Monitoring the Phenolic and Terpenic Profile of Olives, Olive Oils and By-Products throughout the Production Process
Abstract
1. Introduction
2. Materials and Methods
2.1. Samples
2.2. Chemicals
2.3. Conventional Extraction Procedure of Polyphenols and Other Polar Compounds from Extra Virgin Olive Oil (EVOO)
2.4. Conventional Extraction Procedure of Polyphenols, Terpenes and Other Polar Compounds from Olive Fruit and Olive Paste
2.5. Conventional Extraction Procedure of Polyphenols, Terpenes and Other Polar Compounds from Olive Leaf (OL)
2.6. Conventional Extraction Procedure of Polyphenols, Terpenes and Other Polar Compounds from Alpeorujo (ALP)
2.7. Conventional Extraction Procedure of Polyphenols, Terpenes and Other Polar Compounds from Borras Solid Residue (BSR)
2.8. Conventional Extraction Procedure of Polyphenols, Terpenes and Other Polar Compounds from Borras Liquid Residue (BLR)
2.9. Conventional Extraction Procedure of Polyphenols and Other Polar Compounds from Olive Fruit Wash Water (OFWW)
2.10. HPLC–ESI-TOF-MS Analysis
2.11. Statistical Analysis
3. Results
3.1. Identification of Phenolic Compounds by HPLC–ESI-TOF-MS
3.1.1. Identification of Bioactive Compounds in Olive Fruit, Olive Paste and Olive Oils
3.1.2. Identification of Bioactive Compounds Present in By-Products of the Olive Oil Production Process
3.2. Quantification of Phenolic Compounds by HPLC–ESI-TOF-MS
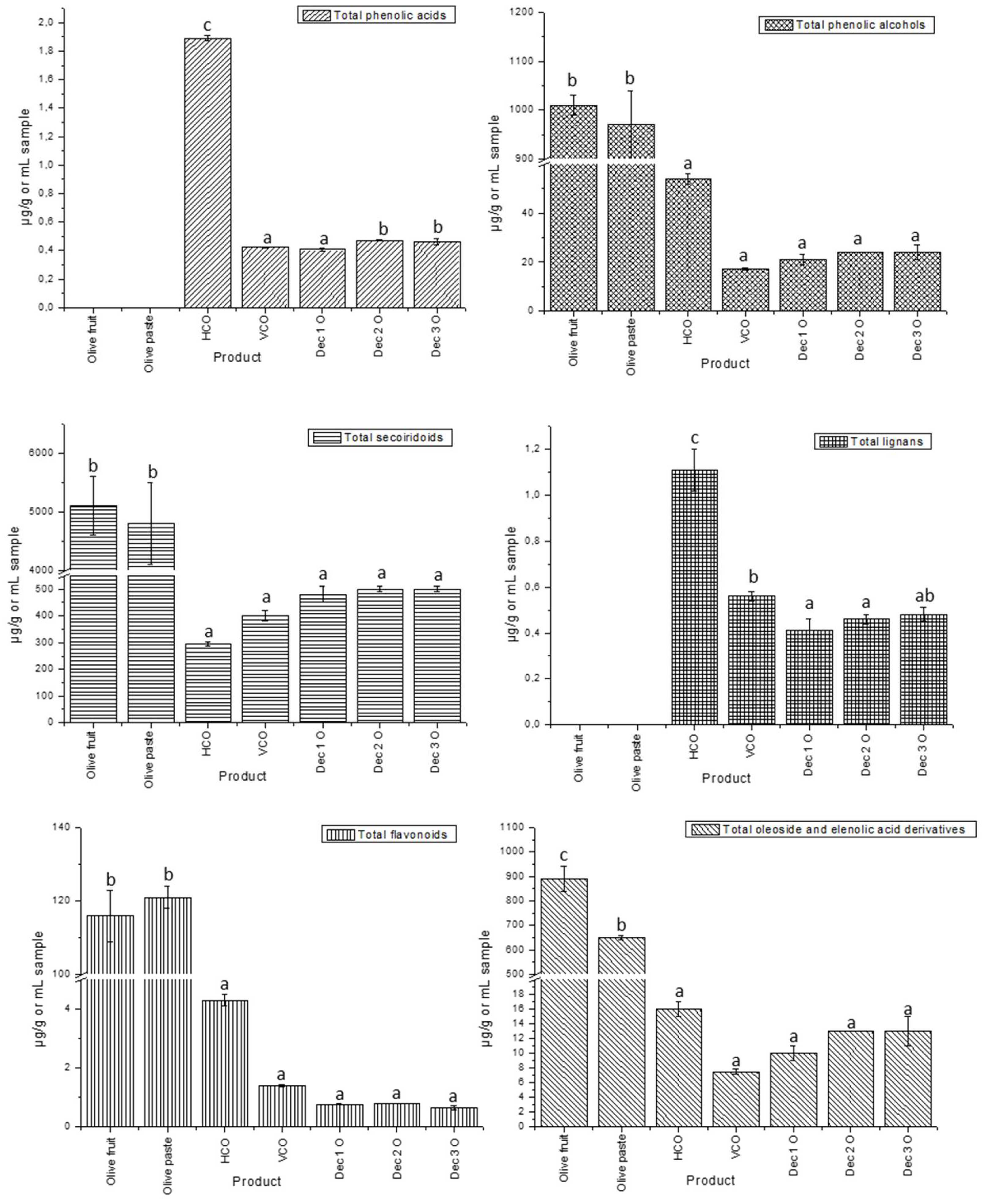
3.2.1. Quantification of Bioactive Compounds in Olive Fruit, Paste and Olive Oils
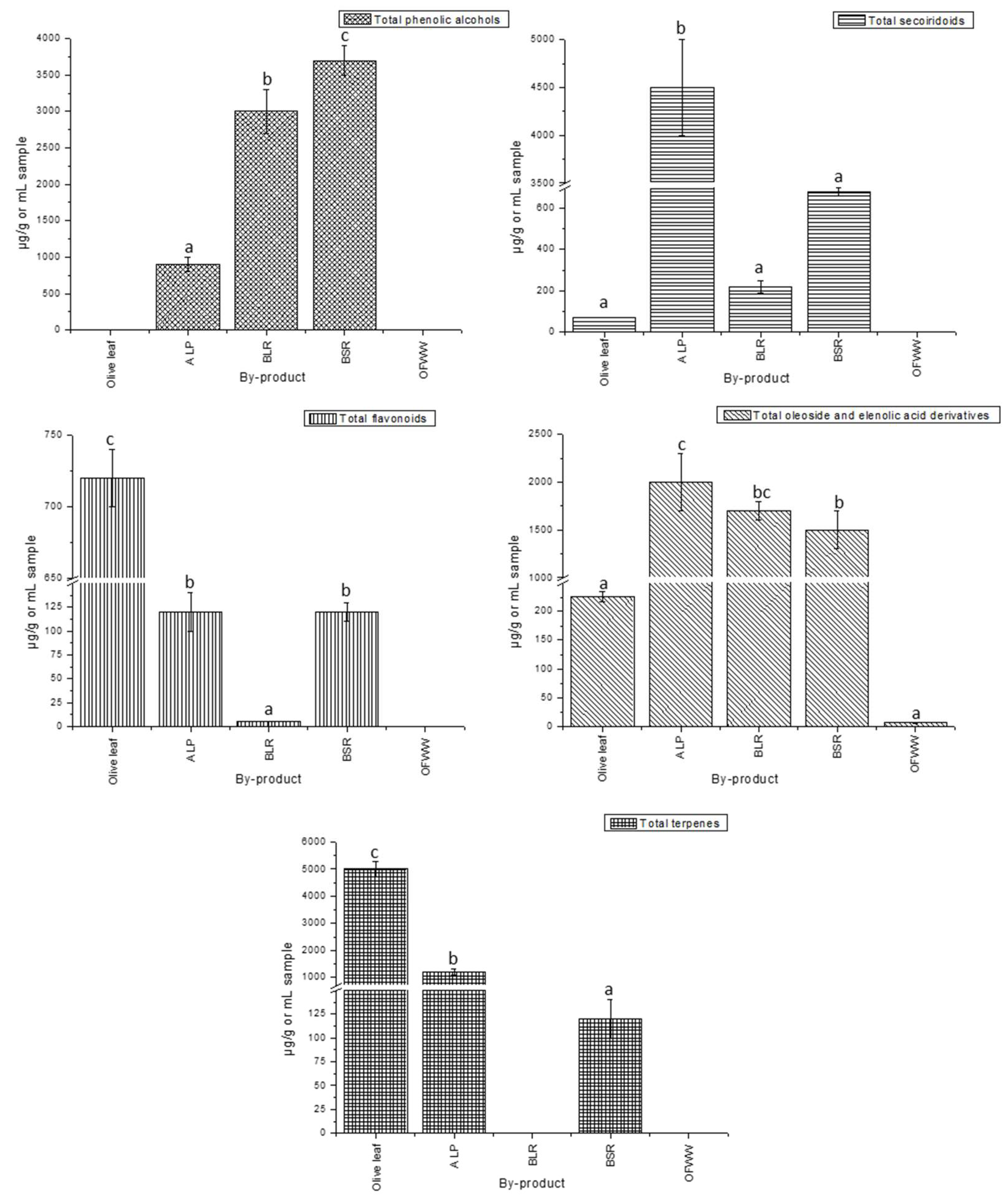
3.2.2. Quantification of Bioactive Compounds in By-Products of the Olive Oil Production Process
4. Conclusions
Supplementary Materials
Author Contributions
Funding
Institutional Review Board Statement
Informed Consent Statement
Data Availability Statement
Acknowledgments
Conflicts of Interest
References
- Polari, J.J.; Garcí-Aguirre, D.; Olmo-García, L.; Carrasco-Pancorbo, A.; Wang, S.C. Impact of Industrial Hammer Mill Rotor Speed on Extraction Efficiency and Quality of Extra Virgin Olive Oil. Food Chem. 2018, 242, 362–368. [Google Scholar] [CrossRef]
- Dermeche, S.; Nadour, M.; Larroche, C.; Moulti-Mati, F.; Michaud, P. Olive Mill Wastes: Biochemical Characterizations and Valorization Strategies. Process Biochem. 2013, 48, 1532–1552. [Google Scholar] [CrossRef]
- Soler, A.; Romero, M.P.; Macià, A.; Saha, S.; Furniss, C.S.M.; Kroon, P.A.; Motilva, M.J. Digestion Stability and Evaluation of the Metabolism and Transport of Olive Oil Phenols in the Human Small-Intestinal Epithelial Caco-2/TC7 Cell Line. Food Chem. 2010, 119, 703–714. [Google Scholar] [CrossRef]
- Leporini, M.; Loizzo, M.R.; Tenuta, M.C.; Falco, T.; Sicari, V.; Pellicanò, T.M.; Tundis, R. Calabrian Extra-Virgin Olive Oil from Frantoio Cultivar: Chemical Composition and Health Properties. Emir. J. Food Agric. 2018, 30, 631–637. [Google Scholar] [CrossRef]
- Otero, P.; Garcia-Oliveira, P.; Carpena, M.; Barral-Martinez, M.; Chamorro, F.; Echave, J.; Garcia-Perez, P.; Cao, H.; Xiao, J.; Simal-Gandara, J.; et al. Applications of By-Products from the Olive Oil Processing: Revalorization Strategies Based on Target Molecules and Green Extraction Technologies. Trends Food Sci. Technol. 2021, 116, 1084–1104. [Google Scholar] [CrossRef]
- Visioli, F.; Franco, M.; Toledo, E.; Luchsinger, J.; Willett, W.C.; Hu, F.B.; Martinez-Gonzalez, M.A. Olive Oil and Prevention of Chronic Diseases: Summary of an International Conference. Nutr. Metab. Cardiovasc. Dis. 2018, 28, 649–656. [Google Scholar] [CrossRef]
- Gorzynik-Debicka, M.; Przychodzen, P.; Cappello, F.; Kuban-Jankowska, A.; Gammazza, A.M.; Knap, N.; Wozniak, M.; Gorska-Ponikowska, M. Potential Health Benefits of Olive Oil and Plant Polyphenols. Int. J. Mol. Sci. 2018, 19, 686. [Google Scholar] [CrossRef]
- Rodríguez-López, P.; Lozano-Sanchez, J.; Borrás-Linares, I.; Emanuelli, T.; Menéndez, J.A.; Segura-Carretero, A. Structure–Biological Activity Relationships of Extra-Virgin Olive Oil Phenolic Compounds: Health Properties and Bioavailability. Antioxidants 2020, 9, 685. [Google Scholar] [CrossRef]
- Sorrenti, V.; Burò, I.; Consoli, V.; Vanella, L. Recent Advances in Health Benefits of Bioactive Compounds from Food Wastes and By-Products: Biochemical Aspects. Int. J. Mol. Sci. 2023, 24, 2019. [Google Scholar] [CrossRef]
- Martins, B.T.; Bronze, M.R.; Ventura, M.R. Phenolic Compounds from Virgin Olive Oil: Approaches for Their Synthesis and Analogues. J. Agric. Food Chem. 2022, 70, 14109–14128. [Google Scholar] [CrossRef]
- Beauchamp, G.K.; Keast, R.S.; Morel, D.; Lin, J.; Pika, J.; Han, Q.; Lee, C.H.; Smith, A.B.; Breslin, P.A. Ibuprofen-like Activity in Extra-Virgin Olive Oil. Nature 2005, 437, 45–46. [Google Scholar] [CrossRef]
- LeGendre, O.; Breslin, P.A.S.; Foster, D.A. (-)-Oleocanthal Rapidly and Selectively Induces Cancer Cell Death via Lysosomal Membrane Permeabilization. Mol. Cell. Oncol. 2015, 2, 37–41. [Google Scholar] [CrossRef] [PubMed]
- Marković, A.K.; Torić, J.; Barbarić, M.; Brala, C.J. Hydroxytyrosol, Tyrosol and Derivatives and Their Potential Effects on Human Health. Molecules 2019, 24, 2001. [Google Scholar] [CrossRef]
- Lozano-Castellón, J.; López-Yerena, A.; Rinaldi de Alvarenga, J.F.; Romero del Castillo-Alba, J.; Vallverdú-Queralt, A.; Escribano-Ferrer, E.; Lamuela-Raventós, R.M. Health-Promoting Properties of Oleocanthal and Oleacein: Two Secoiridoids from Extra-Virgin Olive Oil. Crit. Rev. Food Sci. Nutr. 2020, 60, 2532–2548. [Google Scholar] [CrossRef] [PubMed]
- Czerwińska, M.E.; Kiss, A.K.; Naruszewicz, M. Inhibition of Human Neutrophils NEP Activity, CD11b/CD18 Expression and Elastase Release by 3,4-Dihydroxyphenylethanol-Elenolic Acid Dialdehyde, Oleacein. Food Chem. 2014, 153, 1–8. [Google Scholar] [CrossRef]
- Hassen, I.; Casabianca, H.; Hosni, K. Biological Activities of the Natural Antioxidant Oleuropein: Exceeding the Expectation—A Mini-Review. J. Funct. Foods 2015, 18, 926–940. [Google Scholar] [CrossRef]
- Zhao, Q.; Bai, Y.; Li, C.; Yang, K.; Wei, W.; Li, Z.; Pan, L.; Li, X.; Zhang, X. Oleuropein Protects Cardiomyocyte against Apoptosis via Activating the Reperfusion Injury Salvage Kinase Pathway in Vitro. Evid. Based Complement. Altern. Med. 2017, 2017, 2109018. [Google Scholar] [CrossRef]
- Sarbishegi, M.; Mehraein, F.; Soleimani, M. Antioxidant Role of Oleuropein on Midbrain and Dopaminergic Neurons of Substantia Nigra in Aged Rats. Iran. Biomed. J. 2014, 18, 16–22. [Google Scholar] [CrossRef]
- Shamshoum, H.; Vlavcheski, F.; Tsiani, E. Anticancer Effects of Oleuropein. BioFactors 2017, 43, 517–528. [Google Scholar] [CrossRef]
- Madureira, J.; Margaça, F.M.A.; Santos-Buelga, C.; Ferreira, I.C.F.R.; Verde, S.C.; Barros, L. Applications of Bioactive Compounds Extracted from Olive Industry Wastes: A Review. Compr. Rev. Food Sci. Food Saf. 2022, 21, 453–476. [Google Scholar] [CrossRef]
- Bernini, R.; Carastro, I.; Palmini, G.; Tanini, A.; Zonefrati, R.; Pinelli, P.; Brandi, M.L.; Romani, A. Lipophilization of Hydroxytyrosol-Enriched Fractions from Olea europaea L. Byproducts and Evaluation of the in Vitro Effects on a Model of Colorectal Cancer Cells. J. Agric. Food Chem. 2017, 65, 6506–6512. [Google Scholar] [CrossRef] [PubMed]
- Jeon, S.; Choi, M. Anti-Inflammatory and Anti-Aging Effects of Hydroxytyrosol on Human Dermal Fibroblasts (HDFs). Biomed. Dermatol. 2018, 2, 21. [Google Scholar] [CrossRef]
- Medina, E.; Brenes, M.; Romero, C.; García, A.; De Castro, A. Main Antimicrobial Compounds in Table Olives. J. Agric. Food Chem. 2007, 55, 9817–9823. [Google Scholar] [CrossRef] [PubMed]
- Tabernero, M.; Sarriá, B.; Largo, C.; Martínez-López, S.; Madrona, A.; Espartero, J.L.; Bravo, L.; Mateos, R. Comparative Evaluation of the Metabolic Effects of Hydroxytyrosol and Its Lipophilic Derivatives (Hydroxytyrosyl Acetate and Ethyl Hydroxytyrosyl Ether) in Hypercholesterolemic Rats. Food Funct. 2014, 5, 1556–1563. [Google Scholar] [CrossRef] [PubMed]
- Sánchez-Quesada, C.; López-Biedma, A.; Warleta, F.; Campos, M.; Beltrán, G.; Gaforio, J.J. Bioactive Properties of the Main Triterpenes Found in Olives, Virgin Olive Oil, and Leaves of Olea Europaea. J. Agric. Food Chem. 2013, 61, 12173–12182. [Google Scholar] [CrossRef] [PubMed]
- Buus, N.H.; Hansson, N.C.; Rodriguez-Rodriguez, R.; Stankevicius, E.; Andersen, M.R.; Simonsen, U. Antiatherogenic Effects of Oleanolic Acid in Apolipoprotein e Knockout Mice. Eur. J. Pharmacol. 2011, 670, 519–526. [Google Scholar] [CrossRef] [PubMed]
- Somova, L.O.; Nadar, A.; Rammanan, P.; Shode, F.O. Cardiovascular, Antihyperlipidemic and Antioxidant Effects of Oleanolic and Ursolic Acids in Experimental Hypertension. Phytomedicine 2003, 10, 115–121. [Google Scholar] [CrossRef] [PubMed]
- He, Y.; Wang, Y.; Yang, K.; Jiao, J.; Zhan, H.; Yang, Y.; Lv, D.; Li, W.; Ding, W. Maslinic Acid: A New Compound for the Treatment of Multiple Organ Diseases. Molecules 2022, 27, 8732. [Google Scholar] [CrossRef]
- Bakhouche, A.; Lozano-Sánchez, J.; Beltrán-Debón, R.; Joven, J.; Segura-Carretero, A.; Fernández-Gutiérrez, A. Phenolic Characterization and Geographical Classification of Commercial Arbequina Extra-Virgin Olive Oils Produced in Southern Catalonia. Food Res. Int. 2013, 50, 401–408. [Google Scholar] [CrossRef]
- Stempfle, S.; Carlucci, D.; de Gennaro, B.C.; Roselli, L.; Giannoccaro, G. Available Pathways for Operationalizing Circular Economy into the Olive Oil Supply Chain: Mapping Evidence from a Scoping Literature Review. Sustainability 2021, 13, 9789. [Google Scholar] [CrossRef]
- Khdair, A.; Abu-Rumman, G. Sustainable Environmental Management and Valorization Options for Olive Mill Byproducts in the Middle East and North Africa (MENA) Region. Processes 2020, 8, 671. [Google Scholar] [CrossRef]
- López-Salas, L.; Borrás-Linares, I.; Quintin, D.; García-Gomez, P.; Giménez-Martínez, R.; Segura-Carretero, A.; Lozano-Sánchez, J. Artichoke By-Products as Natural Source of Phenolic Food Ingredient. Appl. Sci. 2021, 11, 3788. [Google Scholar] [CrossRef]
- Zhang, X.; Wang, S.; Wu, Q.; Battino, M.; Giampieri, F.; Bai, W.; Tian, L. Recovering High Value-Added Anthocyanins from Blueberry Pomace with Ultrasound-Assisted Extraction. Food Chem. X 2022, 16, 100476. [Google Scholar] [CrossRef] [PubMed]
- Araujo, R.G.; Rodríguez-Jasso, R.M.; Ruíz, H.A.; Govea-Salas, M.; Pintado, M.; Aguilar, C.N. Recovery of Bioactive Components from Avocado Peels Using Microwave-Assisted Extraction. Food Bioprod. Process. 2021, 127, 152–161. [Google Scholar] [CrossRef]
- Djemaa-Landri, K.; Hamri-Zeghichi, S.; Valls, J.; Cluzet, S.; Tristan, R.; Boulahbal, N.; Kadri, N.; Madani, K. Phenolic Content and Antioxidant Activities of Vitis vinifera L. Leaf Extracts Obtained by Conventional Solvent and Microwave-Assisted Extractions. J. Food Meas. Charact. 2020, 14, 3551–3564. [Google Scholar] [CrossRef]
- Kaur, N.; Aggarwal, P.; Kumar, V.; Kaur, S. Ultrasound-Assisted Extraction of Phytochemicals from Java Plum (Syzygium cumini L.) Pomace: Process Optimization, Phytochemical Characterization Using HPLC, FTIR, SEM and Mineral Profiling. Waste Biomass Valoriz. 2023, 14, 949–961. [Google Scholar] [CrossRef]
- Chiacchierini, E.; Mele, G.; Restuccia, D.; Vinci, G. Impact Evaluation of Innovative and Sustainable Extraction Technologies on Olive Oil Quality. Trends Food Sci. Technol. 2007, 18, 299–305. [Google Scholar] [CrossRef]
- López-Huertas, E.; Lozano-Sánchez, J.; Segura-Carretero, A. Olive Oil Varieties and Ripening Stages Containing the Antioxidants Hydroxytyrosol and Derivatives in Compliance with EFSA Health Claim. Food Chem. 2021, 342, 128291. [Google Scholar] [CrossRef] [PubMed]
- De Angelis, M.; Campanella, D.; Cosmai, L.; Summo, C.; Rizzello, C.G.; Caponio, F. Microbiota and Metabolome of Un-Started and Started Greek-Type Fermentation of Bella Di Cerignola Table Olives. Food Microbiol. 2015, 52, 18–30. [Google Scholar] [CrossRef] [PubMed]
- Ghomari, O.; Sounni, F.; Massaoudi, Y.; Ghanam, J.; Drissi Kaitouni, L.B.; Merzouki, M.; Benlemlih, M. Phenolic Profile (HPLC-UV) of Olive Leaves According to Extraction Procedure and Assessment of Antibacterial Activity. Biotechnol. Rep. 2019, 23, e00347. [Google Scholar] [CrossRef]
- Ramírez, E.M.; Brenes, M.; Medina, E. Chemical and Enzymatic Characterization of Leaves from Spanish Table Olive Cultivars. Foods 2022, 11, 3879. [Google Scholar] [CrossRef]
- Cecchi, L.; Migliorini, M.; Giambanelli, E.; Canuti, V.; Bellumori, M.; Mulinacci, N.; Zanoni, B. Exploitation of Virgin Olive Oil By-Products (Olea europaea L.): Phenolic and Volatile Compounds Transformations Phenomena in Fresh Two-Phase Olive Pomace (‘Alperujo’) under Different Storage Conditions. J. Sci. Food Agric. 2022, 102, 2515–2525. [Google Scholar] [CrossRef] [PubMed]
- Fernández-Hernández, A.; Martinez, A.; Rivas, F.; García-Mesa, J.A.; Parra, A. Effect of the Solvent and the Sample Preparation on the Determination of Triterpene Compounds in Two-Phase Olive-Mill-Waste Samples. J. Agric. Food Chem. 2015, 63, 4269–4275. [Google Scholar] [CrossRef] [PubMed]
- Lozano-Sánchez, J.; Giambanelli, E.; Quirantes-Piné, R.; Cerretani, L.; Bendini, A.; Segura-Carretero, A.; Fernández-Gutiérrez, A. Wastes Generated during the Storage of Extra Virgin Olive Oil as a Natural Source of Phenolic Compounds. J. Agric. Food Chem. 2011, 59, 11491–11500. [Google Scholar] [CrossRef] [PubMed]
- Lozano-Sánchez, J.; Segura-Carretero, A.; Menendez, J.A.; Oliveras-Ferraros, C.; Cerretani, L.; Fernández-Gutiérrez, A. Prediction of Extra Virgin Olive Oil Varieties through Their Phenolic Profile. Potential Cytotoxic Activity against Human Breast Cancer Cells. J. Agric. Food Chem. 2010, 58, 9942–9955. [Google Scholar] [CrossRef] [PubMed]
- Katsinas, N.; Bento Da Silva, A.; Enríquez-De-Salamanca, A.; Fernández, N.; Bronze, M.R.; Rodríguez-Rojo, S. Pressurized Liquid Extraction Optimization from Supercritical Defatted Olive Pomace: A Green and Selective Phenolic Extraction Process. ACS Sustain. Chem. Eng. 2021, 9, 5590–5602. [Google Scholar] [CrossRef]
- Rubio-Senent, F.; Martos, S.; Lama-Muñoz, A.; Fernández-Bolaños, J.G.; Rodríguez-Gutiérrez, G.; Fernández-Bolaños, J. Isolation and Identification of Minor Secoiridoids and Phenolic Components from Thermally Treated Olive Oil By-Products. Food Chem. 2015, 187, 166–173. [Google Scholar] [CrossRef] [PubMed]
- Lozano-Sánchez, J.; Bendini, A.; Quirantes-Piné, R.; Cerretani, L.; Segura-Carretero, A.; Fernández-Gutiérrez, A. Monitoring the Bioactive Compounds Status of Extra-Virgin Olive Oil and Storage by-Products over the Shelf Life. Food Control 2013, 30, 606–615. [Google Scholar] [CrossRef]
- Obied, H.K.; Bedgood, D.R.; Prenzler, P.D.; Robards, K. Chemical Screening of Olive Biophenol Extracts by Hyphenated Liquid Chromatography. Anal. Chim. Acta 2007, 603, 176–189. [Google Scholar] [CrossRef] [PubMed]
- Ivancic, T.; Jakopic, J.; Veberic, R.; Vesel, V.; Hudina, M. Effect of Ripening on the Phenolic and Sugar Contents in the Meso- and Epicarp of Olive Fruits (Olea europaea L.) Cultivar ‘Leccino’. Agriculture 2022, 12, 1347. [Google Scholar] [CrossRef]
- Cabrera-Bañegil, M.; Schaide, T.; Manzano, R.; Delgado-Adámez, J.; Durán-Merás, I.; Martín-Vertedor, D. Optimization and Validation of a Rapid Liquid Chromatography Method for Determination of the Main Polyphenolic Compounds in Table Olives and in Olive Paste. Food Chem. 2017, 233, 164–173. [Google Scholar] [CrossRef] [PubMed]
- Taamalli, A.; Sánchez, J.L.; Jebabli, H.; Trabelsi, N.; Abaza, L.; Carretero, A.S.; Cho, J.Y.; Román, D.A. Monitoring the Bioactive Compounds Status in Olea Europaea According to Collecting Period and Drying Conditions. Energies 2019, 12, 947. [Google Scholar] [CrossRef]
- Grigoletto, I.; Garc, P.; Valli, E.; Bendini, A.; Ferioli, F.; Pasini, F.; Garc, R.; Toschi, T.G. HPLC-MS/MS Phenolic Characterization of Olive Pomace. Foods 2024, 13, 285. [Google Scholar] [CrossRef]
- Duque-Soto, C.; Quirantes-Piné, R.; Borrás-Linares, I.; Segura-Carretero, A.; Lozano-Sánchez, J. Characterization and Influence of Static In Vitro Digestion on Bioaccessibility of Bioactive Polyphenols from an Olive Leaf Extract. Foods 2022, 11, 743. [Google Scholar] [CrossRef]
- Quirantes-Piné, R.; Lozano-Sánchez, J.; Herrero, M.; Ibáñez, E.; Segura-Carretero, A.; Fernández-Gutiérrez, A. HPLC-ESI-QTOF-MS as a Powerful Analytical Tool for Characterising Phenolic Compounds in Olive-Leaf Extracts. Phytochem. Anal. 2013, 24, 213–223. [Google Scholar] [CrossRef]
- Fu, S.; Arráez-Román, D.; Menéndez, J.A.; Segura-Carretero, A.; Fernández-Gutiérrez, A. Characterization of Isomers of Oleuropein Aglycon in Olive Oils by Rapid-Resolution Liquid Chromatography Coupled to Electrospray Time-of-Flight and Ion Trap Tandem Mass Spectrometry. Rapid Commun. Mass Spectrom. 2009, 23, 51–59. [Google Scholar] [CrossRef]
- Martakos, I.; Katsianou, P.; Koulis, G.; Efstratiou, E.; Nastou, E.; Nikas, S.; Dasenaki, M.; Pentogennis, M.; Thomaidis, N. Development of Analytical Strategies for the Determination of Olive Fruit Bioactive Compounds Using UPLC-HRMS and HPLC-DAD. Chemical Characterization of Kolovi Lesvos Variety as a Case Study. Molecules 2021, 26, 7182. [Google Scholar] [CrossRef]
- Mattonai, M.; Vinci, A.; Degano, I.; Ribechini, E.; Franceschi, M.; Modugno, F. Olive Mill Wastewaters: Quantitation of the Phenolic Content and Profiling of Elenolic Acid Derivatives Using HPLC-DAD and HPLC/MS2 with an Embedded Polar Group Stationary Phase. Nat. Prod. Res. 2019, 33, 3171–3175. [Google Scholar] [CrossRef]
- Qu, J.; Wang, B.; Xu, Z.; Feng, S.; Tong, Z.; Chen, T.; Zhou, L.; Peng, Z.; Ding, C. Genome-Wide Analysis of the Molecular Functions of B3 Superfamily in Oil Biosynthesis in Olive (Olea europaea L.). BioMed Res. Int. 2023, 2023, 7–10. [Google Scholar] [CrossRef]
- Lozano-Mena, G.; Sánchez-González, M.; Parra, A.; Juan, M.E.; Planas, J.M. Identification of Gut-Derived Metabolites of Maslinic Acid, a Bioactive Compound from Olea europaea L. Mol. Nutr. Food Res. 2016, 60, 2053–2064. [Google Scholar] [CrossRef]
- Bianco, A.; Uccella, N. Biophenolic Components of Olives. Food Res. Int. 2000, 33, 475–485. [Google Scholar] [CrossRef]
- Romero, C.; Brenes, M.; García, P.; Garrido, A. Hydroxytyrosol 4-β-D-Glucoside, an Important Phenolic Compound in Olive Fruits and Derived Products. J. Agric. Food Chem. 2002, 50, 3835–3839. [Google Scholar] [CrossRef] [PubMed]
- Wani, T.A.; Masoodi, F.A.; Gani, A.; Baba, W.N.; Rahmanian, N.; Akhter, R.; Wani, I.A.; Ahmad, M. Olive Oil and Its Principal Bioactive Compound: Hydroxytyrosol—A Review of the Recent Literature. Trends Food Sci. Technol. 2018, 77, 77–90. [Google Scholar] [CrossRef]
- Olmo-Cunillera, A.; Ribas-Agustí, A.; Lozano-Castellón, J.; Pérez, M.; Ninot, A.; Romero-Aroca, A.; Lamuela-Raventós, R.M.; Vallverdú-Queralt, A. High Hydrostatic Pressure Enhances the Formation of Oleocanthal and Oleacein in ‘Arbequina’ Olive Fruit. Food Chem. 2024, 437, 137902. [Google Scholar] [CrossRef] [PubMed]
- Gutierrez-Rosales, F.; Romero, M.P.; Casanovas, M.; Motilva, M.J.; Mínguez-Mosquera, M.I. Metabolites Involved in Oleuropein Accumulation and Degradation in Fruits of Olea europaea L.: Hojiblanca and Arbequina Varieties. J. Agric. Food Chem. 2010, 58, 12924–12933. [Google Scholar] [CrossRef] [PubMed]
- Charoenprasert, S.; Mitchell, A. Factors Influencing Phenolic Compounds in Table Olives (Olea europaea). J. Agric. Food Chem. 2012, 60, 7081–7095. [Google Scholar] [CrossRef] [PubMed]
- Romero, C.; Brenes, M.; Yousfi, K.; García, P.; García, A.; Garrido, A. Effect of Cultivar and Processing Method on the Contents of Polyphenols in Table Olives. J. Agric. Food Chem. 2004, 52, 479–484. [Google Scholar] [CrossRef] [PubMed]
- Parra, A.; Lopez, P.E.; Garcia-Granados, A. Bioactive Compounds with Added Value Prepared from Terpenes Contained in Solid Wastes from the Olive Oil Industry. Chem. Biodivers. 2010, 7, 421–439. [Google Scholar] [CrossRef] [PubMed]
- Šimat, V.; Skroza, D.; Tabanelli, G.; Čagalj, M.; Pasini, F.; Gómez-Caravaca, A.M.; Fernández-Fernández, C.; Sterniša, M.; Smole Možina, S.; Ozogul, Y.; et al. Antioxidant and Antimicrobial Activity of Hydroethanolic Leaf Extracts from Six Mediterranean Olive Cultivars. Antioxidants 2022, 11, 1656. [Google Scholar] [CrossRef]
- Zhang, C.; Xin, X.; Zhang, J.; Zhu, S.; Niu, E.; Zhou, Z.; Liu, D. Comparative Evaluation of the Phytochemical Profiles and Antioxidant Potentials of Olive Leaves from 32 Cultivars Grown in China. Molecules 2022, 27, 1290. [Google Scholar] [CrossRef]
- Alrugaibah, M.; Yagiz, Y.; Gu, L. Novel Natural Deep Eutectic Solvents as Efficient Green Reagents to Extract Phenolic Compounds from Olive Leaves and Predictive Modelling by Artificial Neural Networking. Food Bioprod. Process. 2023, 138, 198–208. [Google Scholar] [CrossRef]
- Rubio-Senent, F.; Rodríguez-Gutíerrez, G.; Lama-Muñoz, A.; Fernandez-Bolanõs, J. New Phenolic Compounds Hydrothermally Extracted from The. Chromatographia 2001, 53, 279–284. [Google Scholar]
- Bouaziz, M.; Feki, I.; Ayadi, M.; Jemai, H.; Sayadi, S. Stability of Refined Olive Oil and Olive-Pomace Oil Added by Phenolic Compounds from Olive Leaves. Eur. J. Lipid Sci. Technol. 2010, 112, 894–905. [Google Scholar] [CrossRef]





| Peak Number | Proposed Compound | Molecular Formula | RT 1 (min) | m/z (Exp) 2 | m/z (Theor) 3 | Error (ppm) | Product 4 | References |
|---|---|---|---|---|---|---|---|---|
| 1 | Quinic acid | C7H12O6 | 4.03 | 191.0562 | 191.0561 | 0.3 | OF, OP | [44,48] |
| 2 | Citric acid | C6H8O7 | 5.32 | 191.0196 | 191.0203 | 2.8 | OF | [54] |
| 3 | Oxydized hydroxytyrosol | C8H8O3 | 5.90 | 151.0396 | 151.0401 | 3.4 | OP | [48] |
| 4 | Loganic acid | C16H24O10 | 7.36 | 375.1305 | 375.1297 | −2.2 | OF, OP | [54] |
| 5 | Hydroxytyrosol glucoside | C14H20O8 | 7.54 | 315.1091 | 315.1085 | −1.7 | OF, OP | [38,49,50] |
| 6 | 1-β-D-Glucopyranosyl acyclodihydroelenolic acid | C17H28O11 | 7.69 | 407.1574 | 407.1559 | −3.8 | OF, OP | [53] |
| 7 | Oleoside/Secologanoside | C16H22O11 | 7.97 | 389.1095 | 389.1089 | −1.4 | OF, OP | [49,50] |
| 8 | Hydroxytyrosol | C8H10O3 | 8.14 | 153.0554 | 153.0557 | 2.2 | OF, OP | [38,44,48,49,50] |
| 9 | Elenolic acid glucoside | C17H24O11 | 8.36 | 403.1259 | 403.1246 | −3.3 | OF, OP | [49,50] |
| 10 | Dialdehydic form of decarboxymethyl elenolic acid | C9H12O4 | 8.58 | 183.0659 | 183.0663 | 2.0 | OF, OP | [48] |
| 11 | Verbascoside | C29H36O15 | 8.63 | 623.1993 | 623.1981 | −1.9 | OF, OP | [49,50,51] |
| 12 | Hydroxyoleuropein | C25H32O14 | 8.68 | 555.1724 | 555.1719 | 0.9 | OF, OP | [46,55] |
| 13 | Luteolin glucoside | C21H20O11 | 8.88 | 447.0944 | 447.0933 | −2.5 | OF, OP | [49,50] |
| 14 | Dihydrooleuropein | C25H36O13 | 8.94 | 543.2075 | 543.2083 | 1.5 | OF, OP | [47] |
| 15 | Oleuropein | C25H32O13 | 9.88 | 539.1809 | 539.1771 | −7.1 | OF, OP | [49,50,51] |
| 16 | Ligstroside | C25H32O12 | 10.80 | 523.1824 | 523.1821 | −0.5 | OF, OP | [49] |
| 17 | Oleuropein aglycone isomer 1 | C19H22O8 | 11.14 | 377.1250 | 377.1242 | −2.2 | OF, OP | [38,44,48,49] |
| 18 | Elenolic acid | C11H14O6 | 11.32 | 241.0716 | 241.0718 | 0.6 | OF, OP | [48,49] |
| 19 | Oleuropein aglycone isomer 2 | C19H22O8 | 11.55 | 377.1259 | 377.1242 | −4.6 | OF, OP | [38,44,48,49] |
| 20 | Oleacein/Decarboxymethyl oleuropein aglycone | C17H20O6 | 11.97 | 319.1190 | 319.1187 | 0.9 | OF, OP | [38,48,49] |
| 21 | Luteolin | C15H10O6 | 12.23 | 285.0406 | 285.0405 | −0.5 | OF, OP | [49,51] |
| 22 | Ligstroside aglycone isomer 1 | C19H22O7 | 12.71 | 361.1295 | 361.1293 | −0.2 | OF, OP | [38,48,49] |
| 23 | Oleuropein aglycone isomer 3 | C19H22O8 | 13.19 | 377.1253 | 377.1242 | −2.8 | OF, OP | [38,48,49] |
| 24 | Ligstroside aglycone isomer 2 | C19H22O7 | 13.26 | 361.1286 | 361.1293 | 1.9 | OF, OP | [38,48,49] |
| 25 | Oleuropein aglycone isomer 4 | C19H22O8 | 13.86 | 377.1262 | 377.1242 | −5.3 | OF, OP | [38,49] |
| 26 | Ligstroside aglycone isomer 3 | C19H22O7 | 14.90 | 361.1289 | 361.1293 | 0.9 | OF, OP | [38,48,49] |
| 27 | Oleocanthal/Decarboxymethyl ligstroside aglycone | C17H20O5 | 15.00 | 303.1231 | 303.1238 | 2.4 | OP | [38,48,49] |
| 28 | Oleuropein aglycone isomer 5 | C19H22O8 | 15.10 | 377.1257 | 377.1242 | −3.9 | OF, OP | [38,49] |
| 29 | Oleuropein aglycone isomer 6 | C19H22O8 | 15.57 | 377.1256 | 377.1242 | −3.8 | OF, OP | [38,49] |
| 30 | Ligstroside aglycone isomer 4 | C19H22O7 | 15.65 | 361.1283 | 361.1293 | 2.8 | OF, OP | [38] |
| 31 | Ligstroside aglycone isomer 5 | C19H22O7 | 17.07 | 361.1284 | 361.1293 | 2.3 | OF, OP | [38] |
| 32 | Maslinic acid | C30H48O4 | 25.42 | 471.3491 | 471.3480 | −2.1 | OF, OP | [52] |
| Peak Number | Proposed Compound | Molecular Formula | RT 1 (min) | m/z (Exp) 2 | m/z (Theor) 3 | Error (ppm) | References |
|---|---|---|---|---|---|---|---|
| 1 | Oxidized hydroxytyrosol | C8H8O3 | 11.67 | 151.0421 | 151.0401 | 13.2 | [44] |
| 2 | Hydroxytyrosol | C8H10O3 | 11.83 | 153.0577 | 153.0557 | 12.7 | [38,44,49] |
| 3 | Dialdehydic form of decarboxy methyl elenolic acid | C9H12O4 | 12.78 | 183.0669 | 183.0663 | −3.2 | [48] |
| 4 | Elenolic acid isomer 1 | C11H14O6 | 13.88 | 241.0713 | 241.0718 | 1.8 | [48,49] |
| 5 | Tyrosol | C8H10O2 | 14.03 | 137.0626 | 137.0608 | −18.2 | [38,44,48,49] |
| 6 | Hydroxy D-oleuropein aglycone | C17H20O7 | 16.14 | 335.1130 | 335.1136 | 2 | [38,48] |
| 7 | 10-hydroxy oleuropein aglycone | C19H22O9 | 16.81 | 393.1181 | 393.1191 | 2.6 | [48] |
| 8 | UK 4 1 | C12H16O6 | 17.68 | 255.0870 | 255.0874 | 1.6 | - |
| 9 | UK 4 2 | C12H16O6 | 18.30 | 255.0877 | 255.0874 | 1.1 | - |
| 10 | p-cumaric acid | C9H8O3 | 19.20 | 163.0426 | 163.0401 | 15.7 | [49,50] |
| 11 | Hydroxytyrosol acetate | C10H12O4 | 19.80 | 195.0665 | 195.0663 | 0.9 | [38,48,49] |
| 12 | Elenolic acid isomer 2 | C11H14O6 | 21.11 | 241.0721 | 241.0718 | 1.2 | [48,49] |
| 13 | Oleacein/Decarboxymethyl oleuropein aglycone | C17H20O6 | 22.70 | 319.1200 | 319.1187 | −4.1 | [38,48,49] |
| 14 | Oleuropein aglycone isomer 1 | C19H22O8 | 23.43 | 377.1271 | 377.1242 | −7.8 | [38,44,48,49] |
| 15 | Oleuropein aglycone isomer 2 | C19H22O8 | 23.95 | 377.1272 | 377.1242 | −7.8 | [38,44,48,49] |
| 16 | Oleuropein aglycone isomer 3 | C19H22O8 | 24.37 | 377.1269 | 377.1242 | −7.2 | [38,48,49] |
| 17 | Syringaresinol | C22H26O8 | 25.37 | 417.1558 | 417.1555 | 0.8 | [48] |
| 18 | Pinoresinol | C20H22O6 | 26.14 | 357.1345 | 357.1344 | 0.3 | [48,49] |
| 19 | Oleocanthal/Decarboxymethyl ligstroside aglycone | C17H20O5 | 26.54 | 303.1250 | 303.1238 | 3.9 | [38,48,49] |
| 20 | Ligstroside aglycone isomer 1 | C19H22O7 | 27.06 | 361.1313 | 361.1293 | −5.7 | [38,48,49] |
| 21 | Ligstroside aglycone isomer 2 | C19H22O7 | 27.40 | 361.1322 | 361.1293 | −8.2 | [38,48,49] |
| 22 | Oleuropein aglycone isomer 4 | C19H22O8 | 27.95 | 377.1258 | 377.1242 | −4.2 | [38,49] |
| 23 | Oleuropein aglycone isomer 5 | C19H22O8 | 29.35 | 377.1281 | 377.1242 | −10.3 | [38,49] |
| 24 | Luteolin | C15H10O6 | 29.79 | 285.0407 | 285.0405 | −0.9 | [44,48,49] |
| 25 | Oleuropein aglycone isomer 6 | C19H22O7 | 29.92 | 377.1272 | 377.1242 | −8.0 | [38,49] |
| 26 | Ligstroside aglycone isomer 3 | C19H22O7 | 30.59 | 361.1323 | 361.1293 | −8.4 | [38,48,49] |
| 27 | Apigenin | C15H10O5 | 31.04 | 269.0451 | 269.0455 | 1.5 | [44,48,49] |
| 28 | Ligstroside aglycone isomer 4 | C19H22O7 | 31.13 | 361.1312 | 361.1293 | −5.5 | [38] |
| 29 | Ligstroside aglycone isomer 5 | C19H22O7 | 32.08 | 361.1302 | 361.1293 | −2.6 | [38] |
| Peak Number | Proposed Compound | Molecular Formula | RT 1 (min) | m/z (Exp) 2 | m/z (Theor) 3 | Error (ppm) | Olive By-Product 4 | References |
|---|---|---|---|---|---|---|---|---|
| 1 | Quinic acid | C7H12O6 | 4.03 | 191.0562 | 191.0561 | 0.3 | ALP, BLR, BSR | [46] |
| 2 | 3,4-Dihydroxyphenylglycol | C8H10O4 | 5.85 | 169.0509 | 169.0506 | −1.7 | BLR, BSR | [49,53] |
| 3 | Oxydized hydroxytyrosol | C8H8O3 | 5.90 | 151.0396 | 151.0401 | 3.4 | ALP, BLR, BSR | [44] |
| 4 | Hydrated product of the dialdehydic form of decarboxymethyl elenolic acid isomer 1 | C9H14O5 | 7.41 | 201.0730 | 201.0768 | 19.2 | OL | [44] |
| 5 | Dialdehydic form of decarboxymethyl elenolic acid isomer 1 | C9H12O4 | 7.44 | 183.0653 | 183.0663 | 5.4 | BLR | [46,48] |
| 6 | Oleoside/Secologanoside | C16H22O11 | 7.58 | 389.1103 | 389.1089 | −3.5 | ALP, OL | [46,49] |
| 7 | 1-β-D-Glucopyranosyl acyclodihydroelenolic acid | C17H28O11 | 7.69 | 407.1574 | 407.1559 | −3.8 | ALP, OL | [53] |
| 8 | Hydrated product of the dialdehydic form of decarboxymethyl elenolic acid isomer 2 | C9H14O5 | 7.69 | 201.0748 | 201.0768 | 10.3 | OL | [44] |
| 9 | Loganic acid | C16H24O10 | 7.73 | 375.1288 | 375.1297 | 2.3 | ALP, OL | [54] |
| 10 | Hydrated product of the dialdehydic form of decarboxymethyl elenolic acid isomer 3 | C9H14O5 | 7.93 | 201.0764 | 201.0768 | 2.1 | BLR, BSR, OFWW | [44] |
| 11 | Hydroxylated product of the dialdehydic form of decarboxymethyl elenolic acid isomer 1 | C9H12O5 | 7.93 | 199.0598 | 199.0612 | 6.8 | OL | [44,53] |
| 12 | 7-Epiloganin | C17H26O10 | 8.08 | 389.1430 | 389.1453 | 6.0 | OL | [55] |
| 13 | Hydroxytyrosol | C8H10O3 | 8.14 | 153.0554 | 153.0557 | 2.2 | ALP, BLR, BSR | [42,44,49] |
| 14 | Decarboxylated form of hydroxyelenolic acid | C10H14O5 | 8.23 | 213.0757 | 213.0768 | 5.4 | OL, OFWW | [44,48] |
| 15 | Lamiol | C16H26O10 | 8.24 | 377.1455 | 377.1453 | −0.4 | OL | [54] |
| 16 | Decarboxymethyl-3,4-dihydroelenolic acid | C9H14O4 | 8.25 | 185.0819 | 185.0815 | 2.2 | ALP, OFWW | [58] |
| 17 | Hydroxylated product of the dialdehydic form of decarboxymethyl elenolic acid isomer 2 | C9H12O5 | 8.33 | 199.0615 | 199.0612 | −1.3 | ALP, OL, BLR, BSR, OFWW | [44] |
| 18 | Elenolic acid glucoside | C17H24O11 | 8.36 | 403.1259 | 403.1246 | −3.3 | ALP, OL | [52] |
| 19 | Diosmetin glucoside isomer 1 | C20H30O12 | 8.56 | 461.1650 | 461.1664 | 3.1 | OL | [54] |
| 20 | Verbascoside | C29H36O15 | 8.63 | 623.1993 | 623.1981 | −1.9 | ALP | [42,49] |
| 21 | Hydroxyoleuropein | C25H32O14 | 8.68 | 555.1724 | 555.1719 | 0.9 | OL | [46,55] |
| 22 | Tyrosol | C8H10O2 | 8.73 | 137.0590 | 137.0608 | 13.4 | ALP, BLR, BSR | [42,44,49] |
| 23 | Hydroxyelenolic acid | C11H14O7 | 8.78 | 257.0660 | 257.0667 | 2.5 | ALP, BLR, BSR | [48] |
| 24 | Apigenin-7-O-rutinoside | C27H30O14 | 8.91 | 577.1570 | 577.1563 | −1.3 | OL | [49] |
| 25 | Dihydrooleuropein | C25H36O13 | 8.94 | 543.2075 | 543.2083 | 1.5 | ALP | [47] |
| 26 | Aldehydic form of decarboxymethyl elenolic acid | C10H16O5 | 8.95 | 215.0910 | 215.0925 | 6.8 | ALP, BLR, BSR, OFWW | [44,48] |
| 27 | Hydroxyoleuropein aglycone isomer 1 | C19H22O9 | 9.38 | 393.1190 | 393.1191 | 0.3 | BLR, BSR | [48] |
| 28 | Dialdehydic form of decarboxymethyl elenolic acid isomer 2 | C9H12O4 | 9.45 | 183.0658 | 183.0663 | 2.5 | ALP, BLR, BSR | [46,48] |
| 29 | Luteolin glucoside | C21H20O11 | 9.45 | 447.0937 | 447.0933 | −0.9 | ALP, OL | [49] |
| 30 | Apigenin-7-O-glucoside | C21H20O10 | 9.48 | 431.0981 | 431.0984 | 0.7 | OL | [49] |
| 31 | Dialdehydic form of decarboxymethyl elenolic acid isomer 3 | C9H12O4 | 9.50 | 183.0657 | 183.0663 | 3.0 | OFWW | [46,48] |
| 32 | Diosmetin glucoside isomer 2 | C22H22O11 | 9.62 | 461.1090 | 461.1089 | −0.2 | OL | [54] |
| 33 | Oleuropein | C25H32O13 | 9.88 | 539.1809 | 539.1771 | −7.1 | ALP, BSR, OL | [49] |
| 34 | Hydroxyoleuropein aglycone isomer 2 | C19H22O9 | 10.54 | 393.1203 | 393.1191 | −3.1 | BLR, BSR | [48] |
| 35 | Hydroxydecarboxymethyl oleuropein aglycone | C17H20O7 | 10.77 | 335.1133 | 335.1136 | 1.0 | ALP, BLR, BSR | [48,53] |
| 36 | Elenolic acid | C11H14O6 | 11.19 | 241.0716 | 241.0718 | 0.6 | ALP, BLR, BSR, OL | [48,49] |
| 37 | Hydroxyoleuropein aglycone isomer 3 | C19H22O9 | 11.72 | 393.1181 | 393.1191 | 2.6 | BSR | [48] |
| 38 | Luteolin | C15H10O6 | 12.09 | 285.0406 | 285.0405 | −0.5 | ALP, BLR, BSR, OL | [42,44,48,49] |
| 39 | Oleacein/Decarboxymethyl oleuropein aglycone | C17H20O6 | 12.26 | 319.1190 | 319.1187 | 0.9 | ALP, BSR | [44,48,49] |
| 40 | Hydrated oleuropein aglycone | C19H24O8 | 12.58 | 379.1397 | 379.1398 | 0.4 | ALP, BLR, BSR | [44] |
| 41 | Hydroxyoleuropein aglycone isomer 4 | C19H22O9 | 12.88 | 393.1193 | 393.1191 | −0.4 | BLR, BSR | [48] |
| 42 | Oleuropein aglycone isomer 1 | C19H22O8 | 13.16 | 377.1250 | 377.1242 | −2.2 | ALP, BLR, BSR | [44,49] |
| 43 | Oleuropein aglycone isomer 2 | C19H22O8 | 13.66 | 377.1259 | 377.1242 | −4.6 | ALP, BSR | [44,49] |
| 44 | Apigenin | C15H10O5 | 13.85 | 269.0451 | 269.0455 | 1.7 | OL | [44,48,49] |
| 45 | Diosmetin | C16H12O6 | 14.12 | 299.0552 | 299.0561 | 3.0 | OL | [52] |
| 46 | Oleuropein aglycone isomer 3 | C19H22O8 | 14.85 | 377.1253 | 377.1242 | −2.8 | ALP, BSR | [44,49] |
| 47 | Methyl jasmonate | C13H20O3 | 17.34 | 223.1320 | 223.1340 | 8.8 | OL | [59] |
| 48 | Dihydroxyoleanolic acid isomer 1 | C30H48O5 | 18.67 | 487.3421 | 487.3429 | 1.7 | OL | [60] |
| 49 | Dihydroxyoleanolic acid isomer 2 | C30H48O5 | 19.92 | 487.3410 | 487.3429 | 4.0 | OL | [60] |
| 50 | Hydroxy-oxo-oleanolic acid | C30H46O4 | 25.02 | 469.3304 | 469.3323 | 4.1 | OL | [54] |
| 51 | Maslinic acid | C30H48O4 | 25.42 | 471.3491 | 471.3480 | −2.1 | ALP, BSR, OL | [52] |
| 52 | Oleanolic acid | C30H48O3 | 31.68 | 455.3505 | 455.3531 | 5.7 | OL | [52] |
Disclaimer/Publisher’s Note: The statements, opinions and data contained in all publications are solely those of the individual author(s) and contributor(s) and not of MDPI and/or the editor(s). MDPI and/or the editor(s) disclaim responsibility for any injury to people or property resulting from any ideas, methods, instructions or products referred to in the content. |
© 2024 by the authors. Licensee MDPI, Basel, Switzerland. This article is an open access article distributed under the terms and conditions of the Creative Commons Attribution (CC BY) license (https://creativecommons.org/licenses/by/4.0/).
Share and Cite
López-Salas, L.; Díaz-Moreno, J.; Ciulu, M.; Borrás-Linares, I.; Quirantes-Piné, R.; Lozano-Sánchez, J. Monitoring the Phenolic and Terpenic Profile of Olives, Olive Oils and By-Products throughout the Production Process. Foods 2024, 13, 1555. https://doi.org/10.3390/foods13101555
López-Salas L, Díaz-Moreno J, Ciulu M, Borrás-Linares I, Quirantes-Piné R, Lozano-Sánchez J. Monitoring the Phenolic and Terpenic Profile of Olives, Olive Oils and By-Products throughout the Production Process. Foods. 2024; 13(10):1555. https://doi.org/10.3390/foods13101555
Chicago/Turabian StyleLópez-Salas, Lucía, Javier Díaz-Moreno, Marco Ciulu, Isabel Borrás-Linares, Rosa Quirantes-Piné, and Jesús Lozano-Sánchez. 2024. "Monitoring the Phenolic and Terpenic Profile of Olives, Olive Oils and By-Products throughout the Production Process" Foods 13, no. 10: 1555. https://doi.org/10.3390/foods13101555
APA StyleLópez-Salas, L., Díaz-Moreno, J., Ciulu, M., Borrás-Linares, I., Quirantes-Piné, R., & Lozano-Sánchez, J. (2024). Monitoring the Phenolic and Terpenic Profile of Olives, Olive Oils and By-Products throughout the Production Process. Foods, 13(10), 1555. https://doi.org/10.3390/foods13101555

