Characterization of Physicochemical Properties, Bioactivities, and Sensory Attributes of Sea Buckthorn–Fava Bean Composite Instant Powder: Spray-Drying Versus Freeze-Drying Coupled with Carriers
Abstract
1. Introduction
2. Materials and Methods
2.1. Raw Materials and Reagents
2.2. Preparation of Fresh Sea Buckthorn–Fava Bean Composite Beverage
2.3. Preparation of Sea Buckthorn–Fava Bean-Carriers Complex
2.4. Drying of Sea Buckthorn–Fava Bean Composite Instant Powder
2.5. Determination of Physicochemical Properties of S-FCP
2.5.1. Color Parameters
2.5.2. Particle Size
2.5.3. Scanning Electron Microscope (SEM)
2.5.4. Contact Angle
2.5.5. Wetting Time
2.5.6. Solubility
2.5.7. Moisture Content
2.5.8. Low Field Nuclear Magnetic Resonance (LF-NMR)
2.5.9. Fourier Transform Infrared Spectroscopy (FT-IR)
2.6. Determination of Bioactive Components, Antioxidant Capacity, and Hypoglycaemic Effect of S-FCP
2.6.1. Total Phenolic Content (TPC)
2.6.2. Total Flavonoid Content (TFC)
2.6.3. HPLC-PDA Analysis
2.6.4. DPPH Free Radical Scavenging Capacity
2.6.5. ABTS Free Radical Scavenging Capacity
2.6.6. α-Glucosidase (α-Glu) Inhibition Rate
2.6.7. α-Amylase (α-Amy) Inhibition Rate
2.7. Sensory Evaluation of S-FCP
2.8. Statistical Analysis
3. Results and Discussion
3.1. Physicochemical Properties of S-FCP
3.1.1. Color Parameters
3.1.2. Particle Size
3.1.3. Microstructure
3.1.4. Contact Angle, Wetting Time, and Solubility
3.1.5. Moisture Content and Distribution
3.1.6. Characterization of Functional Groups
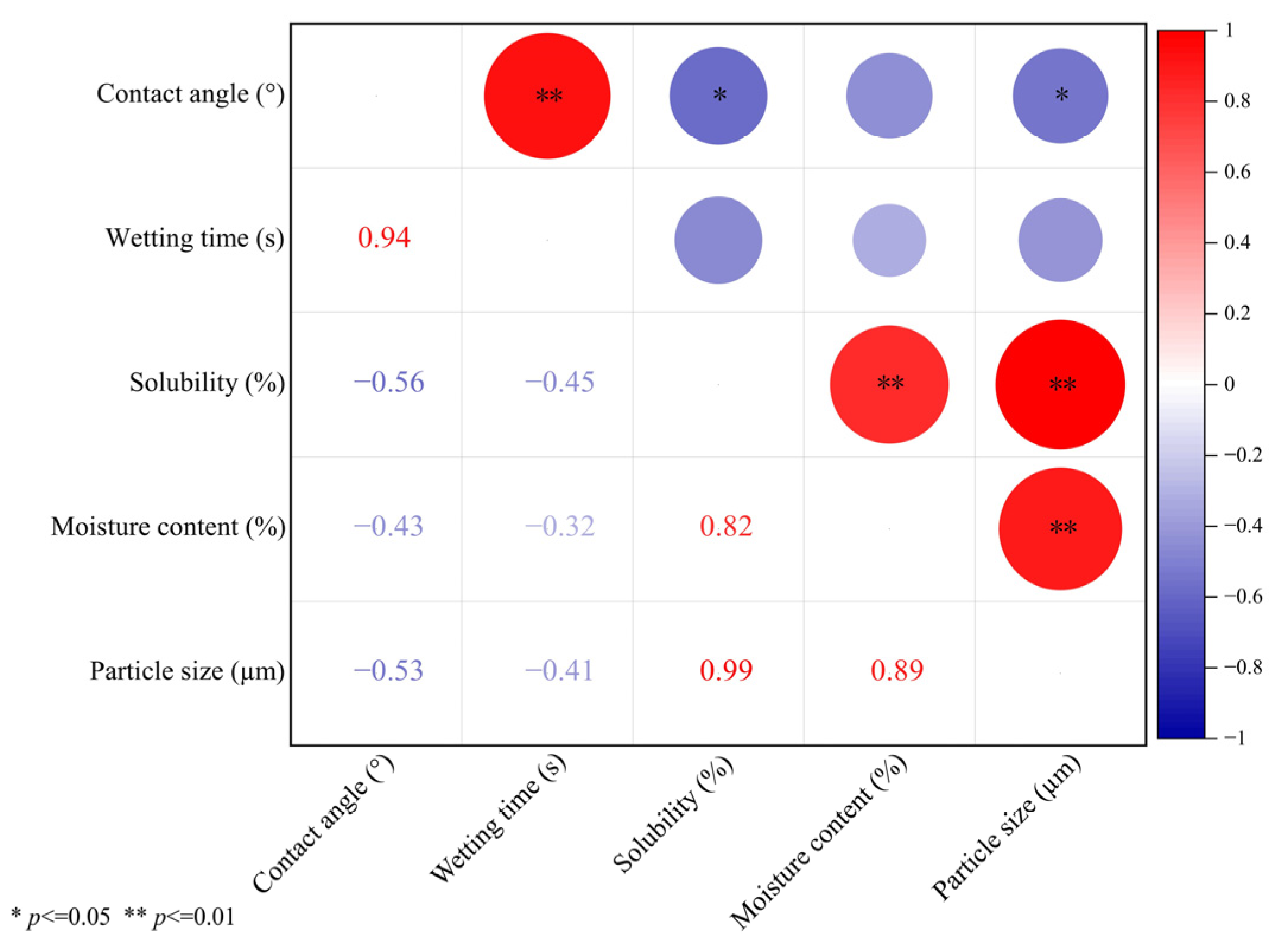
3.1.7. Correlation Analysis
3.2. Bioactive Components, Antioxidant Capacity, and Hypoglycaemic Effect of S-FCP
3.2.1. TPC and TFC
3.2.2. Phenolic Compound
3.2.3. DPPH and ABTS Scavenging Capacity
3.2.4. In Vitro Hypoglycemic Effect
3.3. Sensory Evaluation
4. Conclusions
Supplementary Materials
Author Contributions
Funding
Institutional Review Board Statement
Informed Consent Statement
Data Availability Statement
Conflicts of Interest
References
- Yu, W.; Du, Y.; Li, S.; Wu, L.; Guo, X.; Qin, W.; Kuang, X.; Gao, X.; Wang, Q.; Kuang, H. Sea buckthorn-Nutritional composition, Bioactivity, Safety, and Applications: A Review. J. Food Compos. Anal. 2024, 133, 106371. [Google Scholar] [CrossRef]
- Ao, X.; Mu, Y.; Xie, S.; Meng, D.; Zheng, Y.; Meng, X.; Lv, Z. Impact of UHT processing on volatile components and chemical composition of sea buckthorn (Hippophae rhamnoides) pulp: A prediction of the biochemical pathway underlying aroma compound formation. Food Chem. 2022, 390, 133142. [Google Scholar] [CrossRef] [PubMed]
- Valente, I.M.; Cabrita, A.R.; Malushi, N.; Oliveira, H.M.; Papa, L.; Rodrigues, J.A.; Fonseca, A.J.; Maia, M.R. Unravelling the phytonutrients and antioxidant properties of European Vicia faba L. seeds. Food Res. Int. 2019, 116, 888–896. [Google Scholar] [CrossRef]
- Osorio, D.; Bello-Perez, L.; Agama-Acevedo, E.; Vargas-Torres, A.; Tovar, J.; Paredes-Lopez, O. In-vitro digestibility and resistant starch content of some industrialized commercial beans. Food Chem. 2002, 78, 333–337. [Google Scholar] [CrossRef]
- Etemadi, F.; Hashemi, M.; Barker, A.V.; Zandvakili, O.R.; Liu, X. Agronomy, nutritional value, and medicinal application of faba bean (Vicia faba L.). Hortic. Plant J. 2019, 5, 170–182. [Google Scholar] [CrossRef]
- Dincer, E.I.; Temiz, H. Investigation of physicochemical, microstructure and antioxidant properties of firethorn (Pyracantha coccinea var lalandi) microcapsules produced by spray-dried and freeze-dried methods. S. Afr. J. Bot. 2023, 155, 340–354. [Google Scholar]
- Gupta, A.; Sanwal, N.; Bareen, M.A.; Barua, S.; Sharma, N.; Olatunji, O.J.; Nirmal, N.P.; Sahu, J.K. Trends in functional beverages: Functional ingredients, processing technologies, stability, health benefits, and consumer perspective. Food Res. Int. 2023, 170, 113046. [Google Scholar] [CrossRef]
- Tkacz, K.; Wojdyło, A.; Michalska-Ciechanowska, A.; Turkiewicz, I.P.; Lech, K.; Nowicka, P. Influence carrier agents, drying methods, storage time on physico-chemical properties and bioactive potential of encapsulated sea buckthorn juice powders. Molecules 2020, 25, 3801. [Google Scholar] [CrossRef]
- Wang, M.; Mu, H.; Peng, L.; Tan, C.; Chen, Y.; Sheng, J.; Tian, Y.; Zhao, C. Effect and application of spray drying and freeze drying on characterization of walnut oil microcapsules. J. Food Eng. 2024, 376, 112083. [Google Scholar] [CrossRef]
- Oliveira, N.L.; Silva, S.H.; de Abreu Figueiredo, J.; Norcino, L.B.; de Resende, J.V. Infrared-assisted freeze-drying (IRFD) of açai puree: Effects on the drying kinetics, microstructure and bioactive compounds. Innov. Food Sci. Emerg. Technol. 2021, 74, 102843. [Google Scholar] [CrossRef]
- Shams, R.; Singh, J.; Dash, K.K.; Dar, A.H.; Nayik, G.A.; Ansari, M.J.; Hemeg, H.A.; Ahmed, A.E.M.; Shaikh, A.M.; Kovács, B. Effect of maltodextrin and soy protein isolate on the physicochemical and flow properties of button mushroom powder. Front. Nutr. 2022, 9, 908570. [Google Scholar] [CrossRef] [PubMed]
- Zotarelli, M.F.; Durigon, A.; da Silva, V.M.; Hubinger, M.D.; Laurindo, J.B. Rehydration of mango powders produced by cast-tape drying, freeze drying, and spray drying. Dry. Technol. 2022, 40, 175–187. [Google Scholar] [CrossRef]
- Potter, R.; Dougherty, M.; Halteman, W.; Camire, M. Characteristics of wild blueberry–soy beverages. LWT Food Sci. Technol. 2007, 40, 807–814. [Google Scholar] [CrossRef]
- Morales-De la Peña, M.; Arredondo-Ochoa, T.; Welti-Chanes, J.; Martín-Belloso, O. Application of moderate intensity pulsed electric fields in red prickly pears and soymilk to develop a plant-based beverage with potential health-related benefits. Innov. Food Sci. Emerg. Technol. 2023, 88, 103421. [Google Scholar] [CrossRef]
- Rodríguez-Roque, M.J.; Rojas-Graü, M.A.; Elez-Martínez, P.; Martín-Belloso, O. In vitro bioaccessibility of health-related compounds from a blended fruit juice–soymilk beverage: Influence of the food matrix. J. Funct. Foods 2014, 7, 161–169. [Google Scholar] [CrossRef]
- Qadri, T.; Naik, H.R.; Hussain, S.Z.; Naseer, B.; Bhat, T.; Wani, F.J. Spray dried apple powder: Qualitative, rheological, structural characterization and its sorption isotherm. LWT 2022, 165, 113694. [Google Scholar] [CrossRef]
- Rezende, Y.R.R.S.; Nogueira, J.P.; Narain, N. Microencapsulation of extracts of bioactive compounds obtained from acerola (Malpighia emarginata DC) pulp and residue by spray and freeze drying: Chemical, morphological and chemometric characterization. Food Chem. 2018, 254, 281–291. [Google Scholar] [CrossRef]
- Siccama, J.W.; Pegiou, E.; Eijkelboom, N.M.; Zhang, L.; Mumm, R.; Hall, R.D.; Schutyser, M.A. The effect of partial replacement of maltodextrin with vegetable fibres in spray-dried white asparagus powder on its physical and aroma properties. Food Chem. 2021, 356, 129567. [Google Scholar] [CrossRef]
- Fu, X.; Belwal, T.; He, Y.; Xu, Y.; Li, L.; Luo, Z. UPLC-Triple-TOF/MS characterization of phenolic constituents and the influence of natural deep eutectic solvents on extraction of Carya cathayensis Sarg. peels: Composition, extraction mechanism and in vitro biological activities. Food Chem. 2022, 370, 131042. [Google Scholar] [CrossRef]
- Fu, X.; Wang, D.; Belwal, T.; Xu, Y.; Li, L.; Luo, Z. Sonication-synergistic natural deep eutectic solvent as a green and efficient approach for extraction of phenolic compounds from peels of Carya cathayensis Sarg. Food Chem. 2021, 355, 129577. [Google Scholar] [CrossRef]
- Liu, Q.; Tang, G.-Y.; Zhao, C.-N.; Gan, R.-Y.; Li, H.-B. Antioxidant activities, phenolic profiles, and organic acid contents of fruit vinegars. Antioxidants 2019, 8, 78. [Google Scholar] [CrossRef] [PubMed]
- Liu, C.; Ren, D.; Li, J.; Fang, L.; Wang, J.; Liu, J.; Min, W. Cytoprotective effect and purification of novel antioxidant peptides from hazelnut (C. heterophylla Fisch) protein hydrolysates. J. Funct. Foods 2018, 42, 203–215. [Google Scholar] [CrossRef]
- Thaipong, K.; Boonprakob, U.; Crosby, K.; Cisneros-Zevallos, L.; Byrne, D.H. Comparison of ABTS, DPPH, FRAP, and ORAC assays for estimating antioxidant activity from guava fruit extracts. J. Food Compos. Anal. 2006, 19, 669–675. [Google Scholar] [CrossRef]
- Su, C.; Kang, J.; Zhang, L.; Liu, S.; Li, C. Insight into the changes in active metabolite profiles of noni (Morinda citrifolia L.) fruit subjected to different drying treatments. Food Res. Int. 2024, 193, 114858. [Google Scholar] [CrossRef]
- Halim, M.A.; Wazed, M.A.; Al Obaid, S.; Ansari, M.J.; Tahosin, A.; Rahman, M.T.; Noor, F.; Mozumder, N.R.; Khatun, A.A. Effect of storage on physicochemical properties, bioactive compounds and sensory attributes of drinks powder enriched with pumpkin (Cucurbita moschata L.). J. Agric. Food Res. 2024, 18, 101337. [Google Scholar] [CrossRef]
- Arumugham, T.; Krishnamoorthy, R.; AlYammahi, J.; Hasan, S.W.; Banat, F. Spray dried date fruit extract with a maltodextrin/gum arabic binary blend carrier agent system: Process optimization and product quality. Int. J. Biol. Macromol. 2023, 238, 124340. [Google Scholar] [CrossRef]
- Ghalegi Ghalenoe, M.; Dehnad, D.; Jafari, S.M. Physicochemical and nutritional properties of pomegranate juice powder produced by spray drying. Dry. Technol. 2021, 39, 1941–1949. [Google Scholar] [CrossRef]
- Aryaee, H.; Ariaii, P.; Zare, D.; Mirdamadi, S.; Naghizadeh Raeisi, S. Evaluation of the physicochemical characteristics of a blend fruit juice powder mixed with Lactiplantibacillus plantarum: A comparison of spray drying and freeze drying. J. Food Process. Preserv. 2023, 2023, 5597647. [Google Scholar] [CrossRef]
- Gong, Q.; Liu, C.; Tian, Y.; Zheng, Y.; Wei, L.; Cheng, T.; Wang, Z.; Guo, Z.; Zhou, L. Effect of cavitation jet technology on instant solubility characteristics of soymilk flour: Based on the change of protein conformation in soymilk. Ultrason. Sonochemistry 2023, 96, 106421. [Google Scholar] [CrossRef]
- Vardanega, R.; Muzio, A.F.; Silva, E.K.; Prata, A.S.; Meireles, M.A.A. Obtaining functional powder tea from Brazilian ginseng roots: Effects of freeze and spray drying processes on chemical and nutritional quality, morphological and redispersion properties. Food Res. Int. 2019, 116, 932–941. [Google Scholar] [CrossRef]
- Santiago-Adame, R.; Medina-Torres, L.; Gallegos-Infante, J.; Calderas, F.; González-Laredo, R.; Rocha-Guzmán, N.; Ochoa-Martínez, L.; Bernad-Bernad, M. Spray drying-microencapsulation of cinnamon infusions (Cinnamomum zeylanicum) with maltodextrin. LWT Food Sci. Technol. 2015, 64, 571–577. [Google Scholar] [CrossRef]
- Šturm, L.; Črnivec, I.G.O.; Istenič, K.; Ota, A.; Megušar, P.; Slukan, A.; Humar, M.; Levic, S.; Nedović, V.; Deželak, M. Encapsulation of non-dewaxed propolis by freeze-drying and spray-drying using gum Arabic, maltodextrin and inulin as coating materials. Food Bioprod. Process. 2019, 116, 196–211. [Google Scholar] [CrossRef]
- Nogueira, G.F.; Fakhouri, F.M.; de Oliveira, R.A. Incorporation of spray dried and freeze dried blackberry particles in edible films: Morphology, stability to pH, sterilization and biodegradation. Food Packag. Shelf Life 2019, 20, 100313. [Google Scholar] [CrossRef]
- Liu, T.; Wang, Y.; Yu, X.; Li, H.; Ji, L.; Sun, Y.; Jiang, X.; Li, X.; Liu, H. Effects of freeze-drying and spray-drying on the physical and chemical properties of Perinereis aibuhitensis hydrolysates: Sensory characteristics and antioxidant activities. Food Chem. 2022, 382, 132317. [Google Scholar] [CrossRef] [PubMed]
- Araujo-Díaz, S.; Leyva-Porras, C.; Aguirre-Bañuelos, P.; Álvarez-Salas, C.; Saavedra-Leos, Z. Evaluation of the physical properties and conservation of the antioxidants content, employing inulin and maltodextrin in the spray drying of blueberry juice. Carbohydr. Polym. 2017, 167, 317–325. [Google Scholar] [CrossRef]
- Wang, F.; Bi, J.; Lyu, M.; Lyu, J. Insight into the effect of osmosis agents on macro-and micro-texture, water distribution, and thermal stability of instant controlled pressure drop drying peach chips. Food Chem. 2024, 440, 138236. [Google Scholar] [CrossRef]
- Gagneten, M.; Corfield, R.; Mattson, M.G.; Sozzi, A.; Leiva, G.; Salvatori, D.; Schebor, C. Spray-dried powders from berries extracts obtained upon several processing steps to improve the bioactive components content. Powder Technol. 2019, 342, 1008–1015. [Google Scholar] [CrossRef]
- Dacanal, G.; Menegalli, F. Selection of operational parameters for the production of instant soy protein isolate by pulsed fluid bed agglomeration. Powder Technol. 2010, 203, 565–573. [Google Scholar] [CrossRef]
- Botrel, D.A.; de Barros Fernandes, R.V.; Borges, S.V.; Yoshida, M.I. Influence of wall matrix systems on the properties of spray-dried microparticles containing fish oil. Food Res. Int. 2014, 62, 344–352. [Google Scholar] [CrossRef]
- Burger, T.G.; Singh, I.; Mayfield, C.; Baumert, J.L.; Zhang, Y. The impact of spray drying conditions on the physicochemical and emulsification properties of pea protein isolate. LWT 2022, 153, 112495. [Google Scholar] [CrossRef]
- Laureanti, E.J.G.; Paiva, T.S.; de Matos Jorge, L.M.; Jorge, R.M.M. Microencapsulation of bioactive compound extracts using maltodextrin and gum arabic by spray and freeze-drying techniques. Int. J. Biol. Macromol. 2023, 253, 126969. [Google Scholar] [CrossRef] [PubMed]
- Lacerda, E.C.Q.; de Araújo Calado, V.M.; Monteiro, M.; Finotelli, P.V.; Torres, A.G.; Perrone, D. Starch, inulin and maltodextrin as encapsulating agents affect the quality and stability of jussara pulp microparticles. Carbohydr. Polym. 2016, 151, 500–510. [Google Scholar] [CrossRef] [PubMed]
- Villacrez, J.L.; Carriazo, J.G.; Osorio, C. Microencapsulation of Andes berry (Rubus glaucus Benth.) aqueous extract by spray drying. Food Bioprocess Technol. 2014, 7, 1445–1456. [Google Scholar] [CrossRef]
- Díaz-Bandera, D.; Villanueva-Carvajal, A.; Dublán-García, O.; Quintero-Salazar, B.; Dominguez-Lopez, A. Assessing release kinetics and dissolution of spray-dried Roselle (Hibiscus sabdariffa L.) extract encapsulated with different carrier agents. LWT Food Sci. Technol. 2015, 64, 693–698. [Google Scholar] [CrossRef]
- Bajac, J.; Nikolovski, B.; Lončarević, I.; Petrović, J.; Bajac, B.; Đurović, S.; Petrović, L. Microencapsulation of juniper berry essential oil (Juniperus communis L.) by spray drying: Microcapsule characterization and release kinetics of the oil. Food Hydrocoll. 2022, 125, 107430. [Google Scholar] [CrossRef]
- Sun, X.; Hu, J.; Xiao, H.; Liu, C.; Yang, F.; Liu, W.; Guo, Z.; Wu, Y.; Chen, S.; Wang, H. Effect of pectin addition on the drying characteristics of freeze-dried restructured strawberry blocks. LWT 2024, 192, 115716. [Google Scholar] [CrossRef]
- Sun, Q.; Zhang, M.; Yang, P. Combination of LF-NMR and BP-ANN to monitor water states of typical fruits and vegetables during microwave vacuum drying. LWT 2019, 116, 108548. [Google Scholar] [CrossRef]
- Xu, H.; Wu, M.; Wang, B.; Wei, W.; Zhang, T.; Zheng, Z. Changes in water status and microstructure reveal the mechanisms by which tempering affects drying characteristics and quality attributes of medicinal chrysanthemums. Ind. Crops Prod. 2023, 205, 117463. [Google Scholar] [CrossRef]
- Hu, J.; Sun, X.; Xiao, H.; Liu, C.; Yang, F.; Liu, W.; Wu, Y.; Wang, Y.; Zhao, R.; Wang, H. Effect of guar gum, gelatin, and pectin on moisture changes in freeze-dried restructured strawberry blocks. Food Chem. 2024, 449, 139244. [Google Scholar] [CrossRef]
- Chen, Y.; Li, M.; Dharmasiri, T.S.K.; Song, X.; Liu, F.; Wang, X. Novel ultrasonic-assisted vacuum drying technique for dehydrating garlic slices and predicting the quality properties by low field nuclear magnetic resonance. Food Chem. 2020, 306, 125625. [Google Scholar] [CrossRef]
- Zhang, X.; Wang, Y.; Nian, R.; Li, Q.; Zhu, D.; Cao, X. Effects of ultrasonic pretreatment on drying characteristics and water migration characteristics of freeze-dried strawberry. Food Chem. 2024, 450, 139287. [Google Scholar] [CrossRef] [PubMed]
- Tiernan, H.; Byrne, B.; Kazarian, S.G. ATR-FTIR spectroscopy and spectroscopic imaging for the analysis of biopharmaceuticals. Spectrochim. Acta Part A Mol. Biomol. Spectrosc. 2020, 241, 118636. [Google Scholar] [CrossRef] [PubMed]
- Akther, S.; Jothi, J.S.; Badsha, M.R.; Rahman, M.M.; Das, G.B.; Alim, M.A. Drying methods effect on bioactive compounds, phenolic profile, and antioxidant capacity of mango powder. J. King Saud Univ. Sci. 2023, 35, 102370. [Google Scholar] [CrossRef]
- Liu, J.; Hefni, M.E.; Witthöft, C.M. Phenolic compounds in Swedish dried pulses: Characterization, retention and distribution during hydrothermal treatment processes. J. Food Compos. Anal. 2021, 102, 104056. [Google Scholar] [CrossRef]
- Sytařová, I.; Orsavová, J.; Snopek, L.; Mlček, J.; Byczyński, Ł.; Mišurcová, L. Impact of phenolic compounds and vitamins C and E on antioxidant activity of sea buckthorn (Hippophaë rhamnoides L.) berries and leaves of diverse ripening times. Food Chem. 2020, 310, 125784. [Google Scholar] [CrossRef]
- Tang, F.; Wei, B.; Qin, C.; Huang, L.; Xia, N.; Teng, J. Enhancing the inhibitory activities of polyphenols in passion fruit peel on α-Amylase and α-Glucosidase via β-Glucosidase-producing Lactobacillus fermentation. Food Biosci. 2024, 62, 105005. [Google Scholar] [CrossRef]
- Zahid, H.F.; Ali, A.; Ranadheera, C.S.; Fang, Z.; Dunshea, F.R.; Ajlouni, S. In vitro bioaccessibility of phenolic compounds and alpha-glucosidase inhibition activity in yoghurts enriched with mango peel powder. Food Biosci. 2022, 50, 102011. [Google Scholar] [CrossRef]
- VB, C.K.; Huligere, S.S.; Ahmed, M.Z.; Jayanthi, M.; Ramu, R. Fermented Ananas comosus and Carica papaya harbor putative probiotic Limosilactobacillus fermentum and Lacticaseibacillus paracasei strains with inhibitory activity against α-glucosidase and α-amylase. S. Afr. J. Bot. 2024, 172, 348–360. [Google Scholar]










| Samples | Color Parameters | |||
|---|---|---|---|---|
| L* | a* | b* | ∆E | |
| Fresh sea buckthorn–fava bean composite beverage | 53.99 ± 0.09 g | 33.62 ± 0.14 a | 62.58 ± 0.24 e | 0.00 ± 0.00 f |
| SD-CK | 81.11 ± 0.01 c | 18.12 ± 0.02 e | 65.51 ± 0.03 d | 31.37 ± 0.12 c |
| SD-MD | 83.72 ± 0.04 a | 15.86 ± 0.02 g | 59.19 ± 0.03 f | 34.80 ± 0.14 a |
| SD-INU | 82.92 ± 0.01 b | 16.48 ± 0.03 f | 65.06 ± 0.03 d | 33.72 ± 0.15 b |
| FD-CK | 71.71 ± 0.11 f | 29.14 ± 0.13 d | 77.01 ± 0.18 b | 23.30 ± 0.08 e |
| FD-MD | 74.39 ± 0.23 d | 29.93 ± 0.31 c | 72.51 ± 0.65 c | 23.00 ± 0.08 e |
| FD-INU | 72.32 ± 0.03 e | 32.72 ± 0.11 b | 78.67 ± 0.39 a | 24.41 ± 0.25 d |
| Samples | Particle Size | |
|---|---|---|
| D[4,3] (μm) | Span | |
| SD-CK | 5.71 ± 0.04 e | 2.17 ± 0.02 d |
| SD-MD | 5.05 ± 0.09 f | 2.03 ± 0.07 d |
| SD-INU | 6.86 ± 0.03 d | 2.09 ± 0.10 d |
| FD-CK | 23.95 ± 0.07 b | 3.31 ± 0.01 a |
| FD-MD | 21.25 ± 0.10 c | 2.80 ± 0.01 c |
| FD-INU | 24.61 ± 0.02 a | 3.02 ± 0.02 b |
| Samples | Contact Angle (°) | Wetting Time (s) | Solubility (%) | Moisture Content (%) |
|---|---|---|---|---|
| SD-CK | 52.41 ± 0.15 a | 115.98 ± 0.70 a | 39.09 ± 0.44 d | 3.09 ± 0.05 d |
| SD-MD | 50.33 ± 0.12 b | 102.87 ± 0.56 b | 40.02 ± 0.27 d | 1.81 ± 0.05 f |
| SD-INU | 43.61 ± 0.11 e | 81.34 ± 0.35 d | 41.54 ± 0.48 c | 2.65 ± 0.04 e |
| FD-CK | 46.97 ± 0.75 d | 95.07 ± 0.71 c | 52.24 ± 0.36 b | 4.97 ± 0.03 a |
| FD-MD | 48.51 ± 0.16 c | 103.37 ± 0.66 b | 52.96 ± 0.12 b | 3.57 ± 0.04 c |
| FD-INU | 37.27 ± 0.19 f | 74.19 ± 0.54 e | 54.42 ± 0.51 a | 4.41 ± 0.04 b |
| Phenolic Compound | Sample | ||
|---|---|---|---|
| Sea Buckthorn Juice | Fresh Sea Buckthorn–Fava Bean Composite Beverage | FD-INU Brewed Beverage | |
| Gallic acid | 39.72 ± 1.05 a | 21.43 ± 0.74 b | 18.25 ± 0.45 c |
| Protocatechuic acid | 8.23 ± 0.40 a | 5.29 ± 0.41 b | 5.67 ± 0.30 b |
| Chlorogenic acid | 12.59 ± 0.72 a | 7.58 ± 0.33 b | 6.42 ± 0.35 b |
| p-Coumaric acid | 13.24 ± 0.61 a | 8.46 ± 0.36 b | 7.03 ± 0.30 b |
| Ferulic acid | 3.65 ± 0.42 a | 2.51 ± 0.20 b | 1.89 ± 0.07 b |
| Catechin | 7.22 ± 0.41 a | 7.03 ± 0.28 a | 2.81 ± 0.40 b |
| Epicatechin | 5.46 ± 0.38 a | 5.25 ± 0.54 a | 1.74 ± 0.37 b |
| Kaempferol | 2.87 ± 0.22 a | 1.23 ± 0.14 b | 0.92 ± 0.09 b |
| Quercetin | 15.13 ± 0.44 a | 4.73 ± 0.21 b | 4.25 ± 0.34 b |
| Isorhamnetin | 18.25 ± 0.46 a | 5.65 ± 0.36 b | 4.87 ± 0.07 b |
| Prunus amygdalus | 4.37 ± 0.31 a | 1.42 ± 0.29 b | 1.25 ± 0.23 b |
Disclaimer/Publisher’s Note: The statements, opinions and data contained in all publications are solely those of the individual author(s) and contributor(s) and not of MDPI and/or the editor(s). MDPI and/or the editor(s) disclaim responsibility for any injury to people or property resulting from any ideas, methods, instructions or products referred to in the content. |
© 2024 by the authors. Licensee MDPI, Basel, Switzerland. This article is an open access article distributed under the terms and conditions of the Creative Commons Attribution (CC BY) license (https://creativecommons.org/licenses/by/4.0/).
Share and Cite
Li, S.; Fu, X.; Wen, J.; Jiang, L.; Shao, L.; Du, Y.; Shan, C. Characterization of Physicochemical Properties, Bioactivities, and Sensory Attributes of Sea Buckthorn–Fava Bean Composite Instant Powder: Spray-Drying Versus Freeze-Drying Coupled with Carriers. Foods 2024, 13, 3944. https://doi.org/10.3390/foods13233944
Li S, Fu X, Wen J, Jiang L, Shao L, Du Y, Shan C. Characterization of Physicochemical Properties, Bioactivities, and Sensory Attributes of Sea Buckthorn–Fava Bean Composite Instant Powder: Spray-Drying Versus Freeze-Drying Coupled with Carriers. Foods. 2024; 13(23):3944. https://doi.org/10.3390/foods13233944
Chicago/Turabian StyleLi, Shi, Xizhe Fu, Jing Wen, Lin Jiang, Liheng Shao, Yinglin Du, and Chunhui Shan. 2024. "Characterization of Physicochemical Properties, Bioactivities, and Sensory Attributes of Sea Buckthorn–Fava Bean Composite Instant Powder: Spray-Drying Versus Freeze-Drying Coupled with Carriers" Foods 13, no. 23: 3944. https://doi.org/10.3390/foods13233944
APA StyleLi, S., Fu, X., Wen, J., Jiang, L., Shao, L., Du, Y., & Shan, C. (2024). Characterization of Physicochemical Properties, Bioactivities, and Sensory Attributes of Sea Buckthorn–Fava Bean Composite Instant Powder: Spray-Drying Versus Freeze-Drying Coupled with Carriers. Foods, 13(23), 3944. https://doi.org/10.3390/foods13233944

