Next Issue
Volume 13, June
Previous Issue
Volume 13, April
 
 

Sports, Volume 13, Issue 5 (May 2025) – 26 articles

Cover Story (view full-size image): Returning to play after a concussion often depends on symptom resolution; however,  subtle cognitive deficits may persist undetected. In this study, student-athletes completed a complex executive function task while walking at a constant speed on a non-motorized treadmill—a novel, ecologically relevant dual-task paradigm. While both groups showed similar gait alterations, only the concussion group exhibited signs of reduced cognitive performance during the dual-task assessment, despite being asymptomatic. These findings suggest that post-concussion cognitive costs can linger beneath the surface and may only emerge when cognitive and motor demands are combined. Dual-task assessments could thus help identify athletes who are not yet ready for a full return to play. View this paper
  • Issues are regarded as officially published after their release is announced to the table of contents alert mailing list.
  • You may sign up for e-mail alerts to receive table of contents of newly released issues.
  • PDF is the official format for papers published in both, html and pdf forms. To view the papers in pdf format, click on the "PDF Full-text" link, and use the free Adobe Reader to open them.
Order results
Result details
Select all
Export citation of selected articles as:
12 pages, 411 KB  
Article
Identifying Cervical Predictors of Recreational Mixed Martial Arts Participation: A Case-Control Study
by Leia Holland, Eleuterio A. Sánchez Romero, Juan Nicolás Cuenca-Zaldívar and Rob Sillevis
Sports 2025, 13(5), 155; https://doi.org/10.3390/sports13050155 - 20 May 2025
Viewed by 1649
Abstract
Background: Recreational participation in Mixed Martial Arts (MMA) has rapidly increased. Despite consistent evidence of a high injury prevalence in MMA athletes, the neuromuscular implications of regular MMA training remain underexplored. The cervical spine is particularly vulnerable to trauma due to repetitive [...] Read more.
Background: Recreational participation in Mixed Martial Arts (MMA) has rapidly increased. Despite consistent evidence of a high injury prevalence in MMA athletes, the neuromuscular implications of regular MMA training remain underexplored. The cervical spine is particularly vulnerable to trauma due to repetitive impacts and high mechanical demands in combat sports. Methods: This case-control study compared cervical spine function and self-reported symptoms between 25 recreational MMA athletes and 25 matched individuals who engaged in general fitness training. Outcome measures included Neck Disability Index (NDI), Post-Concussion Symptom Scale (PCSS), pain and headache reports, cervical range of motion (ROM), proprioception, isometric strength, and endurance. Multivariate logistic regression analysis was used to identify the predictors of group classification. Results: The MMA group exhibited significantly higher values for post-concussion symptoms (p = 0.012), cervical flexor endurance (p = 0.031), and the number of concussions (p = 0.001) but lower flexion ROM (p = 0.031). No significant differences were observed in strength, proprioception, or NDI scores. Logistic regression identified the number of concussions, age, total cervical ROM, and average rotation strength as significant predictors of group membership (model AUC = 0.96; Nagelkerke R2 = 0.797). Conclusions: Recreational MMA athletes demonstrated higher rates of concussion-related symptoms and reduced cervical flexion ROM than noncontact exercisers despite no statistically significant differences in strength and proprioception. These findings suggest that cumulative exposure to amateur MMA is associated with alterations in cervical neuromuscular characteristics. These results support the implementation of targeted mobility, endurance, and injury prevention programs in recreational MMA training. Full article
Show Figures

Figure 1

16 pages, 853 KB  
Article
Mental Fatigue Impairs Temporal Perceptual Prediction: A Study on Boxing Performance Across Skill Levels
by Chang-Hong Wu, Yi Yang, Xia Xu, Ning Wang, Qiao Li, Lu Geng and Shan-Jun Bao
Sports 2025, 13(5), 154; https://doi.org/10.3390/sports13050154 - 20 May 2025
Cited by 1 | Viewed by 1733
Abstract
Objective: This study investigated the impact of mental fatigue on the temporal perceptual prediction of action recognition among boxers of different skill levels. Methods: A mixed experimental design of two (groups: Mental Fatigue Expert Group and Mental Fatigue Novice Group) × two (technique [...] Read more.
Objective: This study investigated the impact of mental fatigue on the temporal perceptual prediction of action recognition among boxers of different skill levels. Methods: A mixed experimental design of two (groups: Mental Fatigue Expert Group and Mental Fatigue Novice Group) × two (technique types: attack and defense) × three (time shields: −80 ms, −40 ms, and action start) was implemented. Twenty expert and novice boxers participated in this study. Mental fatigue was induced using a 45-min Stroop paradigm, and the effects were assessed using the VAS, Brog-20, BRUMS-F, and BRUMS-V. The experimental procedure for time perception was developed using E-prime 3.0, incorporating 36 videos depicting various attack and defense techniques, and reaction time and accuracy were recorded. Results: (1) A significant main effect on reaction time (RT) was observed (F (1,38) = 5.97, p < 0.05, η2 = 0.14) but not on accuracy (ACC), suggesting a pronounced influence of mental fatigue on novice boxers’ temporal perceptual prediction in action recognition; (2) significant main effects of skill types were noted in both RT (F (1,38) = 9.03, p < 0.05, η2 = 0.19) and ACC (F (1,38) = 18.496, p < 0.05, η2 = 0.327), indicating disparities in the recognition of offensive and defensive skills under mental fatigue; (3) temporal shielding significantly influenced both RT (F (2,76) = 31.42, p < 0.05, η2 = 0.45) and ACC (F (2,76) = 125.727, p < 0.05, η2 = 0.768), with −80 ms showing a lower RT and ACC compared to −40 ms and action initiation; (4) second-order interaction effects were present in both RT (F (2,76) = 9.85, p < 0.05, η2 = 0.21) and ACC (F (2,76) = 8.773, p < 0.05, η2 = 0.188), with the RT interaction suggesting a negative impact on perceptual prediction at −80 ms and a faster offensive RT than defensive RT. The ACC interaction indicated that under mental fatigue, −40 ms approached and exceeded −80 ms in both offensive and defensive actions, with higher ACC in offense than defense; and (5) a third-order interaction effect among group, technique type, and time shielding on RT (F (2,76) = 3.92, p < 0.05, η2 = 0.09) suggests that mental fatigue more significantly affects novice defensive technique RT than offensive technique. Conclusions: (1) The 45-min Stroop task effectively induced mental fatigue. (2) Mental fatigue negatively impacts both expert and novice boxers, with a more pronounced effect on experts’ defensive skills. (3) The −40 ms time perception is crucial for predicting action recognition as it approaches action initiation. Full article
(This article belongs to the Special Issue Strategies to Improve Modifiable Factors of Athletic Success)
Show Figures

Figure 1

14 pages, 4625 KB  
Review
Characterization of Load Components in Resistance Training Programs for Kidney Transplant Recipients: A Scoping Review
by Jhonatan C. Peña, Lilibeth Sánchez-Guette, Camilo Lombo, Edith Pinto, Carlos Collazos, Blanca Tovar, Diego A. Bonilla, Luis A. Cardozo and Luis Andres Tellez
Sports 2025, 13(5), 153; https://doi.org/10.3390/sports13050153 - 19 May 2025
Viewed by 1376
Abstract
Resistance training (RT) has been shown to produce beneficial effects, including on quality of life, renal function, physical fitness, and survival rates in kidney transplant for 24 recipients. However, the optimal periodization of load components for this population remains unclear, as no consensus [...] Read more.
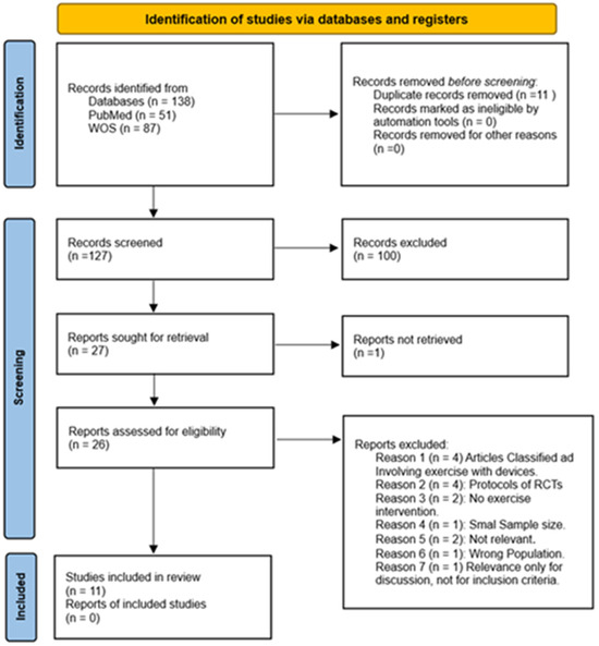
Resistance training (RT) has been shown to produce beneficial effects, including on quality of life, renal function, physical fitness, and survival rates in kidney transplant for 24 recipients. However, the optimal periodization of load components for this population remains unclear, as no consensus has been established. This study aimed to characterize the load components of RT programs in kidney transplant recipients. A scoping review was conducted following the Preferred Reporting Items for Systematic Reviews and Meta-Analyses Extension for Scoping Reviews (PRISMA-ScR). The literature search was performed up to October 2024 in MEDLINE/PubMed, the Web of Science Core Collection, SCOPUS, ScienceDirect, and SPORTDiscus. Only studies that included RT as part of the intervention were considered. The RT variables analyzed included intervention duration, weekly frequency, session duration, number and types of exercises, intensity, number of sets, rest time between sets, progressive overload, and execution velocity. A total of 645 studies were identified, of which 15 met the eligibility criteria and were selected for analysis. The primary strategy for intensity control was based on the percentage of one-repetition maximum (%1RM), with training zones ranging from 30% to 80%. The number of sets varied from two to eight, while repetitions ranged from 10 to 20. The rest intervals between sets lasted between one and five minutes. The most highly implemented type of resistance involved the use of dumbbells, body weight, and elastic bands. A high degree of heterogeneity was identified in load periodization parameters, highlighting a lack of consensus in exercise prescription for this population. However, this review established general criteria that can serve as a reference for exercise professionals to develop more structured and effective training programs. Full article
(This article belongs to the Special Issue Benefits of Physical Activity and Exercise to Human Health)
Show Figures

Figure 1

21 pages, 1162 KB  
Review
The Effects of Exercise Intervention in Older Adults With and Without Sarcopenia: A Systematic Review
by Jeremy Cabrolier-Molina, Alexandra Martín-Rodríguez and Vicente Javier Clemente-Suárez
Sports 2025, 13(5), 152; https://doi.org/10.3390/sports13050152 - 19 May 2025
Cited by 3 | Viewed by 9116
Abstract
This systematic review, conducted in accordance with PRISMA guidelines and registered in PROSPERO (CRD42024619693), aimed to evaluate the effects of physical exercise interventions on muscle function and fall risk in older adults with and without sarcopenia. Methods: A comprehensive search of PubMed [...] Read more.
This systematic review, conducted in accordance with PRISMA guidelines and registered in PROSPERO (CRD42024619693), aimed to evaluate the effects of physical exercise interventions on muscle function and fall risk in older adults with and without sarcopenia. Methods: A comprehensive search of PubMed and Web of Science databases identified 11 randomized controlled trials (RCTs) published between 2015 and 2025. A total of 792 participants (mean age 75.13 ± 4.71 years; 65.53% women, 34.47% men) were included. Interventions varied in type—strength, balance, aerobic, and multi-component programs—with a minimum duration of 8 weeks. Results: The reviewed studies showed that physical exercise interventions significantly improved neuromuscular function, physical performance, and postural control in older adults. Positive effects were observed in gait speed, stair-climbing ability, grip strength, muscle mass, and bone density. Specific modalities such as Tai Chi improved postural control and neuromuscular response; dynamic resistance and functional training increased muscle strength and improved posture; Nordic walking reduced postural sway; and multi-component and combined walking-resistance training enhanced mobility and force efficiency. Programs integrating strength and balance components yielded the most consistent benefits. However, reporting on FITT (Frequency, Intensity, Time, Type) principles was limited across studies. Conclusions: Exercise interventions are effective in improving neuromuscular outcomes and reducing fall risk in older adults, both with and without sarcopenia. The findings support the need for tailored, well-structured programs and greater methodological standardization in future research to facilitate broader clinical application and maximize health outcomes. Full article
(This article belongs to the Special Issue Physical Activity for Preventing and Managing Falls in Older Adults)
Show Figures

Figure 1

13 pages, 381 KB  
Article
Anthropometric Characteristics, Age, Sex, Drop Height, and Visual Feedback as Predictors of Dynamic Knee Valgus During Single-Leg Drop Landing
by Nuno Casanova, David Correia, Priscila Marconcin, Fábio Flôres, Denise Soares and Rodrigo Ruivo
Sports 2025, 13(5), 151; https://doi.org/10.3390/sports13050151 - 19 May 2025
Cited by 1 | Viewed by 1076
Abstract
The knee is a complex joint essential for locomotion, providing stability that is crucial for avoiding biomechanical deviations such as dynamic knee valgus (DKV), a contributing injury risk factor. This study aimed to assess the influence of body mass index (BMI), age, sex, [...] Read more.
The knee is a complex joint essential for locomotion, providing stability that is crucial for avoiding biomechanical deviations such as dynamic knee valgus (DKV), a contributing injury risk factor. This study aimed to assess the influence of body mass index (BMI), age, sex, anthropometric variables, visual feedback, and drop height on the occurrence of DKV. Forty healthy adults aged between 18 and 45 years, with a BMI between 18.5–29.9 kg/m2 and no lower limb injuries, were evaluated. Participants underwent a standardized warm-up, anthropometric measurements, and a single-leg drop-landing test from 20 to 30 cm, with and without visual feedback. Women exhibited significantly higher DKV in nearly all conditions. Statistically significant differences were observed between legs when no feedback was provided. Visual feedback significantly reduced DKV in one condition (left limb at 30 cm). Significant weak negative correlations with DKV were found for age, BMI, thigh length, and leg length. These data suggest that women may have higher DKV, anatomical variables may be associated with DKV, and visual feedback may have the potential to attenuate its occurrence. These findings highlight the importance of targeted interventions to attenuate DKV and underscore the role of body awareness and feedback in improving knee alignment. Full article
Show Figures

Figure 1

12 pages, 481 KB  
Article
Injury Incidence in Community-Based Walking Football: A Four-Month Cohort Study of 6000+ Hours of Play
by Alfie G. Price, Bradley Sprouse, Avinash Chandran, John Hough, Philip J. Hennis, Ali Ahmed and Ian Varley
Sports 2025, 13(5), 150; https://doi.org/10.3390/sports13050150 - 19 May 2025
Viewed by 1651
Abstract
Walking Football is a growing adapted sport offering a viable alternative to traditional exercise for middle-aged and older adults. While rule modifications aim to reduce injury risk, this has yet to be established. This study conducted injury surveillance in community-based Walking Football to [...] Read more.
Walking Football is a growing adapted sport offering a viable alternative to traditional exercise for middle-aged and older adults. While rule modifications aim to reduce injury risk, this has yet to be established. This study conducted injury surveillance in community-based Walking Football to determine injury incidence and characteristics in training and matches. A four-month observational cohort study remotely tracked injuries and exposure time across seven Walking Football clubs in England using a sub-elite injury surveillance framework. Injuries were classified as medical attention (requiring on-field attention without subsequent absence) or time-loss (≥1 day of participation absence). Injury incidence was calculated per 1000 h of play. Across 6364.55 h of exposure, 45 injuries were reported: 30 (66.7%) medical attention and 15 (33.3%) time-loss injuries. Injury incidence was 5.3 [1.5–11.5] per 1000 h in training (medical attention: 3.3 [0.8–7.3]; time-loss: 2.0 [0.5–4.5]) and 37.6 [8.7–83.9] per 1000 h in matches (medical attention: 28.9 [5.8–66.6]; time-loss: 8.7 [0–23.2]). Match injury incidence was significantly higher than training (rate ratio: 7.1 [1.3–31.4]). Findings suggest that injury incidence in community-based Walking Football is low, supporting its safety and potential as a sustainable physical activity strategy for middle-aged and older adults. Full article
Show Figures

Figure 1

20 pages, 664 KB  
Article
Walking Football Programme for Elderly People: Study Protocol
by Jofre Pisà-Canyelles, María Mendoza-Muñoz, Jesús Siquier-Coll and Jorge Pérez-Gómez
Sports 2025, 13(5), 149; https://doi.org/10.3390/sports13050149 - 17 May 2025
Viewed by 1705
Abstract
This study aims to evaluate the effects of a Walking Football (WF) programme on physical fitness, body composition, health-related quality of life (QoL), and happiness in men and women over 60 years. WF is proposed as a safe and accessible activity to counteract [...] Read more.
This study aims to evaluate the effects of a Walking Football (WF) programme on physical fitness, body composition, health-related quality of life (QoL), and happiness in men and women over 60 years. WF is proposed as a safe and accessible activity to counteract physical inactivity and chronic conditions in ageing populations. A randomized controlled trial will be conducted with 120 participants (both sexes), assigned to either an experimental group (WF intervention) or a wait-list control group. The six-month intervention includes bi-weekly sessions with skills training, match simulations, and fitness exercises. Assessments will be performed at baseline, 3 months, and 6 months. Primary outcome measures will be: body composition (weight, BMI, fat and lean mass), muscular strength, aerobic endurance, agility, range of motion, and subjective well-being (QoL and happiness scales). Linear mixed-effects models and ANCOVA will be used to analyse the data. It is expected that WF will lead to improvements in physical and mental health, contributing to active ageing. This study may also support WF as a tool for social inclusion and well-being in older adults. Full article
Show Figures

Figure 1

17 pages, 1694 KB  
Article
Perceptual and Metabolic Responses During Resistance Training Sessions: Comparing Low-Load Plus Blood Flow Restriction with High-Load Plans
by Anderson Geremias Macedo, Danilo Alexandre Massini, Tiago André Freire Almeida, Adriana Teresa Silva Santos, Giovane Galdino, David Michel de Oliveira and Dalton Muller Pessôa Filho
Sports 2025, 13(5), 148; https://doi.org/10.3390/sports13050148 - 16 May 2025
Cited by 1 | Viewed by 2683
Abstract
This study analysed perceived exertion (RPE) and blood lactate ([La]) responses to two resistance training protocols planned with high- (HLI) and low-load intensities combined with blood flow restriction (LLI+BFR). Fourteen trained adults (26.2 ± 2.6 years) performed the HLI and LLI+BFR [...] Read more.
This study analysed perceived exertion (RPE) and blood lactate ([La]) responses to two resistance training protocols planned with high- (HLI) and low-load intensities combined with blood flow restriction (LLI+BFR). Fourteen trained adults (26.2 ± 2.6 years) performed the HLI and LLI+BFR protocols 48 h apart. The HLI was planned with 70% 1RM (one repetition to maximum), three sets, 12 repetitions, 60 seconds (s) of rest between sets and 120 s between exercises; LLI+BFR was performed at 30% 1RM, for three sets, 15 repetitions, and with 30 s of rest between sets and 180 s between exercises. Blood samples (for [La] analysis) and RPE (Borg 0–10 scale) were collected in the first minute after each exercise. A two-way ANOVA compared RPE and [La] responses between exercises in the same protocol, and between protocols comparing the same exercise. RPE increased from the first to the last half (involving upper-limbs and lower-limbs) of exercises in both protocols (p < 0.001). All exercises in HLI elicited higher RPE values than LLI+BFR (p < 0.001). Average RPE scores were higher in HLI than for LLI+BFR (8.1 ± 0.6 > 6.2 ± 1.1, p < 0.001). The [La] also increased throughout the exercises, with a higher peak response in LLI+BFR than for HLI (9.8 ± 1.6 > 7.2 ± 1.3 mmol × L−1, p < 0.01). Perceptual and metabolic responses during HLI and LLI+BFR training were distinguishable, despite both protocols characterising a high-intensity stimulus. Full article
(This article belongs to the Collection Human Physiology in Exercise, Health and Sports Performance)
Show Figures

Figure 1

13 pages, 218 KB  
Article
Return-to-Play Timeline and Recovery Predictors After COVID-19 Infection in Elite Football Players
by Agnes Sziva, Zsuzsanna Kives and Zsolt Szelid
Sports 2025, 13(5), 147; https://doi.org/10.3390/sports13050147 - 15 May 2025
Viewed by 2465
Abstract
The pandemic period significantly impacted professional football, leading to mandatory SARS-CoV-2 testing and quarantine. Our study aimed to examine the factors influencing time of recovery after a positive test, including return-to-training (RTT) and return-to-first-match (RTFM) of male football players in a first-division Hungarian [...] Read more.
The pandemic period significantly impacted professional football, leading to mandatory SARS-CoV-2 testing and quarantine. Our study aimed to examine the factors influencing time of recovery after a positive test, including return-to-training (RTT) and return-to-first-match (RTFM) of male football players in a first-division Hungarian team between 8 May 2020 and 30 June 2022. Infection was determined using mandatory RT-PCR testing 3 times per week, which later decreased to 1 to 2 times per week, in 55 elite players. A self-administered questionnaire was utilized based on the U.S. Department of Health and Human Services symptom list and modified with relevant factors of return-to-play in football. The incidence of SARS-CoV-2-positive players in the three consecutive years was 5.26; 21.43 and 45.71%. Mild symptoms were present in test-positive players, completing the questionnaire (n = 31), predominantly loss of smell and dry cough. Post-infection fatigue levels correlated with the perceived performance decline. In players with precisely documented dates (n = 18), the average RTT was 18.7 days, while the RTFM was 67.3 days. Older players returned to training faster than their younger counterparts and the RT-PCR Ct number had a weak negative correlation with RTFM. Mental support was provided by family and friends in 68% of the players. This study highlights the variability in return-to-play timelines and the role of age, symptom severity and mental help in recovery and emphasizes the need for individualized rehabilitation in elite football. Full article
12 pages, 5490 KB  
Article
Preparatory Strength Benchmarks for “Inverted Cross on Rings” in Male Elite and Junior Artistic Gymnasts
by Christoph Schärer, Eddy Yusof and Claudio Capelli
Sports 2025, 13(5), 146; https://doi.org/10.3390/sports13050146 - 14 May 2025
Viewed by 1546
Abstract
In men’s gymnastics, to build strength for static strength elements on rings (e.g., the Inverted Cross on Rings: ICR), general and ring-specific conditioning exercises are used. We aimed to examine the differences between elite and junior athletes in ring-specific strength in the ICR [...] Read more.
In men’s gymnastics, to build strength for static strength elements on rings (e.g., the Inverted Cross on Rings: ICR), general and ring-specific conditioning exercises are used. We aimed to examine the differences between elite and junior athletes in ring-specific strength in the ICR and the one-repetition maximum (1RM) in two conditioning exercises (Inverted Cross with Dumbbells: ICD; Seated Overhead Barbell Press: SOBP), to analyze the relationship between strength in the ICR and ICD and SOBP, and to establish preparatory strength benchmarks for ICR. Nine elite (20.97 ± 1.91 years, 66.01 ± 5.03 kg) and ten junior athletes (16.72 ± 0.55 years, 61.10 ± 7.9 kg) performed a maximum strength test for the ICR (five-second hold with pulley) and a 1RM test for the SOBP and ICD. Elite athletes were significantly stronger in the ICR and SOBP (22.36% and 33.2%; p < 0.001) but not in ICD (p = 0.13). Strong correlations (r > 0.65, p < 0.01) suggest that these exercises support strength development for the ICR. Although, the transfer into ring-specific strength must be trained separately, the benchmarks (SOBP: 150% body weight; ICD: 66%) offer coaches guidelines for optimizing training, prevent injury and promote physical resilience of elite athletes. Full article
Show Figures

Figure 1

20 pages, 3686 KB  
Review
Trends and Scientific Production on Isometric Training: A Bibliometric Analysis
by Mario Ríos Riquelme, Ángel Denche-Zamorano, Diana Salas-Gómez, Antonio Castillo-Paredes, Gerson Ferrari, Cecilia Marín-Guajardo and Juan Francisco Loro-Ferrer
Sports 2025, 13(5), 145; https://doi.org/10.3390/sports13050145 - 12 May 2025
Cited by 1 | Viewed by 2283
Abstract
Isometric training is a method focused on muscle strengthening without joint movement and has gained attention in recent years due to its applicability in rehabilitation and sports medicine. However, no comprehensive bibliometric analysis focused exclusively on adult populations has been performed. This study [...] Read more.
Isometric training is a method focused on muscle strengthening without joint movement and has gained attention in recent years due to its applicability in rehabilitation and sports medicine. However, no comprehensive bibliometric analysis focused exclusively on adult populations has been performed. This study aimed to analyze the scientific production related to isometric training in adults; identify prominent authors, journals, and thematic trends; and evaluate the evolution of interest in this field over time. A bibliometric review was performed using the Web of Science Core Collection (SCI-E, SSCI, and ESCI). A specific search strategy was applied to identify articles and reviews focused on isometric training in adult populations. A total of 238 records met the inclusion criteria. Data were analyzed using Excel 2016 and VOSviewer software1.6.20. Bibliometric indicators such as Price’s Law, Bradford’s Law, Lotka’s Law, h-index, and co-occurrence and co-authorship network analysis were applied. The results showed a steady increase in publications in the last decade, highlighting the categories of Sports Science, Physiology, and Cardiovascular. The Journal of Applied Physiology was the most frequent source, and Springer Nature was the most prolific publisher. The h-index identified 21 highly cited papers, and Lotka’s Law confirmed the existence of a small group of prolific authors. VOSviewer analysis revealed clear thematic clusters, mainly around blood pressure regulation, rehabilitation, and aging. International collaboration was evident, with the United States, Canada, and the United Kingdom leading the co-authorship networks. Scientific interest in isometric training for adult populations is growing, particularly in relation to cardiovascular health and rehabilitation. Despite this, gaps remain in terms of methodological consistency and standardized protocols. Addressing these issues could improve the applicability and scientific impact of this training modality. Full article
(This article belongs to the Collection Human Physiology in Exercise, Health and Sports Performance)
Show Figures

Figure 1

13 pages, 1287 KB  
Article
Running and Thinking: Unmasking the Lingering Effects of Sports Concussions Through Complex Dual-Task Testing
by Gabriel Lavoie, Mathieu Bolduc, Veronik Sicard, Franco Lepore and Dave Ellemberg
Sports 2025, 13(5), 144; https://doi.org/10.3390/sports13050144 - 12 May 2025
Viewed by 1098
Abstract
Objective: This study investigated gait and cognitive dual-task costs under a dual-task paradigm that was more challenging than the traditional tasks used in research. Methods: A total of 43 18–25-year-old male and female student athletes were recruited (20 asymptomatic concussed athletes who suffered [...] Read more.
Objective: This study investigated gait and cognitive dual-task costs under a dual-task paradigm that was more challenging than the traditional tasks used in research. Methods: A total of 43 18–25-year-old male and female student athletes were recruited (20 asymptomatic concussed athletes who suffered at least one concussion 2.79–7.92 months before testing, 23 never concussed). Athletes performed a complex rapid decision-making and executive function computerized task while walking continuously and maintaining a predetermined speed on a non-motorized treadmill (6.5 km/h). The outcome measures were gait and cognitive dual-task costs. Results: Repeated-measures ANOVAs were conducted to evaluate group differences. Pearson correlations were conducted to evaluate the association between dual-task costs and concussion injury variables. The results showed that both groups experienced greater difficulty with dual-task performance related to gait, whereas only the concussion group exhibited poorer cognitive performance under the dual-task condition (both not significant). The significant correlation between time since injury and gait dual-task cost (r = −0.72, p < 0.001) indicated that athletes with a more recent concussion increased their gait speed whilst athletes with an older concussion reduced their gait speed during the dual-task. Moreover, the cognitive dual-task cost was significantly correlated to symptom recovery (r = 0.461, p = 0.047), suggesting that a longer recovery time from concussion is associated with an increased dual-task cost. Conclusions: While dual-task gait alterations were common to both groups, only individuals with a history of concussion showed specific cognitive impairments under dual-task conditions. The observed associations between dual-task costs and both time since injury and symptom recovery underscore the potential of complex dual-task assessments to provide nuanced insights into post-concussion recovery trajectories and to detect subtle, lingering deficits. Full article
Show Figures

Figure 1

10 pages, 810 KB  
Article
Body Composition Characteristics of Elite Senior and Under 23 Australian Sprint Kayakers
by Ashleigh G. Keefe, Gyan A. Wijekulasuriya, Amy-Lee M. Bowler, Nicola Bullock, Vernon G. Coffey and Gregory R. Cox
Sports 2025, 13(5), 143; https://doi.org/10.3390/sports13050143 - 8 May 2025
Viewed by 901
Abstract
The aim of this study was to compare body composition characteristics of elite senior and U23 sprint kayak athletes and report body composition changes during the COVID-19-interrupted preparation for the Tokyo 2020 Summer Olympics. A total of 32 Australian kayakers (Men: 20 (Senior [...] Read more.
The aim of this study was to compare body composition characteristics of elite senior and U23 sprint kayak athletes and report body composition changes during the COVID-19-interrupted preparation for the Tokyo 2020 Summer Olympics. A total of 32 Australian kayakers (Men: 20 (Senior = 13, U23 = 7); Women: 12, (Senior = 5, U23 = 7)) undertook body composition assessment using dual-energy X-ray absorptiometry (DXA) from 2017 to 2021. The first DXA assessment for each athlete was used for a cross-sectional analysis to compare senior and U23 sprint kayak athletes. Of the thirty-two kayakers, five senior men kayakers had repeat DXA scans over the data collection period which were used to monitor longitudinal changes in body composition. Senior men kayak athletes were heavier than U23 athletes (p = 0.017; 10.4 ± 1.9 kg; d = 1.23) but had similar body composition. In contrast, body mass was not different between senior and U23 women kayak athletes (p = 0.187), however senior women athletes had a significantly higher lean body mass (LBM; p = 0.048; 5.1 ± 1.3 kg, d = 1.32) and lower body fat percentage (p = 0.011; −4.3 ± 0.8%, d = 1.82). The five senior men kayakers exhibited a non-significant decrease in fat mass (p = 0.774; 2.9 ± 3.0 kg, d = 0.97) and increase in LBM (p = 0.234; 2.2 ± 5.9 kg, d = 0.38) across the Olympic quadrennial with little change in body mass. Senior men kayak athletes while heavier, have similar body composition compared to their U23 counterparts, whereas senior women kayakers are similar in body mass but differ in body composition compared to their younger counterparts. The relative influence of maturation, specificity of training, or dietary strategies on the observed differences in body composition between senior and U23 men and women kayak athletes are currently unknown and warrant further investigation. Full article
Show Figures

Figure 1

14 pages, 1566 KB  
Article
Impact of Re-Warm-Up During Resistance Training: Analysis of Mechanical and Physiological Variables
by Pedro P. Neves, Diogo L. Marques, Henrique P. Neiva, Daniel A. Marinho, Ricardo Ferraz, Mário C. Marques and Ana R. Alves
Sports 2025, 13(5), 142; https://doi.org/10.3390/sports13050142 - 7 May 2025
Viewed by 6220
Abstract
Objectives: This study examined the effects of re-warm-up versus no re-warm-up before squats or bench presses on mechanical, physiological, and psychophysiological responses in recreationally trained men. Methods: Twenty-two participants (22.8 ± 3.3 years) completed four randomized sessions involving different re-warm-up and exercise sequences. [...] Read more.
Objectives: This study examined the effects of re-warm-up versus no re-warm-up before squats or bench presses on mechanical, physiological, and psychophysiological responses in recreationally trained men. Methods: Twenty-two participants (22.8 ± 3.3 years) completed four randomized sessions involving different re-warm-up and exercise sequences. Measurements included heart rate, blood lactate, tympanic temperature, and perceived exertion. Key performance metrics, such as mean propulsive velocity, peak velocity, power, velocity loss, and effort index, were analyzed. Results: Findings revealed that re-warming up before squats (W + BP + RW + SQ) significantly enhanced propulsive velocity and power compared to no re-warm-up (W + BP + SQ) (p ≤ 0.05; d = 0.45–0.62). However, re-warming up before the bench press (W + SQ + RW + BP) did not improve mechanical performance compared to the standard sequence (W + SQ + BP) (p > 0.05; d = 0.10–0.38). Notably, velocity loss and effort index were higher in the third bench press set under the W + SQ + BP condition (p ≤ 0.05; d = 0.53–0.60). No significant differences in physiological or psychophysiological responses were found between conditions. Conclusions: Overall, re-warm-up effectively improved squat mechanical performance when performed after the bench press but had a minimal impact on the bench press when performed after squats. These findings suggest that re-warming up before lower-body exercises may enhance mechanical performance, while its benefits may be less pronounced for upper-body exercises. Full article
Show Figures

Figure 1

13 pages, 650 KB  
Article
The Effect of Perceptual-Cognitive Skills in College Elite Athletes: An Analysis of Differences Across Competitive Levels
by Kuo-Cheng Wu, Hui-Chun Lin, Zi-Yi Cheng, Chih-Han Chang, Jo-Ning Chang, Hsia-Ling Tai and Su-I Liu
Sports 2025, 13(5), 141; https://doi.org/10.3390/sports13050141 - 30 Apr 2025
Cited by 1 | Viewed by 3272
Abstract
Background: Athletes with expertise in sports show extensive procedural and factual information, enhancing their ability to focus attention, use cues, and anticipate events. This study examined the differentiation of perceptual-cognitive skills by focusing on attentional cues, processing speed, and working memory. Methods: The [...] Read more.
Background: Athletes with expertise in sports show extensive procedural and factual information, enhancing their ability to focus attention, use cues, and anticipate events. This study examined the differentiation of perceptual-cognitive skills by focusing on attentional cues, processing speed, and working memory. Methods: The component skill approach was used to assess differences in sports expertise levels using non-sport-specific cognitive measures of perceptual-cognitive skills. The study involved a total of 127 college athletes with a mean age of 20.23 years (SD = 3.08) and an average of 10.99 years of training. Among these participants, there were 43 female athletes with a mean age of 20.23 years (SD = 3.32) and 84 male athletes with a mean age of 20.22 years (SD = 2.98). We analyzed the cohort of students who did not engage in regular sports training, identifying them as the control group for our study. A multivariate analysis of variance (MANOVA) was employed to analyze the measures of the SPT and CBT perceptual-cognitive tasks, treating them as separate dependent variables. The categorization of elite levels and participants is outlined below: there are 41 semi-elite athletes, 70 competitive elite athletes, 12 successful elite athletes, and 4 world-class elite athletes. Results: There were no differences in semi-elite and competitive elite athletes’ perceptual-cognitive skills regarding visual-spatial reaction time (Wilks’ λ = 0.956, p > 0.05), but there was a significant difference in the working memory span (Wilks’ λ = 0.804, p < 0.05). Conclusions: The study reports that elite college athletes have higher working memory, which is crucial for sport performance, compared to semi-elite athletes. However, no between-group differences were observed in reaction time. Full article
(This article belongs to the Special Issue Fostering Sport for a Healthy Life)
Show Figures

Figure 1

11 pages, 927 KB  
Case Report
Physiological Changes Across a Sport Season in a Nine-Time World-Champion Triathlete: A Case Report
by Adrian Gonzalez-Custodio, Carmen Crespo, Rafael Timon and Guillermo Olcina
Sports 2025, 13(5), 140; https://doi.org/10.3390/sports13050140 - 30 Apr 2025
Viewed by 1623
Abstract
This case report analyses the physiological changes of a nine-time world champion triathlete over a competitive season. The triathlete, aged 34, resumed training after a 3-month injury-related break. The study monitored key physiological variables at three points: pre-season (PRE), base period (BASE), and [...] Read more.
This case report analyses the physiological changes of a nine-time world champion triathlete over a competitive season. The triathlete, aged 34, resumed training after a 3-month injury-related break. The study monitored key physiological variables at three points: pre-season (PRE), base period (BASE), and peak performance (PEAK). The athlete trained an average of 25,000 m swimming, 400 km cycling, and 90 km running weekly. Incremental cycling tests were performed at each stage, measuring power output, oxygen uptake (VO2), ventilatory thresholds (VT1, VT2), muscle oxygen saturation (SmO2), heart rate, and lactate levels. Results showed significant improvements in relative power output (+37.2% at VT1), VO2 max (+12.6%), and body composition (body fat reduced from 10.43% to 7.33%). Heart rate and lactate concentration remained stable, while SmO2 showed a greater difference between VT2 and peak performance. The triathlete achieved top-10 finishes in all key events, including a win at the Ironman 70.3 World Championship. The findings suggest that elite triathletes can regain peak performance after injury through structured training, with improvements in ventilatory efficiency and body composition contributing to better competition results. This study provides valuable insights for coaches on the recovery and performance optimization of elite triathletes. Full article
(This article belongs to the Special Issue Fostering Sport for a Healthy Life)
Show Figures

Figure 1

12 pages, 589 KB  
Article
Relationship Between the Total Quality Recovery Scale and Race Performance in Competitive College Swimmers over Two Seasons
by Tsuyoshi Kato, Ryota Kasugai and Kensuke Sakai
Sports 2025, 13(5), 139; https://doi.org/10.3390/sports13050139 - 30 Apr 2025
Cited by 1 | Viewed by 1670
Abstract
Background: Tapering, a period of reduced training load following intense training, contributes to performance enhancement. However, research on recovery status during tapering is limited. This study investigates the impact of recovery status on race performance. Methods: Total quality recovery (TQR) scale scores were [...] Read more.
Background: Tapering, a period of reduced training load following intense training, contributes to performance enhancement. However, research on recovery status during tapering is limited. This study investigates the impact of recovery status on race performance. Methods: Total quality recovery (TQR) scale scores were monitored over two seasons in 22 college competitive swimmers (age: 19.7 ± 1.8 years), including 6 females. They participated voluntarily in the study. Rolling averages (TQRra) and exponentially weighted moving averages (TQRewma) over 7, 14, 21, and 28 days before the race were calculated. Performance data from 550 race days were analyzed by quartiles, and odds ratios were computed for TQR-related variables against race performance improvements. Results: The median TQR was 11 (interquartile range: 10–13). Seasonal bests were achieved in 31.6% of races (174 of 550). The highest odds ratios (ORs) for performance improvement in the highest quartile (Q4) of TQR and z-TQR were 3.13 (p < 0.001) and 4.35 (p < 0.001), respectively. Significant ratios for TQRewma were observed for 7d:21d (OR: 2.62, p < 0.001) and 7d:28d (OR: 2.48, p < 0.001) comparisons. Conclusions: Better recovery status on race day has been associated with improved swimming performance. Additionally, optimizing the TQRewma ratio of the most recent 7 days compared to the preceding 21 to 28 days may further enhance race performance. It highlights the need to monitor an athlete’s recovery over several weeks as an important pre-race strategy. Full article
Show Figures

Figure 1

11 pages, 1945 KB  
Article
Initial Effects of Dynamic Tape on Foot Arch Height Under Cyclic Loading: A Pilot Study Among University Students
by Ting-Chen Chang, Po-Cheng Cheng, Yu-Hsuan Chung, Chih-Wei Chang, Yen-Nien Chen and Chia-Jung Chang
Sports 2025, 13(5), 138; https://doi.org/10.3390/sports13050138 - 30 Apr 2025
Viewed by 1072
Abstract
Background: Dynamic tape is one of the options for supporting the foot arch in the management of arch-related disorders. However, its mechanical effects on the foot arch remain unclear, particularly under cyclic loading. This study aims to investigate the initial effects of dynamic [...] Read more.
Background: Dynamic tape is one of the options for supporting the foot arch in the management of arch-related disorders. However, its mechanical effects on the foot arch remain unclear, particularly under cyclic loading. This study aims to investigate the initial effects of dynamic taping on maintaining foot arch height under cyclic loading among university students. Methods: Thirty-three asymptomatic participants were enrolled in this study. The dynamic tape was applied to the foot with the lower arch to provide support, and the other foot remained untaped as a control. The tape was applied without pre-tension and simply laid straight. Changes in bilateral foot arch height and index were measured using a commercial foot sole morphology assessment device and compared after 6 and 12 min of walking. Results: The arch height did not decrease significantly after walking for 6 or 12 min in either the taped or untaped foot. However, the arch index of the taped foot increased significantly (from 0.258 ± 0.086 to 0.273 ± 0.085) after 12 min of walking, whereas no significant change was observed in the untaped foot. Conclusions: This study is the first to evaluate the initial effect of dynamic tape applied without pre-tension on foot arch support by directly measuring sole morphology using a pin-array impression device. The results indicate that dynamic tape without pre-tension does not effectively prevent the immediate reduction in foot arch height after application. Further research is needed to determine the optimal balance between pre-tension and therapeutic efficacy. Full article
(This article belongs to the Special Issue Biomechanics of Walking and Running: Health and Injury Prevention)
Show Figures

Figure 1

102 pages, 647 KB  
Conference Report
Strength and Conditioning Society (SCS) 7th Annual Meeting, Murcia, Spain, 2024
by Pedro E. Alcaraz, Konstantinos Spyrou, Anthony J. Blazevich, Tomás T. Freitas, Elena Marín-Cascales and Aarón Manzanares Serrano
Sports 2025, 13(5), 137; https://doi.org/10.3390/sports13050137 - 29 Apr 2025
Cited by 1 | Viewed by 3667
Abstract
On behalf of the Strength and Conditioning Society (SCS), we are pleased to present the abstracts submitted for the SCS 7th Annual Meeting. The event was held at the Universidad Católica de Murcia (UCAM) headquarters in Murcia, Spain, on 9–11 October 2024, and [...] Read more.
On behalf of the Strength and Conditioning Society (SCS), we are pleased to present the abstracts submitted for the SCS 7th Annual Meeting. The event was held at the Universidad Católica de Murcia (UCAM) headquarters in Murcia, Spain, on 9–11 October 2024, and comprised several invited sessions by international and national speakers on a variety of topics related to biochemistry and exercise physiology, strength and conditioning practices and their application to health, injury prevention, and sports performance. These included strength training in high-performance sports, sport science and training–competition load management in elite environments, biochemistry and exercise physiology and prescription, nutrition and biomechanics, among others. The conference also included practical workshops by renowned academics and practitioners on eccentric training, change of direction ability, and strength and power training in professional team sports, combat sports, and ergospirometry and exercise prescription in specific populations. Finally, the event disseminated up-to-date strength and conditioning research by providing practitioners and researchers with the opportunity to present their most recent findings. All abstracts presented at the SCS 7th Annual Meeting can be found in this Conference Report. Full article
19 pages, 2386 KB  
Article
Putting the Fe into Female Athletes: Insights into Heightened Iron Status and Women’s Australian Football Performance—A Case Study
by Michael Pengelly, Kate Pumpa, David Bruce Pyne and Naroa Etxebarria
Sports 2025, 13(5), 136; https://doi.org/10.3390/sports13050136 - 29 Apr 2025
Viewed by 5192
Abstract
Background: Iron deficiency affects up to 70% of female athletes, yet the effectiveness of improving iron status in team sport athletes remains unclear. Purpose: To evaluate the impact of variations in iron status on physical performance in elite female Australian Rules Football players. [...] Read more.
Background: Iron deficiency affects up to 70% of female athletes, yet the effectiveness of improving iron status in team sport athletes remains unclear. Purpose: To evaluate the impact of variations in iron status on physical performance in elite female Australian Rules Football players. Methods: Iron status was measured in 30 players (age 23 ± 4 y; body mass 70 ± 6 kg) across three time-points of a 24-week season. Players identified as iron deficient non-anemic stage 2 in week 1 received an iron infusion. Remaining players were categorized into heightened iron status (FeUP; iron deficient non-anemic stage 1 players who were advised to take iron supplementation; n = 8) or non-supplemented (Ctrl; week 10: n = 17; week 24: n = 16) groups following week 10. Relative external load measures (e.g., total distance at different velocities), and strength and power measures (e.g., counter-movement jump, reactive strength index) were recorded in weeks 10 and 24 (same weeks as blood samples) to compare physical performance between FeUP and Ctrl groups. Results: Iron status improved in FeUP (30 µg/L to 49 µg/L) and reduced in Ctrl (39 µg/L to 34 µg/L) between weeks 10 and 24. Iron deficiency prevalence among all players was 47–54%. FeUp exhibited small to moderate improvements (5–19%) in some external load measures but no consistent improvement across all measures. At week 24, FeUP showed trivial to moderate differences outperforming Ctrl in seven physical performance measures (e.g., both hip adduction tests), but Ctrl outperformed FeUP in all other measures. Conclusion: Heightened iron status does not consistently enhance physical performance, although avoiding deficiency remains essential for athlete health. Full article
(This article belongs to the Special Issue Enhancing Performance and Promoting Health Through Nutrition)
Show Figures

Figure 1

13 pages, 901 KB  
Article
Can Unilateral Strength Training Optimize Change of Direction Mechanics and Mitigate Anterior Cruciate Ligament Injury Risk in Female Soccer Players? A Preliminary Pre–Post Intervention Study
by Alice Rogalski, Ayrton Moiroux-Sahraoui, Maria Stergiou, Maxence Pieulhet, Maurice Douryang and Florian Forelli
Sports 2025, 13(5), 135; https://doi.org/10.3390/sports13050135 - 29 Apr 2025
Cited by 1 | Viewed by 3495
Abstract
Background: Anterior cruciate ligament (ACL) injuries are a major concern in female soccer players, with change of direction (COD) movements being a key contributor to non-contact injuries. Traditional injury prevention programs have shown limited effectiveness in addressing individual biomechanical deficits. This study aimed [...] Read more.
Background: Anterior cruciate ligament (ACL) injuries are a major concern in female soccer players, with change of direction (COD) movements being a key contributor to non-contact injuries. Traditional injury prevention programs have shown limited effectiveness in addressing individual biomechanical deficits. This study aimed to evaluate the effects of a 10-week unilateral strength training program on COD mechanics and ACL injury risk factors. Methods: Eleven female soccer players participated in a pre–post intervention study. Movement mechanics was assessed using the Cutting Movement Assessment Score (CMAS) at 45°, 75°, and 90° angles. The training program included unilateral lower limb strengthening exercises designed to enhance neuromuscular control and reduce biomechanical risk factors. Risk profiles were analyzed before and after the intervention. Statistical analyses included paired t-tests and effect size calculations. Results: Significant improvements in CMAS scores were observed at all COD angles (p < 0.05), with the largest effect at 90° (Cohen’s d = 2.1). The percentage of high-risk players decreased from 82% to 0%, while the proportion of low-risk players increased from 36% to 73%. Improved knee alignment, foot placement, and trunk stability were key contributors to the observed movement enhancements. Conclusions: Unilateral strength training may effectively improve COD mechanics and reduces biomechanical risk factors associated with ACL injuries in female soccer players. Our findings suggest that individualized training interventions can influence current injury prevention strategies. Full article
(This article belongs to the Special Issue Women's Special Issue Series: Sports)
Show Figures

Figure 1

10 pages, 939 KB  
Article
Consensus of Return-to-Play Criteria After Adductor Longus Injury in Professional Soccer
by José Luis Estévez Rodríguez, Jesús Rivilla García, Sergio L. Jiménez-Sáiz and Sergio Jiménez-Rubio
Sports 2025, 13(5), 134; https://doi.org/10.3390/sports13050134 - 27 Apr 2025
Viewed by 8365
Abstract
Return to play (RTP) decision making in professional soccer is crucial for minimising re-injury risk, reducing financial burdens on clubs, and optimising player performance. Despite its significance, there is a lack of objective criteria and consensus on RTP for adductor longus injuries, one [...] Read more.
Return to play (RTP) decision making in professional soccer is crucial for minimising re-injury risk, reducing financial burdens on clubs, and optimising player performance. Despite its significance, there is a lack of objective criteria and consensus on RTP for adductor longus injuries, one of the most common muscle injuries in soccer. The aim of the present consensus was to validate an RTP protocol based on clinical, functional, and performance criteria through expert evaluation. This study hypothesises that a validated RTP protocol for adductor longus injuries will enhance decision making, reduce re-injury rates, and improve player performance upon return. An observational survey was designed to validate an RTP protocol through an expert panel. A total of 63 injury-management professionals (strength and conditioning coaches, physiotherapists, doctors, and rehabilitation fitness coaches) with an average experience of 12.02 ± 6.87 years participated in validating a 20-criteria RTP protocol. The protocol, divided into clinical, functional, and performance criteria, was assessed using a 5-point Likert scale. Aiken’s V coefficient was calculated for content validity, with criteria validated if Aiken’s V ≥ 0.75. Out of 20 initial RTP criteria, 14 were validated by the expert panel, with Aiken’s V ranging from 0.77 to 0.94 (overall range: 0.61–0.98). Key validated criteria included pain on palpation, flexibility, imaging, athlete feedback, strength assessments, movement quality, pre-injury GPS data, and performance under simulated match conditions. Criteria such as the Copenhagen adduction exercise and specific agility tests were not validated. The expert-validated RTP protocol for adductor longus injuries provides a structured approach to decision making, potentially reducing re-injury risk, improving rehabilitation strategies, and enhancing player performance. These findings could be integrated into clinical sports-medicine practices to enhance rehabilitation effectiveness and RTP decisions in professional soccer. Full article
(This article belongs to the Special Issue Cutting-Edge Research on Physical Fitness Profile in Soccer Players)
Show Figures

Figure 1

10 pages, 236 KB  
Article
Gender-Based Analysis of Oral Health Outcomes Among Elite Athletes
by Alejandro Carlos de la Parte-Serna, Francesca Monticelli, Francisco Pradas, Miguel Lecina and Alejandro García-Giménez
Sports 2025, 13(5), 133; https://doi.org/10.3390/sports13050133 - 27 Apr 2025
Cited by 2 | Viewed by 1814
Abstract
Background: Research in dental science reveals a need for enhanced oral healthcare among elite athletes due to the stress generated by excessive exercise. Consideration of the inherent biological distinctions between men and women is crucial in sports dentistry. Objectives: Thus, this study aims [...] Read more.
Background: Research in dental science reveals a need for enhanced oral healthcare among elite athletes due to the stress generated by excessive exercise. Consideration of the inherent biological distinctions between men and women is crucial in sports dentistry. Objectives: Thus, this study aims to analyse the differences in oral health status among elite athletes based on gender. A total of 186 elite athletes (150 men and 36 women) recognised in the region of Aragon (Spain) participated in this study (mean age 24.99 ± 9.34), all of whom practise individual sports. Methods: Oral health status analysis included: periodontal, malocclusion and tooth status measured using the restoration index (RI) and the decayed, missing and filled teeth (DMFT) index. Results: Women had fewer teeth, a lower restoration index (p < 0.05) and lower DMFT index values (p < 0.001); furthermore, this group showed a greater number of missing teeth (p < 0.001) and decayed teeth (p < 0.05). There were no statistical differences in malocclusion, plaque, gingival bleeding, dental erosion or bruxism values between the genders. Mouthguard usage was low (men = 9.4% vs. women = 14.3%; p = 0.57). Conclusions: This study highlights the need for a multidisciplinary approach to address the high prevalence of oral health issues among elite athletes, despite the differences in health status between men and women. Full article
(This article belongs to the Special Issue Competition and Sports Training: A Challenge for Public Health)
16 pages, 1128 KB  
Article
The Effects of Imagination on Performance in Ballet: A Case Study
by Eisa Alokla, Maximilian Stasica, Martin Puttke, Vahid Firouzi, Maziar Ahmad Sharbafi and André Seyfarth
Sports 2025, 13(5), 132; https://doi.org/10.3390/sports13050132 - 24 Apr 2025
Viewed by 1319
Abstract
Mental images such as foci of attention can significantly enhance the quality of movements, providing a positive effect on human performance, e.g., in dancers or athletes. Thirteen participants (height = 161 ± 13 cm, mass = 46.4 ± 17.3 kg, and age = [...] Read more.
Mental images such as foci of attention can significantly enhance the quality of movements, providing a positive effect on human performance, e.g., in dancers or athletes. Thirteen participants (height = 161 ± 13 cm, mass = 46.4 ± 17.3 kg, and age = 21 ± 8.4 years) with varying levels of experience in classical ballet were divided into three groups (amateur, professional, and children). Each participant performed three sauté en suite jumps, followed by an instruction to imagine “taking the floor with them” during the jump. The study aimed to assess the effect of this external focus on jumping performance using biomechanical modeling. Results showed a statistically significant increase in jump height and an expanded range of motion in the hip and knee joints after the intervention, suggesting a positive influence on movement quality. However, results varied among groups, with no significant change in leg stiffness across participants, though tendencies appeared within each group. These findings indicate that an external focus of attention could be a useful tool in dance pedagogy, enhancing performance quality across experience levels and supporting individual progress. The study recommends further research to explore the full impact of psychologically effective instructions on various aspects of physical performance. Full article
Show Figures

Figure 1

20 pages, 3854 KB  
Review
Review Articles on Soccer Performance Analysis: A Bibliometric Analysis of Current Trends and Emerging Themes
by Spyridon Plakias
Sports 2025, 13(5), 131; https://doi.org/10.3390/sports13050131 - 24 Apr 2025
Cited by 5 | Viewed by 3967
Abstract
Objectives: This study aimed to analyze review articles on soccer performance analysis (PA) using a bibliometric approach to address three main research questions: (a) How has the publication of review articles related to soccer PA evolved over time? (b) Which authors and journals [...] Read more.
Objectives: This study aimed to analyze review articles on soccer performance analysis (PA) using a bibliometric approach to address three main research questions: (a) How has the publication of review articles related to soccer PA evolved over time? (b) Which authors and journals have been the most influential in this field and what are the collaboration networks between them? (c) What are the dominant topics, methodological issues, and gaps in the relevant literature? Methods: A systematic search was conducted in the Scopus database on 24 January 2025, using a comprehensive Boolean expression to identify relevant review articles. The extracted data were analyzed using VOSviewer (1.6.20.0). We employed bibliometric performance analysis, science mapping, and clustering techniques including co-authorship, co-occurrence, bibliographic coupling, and co-citation analyses. Results: The study included 314 review articles, demonstrating an exponential increase in publications since 2017. The most influential journal was Sports Medicine, while the leading authors included F. M. Clemente and H. Sarmento. Co-occurrence analysis revealed five thematic clusters covering physical performance, nutrition, coaching strategies, tactical analysis, and emerging data-driven approaches. Notably, significant gaps in the literature were identified in the areas of set pieces, key performance indicators, and contextual variables. Conclusions: This bibliometric analysis, creating a comprehensive map of the review articles on soccer PA, highlights the diverse and interdisciplinary nature of soccer PA research, identifies gaps in the literature, and offers practical considerations for researchers and journal editors aiming to advance the field of soccer PA. Full article
Show Figures

Figure 1

13 pages, 990 KB  
Review
The Mental Game of Tennis: A Scoping Review and the Introduction of the Resilience Racket Model
by Gerasimos N. Konstantinou, Stefan Kloiber and Daniel M. Blumberger
Sports 2025, 13(5), 130; https://doi.org/10.3390/sports13050130 - 23 Apr 2025
Viewed by 4077
Abstract
This review examines the relationship between tennis participation and mental health, highlighting both the psychological benefits and challenges associated with the sport. Using a retrospective, citation-based methodology, peer-reviewed studies published in English, French, and Greek between 2000 and March 2025 were included. The [...] Read more.
This review examines the relationship between tennis participation and mental health, highlighting both the psychological benefits and challenges associated with the sport. Using a retrospective, citation-based methodology, peer-reviewed studies published in English, French, and Greek between 2000 and March 2025 were included. The findings indicate that tennis participation is associated with reductions in depressive and anxiety symptoms, improved self-confidence, and enhanced resilience. However, competitive tennis also presents significant psychological demands, including elevated stress levels and susceptibility to maladaptive coping behaviors. To address these complexities, this review introduces the Resilience Racket Model, a conceptual framework representing the integration of physical readiness, psychological resilience, and systemic support. The model uses the metaphor of a tennis racket: the handle reflects foundational physical skills; the strings represent resilience components; the frame denotes environmental and organizational support; and the sweet spot signifies the optimal balance between physical and mental readiness. The review also highlights the effectiveness of psychological interventions, such as cognitive-behavioral therapy and mindfulness, in supporting athlete well-being. These findings advocate for a holistic approach to athlete development, emphasizing parity between mental health and physical training, and call for further research into tailored, sport-specific mental health interventions in tennis. Full article
Show Figures

Figure 1

Previous Issue
Next Issue
Back to TopTop