Abstract
Background: Athletes with expertise in sports show extensive procedural and factual information, enhancing their ability to focus attention, use cues, and anticipate events. This study examined the differentiation of perceptual-cognitive skills by focusing on attentional cues, processing speed, and working memory. Methods: The component skill approach was used to assess differences in sports expertise levels using non-sport-specific cognitive measures of perceptual-cognitive skills. The study involved a total of 127 college athletes with a mean age of 20.23 years (SD = 3.08) and an average of 10.99 years of training. Among these participants, there were 43 female athletes with a mean age of 20.23 years (SD = 3.32) and 84 male athletes with a mean age of 20.22 years (SD = 2.98). We analyzed the cohort of students who did not engage in regular sports training, identifying them as the control group for our study. A multivariate analysis of variance (MANOVA) was employed to analyze the measures of the SPT and CBT perceptual-cognitive tasks, treating them as separate dependent variables. The categorization of elite levels and participants is outlined below: there are 41 semi-elite athletes, 70 competitive elite athletes, 12 successful elite athletes, and 4 world-class elite athletes. Results: There were no differences in semi-elite and competitive elite athletes’ perceptual-cognitive skills regarding visual-spatial reaction time (Wilks’ λ = 0.956, p > 0.05), but there was a significant difference in the working memory span (Wilks’ λ = 0.804, p < 0.05). Conclusions: The study reports that elite college athletes have higher working memory, which is crucial for sport performance, compared to semi-elite athletes. However, no between-group differences were observed in reaction time.
1. Introduction
Sports expertise refers to the ability to consistently exhibit exceptional sporting performance and consistently superior athletic performance over time [1,2,3,4]. Researchers from a variety of disciplines, including neuroscience, cognitive psychology, sport psychology, and motor skill learning, have established an interdisciplinary field dedicated to the study of ‘expertise’. Exceptional expertise can be comprehended by analyzing the cognitive and neural processes that are developed through deliberate practice [4].
To attain expert status, athletes are required to demonstrate excellence in four domains: physiological, technical, cognitive, and emotional [3]. Although it is evident that performance excellence exists, further investigation is necessary to understand the perceptual-cognitive mechanisms that contribute to expertise. Perceptual-cognitive skills involve the capacity to identify and process information, integrate it into existing knowledge, and select and execute appropriate responses [5]. For athletes to perform at their best, it is crucial to accurately perceive orientation and timing. However, both important and unimportant task details can often be overlooked owing to the abundance of visual stimuli. Athletes need to identify the most informative areas, direct their attention effectively, and quickly gather information [6].
In recent years, researchers have attempted to identify the psychological factors of excellence in sports [3]. Research suggests that elite athletes possess procedural and declarative knowledge that enables them to identify crucial information and predict events [7,8,9,10]. Furthermore, they exhibit proficiency in decision-making and the prediction of potential outcomes [2,11]. In addition, sports expertise displays higher perceptual-cognitive skills, including efficient attention allocation and cue utilization, as demonstrated in sports, highlighting the importance of acquiring perceptual skills to develop athletic expertise [12,13]. Consequently, researchers have concentrated on elucidating the processes through which athletes acquire perceptual cues [11] and understanding their superior capacity to process task-specific information [14].
Sports events require athletes to concentrate on the most relevant cues in order to achieve optimal performance and strategy. Consequently, differences between sports experts and non-sports experts were evident in sport-specific attention allocation and information acquisition measures. Further research on various sports, performance levels, and theoretical models is required to evaluate the benefits of performance and fluency for better perceptual-cognitive skill training recommendations [15].
Research indicates that exercise positively impacts cognitive function [16,17], enhancing cognitive performance through better control of motor skills and basic cognition integration. Besides exercise, specific cognitive training, especially attention [18] and working memory [19], also boosts cognitive skills. Notably, elite athletes, particularly those in interactive and technical sports, benefit similarly from both exercise and cognitive training. High performance levels in perceptual-cognitive skills through video-based task simulations are feasible [20].
Perceptual-cognitive skills in sports are typically examined through a high-performance orientation using sports-related stimuli. Studies often involve novice, sub-sports expertise athletes, and sports expertise athletes responding to visual stimuli from the sports context to recognize movement patterns or predict strike directions. Mann et al.’s [21] meta-analysis revealed that elite athletes excelled in sport-related cognitive tasks that did not include non-sport-specific stimuli, indicating the limited transferability of these skills to other domains. However, evidence suggests that team sports athletes enhance their non-sport-specific cognitive skills. Voss et al.’s [22] meta-analysis research found small to moderate effect sizes, showing that elite athletes performed better on cognitive measures than non-elite athletes, with the largest effect on message processing speed. They concluded that examining cognitive components to link sport-specific and general cognitive skills and differentiating cognitive skills into attentional cuing, processing speed, and varied attention yielded mixed results, but confirmed skill transfer from sports to general environments. Other studies have also demonstrated a positive correlation between cognitive and motor skills. In a cross-sectional study, high-skilled soccer players exhibited better executive functioning than lower-skilled players, who outperformed the normative group [23]. The study concluded that perceptual-cognitive skills may enhance performance in interceptive sports as well [24].
Athletes’ cognitive skills can be examined through two experimental psychological research methods: (i) the sports expertise performance approach and (ii) the component skill approach. The sports expertise performance approach evaluates athletes’ specific sports performance [3,21] and allows skill transfer from the field to the laboratory (proximity transfer). Research employing this methodology indicates that individuals with expertise, as opposed to those with non-sport expertise, exhibit a more comprehensive understanding of task-related information. Research using this methodology suggests that people with expertise, as opposed to those without, demonstrate a more comprehensive understanding of task-related information. They make better use of available data, encode and retrieve relevant information more efficiently, and detect and localize objects and patterns more quickly and accurately. They also make faster and more appropriate decisions using valid information [25]. The component skill approach assesses the link between basic cognitive skills and motor expertise [3,26] and determines whether athletes differ from non-athletes in perceptual-cognitive processes.
The reciprocal relationship between working memory and attention in the domain of sports has been well documented [27,28]. Athletes appear to effectively utilize attentional resources to influence movement preparation and sustain optimal performance [29]. Furley and Memmert [30] demonstrated that the current content of working memory directs athletes’ attention, positing this as the core mechanism by which attention is allocated in the deliberate pursuit of goals. Consequently, athletes can self-regulate their attentional system, enabling the conscious execution of goal-oriented movements. Working memory capacity reflects an individual’s ability to control attention [31,32,33].
Based on the above literature on cognitive ability, the present study used a component skill approach to assess differences in sports expertise using non-sport-specific cognitive measures. Further, we investigated not only interceptive but also open-skill sports. This study aimed to investigate the levels of perceptual-cognitive skills among elite athletes. We hypothesized that athletes with higher perceptual and cognitive skills would exhibit superior performance in their respective sports.
2. Materials and Methods
This study focused on perceptual-cognitive skills as the main research framework, and we screened out the cognitive ability-related factors that may affect athletic performance, including different sports, athletes’ levels, visual-spatial reaction time, and working memory prediction variables, to further understand the cognitive ability factors affecting the performance of motor skills.
2.1. Participants
A purposive sampling method [34] was used to select student athletes who participated in interceptive, strategic, and static sports as well as a control group of students who did not participate in regular sports training. Participants should be free from obvious diseases and disabilities and should sign a “consent form” before participating in the experiment. This study was approved by the University of Taipei Institutional Review Board (protocol code: UT-IRB No IRB-2020-073, 9 February 2021–2024).
Athletes and non-athletes were selected, and the athletes were asked to complete a questionnaire developed by Swann et al. [35]. The selected athletes should have had more than two years of experience in sports, and athletes with less than two years of experience were excluded.
2.2. Measures
Responses were given on a display measuring 1428.4 × 803.5 mm with an 8 ms response time to record reaction times. The procedures for testing spatial priming and working memory capacity are described in the Cognitive Component Test section. The perceptual-cognitive skills were assessed using the spatial priming task (SPT) [36] and the Corsi block-tapping (CBT). A total of 54 trials were run, with significant differences between the five conditions, according to Nelson [36] PEBL technical report 2013-1. The CBT serves as a measure of spatial ability. Counting span tasks assess working memory [37]. It has been used in sports [27,38]. The participants were instructed to perform the trials after comprehending the procedures individually. The test–retest reliability coefficients were 0.90 and 0.92 for the SPT and CBT, respectively.
2.3. Procedure
The athletic performance of individuals was assessed using a questionnaire that incorporated competitive scores for athletes, as described by Swann et al. [35]. These scores were calculated using criteria from the existing literature and were based on questions posed by Swann et al. [35] divided into two segments: competition within the athletes’ home country, and global competition. The elite status of an athlete within their home country is influenced by the country’s size and the sport’s popularity. Globally, status is determined by the number of competitors and the effort required to excel in sports. Scores were categorized as follows: 1–4 for semi-elite athletes, 4–8 for competitive elite athletes, 8–12 for successful elite athletes, and 12–16 for world-class elite athletes.
2.4. Data Analysis
The normality of the distribution of continuous variables was evaluated using the Kolmogorov–Smirnov (K–S) normality test. The results showed that SPT and CBT outcomes significantly deviated from the normal distribution (p < 0.05). Consequently, the normality assumption for the SPT and CBT distributions was rejected. As SPTs are continuous variables and normality was rejected, bootstrap MANOVA was used to examine the reaction time of the elite group. A generalized rank-order approach for nonparametric MANOVA tests on CBT data was utilized, as outlined by Thomas et al. [39].
We used MANOVA separately for the measures of the SPT and CBT tasks as dependent variables. Wilks’ lambda values for group differences in a number of dependent variables were determined [40]. Where no significant dependent variable interactions were observed, an independent t-test was applied to examine performance differences in perceptual-cognitive skills between the athlete groups.
Effect sizes were expressed as partial eta-squared values in MANOVA (small ≥ 0.01, medium ≥ 0.06, large ≥ 0.14), with Cohen’s d (small ≥ 0.2, medium ≥ 0.5, large ≥ 0.8) indicating mean group differences. Significance was set at 0.05 (Cohen [41]). The formula for the effect size test was first calculated using the t-test value for a between-subjects t-test and the degrees of freedom, Cohen’s d = 2t/√(df), and rYl = √(t2/(t2 + df)). All statistical levels of α were set at 0.05. An effect size (ES) test was also performed to determine the size of the differences between the groups.
3. Results
3.1. Participant Descriptive Statistics
Participants in this study were selected by intentional sampling. There were 127 college athletes (M = 20.23 years, SD = 3.08) with an average training duration of 10.99 years, 43 female athletes (M = 20.23 years, SD = 1.92), and 84 male athletes (M = 20.22 years, SD = 2.98). The athletes included 5 badminton players with 10.60 years of training duration (SD = 0.89), 28 soccer players with 10.90 years of training duration (SD = 3.14), 16 soft-tennis players with 11.50 years of training duration (SD = 3.41), 47 taekwondo athletes with 10.74 years of training duration (SD = 3.74), 16 tennis players with 10.74 years of training duration (SD = 2.88), and 15 volleyball players with 11.93 years of training (SD = 2.97). There were 44 non-athletic students, aged 18.77 years (SD = 1.32), who had not experienced sports training. The descriptive statistics of athletic sports for competitive athletes are shown in Table 1. Table 2 lists the participants’ elite levels and scores, with higher scores indicating higher elite levels.
Table 1.
Descriptive statistics of athletic sports for competitive athletes.
Table 2.
Descriptive statistics of competitive athletes’ scores.
After the classification formula, the resulting levels were as follows: 41 semi-elite athletes (32.2%, average score 2.80), 70 competitive elite athletes (55.3%, average score 5.67), 12 successful elite athletes (9.4%, average score 9.1), and 4 world-class elite athletes (3.1%, average score 14.5), representing the distribution of competitiveness levels among the athletes. As shown in Table 2, the semi-elite and elite groups comprised 41 semi-elite athletes with a percentage of 32.3% and an average competitiveness score of 2.80, and 86 elite athletes with a percentage of 67.7% and an average competitiveness score of 9.77, respectively. Elite and semi-elite athletes are listed in Table 3.
Table 3.
Descriptive statistics of elite athletes and semi-elite and elite scores.
In the subsequent analysis, sports were categorized into three distinct types: intercept, strategy, and paced. The perceptual-cognitive skills associated with athletes in these categories are presented in Table 4 and Table 5. This categorization follows the framework established by the meta-analysis of Voss et al. [22]. Intercept sports include athletes participating in badminton, soft tennis, tennis, and volleyball. Strategy sports are represented by soccer athletes, whereas paced sports are exemplified by taekwondo athletes who are involved in formation competitions.
Table 4.
Perceptual-cognitive skills: visual-spatial reaction time F-test and descriptives for intercept, strategy, and paced sports.
Table 5.
Perceptual-cognitive skills: working memory F-test and descriptives for intercept, strategy, and paced sports.
3.2. Perceptual-Cognitive Skills Performance of Elite Athlete Levels
In this study, perceptual-cognitive skills were assessed using a component skill approach, specifically by examining variations in spatial reaction activation and visual-spatial working memory. The results were statistically tested among elite athletes.
3.2.1. Elite Levels’ Visual-Spatial Reaction Time Capability Performance
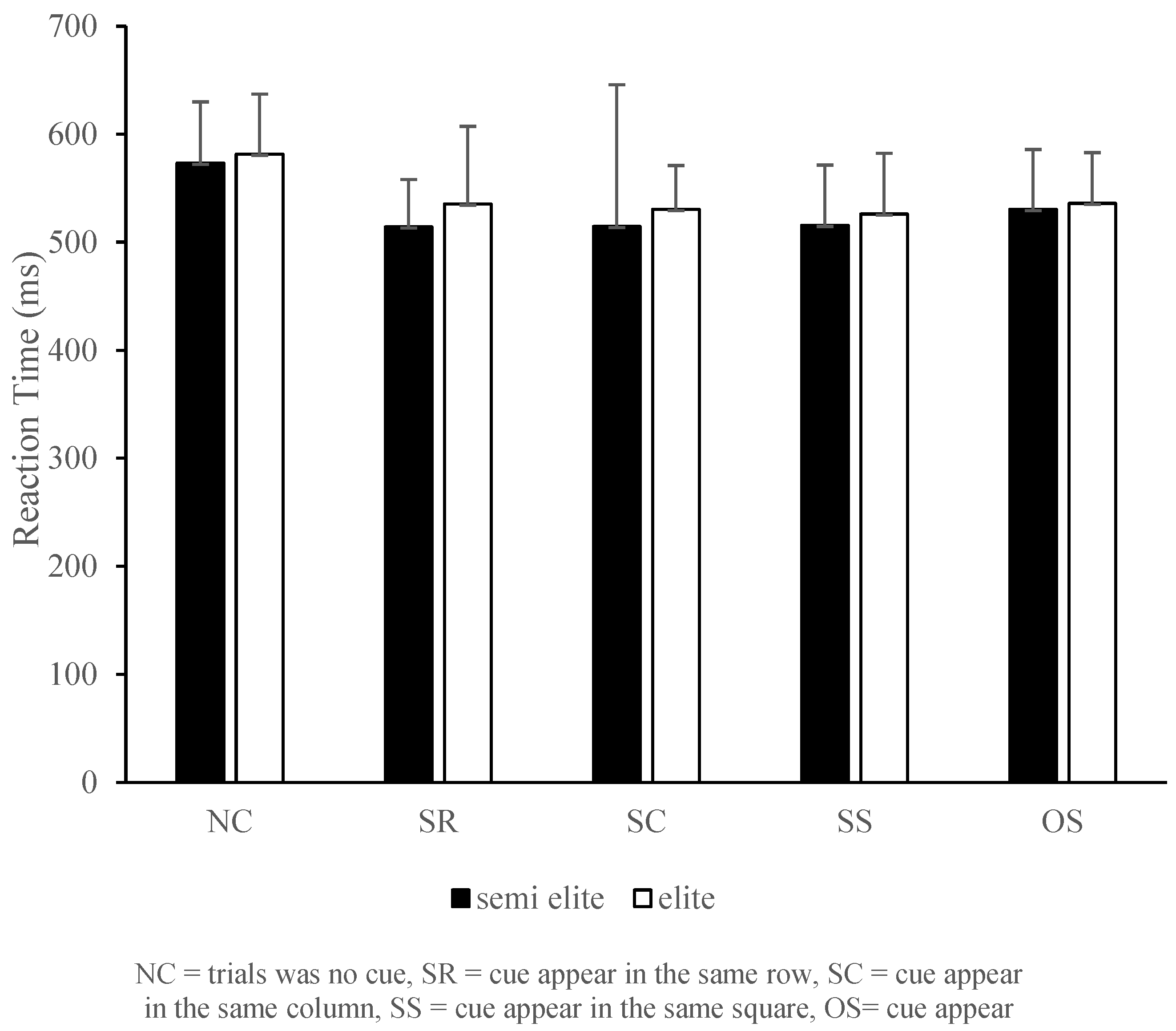
In the statistical examination of the athletes’ perceptual-cognitive at the elite level, there were 41 athletes in the semi-elite group and 86 athletes in the elite group. In the NC performance for visual-spatial reaction time, the semi-elite group recorded 573.16 ms, SD = 79.44 ms, whereas the elite group recorded 581.56 ms, SD = 92.20. The difference between the two groups had no significant main effect in the MANOVA test, with Wilks’ λ = 0.956, F (5, 125) = 1.176, p > 0.05, η2 = 0.04, and observed power = 0.408. We further compared the differences between the two groups using independent-sample t-test, which showed t (126) = −0.498, p > 0.05, ES = 0.097. In SR performance, the semi-elite group obtained 514.06 ms, SD = 59.63 ms, and the elite group obtained 525.34 ms, SD = 65.35, with t (126) = −1.761, p > 0.05, ES = 0.3440. In SC performance, the semi-elite group recorded 514.54 ms, SD = 62.77 ms, and the elite group 530.28 ms, SD = 61.86, with t (126) = −1.330, p > 0.05, ES = 0.252. In SS performance, the semi-elite group achieved 515.59 ms, SD = 85.22 ms, and the elite group 526.01 ms, SD = 65.60, with t (126) = −0.756, p > 0.05, ES = 0.137. In OS performance, the semi-elite group recorded 530.26 ms, SD = 59.48 ms, and the male group recorded 520.17 ms, SD = 66.05, with t (126) = −0.741, p > 0.05, ES = 0.088. The above orientations show that there was no significant difference in the visual-spatial reaction time capability of the elite levels. A summary of the t-test of the visual-spatial reaction time of the elite levels is presented in Table 6 and Figure 1.
Table 6.
Perceptual-cognitive skills: visual-spatial reaction time t-test for elite and semi-elite competitive athletes.
Figure 1.
Visual-spatial reaction time in competitive semi-elite and elite college athletes.
3.2.2. Elite Athletes Working-Memory Performance
In CBT performance, assessing visuospatial short-term memory, there was a significant main effect in the MANOVA test, Wilks’ λ = 0.804, F (4, 125) = 8.303, p < 0.05, η2 = 0.19, observed power = 0.998. Athletes in the semi-elite group obtained a value of 6.56, SD = 1.28, and the elite group obtained a value of 7.08, SD = 1.34. Comparison of the differences between the two groups using an independent-sample t-test showed t (126) = 0.041, p < 0.05, ES = 0.396. In TS performance, athletes in the semi-elite group obtained a value of 63.41, SD = 24.23, and those in the elite group 72.27, SD = 24.09, with t (126) = 0.056, p < 0.05, ES = 0.366. In TC performance, the value obtained was 9.37, SD = 1.72, for the semi-elite group and 11.06, SD = 1.06, for the elite group, with t (126) = 0.333, p > 0.05, ES = 0.398. In MS performance, the value obtained by the semi-elite group was 5.75, SD = 0.793, and the value obtained by the elite group was 5.95, SD = 0.92, with t (126) = 0.925, p > 0.05, ES = 0.232. The above orientations showed that there was a significant difference in visuospatial short-term memory for the elite level, and a summary table of the t-tests of visuospatial short-term memory for the elite level is shown in Table 7. This result revealed that the elite group demonstrated a significant improvement in visuospatial short-term memory compared to the semi-elite group. Elite athletes have a higher cognitive capacity compared to their non-elite counterparts. A summary of the t-test of the working-memory performance of the elite levels is presented in Table 7 and Figure 2.
Table 7.
Perceptual-cognitive skills: working memory t-test for competitive athletes.
Figure 2.
Corsi block task performance. in competitive semi-elite and elite college athletes memory span. * p < 0.05.
4. Discussion
In our study, we evaluated a variety of sports and assessed the perceptual-cognitive skills of elite college athletes at various stages, taking their gender into account. The following analysis centered on perceptual-cognitive skills, focusing specifically on visual-spatial reaction time and short-term memory in elite and semi-elite athletes. Furthermore, this analysis also examined the role of perceptual-cognitive skills in decision making, focusing on the ability to quickly process and analyze visual information and make split-second decisions in the field. Additionally, the analysis explored the relationship between perceptual-cognitive skills and performance in various sports, examining how these abilities can contribute to an athlete’s success in their respective sports.
4.1. Perceptual-Cognitive Skill Effects at the Elite Level
The athletes’ elite levels were determined by Swan [35], who defined elite athletes based on specific athlete characteristics. Based on the athletes’ responses to the elite athletes’ competition experiences and individual competition results, the elite athletes were categorized into semi-elite athletes and elite athletes above the competitive athletes using the calculation formula. After the calculation, there were approximately 41 semi-elite athletes and 86 competitive elite athletes.
The findings indicated no differences in elite athletes’ perceptual-cognitive skills regarding visual-spatial reaction time, but there was a significant disparity in the short-term working memory span, partially supporting the hypothesis.
4.2. Athletes’ Visual-Spatial Reaction Time
Visual-spatial reaction time is a fundamental requirement for athletes, particularly elite and semi-elite athletes. The absence of significant discrepancies in the visual reaction time tests between the two groups could be attributed to the crucial visual-cognitive skills of athletes in both groups. Given the extensive experience of the recruited college athletes, their reaction times aligned with those of elite performers [38]. Moreover, visual reaction time might be an acquired skill for athletes over many years of practice in a wide range of sports, including both closed- and open-skill sports [42]. It was also observed that experienced athletes had better perceived time than novice athletes in this study and other studies [43]. Research on visual reaction time in open-skill sports versus closed-skill sports also showed no differences between the two [42]. Additionally, one study found no significant elite-level effects on visual-spatial reaction time in adolescent badminton players [38].
4.3. Athletes’ Working Memory Performance
In this study, we examined the working memory in regulating attention and found that elite athletes outperformed semi-elite athletes in working memory performance. According to previous research, improved working memory and specialized movement skills may play a significant role in enhancing sports performance and achieving success in athletes. Recent cognitive research has highlighted the significant role of working memory in information storage, cognitive control, and attentional mechanisms [44,45,46,47]. Defined as the capacity to temporarily retain and utilize small amounts of information during tasks [45,46,47], working memory is crucial for smooth action execution [47,48]. Enhancing working memory capacity (WMC) improves adaptability to situational changes, tactical decision-making [49], focus, and efficient attention allocation [50]. As noted by Kok [35], attention and working memory interact and complement each other [51]. Elite athletes can adapt their cognitive processing modes based on the complexity of competitive situations, alternating between different cognitive processing methods rather than relying solely on unconscious autonomy [52].
These results align with those of previous studies; in the study by Williams and Ford [6], individuals with high working memory capacity were better able to adapt their tactical decisions to the situation and focus their attention on the decision-making task while ignoring extraneous auditory interference results [10,49]. According to Engle [53], a greater WMC is often associated with an increased ability to control attention. This is because WMC refers to a person’s ability in short-term memory and attentional control, i.e., the ability to hold and process multiple messages at the same time. A larger WMC enables athletes to retain and process more information concurrently, which is crucial for managing and regulating their attention. This capacity allows for more efficient resource allocation, rapid attention switching, and interference suppression, which are vital for maintaining focus during complex cognitive tasks and for effectively performing multiple tasks.
The scope of this study was confined to the amateur sports activities of college student-athletes. Although Swan et al. raised questions regarding the level of elite athletes, it is important not to extrapolate these findings to professional athletes. Moreover, due to the cross-sectional design of the study and the characteristics of the sample region and size, it is not possible to draw causal inferences regarding the development of perceptual-cognitive skills. To address this limitation, future research should incorporate longitudinal data collection methods. This approach would allow researchers to track changes in variables over time, potentially revealing causal relationships and providing a more comprehensive understanding of the subject matter. The cognitive tasks assessed included attention and working memory; however, the flexibility of cognitive function was not examined.
5. Conclusions
Perceptual-cognitive skills involve the ability to detect and process information, which is key to successful sporting performance. Sports experts demonstrate higher perceptual-cognitive skills, including efficient allocation of attention and use of cues, demonstrating the importance of acquiring perceptual skills in the development of sports expertise.
The study revealed that competitive elite college athletes demonstrated higher working memory and perceptual-cognitive skills compared to semi-elite athletes, which are crucial for sports performance; in other words, elite athletes are better able to adapt their cognitive processing modes to the complexity of competitive situations. They can switch between different cognitive processing methods rather than relying solely on unconscious autonomy. However, no differences were observed between the groups concerning reaction time conditions, as visual-spatial reaction time is a fundamental requirement for athletes, developed through many years of practice in a variety of sports.
The findings presented herein underscore the importance of higher-order perceptual and cognitive skills in differentiating between performance levels among athletes. To enhance performance levels in sports, it is recommended that coaches incorporate practice that focuses upon enhancing executive function and cognitive abilities. Future research should investigate more dynamic tasks to achieve a comprehensive understanding of the impact of elite athletic participation on perceptual-cognitive skills.
Author Contributions
Conceptualization and writing—original draft preparation, K.-C.W. and H.-C.L., resources, Z.-Y.C.; writing—review and editing, C.-H.C.; supervision, J.-N.C., H.-L.T. and S.-I.L. All authors have read and agreed to the published version of the manuscript.
Funding
This research received no external funding.
Institutional Review Board Statement
This study adhered to the principles outlined in the Declaration of Helsinki and was approved by the Institutional Review Board of the University of Taipei (protocol code: UT-IRB no. IRB-2020-073, 9 February 2021–2024).
Informed Consent Statement
The institutional review board granted approval for the Informed Consent Statement, and consent to participate was obtained from both the recruited athletes and the students in the control group.
Data Availability Statement
Please contact the corresponding author if any additional data are required in raw form.
Acknowledgments
We express our heartfelt gratitude to our collaborators, graduate students, and athletes at the Graduate Institute of Sports Training Technology Science Laboratory of Sports Analytics of UT for their invaluable assistance in gathering pertinent research papers that enabled us to draft this article with the goal of achieving superior athletic performance.
Conflicts of Interest
The authors declare no conflicts of interest.
References
- Janelle, C.M.; Hillman, C.H. Expert performance in sport: Current perspectives and critical issues. In Expert Performance in Sports: Advances in Research on Sport Expertise; Human Kinetics: Champaign, IL, USA, 2003; pp. 19–48. [Google Scholar]
- Starkes, J.; Allard, F. Cognitive Issues in Motor Expertise; Elsevier: Amsterdam, The Netherlands, 1993. [Google Scholar]
- Starkes, J.L.; Ericsson, K.A. Expert Performance in Sports: Advances in Research on Sport Expertise; Human Kinetics: Champaign, IL, USA, 2003. [Google Scholar]
- Ericsson, K.A. The acquisition of expert performance: An introduction to some of the issues. In The Road to Excellence; Psychology Press: London, UK, 2014; pp. 1–50. [Google Scholar]
- Marteniuk, R.G. Information Processing in Motor Skills; Holt, Rinehart and Winston: New York, NY, USA, 1976. [Google Scholar]
- Williams, A.M.; Ford, P.R. Expertise and expert performance in sport. Int. Rev. Sport Exerc. Psychol. 2008, 1, 4–18. [Google Scholar] [CrossRef]
- French, K.E.; Spurgeon, J.H.; Nevett, M.E. Expert-novice differences in cognitive and skill execution components of youth baseball performance. Res. Q. Exerc. Sport 1995, 66, 194–201. [Google Scholar] [CrossRef] [PubMed]
- French, K.E.; Thomas, J.R. The relation of knowledge development to children’s basketball performance. J. Sport Psychol. 1987, 9, 15–32. [Google Scholar] [CrossRef]
- McPherson, S.L. Expert-novice differences in planning strategies during collegiate singles tennis competition. J. Sport Exerc. Psychol. 2000, 22, 39–62. [Google Scholar] [CrossRef]
- Diotaiuti, P.; Valente, G.; Mancone, S.; Bellizzi, F. A mediating model of emotional balance and procrastination on academic performance. Front. Psychol. 2021, 12, 665196. [Google Scholar] [CrossRef] [PubMed]
- Williams, A.M.; Elliott, D. Anxiety, expertise, and visual search strategy in karate. J. Sport Exerc. Psychol. 1999, 21, 362–375. [Google Scholar] [CrossRef]
- Abernethy, B.; Russell, D.G. Expert-novice differences in an applied selective attention task. J. Sport Exerc. Psychol. 1987, 9, 326–345. [Google Scholar] [CrossRef]
- Abernethy, B. Visual search in sport and ergonomics: Its relationship to selective attention and performer expertise. Hum. Perform. 1988, 1, 205–235. [Google Scholar] [CrossRef]
- Abernethy, B. The 1997 Coleman Roberts Griffith address movement expertise: A juncture between psychology theory and practice. J. Appl. Sport Psychol. 1999, 11, 126–141. [Google Scholar] [CrossRef]
- Wang, K.-P.; Chen, T.-T.; Hung, T.-M. Flow experience and performance in precision sports: An electroencephalographic perspective. Bull. Sport Exerc. Psychol. Taiwan 2018, 18, 57–76. [Google Scholar]
- Colcombe, S.; Kramer, A.F. Fitness effects on the cognitive function of older adults: A meta-analytic study. Psychol. Sci. 2003, 14, 125–130. [Google Scholar] [CrossRef] [PubMed]
- Hillman, C.H.; Erickson, K.I.; Kramer, A.F. Be smart, exercise your heart: Exercise effects on brain and cognition. Nat. Rev. Neurosci. 2008, 9, 58–65. [Google Scholar] [CrossRef] [PubMed]
- Tang, Y.-Y.; Posner, M.I. Attention training and attention state training. Trends Cogn. Sci. 2009, 13, 222–227. [Google Scholar] [CrossRef] [PubMed]
- Karbach, J.; Verhaeghen, P. Making working memory work: A meta-analysis of executive-control and working memory training in older adults. Psychol. Sci. 2014, 25, 2027–2037. [Google Scholar] [CrossRef]
- Broadbent, D.P.; Causer, J.; Williams, A.M.; Ford, P.R. Perceptual-cognitive skill training and its transfer to expert performance in the field: Future research directions. Eur. J. Sport Sci. 2015, 15, 322–331. [Google Scholar] [CrossRef] [PubMed]
- Mann, D.T.; Williams, A.M.; Ward, P.; Janelle, C.M. Perceptual-cognitive expertise in sport: A meta-analysis. J. Sport Exerc. Psychol. 2007, 29, 457–478. [Google Scholar] [CrossRef]
- Voss, M.W.; Kramer, A.F.; Basak, C.; Prakash, R.S.; Roberts, B. Are expert athletes ‘expert’in the cognitive laboratory? A meta-analytic review of cognition and sport expertise. Appl. Cogn. Psychol. 2010, 24, 812–826. [Google Scholar] [CrossRef]
- Vestberg, T.; Gustafson, R.; Maurex, L.; Ingvar, M.; Petrovic, P. Executive functions predict the success of top-soccer players. PLoS ONE 2012, 7, e34731. [Google Scholar] [CrossRef]
- Hodges, N.J.; Wyder-Hodge, P.A.; Hetherington, S.; Baker, J.; Besler, Z.; Spering, M. Topical Review: Perceptual-cognitive Skills, Methods, and Skill-based Comparisons in Interceptive Sports. Optom. Vis. Sci. 2021, 98, 681–695. [Google Scholar] [CrossRef]
- Singer, R.N.; Janelle, C.M. Determining sport expertise: From genes to supremes. Int. J. Sport Psychol. 1999, 30, 117–150. [Google Scholar]
- Nougier, V.; Stein, J.-F.; Bonnel, A.-M. Information processing in sport and “orienting of attention”. Int. J. Sport Psychol. 1991, 22, 307–327. [Google Scholar]
- Furley, P.; Memmert, D. Differences in spatial working memory as a function of team sports expertise: The Corsi Block-tapping task in sport psychological assessment. Percept. Mot. Ski. 2010, 110, 801–808. [Google Scholar] [CrossRef] [PubMed]
- Furley, P.; Wood, G. Working memory, attentional control, and expertise in sports: A review of current literature and directions for future research. J. Appl. Res. Mem. Cogn. 2016, 5, 415–425. [Google Scholar] [CrossRef]
- Jin, H.; Xu, G.; Zhang, J.X.; Gao, H.; Ye, Z.; Wang, P.; Lin, H.; Mo, L.; Lin, C.-D. Event-related potential effects of superior action anticipation in professional badminton players. Neurosci. Lett. 2011, 492, 139–144. [Google Scholar] [CrossRef]
- Furley, P.; Memmert, D. “Whom should I pass to?” The more options the more attentional guidance from working memory. PLoS ONE 2013, 8, e62278. [Google Scholar] [CrossRef] [PubMed]
- Conway, A.R.; Kane, M.J.; Bunting, M.F.; Hambrick, D.Z.; Wilhelm, O.; Engle, R.W. Working memory span tasks: A methodological review and user’s guide. Psychon. Bull. Rev. 2005, 12, 769–786. [Google Scholar] [CrossRef]
- Kane, M.J.; Bleckley, M.K.; Conway, A.R.; Engle, R.W. A controlled-attention view of working-memory capacity. J. Exp. Psychol. Gen. 2001, 130, 169. [Google Scholar] [CrossRef]
- Kane, M.J.; Conway, A.R.; Hambrick, D.Z.; Engle, R.W. Variation in working memory capacity as variation in executive attention and control. Var. Work. Mem. 2007, 1, 21–48. [Google Scholar]
- Patton, M.Q. Qualitative Research & Evaluation Methods: Integrating Theory and Practice; Sage Publications: Thousand Oaks, CA, USA, 2014. [Google Scholar]
- Swann, C.; Moran, A.; Piggott, D. Defining elite athletes: Issues in the study of expert performance in sport psychology. Psychol. Sport Exerc. 2015, 16, 3–14. [Google Scholar] [CrossRef]
- Nelson, B. The Effects of Attentional Cuing and Input Methods on Reaction Time in Human-Computer Interaction; PEBL Technical Report Series; Michigan Technological University: Houghton, MI, USA, 2013. [Google Scholar]
- Diamond, A. Executive functions. Annu. Rev. Psychol. 2013, 64, 135–168. [Google Scholar] [CrossRef]
- Wu, K.-C.; Lee, Y.-L.; Chen, S.-C. The effects of age and gender and elite levels on perceptual–cognitive skills of adolescent badminton athletes. Front. Psychol. 2024, 15, 1415693. [Google Scholar] [CrossRef] [PubMed]
- Thomas, J.R.; Nelson, J.K.; Thomas, K.T. A generalized rank-order method for nonparametric analysis of data from exercise science: A tutorial. Res. Q. Exerc. Sport 1999, 70, 11–23. [Google Scholar] [CrossRef] [PubMed]
- Tabachnick, B.G.; Fidell, L.S.; Ullman, J.B. Using Multivariate Statistics; Pearson: Boston, MA, USA, 2013; Volume 6. [Google Scholar]
- Cohen, J. Statistical Power Analysis for the Behavioral Sciences; Academic Press: New York, NY, USA, 2013. [Google Scholar]
- Nuri, L.; Shadmehr, A.; Ghotbi, N.; Attarbashi Moghadam, B. Reaction time and anticipatory skill of athletes in open and closed skill-dominated sport. Eur. J. Sport Sci. 2013, 13, 431–436. [Google Scholar] [CrossRef] [PubMed]
- Phomsoupha, M.; Laffaye, G. The science of badminton: Game characteristics, anthropometry, physiology, visual fitness and biomechanics. Sports Med. 2015, 45, 473–495. [Google Scholar] [CrossRef] [PubMed]
- Baddeley, A.D.; Hitch, H.J. Working memory. In Psychology of Learning and Motivation; Elsevier: Amsterdam, The Netherlands, 1974; Volume 8, pp. 47–89. [Google Scholar]
- Baddeley, A. Working memory. Science 1992, 255, 556–559. [Google Scholar] [CrossRef]
- Baddeley, A. Working memory: Looking back and looking forward. Nat. Rev. Neurosci. 2003, 4, 829–839. [Google Scholar] [CrossRef]
- Baddeley, A. Working Memory, Thought, and Action; OuP Oxford: Oxford, UK, 2007; Volume 45. [Google Scholar]
- Cowan, N. Attention and Memory: An Integrated Framework; Oxford University Press: Oxford, UK, 1998. [Google Scholar]
- Furley, P.A.; Memmert, D. Working memory capacity as controlled attention in tactical decision making. J. Sport Exerc. Psychol. 2012, 34, 322–344. [Google Scholar] [CrossRef]
- Broadbent, D.E.; Cooper, P.F.; FitzGerald, P.; Parkes, K.R. The cognitive failures questionnaire (CFQ) and its correlates. Br. J. Clin. Psychol. 1982, 21, 1–16. [Google Scholar] [CrossRef]
- Kok, A. On the utility of P3 amplitude as a measure of processing capacity. Psychophysiology 2001, 38, 557–577. [Google Scholar] [CrossRef]
- Toner, J.; Moran, A. In praise of conscious awareness: A new framework for the investigation of “continuous improvement” in expert athletes. Front. Psychol. 2014, 5, 769. [Google Scholar] [CrossRef]
- Engle, R.W. Role of working-memory capacity in cognitive control. Curr. Anthropol. 2010, 51, S17–S26. [Google Scholar] [CrossRef]
Disclaimer/Publisher’s Note: The statements, opinions and data contained in all publications are solely those of the individual author(s) and contributor(s) and not of MDPI and/or the editor(s). MDPI and/or the editor(s) disclaim responsibility for any injury to people or property resulting from any ideas, methods, instructions or products referred to in the content. |
© 2025 by the authors. Licensee MDPI, Basel, Switzerland. This article is an open access article distributed under the terms and conditions of the Creative Commons Attribution (CC BY) license (https://creativecommons.org/licenses/by/4.0/).

