue
Volume 125, OTO 2025
Previous Issue
Volume 123, CYBER-AI 2025
 
 
engproc-logo

Journal Browser

Journal Browser

Eng. Proc., 2026, ASEC 2025

The 6th International Electronic Conference on Applied Sciences

Online | 9–11 December 2025

Volume Editors:

Nunzio Cennamo, Department of Engineering, University of Campania Luigi Vanvitelli, Aversa, Italy

Stefano Toldo, Robert M. Berne Cardiovascular Research Center, University of Virginia, Charlottesville, USA

Number of Papers: 38
  • Issues are regarded as officially published after their release is announced to the table of contents alert mailing list.
  • You may sign up for e-mail alerts to receive table of contents of newly released issues.
  • PDF is the official format for papers published in both, html and pdf forms. To view the papers in pdf format, click on the "PDF Full-text" link, and use the free Adobe Reader to open them.
Cover Story (view full-size image): The 6th International Electronic Conference on Applied Science was held online on 9–11 December 2025. The conference was organized by the MDPI journal Applied Sciences. After the success of the [...] Read more.
Order results
Result details
Select all
Export citation of selected articles as:

Other

8 pages, 431 KB  
Proceeding Paper
Compressive Strength, Density, and Setting Time of Concrete Blended with Rice Husk Ash
by Edidiong Eseme Ambrose, Okiemute Roland Ogirigbo, Tirimisiu Bayonle Bello and Saviour Umoh Akpando
Eng. Proc. 2026, 124(1), 1; https://doi.org/10.3390/engproc2026124001 - 14 Jan 2026
Viewed by 892
Abstract
This study investigated the effects of incorporating rice husk ash (RHA) as a partial replacement for cement on the properties of concrete. To determine the optimal replacement level, RHA was used to replace cement in varying proportions, ranging from 0% to 25% in [...] Read more.
This study investigated the effects of incorporating rice husk ash (RHA) as a partial replacement for cement on the properties of concrete. To determine the optimal replacement level, RHA was used to replace cement in varying proportions, ranging from 0% to 25% in 5% increments. The mix with 0% RHA served as the control. The properties evaluated included setting time, density, and compressive strength. The results revealed that blending RHA with cement increased the initial setting time. This was attributed to the lower calcium oxide (CaO2) content of RHA, which slows early-age hydration reactions. Conversely, the final setting time was reduced due to the pozzolanic activity of RHA, which enhances later-stage reactions. Additionally, the inclusion of RHA resulted in a decrease in concrete density, owing to its lower specific gravity and bulk density compared to Portland cement. Despite this, RHA-modified specimens exhibited higher compressive strengths than the control specimens. This strength enhancement was linked to the formation of additional calcium–silicate–hydrate (C-S-H) gel due to the pozzolanic reaction between amorphous silica in RHA and calcium hydroxide (CaOH) from hydration reaction. The gel fills concrete voids at the microstructural level, producing a denser and more compact concrete matrix. Based on the balance between strength and durability, the optimal RHA replacement level was identified as 10%. Full article
(This article belongs to the Proceedings of The 6th International Electronic Conference on Applied Sciences)
Show Figures

Figure 1

8 pages, 347 KB  
Proceeding Paper
Determination of Conditions of Divergence for Antenna Array Measurements Due to Changes in Satellite Attitude
by Marcello Asciolla, Angela Cratere and Francesco Dell’Olio
Eng. Proc. 2026, 124(1), 2; https://doi.org/10.3390/engproc2026124002 - 19 Jan 2026
Viewed by 117
Abstract
This study focused on determining the conditions leading to variance in the measurements of an antenna array capable of measuring the direction of electromagnetic waves. The payload of the study is a cross-array of antennas that is able to measure direction through array [...] Read more.
This study focused on determining the conditions leading to variance in the measurements of an antenna array capable of measuring the direction of electromagnetic waves. The payload of the study is a cross-array of antennas that is able to measure direction through array beamforming and angle of arrival (AOA) technology. Starting from the modeling of satellite kinematics (in terms of the satellite’s position and attitude combined with its relative position with respect to an electromagnetic wave emitter located on Earth’s surface), this study provides the mathematical fundamentals to identify potential cases that lead to divergence in the estimation variance for the position of a signal emitter. The numerical and analytical predictions, conducted through an evaluation of the Cramér–Rao lower bound (CRLB) metrics, were on the azimuth, elevation, and broadside angles through the generation of errors in the attitude with Monte Carlo simulations. Recent advancements in the miniaturization of electronics make these studies of particular interest for a new set of technological demonstrators equipped with payloads composed of antenna arrays. Applications of interest include Earth-scanning missions, with exemplary cases of search-and-rescue operations or the spectrum monitoring of jamming in the E1/L1 band for the GNSS. Full article
(This article belongs to the Proceedings of The 6th International Electronic Conference on Applied Sciences)
Show Figures

Figure 1

8 pages, 1024 KB  
Proceeding Paper
Simulation of a POCKETQUBE Nanosatellite Swarm Control System via a Linear Quadratic Regulator
by Jacques B. Ngoua Ndong Avele, Dalia A. Karaf and Vladimir K. Orlov
Eng. Proc. 2026, 124(1), 3; https://doi.org/10.3390/engproc2026124003 - 20 Jan 2026
Viewed by 167
Abstract
Developing an advanced simulation to control a swarm of 20 PocketQube nanosatellites using a linear quadratic regulator (LQR) involves several crucial steps that go beyond the initial scheme. A comprehensive approach requires a deep understanding of orbital mechanics and, in particular, the challenges [...] Read more.
Developing an advanced simulation to control a swarm of 20 PocketQube nanosatellites using a linear quadratic regulator (LQR) involves several crucial steps that go beyond the initial scheme. A comprehensive approach requires a deep understanding of orbital mechanics and, in particular, the challenges presented by the nanosatellite platform. The inherent limitations in terms of nanosatellite power, propulsion, and communications systems necessitate careful orbital selection and maneuver planning to achieve mission objectives efficiently and reliably. This includes optimizing launch windows, understanding atmospheric drag effects in low Earth orbits (LEOs), and designing robust attitude control systems to maintain the desired pointing for scientific instruments or communications links. Our work focused on simulating the attitude control of PocketQube nanosatellites in a swarm using the R2022a release of the Matlab/Simulink environment. First, we provided a mathematical model for the relative coordinates of a nanosatellite swarm. Second, we developed a mathematical model of the linear quadratic regulator implementation in the relative navigation. Third, we simulated the attitude control of 20 PocketQube nanosatellites using the Matlab/Simulink environment. Finally, we provided the swarm scenario and attitude control system data. The simulation of an attitude control system for 20 PocketQube nanosatellites using an LQR controller in a swarm successfully demonstrated the stabilization capabilities essential for swarm operations in the space environment. A link to a video of the simulation is provided in the Results section. Full article
(This article belongs to the Proceedings of The 6th International Electronic Conference on Applied Sciences)
Show Figures

Figure 1

9 pages, 2536 KB  
Proceeding Paper
AutoML with Explainable AI Analysis: Optimization and Interpretation of Machine Learning Models for the Prediction of Hysteresis Behavior in Shape Memory Alloys
by Dmytro Tymoshchuk and Oleh Yasniy
Eng. Proc. 2026, 124(1), 4; https://doi.org/10.3390/engproc2026124004 - 20 Jan 2026
Viewed by 233
Abstract
This study presents an approach for predicting the hysteresis behavior of shape memory alloys (SMAs) based on automated machine learning (AutoML) integrated with explainable artificial intelligence (XAI). Experimental data from cyclic tests of NiTi wire under loading frequencies of 0.3, 0.5, 1, and [...] Read more.
This study presents an approach for predicting the hysteresis behavior of shape memory alloys (SMAs) based on automated machine learning (AutoML) integrated with explainable artificial intelligence (XAI). Experimental data from cyclic tests of NiTi wire under loading frequencies of 0.3, 0.5, 1, and 5 Hz were used for model development. The AutoML framework PyCaret enabled automated model selection, hyperparameter optimization, and performance comparison of regression algorithms. The highest prediction accuracy was achieved by the LightGBM model (for 0.3 Hz and 1 Hz) and the CatBoost model (for 0.5 Hz and 5 Hz), both demonstrating a coefficient of determination R2 > 0.997 and low MSE, MAE, and MAPE values. Integration of XAI through the SHAP method provided both global and local interpretability of the model’s behavior. The analysis revealed the dominant influence of the Stress parameter, the physically meaningful role of the loading or unloading stage (UpDown), and a gradual increase in the contribution of the Cycle parameter in later cycles, reflecting fatigue accumulation effects. The obtained results confirm the high accuracy, interpretability, and physical consistency of the developed models. Full article
(This article belongs to the Proceedings of The 6th International Electronic Conference on Applied Sciences)
Show Figures

Figure 1

5 pages, 1208 KB  
Proceeding Paper
High-Energy Ball Milling Strategies for the Synthesis of Cu/TiO2 Catalysts
by Matías G. Rinaudo, Luis E. Cadús and Maria R. Morales
Eng. Proc. 2026, 124(1), 5; https://doi.org/10.3390/engproc2026124005 - 21 Jan 2026
Viewed by 168
Abstract
In this work, Cu/TiO2 catalysts were prepared by several high-energy ball milling strategies (dry and semi-wet milling) using different copper reagents and compared with a sample synthesized by a conventional impregnation method. Crystal structures were identified by means of X-ray Diffraction (XRD), [...] Read more.
In this work, Cu/TiO2 catalysts were prepared by several high-energy ball milling strategies (dry and semi-wet milling) using different copper reagents and compared with a sample synthesized by a conventional impregnation method. Crystal structures were identified by means of X-ray Diffraction (XRD), including anatase, rutile, high-pressure TiO2 (II) and W species due to mill vial erosion at some conditions, highlighting the effect of a copper precursor on the rate of titania polymorphic transformation. Specific Surface Area (SBET) values were calculated from N2 physisorption, showing a correlation between the energy supplied to the powder and the milling conditions. Moreover, Scanning Electron Microscopy (SEM) was able to display the morphologies while a semi-quantification of present elements could be performed by Electron Dispersive X-ray Spectroscopy (EDS). Catalysts obtained through this green and one-pot process could be suitable for a variety of reactions, including CO2 hydrogenation and glycerol valorization. Full article
(This article belongs to the Proceedings of The 6th International Electronic Conference on Applied Sciences)
Show Figures

Figure 1

8 pages, 3364 KB  
Proceeding Paper
Effect of Stirring Efficiency on Fatigue Behavior of Graphene Nanoplatelets-Reinforced Friction Stir Spot Welded Aluminum Sheets
by Amir Alkhafaji and Daniel Camas
Eng. Proc. 2026, 124(1), 6; https://doi.org/10.3390/engproc2026124006 - 23 Jan 2026
Viewed by 175
Abstract
Friction stir spot welding (FSSW) is a novel variant of Friction Stir welding (FSW), developed by Mazda Motors and Kawasaki Heavy Industries to join similar and dissimilar materials in a solid state. It is an economic and environmentally friendly alternative to resistance spot [...] Read more.
Friction stir spot welding (FSSW) is a novel variant of Friction Stir welding (FSW), developed by Mazda Motors and Kawasaki Heavy Industries to join similar and dissimilar materials in a solid state. It is an economic and environmentally friendly alternative to resistance spot welding (RSW). The FSSW technique, however, includes some structural defects imbedded within the weld joint, such as keyhole formation, hook crack, and bond line oxidation challenging the joint strength. The unique properties of nanomaterials in the reinforcement of metal matrices motivated researchers to enhance the FSSW joints’ strength. Previous studies successfully fabricated nano-reinforced FSSW joints. At different volumetric ratios of nano-reinforcement, nanoparticles may agglomerate due to inefficient stirring of the welding tool pin, forming stress concentration sites and brittle phases, affecting tensile and fatigue strength under static and cyclic loading conditions, respectively. This work investigated how the welding tool pin affects stirring efficiency by controlling the distribution of a nano-reinforcing material within the joint stir zone (SZ), and thus the tensile and fatigue strength of the FSSW joints. Sheets of AA6061-T6 of 1.8 mm thickness were used as a base material. In addition, graphene nanoplatelets (GNPs) with lateral sizes of 1–10 µm and thicknesses of 3–9 nm were used as nano-reinforcements. GNP-reinforced FSSW specimens were prepared and successfully fabricated. Optical microscope (OM) and field emission scanning electron microscope (FE-SEM) methods were employed to visualize the GNPs’ incorporation into the SZs of the FSSW joints. Micrographs of as-welded specimens showed lower formations of scattered, clustered GNPs achieved by the threaded pin tool compared to continuous agglomerations observed when the cylindrical pin tool was used. Tensile test results revealed a significant improvement of about 30% exhibited by the threaded pin tool compared to the cylindrical pin tool, while fatigue test showed an improvement of 46–24% for the low- and high-cycle fatigue, respectively. Full article
(This article belongs to the Proceedings of The 6th International Electronic Conference on Applied Sciences)
Show Figures

Figure 1

8 pages, 2135 KB  
Proceeding Paper
Improving Earthquake Resilience—The Role of RC Frame Asymmetry Under Successive Events: Nonlinear Dynamic Insights for Safer Building Codes
by Paraskevi K. Askouni
Eng. Proc. 2026, 124(1), 7; https://doi.org/10.3390/engproc2026124007 - 26 Jan 2026
Viewed by 158
Abstract
This study addresses a critical gap in seismic design by quantifying how plan asymmetry and multiple earthquake sequences interact to affect the nonlinear reaction of reinforced concrete (RC)-framed models. While earthquake-resistant design provisions have evolved, most current codes are based on single-event assumptions [...] Read more.
This study addresses a critical gap in seismic design by quantifying how plan asymmetry and multiple earthquake sequences interact to affect the nonlinear reaction of reinforced concrete (RC)-framed models. While earthquake-resistant design provisions have evolved, most current codes are based on single-event assumptions and simplified symmetry considerations, overlooking the cumulative effects of repeated ground motions observed in recent international studies. In this research, symmetrical and asymmetrical low-rise RC buildings are analyzed through nonlinear dynamic simulations, with both single- and multiple-event ground excitations considered for comparison. The analyses incorporate three-dimensional ground motions in horizontal and vertical orientations, while explicitly modeling the nonlinear inelastic response of RC sections under severe seismic demands. The evaluation of elastoplastic findings relies on normalized indices, by considering a simple dimensionless parameter to quantify the physical symmetry or asymmetry of the RC models. Results show that increasing plan asymmetry amplifies inter-story drift, torsional rotations, and plastic hinge concentrations, particularly under successive earthquake sequences. These findings indicate that existing design provisions may underestimate the vulnerability of irregular RC buildings. This work is among the first to integrate plan asymmetry and multi-event seismic loading into a unified evaluation framework, offering a novel tool for refining earthquake-resistant design standards. Full article
(This article belongs to the Proceedings of The 6th International Electronic Conference on Applied Sciences)
Show Figures

Figure 1

10 pages, 526 KB  
Proceeding Paper
Characterization of Three Ion Chambers for High-Energy Photons Reference Dosimetry
by Sara Mohamed, Sahar Awad, Yasser Hassan, Aly Wagdy and Ahmed M. Maghraby
Eng. Proc. 2026, 124(1), 8; https://doi.org/10.3390/engproc2026124008 - 19 Jan 2026
Viewed by 289
Abstract
Introduction: Many standards, codes of practice, and protocols were issued internationally in order to standardize the methodologies and formalism of the use of ionization chambers for the purposes of evaluating absorbed radiation doses in high-energy photon and electron beams from medical linear accelerators. [...] Read more.
Introduction: Many standards, codes of practice, and protocols were issued internationally in order to standardize the methodologies and formalism of the use of ionization chambers for the purposes of evaluating absorbed radiation doses in high-energy photon and electron beams from medical linear accelerators. Methods: Three ion chambers were selected for this study: PTW Semiflex 3D (PTW 31021), PTW Farmer type (PTW 30013), and PTW PinPoint 3D (PTW 31022) ion chambers. Many correction factors and parameters controlling the behavior of ionization chambers were included in the study, such as polarity, ion recombination, and response to high-energy photons for each ion chamber. Results and discussion: The collection efficiencies of each ion chamber were calculated and evaluated numerically. Additionally, the tissue-phantom ratio (TPR20,10) was used as a beam quality index, and the beam quality correction factors were determined for each chamber for two high-energy photon beams, 6 MV and 10 MV, where the reference beam quality is assumed to be that of Cobalt-60 photon energy. The volume averaging correction factor for each ion chamber was evaluated in order to account for the non-uniformity of the beam and for the two beam qualities. Conclusion: All the studied parameters are of great importance and should be considered for the purposes of radiation metrology. Full article
(This article belongs to the Proceedings of The 6th International Electronic Conference on Applied Sciences)
Show Figures

Figure 1

10 pages, 902 KB  
Proceeding Paper
A Critical Review on the Influence of Additive Manufacturing on Climate Change and Environmental Sustainability
by Anthony C. Ogazi
Eng. Proc. 2026, 124(1), 9; https://doi.org/10.3390/engproc2026124009 - 27 Jan 2026
Viewed by 312
Abstract
Additive manufacturing (AM), or 3D printing, has a significant, largely beneficial influence on climate change by decreasing material waste and requiring less energy use. The application of AM in the construction and industrial sectors has the potential to reduce carbon emissions. This goal [...] Read more.
Additive manufacturing (AM), or 3D printing, has a significant, largely beneficial influence on climate change by decreasing material waste and requiring less energy use. The application of AM in the construction and industrial sectors has the potential to reduce carbon emissions. This goal may be accomplished by using material and energy-saving measures, improving manufacturing processes, designing lightweight structures, and reducing transportation operations. While 3DP has the potential to help reduce environmental degradation, it is crucial to recognize the inherent setbacks associated with the technology. Certain AM processes have the potential to emit volatile organic compounds, which contribute to air pollution and hence need improved control. Industrial 3D printers can be excessively expensive, greatly increasing the initial expenditure required to begin a project. Despite these limitations, AM can reduce greenhouse gas emissions, generate better-built environments, and provide a means to reduce energy usage while supporting global carbon neutrality objectives. Governments should extend financial assistance in the form of subsidies to help reduce equipment purchase costs. Furthermore, AM’s capacity to foster a circular economy and minimize overall environmental effects is dependent on the improvement of material recycling and scalability. Full article
(This article belongs to the Proceedings of The 6th International Electronic Conference on Applied Sciences)
Show Figures

Figure 1

11 pages, 877 KB  
Proceeding Paper
Impact of Operating Conditions on the Reliability of SRAM-Based Physical Unclonable Functions (PUFs)
by Marco Grossi, Martin Omaña, Simone Bisi, Cecilia Metra and Andrea Acquaviva
Eng. Proc. 2026, 124(1), 10; https://doi.org/10.3390/engproc2026124010 - 27 Jan 2026
Viewed by 242
Abstract
Wireless sensor systems can collect and share a large amount of data for different kinds of applications, but are also vulnerable to cyberattacks. The impact of cyberattacks on systems’ confidentiality, integrity, and availability can be mitigated by using authentication procedures and cryptographic algorithms. [...] Read more.
Wireless sensor systems can collect and share a large amount of data for different kinds of applications, but are also vulnerable to cyberattacks. The impact of cyberattacks on systems’ confidentiality, integrity, and availability can be mitigated by using authentication procedures and cryptographic algorithms. Authentication passwords and cryptographic keys may be stored in a non-volatile memory, which may be easily tampered with. Alternately, Physical Unclonable Functions (PUFs) can be adopted. They generate a chip’s unique fingerprint, by exploiting the randomness of process parameters’ variations occurring during chip fabrication, thus constituting a more secure alternative to the adoption of non-volatile memories for password storage. PUF reliability is of primary concern to guarantee a system’s availability. In this paper, the reliability of a Static Random Access Memory (SRAM)-based PUF implemented by a standard 32 nm CMOS technology is investigated, as a function of different operating conditions, such as noise, power supply voltage, and temperature, and considering different values of transistor conduction threshold voltages. The achieved results will show that transistor threshold voltage and noise are the operating conditions mostly affecting PUF reliability, while the impact of temperature variations is lower, and that of power supply variations is negligible. Full article
(This article belongs to the Proceedings of The 6th International Electronic Conference on Applied Sciences)
Show Figures

Figure 1

9 pages, 3729 KB  
Proceeding Paper
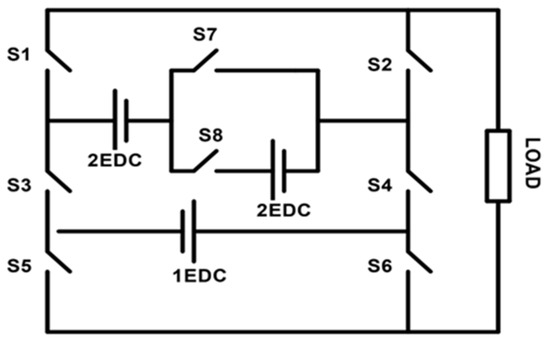
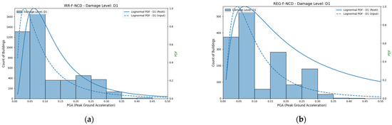
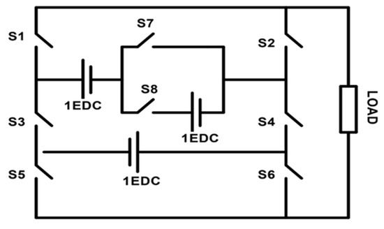
Generalized Extreme Value-Based Fragility Curves
by Zahra Haqi, Matteo Dalmasso and Marco Civera
Eng. Proc. 2026, 124(1), 11; https://doi.org/10.3390/engproc2026124011 - 30 Jan 2026
Viewed by 174
Abstract
Fragility curves are essential for assessing the vulnerability of buildings to earthquake-induced damage, representing the probability of exceeding various damage states as a function of seismic intensity. They enable rapid pre-screening of large building stocks, guiding focused analyses, monitoring, and mitigation strategies. This [...] Read more.
Fragility curves are essential for assessing the vulnerability of buildings to earthquake-induced damage, representing the probability of exceeding various damage states as a function of seismic intensity. They enable rapid pre-screening of large building stocks, guiding focused analyses, monitoring, and mitigation strategies. This study introduces an empirical approach using the Generalized Extreme Value (GEV) distribution to model fragility curves, offering greater flexibility than the conventional lognormal method. In this work, GEV-based curves were derived from empirical data retrieved from the Italian Da.D.O. platform using Python 3.10.1 tool. The approach provides a practical framework for accurate, large-scale seismic risk assessment. Full article
(This article belongs to the Proceedings of The 6th International Electronic Conference on Applied Sciences)
Show Figures

Figure 1

8 pages, 2674 KB  
Proceeding Paper
Retention of Tuning for Vibro-Impact and Linear Dampers Under Periodic Excitation
by Petro Lizunov, Olga Pogorelova and Tetyana Postnikova
Eng. Proc. 2026, 124(1), 12; https://doi.org/10.3390/engproc2026124012 - 3 Feb 2026
Viewed by 122
Abstract
This work studies the ability of a single-sided vibro-impact nonlinear energy sink (SSVI NES) and a tuned mass damper (TMD) to maintain their vibration reduction performance when the natural frequency of the primary structure (PS), which is determined by its stiffness, changes. Both [...] Read more.
This work studies the ability of a single-sided vibro-impact nonlinear energy sink (SSVI NES) and a tuned mass damper (TMD) to maintain their vibration reduction performance when the natural frequency of the primary structure (PS), which is determined by its stiffness, changes. Both types of dampers demonstrate high efficiency in mitigating the PS vibrations under periodic excitation if their parameters are optimized at a specific PS natural frequency. Their ability to reduce PS vibrations changes similarly for both types of dampers when this structural parameter is changed. Full article
(This article belongs to the Proceedings of The 6th International Electronic Conference on Applied Sciences)
Show Figures

Figure 1

19 pages, 1502 KB  
Proceeding Paper
Machine Learning-Based Prognostic Modeling of Thyroid Cancer Recurrence
by Duppala Rohan, Kasaraneni Purna Prakash, Yellapragada Venkata Pavan Kumar, Gogulamudi Pradeep Reddy, Maddikera Kalyan Chakravarthi and Pradeep Reddy Challa
Eng. Proc. 2026, 124(1), 13; https://doi.org/10.3390/engproc2026124013 - 3 Feb 2026
Viewed by 425
Abstract
Thyroid cancer is the most common type of endocrine cancer. Most cases are called differentiated thyroid cancer (DTC), which includes papillary, follicular, and hurthle cell types. DTC usually grows slowly and has a good prognosis, especially when found early and treated with surgery, [...] Read more.
Thyroid cancer is the most common type of endocrine cancer. Most cases are called differentiated thyroid cancer (DTC), which includes papillary, follicular, and hurthle cell types. DTC usually grows slowly and has a good prognosis, especially when found early and treated with surgery, radioactive iodine, and thyroid hormone therapy. However, cancer can come back sometimes even years after treatment. This recurrence can appear as abnormal blood tests or as lumps in the neck or other parts of the body. Being able to predict and detect these recurrences early is important for improving patient care and planning follow-up treatment. In this view, this research explores different machine learning algorithms and neural networks to effectively predict DTC recurrence. A total of 17 classifiers were utilized for the experiment, namely, logistic regression, random forest, k-nearest neighbours, Gaussian naïve Bayes, multi-layered perceptron, extreme gradient boosting, adaptive boosting, gradient boosting classifier, extra tree classifier (ETC), light gradient boosting machine, categorical boosting, Bernoulli naïve Bayes, complement naïve Bayes, multinomial naïve Bayes, histogram-based gradient boosting, and nearest centroid, followed by building an artificial neural network. Among the classifiers, ETC performed best with 95.3% accuracy, 95.1% precision, 87.92% recall, 98.18% specificity, 91.21% F1-score, 98.84% AUROC and 97.66% AUPRC on the first dataset, and 99.47% accuracy, 94.83% precision, 98.62% sensitivity, 99.54% specificity, 96.65% F1-score, 99.95% AUROC, and 99.37% AUPRC on the second dataset. To improve model interpretability, Shapley Additive Explanations (SHAP) was also used to explain the contribution of each clinical feature to the model’s predictions, allowing for transparent, patient-specific insights into which factors were most important for predicting recurrence, thereby supporting the proposed model’s clinical relevance. Full article
(This article belongs to the Proceedings of The 6th International Electronic Conference on Applied Sciences)
Show Figures

Figure 1

9 pages, 1551 KB  
Proceeding Paper
Deep Learning and Transfer Learning Models for Indian Food Classification
by Jigarkumar Ambalal Patel, Dileep Laxmansinh Labana, Gaurang Vinodray Lakhani and Rashmika Ketan Vaghela
Eng. Proc. 2026, 124(1), 14; https://doi.org/10.3390/engproc2026124014 - 3 Feb 2026
Viewed by 282
Abstract
This study examines the utilization of deep learning and transfer learning models for classifying photos of Indian cuisine. Indian cuisine, characterized by its extensive diversity and intricate presentation, poses considerable hurdles in food recognition owing to changes in ingredients, texture, and visual aesthetics. [...] Read more.
This study examines the utilization of deep learning and transfer learning models for classifying photos of Indian cuisine. Indian cuisine, characterized by its extensive diversity and intricate presentation, poses considerable hurdles in food recognition owing to changes in ingredients, texture, and visual aesthetics. To tackle these challenges, we utilized a bespoke Convolutional Neural Network (CNN) and harnessed cutting-edge transfer learning models such as DenseNet121, InceptionV3, MobileNet, VGG16, and Xception. The research employed a varied dataset comprising 13 food categories and executed preprocessing techniques like HSV conversion, noise reduction, and edge identification to improve image quality. Metrics for performance evaluation, including accuracy, precision, recall, and F1-score, were employed to assess model efficacy. The CNN model demonstrated a mediocre performance, revealing overfitting concerns due to a substantial disparity between training and validation accuracy. In contrast, transfer learning models, particularly DenseNet121, InceptionV3, and Xception, exhibited an enhanced generalization ability, each attaining above 92% accuracy across all criteria. MobileNet and VGG16 produced reliable outcomes with marginally reduced performances. The results highlight the efficacy of transfer learning in food image classification and indicate that fine-tuned, pre-trained models markedly improve classification accuracy. This research advances the creation of intelligent food recognition systems applicable in dietary monitoring, nutrition tracking, and health management. Full article
(This article belongs to the Proceedings of The 6th International Electronic Conference on Applied Sciences)
Show Figures

Figure 1

8 pages, 690 KB  
Proceeding Paper
Optimization of Parameters for Supercritical Carbon Dioxide Extraction of Mongolian Sea Buckthorn Oil
by Gangerel Khorloo, Ulziisaikhan Purevsuren and Chimid-Ochir Gonchig
Eng. Proc. 2026, 124(1), 15; https://doi.org/10.3390/engproc2026124015 - 4 Feb 2026
Viewed by 126
Abstract
This study aims to model and optimize the process parameters influencing the efficiency and yield of oil extraction from Mongolian sea buckthorn seeds using supercritical carbon dioxide (CO2). The experiments were planned using response surface methodology (RSM) based on a central [...] Read more.
This study aims to model and optimize the process parameters influencing the efficiency and yield of oil extraction from Mongolian sea buckthorn seeds using supercritical carbon dioxide (CO2). The experiments were planned using response surface methodology (RSM) based on a central composite rotatable design (CCRD) to evaluate the effects of extraction pressure, temperature, and time, while maintaining a constant solvent flow rate of 2.0 L/min to balance extraction efficiency and selectivity. Following data refinement and outlier exclusion, the developed second-order polynomial model exhibited excellent accuracy with a coefficient of determination R2 of 0.9375. Among the parameters studied, pressure was identified as the most critical factor affecting oil yield. Furthermore, significant interaction effects were observed, particularly between extraction time and the other variables, pressure–time (A * C) and temperature–time (B * C), indicating the time-dependent nature of mass transfer. The predicted optimal conditions for maximum yield were determined to be 5075 psi, 70 °C, and an extraction time of 10 h. Validation experiments under these conditions resulted in an oil yield of 800 g, confirming the reliability of the model. These findings demonstrate the feasibility of optimizing supercritical CO2 extraction for the industrial-scale production of high-quality functional oils and nutraceuticals. Full article
(This article belongs to the Proceedings of The 6th International Electronic Conference on Applied Sciences)
Show Figures

Figure 1

7 pages, 625 KB  
Proceeding Paper
Surface Hydrophilicity of Dental Copolymer Modified with Dimethacrylates Possessing Quaternary Ammonium Groups
by Patryk Drejka and Izabela Barszczewska-Rybarek
Eng. Proc. 2026, 124(1), 16; https://doi.org/10.3390/engproc2026124016 - 4 Feb 2026
Viewed by 130
Abstract
Dental composite reconstructive materials (DCRMs) used in caries treatment possess satisfactory functional properties but lack antimicrobial activity, which may lead to secondary caries. This research aimed to modify the DCRM matrix with urethane-dimethacrylate monomers derived from cycloaliphatic and aromatic diisocyanates bearing quaternary ammonium [...] Read more.
Dental composite reconstructive materials (DCRMs) used in caries treatment possess satisfactory functional properties but lack antimicrobial activity, which may lead to secondary caries. This research aimed to modify the DCRM matrix with urethane-dimethacrylate monomers derived from cycloaliphatic and aromatic diisocyanates bearing quaternary ammonium groups. The diisocyanates used were 1,3-bis(1-isocyanato-1-methylethyl)benzene (TMXDI), isophorone diisocyanate (IPDI), dicyclohexylmethane-4,4′-diisocyanate (CHMDI), and 1,1′-methylenebis(4-isocyanatobenzene) (MDI). As a result, eight modified copolymers were obtained and tested for the surface water contact angle (WCA), water sorption (WS), and water solubility (SL). The WCA results indicated predominantly hydrophilic surfaces, while the WS and SL values were generally satisfactory. Full article
(This article belongs to the Proceedings of The 6th International Electronic Conference on Applied Sciences)
Show Figures

Figure 1

10 pages, 510 KB  
Proceeding Paper
AI-Driven Spatiotemporal Mapping and Grid Optimization for Solar and Wind Energy
by Rahul Jain, Sushil Kumar Singh, Habib Khan, Om Prakash Pal, Sejal Mishra and Bhavisha Suthar
Eng. Proc. 2026, 124(1), 17; https://doi.org/10.3390/engproc2026124017 - 5 Feb 2026
Viewed by 972
Abstract
Renewable energy sources play a critical role in modern energy production and transmission systems. This paper presents a GIS-enhanced deep learning framework for spatially informed renewable energy potential assessment, integrating environmental variables with Geographic Information Systems (GIS) to support sustainable energy planning aligned [...] Read more.
Renewable energy sources play a critical role in modern energy production and transmission systems. This paper presents a GIS-enhanced deep learning framework for spatially informed renewable energy potential assessment, integrating environmental variables with Geographic Information Systems (GIS) to support sustainable energy planning aligned with the United Nations Sustainable Development Goals (SDGs). A synthetic dataset comprising 100 distinct geographical regions was constructed using key environmental parameters, including solar irradiance, wind speed, temperature, relative humidity, and altitude. The dataset was further enriched with GIS-based spatial attributes (latitude and longitude) and aggregated historical energy production records used as reference values for supervised learning, without explicit temporal modeling. The standardized dataset was divided into training and testing subsets using an 80:20 split and employed to train a neural network implemented using TensorFlow’s Sequential API. The architecture incorporated dense layers and dropout regularization to prevent overfitting, and was trained for 50 epochs with a batch size of 16 using the Adam optimizer and mean squared error (MSE) loss. The model achieved stable convergence, with training loss reducing from 98,273.70 to 16,651.12 and consistent validation performance, indicating strong generalization. Model outputs were integrated with GIS tools to generate spatial visualizations of energy potential, revealing distinct geographical patterns and clusters relevant for grid planning and resource allocation. By explicitly embedding spatial features into the learning process, the proposed approach provides accurate and interpretable energy potential estimates, supporting informed decision-making for renewable energy deployment and contributing to SDG 7 (clean energy), SDG 9 (resilient infrastructure), and SDG 13 (climate action). Full article
(This article belongs to the Proceedings of The 6th International Electronic Conference on Applied Sciences)
Show Figures

Figure 1

8 pages, 293 KB  
Proceeding Paper
Design of a Fault-Tolerant BCD to Excess-3 Code Converter Using Clifford+T Quantum Gates
by Sandip Das, Shankar Prasad Mitra, Sushmita Chaudhari and Riya Sen
Eng. Proc. 2026, 124(1), 18; https://doi.org/10.3390/engproc2026124018 - 4 Feb 2026
Viewed by 206
Abstract
Quantum computing has the potential to transform modern computation by offering exponential advantages in areas such as cryptography, optimization, and intelligent data processing. To effectively realize these advantages, particularly in fault-tolerant and Noisy Intermediate-Scale Quantum (NISQ) environments, quantum circuits must be both resource-efficient [...] Read more.
Quantum computing has the potential to transform modern computation by offering exponential advantages in areas such as cryptography, optimization, and intelligent data processing. To effectively realize these advantages, particularly in fault-tolerant and Noisy Intermediate-Scale Quantum (NISQ) environments, quantum circuits must be both resource-efficient and error-resilient. This paper presents a novel Binary-Coded Decimal (BCD) to Excess-3 code converter designed exclusively using the Clifford+T gate set, which is widely supported by fault-tolerant quantum hardware. The proposed design eliminates conventional 4-bit reversible adder-based implementations and instead employs an optimized logic structure based on Clifford+T-decomposed Peres gates. By leveraging Temporary Logical-AND gates and CNOT operations, the circuit achieves reduced T-count, circuit depth, and quantum cost as key metrics in fault-tolerant quantum computation. Functional correctness is verified through IBM Qiskit, Version 2.1 simulations for all valid BCD inputs. The proposed converter serves as a scalable and hardware-compatible arithmetic building block for resource-aware and AI-oriented quantum architectures. Full article
(This article belongs to the Proceedings of The 6th International Electronic Conference on Applied Sciences)
Show Figures

Figure 1

10 pages, 12951 KB  
Proceeding Paper
A Forest Mapping Model for Algeria Using Noisy Labels and Few Clean Data
by Lilia Ammar Khodja, Meziane Iftene and Mohammed El Amin Larabi
Eng. Proc. 2026, 124(1), 19; https://doi.org/10.3390/engproc2026124019 - 6 Feb 2026
Viewed by 176
Abstract
This study proposes a forest mapping framework for Algeria that addresses the challenge of limited clean data and noisy global land cover labels. The approach combines a small set of manually curated annotations with noisy ESA WorldCover data, leveraging Sentinel-2 multispectral imagery and [...] Read more.
This study proposes a forest mapping framework for Algeria that addresses the challenge of limited clean data and noisy global land cover labels. The approach combines a small set of manually curated annotations with noisy ESA WorldCover data, leveraging Sentinel-2 multispectral imagery and Digital Elevation Model (DEM) features such as slope, aspect, and the Normalized Difference Vegetation Index (NDVI). A modified ResNet-18 architecture was fine-tuned using both clean and pseudo-labeled noisy data, enabling the model to effectively mitigate label noise. The framework achieved an overall accuracy of 98.5%, demonstrating strong generalization across Algeria’s diverse forest ecosystems. These results highlight the potential of semi-supervised deep learning to improve large-scale forest monitoring, with applications in conservation, sustainable resource management, and climate change mitigation. Full article
(This article belongs to the Proceedings of The 6th International Electronic Conference on Applied Sciences)
Show Figures

Figure 1

10 pages, 2141 KB  
Proceeding Paper
Blue and Green Phosphate Coatings Formed on Steel Without Heating
by Viktoriya S. Konovalova
Eng. Proc. 2026, 124(1), 20; https://doi.org/10.3390/engproc2026124020 - 6 Feb 2026
Viewed by 203
Abstract
Phosphate coatings were obtained by cold method from solutions based on Mazev Salt (containing Mn(H2PO4)2∙2H2O and iron phosphates). Metal nitrates and nitrites were introduced into solutions as accelerators of the phosphating process. To obtain green [...] Read more.
Phosphate coatings were obtained by cold method from solutions based on Mazev Salt (containing Mn(H2PO4)2∙2H2O and iron phosphates). Metal nitrates and nitrites were introduced into solutions as accelerators of the phosphating process. To obtain green and blue phosphate coatings, procyon olive green and methylene blue dyes (8 g/L) were added into the solutions. Colored phosphate coatings are deposited unevenly on the steel surface. The thickness of the modified phosphate films was estimated from SEM images of the cross-section samples and determined to be 3–4 microns. Colored phosphate coatings are fine-grained with a grain size of 170–190 nm, which was determined using an atomic force microscope. Phosphate films continue to exhibit protective properties when heated to 100 °C. With a further increase in temperature, the protective ability of the film is significantly reduced. Colored phosphate films have a low coefficient of friction (0.1–0.15). The breakdown voltage of colored phosphate coatings is 180–200 V, which characterizes low electrical insulation ability. Based on the established properties, colored phosphate coatings can be used as protective and decorative. Full article
(This article belongs to the Proceedings of The 6th International Electronic Conference on Applied Sciences)
Show Figures

Figure 1

11 pages, 1064 KB  
Proceeding Paper
Ensemble-Based Imputation for Handling Missing Values in Healthcare Datasets: A Comparative Study of Machine Learning Models
by Bilal Ibrahim Maijamaa, Salim Ahmad, Aminu Musa, Abdullahi Ishaq and Abida Ayuba
Eng. Proc. 2026, 124(1), 21; https://doi.org/10.3390/engproc2026124021 - 9 Feb 2026
Viewed by 136
Abstract
This study addresses the challenge of missing numerical values in healthcare datasets by proposing a Particle Swarm Optimization (PSO)-optimized stacking ensemble model for data imputation. The framework combines Random Forest, XGBoost, and Linear Regression within a stacking architecture, with PSO used to optimize [...] Read more.
This study addresses the challenge of missing numerical values in healthcare datasets by proposing a Particle Swarm Optimization (PSO)-optimized stacking ensemble model for data imputation. The framework combines Random Forest, XGBoost, and Linear Regression within a stacking architecture, with PSO used to optimize model selection and hyperparameters for improved accuracy. The approach was evaluated on the Breast Cancer Wisconsin and Heart Disease datasets under Missing Completely at Random (MCAR) conditions at 30%, 20%, and 10% missingness levels, using RMSE, MAE, R2, and processing time as performance metrics. Experimental results show that the proposed model consistently outperforms individual learners across all missingness scenarios, achieving an RMSE of 0.0446, MAE of 0.0303, and R2 of 86.56% on the Breast Cancer dataset at 10% MCAR, and an RMSE of 0.1388 with an R2 of 75.19% on the Heart Disease dataset. Compared with a MissForest-based existing approach, the proposed framework demonstrates substantial reductions in imputation error, confirming the effectiveness of combining ensemble learning with evolutionary optimization. Although the PSO-based stacking model incurs higher computational cost, the findings indicate that it provides a robust, accurate, and generalizable solution for numerical data imputation in healthcare applications under varying levels of missingness. Full article
(This article belongs to the Proceedings of The 6th International Electronic Conference on Applied Sciences)
Show Figures

Figure 1

12 pages, 781 KB  
Proceeding Paper
Bayesian Optimization-Driven U-Net Architecture Tuning for Brain Tumor Segmentation
by Shoffan Saifullah and Rafał Dreżewski
Eng. Proc. 2026, 124(1), 22; https://doi.org/10.3390/engproc2026124022 - 9 Feb 2026
Viewed by 225
Abstract
Precise brain tumor segmentation from magnetic resonance imaging (MRI) scans is critical for clinical diagnosis and treatment planning. However, determining an optimal deep learning architecture for such tasks remains a challenge due to the vast hyperparameter space and structural variations. This paper presents [...] Read more.
Precise brain tumor segmentation from magnetic resonance imaging (MRI) scans is critical for clinical diagnosis and treatment planning. However, determining an optimal deep learning architecture for such tasks remains a challenge due to the vast hyperparameter space and structural variations. This paper presents a novel approach that integrates Bayesian Optimization (BO) to automatically tune the U-Net architecture for effective brain tumor segmentation. The proposed BO-UNet framework searches over encoder, bottleneck, and decoder configurations using a Gaussian Process-based surrogate model, guided by a fitness function derived from Dice Similarity Coefficient (DSC) and Jaccard Index (JI). Experiments were conducted on two benchmark datasets: the Figshare Brain Tumor Segmentation (FBTS) dataset and the BraTS 2021 dataset (focused on Whole Tumor segmentation). The best-discovered architecture [64, 64, 64, 256, 64, 128, 256] achieved notable performance: on the FBTS dataset, it reached 0.9503 DSC and 0.9054 JI; on BraTS 2021, it obtained 0.9261 DSC and 0.8631 JI, outperforming several state-of-the-art methods. Convergence and segmentation-map evolution confirm that BO effectively guided the architectural search process. These findings demonstrate the potential of BO-driven deep learning in medical imaging, opening new avenues for architecture-level optimization with minimal manual intervention. Full article
(This article belongs to the Proceedings of The 6th International Electronic Conference on Applied Sciences)
Show Figures

Figure 1

7 pages, 826 KB  
Proceeding Paper
Photocatalytic Degradation of Brilliant Blue FCF Dye Using Biosynthesized ZnO Nanoparticles
by Ekhlakh Veg, Nashra Fatima and Tahmeena Khan
Eng. Proc. 2026, 124(1), 23; https://doi.org/10.3390/engproc2026124023 - 9 Feb 2026
Viewed by 228
Abstract
In recent years, photocatalysis based on metal oxides has gained significant attention as an effective and environmentally sustainable strategy for the degradation of dye pollutants under mild operating conditions. Among the various metal oxide photocatalysts, zinc oxide (ZnO) is particularly attractive due to [...] Read more.
In recent years, photocatalysis based on metal oxides has gained significant attention as an effective and environmentally sustainable strategy for the degradation of dye pollutants under mild operating conditions. Among the various metal oxide photocatalysts, zinc oxide (ZnO) is particularly attractive due to its appropriate band gap, excellent chemical stability, low cost, and capability to operate under visible light. In this work, ZnO nanoparticles (NPs) were green-synthesized using Livistona chinensis leaf extract and subsequently assessed for their photocatalytic performance in the degradation of the synthetic dye Brilliant Blue FCF. The synthesized ZnO NPs achieved approximately 76% dye removal within 90 min of visible light irradiation. These findings demonstrate the potential of ZnO NPs as an efficient, economical, and eco-friendly visible-light-driven photocatalyst, supporting their application in sustainable wastewater remediation. Full article
(This article belongs to the Proceedings of The 6th International Electronic Conference on Applied Sciences)
Show Figures

Figure 1

7 pages, 792 KB  
Proceeding Paper
Prediction of Metastatic Risk in Breast Cancer by the Expression of Mechanobiological Markers
by Ksenia Maksimova, Margarita Pustovalova, Sergey Leonov and Yulia Merkher
Eng. Proc. 2026, 124(1), 24; https://doi.org/10.3390/engproc2026124024 - 10 Feb 2026
Viewed by 217
Abstract
Distant metastasis is the leading cause of breast cancer-related mortality, yet its prediction from primary tumor profiles remains challenging. Cytoskeletal remodeling and cell motility are central to metastatic dissemination, suggesting mechanobiological genes as biologically relevant biomarkers. Here, we evaluated the ability of supervised [...] Read more.
Distant metastasis is the leading cause of breast cancer-related mortality, yet its prediction from primary tumor profiles remains challenging. Cytoskeletal remodeling and cell motility are central to metastatic dissemination, suggesting mechanobiological genes as biologically relevant biomarkers. Here, we evaluated the ability of supervised machine learning models to distinguish metastatic from non-metastatic breast cancer samples using expression profiles of 11 actin cytoskeleton-related genes from the TCGA cohort. Ensemble models, particularly Random Forest and XGBoost, demonstrated strong discriminative ability and consistently outperformed other approaches after employing SMOTE for class balancing in exploratory analyses. CFL1, ANXA2, and MYH9 consistently emerged as the most informative predictors, highlighting mechanobiological processes as key drivers of metastatic risk. Full article
(This article belongs to the Proceedings of The 6th International Electronic Conference on Applied Sciences)
Show Figures

Figure 1

11 pages, 683 KB  
Proceeding Paper
Adaptive Marine Predators Algorithm for Optimizing CNNs in Malaria Detection
by Abubakar Salisu Bashir, Usman Mahmud, Abdulkadir Abubakar Bichi, Abubakar Ado, Abdulrauf Garba Sharifai and Mansir Abubakar
Eng. Proc. 2026, 124(1), 25; https://doi.org/10.3390/engproc2026124025 - 11 Feb 2026
Viewed by 220
Abstract
Malaria remains a major global health burden, requiring rapid and reliable diagnostic tools to complement or replace labor-intensive manual microscopy. Although deep learning methods have demonstrated strong potential for automated malaria diagnosis, many existing approaches depend on computationally expensive transfer learning architectures or [...] Read more.
Malaria remains a major global health burden, requiring rapid and reliable diagnostic tools to complement or replace labor-intensive manual microscopy. Although deep learning methods have demonstrated strong potential for automated malaria diagnosis, many existing approaches depend on computationally expensive transfer learning architectures or exhibit sensitivity to suboptimal hyperparameter configurations. This study proposes a lightweight automated framework for binary classification of malaria cell images using a custom Convolutional Neural Network (CNN) optimized by a novel Adaptive Marine Predators Algorithm (AMPA). The proposed AMPA integrates a state-aware adaptive control factor that dynamically adjusts step size based on population loss, thereby improving search efficiency and reducing susceptibility to local optima. The framework was evaluated on the NIH Malaria Cell Image Dataset containing 27,558 single-cell images. Experimental results show that the AMPA-optimized CNN achieves a testing accuracy of 95.00% and an Area Under the Curve of 0.986. Comparative experiments indicate that the proposed model outperforms several reported lightweight architectures, including MobileNetV2 (92.00%) and YOLO-based detectors (94.07%), while achieving performance comparable to deeper networks such as VGG-16 (94.88%), with substantially lower computational complexity. The model further attains high sensitivity (0.94) and precision (0.96), supporting its suitability as a robust and resource-efficient approach for automated malaria screening research. Full article
(This article belongs to the Proceedings of The 6th International Electronic Conference on Applied Sciences)
Show Figures

Figure 1

8 pages, 535 KB  
Proceeding Paper
A Comprehensive Review and Experimental Study on Biodiesel Upgrade Through Selective Partial Catalytic Hydrogenation
by Alexandros Psalidas, Elissavet Emmanouilidou and Nikolaos C. Kokkinos
Eng. Proc. 2026, 124(1), 26; https://doi.org/10.3390/engproc2026124026 - 11 Feb 2026
Viewed by 267
Abstract
Biodiesel is a promising alternative to conventional diesel, but its widespread use is inhibited by oxidative stability issues. To address this problem, various strategies have been tested, and among them, the partial hydrogenation of biodiesel FAMEs has shown promising results. Within the framework [...] Read more.
Biodiesel is a promising alternative to conventional diesel, but its widespread use is inhibited by oxidative stability issues. To address this problem, various strategies have been tested, and among them, the partial hydrogenation of biodiesel FAMEs has shown promising results. Within the framework of the present study, a comprehensive review and an experimental study on biodiesel upgrading through selective partial catalytic hydrogenation have been conducted. The literature indicates that biphasic aqueous/organic catalytic systems have great potential for biodiesel catalytic upgrade, offering high reaction rates, good selectivity and convenient catalyst separation. In this context, an aqueous/organic biphasic system with a Ru/TPPTS catalyst was tested for the partial hydrogenation of biodiesel derived from WCOs. The results were comparable to those reported in the literature, indicating the potential of this process and contributing to the scarce body of research on these systems. Full article
(This article belongs to the Proceedings of The 6th International Electronic Conference on Applied Sciences)
Show Figures

Figure 1

13 pages, 3258 KB  
Proceeding Paper
Integration of Solar Thermal Energy Conversion with a Novel Multilevel Inverter Circuit for Low-Power Applications
by Vijayaraja Loganathan, Dhanasekar Ravikumar, Mohamed Raffi Sheik Alaudeen, Abinandhan Jeevagan and Rupa Kesavan
Eng. Proc. 2026, 124(1), 27; https://doi.org/10.3390/engproc2026124027 - 11 Feb 2026
Viewed by 208
Abstract
The rise of carbon emissions from fossil fuel-based power generation has intensified the need for efficient and low-carbon energy systems. The global CO2 concentration has risen from 285 ppm in the pre-industrial era to nearly 420 ppm today, and this contributes to [...] Read more.
The rise of carbon emissions from fossil fuel-based power generation has intensified the need for efficient and low-carbon energy systems. The global CO2 concentration has risen from 285 ppm in the pre-industrial era to nearly 420 ppm today, and this contributes to a 1°C increase in average temperature. Therefore, in this article, a hybrid photovoltaic–thermoelectric generator (PV–TEG) system integrated with a reduced-switch multilevel inverter (MLI) is proposed. This enhances renewable energy utilization and power quality. The proposed PV–TEG model recovers waste heat from PV modules, which yields an overall efficiency improvement of approximately 2–8% compared to standalone PV systems. Further, the proposed MLI operates in symmetric (seven-level) and asymmetric (11-level) modes using eight switches. The system develops high-quality stepped output voltages with a minimum component count. Simulation work is performed, and the results show a peak output voltage of ±220 V with Total Harmonic Distortion (THD) of 7.2% under R-load and reduced THD below 5% under RL and variable load conditions. The integrated system demonstrates improved efficiency, reliability, and suitability for sustainable power generation and rural electrification. Full article
(This article belongs to the Proceedings of The 6th International Electronic Conference on Applied Sciences)
Show Figures

Figure 1

8 pages, 1026 KB  
Proceeding Paper
IoT-Based Sensor Technologies for Object Detection in Low-Visibility Environments: Development and Validation of a Functional Prototype
by Pedro Escudero-Villa and Cristian Escudero
Eng. Proc. 2026, 124(1), 28; https://doi.org/10.3390/engproc2026124028 - 12 Feb 2026
Viewed by 288
Abstract
In emergency scenarios where visibility is compromised, rapid and accurate object detection becomes critical. This study addresses this challenge by proposing an IoT-enabled robotic solution capable of operating in low-visibility environments, with a focus on supporting search and rescue missions through autonomous sensing [...] Read more.
In emergency scenarios where visibility is compromised, rapid and accurate object detection becomes critical. This study addresses this challenge by proposing an IoT-enabled robotic solution capable of operating in low-visibility environments, with a focus on supporting search and rescue missions through autonomous sensing and real-time data communication. This research presents the development and implementation of an IoT-based sensorized system designed to detect objects in low-visibility environments. The system aims to enhance search and rescue operations by identifying potential human presence in areas with limited access due to smoke, darkness, or hazardous conditions. The platform integrates distance sensors, a thermal camera (AMG8833), a PIR motion sensor, and wireless communication through the Arduino MKR1000 and ESP32-CAM boards. The mobile robot is equipped with obstacle avoidance, person detection, and IoT communication modules, allowing data to be sent to the cloud via ThingSpeak and enabling remote commands through TalkBack. A structured methodology was followed, including technology selection, hardware/software design, and testing under various lighting and opacity conditions. Experimental results showed the effectiveness of the system in identifying obstacles and detecting heat signatures representing human body, with optimal performance observed at a 15 cm detection threshold. The system demonstrated robust operation in simulated rescue environments, providing real-time data transmission and remote-control capabilities. Full article
(This article belongs to the Proceedings of The 6th International Electronic Conference on Applied Sciences)
Show Figures

Figure 1

7 pages, 218 KB  
Proceeding Paper
Phytochemical Screening and In Vitro Antioxidant Analysis of Colebrookea oppositifolia Sm. Extract
by Rohit Malik, Santosh Kumar Singh and Prashant Kumar
Eng. Proc. 2026, 124(1), 30; https://doi.org/10.3390/engproc2026124030 - 13 Feb 2026
Viewed by 173
Abstract
Dementia, a major cause of dependency, disability, and mortality, is characterized by a progressive cognitive decline. Alzheimer’s disease, a major neurodegenerative dementia, primarily affects the elderly. This study aimed to investigate the antioxidant and neuroprotective potential of plant phytoconstituents for the treatment of [...] Read more.
Dementia, a major cause of dependency, disability, and mortality, is characterized by a progressive cognitive decline. Alzheimer’s disease, a major neurodegenerative dementia, primarily affects the elderly. This study aimed to investigate the antioxidant and neuroprotective potential of plant phytoconstituents for the treatment of Alzheimer’s disease. Phytoconstituents of Colebrookea oppositifolia Sm. were investigated using aerial and root extracts. The antioxidant potential of the plant phytoconstituents was assessed using in vitro antioxidant assays such as 2,2′-azino-bis (3-ethylbenzothiazoline-6-sulfonic acid) (ABTS) and Ferric-Reducing Antioxidant Power (FRAP) assay. The plant extract (root) showed significant antioxidant potential. Additional studies are underway to comprehensively evaluate its potential applications. Full article
(This article belongs to the Proceedings of The 6th International Electronic Conference on Applied Sciences)
11 pages, 716 KB  
Proceeding Paper
Advanced Control of MEA-Based CO2 Capture Systems
by Adham Norkobilov, Abror Turakulov, Qilichbek Safarov, Sanjar Ergashev, Zafar Turakulov, Azizbek Kamolov, Aziza Maksudova and Jaloliddin Eshbobaev
Eng. Proc. 2026, 124(1), 31; https://doi.org/10.3390/engproc2026124031 - 13 Feb 2026
Viewed by 153
Abstract
Post-combustion CO2 capture using monoethanolamine (MEA) is a mature mitigation technology, yet its high energy demand and complex dynamics remain major challenges. This study presents a unified dynamic modeling and control framework for an MEA-based absorption–regeneration system, focusing on a comparative evaluation [...] Read more.
Post-combustion CO2 capture using monoethanolamine (MEA) is a mature mitigation technology, yet its high energy demand and complex dynamics remain major challenges. This study presents a unified dynamic modeling and control framework for an MEA-based absorption–regeneration system, focusing on a comparative evaluation of PID, fuzzy logic control (FLC), and model predictive control (MPC) under realistic operating disturbances. A control-oriented surrogate model was developed in MATLAB R2024b/Simulink and validated against published benchmark trends. The control objective was to maintain CO2 capture efficiency above 90% while minimizing reboiler energy consumption under ±10% inlet CO2 concentration and flue gas flow disturbances. Simulation results showed that PID control ensures basic stability but exhibits slow recovery and high energy usage, while FLC improves robustness with limited dynamic improvement. MPC consistently maintained capture efficiency above the target value, reduced the settling time by approximately 37%, and achieved a 12.4% reduction in average reboiler duty compared to PID control. The results demonstrate that a unified, implementation-oriented modeling framework enables the effective assessment of advanced control strategies and supports the energy-efficient operation of industrial MEA-based CO2 capture systems. Full article
(This article belongs to the Proceedings of The 6th International Electronic Conference on Applied Sciences)
Show Figures

Figure 1

7 pages, 1306 KB  
Proceeding Paper
Trunk and Lower-Extremity Kinematics During Gait After Posterior Fixation for Thoracolumbar Fracture
by Battugs Borkhuu, Batbayar Khuyagbaatar, Ganbat Danaa and Sonomjamts Munkhbayarlakh
Eng. Proc. 2026, 124(1), 32; https://doi.org/10.3390/engproc2026124032 - 14 Feb 2026
Viewed by 114
Abstract
Posterior fixation is usually performed to restore spinal stability and decompress the spinal canal for unstable thoracolumbar burst fractures. The purpose of this study was to compare trunk and lower-extremity kinematics during gait between healthy adults and patients who had undergone posterior fixation [...] Read more.
Posterior fixation is usually performed to restore spinal stability and decompress the spinal canal for unstable thoracolumbar burst fractures. The purpose of this study was to compare trunk and lower-extremity kinematics during gait between healthy adults and patients who had undergone posterior fixation surgery after thoracolumbar fractures. Optical motion capture was used to record joint kinematics during walking. The trunk, hip, knee, and ankle joint angles and excursions in sagittal, frontal, and transverse planes were calculated, averaged, and compared between patients and control groups. The patient group had significantly increased total hip excursion in the frontal plane and reduced ankle dorsiflexion in the sagittal plane, with mean differences of 4.2° and 6.4°, respectively. However, there were no differences in knee joint kinematics. The patient group exhibited a more upright trunk position during walking than the control group, with both peak trunk flexion and extension significantly different, possibly indicating stiffer trunk movement. This study provides the fundamentals of the joint kinematics of the trunk and lower extremities after posterior surgical treatment for thoracolumbar fractures, which may help in evaluating surgical outcomes. Full article
(This article belongs to the Proceedings of The 6th International Electronic Conference on Applied Sciences)
Show Figures

Figure 1

9 pages, 667 KB  
Proceeding Paper
Secure and Efficient Biometric Data Streaming with IoT for Wearable Healthcare
by Nikolaos Tournatzis, Stylianos Katsoulis, Ioannis Chrysovalantis Panagou, Evangelos Nannos, Ioannis Christakis and Grigorios Koulouras
Eng. Proc. 2026, 124(1), 33; https://doi.org/10.3390/engproc2026124033 - 15 Feb 2026
Viewed by 252
Abstract
The growing adoption of wearable devices creates a critical need for robust and secure Internet of Things solutions to manage biometric data streams. Current architectures often lack emphasis on seamless data capture, secure cloud storage and integrated dashboard visualization. This research addresses these [...] Read more.
The growing adoption of wearable devices creates a critical need for robust and secure Internet of Things solutions to manage biometric data streams. Current architectures often lack emphasis on seamless data capture, secure cloud storage and integrated dashboard visualization. This research addresses these gaps by investigating and evaluating an IoT framework leveraging lightweight communication and real-time visualization for improved healthcare monitoring. Drawing primarily on recent peer-reviewed journals and reputable conference proceedings, we evaluate an IoT architecture that securely integrates wearable biometric data into a cloud-based dashboard. The system utilizes encrypted advertising packets (e.g., AES-128-CCM) to broadcast biometric signals, eliminating the need for permanent device pairing and minimizing energy consumption. These packets are captured by our prototype ESP32-based (Espressif Systems, Shanghai, China) gateway node, decrypted and forwarded to a secure cloud environment that ensures persistent storage and accessibility. The cloud-based dashboard provides medical staff and end-users with real-time insights and long-term data tracking. Emphasis was placed on evaluating the system’s low latency performance, energy efficiency and data confidentiality. System evaluation demonstrates that encrypted advertising packets can securely transmit biometric signals, while drastically reducing energy consumption and latency. System evaluation demonstrates that encrypted BLE advertising serves as a superior alternative to traditional pairing-based methods for long-term medical monitoring. By implementing a dual-optimization strategy that balances data confidentiality with power efficiency, the proposed system achieved a 33-fold increase in operational autonomy compared with standard permanent BLE connections. These results represent a significant advancement in battery longevity for the IoMT ecosystem, providing a scalable solution for continuous, secure biometric signal transmission with minimal energy overhead. Full article
(This article belongs to the Proceedings of The 6th International Electronic Conference on Applied Sciences)
Show Figures

Figure 1

7 pages, 784 KB  
Proceeding Paper
Forecasting PM2.5 Concentrations with Machine Learning: Accuracy, Efficiency, and Public Health Implications
by Kyriakos Ovaliadis, Spyridon Mitropoulos, Vassilios Tsiantos and Ioannis Christakis
Eng. Proc. 2026, 124(1), 36; https://doi.org/10.3390/engproc2026124036 - 16 Feb 2026
Viewed by 141
Abstract
Nowadays, air quality is a major issue, especially in large cities. Apart from air pollution, particulate matter (PM), especially PM2.5, poses serious health risks to individuals with respiratory conditions. Accurate forecasting of PM levels is crucial to warn vulnerable populations and reduce exposure. [...] Read more.
Nowadays, air quality is a major issue, especially in large cities. Apart from air pollution, particulate matter (PM), especially PM2.5, poses serious health risks to individuals with respiratory conditions. Accurate forecasting of PM levels is crucial to warn vulnerable populations and reduce exposure. Machine learning models can effectively predict PM concentrations based on historical data and barometric conditions such as temperature and humidity. Such predictions can support timely public health interventions and environmental policy decisions. The selection of the optimal machine learning model for time series forecasting requires a careful balance between predictive accuracy and computational efficiency. This study evaluates a number of widely used models, such as Random Forest (RF), Long Short-Term Memory (LSTM), Convolutional Neural Network-LSTM (CNN–LSTM), Extreme Gradient Boosting (XGB/HistGradientBoosting), and hybrid approaches (LSTM embeddings + RF), in the context of time series forecasting for particulate matter (PM) concentrations. Performance is assessed using three key error metrics: Mean Squared Error (MSE), Root Mean Squared Error (RMSE), and Mean Absolute Scaled Error (MASE). Additionally, the computational demands and development complexity of each model are analyzed. The overall results are of great interest for each application model, and in more detail, it is shown that the best compromise between accuracy and efficiency can be achieved, while a corresponding prediction model with satisfactory predictive performance can be implemented. The results show that CNN–LSTM and hybrid approaches provide high accuracy, while tree-based models are computationally efficient, offering practical options for real-time forecasting systems. Full article
(This article belongs to the Proceedings of The 6th International Electronic Conference on Applied Sciences)
Show Figures

Figure 1

10 pages, 996 KB  
Proceeding Paper
TransQSAR-pf: A Bio-Informed QSAR Framework Using Plasmodium falciparum Stress Signatures for Enhanced Antiplasmodial Activity Prediction
by Favour O. Igwezeke and Charles O. Nnadi
Eng. Proc. 2026, 124(1), 37; https://doi.org/10.3390/engproc2026124037 - 13 Feb 2026
Viewed by 180
Abstract
Traditional QSAR modeling relies solely on molecular descriptors, neglecting the biological state of target organisms. While prior approaches have integrated biological data with molecular features for activity prediction, we developed TransQSAR-pf, a methodological framework that integrates Plasmodium falciparum transcriptomic stress signatures with molecular [...] Read more.
Traditional QSAR modeling relies solely on molecular descriptors, neglecting the biological state of target organisms. While prior approaches have integrated biological data with molecular features for activity prediction, we developed TransQSAR-pf, a methodological framework that integrates Plasmodium falciparum transcriptomic stress signatures with molecular descriptors to construct biologically informed activity prediction models. Applied to 125 triazolopyrimidine derivatives, the framework distilled 764 transcriptomic features into 13 key predictors through Boruta selection, constructing an interpretable model (R2 = 0.762, RMSE = 0.470) that demonstrated improved performance over the baseline QSAR-only model (R2 = 0.719, RMSE = 0.529). Biological mapping revealed that 71.2% of feature importance derived from conserved unknown-function genes, representing largely uncharacterized stress response pathways that correlate with compound efficacy and warrant experimental characterization, demonstrating the framework’s utility for generating mechanistic hypotheses. This work presents a novel computational pipeline for building biology-aware QSAR models that prioritize experimental targets for antimalarial discovery. Full article
(This article belongs to the Proceedings of The 6th International Electronic Conference on Applied Sciences)
Show Figures

Figure 1

9 pages, 1772 KB  
Proceeding Paper
Design and Performance Analysis of Double-Gate TFETs Using High-k Dielectrics and Silicon Thickness Scaling for Low-Power Applications
by Pallabi Pahari, Sushanta Kumar Mohapatra, Jitendra Kumar Das and Om Prakash Acharya
Eng. Proc. 2026, 124(1), 38; https://doi.org/10.3390/engproc2026124038 - 19 Feb 2026
Viewed by 144
Abstract
Tunnel Field-Effect Transistors (TFETs) are being explored for ultra-low-power very-large-scale integrated circuits (VLSI) because their band-to-band tunnelling (BTBT) transport permits subthreshold swings (SS) below the 60 mV/dec thermionic limit at room temperature, along with significantly lower leakage than MOSFETs. This paper presents a [...] Read more.
Tunnel Field-Effect Transistors (TFETs) are being explored for ultra-low-power very-large-scale integrated circuits (VLSI) because their band-to-band tunnelling (BTBT) transport permits subthreshold swings (SS) below the 60 mV/dec thermionic limit at room temperature, along with significantly lower leakage than MOSFETs. This paper presents a systematic TCAD study of DG-TFETs that maps how four primary knobs–gate dielectric materials, silicon channel thickness, temperature variation, and different channel material shape key figures of merit: the ON current (ION), OFF current (IOFF), threshold voltage (VTH), SS, and the ION/IOFF switching ratio. High-k gate enhances gate-to-channel coupling and boost tunnelling efficiency; rigorous body scaling enhances electrostatic control; and targeted source-proximal doping profiles elevate ION while minimizing leakage. We also measure the trade-offs between ION, SS, and IOFF that occur when scaling is performed at the same time. This shows that careful coordination is needed instead of just tuning one parameter. This is a simulated work, and the physical models are calibrated to experimental TFET data and all parameters are checked against previously reported results. The device reaches SS = 31.4 mV/dec, VTH = 0.46 V, ION = 5.91 × 10−5 A and an ION/IOFF of about 4.5 × 1011. This shows that it can switch quickly with little leakage. The design insights that come from this work provide useful advice regarding how to choose gate dielectric material, structures, and doping strategies to add DG-TFETs to the next generation of low-power semiconductor technologies. Full article
(This article belongs to the Proceedings of The 6th International Electronic Conference on Applied Sciences)
Show Figures

Figure 1

10 pages, 538 KB  
Proceeding Paper
Effect of Cultivation Region on the Physicochemical and Quality Characteristics of Arabica Coffee (Red Bourbon Variety) from Bean to Brew
by Ivan Hrab, Anastasiia Sachko, Oksana Sema, Kristina Gavrysh and Yuriy Khalavka
Eng. Proc. 2026, 124(1), 39; https://doi.org/10.3390/engproc2026124039 (registering DOI) - 20 Feb 2026
Viewed by 142
Abstract
Caffeine is one of the most well-known biologically active compounds in coffee beans, and its content largely determines the taste and stimulating properties of the drink. However, the amount of caffeine in beans can vary significantly depending on growing conditions, even within the [...] Read more.
Caffeine is one of the most well-known biologically active compounds in coffee beans, and its content largely determines the taste and stimulating properties of the drink. However, the amount of caffeine in beans can vary significantly depending on growing conditions, even within the same coffee variety. The growing global demand for coffee and the current market dynamics emphasize the necessity to investigate how the origin of coffee beans influences beverage quality. Arabica beans, particularly the Red Bourbon variety, are known to exhibit variations in chemical composition, sensory characteristics, and technological behavior depending on their cultivation environment. The study aimed to evaluate the physicochemical and sensory properties of Arabica Red Bourbon beans sourced from distinct geographic regions, considering factors such as altitude and local environmental conditions. The sensory characteristics of the resulting beverages were evaluated using the capping method, and water activity, density, moisture content, color, pH, extractivity and caffeine content were determined. Roasted bean color ranged from 61.4 to 62.5, while ground coffee color was 72.5–75.4. Moisture content was highest in Col and R (3.4%) and lowest in Con (3.1%). The greatest moisture loss during roasting occurred in S and R (13.4%). Water activity decreased from 0.50–0.56 in green beans to 0.18–0.30 post-roasting. Extraction yield ranged from 20.03 to 21.21%, and total dissolved solids (TDS) varied at 1.23–1.30%. The least acidic sample was S (pH 5.04). Colombian beans contained unusually high caffeine. The conducted research confirmed that the geographical origin of Arabica Red Bourbon beans significantly impacts their physicochemical and sensory attributes. Variations in moisture, acidity, and caffeine content were observed among the samples, despite a consistent roasting profile. Full article
(This article belongs to the Proceedings of The 6th International Electronic Conference on Applied Sciences)
Show Figures

Figure 1

0 pages, 6390 KB  
Proceeding Paper
Satellite Vegetation Monitoring Challenges for Oil Pollution in the Niger Delta Community
by Jennifer Akuchinyere Anucha, Bhaskar Das, Sandhya Patidar, Ambrose Onne Okpu, Ikenna Light Nkwocha and Bhaskar Sen Gupta
Eng. Proc. 2026, 124(1), 41; https://doi.org/10.3390/engproc2026124041 (registering DOI) - 22 Feb 2026
Abstract
Monitoring vegetation and land cover changes over time in oil-impacted regions is crucial for assessing ecological degradation and informing remediation options. This study aimed to identify the challenges encountered when using Landsat imagery to detect changes in vegetation health and land cover in [...] Read more.
Monitoring vegetation and land cover changes over time in oil-impacted regions is crucial for assessing ecological degradation and informing remediation options. This study aimed to identify the challenges encountered when using Landsat imagery to detect changes in vegetation health and land cover in Bodo, a hydrocarbon-impacted community in the Niger Delta region of Nigeria, over a 20-year period. Landsat 7 ETM+ and Landsat 8 OLI imagery were used to derive the Normalised Difference Vegetation Index (NDVI), Normalised Difference Water Index (NDWI), and Normalised Difference Built-up Index (NDBI) from 2003 to 2023. Data continuity was affected by the Landsat 7 Scan Line Corrector malfunction in the 2008 images and by high cloud coverage in the Landsat 8 OLI 2013 images. Hence, 2008 and 2013 were excluded from the analysis, limiting multi-year comparisons. Results from the available years indicated that NDBI values increased gradually, suggesting minor urban expansion. Stable but low NDWI levels suggest water stress, while changing NDVI values indicate alterations in vegetative health. However, this study highlights observable environmental changes and the challenges involved in using satellite imagery for environmental monitoring in oil-impacted regions, underscoring the need for improved cloud-masking methodologies and radar datasets to enhance long-term environmental assessment. Full article
(This article belongs to the Proceedings of The 6th International Electronic Conference on Applied Sciences)
Show Figures

Figure 1

11 pages, 1246 KB  
Proceeding Paper
Comparison of Intelligent and Traditional Control Systems in Wastewater Treatment Process Control
by Jaloliddin Eshbobaev, Alisher Rakhimov, Adham Norkobilov, Komil Usmanov, Zafar Turakulov, Azizbek Kamolov, Sarvar Rejabov and Bakhodir Khamidov
Eng. Proc. 2026, 124(1), 4029; https://doi.org/10.3390/engproc2026124029 - 12 Feb 2026
Viewed by 146
Abstract
Ion-exchange-based wastewater treatment processes exhibit nonlinear and time-varying dynamics, making the control of total dissolved solids (TDS) and water hardness a complex task. Conventional Proportional–Integral–Derivative (PID) controllers often show limited performance under such conditions due to fixed tuning parameters and linear assumptions. To [...] Read more.
Ion-exchange-based wastewater treatment processes exhibit nonlinear and time-varying dynamics, making the control of total dissolved solids (TDS) and water hardness a complex task. Conventional Proportional–Integral–Derivative (PID) controllers often show limited performance under such conditions due to fixed tuning parameters and linear assumptions. To address these limitations, this study presents a comparative evaluation of traditional and intelligent control strategies for regulating TDS and water hardness through influent flow control. A classical PID controller is compared with fuzzy logic and Adaptive neuro-fuzzy inference system (ANFIS) controllers using a unified MATLAB/Simulink simulation framework. The control performance is evaluated based on dynamic response characteristics, including rise time, settling time, and overshoot. For TDS control, the PID controller exhibits a rise time of 15.9 s and a settling time of 50.9 s, while the fuzzy logic controller improves the response with a rise time of 13.6 s and settling time of 44.1 s. The ANFIS controller achieves the fastest response, with a rise time of 8.31 s and a settling time of 27.1 s. Similar trends are observed for water hardness control, where the PID controller shows a rise time of 17.0 s and settling time of 55.8 s, the fuzzy logic controller reduces these values to 12.3 s and 40.4 s, respectively, and the ANFIS controller further improves performance with a rise time of 9.23 s and settling time of 30.3 s. The overshoot values for all controllers remain comparable, within the range of approximately 4.4–5.0%. The results clearly demonstrate that intelligent control strategies, particularly ANFIS, provide significantly faster convergence and improved dynamic performance compared to conventional PID control. The reduced settling time implies lower control effort and decreased energy consumption, highlighting the potential of intelligent controllers for efficient and reliable industrial wastewater treatment applications. Full article
(This article belongs to the Proceedings of The 6th International Electronic Conference on Applied Sciences)
Show Figures

Figure 1

Back to TopTop