Antioxidant Dietary Fiber Sourced from Agroindustrial Byproducts and Its Applications
Abstract
1. Introduction
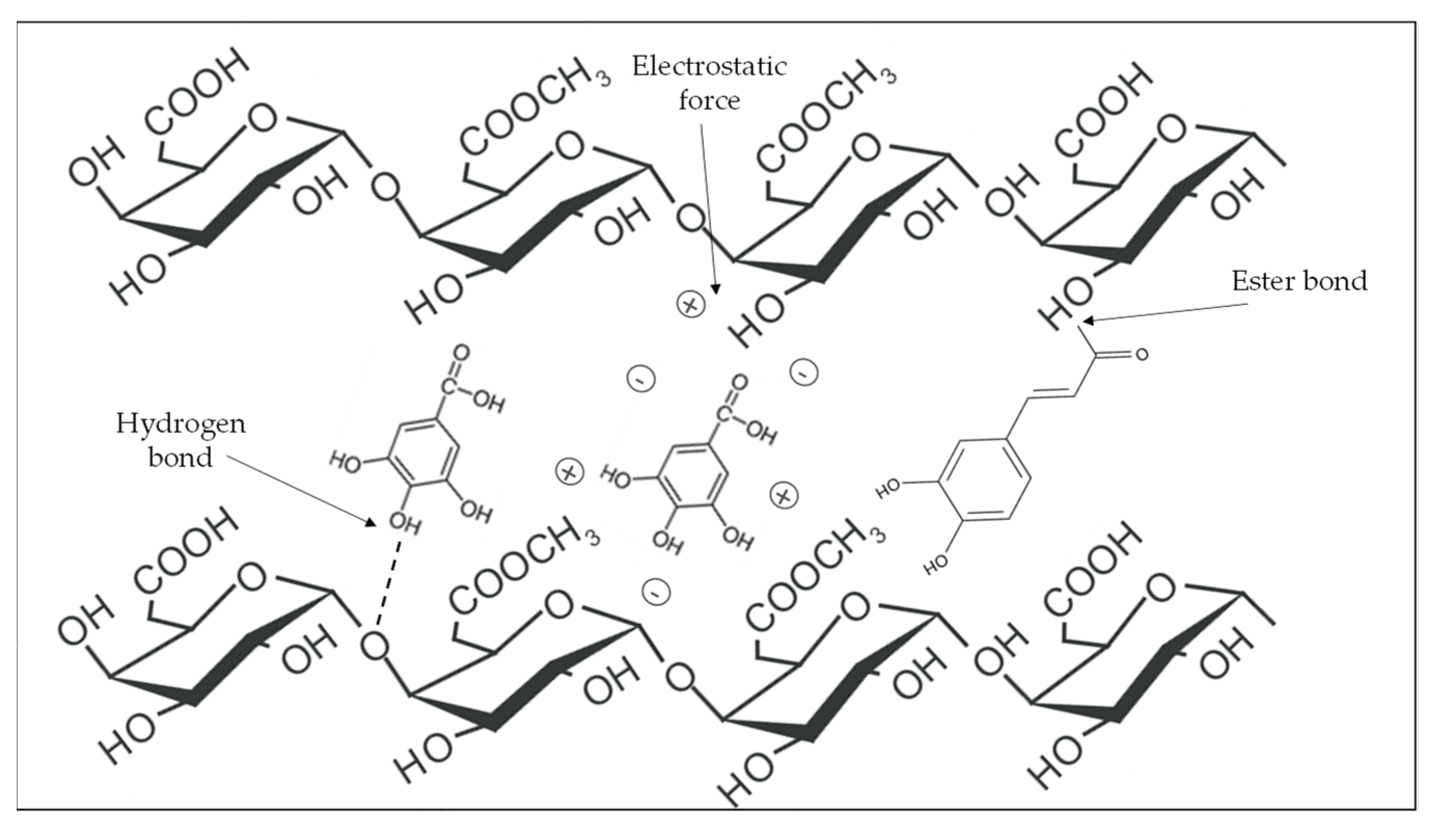
2. Antioxidant Dietary Fiber (ADF)
3. Phenolic Compounds Associated with Dietary Fiber
4. Byproducts as Sources of Antioxidant Dietary Fiber
4.1. Avocado
4.2. Mango
4.3. Papaya
4.4. Pineapple
4.5. Grape pomace
4.6. Carrot
5. Action Mechanisms
6. Benefits of Fiber Consumption
6.1. Pancreatic-Lipase-Inhibitory Effect
6.2. Prevention of Obesity and Cardiometabolic Diseases
6.3. Effect of Fiber on the Intestinal Microbiota
7. Antioxidant Dietary Fiber as a Food Additive and Natural Preservative
8. Conclusions
Author Contributions
Funding
Institutional Review Board Statement
Informed Consent Statement
Data Availability Statement
Acknowledgments
Conflicts of Interest
References
- Elleuch, M.; Bedigian, D.; Roiseux, O.; Besbes, S.; Blecker, C.; Attia, H. Dietary Fibre and Fibre-Rich by-Products of Food Processing: Characterisation, Technological Functionality and Commercial Applications: A Review. Food Chem. 2011, 124, 411–421. [Google Scholar] [CrossRef]
- Saavedra, J.; Córdova, A.; Navarro, R.; Díaz-Calderón, P.; Fuentealba, C.; Astudillo-Castro, C.; Toledo, L.; Enrione, J.; Galvez, L. Industrial Avocado Waste: Functional Compounds Preservation by Convective Drying Process. J. Food Eng. 2017, 198, 81–90. [Google Scholar] [CrossRef]
- Subiria-Cueto, R.; Coria-Oliveros, A.J.; Wall-Medrano, A.; Rodrigo-García, J.; Gonzalez-Aguilar, G.A.; Martinez-Ruiz, N.R.; Alvarez-Parrilla, E. Antioxidant Dietary Fiber-Based Bakery Products: A New Alternative for Using Plant-by-Products. Food Sci. Technol. 2021. [Google Scholar] [CrossRef]
- He, C.; Sampers, I.; Raes, K. Dietary Fiber Concentrates Recovered from Agro-Industrial by-Products: Functional Properties and Application as Physical Carriers for Probiotics. Food Hydrocoll. 2021, 111, 106175. [Google Scholar] [CrossRef]
- Ahmad, A.; Khalid, N. Dietary Fibers in Modern Food Production: A Special Perspective with β-Glucans; Elsevier Inc.: Amsterdam, The Netherlands, 2018; ISBN 9780128114490. [Google Scholar]
- Beres, C.; Simas-Tosin, F.F.; Cabezudo, I.; Freitas, S.P.; Iacomini, M.; Mellinger-Silva, C.; Cabral, L.M.C. Antioxidant Dietary Fibre Recovery from Brazilian Pinot Noir Grape Pomace. Food Chem. 2016, 201, 145–152. [Google Scholar] [CrossRef]
- Liu, S.; Jia, M.; Chen, J.; Wan, H.; Dong, R.; Nie, S.; Xie, M.; Yu, Q. Removal of Bound Polyphenols and Its Effect on Antioxidant and Prebiotics Properties of Carrot Dietary Fiber. Food Hydrocoll. 2019, 93, 284–292. [Google Scholar] [CrossRef]
- González-Aguilar, G.A.; Blancas-Benítez, F.J.; Sáyago-Ayerdi, S.G. Polyphenols Associated with Dietary Fibers in Plant Foods: Molecular Interactions and Bioaccessibility. Curr. Opin. Food Sci. 2017, 13, 84–88. [Google Scholar] [CrossRef]
- de Albuquerque, M.A.C.; Levit, R.; Beres, C.; Bedani, R.; de Moreno de LeBlanc, A.; Saad, S.M.I.; LeBlanc, J.G. Tropical Fruit By-Products Water Extracts of Tropical Fruit by-Products as Sources of Soluble Fibres and Phenolic Compounds with Potential Antioxidant, Anti-Inflammatory, and Functional Properties. J. Funct. Foods 2019, 52, 724–733. [Google Scholar] [CrossRef]
- Chau, C.F.; Huang, Y.L. Characterization of Passion Fruit Seed Fibres—A Potential Fibre Source. Food Chem. 2004, 85, 189–194. [Google Scholar] [CrossRef]
- Quirós-Sauceda, A.E.; Palafox-Carlos, H.; Sáyago-Ayerdi, S.G.; Ayala-Zavala, J.F.; Bello-Perez, L.A.; Álvarez-Parrilla, E.; de La Rosa, L.A.; González-Córdova, A.F.; González-Aguilar, G.A. Dietary Fiber and Phenolic Compounds as Functional Ingredients: Interaction and Possible Effect after Ingestion. Food Funct. 2014, 5, 1063–1072. [Google Scholar] [CrossRef]
- Saura-Calixto, F. Antioxidant Dietary Fiber Product: A New Concept and a Potential Food Ingredient. J. Agric. Food Chem. 1998, 46, 4303–4306. [Google Scholar] [CrossRef]
- Quirós Sauceda, A.E.; Palafox, H.; Robles Sánchez, R.M.; González Aguilar, G.A. Interacción de Compuestos Fenólicos y Fibra Dietaria: Capacidad Antioxidante y Biodisponibilidad. Biotecnia 2011, 13, 3. [Google Scholar] [CrossRef]
- Meini, M.R.; Cabezudo, I.; Boschetti, C.E.; Romanini, D. Recovery of Phenolic Antioxidants from Syrah Grape Pomace through the Optimization of an Enzymatic Extraction Process. Food Chem. 2019, 283, 257–264. [Google Scholar] [CrossRef]
- Viuda-Martos, M.; Ruiz-Navajas, Y.; Fernández-López, J.; Sendra, E.; Sayas-Barberá, E.; Pérez-Álvarez, J.A. Antioxidant Properties of Pomegranate (Punica Granatum L.) Bagasses Obtained as Co-Product in the Juice Extraction. Food Res. Int. 2011, 44, 1217–1223. [Google Scholar] [CrossRef]
- Martínez, R.; Torres, P.; Meneses, M.A.; Figueroa, J.G.; Pérez-Álvarez, J.A.; Viuda-Martos, M. Chemical, Technological and in Vitro Antioxidant Properties of Mango, Guava, Pineapple and Passion Fruit Dietary Fibre Concentrate. Food Chem. 2012, 135, 1520–1526. [Google Scholar] [CrossRef]
- Araújo, R.G.; Rodriguez-Jasso, R.M.; Ruiz, H.A.; Pintado, M.M.E.; Aguilar, C.N. Avocado By-Products: Nutritional and Functional Properties. Trends Food Sci. Technol. 2018, 80, 51–60. [Google Scholar] [CrossRef]
- Jimenez, P.; Garcia, P.; Quitral, V.; Vasquez, K.; Parra-Ruiz, C.; Reyes-Farias, M.; Garcia-Diaz, D.F.; Robert, P.; Encina, C.; Soto-Covasich, J. Pulp, Leaf, Peel and Seed of Avocado Fruit: A Review of Bioactive Compounds and Healthy Benefits. Food Rev. Int. 2021, 37, 619–655. [Google Scholar] [CrossRef]
- Salazar-López, N.J.; Domínguez-Avila, J.A.; Elhadi, M.; Belmonte-Herrera, B.H.; Wall-Medrano, A. Avocado Fruit and By-Products as Potential Sources of Bioactive Compounds. Food Res. Int. 2020, 138, 109774. [Google Scholar] [CrossRef]
- Vinha, A.F.; Moreira, J.; Barreira, S.V.P. Physicochemical Parameters, Phytochemical Composition and Antioxidant Activity of the Algarvian Avocado (Persea Americana Mill.). J. Agric. Sci. 2013, 5, 100–109. [Google Scholar] [CrossRef]
- Pahua-Ramos, M.E.; Ortiz-Moreno, A.; Chamorro-Cevallos, G.; Hernández-Navarro, M.D.; Garduño-Siciliano, L.; Necoechea-Mondragón, H.; Hernández-Ortega, M. Hypolipidemic Effect of Avocado (Persea Americana Mill) Seed in a Hypercholesterolemic Mouse Model. Plant Foods Hum. Nutr. 2012, 67, 10–16. [Google Scholar] [CrossRef]
- Nieto Calvache, J.; Cueto, M.; Farroni, A.; de Escalada Pla, M.; Gerschenson, L.N. Antioxidant Characterization of New Dietary Fiber Concentrates from Papaya Pulp and Peel (Carica Papaya L.). J. Funct. Foods 2016, 27, 319–328. [Google Scholar] [CrossRef]
- Meena, L.; Neog, R.; Yashini, M.; Sunil, C.K. Pineapple Pomace Powder (Freeze-Dried): Effect on the Texture and Rheological Properties of Set-Type Yogurt. Food Chem. Adv. 2022, 1, 100101. [Google Scholar] [CrossRef]
- de Oliveira, A.C.; Valentim, I.B.; Silva, C.A.; Bechara, E.J.H.; de Barros, M.P.; Mano, C.M.; Goulart, M.O.F. Total Phenolic Content and Free Radical Scavenging Activities of Methanolic Extract Powders of Tropical Fruit Residues. Food Chem. 2009, 115, 469–475. [Google Scholar] [CrossRef]
- Banerjee, S.; Ranganathan, V.; Patti, A.; Arora, A. Valorization of Pineapple Wastes for Food and Therapeutic Applications. Trends Food Sci. Technol. 2018, 82, 60–70. [Google Scholar] [CrossRef]
- Verma, A.K.; Rajkumar, V.; Banerjee, R.; Biswas, S.; Das, A.K. Guava (Psidium guajava L.) Powder as an Antioxidant Dietary Fibre in Sheep Meat Nuggets. Asian-Australas. J. Anim. Sci. 2013, 26, 886–895. [Google Scholar] [CrossRef]
- de Oliveira, S.D.; Araújo, C.M.; Borges, G.d.S.C.; Lima, M.d.S.; Viera, V.B.; Garcia, E.F.; de Souza, E.L.; de Oliveira, M.E.G. Improvement in Physicochemical Characteristics, Bioactive Compounds and Antioxidant Activity of Acerola (Malpighia Emarginata D.C.) and Guava (Psidium Guajava L.) Fruit by-Products Fermented with Potentially Probiotic Lactobacilli. LWT 2020, 134, 110200. [Google Scholar] [CrossRef]
- Jiménez-Escrig, A.; Rincón, M.; Pulido, R.; Saura-Calixto, F. Guava Fruit (Psidium Guajava L.) as a New Source of Antioxidant Dietary Fiber. J. Agric. Food Chem. 2001, 49, 5489–5493. [Google Scholar] [CrossRef]
- Fernández-López, J.; Sendra-Nadal, E.; Navarro, C.; Sayas, E.; Viuda-Martos, M.; Alvarez, J.A.P. Storage Stability of a High Dietary Fibre Powder from Orange By-Products. Int. J. Food Sci. Technol. 2009, 44, 748–756. [Google Scholar] [CrossRef]
- Lagha-Benamrouche, S.; Madani, K. Phenolic Contents and Antioxidant Activity of Orange Varieties (Citrus Sinensis L. and Citrus Aurantium L.) Cultivated in Algeria: Peels and Leaves. Ind. Crops Prod. 2013, 50, 723–730. [Google Scholar] [CrossRef]
- Xue, P.; Liao, W.; Chen, Y.; Xie, J.; Chang, X.; Peng, G.; Huang, Q.; Wang, Y.; Sun, N.; Yu, Q. Release Characteristic and Mechanism of Bound Polyphenols from Insoluble Dietary Fiber of Navel Orange Peel via Mixed Solid-State Fermentation with Trichoderma Reesei and Aspergillus Niger. LWT 2022, 161, 113387. [Google Scholar] [CrossRef]
- Peschel, W.; Sánchez-Rabaneda, F.; Diekmann, W.; Plescher, A.; Gartzía, I.; Jiménez, D.; Lamuela-Raventós, R.; Buxaderas, S.; Codina, C. An Industrial Approach in the Search of Natural Antioxidants from Vegetable and Fruit Wastes. Food Chem. 2006, 97, 137–150. [Google Scholar] [CrossRef]
- McKee, L.H.; Latner, T.A. Underutilized Sources of Dietary Fiber: A Review. Plant Foods Hum. Nutr. 2000, 55, 285–304. [Google Scholar] [CrossRef] [PubMed]
- Fernández-López, J.; Fernández-Ginés, J.M.; Aleson-Carbonell, L.; Sendra, E.; Sayas-Barberá, E.; Pérez-Alvarez, J.A. Application of Functional Citrus By-Products to Meat Products. Trends Food Sci. Technol. 2004, 15, 176–185. [Google Scholar] [CrossRef]
- Chantaro, P.; Devahastin, S.; Chiewchan, N. Production of Antioxidant High Dietary Fiber Powder from Carrot Peels. LWT—Food Sci. Technol. 2008, 41, 1987–1994. [Google Scholar] [CrossRef]
- Aparecida Damasceno, K.; Alvarenga Gonçalves, C.A.; dos Santos Pereira, G.; Lacerda Costa, L.; Bastianello Campagnol, P.C.; Leal De Almeida, P.; Arantes-Pereira, L. Development of Cereal Bars Containing Pineapple Peel Flour (Ananas Comosus L. Merril). J. Food Qual. 2016, 39, 417–424. [Google Scholar] [CrossRef]
- Larrauri, J.A. New Approaches in the Preparation of High Dietary Fibre Powders from Fruit By-Products. Trends Food Sci. Technol. 1999, 10, 3–8. [Google Scholar] [CrossRef]
- Ismail, A.; Marjan, Z.M.; Foong, C.W. Total Antioxidant Activity and Phenolic Content in Selected Vegetables. Food Chem. 2004, 87, 581–586. [Google Scholar] [CrossRef]
- Barbosa-Martín, E.; Chel-Guerrero, L.; González-Mondragón, E.; Betancur-Ancona, D. Chemical and Technological Properties of Avocado (Persea Americana Mill.) Seed Fibrous Residues. Food Bioprod. Process. 2016, 100, 457–463. [Google Scholar] [CrossRef]
- Padilla-Camberos, E.; Martínez-Velázquez, M.; Flores-Fernández, J.M.; Villanueva-Rodríguez, S. Acute Toxicity and Genotoxic Activity of Avocado Seed Extract (Persea Americana Mill., c.v. Hass). Sci. World J. 2013, 2013, 245828. [Google Scholar] [CrossRef]
- Rodríguez-Carpena, J.G.; Morcuende, D.; Andrade, M.J.; Kylli, P.; Estevez, M. Avocado (Persea Americana Mill.) Phenolics, in Vitro Antioxidant and Antimicrobial Activities, and Inhibition of Lipid and Protein Oxidation in Porcine Patties. J. Agric. Food Chem. 2011, 59, 5625–5635. [Google Scholar] [CrossRef]
- Ajila, C.M.; Jaganmohan Rao, L.; Prasada Rao, U.J.S. Characterization of Bioactive Compounds from Raw and Ripe Mangifera Indica L. Peel Extracts. Food Chem. Toxicol. 2010, 48, 3406–3411. [Google Scholar] [CrossRef] [PubMed]
- Ajila, C.M.; Aalami, M.; Leelavathi, K.; Rao, U.J.S.P. Mango Peel Powder: A Potential Source of Antioxidant and Dietary Fiber in Macaroni Preparations. Innov. Food Sci. Emerg. Technol. 2010, 11, 219–224. [Google Scholar] [CrossRef]
- Ajila, C.M.; Prasada Rao, U.J.S. Mango Peel Dietary Fibre: Composition and Associated Bound Phenolics. J. Funct. Foods 2013, 5, 444–450. [Google Scholar] [CrossRef]
- Patiño-Rodríguez, O.; Bello-Pérez, L.A.; Agama-Acevedo, E.; Pacheco-Vargas, G. Pulp and Peel of Unripe Stenospermocarpic Mango (Mangifera Indica L. Cv Ataulfo) as an Alternative Source of Starch, Polyphenols and Dietary Fibre. Food Res. Int. 2020, 138, 109719. [Google Scholar] [CrossRef]
- Puligundla, P.; Obulam, V.S.R.; Oh, S.E.; Mok, C. Biotechnological Potentialities and Valorization of Mango Peel Waste: A Review. Sains Malays 2014, 43, 1901–1906. [Google Scholar] [CrossRef]
- Arora, A.; Banerjee, J.; Vijayaraghavan, R.; MacFarlane, D.; Patti, A.F. Process Design and Techno-Economic Analysis of an Integrated Mango Processing Waste Biorefinery. Ind. Crops Prod. 2018, 116, 24–34. [Google Scholar] [CrossRef]
- Saba, S. The Potential Health Benefits of Papaya Seeds. Int. J. Res. Appl. Sci. Eng. Technol. 2022, 10, 44–50. [Google Scholar] [CrossRef]
- Sharma, A.; Bachheti, A.; Sharma, P.; Bachheti, R.K.; Husen, A. Phytochemistry, Pharmacological Activities, Nanoparticle Fabrication, Commercial Products and Waste Utilization of Carica Papaya L.: A Comprehensive Review. Curr. Res. Biotechnol. 2020, 2, 145–160. [Google Scholar] [CrossRef]
- Campos, D.A.; Coscueta, E.R.; Vilas-Boas, A.A.; Silva, S.; Teixeira, J.A.; Pastrana, L.M.; Pintado, M.M. Impact of Functional Flours from Pineapple By-Products on Human Intestinal Microbiota. J. Funct. Foods 2020, 67, 103830. [Google Scholar] [CrossRef]
- Li, T.; Shen, P.; Liu, W.; Liu, C.; Liang, R.; Yan, N.; Chen, J. Major Polyphenolics in Pineapple Peels and Their Antioxidant Interactions. Int. J. Food Prop. 2014, 17, 1805–1817. [Google Scholar] [CrossRef]
- Beres, C.; Freitas, S.P.; Godoy, R.L.d.O.; de Oliveira, D.C.R.; Deliza, R.; Iacomini, M.; Mellinger-Silva, C.; Cabral, L.M.C. Antioxidant Dietary Fibre from Grape Pomace Flour or Extract: Does It Make Any Difference on the Nutritional and Functional Value? J. Funct. Foods 2019, 56, 276–285. [Google Scholar] [CrossRef]
- Soto, M.; Falqué, E.; Domínguez, H. Relevance of Natural Phenolics from Grape and Derivative Products in the Formulation of Cosmetics. Cosmetics 2015, 2, 259–276. [Google Scholar] [CrossRef]
- Chau, C.F.; Chen, C.H.; Lee, M.H. Comparison of the Characteristics, Functional Properties, and in Vitro Hypoglycemic Effects of Various Carrot Insoluble Fiber-Rich Fractions. LWT—Food Sci. Technol. 2004, 37, 155–160. [Google Scholar] [CrossRef]
- Mayer-Miebach, E.; Behsnilian, D.; Regier, M.; Schuchmann, H.P. Thermal Processing of Carrots: Lycopene Stability and Isomerisation with Regard to Antioxidant Potential. Food Res. Int. 2005, 38, 1103–1108. [Google Scholar] [CrossRef]
- Serrano, J.; Puupponen-Pimiä, R.; Dauer, A.; Aura, A.M.; Saura-Calixto, F. Tannins: Current Knowledge of Food Sources, Intake, Bioavailability and Biological Effects. Mol. Nutr. Food Res. 2009, 53, S310–S329. [Google Scholar] [CrossRef] [PubMed]
- Saura-Calixto, F.; Pérez-Jiménez, J.; Goñi, I. Contribution of Cereals to Dietary Fibre and Antioxidant Intakes: Toward More Reliable Methodology. J. Cereal Sci. 2009, 50, 291–294. [Google Scholar] [CrossRef]
- Bohn, T. Dietary Factors Affecting Polyphenol Bioavailability. Nutr. Rev. 2014, 72, 429–452. [Google Scholar] [CrossRef]
- Amaya-Cruz, D.M.; Rodríguez-González, S.; Pérez-Ramírez, I.F.; Loarca-Piña, G.; Amaya-Llano, S.; Gallegos-Corona, M.A.; Reynoso-Camacho, R. Juice By-Products as a Source of Dietary Fibre and Antioxidants and Their Effect on Hepatic Steatosis. J. Funct. Foods 2015, 17, 93–102. [Google Scholar] [CrossRef]
- Peerajit, P.; Chiewchan, N.; Devahastin, S. Effects of Pretreatment Methods on Health-Related Functional Properties of High Dietary Fibre Powder from Lime Residues. Food Chem. 2012, 132, 1891–1898. [Google Scholar] [CrossRef]
- Shah, B.R.; Li, B.; al Sabbah, H.; Xu, W.; Mráz, J. Effects of Prebiotic Dietary Fibers and Probiotics on Human Health: With Special Focus on Recent Advancement in Their Encapsulated Formulations. Trends Food Sci. Technol. 2020, 102, 178–192. [Google Scholar] [CrossRef]
- Das, A.K.; Nanda, P.K.; Madane, P.; Biswas, S.; Das, A.; Zhang, W.; Lorenzo, J.M. A Comprehensive Review on Antioxidant Dietary Fibre Enriched Meat-Based Functional Foods. Trends Food Sci. Technol. 2020, 99, 323–336. [Google Scholar] [CrossRef]
- Grasso, S. Extruded Snacks from Industrial By-Products: A Review. Trends Food Sci. Technol. 2020, 99, 284–294. [Google Scholar] [CrossRef]
- Yu, B.; Tang, Q.; Fu, C.; Regenstein, J.; Huang, J.; Wang, L. Effects of Different Particle-Sized Insoluble Dietary Fibre from Citrus Peel on Adsorption and Activity Inhibition of Pancreatic Lipase. Food Chem. 2023, 398, 133834. [Google Scholar] [CrossRef] [PubMed]
- Sharma, P.; Bhandari, C.; Kumar, S.; Sharma, B.; Bhadwal, P.; Agnihotri, N. Dietary Fibers: A Way to a Healthy Microbiome. In Diet, Microbiome and Health; Elsevier: Amsterdam, The Netherlands, 2018; pp. 299–345. [Google Scholar]
- Prasad, K.N.; Bondy, S.C. Dietary Fibers and Their Fermented Short-Chain Fatty Acids in Prevention of Human Diseases. Bioact. Carbohydr. Diet. Fibre 2019, 17, 100170. [Google Scholar] [CrossRef]
- Rosamond, W.D.; Hill, C.; Carolina, N. Dietary Fiber and Prevention of Cardiovascular Disease; Progessive MD: Los Angeles, CA, USA, 2002. [Google Scholar]
- Mah, E.; Liska, D.A.J.; Goltz, S.; Chu, Y.F. The Effect of Extracted and Isolated Fibers on Appetite and Energy Intake: A Comprehensive Review of Human Intervention Studies. Appetite 2023, 180, 106340. [Google Scholar] [CrossRef]
- Dahal, C.; Wawro, N.; Meisinger, C.; Brandl, B.; Skurk, T.; Volkert, D.; Hauner, H.; Linseisen, J. Evaluation of the Metabotype Concept after Intervention with Oral Glucose Tolerance Test and Dietary Fiber-Enriched Food: An Enable Study. Nutr. Metab. Cardiovasc. Dis. 2022, 32, 2399–2409. [Google Scholar] [CrossRef] [PubMed]
- van Horn, L.; McCoin, M.; Kris-Etherton, P.M.; Burke, F.; Carson, J.A.S.; Champagne, C.M.; Karmally, W.; Sikand, G. The Evidence for Dietary Prevention and Treatment of Cardiovascular Disease. J. Am. Diet. Assoc. 2008, 108, 287–331. [Google Scholar] [CrossRef]
- Kromhout, D.; Bosschieter, E.B.; de Lezenne Coulander, C. Dietary fibre and 10-year mortality from coronary heart disease, cancer, and all causes. Lancet 1982, 320, 518–522. [Google Scholar] [CrossRef]
- Brown, L.; Rosner, B.; Willett, W.W.; Sacks, F.M. Cholesterol-Lowering Effects of Dietary Fiber: A Meta-Analysis. Am. J. Clin. Nutr. 1999, 69, 30–42. [Google Scholar] [CrossRef]
- Kris-Etherton, P.M.; Krummel, D.; Russell, M.E.; Dreon, D.; Mackey, S.; Borchers, J.; Wood, P.D. The Effect of Diet on Plasma Lipids, Lipoproteins, and Coronary Heart Disease. J. Am. Diet. Assoc. 1988, 88, 1373–1400. [Google Scholar] [CrossRef]
- Rezende, E.S.V.; Lima, G.C.; Naves, M.M.V. Dietary Fibers as Beneficial Microbiota Modulators: A Proposed Classification by Prebiotic Categories. Nutrition 2021, 89, 111217. [Google Scholar] [CrossRef] [PubMed]
- Lordan, C.; Thapa, D.; Ross, R.P.; Cotter, P.D. Potential for Enriching Next-Generation Health-Promoting Gut Bacteria through Prebiotics and Other Dietary Components. Gut Microbes 2020, 11, 1–20. [Google Scholar] [CrossRef] [PubMed]
- Martinez-Saez, N.; García, A.T.; Pérez, I.D.; Rebollo-Hernanz, M.; Mesías, M.; Morales, F.J.; Martín-Cabrejas, M.A.; del Castillo, M.D. Use of Spent Coffee Grounds as Food Ingredient in Bakery Products. Food Chem. 2017, 216, 114–122. [Google Scholar] [CrossRef] [PubMed]
- Montalvo-González, E.; Aguilar-Hernández, G.; Hernández-Cázares, A.S.; Ruiz-López, I.I.; Pérez-Silva, A.; Hernández-Torres, J.; Vivar-Vera, M.d.l.Á. Production, Chemical, Physical and Technological Properties of Antioxidant Dietary Fiber from Pineapple Pomace and Effect as Ingredient in Sausages. CYTA—J. Food 2018, 16, 831–839. [Google Scholar] [CrossRef]
- Prakongpan, T.; Nitithamyong, A.; Luangpituksa, P. Extraction and Application of Dietary Fiber and Cellulose from Pineapple Cores. J. Food Sci. 2002, 67, 1308–1313. [Google Scholar] [CrossRef]
- Jose, M.; Himashree, P.; Sengar, A.S.; Sunil, C.K. Valorization of Food Industry By-Product (Pineapple Pomace): A Study to Evaluate Its Effect on Physicochemical and Textural Properties of Developed Cookies. Meas. Food 2022, 6, 100031. [Google Scholar] [CrossRef]
- Pinho, L.X.; Afonso, M.R.A.; Carioca, J.O.B.; Costa, J.M.C.d.; Ramos, A.M. The Use of Cashew Apple Residue as Source of Fiber in Low Fat Hamburgers. Ciência E Tecnol. De Aliment. 2011, 31, 941–945. [Google Scholar] [CrossRef][Green Version]
- Trujillo-Mayol, I.; Sobral, M.M.C.; Viegas, O.; Cunha, S.C.; Alarcón-Enos, J.; Pinho, O.; Ferreira, I.M. Incorporation of Avocado Peel Extract to Reduce Cooking-Induced Hazards in Beef and Soy Burgers: A Clean Label Ingredient. Food Res. Int. 2021, 147, 110434. [Google Scholar] [CrossRef]
- Sáyago-Ayerdi, S.G.; Brenes, A.; Goñi, I. Effect of Grape Antioxidant Dietary Fiber on the Lipid Oxidation of Raw and Cooked Chicken Hamburgers. LWT—Food Sci. Technol. 2009, 42, 971–976. [Google Scholar] [CrossRef]
- Sánchez-Alonso, I.; Jiménez-Escrig, A.; Saura-Calixto, F.; Borderías, A.J. Effect of Grape Antioxidant Dietary Fibre on the Prevention of Lipid Oxidation in Minced Fish: Evaluation by Different Methodologies. Food Chem. 2007, 101, 372–378. [Google Scholar] [CrossRef]
- Abdeldaiem, M.H.; Hoda, G.M. Use of Irradiated Mango (Mangifera Indica) Peels Powder as Potential Source of Dietary Fiber and Antioxidant in Beef Burger. J. Appl. Sci. Res. 2012, 8, 3677–3687. [Google Scholar]
- Ray, B.; Arun, B. Fundamental Food Microbiology, Fifth Edition. Available online: https://books.google.it/books?id=NXr6AQAAQBAJ&printsec=frontcover&redir_esc=y#v=onepage&q&f=false (accessed on 24 October 2022).
- Carolina Valenzuela, V.; Patricio Pérez, M. Actualización en el uso de antioxidantes naturales derivados de frutas y verduras para prolongar la vida útil de la carne y productos cárneos. Rev. Chil. Nutr. 2016, 43. [Google Scholar] [CrossRef]
- Sáyago-Ayerdi, S.G.; Goñi, I. Hibiscus Sabdariffa L: Fuente de Fibra Antioxidante. Arch. Latinoam. Nutr. 2010, 60, 79–84. [Google Scholar] [PubMed]
- Jiménez-Colmenero, F.; Delgado-Pando, G. Fibre-Enriched Meat Products. In Fibre-Rich and Wholegrain Foods; Elsevier: Amsterdam, The Netherlands, 2013; pp. 329–347. [Google Scholar]
- Serrano, R.; Bañón, S. Reducing SO 2 in Fresh Pork Burgers by Adding Chitosan. Meat Sci. 2012, 92, 651–658. [Google Scholar] [CrossRef] [PubMed]
- Bañón, S.; Díaz, P.; Rodríguez, M.; Garrido, M.D.; Price, A. Ascorbate, Green Tea and Grape Seed Extracts Increase the Shelf Life of Low Sulphite Beef Patties. Meat Sci. 2007, 77, 626–633. [Google Scholar] [CrossRef]
- Dineen, N.; Kerry, J.P.; Buckley, D.J.; Morrissey, P.A.; Arendt, E.K.; Lynch, P.B. Effect of Dietary α-Tocopheryl Acetate Supplementation on the Shelf-Life Stability of Reduced Nitrite Cooked Ham Products. Int. J. Food Sci. Technol. 2001, 36, 631–639. [Google Scholar] [CrossRef]



| Source | Total Dietary Fiber (g/100 g) | Total Phenol Content (TPC) (mg GAE/g) 1 | Reference |
|---|---|---|---|
| Avocado | Pulp (1.4–3); (4.10) Leaf Peel (1.29–54.63) Seed (2.19–4.24) | Pulp (0.61 to 16.81); (0.94–32.67); (4.10) Leaf (17 to 43.82) Peel (1.81 to 227.90); (1.58–172.18); (4.3–172.2); (6.79) Seed (1.55 to 292); (0.94–924.64); (5.7–88.2); (292); (7.04) | [17,18,19,20,21] |
| Mango | DFC 2 (70) | DFC (546) *; (283) ** | [16] |
| Papaya | Pulp DFC (59.8) Peel DFC (53.8) | Pulp DFC (0.47) Peel DFC (0.99) | [22] |
| Pineapple | DFC (75.8); (51) | DFC (129); (1.49); (9.1); (2.6–51.1) | [16,23,24,25] |
| Guava | DFC (69.1); (43.21) | DFC (39) **; (2.43); (44.04) Peel (77.9) Pulp (26.2) | [16,26,27,28] |
| Orange | Peel (71.62); (69) | Peel (40.67); (9.61–31.62) Leaf (12.54–44.41) NOP-IDF 3 (1.47–6.982) BP (0.84–6.98) | [29,30,31] |
| Passionfruit | Seed DFC (81.5); (85.9) | 41.2 | [10,16,24] |
| Source | ABTS (µmol TE/g) | FRAP (µmol TE/g) | DPPH (µmol TE/g) | Reference |
|---|---|---|---|---|
| Avocado | Peel (112–791.5) Seed (91–725); (173.3) | Peel (23100) Seed (9500) | Peel (38–310) Seed (128.3–410.7) | [17,21] |
| Papaya | Pulp (10.2) Peel (25) | Pulp (12) Peel (54.86) | [22] | |
| Guava | (4.7) | (10.96) Peel (392) Pulp (233) | [27,28] | |
| Orange | BP (960–4100) | BP (12.96–30.97) | [31] |
| Byproduct | Product | Added As | Effect | Reference |
|---|---|---|---|---|
| Pineapple pomace powder (PPD) | Yogurt |
|
| [23] |
| Vienna-type sausages | Chemical, physical, and technological properties were determined to select one pineapple and to evaluate the effect of its mixture with meats on characteristics of Vienna-type sausages |
| [77] | |
| Donuts, meat patties, and golden layer cakes | Functional ingredient for bakery and meat products |
| [78] | |
| Cookies Particle sizes 400–251 µm, 250–150 µm, and ≤149 µm) and concentrations 5, 10, and 15% into refined wheat flour | Nutritional and functional properties of PPD were evaluated and the effect of PPD incorporation on dough and cookie quality was determined |
| [79] | |
| Cashew apple residue | Low-fat hamburgers |
|
| [80] |
| Avocado peel extract (APE) | Beef and soy burgers |
|
| [81] |
| Red grape pomace | Chicken Hamburger (raw and cooked) |
|
| [82] |
| Grape antioxidant dietary fiber (GADF) | Minced fish muscle (MFM) |
|
| [83] |
Wine grape pomace.
| Breads, muffins, and brownies |
|
| [6] |
| Mango peel | Beef burger |
|
| [84] |
Disclaimer/Publisher’s Note: The statements, opinions and data contained in all publications are solely those of the individual author(s) and contributor(s) and not of MDPI and/or the editor(s). MDPI and/or the editor(s) disclaim responsibility for any injury to people or property resulting from any ideas, methods, instructions or products referred to in the content. |
© 2022 by the authors. Licensee MDPI, Basel, Switzerland. This article is an open access article distributed under the terms and conditions of the Creative Commons Attribution (CC BY) license (https://creativecommons.org/licenses/by/4.0/).
Share and Cite
Angulo-López, J.E.; Flores-Gallegos, A.C.; Ascacio-Valdes, J.A.; Contreras Esquivel, J.C.; Torres-León, C.; Rúelas-Chácon, X.; Aguilar, C.N. Antioxidant Dietary Fiber Sourced from Agroindustrial Byproducts and Its Applications. Foods 2023, 12, 159. https://doi.org/10.3390/foods12010159
Angulo-López JE, Flores-Gallegos AC, Ascacio-Valdes JA, Contreras Esquivel JC, Torres-León C, Rúelas-Chácon X, Aguilar CN. Antioxidant Dietary Fiber Sourced from Agroindustrial Byproducts and Its Applications. Foods. 2023; 12(1):159. https://doi.org/10.3390/foods12010159
Chicago/Turabian StyleAngulo-López, Jorge E., Adriana C. Flores-Gallegos, Juan A. Ascacio-Valdes, Juan C. Contreras Esquivel, Cristian Torres-León, Xochitl Rúelas-Chácon, and Cristóbal N. Aguilar. 2023. "Antioxidant Dietary Fiber Sourced from Agroindustrial Byproducts and Its Applications" Foods 12, no. 1: 159. https://doi.org/10.3390/foods12010159
APA StyleAngulo-López, J. E., Flores-Gallegos, A. C., Ascacio-Valdes, J. A., Contreras Esquivel, J. C., Torres-León, C., Rúelas-Chácon, X., & Aguilar, C. N. (2023). Antioxidant Dietary Fiber Sourced from Agroindustrial Byproducts and Its Applications. Foods, 12(1), 159. https://doi.org/10.3390/foods12010159

