Bayesian Optimization-Driven U-Net Architecture Tuning for Brain Tumor Segmentation †
Abstract
1. Introduction
- We propose BO-UNet, a novel framework that integrates Bayesian Optimization with U-Net for automated architecture-level tuning in brain tumor segmentation.
- We design a composite fitness function that combines DSC and JI to guide the probabilistic search toward segmentation-specific objectives.
- We validate BO-UNet on two benchmark datasets (FBTS and BraTS 2021), showing consistent improvements over manually designed and state-of-the-art models through quantitative metrics and visual analysis.
2. Related Work
3. Method
3.1. Framework Overview
3.2. Search-Space Design
3.3. Bayesian Optimization Algorithm
| Algorithm 1 Bayesian Optimization for U-Net Architecture Tuning |
|
3.4. Fitness and Acquisition Functions
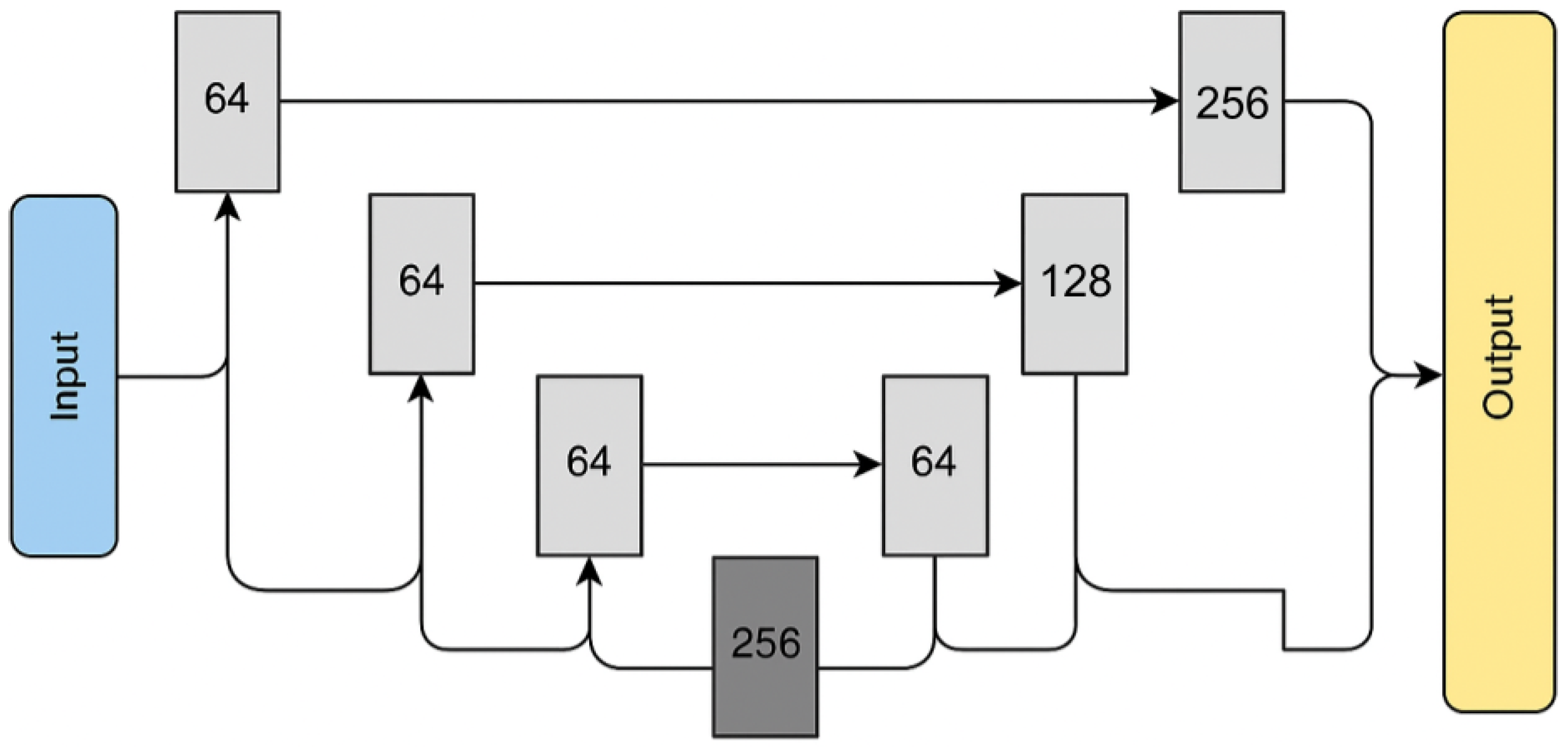
3.5. Best Discovered Architecture
3.6. Implementation Details
- Accuracy evaluates the overall proportion of correctly classified pixels and provides a coarse measure of the voxel-wise prediction correctness. It is defined as Equation (4).Although accuracy is reported for completeness, it may be biased in medical image segmentation tasks due to the dominance of background pixels. Therefore, overlap-based metrics are emphasized for performance interpretation.
- The Dice Similarity Coefficient (DSC) measures the overlap between the predicted segmentation (P) and the ground truth (G) (Equation (5)) and is particularly sensitive to boundary alignment and small tumor regions.
- The Jaccard Index (JI), also known as Intersection over Union (IoU), quantifies the similarity between the predicted and actual tumor regions (Equation (6)) and imposes a stricter penalty on over-segmentation compared to DSC.Let , , , and denote the number of true-positive, true-negative, false-positive, and false-negative pixels, respectively. Let P represent the predicted tumor mask and G the ground truth tumor mask. The operator denotes the cardinality (i.e., the number of pixels) of a set.
- Binary Cross-Entropy (BCE) is the training loss function used to optimize voxel-wise classification probabilities and is defined as Equation (7).where and represent the ground truth label and the predicted probability for pixel i, respectively.
4. Results and Discussion
4.1. Dataset Description and Experimental Setup
4.2. Convergence Behavior of BO-UNet
4.3. Quantitative Evaluation and Statistical Analysis
4.4. Qualitative Results and Comparison with SOTA
4.5. Limitations and Future Work
5. Conclusions
Author Contributions
Funding
Institutional Review Board Statement
Informed Consent Statement
Data Availability Statement
Conflicts of Interest
References
- Rasool, N.; Bhat, J.I. A Critical Review on Segmentation of Glioma Brain Tumor and Prediction of Overall Survival. Arch. Comput. Methods Eng. 2025, 32, 1525–1569. [Google Scholar] [CrossRef]
- Jiangtao, W.; Ruhaiyem, N.I.R.; Panpan, F. A Comprehensive Review of U-Net and Its Variants: Advances and Applications in Medical Image Segmentation. IET Image Proc. 2025, 19, e70019. [Google Scholar] [CrossRef]
- Aljohani, A. Enhancing medical image segmentation through stacked u-net architectures with interconnected convolution layers. Egypt. Inform. J. 2025, 31, 100753. [Google Scholar] [CrossRef]
- Abueed, O.; Wang, Y.; Khasawneh, M. A Systematic Review of U-Net Optimizations: Advancing Tumour Segmentation in Medical Imaging. IET Image Proc. 2025, 19, e70203. [Google Scholar] [CrossRef]
- Kadhim, K.A. Integrating Spatial Pyramid Pooling for Multi-scale Brain Tumor Classification in Deep Learning. J. Image Graph. 2025, 13, 315–324. [Google Scholar] [CrossRef]
- Tajbakhsh, N.; Shin, J.Y.; Gurudu, S.R.; Hurst, R.T.; Kendall, C.B.; Gotway, M.B.; Liang, J. Convolutional Neural Networks for Medical Image Analysis: Full Training or Fine Tuning? IEEE Trans. Med. Imaging 2016, 35, 1299–1312. [Google Scholar] [CrossRef]
- Saifullah, S.; Dreżewski, R.; Yudhana, A.; Caesarendra, W.; Huda, N. Bio-Inspired Metaheuristics in Deep Learning for Brain Tumor Segmentation: A Decade of Advances and Future Directions. Information 2025, 16, 456. [Google Scholar] [CrossRef]
- Thapliyal, S.; Kumar, N. Comprehensive performance metric for bio-inspired optimizers: A generation-wise population convergence approach toward global optimality. Iran J. Comput. Sci. 2025, 8, 843–891. [Google Scholar] [CrossRef]
- Ramalakshmi, K.; Krishna Kumari, L. U-Net-based architecture with attention mechanisms and Bayesian Optimization for brain tumor segmentation using MR images. Comput. Biol. Med. 2025, 195, 110677. [Google Scholar] [CrossRef]
- Hernandez-Gutierrez, F.D.; Avina-Bravo, E.G.; Zambrano-Gutierrez, D.F.; Almanza-Conejo, O.; Ibarra-Manzano, M.A.; Ruiz-Pinales, J.; Ovalle-Magallanes, E.; Avina-Cervantes, J.G. Brain Tumor Segmentation from Optimal MRI Slices Using a Lightweight U-Net. Technologies 2024, 12, 183. [Google Scholar] [CrossRef]
- Murmu, A.; Kumar, P. A novel Gateaux derivatives with efficient DCNN-Resunet method for segmenting multi-class brain tumor. Med Biol. Eng. Comput. 2023, 61, 2115–2138. [Google Scholar] [CrossRef]
- Wisaeng, K. U-Net++DSM: Improved U-Net++ for Brain Tumor Segmentation With Deep Supervision Mechanism. IEEE Access 2023, 11, 132268–132285. [Google Scholar] [CrossRef]
- Saifullah, S.; Dreżewski, R.; Yudhana, A.; Wielgosz, M.; Caesarendra, W. Modified U-Net with attention gate for enhanced automated brain tumor segmentation. Neural Comput. Appl. 2025, 37, 5521––5558. [Google Scholar] [CrossRef]
- Davar, S.; Fevens, T. Enhanced U-Net Architecture for Brain Tumour Localization and Segmentation in T1-Weighted MRI. IEEE Trans. Circuits Syst. II Express Briefs 2025, 72, 993–997. [Google Scholar] [CrossRef]
- Yadav, A.C.; Kolekar, M.H.; Zope, M.K. Modified Recurrent Residual Attention U-Net model for MRI-based brain tumor segmentation. Biomed. Signal Process. Control 2025, 102, 107220. [Google Scholar] [CrossRef]
- Saifullah, S.; Dreżewski, R.; Yudhana, A.; Suryotomo, A.P. Automatic Brain Tumor Segmentation: Advancing U-Net With ResNet50 Encoder for Precise Medical Image Analysis. IEEE Access 2025, 13, 43473–43489. [Google Scholar] [CrossRef]
- Hatamizadeh, A.; Nath, V.; Tang, Y.; Yang, D.; Roth, H.R.; Xu, D. Swin UNETR: Swin Transformers for Semantic Segmentation of Brain Tumors in MRI Images. In Brainlesion: Glioma, Multiple Sclerosis, Stroke and Traumatic Brain Injuries. BrainLes 2021. Lecture Notes in Computer Science; Crimi, A., Bakas, S., Eds.; Springer: Cham, Switzerland, 2022; Volume 12962, pp. 272–284. [Google Scholar] [CrossRef]
- Yousef, R.; Khan, S.; Gupta, G.; Albahlal, B.M.; Alajlan, S.A.; Ali, A. Bridged-U-Net-ASPP-EVO and Deep Learning Optimization for Brain Tumor Segmentation. Diagnostics 2023, 13, 2633. [Google Scholar] [CrossRef]
- Saifullah, S.; Dreżewski, R. Automatic Brain Tumor Segmentation Using Convolutional Neural Networks: U-Net Framework with PSO-Tuned Hyperparameters. In Parallel Problem Solving from Nature—PPSN XVIII. PPSN 2024. Lecture Notes in Computer Science; Affenzeller, M., Winkler, S.M., Kononova, A.V., Trautmann, H., Tusar, T., Machado, P., Back, T., Eds.; Springer: Cham, Switzerland, 2024; Volume 15150, pp. 333–351. [Google Scholar] [CrossRef]
- Saifullah, S.; Dreżewski, R. Particle Swarm-Optimized U-Net Framework for Precise Multimodal Brain Tumor Segmentation. In Proceedings of the Genetic and Evolutionary Computation Conference (GECCO ’25 Companion), NH Malaga Hotel, Malaga, Spain, 14–18 July 2025; p. 4. [Google Scholar] [CrossRef]
- Saifullah, S.; Dreżewski, R. GA-UNet: Genetic Algorithm-Optimized Lightweight U-Net Architecture for Multi-Sequence Brain Tumor MRI Segmentation. IEEE Access 2025, 13, 175010–175024. [Google Scholar] [CrossRef]
- Greenhill, S.; Rana, S.; Gupta, S.; Vellanki, P.; Venkatesh, S. Bayesian Optimization for Adaptive Experimental Design: A Review. IEEE Access 2020, 8, 13937–13948. [Google Scholar] [CrossRef]
- Saifullah, S.; Dreżewski, R. Optimizing U-Net Architecture Using Differential Evolution for Brain Tumor Segmentation. In Computational Science—ICCS 2025. Lecture Notes in Computer Science; Lees, M., Cai, W., Cheong, S.A., Su, Y., Abramson, D., Dongarra, J.J., Sloot, P.M.A., Eds.; Springer: Cham, Switzerland, 2025; Volume 15906, pp. 403–411. [Google Scholar] [CrossRef]
- Cheng, J.; Huang, W.; Cao, S.; Yang, R.; Yang, W.; Yun, Z.; Wang, Z.; Feng, Q. Enhanced Performance of Brain Tumor Classification via Tumor Region Augmentation and Partition. PLoS ONE 2015, 10, e0140381. [Google Scholar] [CrossRef]
- Baid, U.; Ghodasara, S.; Mohan, S.; Bilello, M.; Calabrese, E.; Colak, E.; Farahani, K.; Kalpathy-Cramer, J.; Kitamura, F.C.; Pati, S.; et al. RSNA-ASNR-MICCAI-BraTS-2021 Dataset. 2023. Available online: https://www.cancerimagingarchive.net/analysis-result/rsna-asnr-miccai-brats-2021/ (accessed on 2 July 2025).
- Preetha, P.; Priyadarsini, J.P.M.; Nisha, J.S. Brain tumor segmentation using multi-scale attention U-Net with EfficientNetB4 encoder for enhanced MRI analysis. Sci. Rep. 2025, 15, 9914. [Google Scholar] [CrossRef]
- Alkhalid, F.F.; Salih, N.Z. Implementation of biomedical segmentation for brain tumor utilizing an adapted U-net model. Comput. Biol. Med. 2025, 194, 110531. [Google Scholar] [CrossRef]
- Sajid Hussain, S.; Wani, N.A.; Kaur, J.; Ahmad, N.; Ahmad, S. Next-Generation Automation in Neuro-Oncology: Advanced Neural Networks for MRI-Based Brain Tumor Segmentation and Classification. IEEE Access 2025, 13, 41141–41158. [Google Scholar] [CrossRef]
- Ghazouani, F.; Vera, P.; Ruan, S. Efficient brain tumor segmentation using Swin transformer and enhanced local self-attention. Int. J. Comput. Assist. Radiol. Surg. 2023, 19, 273–281. [Google Scholar] [CrossRef] [PubMed]





| Class/Modality | Training | Testing | ||||||
|---|---|---|---|---|---|---|---|---|
| Acc | Loss | DSC | JI | Acc | Loss | DSC | JI | |
| FBTS | ||||||||
| Meningioma | 0.9986 | 0.0035 | 0.9374 | 0.8826 | 0.9987 | 0.0032 | 0.9509 | 0.9066 |
| Glioma | 0.9981 | 0.0044 | 0.9375 | 0.8826 | 0.9984 | 0.0038 | 0.9441 | 0.8941 |
| Pituitary | 0.9995 | 0.0012 | 0.9551 | 0.9125 | 0.9995 | 0.0012 | 0.9559 | 0.9156 |
| BraTS 2021 | ||||||||
| FLAIR | 0.9973 | 0.0065 | 0.9348 | 0.8779 | 0.9975 | 0.0060 | 0.9456 | 0.8970 |
| T1 | 0.9960 | 0.0097 | 0.9020 | 0.8220 | 0.9964 | 0.0086 | 0.9143 | 0.8423 |
| T2 | 0.9971 | 0.0070 | 0.9298 | 0.8691 | 0.9968 | 0.0076 | 0.9327 | 0.8743 |
| T1CE | 0.9969 | 0.0075 | 0.9228 | 0.8569 | 0.9963 | 0.0090 | 0.9119 | 0.8386 |
| Class/Modality | DSC (p-Value) | JI (p-Value) | ||
|---|---|---|---|---|
| Median | p | Median | p | |
| FBTS | ||||
| Meningioma | +0.016 | 0.0023 | +0.014 | 0.0041 |
| Glioma | +0.011 | 0.0065 | +0.012 | 0.0084 |
| Pituitary | +0.014 | 0.0047 | +0.013 | 0.0053 |
| BraTS 2021 | ||||
| FLAIR | +0.021 | 0.0019 | +0.019 | 0.0032 |
| T1 | +0.014 | 0.0096 | +0.015 | 0.0125 |
| T2 | +0.018 | 0.0042 | +0.017 | 0.0067 |
| T1CE | +0.013 | 0.0078 | +0.012 | 0.0109 |
| Method | DSC | JI |
|---|---|---|
| FBTS Dataset | ||
| BO-UNet (Proposed) | 0.9503 | 0.9054 |
| EfficientNet-B4 [26] | 0.9339 | 0.8795 |
| Self-Attention U-Net [27] | 0.9327 | 0.7800 |
| YOLO-UNet [14] | 0.9273 | 0.8915 |
| Residual-Attention U-Net [28] | 0.9110 | 0.8930 |
| BraTS 2021 Dataset | ||
| BO-UNet (Proposed) | 0.9261 | 0.8631 |
| U-Net-ASPP-EVO [18] | 0.9251 | – |
| ViT-Self-Attention [29] | 0.9174 | – |
| U-Net-AG [13] | 0.9095 | 0.8323 |
| U-Net (baseline) [10] | 0.8600 | 0.7807 |
Disclaimer/Publisher’s Note: The statements, opinions and data contained in all publications are solely those of the individual author(s) and contributor(s) and not of MDPI and/or the editor(s). MDPI and/or the editor(s) disclaim responsibility for any injury to people or property resulting from any ideas, methods, instructions or products referred to in the content. |
© 2026 by the authors. Licensee MDPI, Basel, Switzerland. This article is an open access article distributed under the terms and conditions of the Creative Commons Attribution (CC BY) license.
Share and Cite
Saifullah, S.; Dreżewski, R. Bayesian Optimization-Driven U-Net Architecture Tuning for Brain Tumor Segmentation. Eng. Proc. 2026, 124, 22. https://doi.org/10.3390/engproc2026124022
Saifullah S, Dreżewski R. Bayesian Optimization-Driven U-Net Architecture Tuning for Brain Tumor Segmentation. Engineering Proceedings. 2026; 124(1):22. https://doi.org/10.3390/engproc2026124022
Chicago/Turabian StyleSaifullah, Shoffan, and Rafał Dreżewski. 2026. "Bayesian Optimization-Driven U-Net Architecture Tuning for Brain Tumor Segmentation" Engineering Proceedings 124, no. 1: 22. https://doi.org/10.3390/engproc2026124022
APA StyleSaifullah, S., & Dreżewski, R. (2026). Bayesian Optimization-Driven U-Net Architecture Tuning for Brain Tumor Segmentation. Engineering Proceedings, 124(1), 22. https://doi.org/10.3390/engproc2026124022
