Evaluation of Cooked Rice for Eating Quality and Its Components in Geng Rice
Abstract
1. Introduction
2. Materials and Methods
2.1. Plant Material and Growth Conditions
2.2. Sensory Testing Using a Taste Panel
2.3. Construction of an Image Acquisition System
2.4. Imaging for Cooked Rice
2.5. Extracting the Yellow Areas from the Images
2.6. Texture Measurement
2.7. Statistical Analyses
3. Results
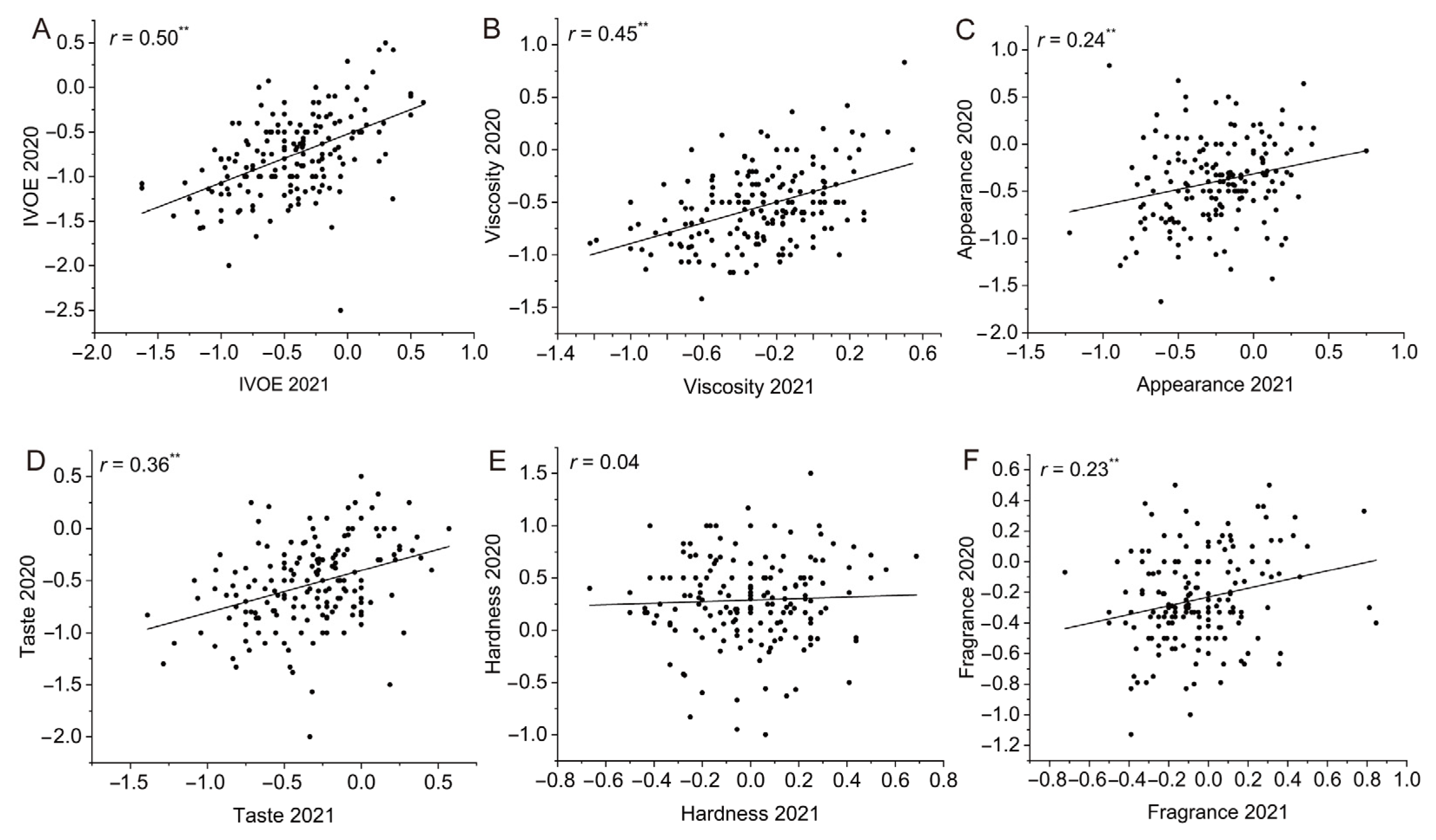
3.1. Characteristics of the Major Components of Eating Quality of Cooked Rice
3.2. Relationships between IVOE and Its Component Traits
3.3. Evaluation of the Major Component Traits for IVOE
3.3.1. The Yellow Area Objectively Indicates Cooked Rice Appearance
3.3.2. Adhesiveness Objectively Indicates Cooked Rice Viscosity
3.3.3. Establishment of an Objective Prediction Model for Rice Eating Quality
- Model 2: IVOE = 0.27 × adhesiveness + 0.40 × appearance + 0.67 × taste − 0.35, R2 = 0.87;
- Model 3: IVOE = 0.27 × viscosity − 0.57 × yellow area + 0.76 × taste − 0.05, R2 = 0.86;
- Model 4: IVOE = 0.37 × adhesiveness − 0.71 × yellow area + 0.89 × taste − 0.34, R2 = 0.85.
4. Discussion
5. Conclusions
Supplementary Materials
Author Contributions
Funding
Institutional Review Board Statement
Informed Consent Statement
Data Availability Statement
Conflicts of Interest
References
- Park, S.G.; Park, H.S.; Baek, M.K.; Jeong, J.M.; Cho, Y.C.; Lee, G.M.; Lee, C.M.; Suh, J.P.; Kim, C.S.; Kim, S.M. Improving the glossiness of cooked rice, an important component of visual rice grain quality. Rice 2019, 12, 87. [Google Scholar] [CrossRef] [PubMed]
- Juliano, B.O.; Bautista, G.M.; Lugay, J.C.; Reyes, A.C. Rice quality, studies on physicochemical properties of rice. J. Agric. Food Chem. 1964, 12, 131–138. [Google Scholar] [CrossRef]
- Anacleto, R.; Cuevas, R.P.; Jimenez, R.; Llorente, C.; Nissila, E.; Henry, R.; Sreenivasulu, N. Prospects of breeding high-quality rice using post-genomic tools. Theor. Appl. Genet. 2015, 128, 1449–1466. [Google Scholar] [CrossRef]
- Hori, K.; Suzuki, K.; Iijima, K.; Ebana, K. Variation in cooking and eating quality traits in Japanese rice germplasm accessions. Breed. Sci. 2016, 66, 309–318. [Google Scholar] [CrossRef] [PubMed]
- Zhao, M.; Lin, Y.; Chen, H. Improving nutritional quality of rice for human health. Theor. Appl. Genet. 2020, 133, 1397–1413. [Google Scholar] [CrossRef] [PubMed]
- Fan, M.; Wang, X.; Sun, J.; Zhang, Q.; Xu, Z.; Xu, Q. Effect of indica pedigree on eating and cooking quality in rice backcross inbred lines of indica and japonica crosses. Breed. Sci. 2017, 67, 450–458. [Google Scholar] [CrossRef] [PubMed][Green Version]
- Ramesh, M.; Bhattacharya, K.R.; Mitchell, J.R. Developments in understanding the basis of cooked-rice texture. Crit. Rev. Food Sci. Nutr. 2000, 40, 449–460. [Google Scholar] [CrossRef] [PubMed]
- Bett-Garber, K.L.; Champagne, E.T.; Thomson, J.L.; Lea, J. Relating raw rice colour and composition to cooked rice colour. J. Sci. Food Agric. 2012, 92, 283–291. [Google Scholar] [CrossRef] [PubMed]
- Lestari, P.; Ham, T.-H.; Lee, H.-H.; Woo, M.-O.; Jiang, W.; Chu, S.-H.; Kwon, S.-W.; Ma, K.; Lee, J.-H.; Cho, Y.-C.; et al. PCR marker-based evaluation of the eating quality of japonica rice (Oryza sativa L.). J. Agric. Food Chem. 2009, 57, 2754–2762. [Google Scholar] [CrossRef]
- Rebeira, S.P.; Wickramasinghe, H.A.M.; Samarasinghe, W.L.G.; Prashantha, B.D.R. Diversity of grain quality characteristics of traditional rice (Oryza sativa L.) varieties in Sri Lanka. Trop. Agric. Res. 2015, 25, 570. [Google Scholar] [CrossRef]
- Hong, M.C.; Kuo, B.J. Studies on investigating the eating quality of cooked rice using small sample size (II). Taichung Dist. Agric. Res. Rep. 2001, 70, 9–19. [Google Scholar]
- Li, H.; Prakash, S.; Nicholson, T.M.; Fitzgerald, M.A.; Gilbert, R.G. Instrumental measurement of cooked rice texture by dynamic rheological testing and its relation to the fine structure of rice starch. Carbohydr. Polym. 2016, 146, 253–263. [Google Scholar] [CrossRef]
- Ohtsubo, K.; Nakamura, S. Evaluation of Palatability of Cooked Rice; Intech: Vienna, Austria, 2017. [Google Scholar]
- Sesmat, A.; Meullenet, J.F. Prediction of rice sensory texture attributes from a single compression test, multivariate regression, and a stepwise model optimization method. J. Food Sci. 2001, 66, 124–131. [Google Scholar] [CrossRef]
- Cameron, D.K.; Wang, Y.J. A Better understanding of factors that affect the hardness and stickiness of long-grain rice. Cereal Chem. J. 2005, 82, 113–119. [Google Scholar] [CrossRef]
- Prakash, M.; Ravi, R.; Sathish, H.; Shyamala, J.; Shwetha, M.; Rangarao, G. Sensory and instrumental texture measurement of thermally processed rice. J. Sens. Stud. 2005, 20, 410–420. [Google Scholar] [CrossRef]
- Wada, T.; Uchimura, Y.; Ogata, T.; Tsubone, M.; Matsue, Y. Mapping of QTLs for physicochemical properties in japonica rice. Breed. Sci. 2006, 56, 253–260. [Google Scholar] [CrossRef][Green Version]
- Billiris, M.A.; Siebenmorgen, T.J.; Meullenet, J.-F.; Mauromoustakos, A. Rice degree of milling effects on hydration, texture, sensory and energy characteristics. part 1. cooking using excess water. J. Food Eng. 2012, 113, 559–568. [Google Scholar] [CrossRef]
- Goto, H.; Asanome, N.; Suzuki, K.; Sano, T.; Saito, H.; Abe, Y.; Chuba, M.; Nishio, T. Objective evaluation of whiteness of cooked rice and rice cakes using a portable spectrophotometer. Breed. Sci. 2014, 63, 489–494. [Google Scholar] [CrossRef] [PubMed][Green Version]
- Yu, Y.; Pan, F.; Ramaswamy, H.S.; Zhu, S.; Yu, L.; Zhang, Q. Effect of soaking and single/two cycle high pressure treatment on water absorption, color, morphology and cooked texture of brown rice. J. Food Sci. Technol. 2017, 54, 1655–1664. [Google Scholar] [CrossRef] [PubMed]
- Good, H. Measurement of color in cereal products. Cereal Food World 2002, 4, 5–6. [Google Scholar]
- Shinada, H.; Yamamoto, T.; Yamamoto, E.; Hori, K.; Hirayama, Y.; Maekawa, T.; Kiuchi, H.; Sato, H.; Sato, T. Quantitative trait loci for whiteness of cooked rice detected in improved rice cultivars in Hokkaido. Breed. Sci. 2015, 65, 201–207. [Google Scholar] [CrossRef] [PubMed][Green Version]
- Jiménez-Carvelo, A.M.; González-Casado, A.; Bagur-González, M.G.; Cuadros-Rodríguez, L. Alternative data mining/machine learning methods for the analytical evaluation of food quality and authenticity—A review. Food Res. Int. 2019, 122, 25–39. [Google Scholar] [CrossRef] [PubMed]
- Fazeli Burestan, N.; Afkari Sayyah, A.H.; Taghinezhad, E. Prediction of some quality properties of rice and its flour by near-infrared spectroscopy (NIRS) Analysis. Food Sci. Nutr. 2021, 9, 1099–1105. [Google Scholar] [CrossRef] [PubMed]
- Deng, F.; Lu, H.; Yuan, Y.; Chen, H.; Li, Q.; Wang, L.; Tao, Y.; Zhou, W.; Cheng, H.; Chen, Y.; et al. Accurate Prediction of the eating and cooking quality of rice using artificial neural networks and the texture properties of cooked rice. Food Chem. 2023, 407, 135176. [Google Scholar] [CrossRef] [PubMed]
- Malahayati, N.; Muhammad, K.; Bakar, J.; Karim, R. Fortification of rice noodles with vitamin A: Quality, sensory evaluation, and enhancement of vitamin A intakes. J. Nutr. Sci. Vitaminol. 2020, 66, S179–S183. [Google Scholar] [CrossRef]
- Sugiyama, K.; Matsumoto, D.; Sakai, Y.; Inui, T.; Tarukawa, C.; Yamada, M. Development of gluten-free rice flour noodles that suit the tastes of Japanese people. Foods 2022, 11, 1321. [Google Scholar] [CrossRef]
- Wan, X.Y.; Wan, J.M.; Su, C.C.; Wang, C.M.; Shen, W.B.; Li, J.M.; Wang, H.L.; Jiang, L.; Liu, S.J.; Chen, L.M.; et al. QTL detection for eating quality of cooked rice in a population of chromosome segment substitution lines. Theor. Appl. Genet. 2004, 110, 71–79. [Google Scholar] [CrossRef]
- Singh, R.; Singh, A.K.; Sharma, T.R.; Singh, A.; Singh, N.K. Fine Mapping of aroma QTLs in Basmati rice (Oryza sativa L.) on chromosomes 3, 4 and 8. J. Plant Biochem. Biotechnol. 2007, 16, 75–82. [Google Scholar] [CrossRef]
- Takeuchi, Y.; Nonoue, Y.; Ebitani, T.; Suzuki, K.; Aoki, N.; Sato, H.; Ideta, O.; Hirabayashi, H.; Hirayama, M.; Ohta, H.; et al. QTL detection for eating quality including glossiness, stickiness, taste and hardness of cooked rice. Breed. Sci. 2007, 57, 231–242. [Google Scholar] [CrossRef]
- Kobayashi, A.; Tomita, K. QTL detection for stickiness of cooked rice using recombinant inbred lines derived from crosses between japonica rice cultivars. Breed. Sci. 2008, 58, 419–426. [Google Scholar] [CrossRef]
- Takeuchi, Y.; Hori, K.; Suzuki, K.; Nonoue, Y.; Takemoto-Kuno, Y.; Maeda, H.; Sato, H.; Hirabayashi, H.; Ohta, H.; Ishii, T.; et al. major QTLs for eating quality of an elite Japanese rice cultivar, Koshihikari, on the short arm of chromosome 3. Breed. Sci. 2008, 58, 437–445. [Google Scholar] [CrossRef]
- Wada, T.; Ogata, T.; Tsubone, M.; Uchimura, Y.; Matsue, Y. Mapping of QTLs for eating quality and physicochemical properties of the Japonica rice “Koshihikari”. Breed. Sci. 2008, 58, 427–435. [Google Scholar] [CrossRef]
- Liu, X.; Wan, X.; Ma, X.; Wan, J. Dissecting the genetic basis for the effect of rice chalkiness, amylose content, protein content, and rapid viscosity analyzer profile characteristics on the eating quality of cooked rice using the chromosome segment substitution line population across eight environments. Genome 2011, 54, 64–80. [Google Scholar]
- Commission Internatonale de I’Eclairage. Method of Measuring and Specifying Colour Rending Properties of Light Sources; Central Bureau of ICE: Vienna, Austria, 1995.
- Jinorose, M.; Prachayawarakorn, S.; Soponronnarit, S. A novel image-analysis based approach to evaluate some physicochemical and cooking properties of rice kernels. J. Food Eng. 2014, 124, 184–190. [Google Scholar] [CrossRef]
- Zhang, Y.R.; Xing, X.L.; Zhou, X.Q.; Jing, G.W. Research on evaluation method of appearance quality of cooked rice based on image processing technology. Science and Technology of Cereals. Oils Foods 2014, 22, 33–37. [Google Scholar]
- Xing, X.L. The Research on Evaluation Technology of Eating Quality of Cooked Rice Based on Instrument. Master’s Thesis, Henan University of Technology, Zhengzhou, China, 2014. [Google Scholar]
- Champagne, E.T.; Richard, O.A.; Bett, K.L.; Grimm, C.C.; Kohlwey, D.E. Quality evaluation of U.S. medium-grain rice using a Japanese taste analyzer. Cereal Chem. 1996, 73, 290–294. [Google Scholar]
- Chen, H.; Chen, D.; He, L.; Wang, T.; Lu, H.; Yang, F.; Deng, F.; Chen, Y.; Tao, Y.; Li, M.; et al. Correlation of taste values with chemical compositions and rapid visco analyser profiles of 36 indica rice (Oryza sativa L.) varieties. Food Chem. 2021, 349, 129176. [Google Scholar] [CrossRef]
- Okadome, H. Application of instrument-based multiple texture measurement of cooked milled-rice grains to rice quality evaluation. Jpn. Agric. Res. Q. 2005, 39, 261–268. [Google Scholar] [CrossRef]








| Traits | Variation | DF | SS | MS | F | P |
|---|---|---|---|---|---|---|
| IVOE | Year | 1 | 8.71 | 8.71 | 86.20 ** | <0.01 |
| Variety | 321 | 50.03 | 0.3 | 2.96 ** | <0.01 | |
| Error | 321 | 16.87 | 0.1 | |||
| Total variation | 643 | 75.62 | ||||
| Appearance | Year | 1 | 2.06 | 2.06 | 18.84 ** | <0.01 |
| Variety | 321 | 29.33 | 0.18 | 1.60 ** | <0.01 | |
| Error | 321 | 18.28 | 0.11 | |||
| Total variation | 643 | 49.66 | ||||
| Viscosity | Year | 1 | 5.24 | 5.24 | 77.34 ** | <0.01 |
| Variety | 321 | 29.43 | 0.18 | 2.60 ** | <0.01 | |
| Error | 321 | 11.32 | 0.07 | |||
| Total variation | 643 | 45.99 | ||||
| Taste | Year | 1 | 3.49 | 3.49 | 37.03 ** | <0.01 |
| Variety | 321 | 33.12 | 0.2 | 2.11 ** | <0.01 | |
| Error | 321 | 15.73 | 0.09 | |||
| Total variation | 643 | 52.33 | ||||
| Hardness | Year | 1 | 7.03 | 7.03 | 63.94 ** | <0.01 |
| Variety | 321 | 19.75 | 0.12 | 1.08 | >0.05 | |
| Error | 321 | 18.36 | 0.11 | |||
| Total variation | 643 | 45.14 | ||||
| Fragrance | Year | 1 | 3.29 | 3.29 | 55.93 ** | <0.01 |
| Variety | 321 | 15.59 | 0.09 | 1.59 ** | <0.01 | |
| Error | 321 | 9.82 | 0.06 | |||
| Total variation | 643 | 28.7 |
Disclaimer/Publisher’s Note: The statements, opinions and data contained in all publications are solely those of the individual author(s) and contributor(s) and not of MDPI and/or the editor(s). MDPI and/or the editor(s) disclaim responsibility for any injury to people or property resulting from any ideas, methods, instructions or products referred to in the content. |
© 2023 by the authors. Licensee MDPI, Basel, Switzerland. This article is an open access article distributed under the terms and conditions of the Creative Commons Attribution (CC BY) license (https://creativecommons.org/licenses/by/4.0/).
Share and Cite
Li, C.; Yao, S.; Song, B.; Zhao, L.; Hou, B.; Zhang, Y.; Zhang, F.; Qi, X. Evaluation of Cooked Rice for Eating Quality and Its Components in Geng Rice. Foods 2023, 12, 3267. https://doi.org/10.3390/foods12173267
Li C, Yao S, Song B, Zhao L, Hou B, Zhang Y, Zhang F, Qi X. Evaluation of Cooked Rice for Eating Quality and Its Components in Geng Rice. Foods. 2023; 12(17):3267. https://doi.org/10.3390/foods12173267
Chicago/Turabian StyleLi, Cui, Shujun Yao, Bo Song, Lei Zhao, Bingzhu Hou, Yong Zhang, Fan Zhang, and Xiaoquan Qi. 2023. "Evaluation of Cooked Rice for Eating Quality and Its Components in Geng Rice" Foods 12, no. 17: 3267. https://doi.org/10.3390/foods12173267
APA StyleLi, C., Yao, S., Song, B., Zhao, L., Hou, B., Zhang, Y., Zhang, F., & Qi, X. (2023). Evaluation of Cooked Rice for Eating Quality and Its Components in Geng Rice. Foods, 12(17), 3267. https://doi.org/10.3390/foods12173267

