Polysaccharide-Based Edible Films/Coatings for the Preservation of Meat and Fish Products: Emphasis on Incorporation of Lipid-Based Nanosystems Loaded with Bioactive Compounds
Abstract
1. Introduction
2. Polysaccharide Edible Films or Coatings in the Preservation of Meat and Fish Products
2.1. Pectin-Based Films or Coatings
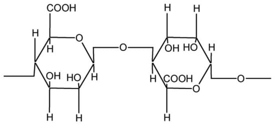
2.2. Alginate Based Films or Coatings
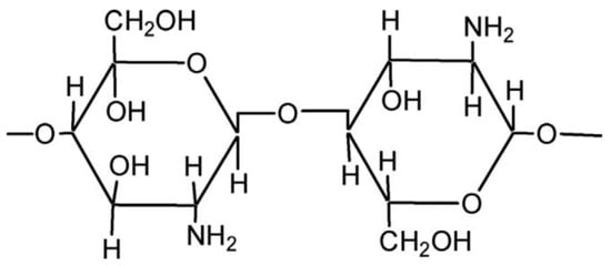
2.3. Chitosan-Based Films or Coatings
2.4. Starch-Based Films or Coatings
3. Biopolymer Edible Films or Coatings Incorporated with Nanosystems in the Preservation of Meat and Fish Products
3.1. Biopolymer Edible Films or Coatings Incorporated with Nano-Emulsions
3.2. Biopolymer Edible Films or Coatings Incorporated with Nanoliposome
4. The Safety of Edible Films or Coatings Incorporated with Nano-Encapsulated Bioactive Compounds
5. Conclusions
Author Contributions
Funding
Institutional Review Board Statement
Informed Consent Statement
Data Availability Statement
Conflicts of Interest
References
- Umaraw, P.; Munekata, P.E.S.; Verma, A.K.; Barba, F.J.; Singh, V.P.; Kumar, P.; Lorenzo, J.M. Edible Films/Coating with Tailored Properties for Active Packaging of Meat, Fish and Derived Products. Trends Food Sci. Technol. 2020, 98, 10–24. [Google Scholar] [CrossRef]
- Bohrer, B.M. Nutrient Density and Nutritional Value of Meat Products and Non-Meat Foods High in Protein. Trends Food Sci. Technol. 2017, 65, 103–112. [Google Scholar] [CrossRef]
- Kaveh, S.; Hashemi, S.M.B.; Abedi, E.; Amiri, M.J.; Conte, F.L. Bio-Preservation of Meat and Fermented Meat Products by Lactic Acid Bacteria Strains and Their Antibacterial Metabolites. Sustainability 2023, 15, 10154. [Google Scholar] [CrossRef]
- Gautam, S.; Lapčík, L.; Lapčíková, B.; Gál, R. Emulsion-Based Coatings for Preservation of Meat and Related Products. Foods 2023, 12, 832. [Google Scholar] [CrossRef]
- Cheng, L.; Sun, D.-W.; Zhu, Z.; Zhang, Z. Emerging Techniques for Assisting and Accelerating Food Freezing Processes: A Review of Recent Research Progresses. Crit. Rev. Food Sci. Nutr. 2017, 57, 769–781. [Google Scholar] [CrossRef] [PubMed]
- Yu, D.; Regenstein, J.M.; Xia, W. Bio-Based Edible Coatings for the Preservation of Fishery Products: A Review. Crit. Rev. Food Sci. Nutr. 2019, 59, 2481–2493. [Google Scholar] [CrossRef]
- Vatavali, K.; Karakosta, L.; Nathanailides, C.; Georgantelis, D.; Kontominas, M.G. Combined Effect of Chitosan and Oregano Essential Oil Dip on the Microbiological, Chemical, and Sensory Attributes of Red Porgy (Pagrus Pagrus) Stored in Ice. Food Bioprocess Technol. 2013, 6, 3510–3521. [Google Scholar] [CrossRef]
- Akhila, V.; Badwaik, L.S. Recent Advancement in Improvement of Properties of Polysaccharides and Proteins Based Packaging Film with Added Nanoparticles: A Review. Int. J. Biol. Macromol. 2022, 203, 515–525. [Google Scholar]
- Khalid, M.Y.; Arif, Z.U. Novel Biopolymer-Based Sustainable Composites for Food Packaging Applications: A Narrative Review. Food Packag. Shelf Life 2022, 33, 100892. [Google Scholar] [CrossRef]
- Kumar, L.; Deshmukh, R.K.; Hakim, L.; Gaikwad, K.K. Halloysite Nanotube as a Functional Material for Active Food Packaging Application: A Review. Food Bioprocess Technol. 2023, 1–14. [Google Scholar] [CrossRef]
- Rathod, S. Modern Intelligent Packaging System. Pharma Innov. J. 2022, SP-11, 2063–2071. [Google Scholar]
- Fang, Z.; Zhao, Y.; Warner, R.D.; Johnson, S.K. Active and Intelligent Packaging in Meat Industry. Trends Food Sci. Technol. 2017, 61, 60–71. [Google Scholar] [CrossRef]
- Aloui, H.; Khwaldia, K. Natural Antimicrobial Edible Coatings for Microbial Safety and Food Quality Enhancement. Compr. Rev. Food Sci. Food Saf. 2016, 15, 1080–1103. [Google Scholar] [CrossRef] [PubMed]
- Shin, S.-H.; Chang, Y.; Lacroix, M.; Han, J. Control of Microbial Growth and Lipid Oxidation on Beef Product Using an Apple Peel-Based Edible Coating Treatment. LWT 2017, 84, 183–188. [Google Scholar] [CrossRef]
- Gagaoua, M.; Bhattacharya, T.; Lamri, M.; Oz, F.; Dib, A.L.; Oz, E.; Uysal-Unalan, I.; Tomasevic, I. Green Coating Polymers in Meat Preservation. Coatings 2021, 11, 1379. [Google Scholar] [CrossRef]
- Parry, A.; James, K.; LeRoux, S. Strategies to Achieve Economic and Environmental Gains by Reducing Food Waste; WRAP: London, UK, 2015. [Google Scholar]
- Mailoa, M.N.; Tapotubun, A.M.; Matrutty, T.E. Analysis Total Plate Counte (TPC) on Fresh Steak Tuna Applications Edible Coating Caulerpa sp during Stored at Chilling Temperature. IOP Conf. Ser. Earth Environ. Sci. 2017, 89, 12014. [Google Scholar] [CrossRef]
- Hassan, B.; Chatha, S.A.S.; Hussain, A.I.; Zia, K.M.; Akhtar, N. Recent Advances on Polysaccharides, Lipids and Protein Based Edible Films and Coatings: A Review. Int. J. Biol. Macromol. 2018, 109, 1095–1107. [Google Scholar] [CrossRef]
- Dehghani, S.; Hosseini, S.V.; Regenstein, J.M. Edible Films and Coatings in Seafood Preservation: A Review. Food Chem. 2018, 240, 505–513. [Google Scholar] [CrossRef]
- Liu, J.; Shibata, M.; Ma, Q.; Liu, F.; Lu, Q.; Shan, Q.; Hagiwara, T.; Bao, J. Characterization of Fish Collagen from Blue Shark Skin and Its Application for Chitosan-collagen Composite Coating to Preserve Red Porgy (Pagrus major) Meat. J. Food Biochem. 2020, 44, e13265. [Google Scholar] [CrossRef]
- Nathanael, A.J.; Oh, T.H. Biopolymer Coatings for Biomedical Applications. Polymers 2020, 12, 3061. [Google Scholar] [CrossRef]
- Ncama, K.; Magwaza, L.S.; Mditshwa, A.; Tesfay, S.Z. Plant-Based Edible Coatings for Managing Postharvest Quality of Fresh Horticultural Produce: A Review. Food Packag. Shelf Life 2018, 16, 157–167. [Google Scholar] [CrossRef]
- Rojas-Graü, M.A.; Soliva-Fortuny, R.; Martín-Belloso, O. Edible Coatings to Incorporate Active Ingredients to Fresh-Cut Fruits: A Review. Trends Food Sci. Technol. 2009, 20, 438–447. [Google Scholar] [CrossRef]
- Kaveh, S.; Sadeghi Mahoonak, A.; Ghorbani, M.; Jafari, S.M.; Sarabandi, K. Optimization of Factors Affecting the Antioxidant Activity of Fenugreek Seed’s Protein Hydrolysate by Response Surface Methodology. Iran. J. Nutr. Sci. Food Technol. 2019, 14, 77–88. [Google Scholar]
- Zambrano-Zaragoza, M.L.; González-Reza, R.; Mendoza-Muñoz, N.; Miranda-Linares, V.; Bernal-Couoh, T.F.; Mendoza-Elvira, S.; Quintanar-Guerrero, D. Nanosystems in Edible Coatings: A Novel Strategy for Food Preservation. Int. J. Mol. Sci. 2018, 19, 705. [Google Scholar] [CrossRef] [PubMed]
- Koga, C.C.; Lee, S.; Lee, Y. Consumer Acceptance of Bars and Gummies with Unencapsulated and Encapsulated Resveratrol. J. Food Sci. 2016, 81, S1222–S1229. [Google Scholar] [CrossRef] [PubMed]
- Xiong, Y.; Li, S.; Warner, R.D.; Fang, Z. Effect of Oregano Essential Oil and Resveratrol Nanoemulsion Loaded Pectin Edible Coating on the Preservation of Pork Loin in Modified Atmosphere Packaging. Food Control 2020, 114, 107226. [Google Scholar] [CrossRef]
- Aliakbarian, B.; Paini, M.; Casazza, A.A.; Perego, P. Effect of Encapsulating Agent on Physical-Chemical Characteristics of Olive Pomace Polyphenols-Rich Extracts. Chem. Eng. Trans. 2015, 43, 97–102. [Google Scholar]
- Radi, M.; Shadikhah, S.; Sayadi, M.; Kaveh, S.; Amiri, S.; Bagheri, F. Effect of Thymus Vulgaris Essential Oil-Loaded Nanostructured Lipid Carriers in Alginate-Based Edible Coating on the Postharvest Quality of Tangerine Fruit. Food Bioprocess Technol. 2023, 16, 185–198. [Google Scholar] [CrossRef]
- Ribeiro, A.M.; Estevinho, B.N.; Rocha, F. Spray Drying Encapsulation of Elderberry Extract and Evaluating the Release and Stability of Phenolic Compounds in Encapsulated Powders. Food Bioprocess Technol. 2019, 12, 1381–1394. [Google Scholar] [CrossRef]
- Bakowska-Barczak, A.M.; Kolodziejczyk, P.P. Black Currant Polyphenols: Their Storage Stability and Microencapsulation. Ind. Crop. Prod. 2011, 34, 1301–1309. [Google Scholar] [CrossRef]
- Ansari, S.H.; Islam, F.; Sameem, M. Influence of Nanotechnology on Herbal Drugs: A Review. J. Adv. Pharm. Technol. Res. 2012, 3, 142. [Google Scholar] [CrossRef] [PubMed]
- Londonkar, R.; Kesaralikar, M. Nanotechnology as an Anticancer Approach. J. Cell Sci. Mol. Biol. 2020, 4, 1–4. [Google Scholar]
- Tripathi, M.; Kumar, S.; Kumar, A.; Tripathi, P.; Kumar, S. Agro-Nanotechnology: A Future Technology for Sustainable Agriculture. Int. J. Curr. Microbiol. Appl. Sci. 2018, 7, 196–200. [Google Scholar]
- Das, S.; Singh, V.K.; Chaudhari, A.K.; Dwivedy, A.K.; Dubey, N.K. Fabrication, Physico-Chemical Characterization, and Bioactivity Evaluation of Chitosan-Linalool Composite Nano-Matrix as Innovative Controlled Release Delivery System for Food Preservation. Int. J. Biol. Macromol. 2021, 188, 751–763. [Google Scholar] [CrossRef] [PubMed]
- Dan, N. Compound Release from Nanostructured Lipid Carriers (NLCs). J. Food Eng. 2016, 171, 37–43. [Google Scholar] [CrossRef]
- Mora-Huertas, C.E.; Fessi, H.; Elaissari, A. Polymer-Based Nanocapsules for Drug Delivery. Int. J. Pharm. 2010, 385, 113–142. [Google Scholar] [CrossRef] [PubMed]
- Donsì, F.; Annunziata, M.; Sessa, M.; Ferrari, G. Nanoencapsulation of Essential Oils to Enhance Their Antimicrobial Activity in Foods. LWT-Food Sci. Technol. 2011, 44, 1908–1914. [Google Scholar] [CrossRef]
- Khorasani, S.; Danaei, M.; Mozafari, M.R. Nanoliposome Technology for the Food and Nutraceutical Industries. Trends Food Sci. Technol. 2018, 79, 106–115. [Google Scholar] [CrossRef]
- Lopez-Polo, J.; Monasterio, A.; Cantero-López, P.; Osorio, F.A. Combining Edible Coatings Technology and Nanoencapsulation for Food Application: A Brief Review with an Emphasis on Nanoliposomes. Food Res. Int. 2021, 145, 110402. [Google Scholar] [CrossRef]
- Hashemi Gahruie, H.; Ziaee, E.; Eskandari, M.H.; Hosseini, S.M.H. Characterization of Basil Seed Gum-Based Edible Films Incorporated with Zataria Multiflora Essential Oil Nanoemulsion. Carbohydr. Polym. 2017, 166, 93–103. [Google Scholar] [CrossRef]
- Cui, H.; Yang, M.; Shi, C.; Li, C.; Lin, L. Application of Xanthan-Gum-Based Edible Coating Incorporated with Litsea Cubeba Essential Oil Nanoliposomes in Salmon Preservation. Foods 2022, 11, 1535. [Google Scholar] [CrossRef] [PubMed]
- Abral, H.; Pratama, A.B.; Handayani, D.; Mahardika, M.; Aminah, I.; Sandrawati, N.; Sugiarti, E.; Muslimin, A.N.; Sapuan, S.M.; Ilyas, R.A. Antimicrobial Edible Film Prepared from Bacterial Cellulose Nanofibers/Starch/Chitosan for a Food Packaging Alternative. Int. J. Polym. Sci. 2021, 2021, 6641284. [Google Scholar] [CrossRef]
- Voss, G.T.; Gularte, M.S.; Vogt, A.G.; Giongo, J.L.; Vaucher, R.A.; Echenique, J.V.Z.; Soares, M.P.; Luchese, C.; Wilhelm, E.A.; Fajardo, A.R. Polysaccharide-Based Film Loaded with Vitamin C and Propolis: A Promising Device to Accelerate Diabetic Wound Healing. Int. J. Pharm. 2018, 552, 340–351. [Google Scholar] [CrossRef] [PubMed]
- Arnon, H.; Granit, R.; Porat, R.; Poverenov, E. Development of Polysaccharides-Based Edible Coatings for Citrus Fruits: A Layer-by-Layer Approach. Food Chem. 2015, 166, 465–472. [Google Scholar] [CrossRef]
- Santhosh, R.; Hoque, M.; Syed, I.; Sarkar, P. Polysaccharide–Oil Complexes as Edible Films. In Food, Medical, and Environmental Applications of Polysaccharides; Elsevier: Amsterdam, The Netherlands, 2021; pp. 109–133. [Google Scholar]
- Kocira, A.; Kozłowicz, K.; Panasiewicz, K.; Staniak, M.; Szpunar-Krok, E.; Hortyńska, P. Polysaccharides as Edible Films and Coatings: Characteristics and Influence on Fruit and Vegetable Quality—A Review. Agronomy 2021, 11, 813. [Google Scholar] [CrossRef]
- Dou, L.; Li, B.; Zhang, K.; Chu, X.; Hou, H. Physical Properties and Antioxidant Activity of Gelatin-Sodium Alginate Edible Films with Tea Polyphenols. Int. J. Biol. Macromol. 2018, 118, 1377–1383. [Google Scholar] [CrossRef]
- Mohammadi, R.; Mohammadifar, M.A.; Rouhi, M.; Kariminejad, M.; Mortazavian, A.M.; Sadeghi, E.; Hasanvand, S. Physico-Mechanical and Structural Properties of Eggshell Membrane Gelatin-Chitosan Blend Edible Films. Int. J. Biol. Macromol. 2018, 107, 406–412. [Google Scholar] [CrossRef]
- Mohnen, D. Pectin Structure and Biosynthesis. Curr. Opin. Plant Biol. 2008, 11, 266–277. [Google Scholar] [CrossRef]
- Kanmani, P.; Dhivya, E.; Aravind, J.; Kumaresan, K. Extraction and Analysis of Pectin from Citrus Peels: Augmenting the Yield from Citrus Limon Using Statistical Experimental Design. Iran. J. Energy Environ. 2014, 5, 303–312. [Google Scholar] [CrossRef]
- Espitia, P.J.P.; Du, W.-X.; de Jesús Avena-Bustillos, R.; Soares, N.D.F.F.; McHugh, T.H. Edible Films from Pectin: Physical-Mechanical and Antimicrobial Properties—A Review. Food Hydrocoll. 2014, 35, 287–296. [Google Scholar] [CrossRef]
- Mellinas, C.; Ramos, M.; Jiménez, A.; Garrigós, M.C. Recent Trends in the Use of Pectin from Agro-Waste Residues as a Natural-Based Biopolymer for Food Packaging Applications. Materials 2020, 13, 673. [Google Scholar] [CrossRef] [PubMed]
- Valdés, A.; Burgos, N.; Jiménez, A.; Garrigós, M.C. Natural Pectin Polysaccharides as Edible Coatings. Coatings 2015, 5, 865–886. [Google Scholar] [CrossRef]
- Vartiainen, J.; Tammelin, T.; Pere, J.; Tapper, U.; Harlin, A. Biohybrid Barrier Films from Fluidized Pectin and Nanoclay. Carbohydr. Polym. 2010, 82, 989–996. [Google Scholar] [CrossRef]
- Luangtana-anan, M.; Soradech, S.; Saengsod, S.; Nunthanid, J.; Limmatvapirat, S. Enhancement of Moisture Protective Properties and Stability of Pectin through Formation of a Composite Film: Effects of Shellac and Plasticizer. J. Food Sci. 2017, 82, 2915–2925. [Google Scholar] [CrossRef] [PubMed]
- Soradech, S.; Nunthanid, J.; Limmatvapirat, S.; Luangtana-anan, M. Utilization of Shellac and Gelatin Composite Film for Coating to Extend the Shelf Life of Banana. Food Control 2017, 73, 1310–1317. [Google Scholar] [CrossRef]
- Bermúdez-Oria, A.; Rodríguez-Gutiérrez, G.; Rubio-Senent, F.; Fernández-Prior, Á.; Fernández-Bolaños, J. Effect of Edible Pectin-Fish Gelatin Films Containing the Olive Antioxidants Hydroxytyrosol and 3, 4-Dihydroxyphenylglycol on Beef Meat during Refrigerated Storage. Meat Sci. 2019, 148, 213–218. [Google Scholar] [CrossRef] [PubMed]
- Guo, Z.; Wu, S.; Lin, J.; Zheng, H.; Lei, H.; Yu, Q.; Jiang, W. Active Film Preparation Using Pectin and Polyphenols of Watermelon Peel and Its Applications for Super-Chilled Storage of Chilled Mutton. Food Chem. 2023, 417, 135838. [Google Scholar] [CrossRef]
- Kang, H.J.; Jo, C.; Kwon, J.H.; Kim, J.H.; Chung, H.J.; Byun, M.W. Effect of a Pectin-Based Edible Coating Containing Green Tea Powder on the Quality of Irradiated Pork Patty. Food Control 2007, 18, 430–435. [Google Scholar] [CrossRef]
- Neetoo, H.; Ye, M.; Chen, H. Bioactive Alginate Coatings to Control Listeria Monocytogenes on Cold-Smoked Salmon Slices and Fillets. Int. J. Food Microbiol. 2010, 136, 326–331. [Google Scholar] [CrossRef]
- Gedikoğlu, A. The Effect of Thymus Vulgaris and Thymbra Spicata Essential Oils and/or Extracts in Pectin Edible Coating on the Preservation of Sliced Bolognas. Meat Sci. 2022, 184, 108697. [Google Scholar] [CrossRef]
- Lan, W.; Yang, X.; Chen, M.; Xie, J. Oregano Essential Oil-Pectin Edible Films on Shelf-Life Extension of Large Yellow Croaker (Pseudosciaena crocea) Fillet during Iced Storage. J. Aquat. Food Prod. Technol. 2022, 31, 321–331. [Google Scholar] [CrossRef]
- Tong, W.Y.; Rafiee, A.R.A.; Leong, C.R.; Tan, W.-N.; Dailin, D.J.; Almarhoon, Z.M.; Shelkh, M.; Nawaz, A.; Chuah, L.F. Development of Sodium Alginate-Pectin Biodegradable Active Food Packaging Film Containing Cinnamic Acid. Chemosphere 2023, 336, 139212. [Google Scholar] [CrossRef] [PubMed]
- Azizah, F.; Nursakti, H.; Ningrum, A.; Supriyadi. Development of Edible Composite Film from Fish Gelatin–Pectin Incorporated with Lemongrass Essential Oil and Its Application in Chicken Meat. Polymers 2023, 15, 2075. [Google Scholar] [CrossRef] [PubMed]
- Yang, J.-S.; Xie, Y.-J.; He, W. Research Progress on Chemical Modification of Alginate: A Review. Carbohydr. Polym. 2011, 84, 33–39. [Google Scholar] [CrossRef]
- Raus, R.A.; Nawawi, W.M.F.W.; Nasaruddin, R.R. Alginate and Alginate Composites for Biomedical Applications. Asian J. Pharm. Sci. 2021, 16, 280–306. [Google Scholar] [CrossRef] [PubMed]
- Fu, S.; Thacker, A.; Sperger, D.M.; Boni, R.L.; Buckner, I.S.; Velankar, S.; Munson, E.J.; Block, L.H. Relevance of Rheological Properties of Sodium Alginate in Solution to Calcium Alginate Gel Properties. AAPS Pharmscitech. 2011, 12, 453–460. [Google Scholar] [CrossRef] [PubMed]
- Draget, K.I.; Smidsrød, O.; Skjåk-Bræk, G. Alginates from Algae. In Polysaccharides and Polyamides in the Food Industry: Properties, Production, and Patents; WILEY-VCH Verlag GMBH & Co. KGaA: Weinheim, Germany, 2005; pp. 1–30. [Google Scholar]
- Kothale, D.; Verma, U.; Dewangan, N.; Jana, P.; Jain, A.; Jain, D. Alginate as Promising Natural Polymer for Pharmaceutical, Food, and Biomedical Applications. Curr. Drug Deliv. 2020, 17, 755–775. [Google Scholar] [CrossRef]
- Gheorghita Puscaselu, R.; Lobiuc, A.; Dimian, M.; Covasa, M. Alginate: From Food Industry to Biomedical Applications and Management of Metabolic Disorders. Polymers 2020, 12, 2417. [Google Scholar] [CrossRef]
- Sharma, S.; Sanpui, P.; Chattopadhyay, A.; Ghosh, S.S. Fabrication of Antibacterial Silver Nanoparticle—Sodium Alginate–Chitosan Composite Films. Rsc Adv. 2012, 2, 5837–5843. [Google Scholar] [CrossRef]
- George, M.; Abraham, T.E. Polyionic Hydrocolloids for the Intestinal Delivery of Protein Drugs: Alginate and Chitosan—A Review. J. Control. Release 2006, 114, 1–14. [Google Scholar] [CrossRef]
- Stabler, C.; Wilks, K.; Sambanis, A.; Constantinidis, I. The Effects of Alginate Composition on Encapsulated ΒTC3 Cells. Biomaterials 2001, 22, 1301–1310. [Google Scholar] [CrossRef] [PubMed]
- Kim, S.; Baek, S.-K.; Song, K. Bin Physical and Antioxidant Properties of Alginate Films Prepared from Sargassum Fulvellum with Black Chokeberry Extract. Food Packag. Shelf Life 2018, 18, 157–163. [Google Scholar] [CrossRef]
- Kaczmarek, B. Improving Sodium Alginate Films Properties by Phenolic Acid Addition. Materials 2020, 13, 2895. [Google Scholar] [CrossRef]
- Bishnoi, S.; Trifol, J.; Moriana, R.; Mendes, A.C. Adjustable Polysaccharides-Proteins Films Made of Aqueous Wheat Proteins and Alginate Solutions. Food Chem. 2022, 391, 133196. [Google Scholar] [CrossRef]
- Reyes-Avalos, M.C.; Femenia, A.; Minjares-Fuentes, R.; Contreras-Esquivel, J.C.; Aguilar-González, C.N.; Esparza-Rivera, J.R.; Meza-Velázquez, J.A. Improvement of the Quality and the Shelf Life of Figs (Ficus Carica) Using an Alginate–Chitosan Edible Film. Food Bioprocess Technol. 2016, 9, 2114–2124. [Google Scholar] [CrossRef]
- Deepa, B.; Abraham, E.; Pothan, L.A.; Cordeiro, N.; Faria, M.; Thomas, S. Biodegradable Nanocomposite Films Based on Sodium Alginate and Cellulose Nanofibrils. Materials 2016, 9, 50. [Google Scholar] [CrossRef] [PubMed]
- Heydari, R.; Bavandi, S.; Javadian, S.R. Effect of Sodium Alginate Coating Enriched with Horsemint (M Entha Longifolia) Essential Oil on the Quality of Bighead Carp Fillets during Storage at 4 C. Food Sci. Nutr. 2015, 3, 188–194. [Google Scholar] [CrossRef] [PubMed]
- Golpaigani, M.H.; Ariaii, P.; Ahmadi, M.; Safari, R. Preservation Effect of Protein Hydrolysate of Rainbow Trout Roe with a Composite Coating on the Quality of Fresh Meat during Storage at 4±1° C. J. Food Meas. Charact. 2023, 17, 2416–2428. [Google Scholar] [CrossRef]
- Matiacevich, S.; Acevedo, N.; López, D. Characterization of Edible Active Coating Based on Alginate–Thyme Oil–Propionic Acid for the Preservation of Fresh Chicken Breast Fillets. J. Food Process. Preserv. 2015, 39, 2792–2801. [Google Scholar] [CrossRef]
- Noor, S.; Bhat, Z.F.; Kumar, S.; Mudiyanselage, R.J. Preservative Effect of Asparagus Racemosus: A Novel Additive for Bioactive Edible Films for Improved Lipid Oxidative Stability and Storage Quality of Meat Products. Meat Sci. 2018, 139, 207–212. [Google Scholar] [CrossRef]
- Alves, D.; Marques, A.; Milho, C.; Costa, M.J.; Pastrana, L.M.; Cerqueira, M.A.; Sillankorva, S.M. Bacteriophage ΦIBB-PF7A Loaded on Sodium Alginate-Based Films to Prevent Microbial Meat Spoilage. Int. J. Food Microbiol. 2019, 291, 121–127. [Google Scholar] [CrossRef] [PubMed]
- Sahariah, P.; Másson, M. Antimicrobial Chitosan and Chitosan Derivatives: A Review of the Structure–Activity Relationship. Biomacromolecules 2017, 18, 3846–3868. [Google Scholar] [CrossRef]
- Wang, W.; Meng, Q.; Li, Q.; Liu, J.; Zhou, M.; Jin, Z.; Zhao, K. Chitosan Derivatives and Their Application in Biomedicine. Int. J. Mol. Sci. 2020, 21, 487. [Google Scholar] [CrossRef]
- Joseph, S.M.; Krishnamoorthy, S.; Paranthaman, R.; Moses, J.A.; Anandharamakrishnan, C. A Review on Source-Specific Chemistry, Functionality, and Applications of Chitin and Chitosan. Carbohydr. Polym. Technol. Appl. 2021, 2, 100036. [Google Scholar] [CrossRef]
- Chung, Y.-C.; Chen, C.-Y. Antibacterial Characteristics and Activity of Acid-Soluble Chitosan. Bioresour. Technol. 2008, 99, 2806–2814. [Google Scholar] [CrossRef] [PubMed]
- Chung, Y.-C.; Su, Y.P.; Chen, C.-C.; Jia, G.; Wang, H.L.; Wu, J.C.G.; Lin, J.G. Relationship between Antibacterial Activity of Chitosan and Surface Characteristics of Cell Wall. Acta Pharmacol. Sin. 2004, 25, 932–936. [Google Scholar]
- Garg, U.; Chauhan, S.; Nagaich, U.; Jain, N. Current Advances in Chitosan Nanoparticles Based Drug Delivery and Targeting. Adv. Pharm. Bull. 2019, 9, 195. [Google Scholar] [CrossRef]
- Kumar, S.; Mukherjee, A.; Dutta, J. Chitosan Based Nanocomposite Films and Coatings: Emerging Antimicrobial Food Packaging Alternatives. Trends Food Sci. Technol. 2020, 97, 196–209. [Google Scholar] [CrossRef]
- Casariego, A.; Souza, B.W.S.; Cerqueira, M.A.; Teixeira, J.A.; Cruz, L.; Díaz, R.; Vicente, A.A. Chitosan/Clay Films’ Properties as Affected by Biopolymer and Clay Micro/Nanoparticles’ Concentrations. Food Hydrocoll. 2009, 23, 1895–1902. [Google Scholar] [CrossRef]
- Fang, Z.; Lin, D.; Warner, R.D.; Ha, M. Effect of Gallic Acid/Chitosan Coating on Fresh Pork Quality in Modified Atmosphere Packaging. Food Chem. 2018, 260, 90–96. [Google Scholar] [CrossRef]
- Xiong, Y.; Chen, M.; Warner, R.D.; Fang, Z. Incorporating Nisin and Grape Seed Extract in Chitosan-Gelatine Edible Coating and Its Effect on Cold Storage of Fresh Pork. Food Control 2020, 110, 107018. [Google Scholar] [CrossRef]
- Fan, W.; Sun, J.; Chen, Y.; Qiu, J.; Zhang, Y.; Chi, Y. Effects of Chitosan Coating on Quality and Shelf Life of Silver Carp during Frozen Storage. Food Chem. 2009, 115, 66–70. [Google Scholar] [CrossRef]
- Li, T.; Li, J.; Hu, W.; Li, X. Quality Enhancement in Refrigerated Red Drum (Sciaenops ocellatus) Fillets Using Chitosan Coatings Containing Natural Preservatives. Food Chem. 2013, 138, 821–826. [Google Scholar] [CrossRef] [PubMed]
- Langroodi, A.M.; Tajik, H.; Mehdizadeh, T.; Moradi, M.; Kia, E.M.; Mahmoudian, A. Effects of Sumac Extract Dipping and Chitosan Coating Enriched with Zataria Multiflora Boiss Oil on the Shelf-Life of Meat in Modified Atmosphere Packaging. LWT 2018, 98, 372–380. [Google Scholar] [CrossRef]
- Xiong, Y.; Kamboj, M.; Ajlouni, S.; Fang, Z. Incorporation of Salmon Bone Gelatine with Chitosan, Gallic Acid and Clove Oil as Edible Coating for the Cold Storage of Fresh Salmon Fillet. Food Control 2021, 125, 107994. [Google Scholar] [CrossRef]
- Mojaddar Langroodi, A.; Nematollahi, A.; Sayadi, M. Chitosan Coating Incorporated with Grape Seed Extract and Origanum Vulgare Essential Oil: An Active Packaging for Turkey Meat Preservation. J. Food Meas. Charact. 2021, 15, 2790–2804. [Google Scholar] [CrossRef]
- Wilfer, P.B.; Giridaran, G.; Jeevahan, J.J.; Joseph, G.B.; Kumar, G.S.; Thykattuserry, N.J. Effect of Starch Type on the Film Properties of Native Starch Based Edible Films. Mater. Today Proc. 2021, 44, 3903–3907. [Google Scholar] [CrossRef]
- Jiang, S.; Liu, C.; Wang, X.; Xiong, L.; Sun, Q. Physicochemical Properties of Starch Nanocomposite Films Enhanced by Self-Assembled Potato Starch Nanoparticles. LWT-Food Sci. Technol. 2016, 69, 251–257. [Google Scholar] [CrossRef]
- Hashemi, M.; Hashemi, M.; Daneshamooz, S.; Raeisi, M.; Jannat, B.; Taheri, S.; Noori, S.M.A. An Overview on Antioxidants Activity of Polysaccharide Edible Films and Coatings Contains Essential Oils and Herb Extracts in Meat and Meat Products. Adv. Anim. Vet. Sci. 2020, 8, 198–207. [Google Scholar] [CrossRef]
- Rolland-Sabaté, A.; Guilois, S.; Jaillais, B.; Colonna, P. Molecular Size and Mass Distributions of Native Starches Using Complementary Separation Methods: Asymmetrical Flow Field Flow Fractionation (A4F) and Hydrodynamic and Size Exclusion Chromatography (HDC-SEC). Anal. Bioanal. Chem. 2011, 399, 1493–1505. [Google Scholar] [CrossRef]
- Basiak, E.; Lenart, A.; Debeaufort, F. Effect of Starch Type on the Physico-Chemical Properties of Edible Films. Int. J. Biol. Macromol. 2017, 98, 348–356. [Google Scholar] [CrossRef] [PubMed]
- Mehboob, S.; Ali, T.M.; Sheikh, M.; Hasnain, A. Effects of Cross Linking and/or Acetylation on Sorghum Starch and Film Characteristics. Int. J. Biol. Macromol. 2020, 155, 786–794. [Google Scholar] [CrossRef] [PubMed]
- Liu, Z. Edible Films and Coatings from Starches. In Innovations in Food Packaging; Elsevier: Amsterdam, The Netherlands, 2005; pp. 318–337. [Google Scholar]
- Yıldırım-Yalçın, M.; Sadıkoğlu, H.; Şeker, M. Characterization of Edible Film Based on Grape Juice and Cross-Linked Maize Starch and Its Effects on the Storage Quality of Chicken Breast Fillets. LWT 2021, 142, 111012. [Google Scholar] [CrossRef]
- Marzlan, A.A.; Muhialdin, B.J.; Abedin, N.H.Z.; Manshoor, N.; Ranjith, F.H.; Anzian, A.; Hussin, A.S.M. Incorporating Torch Ginger (Etlingera Elatior Jack) Inflorescence Essential Oil onto Starch-Based Edible Film towards Sustainable Active Packaging for Chicken Meat. Ind. Crop. Prod. 2022, 184, 115058. [Google Scholar] [CrossRef]
- Vásconez, M.B.; Flores, S.K.; Campos, C.A.; Alvarado, J.; Gerschenson, L.N. Antimicrobial Activity and Physical Properties of Chitosan–Tapioca Starch Based Edible Films and Coatings. Food Res. Int. 2009, 42, 762–769. [Google Scholar] [CrossRef]
- Radha Krishnan, K.; Babuskin, S.; Rakhavan, K.R.; Tharavin, R.; Azhagu Saravana Babu, P.; Sivarajan, M.; Sukumar, M. Potential Application of Corn Starch Edible Films with Spice Essential Oils for the Shelf Life Extension of Red Meat. J. Appl. Microbiol. 2015, 119, 1613–1623. [Google Scholar] [CrossRef] [PubMed]
- Supardan, M.D.; Annisa, Y.; Arpi, N.; Satriana, S.; Mustapha, W.A.W. Cassava Starch Edible Film Incorporated with Lemongrass Oil: Characteristics and Application. Int. J. Adv. Sci. Eng. Inf. Technol 2016, 6, 216–220. [Google Scholar] [CrossRef]
- Zhao, Y.; Teixeira, J.S.; Gänzle, M.M.; Saldaña, M.D.A. Development of Antimicrobial Films Based on Cassava Starch, Chitosan and Gallic Acid Using Subcritical Water Technology. J. Supercrit. Fluids 2018, 137, 101–110. [Google Scholar] [CrossRef]
- Mehdizadeh, T.; Tajik, H.; Langroodi, A.M.; Molaei, R.; Mahmoudian, A. Chitosan-Starch Film Containing Pomegranate Peel Extract and Thymus Kotschyanus Essential Oil Can Prolong the Shelf Life of Beef. Meat Sci. 2020, 163, 108073. [Google Scholar] [CrossRef]
- Tongdeesoontorn, W.; Mauer, L.J.; Wongruong, S.; Sriburi, P.; Reungsang, A.; Rachtanapun, P. Antioxidant Films from Cassava Starch/Gelatin Biocomposite Fortified with Quercetin and TBHQ and Their Applications in Food Models. Polymers 2021, 13, 1117. [Google Scholar] [CrossRef]
- Cestari, L.A.; da Silva Scapim, M.R.; Madrona, G.S.; Yamashita, F.; Biondo, P.B.F.; Carvalho, V.M.; Bonin, E.; do Prado, I.N. Production, Antioxidant Characterization and Application of Active Starch-Based Films Containing Essential Oils for Beef Packaging. Res. Soc. Dev. 2021, 10, e4310816903. [Google Scholar] [CrossRef]
- Rahmasari, Y.; Yemiş, G.P. Characterization of Ginger Starch-Based Edible Films Incorporated with Coconut Shell Liquid Smoke by Ultrasound Treatment and Application for Ground Beef. Meat Sci. 2022, 188, 108799. [Google Scholar] [CrossRef] [PubMed]
- Silva-Weiss, A.; Quilaqueo, M.; Venegas, O.; Ahumada, M.; Silva, W.; Osorio, F.; Giménez, B. Design of Dipalmitoyl Lecithin Liposomes Loaded with Quercetin and Rutin and Their Release Kinetics from Carboxymethyl Cellulose Edible Films. J. Food Eng. 2018, 224, 165–173. [Google Scholar] [CrossRef]
- Barradas, T.N.; de Holanda e Silva, K.G. Nanoemulsions of Essential Oils to Improve Solubility, Stability and Permeability: A Review. Environ. Chem. Lett. 2021, 19, 1153–1171. [Google Scholar] [CrossRef]
- Sedaghat Doost, A.; Nasrabadi, M.N.; Kassozi, V.; Nakisozi, H.; Van der Meeren, P. Recent Advances in Food Colloidal Delivery Systems for Essential Oils and Their Main Components. Trends Food Sci. Technol. 2020, 99, 474–486. [Google Scholar] [CrossRef]
- de Oca-Ávalos, J.M.M.; Candal, R.J.; Herrera, M.L. Nanoemulsions: Stability and Physical Properties. Curr. Opin. Food Sci. 2017, 16, 1–6. [Google Scholar] [CrossRef]
- Liu, B.; Hu, X. Hollow Micro-and Nanomaterials: Synthesis and Applications. In Advanced Nanomaterials for Pollutant Sensing and Environmental Catalysis; Elsevier: Amsterdam, The Netherlands, 2020; pp. 1–38. [Google Scholar]
- Khalil, H.E.; Alqahtani, N.K.; Darrag, H.M.; Ibrahim, H.-I.M.; Emeka, P.M.; Badger-Emeka, L.I.; Matsunami, K.; Shehata, T.M.; Elsewedy, H.S. Date Palm Extract (Phoenix dactylifera) PEGylated Nanoemulsion: Development, Optimization and Cytotoxicity Evaluation. Plants 2021, 10, 735. [Google Scholar] [CrossRef]
- Lou, Z.; Chen, J.; Yu, F.; Wang, H.; Kou, X.; Ma, C.; Zhu, S. The Antioxidant, Antibacterial, Antibiofilm Activity of Essential Oil from Citrus Medica L. Var. Sarcodactylis and Its Nanoemulsion. LWT 2017, 80, 371–377. [Google Scholar] [CrossRef]
- Noori, S.; Zeynali, F.; Almasi, H. Antimicrobial and Antioxidant Efficiency of Nanoemulsion-Based Edible Coating Containing Ginger (Zingiber officinale) Essential Oil and Its Effect on Safety and Quality Attributes of Chicken Breast Fillets. Food Control 2018, 84, 312–320. [Google Scholar] [CrossRef]
- Keykhosravy, K.; Khanzadi, S.; Hashemi, M.; Azizzadeh, M. Chitosan-Loaded Nanoemulsion Containing Zataria Multiflora Boiss and Bunium persicum Boiss Essential Oils as Edible Coatings: Its Impact on Microbial Quality of Turkey Meat and Fate of Inoculated Pathogens. Int. J. Biol. Macromol. 2020, 150, 904–913. [Google Scholar] [CrossRef]
- Majdinasab, M.; Niakousari, M.; Shaghaghian, S.; Dehghani, H. Antimicrobial and Antioxidant Coating Based on Basil Seed Gum Incorporated with Shirazi Thyme and Summer Savory Essential Oils Emulsions for Shelf-Life Extension of Refrigerated Chicken Fillets. Food Hydrocoll. 2020, 108, 106011. [Google Scholar] [CrossRef]
- Zhou, X.; Zong, X.; Zhang, M.; Ge, Q.; Qi, J.; Liang, J.; Xu, X.; Xiong, G. Effect of Konjac Glucomannan/Carrageenan-Based Edible Emulsion Coatings with Camellia Oil on Quality and Shelf-Life of Chicken Meat. Int. J. Biol. Macromol. 2021, 183, 331–339. [Google Scholar] [CrossRef] [PubMed]
- Kazemeini, H.; Azizian, A.; Adib, H. Inhibition of Listeria Monocytogenes Growth in Turkey Fillets by Alginate Edible Coating with Trachyspermum Ammi Essential Oil Nano-Emulsion. Int. J. Food Microbiol. 2021, 344, 109104. [Google Scholar] [CrossRef] [PubMed]
- Huang, M.; Wang, H.; Xu, X.; Lu, X.; Song, X.; Zhou, G. Effects of Nanoemulsion-Based Edible Coatings with Composite Mixture of Rosemary Extract and ε-Poly-L-Lysine on the Shelf Life of Ready-to-Eat Carbonado Chicken. Food Hydrocoll. 2020, 102, 105576. [Google Scholar] [CrossRef]
- Qiu, L.; Zhang, M.; Chitrakar, B.; Adhikari, B.; Yang, C. Effects of Nanoemulsion-Based Chicken Bone Gelatin-Chitosan Coatings with Cinnamon Essential Oil and Rosemary Extract on the Storage Quality of Ready-to-Eat Chicken Patties. Food Packag. Shelf Life 2022, 34, 100933. [Google Scholar] [CrossRef]
- Yuan, D.; Hao, X.; Liu, G.; Yue, Y.; Duan, J. A Novel Composite Edible Film Fabricated by Incorporating W/O/W Emulsion into a Chitosan Film to Improve the Protection of Fresh Fish Meat. Food Chem. 2022, 385, 132647. [Google Scholar] [CrossRef] [PubMed]
- Kaveh, S.; Mahoonak, A.S.; Ghorbani, M.; Jafari, S.M. Fenugreek Seed (Trigonella foenum graecum) Protein Hydrolysate Loaded in Nanosized Liposomes: Characteristic, Storage Stability, Controlled Release and Retention of Antioxidant Activity. Ind. Crop. Prod. 2022, 182, 114908. [Google Scholar] [CrossRef]
- Imran, M.; Revol-Junelles, A.-M.; René, N.; Jamshidian, M.; Akhtar, M.J.; Arab-Tehrany, E.; Jacquot, M.; Desobry, S. Microstructure and Physico-Chemical Evaluation of Nano-Emulsion-Based Antimicrobial Peptides Embedded in Bioactive Packaging Films. Food Hydrocoll. 2012, 29, 407–419. [Google Scholar] [CrossRef]
- Cui, H.Y.; Wu, J.; Li, C.Z.; Lin, L. Anti-Listeria Effects of Chitosan-Coated Nisin-Silica Liposome on Cheddar Cheese. J. Dairy Sci. 2016, 99, 8598–8606. [Google Scholar] [CrossRef]
- Cui, H.; Yuan, L.; Lin, L. Novel Chitosan Film Embedded with Liposome-Encapsulated Phage for Biocontrol of Escherichia coli O157: H7 in Beef. Carbohydr. Polym. 2017, 177, 156–164. [Google Scholar] [CrossRef]
- Majid, I.; Nayik, G.A.; Dar, S.M.; Nanda, V. Novel Food Packaging Technologies: Innovations and Future Prospective. J. Saudi Soc. Agric. Sci. 2018, 17, 454–462. [Google Scholar] [CrossRef]
- Martín-Belloso, O.; Rojas-Graü, M.A.; Soliva-Fortuny, R. Delivery of Flavor and Active Ingredients Using Edible Films and Coatings. In Edible Films and Coatings for Food Applications; Springer: New York, NY, USA, 2009; pp. 295–313. [Google Scholar]
- Galus, S.; Arik Kibar, E.A.; Gniewosz, M.; Kraśniewska, K. Novel Materials in the Preparation of Edible Films and Coatings—A Review. Coatings 2020, 10, 674. [Google Scholar] [CrossRef]
- Wan, V.C.-H.; Lee, C.M.; Lee, S.-Y. Understanding Consumer Attitudes on Edible Films and Coatings: Focus Group Findings. J. Sens. Stud. 2007, 22, 353–366. [Google Scholar] [CrossRef]
- Malakar, A.; Kanel, S.R.; Ray, C.; Snow, D.D.; Nadagouda, M.N. Nanomaterials in the Environment, Human Exposure Pathway, and Health Effects: A Review. Sci. Total Environ. 2021, 759, 143470. [Google Scholar] [CrossRef] [PubMed]
- Vlachogianni, T.; Valavanidis, A. Nanomaterials: Environmental Pollution, Ecolological Risks and Adverse Health Effects. Nano Sci. Nano Technol. Indian J 2014, 8, 208–226. [Google Scholar]
- Bumbudsanpharoke, N.; Choi, J.; Ko, S. Applications of Nanomaterials in Food Packaging. J. Nanosci. Nanotechnol. 2015, 15, 6357–6372. [Google Scholar] [CrossRef] [PubMed]
- Bizymis, A.-P.; Tzia, C. Edible Films and Coatings: Properties for the Selection of the Components, Evolution through Composites and Nanomaterials, and Safety Issues. Crit. Rev. Food Sci. Nutr. 2022, 62, 8777–8792. [Google Scholar] [CrossRef]
- Food and Drug Administration. Guidance for industry: Assessing the effects of significant manufacturing process changes, including emerging technologies, on the safety and regulatory status of food ingredients and food contact substances, including food ingredients that are color additives. In Book Guidance for Industry: Assessing the Effects of Significant Manufacturing Process Changes, Including Emerging Technologies, on the Safety and Regulatory Status of Food Ingredients and Food Contact Substances, Including Food Ingredients that are Color Additives-Draft Guidance; FDA: Silver Spring, MD, USA, 2014. [Google Scholar]
- Committee, E.S.; Hardy, A.; Benford, D.; Halldorsson, T.; Jeger, M.J.; Knutsen, H.K.; More, S.; Naegeli, H.; Noteborn, H.; Ockleford, C. Guidance on Risk Assessment of the Application of Nanoscience and Nanotechnologies in the Food and Feed Chain: Part 1, Human and Animal Health. EFSA J. 2018, 16, e05327. [Google Scholar]
- Bouwmeester, H.; Brandhoff, P.; Marvin, H.J.P.; Weigel, S.; Peters, R.J.B. State of the Safety Assessment and Current Use of Nanomaterials in Food and Food Production. Trends Food Sci. Technol. 2014, 40, 200–210. [Google Scholar] [CrossRef]
- Paidari, S.; Tahergorabi, R.; Anari, E.S.; Nafchi, A.M.; Zamindar, N.; Goli, M. Migration of Various Nanoparticles into Food Samples: A Review. Foods 2021, 10, 2114. [Google Scholar] [CrossRef]





| Type of Biopolymer | Applied Bioactive Compound | Method of Application | Coated Product | Results | References |
|---|---|---|---|---|---|
| Citrus pectin (with an esterification degree of 53%) + fish skin gelatin | Hydroxytyrosol and 3,4 dihydroxyphenylglycol from olive oil by product | - | Beef meat |
| [58] |
| Pectin of watermelon peel | Polyphenols of watermelon peel | Covering | Chilled mutton |
| [59] |
| Citrus pectin | Green tea powder | Dipping | Pork patty |
| [60] |
| Pectin | Sodium lactate and sodium diacetate | Applying 300 µL of coating solution on each side of the salmon discs | Cold smoked salmon |
| [61] |
| High-methoxyl pectin | Thymus vulgaris and Thymbra spicata essential oils or extracts | Dipping | Sliced bolognas |
| [62] |
| Pectin | Oregano essential oil | Immersing | Large yellow croakerfillet |
| [63] |
| Sodium alginate + pectin | Cinnamic acid | Wrapping | Fresh beef loins |
| [64] |
| Pectin (with an esterification degree of 70%) + fish skin gelatin | Lemongrass essential oil | Wrapping | Chicken meat |
| [65] |
| Type of Biopolymer | Applied Bioactive Compound | Coated Product | Results | References |
|---|---|---|---|---|
| Sodium alginate | Sodium lactate and sodium diacetate | Cold-smoked salmon |
| [61] |
| Sodium alginate | Horsemint essential oil | Bighead carp (Aristichthys nobilis) fillets |
| [80] |
| Sodium alginate + chia gum | Protein hydrolysate of rainbow trout roe | Fresh meat |
| [81] |
| Sodium alginate | Propionic acid and thyme essential oils | Fresh chicken breast fillets |
| [82] |
| Sodium alginate + maltodextrin | Asparagus racemosus extract | Chevon sausages |
| [83] |
| Sodium alginate | Bacteriophage ϕIBB-PF7A | Chicken breast |
| [84] |
| Type of Biopolymer | Applied Bioactive Compound | Coated Product | Results | References |
|---|---|---|---|---|
| Chitosan with 75%–90% deacetylation + fish collagen from blue shark skin | - | Red porgy meat |
| [20] |
| Chitosan with >90% deacetylation | Gallic acid | Fresh lion pork |
| [93] |
| Chitosan with >90% deacetylation +gelatin | Nisin + grape seed extract | Fresh pork |
| [94] |
| Chitosan with 85% deacetylation | - | Silver carp |
| [95] |
| Chitosan | Grape seed extract + tea polyphenols | Red drum fillets |
| [96] |
| Chitosan with medium molecular weight | Zataria multiflora Boiss oil + sumac extract | Beef steaks |
| [97] |
| Chitosan with > 90% deacetylation +salmon fish bone gelatin | Gallic acid + clove oil | Fresh salmon fillet |
| [98] |
| Chitosan with molecular weight of 340 and 75–85% deacetylation | Grape seed extract + Origanum vulgare essential oil | Turkey breast meat |
| [99] |
| Type of Biopolymer | Coated Product | Applied Bioactive Compound | Results | References |
|---|---|---|---|---|
| Maize starch | Chicken breast fillets | Grape juice |
| [107] |
| Starch | Chicken meat | Torch ginger inflorescence essential oil |
| [108] |
| Chitosan–tapioca starch | Salmon slice | Potassium sorbate |
| [109] |
| Corn starch | Raw beef | Clove and cinnamon essential oils |
| [110] |
| Cassava-starch | Ground beef meat | Lemongrass essential oil |
| [111] |
| Cassava starch | Cooked ham | Chitosan and gallic acid |
| [112] |
| corn starch-chitosan | Fresh beef Slices | Pomegranate peel extract and Thymus kotschyanus essential oil |
| [113] |
| Cassava Starch/Gelatin | Sliced pork meat | Quercetin and TBHQ |
| [114] |
| Starch | Beef steaks | Oregano, clove leaf, and rosemary oils |
| [115] |
| Ginger starch | Ground beef | Coconut shell liquid smoke |
| [116] |
| Type of Biopolymer | Applied Bioactive Compound | Nano-emulsion Properties | Coated Product | Results | References |
|---|---|---|---|---|---|
| Pectin | Oregano essential oil and resveratrol |
Particle size of 53.09 nm PDI of 0.21 | Pork loin |
| [27] |
| Sodium caseinate | Ginger essential oil |
Particle size of 57.4 nm
PDI of 0.22 Zeta potential of −18.7 mV | Chicken breast fillet |
| [124] |
| Chitosan | Zataria Multiflora Boiss and Bunium persicum Boiss essential oils |
Particle size of 130.2 and 154.26 nm PDI of 0.28 and 0.24 | Turkey meat |
| [125] |
| Basil seed gum | Shirazi thyme and summer savory essential oils | - | Chicken fillets |
| [126] |
| Glucomannan/carrageenan | Camellia oil | - | Chicken meat |
| [127] |
| Alginate | Trachyspermum ammi essential oil |
Particle size of 73.5 nm PDI of 0.441 | Turkey fillets |
| [128] |
| Gelatin and chitosan | Rosemary extract and ε-poly-L-lysine | Particle size of 257 nm and 1122.44 nm for the nano-emulsion and a coarse emulsion, respectively Zeta potential of 32.50 and 26.25 mV for the nano-emulsion and a coarse emulsion, respectively | Ready-to-eatcarbonado chicken |
| [129] |
| Chicken bone gelatin-chitosan | Cinnamon essential oil and rosemary extract | Particle size of 183.60 nm and 1370.83 nm for the nano-emulsion and a coarse emulsion, respectively Zeta potential of 33.76 and 25.76 mV for the nano-emulsion and a coarse emulsion, respectively | Ready-to-eat chicken patties |
| [130] |
| Chitosan | Nisin and carvacrol | Particle size in the range of 1741–3893 nm, PDI in the range of 0.095–0.675, and zeta potential in the range of 47–54.77 at different concentrations of NaCl and polyglyceryl-6-dioleate | Salmon fillets |
| [131] |
Disclaimer/Publisher’s Note: The statements, opinions and data contained in all publications are solely those of the individual author(s) and contributor(s) and not of MDPI and/or the editor(s). MDPI and/or the editor(s) disclaim responsibility for any injury to people or property resulting from any ideas, methods, instructions or products referred to in the content. |
© 2023 by the authors. Licensee MDPI, Basel, Switzerland. This article is an open access article distributed under the terms and conditions of the Creative Commons Attribution (CC BY) license (https://creativecommons.org/licenses/by/4.0/).
Share and Cite
Hashemi, S.M.B.; Kaveh, S.; Abedi, E.; Phimolsiripol, Y. Polysaccharide-Based Edible Films/Coatings for the Preservation of Meat and Fish Products: Emphasis on Incorporation of Lipid-Based Nanosystems Loaded with Bioactive Compounds. Foods 2023, 12, 3268. https://doi.org/10.3390/foods12173268
Hashemi SMB, Kaveh S, Abedi E, Phimolsiripol Y. Polysaccharide-Based Edible Films/Coatings for the Preservation of Meat and Fish Products: Emphasis on Incorporation of Lipid-Based Nanosystems Loaded with Bioactive Compounds. Foods. 2023; 12(17):3268. https://doi.org/10.3390/foods12173268
Chicago/Turabian StyleHashemi, Seyed Mohammad Bagher, Shima Kaveh, Elahe Abedi, and Yuthana Phimolsiripol. 2023. "Polysaccharide-Based Edible Films/Coatings for the Preservation of Meat and Fish Products: Emphasis on Incorporation of Lipid-Based Nanosystems Loaded with Bioactive Compounds" Foods 12, no. 17: 3268. https://doi.org/10.3390/foods12173268
APA StyleHashemi, S. M. B., Kaveh, S., Abedi, E., & Phimolsiripol, Y. (2023). Polysaccharide-Based Edible Films/Coatings for the Preservation of Meat and Fish Products: Emphasis on Incorporation of Lipid-Based Nanosystems Loaded with Bioactive Compounds. Foods, 12(17), 3268. https://doi.org/10.3390/foods12173268

