Maintaining Physicochemical, Microbiological, and Sensory Quality of Pineapple Juice (Ananas comosus, Var. ‘Queen Victoria’) through Mild Heat Treatment
Abstract
1. Introduction
2. Materials and Methods
2.1. Sampling
2.2. Untreated Juice Processing and Sampling
2.3. Pasteurized Juice Processing and Sampling
2.4. Microbiological Analyses
2.5. Physicochemical Parameters
2.6. Sensory Quality Characteristics
2.7. Statistical Analysis
3. Results and Discussion
3.1. Freshly Prepared Juice Pineapple Characteristics
3.2. Physicochemical Characteristics of Untreated Pineapple Juice over Refrigerated Shelf Life
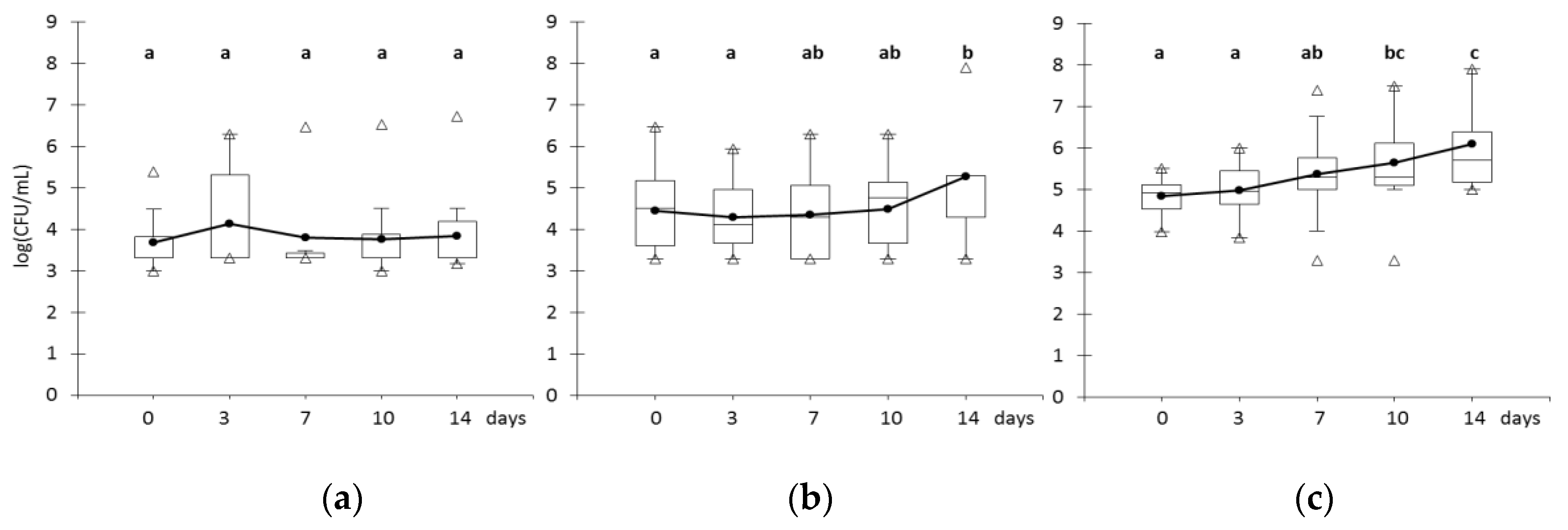
3.3. Increase of Microbiological Counts of Untreated Pineapple Juice over Refrigerated Shelf Life
3.4. Sensory Quality of Untreated Pineapple Juice during Refrigerated Storage
3.5. Impact of Mild Heat Treatment on Pineapple Juice Quality
4. Conclusions
Supplementary Materials
Author Contributions
Funding
Acknowledgments
Conflicts of Interest
References
- Septembre-Malaterre, A.; Remize, F.; Poucheret, P. Fruits and vegetables, as a source of nutritional compounds and phytochemicals: Changes in bioactive compounds during lactic fermentation. Food Res. Int. 2018, 104, 86–99. [Google Scholar] [CrossRef] [PubMed]
- Sun, G.-M.; Zhang, X.-M.; Soler, A.; Marie-Alphonsine, P. Nutritional composition of pineapple (Ananas comosus (L.) Merr.). In Nutritional Composition of Fruit Cultivars; Simmonds, M., Preedy, V., Eds.; Elsevier: Amsterdam, The Netherlands, 2016; pp. 609–637. ISBN 978-0-12-408117-8. [Google Scholar]
- Dorey, E.; Fournier, P.; Léchaudel, M.; Tixier, P. Modeling sugar content of pineapple under agro-climatic conditions on Reunion Island. Eur. J. Agron. 2015, 73, 64–72. [Google Scholar] [CrossRef]
- Sanewski, G.M.; Bartholomew, D.P.; Paull, R.E. The Pineapple, 2nd Edition: Botany, Production and Uses; CABI: Wallingford, UK, 2018; ISBN 978-1-78639-330-2. [Google Scholar]
- Upadhyay, A.; Lama, J.P.; Tawata, S. Utilization of pineapple waste: A Review. J. Food Sci. Technol. Nepal 2013, 6, 10–18. [Google Scholar] [CrossRef]
- Montero-Calderón, M.; Martín-Belloso, O.; Soliva-Fortuny, R. Fresh-cut fruits: Pineapple. In Controlled and Modified Atmospheres for Fresh and Fresh-Cut Produce; Beaudry, R.M., Gil, M.I., Eds.; Elsevier: Amsterdam, The Netherlands, 2020; pp. 511–518. ISBN 978-0-12-804599-2. [Google Scholar]
- Leneveu-Jenvrin, C.; Quentin, B.; Assemat, S.; Hoarau, M.; Meile, J.-C.; Remize, F. Changes of quality of minimally-processed pineapple (Ananas comosus, var. ‘Queen Victoria’) during cold storage: Fungi in the leading role. Microorganisms 2020, 8, 185. [Google Scholar] [CrossRef] [PubMed]
- Hounhouigan, M.H.; Linnemann, A.R.; Soumanou, M.M.; Boekel, M.A.J.S.V. Effect of processing on the quality of pineapple juice. Food Rev. Int. 2014, 30, 112–133. [Google Scholar] [CrossRef]
- Leneveu-Jenvrin, C.; Charles, F.; Barba, F.J.; Remize, F. Role of biological control agents and physical treatments in maintaining the quality of fresh and minimally-processed fruit and vegetables. Crit. Rev. Food Sci. Nutr. 2019, 1–19. [Google Scholar] [CrossRef]
- Abu, Y.; Md Anisur, R.; Rakib, M.U.; Md Mozammel, H.; Sayem, A.S.M.; Md Shahadat, H.; Md Shah, A.; Md Sazzad, A.; Mushaida, H. Pineapple juice preservation by pulsed electric field treatment. Open J. Biol. Sci. 2020, 5, 006–012. [Google Scholar] [CrossRef]
- Fryer, P.J.; Versteeg, C. Processing technology innovation in the food industry: Innovation. Innovation 2008, 10, 74–90. [Google Scholar] [CrossRef]
- Madrid-Guijarro, A.; Garcia, D.; Auken, H.V. Barriers to Innovation among Spanish Manufacturing SMEs. J. Small Bus. Manag. 2009, 47, 465–488. [Google Scholar] [CrossRef]
- Rattanathanalerk, M.; Chiewchan, N.; Srichumpoung, W. Effect of thermal processing on the quality loss of pineapple juice. J. Food Eng. 2005, 66, 259–265. [Google Scholar] [CrossRef]
- Saikia, S.; Manhot, N.K.; Mahanta, C.L. A comparative study on the effect of conventional thermal pasteurisation, microwave and ultrasound treatments on the antioxidant activity of five fruit juices. Food Sci. Technol. Int. 2016, 22, 288–301. [Google Scholar] [CrossRef] [PubMed]
- Sanya, C.A.K.; Chadare, F.J.; Hounhouigan, M.H.; Fassinou Hotegni, N.V.; Gbaguidi, M.A.; Dekpemadoha, J.E.; Linnemann, A.R.; Hounhouigan, D.J. Effects of plant density and fertilizer formula on physicochemical and sensorial characteristics of pasteurized juice from Perolera sugarloaf pineapples grown in the long rainy season. NJAS Wagening. J. Life Sci. 2020, 92, 100320. [Google Scholar] [CrossRef]
- METEOR. Available online: https://smartis.re/METEOR (accessed on 25 April 2020).
- International Organization for Standardization ISO 11035:1994. Available online: https://www.iso.org/cms/render/live/en/sites/isoorg/contents/data/standard/01/90/19015.html (accessed on 7 September 2020).
- International Organization for Standardization ISO 4120:2004. Available online: https://www.iso.org/cms/render/live/en/sites/isoorg/contents/data/standard/03/34/33495.html (accessed on 7 September 2020).
- Laorko, A.; Tongchitpakdee, S.; Youravong, W. Storage quality of pineapple juice non-thermally pasteurized and clarified by microfiltration. J. Food Eng. 2013, 116, 554–561. [Google Scholar] [CrossRef]
- Kaddumukasa, P.P.; Imathiu, S.M.; Mathara, J.M.; Nakavuma, J.L. Influence of physicochemical parameters on storage stability: Microbiological quality of fresh unpasteurized fruit juices. Food Sci. Nutr. 2017, 5, 1098–1105. [Google Scholar] [CrossRef] [PubMed]
- Lagnika, C.; Adjovi, Y.C.S.; Lagnika, L.; Gogohounga, F.O.; Do-Sacramento, O.; Koulony, R.K.; Sanni, A. Effect of combining ultrasound and mild heat treatment on physicochemical, nutritional quality and microbiological properties of pineapple juice. Food Nutr. Sci. 2017, 8, 227–241. [Google Scholar] [CrossRef]
- Chanprasartsuk, O.O.; Prakitchaiwattana, C.; Sanguandeekul, R.; Fleet, G.H. Autochthonous yeasts associated with mature pineapple fruits, freshly crushed juice and their ferments; and the chemical changes during natural fermentation. Bioresour. Technol. 2010, 101, 7500–7509. [Google Scholar] [CrossRef]
- Di Cagno, R.; Cardinali, G.; Minervini, G.; Antonielli, L.; Rizzello, C.G.; Ricciuti, P.; Gobbetti, M. Taxonomic structure of the yeasts and lactic acid bacteria microbiota of pineapple (Ananas comosus L. Merr.) and use of autochthonous starters for minimally processing. Food Microbiol. 2010, 27, 381–389. [Google Scholar] [CrossRef]
- Abadias, M.; Alegre, I.; Oliveira, M.; Altisent, R.; Viñas, I. Growth potential of Escherichia coli O157:H7 on fresh-cut fruits (melon and pineapple) and vegetables (carrot and escarole) stored under different conditions. Food Control 2012, 27, 37–44. [Google Scholar] [CrossRef]
- Huang, J.; Luo, Y.; Zhou, B.; Zheng, J.; Nou, X. Growth and survival of Salmonella enterica and Listeria monocytogenes on fresh-cut produce and their juice extracts: Impacts and interactions of food matrices and temperature abuse conditions. Food Control 2019, 100, 300–304. [Google Scholar] [CrossRef]
- Lee, T.H.; Chua, L.S.; Tan, E.T.T.; Yeong, C.; Lim, C.C.; Ooi, S.Y. Kinetics of thermal inactivation of peroxidases and polyphenol oxidase in pineapple (Ananas comosus). Food Sci. Biotechnol. 2009, 18, 661–666. [Google Scholar]
- Chakraborty, S.; Rao, P.S.; Mishra, H.N. Kinetic modeling of polyphenoloxidase and peroxidase inactivation in pineapple (Ananas comosus L.) puree during high-pressure and thermal treatments. Innov. Food Sci. Emerg. Technol. 2015, 27, 57–68. [Google Scholar] [CrossRef]
- Shearer, A.E.H.; Mazzotta, A.S.; Chuyate, R.; Gombas, D.E. Heat resistance of juice spoilage microorganisms. J. Food Prot. 2002, 65, 1271–1275. [Google Scholar] [CrossRef] [PubMed]
- Tchuenchieu, A.; Sylvain, S.K.; Pop, C.; Jean-Justin, E.N.; Mudura, E.; Etoa, F.-X.; Rotar, A. Low thermal inactivation of Escherichia coli ATCC 25922 in pineapple, orange and watermelon juices: Effect of a prior acid-adaptation and of carvacrol supplementation. J. Food Saf. 2018, 38, e12415. [Google Scholar] [CrossRef]
- Ciuffreda, E.; Bevilacqua, A.; Sinigaglia, M.; Corbo, M. Alicyclobacillus spp.: New insights on ecology and preserving food quality through new approaches. Microorganisms 2015, 3, 625–640. [Google Scholar] [CrossRef]
- Bevilacqua, A.; Mischitelli, M.; Pietropaolo, V.; Ciuffreda, E.; Sinigaglia, M.; Corbo, M.R. Genotypic and phenotypic heterogeneity in Alicyclobacillus acidoterrestris: A contribution to species characterization. PLoS ONE 2015, 10, e0141228. [Google Scholar] [CrossRef]



| Batch number | Location | Sampling Month | Juice Processing |
|---|---|---|---|
| 1 | East | October 2017 (summer) | Untreated |
| 2 | East | March 2018 (summer) | Untreated |
| 3 | East | May 2018 (winter) | Untreated |
| 4 | East | June 2018 (winter) | Untreated and Pasteurized |
| 5 | East | June 2018 (winter) | Untreated |
| 6 | East | July 2018 (winter) | Untreated |
| 7 | East | July 2018 (winter) | Untreated |
| 8 | East | July 2018 (winter) | Untreated |
| 9 | West | October 2017 (summer) | Untreated |
| 10 | West | October 2017 (summer) | Untreated |
| 11 | West | March 2018 (summer) | Untreated |
| 12 | West | April 2018 (winter) | Untreated and Pasteurized |
| 13 | West | April 2018 (winter) | Untreated |
| 14 | West | May 2018 (winter) | Untreated |
| 15 | West | May 2018 (winter) | Untreated |
| 16 | West | June 2018 (winter) | Untreated |
| 17 | North | December 2017 (summer) | Untreated and Pasteurized |
| 18 | South | March 2018 (summer) | Untreated |
| 19 | South | March 2018 (summer) | Untreated |
| 20 | South | March 2018 (summer) | Untreated |
| 21 | South | April 2018 (winter) | Untreated |
| 22 | South | May 2018 (winter) | Untreated |
| 23 TP | Any | January 2019 (summer) | Untreated |
| 24 TP | Any | February 2019 (summer) | Untreated and Pasteurized |
| 25 TP | Any | May 2019 (winter) | Untreated and Pasteurized |
| Parameter | Mean | Variation Coefficient | Minimum Value | Maximum Value |
|---|---|---|---|---|
| pH | 3.35 | 8% | 3.08 | 4.25 |
| TA (g/100 mL) | 0.86 | 23% | 0.66 | 1.35 |
| TSS (°Brix) | 15.2 | 9% | 13.0 | 17.6 |
| L* | 69.1 | 9% | 51.0 | 75.0 |
| a* | 2.0 | 70% | −0.5 | 5.6 |
| b* | 50.7 | 17% | 23.6 | 60.1 |
| Psychrotrophic bacteria (log CFU/mL) | 3.3 | 21% | 3.0 1 | 5.4 |
| Enterobacteria (log CFU/mL) | 3.9 | 26% | 3.0 1 | 6.5 |
| Yeasts and molds (log CFU/mL) | 4.9 | 8% | 4.0 | 5.5 |
| Total Solar Radiation (J/cm²) | Minimal Temperature (°C) | Mean Temperature (°C) | Maximal Temperature (°C) | Potential Evapotranspiration (mm) | pH | TA (%) | |
|---|---|---|---|---|---|---|---|
| South-North | 1728 b | 20.0 b | 23.1 b | 28.1 b | 3.69 b | 3.7 b | 0.86 a |
| West | 1425 a | 17.3 a | 21.0 a | 27.1 ab | 2.79 a | 3.4 a | 1.08 b |
| East | 1460 a | 17.9 a | 21.2 a | 25.6 a | 2.92 a | 3.3 a | 0.87 a |
| p-value (Location) | 0.018 | 0.026 | 0.083 | 0.066 | 0.007 | 0.013 | 0.060 |
| Summer | 1695 b | 19.4 b | 22.8 b | 28.0 b | 3.56 b | 3.7 b | 0.86 a |
| Winter | 1399 a | 17.5 a | 20.9 a | 25.9 a | 2.75 a | 3.3 a | 1.00 a |
| p-value (Season) | 0.001 | 0.027 | 0.016 | 0.013 | 0.000 | 0.000 | 0.117 |
| Days of Storage | 0 | 3 | 7 | 10 | 14 |
|---|---|---|---|---|---|
| Number of Batches | 25 | 25 | 22 | 22 | 13 |
| Mean (Minimum Value; Maximum Value) | |||||
| pH | 3.45 (3.08; 4.25) a | 3.40 (3.09; 4.00) a | 3.39 (3.10; 3.96) a | 3.38 (3.12; 3.88) a | 3.24 (3.13; 3.25) a |
| TA (g/100 mL) | 0.93 (0.66; 1.35) a | 0.97 (0.74; 1.25) a | 0.99 (0.67; 1.27) a | 0.99 (0.68; 1.20) a | 1.01 (0.72; 1.26) a |
| TSS (°Brix) | 15.5 (13.0; 17.6) a | 15.6 (12.4; 18.8) a | 15.4 (12.4; 17.6) a | 15.0 (8.2; 17.6) a | 14.9 (12.3; 17.0) a |
| L* | 66.5 (51.0; 75.0) a | 68.5 (56.8;74.0) a | 69.9 (65.1; 74.6) a | 69.2 (63.5; 74.2) a | 69.9 (63.3; 75.2) a |
| a* | 2.3 (−0.5; 5.7) c | 1.4 (−1.2; 3.8) b | 0.8 (−1.3; 2.6) ab | 0.4 (−1.4; 2.2) a | 0.3 (−0.2; 1.0) a |
| b* | 48.1 (23.6; 60.1) b | 45.9 (24.5; 57.7) ab | 42.8 (27.7; 59.0) ab | 41.2 (25.6; 56.2) ab | 41.6 (28.6; 50.4) a |
| Color difference | 1 a | 6.0 (0.7; 22.4) b | 11.1 (1.9; 31.5) bc | 13.2 (2.6; 36.1) c | 11.5 (5.3; 27.8) bc |
| Days of Storage | 0 | 3 | 7 | 10 | 14 |
|---|---|---|---|---|---|
| Olfactive descriptors | Pineapple (7.1 ± 0.6) | Pineapple (6.9 ± 0.4) | Pineapple (4.8 ± 0.5) | Pineapple (3.6 ± 0.7) | Pineapple (4.1 ± 0.5) |
| Sugared (5.8 ± 0.8) | Sugared (5.7 ± 0.7) | Sugared (5.5 ± 0.7) | Sugared (3.4 ± 0.7) | Sugared (4.1 ± 0.7) | |
| Fresh (4.8 ± 0.7) | Fresh (4.2 ± 0.7) | Fermented (4.2 ± 0.9) | Fermented (3.3 ± 0.8) | ||
| Sweet (4.3 ± 0.9) | Sweet (3.8 ± 0.8) | ||||
| Acid (3.8 ± 0.6) | Acid (4.3 ± 0.6) | Acid (3.8 ± 0.5) | Acid (3.3 ± 0.6) | Acid (4.6 ± 0.7) | |
| Color descriptors | Yellow (5.4 ± 0.8) | Yellow (5.3 ± 0.8) | Yellow (5.1 ± 0.8) | Yellow (4.9 ± 0.8) | Yellow (5.6 ± 0.8) |
| Opaque (4.7 ± 0.7) | Opaque (4.8 ± 0.7) | Opaque (4.8 ± 0.6) | Opaque (5.8 ± 0.6) | Opaque (5.3 ± 0.6) | |
| Dark (4.4 ± 0.5) | Dark (4.7 ± 0.5) | Dark (4.7 ± 0.6) | Dark (6.0 ± 0.3) | Dark (5.5 ± 0.3) | |
| Aspect descriptors | Dense (3.6 ± 0.7) | Dense (3.5 ± 0.7) | Dense (3.9 ± 0.8) | Dense (4.5 ± 0.7) | Dense (4.1 ± 0.7) |
| Lumpy (4.3 ± 0.7) |
| Processing | Number of Batches | Psychrotrophic Bacteria | Enterobacteria | Yeasts and Molds | Color Difference | ||||||||
|---|---|---|---|---|---|---|---|---|---|---|---|---|---|
| Day 0 | Day 14 | Day 30 | Day 0 | Day 14 | Day 30 | Day 0 | Day 14 | Day 30 | Day 0 | Day 14 | Day 30 | ||
| Control | 1 | 3.3 | 3.3 | − 2 | <3.0 | 5.3 | − 2 | 5 | 7.6 | − 2 | 0 | 19.2 | - |
| Heating 86 °C | 1 | <3.0 | <3.0 | <3.0 | <3.0 | <3.0 | <3.0 | <3.0 | <3.0 | <3.0 | 24.5 | 23.9 | 22.6 |
| Control | 2 | 3.3 | 3.3 1 | − 2 | <3.0 | 5.31 | − 2 | 5 | 7.6 1 | − 2 | 0 | 11.5 | - |
| Heating 80 °C | 2 | <3.0 | <3.0 | <3.0 | <3.0 | <3.0 | <3.0 | <3.0 | <3.0 | <3.0 | 15.1 | 15.8 | 17.7 |
| Control | 1 | 5.4 | 6.7 | − 2 | 4.8 | 7.4 | − 2 | 5 | 5.6 | − 2 | 0 | 11.8 | - |
| Heating 70 °C | 1 | <3.0 | <3.0 | <3.0 | <3.0 | <3.0 | <3.0 | <3.0 | <3.0 | <3.0 | 2.7 | 2.4 | 5 |
| Control | 4 | 3.8 | 6.7 1 | − 2 | 4.8 | 7.4 1 | − 2 | 5 | 5.6 1 | − 2 | 0 | - | - |
| Heating 60 °C | 4 | <3.0 | <3.0 | <3.0 | <3.0 | <3.0 | <3.0 | <3.0 | <3.0 | <3.0 | 6.6 | 9 | 8.6 |
© 2020 by the authors. Licensee MDPI, Basel, Switzerland. This article is an open access article distributed under the terms and conditions of the Creative Commons Attribution (CC BY) license (http://creativecommons.org/licenses/by/4.0/).
Share and Cite
Leneveu-Jenvrin, C.; Quentin, B.; Assemat, S.; Remize, F. Maintaining Physicochemical, Microbiological, and Sensory Quality of Pineapple Juice (Ananas comosus, Var. ‘Queen Victoria’) through Mild Heat Treatment. Processes 2020, 8, 1186. https://doi.org/10.3390/pr8091186
Leneveu-Jenvrin C, Quentin B, Assemat S, Remize F. Maintaining Physicochemical, Microbiological, and Sensory Quality of Pineapple Juice (Ananas comosus, Var. ‘Queen Victoria’) through Mild Heat Treatment. Processes. 2020; 8(9):1186. https://doi.org/10.3390/pr8091186
Chicago/Turabian StyleLeneveu-Jenvrin, Charlène, Baptiste Quentin, Sophie Assemat, and Fabienne Remize. 2020. "Maintaining Physicochemical, Microbiological, and Sensory Quality of Pineapple Juice (Ananas comosus, Var. ‘Queen Victoria’) through Mild Heat Treatment" Processes 8, no. 9: 1186. https://doi.org/10.3390/pr8091186
APA StyleLeneveu-Jenvrin, C., Quentin, B., Assemat, S., & Remize, F. (2020). Maintaining Physicochemical, Microbiological, and Sensory Quality of Pineapple Juice (Ananas comosus, Var. ‘Queen Victoria’) through Mild Heat Treatment. Processes, 8(9), 1186. https://doi.org/10.3390/pr8091186

