Body Composition Characteristics of Elite Senior and Under 23 Australian Sprint Kayakers
Abstract
1. Introduction
2. Materials and Methods
2.1. Subjects
2.2. Body Composition Measurements
2.3. Statistical Analysis
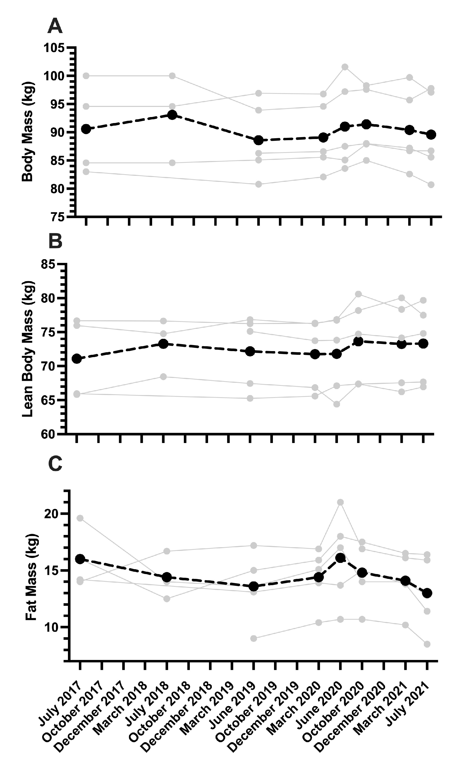
3. Results
3.1. Whole-Body Composition—Senior vs. U23 Classification
3.2. Regional Body Composition—Senior vs. U23 Classification
3.3. Whole-Body Composition—Longitudinal Analysis of Senior Men Kayak Athletes
4. Discussion
Practical Application
5. Conclusions
Author Contributions
Funding
Institutional Review Board Statement
Informed Consent Statement
Data Availability Statement
Conflicts of Interest
References
- Michael, J.S.; Rooney, K.B.; Smith, R. The metabolic demands of kayaking: A review. J. Sports Sci. Med. 2008, 7, 1–7. [Google Scholar] [PubMed]
- Zamparo, P.; Capelli, C.; Guerrini, G. Energetics of kayaking at submaximal and maximal speeds. Eur. J. Appl. Physiol. Occup. Physiol. 1999, 80, 542–548. [Google Scholar] [CrossRef] [PubMed]
- Nilsson, J.E.; Rosdahl, H.G. Contribution of Leg-Muscle Forces to Paddle Force and Kayak Speed During Maximal-Effort Flat-Water Paddling. Int. J. Sports Physiol. Perform. 2016, 11, 22–27. [Google Scholar] [CrossRef] [PubMed]
- Ackland, T.R.; Ong, K.B.; Kerr, D.A.; Ridge, B. Morphological characteristics of Olympic sprint canoe and kayak paddlers. J. Sci. Med. Sport 2003, 6, 285–294. [Google Scholar] [CrossRef] [PubMed]
- Ackland, T.R.; Lohman, T.G.; Sundgot-Borgen, J.; Maughan, R.J.; Meyer, N.L.; Stewart, A.D.; MÜLler, W. Current Status of Body Composition Assessment in Sport: Review and Position Statement on Behalf of the Ad Hoc Research Working Group on Body Composition Health and Performance, Under the Auspices of the I.O.C. Medical Commission. Sports Med. 2012, 42, 227–249. [Google Scholar] [CrossRef] [PubMed]
- Bilsborough, J.C.; Greenway, K.G.; Opar, D.A.; Livingstone, S.G.; Cordy, J.T.; Bird, S.R.; Coutts, A.J. Comparison of anthropometry, upper-body strength, and lower-body power characteristics in different levels of Australian football players. J. Strength Cond. Res. 2015, 29, 826–834. [Google Scholar] [CrossRef] [PubMed]
- Oliver, J.M.; Lambert, B.S.; Martin, S.E.; Tanguay, J.M.; Bragg, A.F.; Green, J.S.; Crouse, S.F. Predicting Body Fat to the Accuracy of Dexa Using Standard Anthropometric Measures. J. Strength Cond. Res. 2011, 25, S38–S39. [Google Scholar] [CrossRef]
- Wang, X.; Zhao, L. Comparative analysis of cardiorespiratory fitness, bio-motor abilities, and body composition indicators among sprint kayakers of different age groups and expertise levels. Front. Physiol. 2023, 14, 1259152. [Google Scholar] [CrossRef] [PubMed]
- Pedersen, P.; Ruihley, B.; Li, B. Sport and the Pandemic: Perspectives on COVID-19’s Impact on the Sport Industry; Routledge: London, UK, 2020. [Google Scholar]
- Casa, D.J.; Armstrong, L.E.; Hillman, S.K.; Montain, S.J.; Reiff, R.V.; Rich, B.S.E.; Roberts, W.O.; Stone, J.A. National Athletic Trainers’ Association Position Statement: Fluid Replacement for Athletes. J. Athl. Train. 2000, 35, 212–224. [Google Scholar] [PubMed]
- Nana, A.; Slater, G.J.; Stewart, A.D.; Burke, L.M. Methodology review: Using dual-energy X-ray absorptiometry (DXA) for the assessment of body composition in athletes and active people. Int. J. Sport Nutr. Exerc. Metab. 2015, 25, 198–215. [Google Scholar] [CrossRef] [PubMed]
- Cohen, J. Statistical Power Analysis for the Behavioral Sciences, 2nd ed.; Routledge: London, UK, 1988. [Google Scholar]
- López-Plaza, D.; Alacid, F.; Rubio-Arias, J.Á.; López-Miñarro, P.Á.; Muyor, J.M.; Manonelles, P. Morphological and Physical Fitness Profile of Young Female Sprint Kayakers. J. Strength Cond. Res. 2019, 33, 1963–1970. [Google Scholar] [CrossRef] [PubMed]
- Martínez-Rodríguez, A.; Sánchez-Sánchez, J.; Vicente-Martínez, M.; Martínez-Olcina, M.; Miralles-Amorós, L.; Sánchez-Sáez, J.A. Anthropometric Dimensions and Bone Quality in International Male Beach Handball Players: Junior vs. Senior Comparison. Nutrients 2021, 13, 1817. [Google Scholar] [CrossRef] [PubMed]
- Till, K.; Scantlebury, S.; Jones, B. Anthropometric and Physical Qualities of Elite Male Youth Rugby League Players. Sports Med. 2017, 47, 2171–2186. [Google Scholar] [CrossRef] [PubMed]
- Hamano, S.; Ochi, E.; Tsuchiya, Y.; Muramatsu, E.; Suzukawa, K.; Igawa, S. Relationship between performance test and body composition/physical strength characteristic in sprint canoe and kayak paddlers. Open Access J. Sports Med. 2015, 6, 191–199. [Google Scholar] [CrossRef] [PubMed]
- Wells, J.C. Sexual dimorphism of body composition. Best Pract. Res. Clin. Endocrinol. Metab. 2007, 21, 415–430. [Google Scholar] [CrossRef] [PubMed]
- Sands, W.A.; McNeal, J.R.; Stone, M.H. Plaudits and pitfalls in studying elite athletes. Percept. Mot. Ski. 2005, 100, 22–24. [Google Scholar] [CrossRef] [PubMed]
- Ahtiainen, J.P.; Pakarinen, A.; Alen, M.; Kraemer, W.J.; Häkkinen, K. Muscle hypertrophy, hormonal adaptations and strength development during strength training in strength-trained and untrained men. Eur. J. Appl. Physiol. 2003, 89, 555–563. [Google Scholar] [CrossRef] [PubMed]
- Slater, G.J.; Dieter, B.P.; Marsh, D.J.; Helms, E.R.; Shaw, G.; Iraki, J. Is an Energy Surplus Required to Maximize Skeletal Muscle Hypertrophy Associated with Resistance Training. Front. Nutr. 2019, 6, 131. [Google Scholar] [CrossRef] [PubMed]
- Stokes, T.; Hector, A.J.; Morton, R.W.; McGlory, C.; Phillips, S.M. Recent Perspectives Regarding the Role of Dietary Protein for the Promotion of Muscle Hypertrophy with Resistance Exercise Training. Nutrients 2018, 10, 180. [Google Scholar] [CrossRef] [PubMed]

| Men (n = 20) | Women (n = 12) | |||
|---|---|---|---|---|
| Senior (n = 13) | U23 (n = 7) | Senior (n = 5) | U23 (n = 7) | |
| Age (years) | 24.7 ± 5.0 *** | 18.6 ± 1.2 | 26.0 ± 3.2 a** | 20.0 ± 1.8 |
| Height (m) | 1.86 ± 0.05 a | 1.81 ± 0.05 | 1.76 ± 0.06 *a | 1.69 ± 0.05 |
| Mass (kg) | 88.6 ± 7.1 *a | 78.2 ± 10.6 | 71.1 ± 5.7 a | 67.3 ± 3.7 |
| BMI (kg·m−2) | 25.6 ± 1.4 *a | 23.7 ± 2.3 | 22.9 ± 1.0 | 23.7 ± 1.5 |
| Fat Mass (kg) | 14.1 ± 3.2 | 13.4 ± 3.0 | 14.1 ± 1.7 *a | 16.3 ± 1.7 |
| Fat Mass (%) | 16.5 ± 3.3 | 17.6 ± 1.7 | 20.8 ± 2.8 *a | 25.0 ± 2.0 |
| Lean Body Mass (kg) | 71.3 ± 6.1 **a | 62.3 ± 7.1 | 53.8 ± 5.3 *a | 48.7 ± 2.5 |
| Lean Mass Ratio | 0.81 ± 0.03 | 0.80 ± 0.02 | 0.76 ± 0.03 *a | 0.72 ± 0.02 |
| FFM (kg) | 74.9 ± 6.3 **a | 65.5 ± 7.4 | 56.7 ± 5.5 *a | 51.3 ± 2.6 |
| BMC (g) | 3541 ± 299 * | 3234 ± 361 | 2878 ± 306 *a | 2545 ± 167 |
| Men (n = 20) | Women n = 12 | ||||
|---|---|---|---|---|---|
| Senior (n = 13) | (U23 n = 7) | (Senior n = 5) | (U23 n = 7) | ||
| Arms | Lean Mass (kg) | 10.1 ± 1.1 **a | 8.4 ± 1.2 | 6.5 ± 0.5 a | 6.0 ± 0.6 |
| Fat Mass (kg) | 1.6 ± 0.3 | 1.5 ± 0.2 | 1.5 ± 0.1 * | 1.9 ± 0.2 | |
| Trunk | Lean Mass (kg) | 36.4 ± 3.1 **a | 31.7 ± 3.3 | 28.4 ± 3.5 a | 25.5 ± 1.2 |
| Fat Mass (kg) | 6.2 ± 1.8 | 5.7 ± 2.1 | 5.5 ± 1.1 a | 6.8 ± 1.1 | |
| Legs | Lean Mass (kg) | 21.3 ± 2.1 *a | 19.0 ± 2.7 | 16.0 ± 1.4 *a | 14.1 ± 0.9 |
| Fat Mass (kg) | 5.4 ± 1.2 | 5.4 ± 0.9 | 6.2 ± 0.8 | 6.8 ± 1.1 | |
| Upper Body | Mass (kg) | 56.0 ± 4.5 **a | 48.7 ± 6.7 | 43.2 ± 3.7 | 41.3 ± 2.3 |
| Lean Mass (kg) | 46.5 ± 4.0 **a | 40.1 ± 4.4 | 34.9 ± 3.9 a | 31.5 ± 1.5 | |
| Upper Body:Lower Body Lean Mass Ratio | 2.18 ± 0.11 | 2.12 ± 0.10 | 2.17 ± 0.12 | 2.24 ± 0.10 | |
Disclaimer/Publisher’s Note: The statements, opinions and data contained in all publications are solely those of the individual author(s) and contributor(s) and not of MDPI and/or the editor(s). MDPI and/or the editor(s) disclaim responsibility for any injury to people or property resulting from any ideas, methods, instructions or products referred to in the content. |
© 2025 by the authors. Licensee MDPI, Basel, Switzerland. This article is an open access article distributed under the terms and conditions of the Creative Commons Attribution (CC BY) license (https://creativecommons.org/licenses/by/4.0/).
Share and Cite
Keefe, A.G.; Wijekulasuriya, G.A.; Bowler, A.-L.M.; Bullock, N.; Coffey, V.G.; Cox, G.R. Body Composition Characteristics of Elite Senior and Under 23 Australian Sprint Kayakers. Sports 2025, 13, 143. https://doi.org/10.3390/sports13050143
Keefe AG, Wijekulasuriya GA, Bowler A-LM, Bullock N, Coffey VG, Cox GR. Body Composition Characteristics of Elite Senior and Under 23 Australian Sprint Kayakers. Sports. 2025; 13(5):143. https://doi.org/10.3390/sports13050143
Chicago/Turabian StyleKeefe, Ashleigh G., Gyan A. Wijekulasuriya, Amy-Lee M. Bowler, Nicola Bullock, Vernon G. Coffey, and Gregory R. Cox. 2025. "Body Composition Characteristics of Elite Senior and Under 23 Australian Sprint Kayakers" Sports 13, no. 5: 143. https://doi.org/10.3390/sports13050143
APA StyleKeefe, A. G., Wijekulasuriya, G. A., Bowler, A.-L. M., Bullock, N., Coffey, V. G., & Cox, G. R. (2025). Body Composition Characteristics of Elite Senior and Under 23 Australian Sprint Kayakers. Sports, 13(5), 143. https://doi.org/10.3390/sports13050143

