Next Issue
Volume 14, August-1
Previous Issue
Volume 14, July-1
 
 
applsci-logo

Journal Browser

Journal Browser

Appl. Sci., Volume 14, Issue 14 (July-2 2024) – 424 articles

Cover Story (view full-size image): A high-sensitivity pH sensor based on an AlGaN/GaN high-electron mobility transistor (HEMT) with a 10 nm thick Au-gated sensing membrane was investigated. The Au nanolayer as a sensing membrane was deposited by electron-beam evaporation and patterned onto the GaN cap layer, which provides more surface-active sites and a more robust adsorption capacity for hydrogen ions (H+) and hydroxide ions (OH), and thus, the sensitivity of the sensor can be significantly enhanced. The results indicate that this pH sensor can meet most application requirements for advanced medical and chemical analyses. View this paper
  • Issues are regarded as officially published after their release is announced to the table of contents alert mailing list.
  • You may sign up for e-mail alerts to receive table of contents of newly released issues.
  • PDF is the official format for papers published in both, html and pdf forms. To view the papers in pdf format, click on the "PDF Full-text" link, and use the free Adobe Reader to open them.
Order results
Result details
Section
Select all
Export citation of selected articles as:
20 pages, 7429 KB  
Article
Research on Path Planning of a Mining Inspection Robot in an Unstructured Environment Based on an Improved Rapidly Exploring Random Tree Algorithm
by Jingwen Wu, Liang Zhao and Ruixue Liu
Appl. Sci. 2024, 14(14), 6389; https://doi.org/10.3390/app14146389 - 22 Jul 2024
Cited by 3 | Viewed by 1693
Abstract
To ensure the safe production of mines, the intelligent trend of underground mining operations is gradually advancing. However, the operational environment of subterranean mining is intricate, making the conventional path-planning algorithm used by mining inspection robots frequently inadequate for real requirements. To safeguard [...] Read more.
To ensure the safe production of mines, the intelligent trend of underground mining operations is gradually advancing. However, the operational environment of subterranean mining is intricate, making the conventional path-planning algorithm used by mining inspection robots frequently inadequate for real requirements. To safeguard the mining inspection robot, targeting the problem of low search efficiency and path redundancy in the path planning of the existing rapidly exploring random tree (RRT) algorithm in the narrow and complex unstructured environment, a path-planning algorithm combining improved RRT and a probabilistic road map (PRM) is proposed. Initially, the target area is efficiently searched according to the fan-shaped goal orientation strategy and the adaptive step size expansion strategy. Subsequently, the PRM algorithm and the improved RRT algorithm are combined to reduce the redundant points of the planning path. Ultimately, considering the kinematics of the vehicle, the path is optimized by the third-order Bessel curve. The experimental simulation results show that the proposed path-planning algorithm has a higher success rate, smoother path, and shorter path length than other algorithms in complex underground mining environments, which proves the effectiveness of the proposed algorithm. Full article
Show Figures

Figure 1

19 pages, 2015 KB  
Article
Peculiarities of Applying Partial Convolutions to the Computation of Reduced Numerical Convolutions
by Ibragim Suleimenov, Aruzhan Kadyrzhan, Dinara Matrassulova and Yelizaveta Vitulyova
Appl. Sci. 2024, 14(14), 6388; https://doi.org/10.3390/app14146388 - 22 Jul 2024
Cited by 7 | Viewed by 1279
Abstract
A method is proposed that reduces the computation of the reduced digital convolution operation to a set of independent convolutions computed in Galois fields. The reduced digital convolution is understood as a modified convolution operation whose result is a function taking discrete values [...] Read more.
A method is proposed that reduces the computation of the reduced digital convolution operation to a set of independent convolutions computed in Galois fields. The reduced digital convolution is understood as a modified convolution operation whose result is a function taking discrete values in the same discrete scale as the original functions. The method is based on the use of partial convolutions, reduced to computing a modulo integer q0, which is the product of several prime numbers: q0=p1p2pn. It is shown that it is appropriate to use the expansion of the number q0, to q=p0p1p2pn, where p0 is an additional prime number, to compute the reduced digital convolution. This corresponds to the use of additional digits in the number system used to convert to partial convolutions. The inverse procedure, i.e., reducing the result of calculations modulo q to the result corresponding to calculations modulo q0, is provided by the formula that used only integers proved in this paper. The possibilities of practical application of the obtained results are discussed. Full article
Show Figures

Figure 1

19 pages, 859 KB  
Article
A Longitudinal Study on the Adoption of Cloud Computing in Micro, Small, and Medium Enterprises in Montenegro
by Ivana Ognjanović, Ramo Šendelj, Milica Daković-Tadić and Ines Kožuh
Appl. Sci. 2024, 14(14), 6387; https://doi.org/10.3390/app14146387 - 22 Jul 2024
Cited by 3 | Viewed by 5703
Abstract
In recent years, small and medium enterprises worldwide have increasingly adopted digital technologies and cloud computing. The pace of this digital transition has varied across countries, and the socioeconomic conditions during the pandemic have further accelerated the digitalization of enterprises. This situation calls [...] Read more.
In recent years, small and medium enterprises worldwide have increasingly adopted digital technologies and cloud computing. The pace of this digital transition has varied across countries, and the socioeconomic conditions during the pandemic have further accelerated the digitalization of enterprises. This situation calls for an examination of the reasons, benefits, and risks associated with enterprises adopting cloud computing in different settings. Our study aimed to collect longitudinal data from 71 Montenegrin micro, small, and medium enterprises. We conducted a repeated measurement study with two measurement periods: 2017 and 2023. The quantitative results were analyzed alongside qualitative data from a semi-structured interview (N = 15) conducted in 2023. The findings revealed substantial shifts in SME attitudes towards cloud computing, highlighting key catalysts and influencing factors such as security, technological accessibility, external expertise, effort expectations, privacy, social influence, perceived security and safety, ease of use, and usefulness. These factors were examined in the context of global digital innovation, the impact of the COVID-19 pandemic, and recent cyberattacks that disrupted national e-services in Montenegro for 3–9 months. The findings provide new insights into how enterprises can become more prepared to effectively use cloud computing. Full article
(This article belongs to the Special Issue Cloud Computing: Challenges, Application and Prospects)
Show Figures

Figure 1

16 pages, 2741 KB  
Article
Composite Copolymer Beads Incorporating Red Mud for Water Amendment by Adsorption—Oxidation Processes
by Teodor Sandu, Elena Alina Olaru, Raul-Augustin Mitran, Andreea Miron, Sorin-Viorel Dolana, Anamaria Zaharia, Ana-Mihaela Gavrilă, Marinela-Victoria Dumitru, Anita-Laura Chiriac, Andrei Sârbu and Tanța-Verona Iordache
Appl. Sci. 2024, 14(14), 6386; https://doi.org/10.3390/app14146386 - 22 Jul 2024
Viewed by 1436
Abstract
We face significant environmental pollution problems due to various industries, such as the aluminum industry, which generates large amounts of red mud (RM) waste, or agriculture, in which case the use of pesticides creates huge water pollution problems. In this context, the present [...] Read more.
We face significant environmental pollution problems due to various industries, such as the aluminum industry, which generates large amounts of red mud (RM) waste, or agriculture, in which case the use of pesticides creates huge water pollution problems. In this context, the present study offers a better perspective to originally solve both environmental issues. Thus, the main target of the study referred to using RM waste as a filler for preparing composite copolymer beads. Thereafter, this can achieve significant removal of water pollutants due to their adsorption/oxidation characteristics. As evidenced by the changes in chemical structure and composition, thermal stability, morphology, and porosity, RM was homogenously incorporated in poly(acrylonitrile-co-acrylic acid) beads prepared by wet phase inversion. The final assessment for the removal of pesticides by adsorption and oxidation processes was proven successful. In this regard, 2,4-dichlorophenoxyacetic acid was chosen as a model pollutant, for which an adsorption capacity of 16.08 mg/g composite beads was achieved. Full article
(This article belongs to the Special Issue Pollution Control Chemistry II)
Show Figures

Figure 1

19 pages, 7129 KB  
Article
Controller of Pneumatic Muscles Implemented in Active Seat Suspension
by Igor Maciejewski, Sebastian Pecolt, Andrzej Błażejewski, Tomasz Krzyzynski and Sebastian Glowinski
Appl. Sci. 2024, 14(14), 6385; https://doi.org/10.3390/app14146385 - 22 Jul 2024
Cited by 3 | Viewed by 1595
Abstract
In this work, we present a study on seat suspension technology that integrates pneumatic muscles, marking a significant advancement in active vibration control. This innovative approach addresses the limitations of traditional suspension systems, providing enhanced comfort and adaptability. A key achievement is the [...] Read more.
In this work, we present a study on seat suspension technology that integrates pneumatic muscles, marking a significant advancement in active vibration control. This innovative approach addresses the limitations of traditional suspension systems, providing enhanced comfort and adaptability. A key achievement is the development of a mathematical model for controlling horizontal seat vibration, which serves as a valuable design tool for evaluating seat suspension under various conditions and control strategies. The creation of a custom microcontroller, benchmarked against a standard from National Instruments, highlights the practical applications of this research. Positive results suggest a promising future for this technology in industrial settings, where vibration reduction is critical. The system’s scalability and user-adjustable signal levels further enhance its potential for widespread industrial adoption. Full article
Show Figures

Figure 1

18 pages, 1868 KB  
Article
Open-Pit Mining Area Extraction Using Multispectral Remote Sensing Images: A Deep Learning Extraction Method Based on Transformer
by Qinghua Qiao, Yanyue Li and Huaquan Lv
Appl. Sci. 2024, 14(14), 6384; https://doi.org/10.3390/app14146384 - 22 Jul 2024
Cited by 2 | Viewed by 1631
Abstract
In the era of remote sensing big data, the intelligent interpretation of remote sensing images is a key technology for mining the value of remote sensing big data and promoting a number of major applications, mainly including land cover classification and extraction. Among [...] Read more.
In the era of remote sensing big data, the intelligent interpretation of remote sensing images is a key technology for mining the value of remote sensing big data and promoting a number of major applications, mainly including land cover classification and extraction. Among these, the rapid extraction of open-pit mining areas plays a vital role in current practices for refined mineral resources development and management and ecological–environmental protection in China. However, existing methods are not accurate enough for classification, not fine enough for boundary extraction, and poor in terms of multi-scale adaptation. To address these issues, we propose a new semantic segmentation model based on Transformer, which is called Segmentation for Mine—SegMine—and consists of a Vision Transformer-based encoder and a lightweight attention mask decoder. The experimental results show that SegMine enhances the network’s ability to obtain local spatial detail information and improves the problem of disappearing small-scale object features and insufficient information expression. It also better preserves the boundary details of open-pit mining areas. Using the metrics of mIoU, precision, recall, and dice, experimental areas were selected for comparative analysis, and the results show that the new method is significantly better than six other existing major Transformer variants. Full article
Show Figures

Figure 1

22 pages, 6169 KB  
Article
Design of Robust Broadband Frequency-Invariant Broadside Beampatterns for the Differential Loudspeaker Array
by Yankai Zhang, Hongjian Wei and Qiaoxi Zhu
Appl. Sci. 2024, 14(14), 6383; https://doi.org/10.3390/app14146383 - 22 Jul 2024
Cited by 1 | Viewed by 1414
Abstract
The directional loudspeaker array has various applications due to its capability to direct sound generation towards the target listener and reduce noise pollution. Differential beamforming has recently been applied to the loudspeaker line array to produce a broadside frequency-invariant radiation pattern. However, the [...] Read more.
The directional loudspeaker array has various applications due to its capability to direct sound generation towards the target listener and reduce noise pollution. Differential beamforming has recently been applied to the loudspeaker line array to produce a broadside frequency-invariant radiation pattern. However, the existing methods cannot achieve a compromise between robustness and broadband frequency-invariant beampattern preservation. This paper proposed a robust broadband differential beamforming design to allow the loudspeaker line array to radiate broadside frequency-invariant radiation patterns with robustness. Specifically, we propose a method to determine the ideal broadside differential beampattern by combining multiple criteria, namely null positions, maximizing the directivity factor, and achieving a desired beampattern with equal sidelobes. We derive the above ideal broadside differential beampattern into the target beampattern in the modal domain. We propose a robust modal matching method with Tikhonov regularization to optimize the loudspeaker weights in the modal domain. Simulations and experiments show improved frequency-invariant broadside beamforming over the 250–4k Hz frequency range compared with the existing modal matching and null-constrained methods. Full article
(This article belongs to the Special Issue Noise Measurement, Acoustic Signal Processing and Noise Control)
Show Figures

Figure 1

22 pages, 23375 KB  
Article
AnimalEnvNet: A Deep Reinforcement Learning Method for Constructing Animal Agents Using Multimodal Data Fusion
by Zhao Chen, Dianchang Wang, Feixiang Zhao, Lingnan Dai, Xinrong Zhao, Xian Jiang and Huaiqing Zhang
Appl. Sci. 2024, 14(14), 6382; https://doi.org/10.3390/app14146382 - 22 Jul 2024
Cited by 1 | Viewed by 2045
Abstract
Simulating animal movement has long been a central focus of study in the area of wildlife behaviour studies. Conventional modelling methods have difficulties in accurately representing changes over time and space in the data, and they generally do not effectively use telemetry data. [...] Read more.
Simulating animal movement has long been a central focus of study in the area of wildlife behaviour studies. Conventional modelling methods have difficulties in accurately representing changes over time and space in the data, and they generally do not effectively use telemetry data. Thus, this paper introduces a new and innovative deep reinforcement learning technique known as AnimalEnvNet. This approach combines historical trajectory data and remote sensing images to create an animal agent using deep reinforcement learning techniques. It overcomes the constraints of conventional modelling approaches. We selected pandas as the subject of our research and carried out research using GPS trajectory data, Google Earth images, and Sentinel-2A remote sensing images. The experimental findings indicate that AnimalEnvNet reaches convergence during supervised learning training, attaining a minimal mean absolute error (MAE) of 28.4 m in single-step prediction when compared to actual trajectories. During reinforcement learning training, the agent has the capability to replicate animal locomotion for a maximum of 12 iterations, while maintaining an error margin of 1000 m. This offers a novel approach and viewpoint for mimicking animal behaviour. Full article
Show Figures

Figure 1

20 pages, 5975 KB  
Article
Research on the Reasonable Width of Coal Pillar Driving along Goaf under Thick Hard Roof
by Wei Gu, Dalong Xu, Zhenfei Han and Hao Zhang
Appl. Sci. 2024, 14(14), 6381; https://doi.org/10.3390/app14146381 - 22 Jul 2024
Cited by 2 | Viewed by 1202
Abstract
There are fewer studies on the width of coal pillar retaining under a thick, hard roof. This paper takes the thick limestone roof in the 10110 working face of Jinniu Coal Mine as the background, taking the reasonable coal pillar width and its [...] Read more.
There are fewer studies on the width of coal pillar retaining under a thick, hard roof. This paper takes the thick limestone roof in the 10110 working face of Jinniu Coal Mine as the background, taking the reasonable coal pillar width and its stability control technology as research objectives. Taking the theoretical analysis and calculation, numerical simulation to study the stress distribution along goaf under different parameters of the roof cutting, the stress distribution of the roadway, and displacement of the surrounding rock under different coal pillar widths, finally examined through on-site industrial experiments. The results show that (1) the vertical stress along goaf shows a gradual decrease with the increase of the roof cutting height and angle; after considering the cost and the difficulty, the optimal height and angle are chosen to be 21 m and 15°; (2) the vertical peak stress of coal pillar decreases with the increase of the width, coal pillar is gradually transformed from the crushed state to the elastic state, the displacement of the roadway also decreases with the increase of the width of the pillar, and the width of the coal pillar is chosen to be 8.0 m after comprehensive analysis; (3) during the roadway excavation and working face mining, the deformation of the surrounding rock is in a reasonable range, and the anchors and bolts are in a good state of stress, which indicates that retaining 8 m coal pillar is a success. This paper also provides theoretical references and implications for coal pillar retaining in similar geological mining conditions. Full article
(This article belongs to the Section Civil Engineering)
Show Figures

Figure 1

22 pages, 6251 KB  
Article
A New Adaptive Strategy for Enhancing the Stability of Isolated Grids through the Integration of Renewable Energy and V2G Management
by Edisson Villa-Ávila, Paul Arévalo, Danny Ochoa-Correa, Vinicio Iñiguez-Morán and Francisco Jurado
Appl. Sci. 2024, 14(14), 6380; https://doi.org/10.3390/app14146380 - 22 Jul 2024
Cited by 3 | Viewed by 1768
Abstract
The integration of renewable energy sources into isolated microgrids introduces significant power fluctuations due to their intermittent nature. This study addresses the need for advanced power smoothing methods to enhance the stability of isolated networks. An innovative adaptive strategy is presented, combining photovoltaic [...] Read more.
The integration of renewable energy sources into isolated microgrids introduces significant power fluctuations due to their intermittent nature. This study addresses the need for advanced power smoothing methods to enhance the stability of isolated networks. An innovative adaptive strategy is presented, combining photovoltaic solar generation with vehicle-to-grid technology, utilizing an enhanced adaptive moving average filter with fuzzy logic control. The primary objective is to dynamically optimize the time frame of the Li-ion battery energy storage system for immediate power stabilization, leveraging the high energy density and rapid response capabilities inherent in electric vehicle batteries. The methodology encompasses data acquisition from photovoltaic panels, definition of fuzzy logic control rules, and implementation of the proposed method within a computer-controlled system connected to a bidirectional three-phase inverter. Experimental results highlight the proposed method’s superiority over conventional moving averages and ramp-rate filters. Full article
Show Figures

Figure 1

17 pages, 14445 KB  
Article
Are Clinical Balance Measures Linked to Cycling Performance?
by Tasman Harris, Kevin Netto, Caitlin M. Hillier, Sharni Burgess and Simon M. Rosalie
Appl. Sci. 2024, 14(14), 6379; https://doi.org/10.3390/app14146379 - 22 Jul 2024
Viewed by 1491
Abstract
Balance is paramount to safe and successful cycling, both in competition and recreation. Balance has been investigated in the return-to-cycling context, but its relationship to cycling performance is unknown. Our study aimed to analyse the relationship between balance, measured by common clinical balance [...] Read more.
Balance is paramount to safe and successful cycling, both in competition and recreation. Balance has been investigated in the return-to-cycling context, but its relationship to cycling performance is unknown. Our study aimed to analyse the relationship between balance, measured by common clinical balance tests, and cycling performance. Seven competitive cyclists participated in this cross-sectional correlational study. We collected field-based measures of cycling performance, including mean velocity, minimum and maximum velocity, mean corner speed, average lap time, and lean angle. Also, we measured balance via the balance error scoring system, the star excursion balance test, the lateral reach test, and the modified Bass test of dynamic balance. Strong correlations between cornering performance and cycling performance (r = 0.65–0.87, p < 0.01) were detected. Weak correlations between clinical balance tests and cycling performance (r = 0.33–0.53, p < 0.05) were observed. In conclusion, our study showed that improving cornering performance has the potential to improve overall cycling performance. We also found no clear correlations between our clinical balance tests and cycling performance. These weak correlations between postural control in standing and cycling performance suggest that standing balance and balancing during cycling are distinct motor control processes. Full article
(This article belongs to the Special Issue Exercise Physiology and Biomechanics in Human Health)
Show Figures

Figure 1

16 pages, 6284 KB  
Article
Estimating Urban Traffic Safety and Analyzing Spatial Patterns through the Integration of City-Wide Near-Miss Data: A New York City Case Study
by Chuan Xu, Jingqin Gao, Fan Zuo and Kaan Ozbay
Appl. Sci. 2024, 14(14), 6378; https://doi.org/10.3390/app14146378 - 22 Jul 2024
Cited by 4 | Viewed by 2834
Abstract
City-wide near-miss data can be beneficial for traffic safety estimation. In this study, we evaluate urban traffic safety and examine spatial patterns by incorporating city-wide near-miss data (59,277 near-misses). Our methodology employs a grid-based method, the Empirical Bayes (EB) approach, and spatial analysis [...] Read more.
City-wide near-miss data can be beneficial for traffic safety estimation. In this study, we evaluate urban traffic safety and examine spatial patterns by incorporating city-wide near-miss data (59,277 near-misses). Our methodology employs a grid-based method, the Empirical Bayes (EB) approach, and spatial analysis tools including global Moran’s I and local Moran’s I. The study findings reveal that near-misses have the strongest correlation with observed crash frequency among all the variables studied. Interestingly, the ratio of near-misses to crashes is roughly estimated to be 1957:1, providing a potentially useful benchmark for urban areas. For other variables, an increased number of intersections and bus stops, along with a greater road length, contribute to a higher crash frequency. Conversely, residential and open-space land use rates show a negative correlation with crash frequency. Through spatial analysis, potential risk hotspots including roads linking bridges and tunnels, and avenues bustling with pedestrian activity, are highlighted. The study also identified negative local spatial correlations in crash frequencies, suggesting significant safety risk variations within relatively short distances. By mapping the differences between observed and predicted crash frequencies, we identified specific grid areas with unexpectedly high or low crash frequencies. These findings highlight the crucial role of near-miss data in urban traffic safety policy and planning, particularly relevant with the imminent rise of autonomous and connected vehicles. By integrating near-miss data into safety estimations, we can develop a more comprehensive understanding of traffic safety and, thus, more effectively address urban traffic risks. Full article
(This article belongs to the Special Issue Vehicle Safety and Crash Avoidance)
Show Figures

Figure 1

20 pages, 4002 KB  
Article
A Novel Method of Time-Varying Formation Control Based on a Directed Graph for Multiple Autonomous Underwater Vehicles
by Gang Shao, Lei Wan and Huixi Xu
Appl. Sci. 2024, 14(14), 6377; https://doi.org/10.3390/app14146377 - 22 Jul 2024
Cited by 1 | Viewed by 1830
Abstract
Currently, autonomous underwater vehicles (AUVs) are facing various challenges, rendering multiple-AUV (multi-AUV) formation control a pivotal research direction. The issues surrounding formation control for a multi-AUV system to establish time-varying formations must be investigated. This paper discusses the formation protocol of multi-AUV systems [...] Read more.
Currently, autonomous underwater vehicles (AUVs) are facing various challenges, rendering multiple-AUV (multi-AUV) formation control a pivotal research direction. The issues surrounding formation control for a multi-AUV system to establish time-varying formations must be investigated. This paper discusses the formation protocol of multi-AUV systems in order to establish the defined time-varying formations. First, when these systems establish formations, the speed of each AUV can be equivalent. After that, consensus-based methods are used to solve the time-varying formation-control problem. The necessary and sufficient process of multi-AUV in achieving time-varying formations is proved. Furthermore, the formula for the time-varying formation center function is provided. Further, we present a protocol law for multi-AUVs to establish time-varying formations. Finally, the theoretical results of a simulation are presented, which validate the formation protocol. Full article
(This article belongs to the Special Issue Modeling, Guidance and Control of Marine Robotics)
Show Figures

Figure 1

20 pages, 22124 KB  
Article
A Reversible Data-Hiding Method for Encrypted Images Based on Adaptive Quadtree Partitioning and MSB Prediction
by Ya Yue, Minqing Zhang, Fuqiang Di and Peizheng Lai
Appl. Sci. 2024, 14(14), 6376; https://doi.org/10.3390/app14146376 - 22 Jul 2024
Viewed by 1276
Abstract
To address the vulnerability of the widely used block permutation and co-XOR (BPCX) encryption algorithm in reversible data-hiding in the encrypted domain (RDH-ED), which is susceptible to known-plaintext attacks (KPAs), and to enhance embedding capacity, we propose a novel technique of reversible data-hiding [...] Read more.
To address the vulnerability of the widely used block permutation and co-XOR (BPCX) encryption algorithm in reversible data-hiding in the encrypted domain (RDH-ED), which is susceptible to known-plaintext attacks (KPAs), and to enhance embedding capacity, we propose a novel technique of reversible data-hiding in encrypted images (RDH-EI). This method incorporates adaptive quadtree partitioning and most significant bit (MSB) prediction. To counteract KPAs, we introduce pixel modulation specifically targeting pixels within blocks of the same level during the encryption phase. During data embedding, we utilize tagging bits to indicate the state of the pixel blocks, capitalizing on pixel redundancy within those blocks to augment embedding capacity. Our experimental results demonstrate that our method not only achieves reversibility and separability but also significantly boosts embedding capacity and method security. Notably, the average embedding rate across the 10,000 images tested stands at 2.4731, surpassing previous methods by 0.2106 and 0.037, respectively. Full article
(This article belongs to the Section Computing and Artificial Intelligence)
Show Figures

Figure 1

13 pages, 3138 KB  
Article
Iteratively Refined Multi-Channel Speech Separation
by Xu Zhang, Changchun Bao, Xue Yang and Jing Zhou
Appl. Sci. 2024, 14(14), 6375; https://doi.org/10.3390/app14146375 - 22 Jul 2024
Cited by 1 | Viewed by 1689
Abstract
The combination of neural networks and beamforming has proven very effective in multi-channel speech separation, but its performance faces a challenge in complex environments. In this paper, an iteratively refined multi-channel speech separation method is proposed to meet this challenge. The proposed method [...] Read more.
The combination of neural networks and beamforming has proven very effective in multi-channel speech separation, but its performance faces a challenge in complex environments. In this paper, an iteratively refined multi-channel speech separation method is proposed to meet this challenge. The proposed method is composed of initial separation and iterative separation. In the initial separation, a time–frequency domain dual-path recurrent neural network (TFDPRNN), minimum variance distortionless response (MVDR) beamformer, and post-separation are cascaded to obtain the first additional input in the iterative separation process. In iterative separation, the MVDR beamformer and post-separation are iteratively used, where the output of the MVDR beamformer is used as an additional input to the post-separation network and the final output comes from the post-separation module. This iteration of the beamformer and post-separation is fully employed for promoting their optimization, which ultimately improves the overall performance. Experiments on the spatialized version of the WSJ0-2mix corpus showed that our proposed method achieved a signal-to-distortion ratio (SDR) improvement of 24.17 dB, which was significantly better than the current popular methods. In addition, the method also achieved an SDR of 20.2 dB on joint separation and dereverberation tasks. These results indicate our method’s effectiveness and significance in the multi-channel speech separation field. Full article
(This article belongs to the Special Issue Advanced Technology in Speech and Acoustic Signal Processing)
Show Figures

Figure 1

21 pages, 15472 KB  
Article
Research on Bifurcated Origami Hydraulic Dampers for Real Road Vibration Loads
by Jingchao Guan, Baoluo Zheng, Yalan Li, Wei Zhao and Xilu Zhao
Appl. Sci. 2024, 14(14), 6374; https://doi.org/10.3390/app14146374 - 22 Jul 2024
Cited by 2 | Viewed by 1380
Abstract
Cylindrical hydraulic dampers are commonly utilized to mitigate vibrations in machinery and structural applications. These devices generally feature a single linear stroke and are often linked to rotary joints to handle complex loading conditions. However, their installation in confined spaces, such as vehicle [...] Read more.
Cylindrical hydraulic dampers are commonly utilized to mitigate vibrations in machinery and structural applications. These devices generally feature a single linear stroke and are often linked to rotary joints to handle complex loading conditions. However, their installation in confined spaces, such as vehicle suspensions, poses considerable difficulties. In this research, we introduce an innovative bifurcated origami hydraulic damper with nonlinear damping capabilities. Initially, we formulated the collapsible conditional equations essential for the design of the bifurcated origami hydraulic dampers. We then examined the fluid dynamics within the damper and its flow channels, determining that the damping force is proportional to the square of the velocity. Furthermore, we developed motion equations based on the derived damping force and suggested vibration analysis methods using the Runge–Kutta approach. For the mass-spring vibration system, we created an experimental setup with the bifurcated origami hydraulic damper and performed vibration tests using noise signals recorded from a vehicle traveling on a gravel road, thus validating its damping performance and efficacy. Additional tests, which varied the orifice size at the end of the origami structure, as well as the type and temperature of the internal fluid, showed that the orifice size had a more pronounced effect on damping efficiency than the fluid type and temperature. This confirmed the vibration-damping effectiveness of the bifurcated origami hydraulic damper. Full article
(This article belongs to the Special Issue Vibration Problems in Engineering Science)
Show Figures

Figure 1

19 pages, 5105 KB  
Article
Peak and Residual Shear Interface Measurement between Sand and Continuum Surfaces Using Ring Shear Apparatus
by Rayed Almasoudi, Firas Daghistani and Hossam Abuel-Naga
Appl. Sci. 2024, 14(14), 6373; https://doi.org/10.3390/app14146373 - 22 Jul 2024
Cited by 1 | Viewed by 1577
Abstract
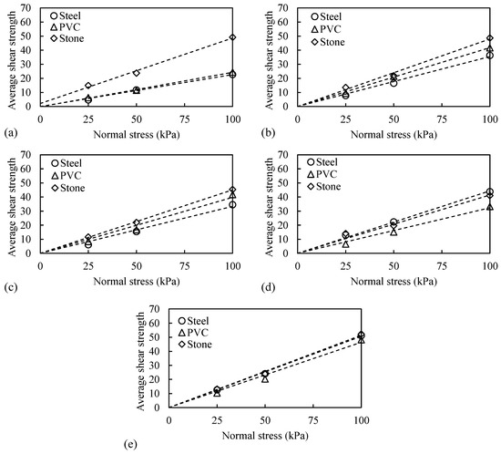
This study uses a ring shear apparatus to measure the interface shear stress between five types of sand and three surfaces: steel, PVC, and stone. Experiments were conducted under normal stresses of 25, 50, and 100 kPa at a constant shear rate of [...] Read more.
This study uses a ring shear apparatus to measure the interface shear stress between five types of sand and three surfaces: steel, PVC, and stone. Experiments were conducted under normal stresses of 25, 50, and 100 kPa at a constant shear rate of 0.5 mm/min. The research examines the impact of various sand properties, including particle size distribution, median particle size, particle shape, and initial density, as well as the surface roughness and hardness of continuum materials. The results show that interface shear strength is significantly influenced by the mechanical interlock between sand particles and surface asperities, which is affected by the normalized roughness and hardness of the materials. Machine learning models, including Multiple Linear Regression and Random Forest Regression, were used to predict peak and residual shear strengths, demonstrating high accuracy. Additionally, an empirical equation was generated using eight input parameters, considering the peak and residual interface shear strength as outputs. Full article
Show Figures

Figure 1

19 pages, 9190 KB  
Review
Effect of the Inter-Ring Delay Time on Rock Fragmentation: Field Tests at the Underground Mine
by Hui Chen, Chengyu Liu, Yin Feng and Haojie Yin
Appl. Sci. 2024, 14(14), 6372; https://doi.org/10.3390/app14146372 - 22 Jul 2024
Viewed by 2023
Abstract
The effect of inter-ring delay time (IRDT) on rock fragmentation in the tunnel excavation blasting was studied at the Xinjiang Beizhan Iron Mine, China, to improve the rock fragmentation and optimize the blast design. Blasting tests were conducted with an IRDT of 50, [...] Read more.
The effect of inter-ring delay time (IRDT) on rock fragmentation in the tunnel excavation blasting was studied at the Xinjiang Beizhan Iron Mine, China, to improve the rock fragmentation and optimize the blast design. Blasting tests were conducted with an IRDT of 50, 100, 150, 200, and 500 ms; each adjacent ring had an equal IRDT, and two replicate tests were conducted. The blasting plan with IRDT of 100 ms was the original blasting plan used in the mine. Two optimized blasting plans were proposed and implemented based on the experimental results, along with a control experiment using the original blasting plan. The fragment size of each blast test was measured and analyzed by the block-analyzed software. Both collision theoretical and field tests indicated that the IRDT plays an important role in rock fragmentation and that as the IRDT increases, the degree of rock fragmentation increases first and then decreases. For example, the fragment sizes X20, X50, and X80 showed an increase followed by a decrease; the percentage of large fragments (1-P750) showed a decline followed by a rise; the percentage of small fragments P25 showed an increase followed by a decline. The blasting plan with an IRDT of 150 ms had the most optimal rock fragmentation effect, with the lowest percentage of large fragments, the highest percentage of small fragments, and the smallest average fragment size of X50. Furthermore, the two optimized blasting plans demonstrated better control over blasting costs and rock fragmentation compared to the original blasting plan. Full article
Show Figures

Figure 1

26 pages, 17181 KB  
Article
The Collection and Compilation of Small Group Data for Scenario Setting of Simulations and Experiments
by Yi Xu and Ying Zhou
Appl. Sci. 2024, 14(14), 6371; https://doi.org/10.3390/app14146371 - 22 Jul 2024
Viewed by 1174
Abstract
The influence of small groups in evacuation cannot be ignored. However, the current simulations and experimental studies have oversimplified the settings of small groups and evacuation scenarios. A significant disparity exists between the findings of existing studies and real-world scenarios. This paper compiled [...] Read more.
The influence of small groups in evacuation cannot be ignored. However, the current simulations and experimental studies have oversimplified the settings of small groups and evacuation scenarios. A significant disparity exists between the findings of existing studies and real-world scenarios. This paper compiled data on the number and size of small groups and the location of small group members in built environments. Subsequently, a scenario with intricate functions and shapes was established, and finally, these data was employed in agent-based simulations. The data encompassed 50 small groups comprising a total of 111 members. These groups, ranging from 2 to 4 members each, exhibited spatial separations between members spanning from 1 m to 23 m. Simulation outcomes indicated a detrimental effect of small groups on overall evacuation. A significant and positive correlation was observed between the distance separating small group members and the escalation in evacuation time, total jam time, and evacuation distance. The data provides a foundation for configuring initial scenarios in small group evacuation experiments and simulations. The simulation results can provide a basis for hospital safety evacuation management. Full article
Show Figures

Figure 1

15 pages, 6965 KB  
Article
A New Reversible Data Hiding Method Using a Proportional Relation between Peak Signal-to-Noise Ratio and Embedding Capacity on Convolutional Neural Network
by Yong-Yeol Bae, Dae-Jea Cho and Ki-Hyun Jung
Appl. Sci. 2024, 14(14), 6370; https://doi.org/10.3390/app14146370 - 22 Jul 2024
Cited by 1 | Viewed by 1285
Abstract
In the rapidly evolving fields of artificial intelligence and various industries, the secure processing and management of massive data have become paramount. This paper introduces an innovative reversible data hiding (RDH) method that leverages a Convolutional Neural Network (CNN)-based predictor to generate a [...] Read more.
In the rapidly evolving fields of artificial intelligence and various industries, the secure processing and management of massive data have become paramount. This paper introduces an innovative reversible data hiding (RDH) method that leverages a Convolutional Neural Network (CNN)-based predictor to generate a predicted image from a given cover image. The secret data are ingeniously embedded within the differences in pixel values between the cover and predicted images. Our experimental analysis reveals a notable reduction in image distortion with increasing secret data size, showcasing the method’s potential for diverse applications. The unique aspect of our approach lies in the proportional relation between the Peak Signal-to-Noise Ratio (PSNR) and Embedding Capacity, highlighting its efficacy and efficiency in reversible data hiding. Full article
(This article belongs to the Section Computing and Artificial Intelligence)
Show Figures

Figure 1

23 pages, 9408 KB  
Article
Evolution of Industrial Robots from the Perspective of the Metaverse: Integration of Virtual and Physical Realities and Human–Robot Collaboration
by Jing You, Zhiyuan Wu, Wei Wei, Ning Li and Yuhua Yang
Appl. Sci. 2024, 14(14), 6369; https://doi.org/10.3390/app14146369 - 22 Jul 2024
Cited by 5 | Viewed by 3064
Abstract
During the transition from Industry 4.0 to Industry 5.0, industrial robotics technology faces the need for intelligent and highly integrated development. Metaverse technology creates immersive and interactive virtual environments, allowing technicians to perform simulations and experiments in the virtual world, and overcoming the [...] Read more.
During the transition from Industry 4.0 to Industry 5.0, industrial robotics technology faces the need for intelligent and highly integrated development. Metaverse technology creates immersive and interactive virtual environments, allowing technicians to perform simulations and experiments in the virtual world, and overcoming the limitations of traditional industrial operations. This paper explores the application and evolution of metaverse technology in the field of industrial robotics, focusing on the realization of virtual–real integration and human–machine collaboration. It proposes a design framework for a virtual–real interaction system based on the ROS and WEB technologies, supporting robot connectivity, posture display, coordinate axis conversion, and cross-platform multi-robot loading. This paper emphasizes the study of two key technologies for the system: virtual–real model communication and virtual–real model transformation. A general communication mechanism is designed and implemented based on the ROS, using the ROS topic subscription to achieve connection and real-time data communication between physical robots and virtual models, and utilizing URDF model transformation technology for model invocation and display. Compared with traditional simulation software, i.e., KUKA Sim PRO (version 1.1) and RobotStudio (version 6.08), the system improves model loading by 45.58% and 24.72%, and the drive response by 41.50% and 28.75%. This system not only supports virtual simulation and training but also enables the operation of physical industrial robots, provides persistent data storage, and supports action reproduction and offline data analysis and decision making. Full article
(This article belongs to the Topic Smart Production in Terms of Industry 4.0 and 5.0)
Show Figures

Figure 1

19 pages, 1263 KB  
Article
Robust Estimation Method against Poisoning Attacks for Key-Value Data with Local Differential Privacy
by Hikaru Horigome, Hiroaki Kikuchi, Masahiro Fujita and Chia-Mu Yu
Appl. Sci. 2024, 14(14), 6368; https://doi.org/10.3390/app14146368 - 22 Jul 2024
Cited by 3 | Viewed by 1530
Abstract
Local differential privacy (LDP) protects user information from potential threats by randomizing data on individual devices before transmission to untrusted collectors. This method enables collectors to derive user statistics by analyzing randomized data, thereby presenting a promising avenue for privacy-preserving data collection. In [...] Read more.
Local differential privacy (LDP) protects user information from potential threats by randomizing data on individual devices before transmission to untrusted collectors. This method enables collectors to derive user statistics by analyzing randomized data, thereby presenting a promising avenue for privacy-preserving data collection. In the context of key–value data, in which discrete and continuous values coexist, PrivKV has been introduced as an LDP protocol to ensure secure collection. However, this framework is susceptible to poisoning attacks. To address this vulnerability, we propose an expectation maximization (EM)-based algorithm combined with a cryptographic protocol to facilitate secure random sampling. Our LDP protocol, known as emPrivKV, exhibits two key advantages: it improves the accuracy of statistical information estimation from randomized data, and enhances resilience against the manipulation of statistics, that is, poisoning attacks. These attacks involve malicious users manipulating the analysis results without detection. This study presents the empirical results of applying the emPrivKV protocol to both synthetic and open datasets, highlighting a notable improvement in the precision of statistical value estimation and robustness against poisoning attacks. As a result, emPrivKV improved the frequency and the mean gains by 17.1% and 25.9%, respectively, compared to PrivKV, with the number of fake users being 0.1 of the genuine users. Our findings contribute to the ongoing discourse on refining LDP protocols for key–value data in scenarios involving privacy-sensitive information. Full article
(This article belongs to the Special Issue Progress and Research in Cybersecurity and Data Privacy)
Show Figures

Figure 1

13 pages, 3542 KB  
Article
Study on the Anti-Interference Performance of Substrate-Free PEDOT:PSS ECG Electrodes
by Chunlin Li, Ke Xu and Yuanfen Chen
Appl. Sci. 2024, 14(14), 6367; https://doi.org/10.3390/app14146367 - 22 Jul 2024
Cited by 4 | Viewed by 1928
Abstract
Substrate-free electrodes are promising dry electrodes for long-term physiological electrical signal monitoring due to their ultra-thinness, conformal contact, and stable skin–electrode impedance. However, the response of substrate-free electrodes to various disturbances during electrocardiogram (ECG) monitoring and the corresponding optimization needs to be investigated. [...] Read more.
Substrate-free electrodes are promising dry electrodes for long-term physiological electrical signal monitoring due to their ultra-thinness, conformal contact, and stable skin–electrode impedance. However, the response of substrate-free electrodes to various disturbances during electrocardiogram (ECG) monitoring and the corresponding optimization needs to be investigated. This paper investigates the specific effects of various influencing factors on skin–electrode impedance and ECG during electrocardiogram (ECG) detection. The research utilizes substrate-free poly(3,4-ethylenedioxythiophene)/poly(styrene-sulfonate) (PEDOT:PSS) electrodes. The investigation employs several methods, including skin–electrode impedance comparison, ECG waveform analysis, spectrum analysis, and signal-to-noise ratio (SNR) evaluation. To avoid the impact of physiological state differences in subjects at different times, relevant data were only compared with the same group of experiments conducted in the same period. The results demonstrate that the substrate-free conformal contact PEDOT:PSS electrode has more stable skin–electrode impedance and could obtain a more stable ECG than partial contact electrodes (the SNR of the partial contact and conformal contact electrodes are 1.2768 ± 4.0299 dB and 7.2637 ± 1.4897 dB, respectively). Furthermore, the ECG signal quality of the substrate-free conformal contact PEDOT:PSS electrode was independent of the electrode area and shape (the SNRs of the large, medium, and small electrodes are 4.0447 ± 0.4616 dB, 3.9115 ± 0.5885 dB, and 4.1556 ± 0.5557 dB, respectively; the SNRs of the circular, square, and triangular electrodes are 9.2649 ± 0.6326 dB, 9.2471 ± 0.6806 dB, and 9.1514 ± 0.6875 dB, respectively), showing high signal acquisition capability that is the same as microneedle electrodes and better than fabric electrodes. The results of clothing friction effects show that skin–electrode impedance stability was important for ECG stability, while the impedance value was not (the SNRs of friction and non-friction electrodes are 2.4128 ± 7.0784 dB and 9.2164 ± 0.6696 dB, respectively). Moreover, the skin–electrode impedance maintains stability even at a high breathing frequency, but the ECG signal fluctuates at a high breathing frequency. This experiment demonstrates that even when the skin–electrode impedance remains stable, the ECG signal can still be susceptible to interference from other factors. This study suggests that substrate-free PEDOT:PSS that could form conformal contact with the skin has higher skin–electrode impedance stability and could measure a high ECG signal even with a small electrode area, demonstrating its potential as dry ECG electrodes, but the interference from other physiological electrical signals may require better circuit design. Full article
(This article belongs to the Section Biomedical Engineering)
Show Figures

Figure 1

19 pages, 3852 KB  
Article
Transforming Interactive Educational Content into Immersive Virtual Reality Learning Objects
by Pranas Jaruševičius, Lukas Paulauskas, Vaidotas Drungilas, Mantas Jurgelaitis and Tomas Blažauskas
Appl. Sci. 2024, 14(14), 6366; https://doi.org/10.3390/app14146366 - 22 Jul 2024
Cited by 5 | Viewed by 2563
Abstract
Currently, the integration of immersive virtual reality applications into learning management systems is limited, which disadvantages kinesthetic learners, as the majority of learning material is mostly written or visual in nature. This research presents a method on how to transform existing conventional learning [...] Read more.
Currently, the integration of immersive virtual reality applications into learning management systems is limited, which disadvantages kinesthetic learners, as the majority of learning material is mostly written or visual in nature. This research presents a method on how to transform existing conventional learning material into immersive virtual reality and integrate it into learning management systems, demonstrating it with a pilot study and an immersive virtual reality application prototype. The prototype application uses WebXR technology and provides integration into the Moodle learning management system using the Sharable Content Object Reference Model standard. The developed learning object was evaluated using the System Usability Scale, Web-based Learning Tool evaluation scale and the igroup Presence Questionnaire. The results of the pilot study revealed that the learning object performed above average in all tested fields and is preferable to established non-IVR solutions. Full article
(This article belongs to the Special Issue Virtual Reality Based Serious Games: Developments and Applications)
Show Figures

Figure 1

26 pages, 3410 KB  
Review
Strategic Insights into Integrated Photonics: Core Concepts, Practical Deployments, and Future Outlook
by Muhammad A. Butt and Xavier Mateos
Appl. Sci. 2024, 14(14), 6365; https://doi.org/10.3390/app14146365 - 22 Jul 2024
Cited by 11 | Viewed by 6476
Abstract
Integrated photonics is a cutting-edge field that merges optics and electronics on a single microchip, revolutionizing how we manipulate and transmit light. Imagine traditional bulky optical systems condensed onto a chip smaller than a fingernail, enabling faster communication, more efficient sensors, and advanced [...] Read more.
Integrated photonics is a cutting-edge field that merges optics and electronics on a single microchip, revolutionizing how we manipulate and transmit light. Imagine traditional bulky optical systems condensed onto a chip smaller than a fingernail, enabling faster communication, more efficient sensors, and advanced computing. At its core, integrated photonics relies on guiding light through waveguides etched onto semiconductor substrates, analogous to how wires conduct electricity in traditional electric circuits. These waveguides can route, modulate, and detect light signals with unprecedented precision and speed. This technology holds immense promise across various domains. Despite its immense potential, integrated photonics faces challenges, including manufacturing complexities and integration with existing electronic systems. However, ongoing research and advancements continue to push the boundaries, promising a future where light-based technologies seamlessly integrate into our everyday lives, powering a new era of innovation and connectivity. Full article
(This article belongs to the Special Issue Feature Review Papers in Optics and Lasers)
Show Figures

Figure 1

16 pages, 3790 KB  
Article
Mechanical Behavior of Low-Strength Hydraulic Lime Concrete Reinforced with Flexible Fibers under Quasi-Static and Dynamic Conditions
by Ángel De La Rosa, Lucía Garijo, Vaibhav W. Masih and Gonzalo Ruiz
Appl. Sci. 2024, 14(14), 6364; https://doi.org/10.3390/app14146364 - 22 Jul 2024
Viewed by 1427
Abstract
We investigate the effect of flexible fiber reinforcement on low-strength hydraulic lime concrete. This type of concrete is occasionally necessary to ensure compatibility with the substrate, particularly in the conservation and rehabilitation of historical heritage. For this purpose, we designed a matrix of [...] Read more.
We investigate the effect of flexible fiber reinforcement on low-strength hydraulic lime concrete. This type of concrete is occasionally necessary to ensure compatibility with the substrate, particularly in the conservation and rehabilitation of historical heritage. For this purpose, we designed a matrix of hydraulic lime concrete based on a mix design method we proposed previously and added different amounts of polyvinyl alcohol fiber (volumetric contents of 0.3%, 0.6%, 0.9%, and 1.2%). We then conducted three-point bending tests on prismatic specimens with a central notch under quasi-static (displacement rate of 4 × 104 mm/s) and dynamic (4 mm/s) conditions, using a servo-hydraulic machine. The results indicate that, in both quasi-static and dynamic regimes, the flexural strength, the residual flexural strengths for different crack openings, and the work of fracture increase as the fiber content increases. Furthermore, transitioning from one regime to another (by increasing the strain rate or velocity) leads to a significant increase in these mechanical parameters. Full article
(This article belongs to the Special Issue Advanced Technologies in Cultural Heritage)
Show Figures

Figure 1

28 pages, 3615 KB  
Review
Shipbuilding 4.0: A Systematic Literature Review
by Xiaowei Zhang and Daoyi Chen
Appl. Sci. 2024, 14(14), 6363; https://doi.org/10.3390/app14146363 - 22 Jul 2024
Cited by 11 | Viewed by 6139
Abstract
Existing research in the shipbuilding field tends to focus on isolated single aspects of Industry 4.0 (I4.0) without a full picture. To address this gap, this paper seeks to offer a thorough and in-depth examination of the concepts and technologies necessary to integrate [...] Read more.
Existing research in the shipbuilding field tends to focus on isolated single aspects of Industry 4.0 (I4.0) without a full picture. To address this gap, this paper seeks to offer a thorough and in-depth examination of the concepts and technologies necessary to integrate I4.0 into the design, construction, maintenance, and other stages throughout the entire life cycle of a ship. This paper will firstly examine the recent developments and identify the gaps in I4.0 application within shipbuilding. By conducting a systematic literature review on 68 publications through an appropriate review methodology, we synthesize the current state of I4.0 research in the shipbuilding industry, propose a framework for the application of I4.0 in shipbuilding to analyze the progression and research agenda of I4.0 in the shipbuilding sector, and discuss its implications. The Shipbuilding 4.0 framework proposed comprises five main components: concepts, value chain, smart factory, smart manufacturing, infrastructure, and technologies. The proposed framework aims to enhance the understanding of both academics and practitioners regarding the specific needs of the shipbuilding industry and the role I4.0 can and should play in its advancement. Full article
(This article belongs to the Special Issue Smart Factory, Industry 4.0 and Sustainability)
Show Figures

Figure 1

14 pages, 5500 KB  
Article
Laboratory Evaluation of Wear Particle Emissions and Suspended Dust in Tire–Asphalt Concrete Pavement Friction
by Jongsub Lee, Ohsun Kwon, Yujoong Hwang and Gyumin Yeon
Appl. Sci. 2024, 14(14), 6362; https://doi.org/10.3390/app14146362 - 22 Jul 2024
Cited by 2 | Viewed by 1437
Abstract
This study aims to evaluate the tire–road-wear particles (TRWPs) and suspended dust generated based on the nominal maximum aggregate size (NMAS) of the polymer-modified stone mastic asphalt (SMA) mixtures indoors. The SMA mixtures containing styrene butadiene styrene (SBS) polymer and the NMASs of [...] Read more.
This study aims to evaluate the tire–road-wear particles (TRWPs) and suspended dust generated based on the nominal maximum aggregate size (NMAS) of the polymer-modified stone mastic asphalt (SMA) mixtures indoors. The SMA mixtures containing styrene butadiene styrene (SBS) polymer and the NMASs of 19, 13, 10, 8, and 6 mm were used. Dust was generated from the wear of the tires and the pavement inside the indoor chamber by using the laboratory tire–road-wear particle generation and evaluation tester (LTRWP tester) developed by Korea Expressway Corporation (KEC). In this method, a cylindrical asphalt-mixture specimen rotates in the center, and a load is applied using three tires on the sides of the test specimen. During the test, a digital sensor was used to measure the concentration for each particle size. After the test was completed, the dust was collected and weighed. According to the test results, the generated TRWP emissions were reduced by approximately 0.15 g as the NMAS of the SMA mixture decreased by 1 mm. TRWP emissions decreased by 20% when using the 6 mm SMA mixture compared to the 13 mm SMA mixture. For practical application, a predicted equation of TRWP emissions estimation was developed by using the concentration of suspended dust measured by the digital sensor in the LTRWP tester. LTRWP can be used as an indoor test method to evaluate pavement and tire materials to reduce the amount of dust generated from tire and pavement wear. Full article
(This article belongs to the Special Issue Advances in Renewable Asphalt Pavement Materials)
Show Figures

Figure 1

20 pages, 2140 KB  
Article
Providing Security for Flash Loan System Using Cryptocurrency Wallets Supported by XSalsa20 in a Blockchain Environment
by Mishall Al-Zubaidie and Wid Alaa Jebbar
Appl. Sci. 2024, 14(14), 6361; https://doi.org/10.3390/app14146361 - 22 Jul 2024
Cited by 15 | Viewed by 4080
Abstract
The days of long lines at banks and piles of paperwork are long gone. The lending landscape has been completely transformed by digital loans, which provide a quick, easy, and frequently paperless transactions. A payee can apply for a digital loan anytime, anywhere. [...] Read more.
The days of long lines at banks and piles of paperwork are long gone. The lending landscape has been completely transformed by digital loans, which provide a quick, easy, and frequently paperless transactions. A payee can apply for a digital loan anytime, anywhere. The entire lending procedure is accessible and efficient, but the availability of data on the Internet provides many risks and threats, where there are certain difficulties in the world of digital lending and data security, and privacy are major concerns. It is important to address the possibility of predatory lending practices that target weaker payees, especially with flash loans, which are considered a critical type of digital loan, as they add additional pressure to banks in terms of security because they return to the same block of the blockchain, and the possibility of tampering with them is considered great. Therefore, we have developed a security protocol based on the principle of digital cryptocurrency wallets: these digital wallets are protected by our use of the Xsalsa20 algorithm. It has high specifications and is enhanced with the usage of the Crow search algorithm, which guarantees fast and efficient search results. After the analysis of the proposed system in the Tamarin Prover tool, we obtained proof of a lot of security properties like data authenticity, perfect forward secrecy, and many others, which constitute the matter that gives our system the power of security. Also, we obtained 0.6667 ms. as the rate of processing speed, 2990 ms. as the time required by the proposed system to repay loans after the conditions are met, and, finally, our proposed system has the power to present a flexible property by creating 29,700 loans every 3 s; by this, we obtained a system that is secure, authentic, fast, and flexible. Full article
Show Figures

Figure 1

18 pages, 10474 KB  
Article
Adaptive Frame Sampling and Feature Alignment for Multi-Frame Infrared Small Target Detection
by Chuanhong Yao and Haitao Zhao
Appl. Sci. 2024, 14(14), 6360; https://doi.org/10.3390/app14146360 - 22 Jul 2024
Cited by 2 | Viewed by 2223
Abstract
In recent years, infrared images have attracted widespread attention, due to their extensive application in low-visibility search and rescue, forest fire monitoring, ground target monitoring, and other fields. Infrared small target detection technology plays a vital role in these applications. Although there has [...] Read more.
In recent years, infrared images have attracted widespread attention, due to their extensive application in low-visibility search and rescue, forest fire monitoring, ground target monitoring, and other fields. Infrared small target detection technology plays a vital role in these applications. Although there has been significant research over the years, accurately detecting infrared small targets in complex backgrounds remains a significant challenge. Multi-frame detection methods can significantly improve detection performance in these cases. However, current multi-frame methods face difficulties in balancing the number of input frames and detection speed, and cannot effectively handle the background motion caused by movement of the infrared camera. To address these issues, we propose an adaptive frame sampling method and a detection network aligned at the feature level. Our adaptive frame sampling method uses mutual information to measure motion changes between adjacent frames, construct a motion distribution, and sample frames with uniform motion based on the averaged motion distribution. Our detection network handles background motion by predicting a homography flow matrix that aligns features at the feature level. Extensive evaluation of all components showed that the proposed method can more effectively perform multi-frame infrared small target detection. Full article
Show Figures

Figure 1

Previous Issue
Next Issue
Back to TopTop