Previous Issue
Volume 16, January
 
 

J. Pers. Med., Volume 16, Issue 2 (February 2026) – 45 articles

  • Issues are regarded as officially published after their release is announced to the table of contents alert mailing list.
  • You may sign up for e-mail alerts to receive table of contents of newly released issues.
  • PDF is the official format for papers published in both, html and pdf forms. To view the papers in pdf format, click on the "PDF Full-text" link, and use the free Adobe Reader to open them.
Order results
Result details
Section
Select all
Export citation of selected articles as:
14 pages, 1446 KB  
Review
Infective Endocarditis and Complications; Surgical Indications and Management: An Integrative Review
by Daniel Bishev, Michael V. DiCaro, Shudipan Chakraborty, Gregory-Thomas Stanger, Camille Ho and Tahir Tak
J. Pers. Med. 2026, 16(2), 103; https://doi.org/10.3390/jpm16020103 (registering DOI) - 9 Feb 2026
Abstract
Infective endocarditis (IE) is an infection of the endocardial surface of the heart involving native or prosthetic valves, endocardial structures, or intracardiac devices/leads. Unfortunately, incidence has risen in many settings over recent years. Historically, the incidence has been about 3–10 cases for every [...] Read more.
Infective endocarditis (IE) is an infection of the endocardial surface of the heart involving native or prosthetic valves, endocardial structures, or intracardiac devices/leads. Unfortunately, incidence has risen in many settings over recent years. Historically, the incidence has been about 3–10 cases for every 100,000 person-years and was elevated to about 13.8 cases per 100,000 person-years in 2019. Despite advancements in both detection and treatment, mortality remains high, seen with inpatient mortality rates of 18%, along with a 6-month mortality rate of 30%. IE can be a fatal condition if left untreated, in part due to the multiple serious complications that can arise. By anticipating certain complications, clinicians can be better prepared to treat patients with this condition. This article provides an integrative review of the potential complications of IE. These complications vary depending on whether the patient has native or prosthetic valves. There are cardiac, embolic, and immune-complex mediated complications that can occur. Ultimately, IE can lead to multiorgan dysfunction and result in septic shock and disseminated intravascular coagulopathy (DIC). While the mainstay of treatment for IE remains medical, certain cases require surgical intervention. Due to their close relationship, a review of the indications for surgery in the treatment of IE is also presented in this article. By having a general scope of the complications of IE and when to get a surgical consult, clinicians can be better equipped to care for patients with a potentially fatal condition that is becoming increasingly more frequent. Full article
(This article belongs to the Section Personalized Therapy in Clinical Medicine)
Show Figures

Figure 1

13 pages, 1633 KB  
Article
Association Between ADA (Age–D-dimer–Albumin) Score and Chest CT Severity Score in COVID-19 Pneumonia
by Enrico Maggio, Giacomo Bonito, Alessandra Oliva, Claudio Maria Mastroianni, Riccardo Vezza, Francesco Pugliese, Francesco Violi, Paolo Ricci, Lorenzo Loffredo and Pasquale Pignatelli
J. Pers. Med. 2026, 16(2), 102; https://doi.org/10.3390/jpm16020102 - 9 Feb 2026
Abstract
Background/Objectives: This study aims to assess the relation between the ADA score with the severity of pneumonia, as evaluated by chest tomography using a severity score. Methods: In this observational study we enrolled 350 consecutive adult patients (≥18 years) [...] Read more.
Background/Objectives: This study aims to assess the relation between the ADA score with the severity of pneumonia, as evaluated by chest tomography using a severity score. Methods: In this observational study we enrolled 350 consecutive adult patients (≥18 years) with COVID-19-related severe acute pneumonia requiring hospitalization, consecutively admitted to non-intensive care unit (ICU) medical wards from April 2020 to March 2022. A standard high-resolution chest computed tomography (HRCT) was performed in all cases with a multidetector CT scanner without intravenous contrast injection, except in case of suspicion of pulmonary embolism. The ADA score and semi-quantitative 25-point CT Severity Score (CTSS) were calculated for all patients. Results: A total of 350 COVID-19 patients (154 males (44%) and 196 females (56%)) were recruited. A logistic regression analysis showed that CTSS is statistically associated with the ADA score (Exp(B): 1.116; 95% CI: 1.027–1.212; p = 0.009) and the need for ICU (Exp(B): 8.719; 95% CI: 2.994–25.390; p < 0.001), while the linear regression analysis showed a relation between the CTSS and ADA score, GFR and CRP (p = 0.003) (predictors: ADA score [β coeff 0.276; 95% CI: 0.041–−0.402; p = 0.017], GFR [β coeff −0.219; 95% CI: −0.095–−0.001; p = 0.045], CRP [β coeff −0.226; IC 95% −0.077–−0.001; p = 0.044]). Furthermore, a ROC curve analysis determined the optimal ADA score cut-off values for predicting severe CT findings at 44.5 (sensibility: 0.971; 1-specificity: 0.670; AUC: 0.750; SE 0.039; p < 0.001; 95% CI: 0.674–0.826; Youden’s J index= 0.301). Conclusions: This study highlights the potential clinical utility of integrating laboratory- and imaging-based scores for a comprehensive assessment of patients hospitalized with SARS-CoV-2 infection. The combined use of these scores may enable a more accurate identification of patients with extensive pulmonary involvement and an increased prothrombotic burden at hospital admission, facilitating the early recognition of high-risk patients. Full article
(This article belongs to the Section Diagnostics in Personalized Medicine)
Show Figures

Figure 1

1 pages, 138 KB  
Correction
Correction: Tian et al. Diaporine Potentiates the Anticancer Effects of Oxaliplatin and Doxorubicin on Liver Cancer Cells. J. Pers. Med. 2022, 12, 1318
by Shiliu Tian, Rui Su, Ke Wu, Xuhan Zhou, Jaydutt V. Vadgama and Yong Wu
J. Pers. Med. 2026, 16(2), 101; https://doi.org/10.3390/jpm16020101 - 9 Feb 2026
Abstract
In the original publication [...] Full article
(This article belongs to the Special Issue Frontiers in Pathogenesis and Therapeutics of Cancer)
11 pages, 666 KB  
Brief Report
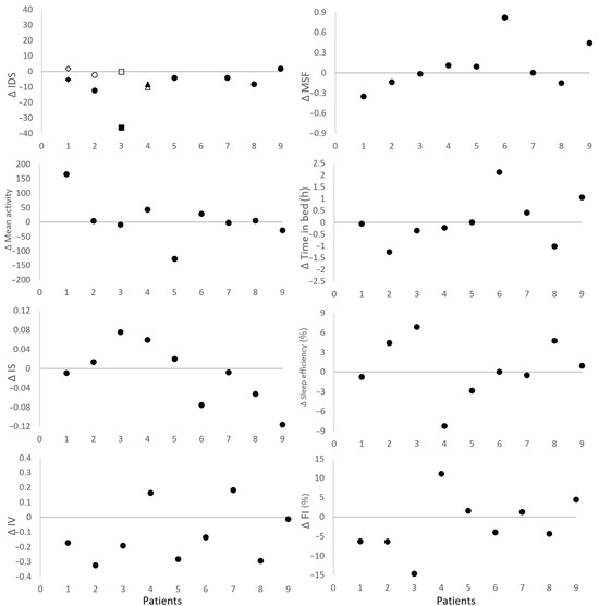
Can Physical Activity, Sleep Parameters, and Sleep–Wake Patterns Predict Outcome of Combined Chronotherapy in Mood Disorder During Routine Clinical Practice? An Exploratory Study
by Stella J. M. Druiven, Olga Minaeva, Benno C. M. Haarman, Ybe Meesters, Robert A. Schoevers, Jeanine Kamphuis and Harriëtte Riese
J. Pers. Med. 2026, 16(2), 100; https://doi.org/10.3390/jpm16020100 - 7 Feb 2026
Viewed by 58
Abstract
Background/Objectives: Combined chronotherapy (CCT), which combines repeated sleep deprivation and light therapy, is used in the clinical treatment of severe depression. Despite its potential to rapidly reduce depressive symptoms, CCT is infrequently used in clinical practice. We explored whether actigraphy-derived within-patient changes [...] Read more.
Background/Objectives: Combined chronotherapy (CCT), which combines repeated sleep deprivation and light therapy, is used in the clinical treatment of severe depression. Despite its potential to rapidly reduce depressive symptoms, CCT is infrequently used in clinical practice. We explored whether actigraphy-derived within-patient changes in physical activity, sleep parameters, and sleep–wake patterns prior to CCT can help identify those most likely to benefit from this treatment, supporting personalized mental health care. Methods: Actigraphy data from nine severely depressed patients were collected before, during, and after CCT. Data were assessed with a questionnaire on depressive symptoms (Inventory of Depressive Symptomatology—Self Report, IDS-SR) and actigraphy measures for sleep–wake patterns and physical activity: daily mean activity level, rhythm (intradaily variability (IV), interdaily stability (IS)), Midpoint of Sleep (MSF), time in bed, sleep efficiency (SE), and the fragmentation index (FI). Variables were compared before and after CCT by systematic visual inspection due to the small sample size. A prior set Minimal Clinically Important Difference (MCID) of a 30% change in IDS scores from before and the week after CCT was used to categorize patients as responders (n = 3) or nonresponders (n = 6) to CCT. Results: After CCT, for both responders and nonresponders, there was a notable decrease in IDS, IV and FI. Prior to CCT, responders, compared to nonresponders, were characterized with higher IDS, more time in bed and higher FI, while having lower SE. Conclusions: We concluded that actigraphy assessments during regular CCT are feasible and found preliminary evidence that patients with the most disrupted sleep–wake patterns prior to treatment may benefit most from CCT. Full article
(This article belongs to the Section Diagnostics in Personalized Medicine)
Show Figures

Figure 1

36 pages, 1595 KB  
Review
Probiotics as Microbiome Modulators in Male Infertility: Rethinking Dysbiosis Across the Gut–Testis Axis
by Aris Kaltsas, Spyros Pournaras, Ilias Giannakodimos, Eleftheria Markou, Marios Stavropoulos, Stamatis Papaharitou, Fotios Dimitriadis, Athanasios Zachariou, Nikolaos Sofikitis and Michael Chrisofos
J. Pers. Med. 2026, 16(2), 99; https://doi.org/10.3390/jpm16020099 - 6 Feb 2026
Viewed by 90
Abstract
Male infertility contributes substantially to couple infertility, and a large proportion of cases remain idiopathic. Dysbiosis within the gut, seminal, and urinary microbiomes has been associated with impaired semen parameters, reproductive tract inflammation, and oxidative stress. This narrative review, informed by a structured [...] Read more.
Male infertility contributes substantially to couple infertility, and a large proportion of cases remain idiopathic. Dysbiosis within the gut, seminal, and urinary microbiomes has been associated with impaired semen parameters, reproductive tract inflammation, and oxidative stress. This narrative review, informed by a structured literature search, summarizes current evidence for the gut–testis axis and the androbactome in male infertility and discusses mechanistic pathways linking microbial imbalance to sperm dysfunction. Proposed mechanisms include immune activation, increased oxidative stress, endocrine and metabolic perturbations, and disruption of epithelial barriers, including the blood–testis barrier. Early clinical trials report that selected probiotic or synbiotic formulations may be associated with improvements in one or more World Health Organization (WHO) semen parameters and with reductions in oxidative or inflammatory biomarkers (surrogate laboratory endpoints; pregnancy and live-birth outcomes are rarely reported and remain unproven) in selected populations, such as idiopathic infertility and the post-varicocelectomy setting. Given patient heterogeneity, a personalized approach requires prespecified clinical phenotypes and measurable monitoring targets, rather than indiscriminate supplementation. At present, probiotics should be considered an adjunct rather than a stand-alone therapy. Well-designed, contamination-aware microbiome studies and adequately powered randomized trials with clinically meaningful endpoints, including pregnancy and live birth, are required before routine clinical implementation. This synthesis is intended to support personalized counseling and trial design by clarifying candidate phenotypes, appropriate monitoring endpoints, and realistic limitations of current evidence. Full article
Show Figures

Figure 1

20 pages, 339 KB  
Review
One Score Fits All? A Narrative Review on Early Warning Scores for Older Adults in the Emergency Department in the Era of Personalized Medicine
by Valeria Maccauro, Piergiacomo Maria Cacciamani Fanelli, Davide Antonio Della Polla, Nicola Bonadia, Giuseppe De Matteis, Andrea Piccioni, Antonio Gasbarrini, Claudio Sandroni, Francesco Franceschi and Marcello Covino
J. Pers. Med. 2026, 16(2), 98; https://doi.org/10.3390/jpm16020098 - 6 Feb 2026
Viewed by 98
Abstract
Background: The growing use of Emergency Departments (EDs) by older adults highlights the need for early and accurate identification of clinical deterioration. Early Warning Scores (EWSs) are widely implemented tools based on standardized vital sign thresholds; however, their performance in elderly patients is [...] Read more.
Background: The growing use of Emergency Departments (EDs) by older adults highlights the need for early and accurate identification of clinical deterioration. Early Warning Scores (EWSs) are widely implemented tools based on standardized vital sign thresholds; however, their performance in elderly patients is inconsistent, likely reflecting the biological heterogeneity, multimorbidity, and reduced physiological reserve typical of this population. Objectives: This narrative review aims to summarize current evidence on the use of EWSs in adults aged ≥ 65 years presenting to the ED, with a specific focus on mortality and intensive care unit (ICU) admission, and to discuss their role within the evolving framework of personalized medicine. Sources: A narrative review of 36 clinical studies published between 2014 and 2025 was conducted. Content: Traditional scores such as National Early Warning Score (NEWS), National Early Warning Score 2 (NEWS2), Modified Early Warning Score (MEWS), VitalPAC Early Warning Score (ViEWS), Rapid Acute Physiology Score (RAPS) and Rapid Emergency Medicine Score (REMS) show variable and often reduced prognostic accuracy in older and frail patients. Evidence consistently suggests that applying uniform cut-off values fails to capture individual vulnerability in elderly patients. The integration of age, frailty, comorbidities, and baseline physiological status improves risk stratification. Second-generation tools—including Copeptin-NEWS, NEWS-L, suPAR-NEWS, OPERA, and RISE UP—as well as artificial intelligence-based models, represent emerging personalized approaches to clinical deterioration prediction. Implications: No single score currently provides reliable early risk prediction for all elderly ED patients. Moving beyond “one-size-fits-all” EWSs toward adaptive, person-centered models may better reflect the complexity of geriatric emergency care and improve prognostic accuracy. Full article
(This article belongs to the Special Issue Emergency and Critical Care in the Context of Personalized Medicine)
24 pages, 1931 KB  
Review
Glucagon-like Peptide Receptor Agonists and Kidney Outcomes in the Era of Personalized Medicine: Focus on Albuminuria
by Ana Checa-Ros, Owahabanun Joshua Okojie, Jacob Gabriel Wassouf, Aida Yedean, Wei-Chung Hsueh, Patryk Hebda, Esther Rodriguez Llobell, Greta Bianca Muhmenthaler, Martin Duc-Duy Tran and Luis D’Marco
J. Pers. Med. 2026, 16(2), 97; https://doi.org/10.3390/jpm16020097 - 6 Feb 2026
Viewed by 160
Abstract
The aim of this narrative review is to critically assess the renoprotective effects of glucagon-like peptide-1 receptor agonists (GLP-1RAs) in managing albuminuria among patients with type 2 diabetes mellitus within the framework of personalized medicine. By integrating current evidence from clinical trials and [...] Read more.
The aim of this narrative review is to critically assess the renoprotective effects of glucagon-like peptide-1 receptor agonists (GLP-1RAs) in managing albuminuria among patients with type 2 diabetes mellitus within the framework of personalized medicine. By integrating current evidence from clinical trials and meta-analyses, the review highlights how GLP-1RAs not only enhance glycemic control but also reduce blood pressure, induce weight loss, and mitigate inflammatory responses. While these given factors may vary according to individual patient profiles, they also collectively contribute to slowing the progression of diabetic kidney disease (DKD). Additionally, the discussion emphasizes the dual cardiovascular and renal benefits from these agents, underscoring their role in reducing albuminuria and preserving renal function. The review also identifies gaps in knowledge, suggesting future research directions for optimizing patient selection and treatment regimens to maximize therapeutic benefits. Full article
Show Figures

Figure 1

15 pages, 1059 KB  
Article
Unsupervised Clustering of Routine Inflammatory Markers in Cardiogenic Shock Reveals Phenotypic Heterogeneity Without Prognostic Utility
by Song Peng Ang, Jackson Rajendran, Yashika Gupta, Jia Ee Chia, Shana John, Madison Laezzo, Chukwudi Ikeano, Eunseuk Lee and Jose Iglesias
J. Pers. Med. 2026, 16(2), 96; https://doi.org/10.3390/jpm16020096 - 6 Feb 2026
Viewed by 79
Abstract
Background: Cardiogenic shock is a heterogeneous syndrome in which systemic inflammation may contribute to cardiovascular risk and adverse outcomes beyond hemodynamic compromise alone. Methods: We conducted a retrospective multicenter cohort study using the eICU Collaborative Research Database (2014–2015) to identify inflammatory [...] Read more.
Background: Cardiogenic shock is a heterogeneous syndrome in which systemic inflammation may contribute to cardiovascular risk and adverse outcomes beyond hemodynamic compromise alone. Methods: We conducted a retrospective multicenter cohort study using the eICU Collaborative Research Database (2014–2015) to identify inflammatory phenotypes among adults admitted to intensive care units with cardiogenic shock. Inflammatory indices derived from admission hematologic parameters (including NLR, PLR, MLR, NPAR, SII, SIRI, and AISI) were analyzed using principal component analysis, followed by hierarchical and k-means clustering to identify biologically distinct inflammatory phenotypes. Clinical characteristics and short-term outcomes were compared across clusters. Results: Among 419 patients, two phenotypes were identified. Cluster 1 (n = 52) was characterized by older age, a higher prevalence of chronic kidney disease (CKD), more advanced renal and hepatic dysfunction, along with a hyperinflammatory, lymphopenic profile. Cluster 2 (n = 367) exhibited comparatively lower inflammatory indices and less biochemical derangement. There was a significant difference in the prevalence of CKD, the need for mechanical ventilation, and history of malignancy between clusters. Despite clear biological separation, short-term clinical outcomes, including rates of acute kidney injury requiring renal replacement therapy, vasopressor use, hospital length of stay, and in-hospital mortality, were similar across clusters. Conclusions: These findings suggest that cardiogenic shock encompasses distinct inflammatory phenotypes, but inflammatory clustering based on routine admission laboratory data alone may have limited utility for short-term risk stratification. Full article
Show Figures

Figure 1

8 pages, 1284 KB  
Brief Report
Individualized Evaluation on Suspicion of Fibrotic Metabolic-Dysfunction-Associated Steatohepatitis: Real-World Experience from a Referral Center in Denmark
by Eva Efsen Dahl, Gro Linno Willemoe, Mark Berner-Hansen and Frank Vinholt Schiødt
J. Pers. Med. 2026, 16(2), 95; https://doi.org/10.3390/jpm16020095 - 6 Feb 2026
Viewed by 103
Abstract
Background/Objectives: New guidelines for management of metabolic-dysfunction-associated steatotic liver disease (MASLD) patients recommend an individualized medicine approach mainly targeting patients with fibrotic metabolic-dysfunction-associated steatohepatitis (MASH) and metabolic risk factors for progression of disease. This cohort study reports real-world experience for the individual evaluation [...] Read more.
Background/Objectives: New guidelines for management of metabolic-dysfunction-associated steatotic liver disease (MASLD) patients recommend an individualized medicine approach mainly targeting patients with fibrotic metabolic-dysfunction-associated steatohepatitis (MASH) and metabolic risk factors for progression of disease. This cohort study reports real-world experience for the individual evaluation and final diagnosis of patients on suspicion of fibrotic MASH according to standardized international criteria. We aimed to identify patients with significant fibrosis (F2–F4). Methods: Adult patients with metabolic syndrome and/or elevated alanine aminotransferases (ALT > 50) referred in a 5-year period (2018–2022) on suspicion of fibrotic MASH were included. Medical history, anthropometric measurements, and routine (blood tests, ultrasound) and specific examinations were applied. Liver biopsy was offered for definite diagnosis and to evaluate MASLD characteristics. Patient demographics and characteristics as well as the absolute number and proportion of patients with definite MASLD and fibrotic MASH are reported. Results: A total of 137 adult patients were included. Ten percent of patients were evaluated without liver biopsy and diagnosed with chronic liver diseases other than MASLD. Liver-biopsied patients (n = 123) had a mean age (SD) of 49 (14) years, and 50% were males. Overweight or obesity was present in 94%, dyslipidemia in 74%, hypertension in 40%, and type 2 diabetes mellitus in 34%. Of all 137 patients, 104 (76%) were diagnosed with definite MASLD and 80 (58%) with definite MASH. A total of 74 (54%) patients had definite fibrotic MASH, while 41 (30%) had significant (F2–4) fibrotic MASH. Eight patients (6%) had cirrhotic (F4) MASH. A multivariate logistic regression analysis indicated that patients with type 2 diabetes, older age, and higher BMI were associated with an apparent increased risk of F2–F4 fibrosis. Conclusions: The majority of referred patients had cardiometabolic–hepatic metabolic risk factors and were diagnosed with definite MASLD. More than half of these were diagnosed with fibrotic MASH. Older age, type 2 diabetes, and higher BMI were apparent risk factors for MASH F2–F4 fibrosis. We conclude that the individual cardiovascular–hepatic risk profile applied supports the new guidelines and may be useful for referral and further evaluation at expert care centers in a real-world setting. Full article
Show Figures

Figure 1

10 pages, 574 KB  
Article
A UK Biobank Study on Genetic Variants in Pattern-Recognition Receptor (PRR) Signaling Indicates Self-PerpetuatinGraph Inflammation of Cholesteatoma
by Mohannad Almomani, Ioannis Vlastos, Kalliopi Gkouskou, Nikolaos Drimalas and Jiannis Hajiioannou
J. Pers. Med. 2026, 16(2), 94; https://doi.org/10.3390/jpm16020094 - 5 Feb 2026
Viewed by 115
Abstract
Background: Acquired cholesteatoma is a chronic inflammatory middle ear disease characterized by keratinizing squamous epithelium overgrowth and bone erosion. While the upregulation of pattern-recognition receptor (PRR) signaling has been consistently observed, it remains unclear whether this reflects a secondary response to microbial [...] Read more.
Background: Acquired cholesteatoma is a chronic inflammatory middle ear disease characterized by keratinizing squamous epithelium overgrowth and bone erosion. While the upregulation of pattern-recognition receptor (PRR) signaling has been consistently observed, it remains unclear whether this reflects a secondary response to microbial infection or a primary dysfunction driven by genetic predisposition. Methods: Using the UK Biobank, we analyzed 678 individuals with cholesteatoma (ICD-10: H71) among 502,164 participants. Candidate genes implicated in cholesteatoma-related inflammatory pathways (n = 17) were selected, and 147 polymorphisms were studied. Gene-specific genetic risk scores (GRSs) were calculated for cholesteatoma patients (GRSchol) and the general UK Biobank population (GRSpop). The difference (ΔGRSchol-GRSpop) was used to assess the relative contribution of each gene. Results: Genes with the highest ΔGRS were IL6, TREM1, IL1R1, IL1A, HIF1A, ID1, RAGE, and TNFA. These genes represent key downstream mediators and amplifiers of PRR signaling rather than the receptors themselves. Variants in cytokine genes (IL6, IL1R1, IL1A, and TNFA) may enhance inflammatory signaling and bone resorption; Trem1 amplifies TLR responses; RAGE sustains sterile DAMP-driven inflammation, while HIF1A and ID1 implicate hypoxia, tissue remodeling, and keratinocyte proliferation in disease persistence. Conclusions: Our findings suggest that cholesteatoma pathogenesis may not be driven solely by microbial activation of PRRs but rather by genetic variants that amplify and sustain downstream inflammatory responses. This supports a model of cholesteatoma as a disease of self-perpetuating inflammation triggered by diverse stressors, including microbial and non-microbial insults. These insights may inform preventive strategies targeting environmental stressors, as well as therapeutic approaches using biologics to interrupt chronic inflammatory amplification in cholesteatoma. Full article
Show Figures

Figure 1

19 pages, 1065 KB  
Review
The Role of Mucins in Esophageal Inflammatory Diseases
by Laura Arias-González and Alfredo J. Lucendo
J. Pers. Med. 2026, 16(2), 93; https://doi.org/10.3390/jpm16020093 - 5 Feb 2026
Viewed by 168
Abstract
Mucins are high-molecular-weight glycoproteins that form the main structural component of the mucus covering epithelial surfaces in the gastrointestinal, respiratory, and urogenital tracts. They support epithelial integrity by protecting against microbial invasion, dehydration, and mechanical or chemical insults, while facilitating the transit of [...] Read more.
Mucins are high-molecular-weight glycoproteins that form the main structural component of the mucus covering epithelial surfaces in the gastrointestinal, respiratory, and urogenital tracts. They support epithelial integrity by protecting against microbial invasion, dehydration, and mechanical or chemical insults, while facilitating the transit of luminal contents. Beyond their structural function, mucins play key roles in molecular recognition. Their extensive glycosylation enables interactions with a wide range of molecules and allows the discrimination between pathogenic and commensal microorganisms at mucosal surfaces. Mucins help maintain mucosal homeostasis by preventing pathogen adhesion and colonization, while simultaneously providing nutrients to commensal species, supporting their stability, and maintaining spatial segregation from epithelial surfaces. Aberrant expression of mucin subtypes or alterations in their glycosylation patterns are associated with numerous diseases, including a wide spectrum of cancers and inflammatory disorders. The immunological relevance of the esophageal mucosa has only recently been recognized. Advances in the study of the esophageal mucosa-associated immune surveillance system and its interactions with structural components of this organ’s surface, including mucins, have shed light on unique pathological processes in the esophagus, such as Barrett’s esophagus, gastroesophageal reflux disease, and eosinophilic esophagitis. This review focuses on the role of esophageal mucins in inflammation, compiling current evidence to provide an integrated overview of mucin-driven inflammatory mechanisms. Full article
(This article belongs to the Section Mechanisms of Diseases)
Show Figures

Figure 1

34 pages, 2274 KB  
Review
Deep Biological Clocks in Critical Care Medicine: A Scoping Review Toward Translational Precision Care
by Ithamar Cheyne, Magdalena Voinič, Tara Radaideh, Abdullah Daher, Julia Niezgoda, Maja Anna Romanowska and Małgorzata Mikaszewska-Sokolewicz
J. Pers. Med. 2026, 16(2), 92; https://doi.org/10.3390/jpm16020092 - 4 Feb 2026
Viewed by 221
Abstract
Background: Outcomes after critical illness vary markedly despite similar diagnoses and severity scores, underscoring the limitations of chronological age and conventional Intensive Care Unit (ICU) prognostic tools. Personalization of critical care is increasingly essential to improve not only short-term survival but also [...] Read more.
Background: Outcomes after critical illness vary markedly despite similar diagnoses and severity scores, underscoring the limitations of chronological age and conventional Intensive Care Unit (ICU) prognostic tools. Personalization of critical care is increasingly essential to improve not only short-term survival but also long-term post-discharge outcomes. Biological aging clocks provide a quantitative framework to capture physiological reserve, immune competence, and vulnerability to stress. Methods: We conducted a scoping review of original human studies published between January 2015 and October 2025 that evaluated biological aging biomarkers in adult ICU populations. PubMed/MEDLINE, Scopus, Web of Science, and Embase were searched, with backward citation screening. Results: Across epigenetic, telomere-based, cfDNA, proteomic, metabolomic, and phenotypic aging measures, accelerated biological aging was consistently associated with increased mortality, organ dysfunction, and post-ICU vulnerability. Despite substantial methodological heterogeneity, a convergent signal emerged linking inflammation-weighted and stress-responsive deep biological clocks to clinically meaningful outcomes in critically ill patients. Conclusions: Biological aging biomarkers represent a mechanistically grounded approach to personalized prognostication in critical care. From a translational perspective, deep biological clocks hold promise for personalized risk stratification, prognostication, and the identification of high-risk recovery phenotypes, although prospective validation and implementation studies are required. Full article
(This article belongs to the Special Issue Emergency and Critical Care in the Context of Personalized Medicine)
Show Figures

Graphical abstract

16 pages, 1199 KB  
Review
Carotid Restenosis: Incidence, Pathophysiology and Therapeutic Options
by Claudio Bianchini Massoni, Laura Pauletti and Antonio Freyrie
J. Pers. Med. 2026, 16(2), 91; https://doi.org/10.3390/jpm16020091 - 4 Feb 2026
Viewed by 150
Abstract
Restenosis after carotid endarterectomy and carotid artery stenting remains the main complication after both surgical and endovascular treatment of carotid stenosis, with a 2-year restenosis rate of 6–12%. Complex inflammation processes are the cause of early (<2 years) and late (>2 years) restenosis [...] Read more.
Restenosis after carotid endarterectomy and carotid artery stenting remains the main complication after both surgical and endovascular treatment of carotid stenosis, with a 2-year restenosis rate of 6–12%. Complex inflammation processes are the cause of early (<2 years) and late (>2 years) restenosis and principal systemic risk factors are female gender, hypertension, diabetes, dyslipidemia, and smoking. Non-procedural treatment includes lifestyle modifications and best medical therapy. The procedural treatment, considered mostly for symptomatic patients, includes different open and endovascular techniques. The management should be personalized according to patient and plaque characteristics. Full article
(This article belongs to the Special Issue Complications in Vascular Surgery: Current Updates and Perspectives)
Show Figures

Graphical abstract

13 pages, 332 KB  
Article
Vitamin D Deficiency, Obesity, and Metabolic Parameters in Chilean Older Adults
by Mirelly Álamos, Bárbara Leyton, Alejandra Parada and Bárbara Angel
J. Pers. Med. 2026, 16(2), 90; https://doi.org/10.3390/jpm16020090 - 4 Feb 2026
Viewed by 89
Abstract
Background/Objectives: Vitamin D deficiency and obesity are prevalent public health concerns among older adults, with potential impacts on metabolic health. Despite high deficiency rates reported globally, data on their relationship in Chilean older populations remain limited. This study investigates the relationship between [...] Read more.
Background/Objectives: Vitamin D deficiency and obesity are prevalent public health concerns among older adults, with potential impacts on metabolic health. Despite high deficiency rates reported globally, data on their relationship in Chilean older populations remain limited. This study investigates the relationship between 25(OH)D status, obesity, and metabolic parameters in Chilean older adults using data from the 2016–2017 National Health Survey (ENS). Methods: A cross-sectional analysis was conducted in 1252 individuals aged ≥ 65 years with complete 25(OH)D and anthropometric measurements. Plasma levels of 25(OH)D were classified as optimal ≥ 30 ng/mL, insufficiency 20–29.9 ng/mL, deficiency 12–19.9 ng/mL, and severe deficiency < 12 ng/mL. Logistic regression models adjusted for age, sex, education, comorbidities, and environmental factors were used to assess associations. Results: The results demonstrated that 88.3% of older adults had 25(OH)D ≤ 30 ng/mL, with 58.3% presenting deficiency. Obesity was an independent risk factor for vitamin D deficiency across all models. Geographic location, female sex, and smoking also influenced deficiency risk, while no significant associations emerged with type 2 diabetes or hypertension. Conclusions: These findings highlight the need for targeted strategies addressing vitamin D insufficiency in older adults, considering regional and lifestyle factors, to improve health outcomes in this vulnerable population. Full article
(This article belongs to the Section Epidemiology)
Show Figures

Figure 1

15 pages, 1386 KB  
Review
Frailty Screening in the Emergency Department Enables Personalized Multidisciplinary Care for Geriatric Trauma Patients
by Oluwafemi P. Owodunni, Tatsuya Norii, Sarah A. Moore, Sabrina L. Parks Bent, Ming-Li Wang and Cameron S. Crandall
J. Pers. Med. 2026, 16(2), 89; https://doi.org/10.3390/jpm16020089 - 4 Feb 2026
Viewed by 105
Abstract
Frailty is a multidomain reduction in physiologic reserve that impacts recovery and can contribute to poor outcomes following trauma beyond what chronological age, comorbidities, or injury severity predicts. In geriatric trauma patients, a large proportion are frail or prefrail on initial encounter in [...] Read more.
Frailty is a multidomain reduction in physiologic reserve that impacts recovery and can contribute to poor outcomes following trauma beyond what chronological age, comorbidities, or injury severity predicts. In geriatric trauma patients, a large proportion are frail or prefrail on initial encounter in the emergency department, and because there are opportunities for actionable management plans, major trauma guidelines endorse systematic screening integrated into coordinated geriatric trauma care. We reviewed the literature and identified practical instruments used in the acute trauma setting for risk stratification. Additionally, we highlight the feasibility of using these instruments, as some can be completed via patient report, proxy input, or chart review when cognition, language, or caregiver availability limits history-taking. Implementation efforts succeed when shared mental models are leveraged and screening is embedded in the electronic health record system, linked to order sets and trigger-based pathways that offer downstream goal-directed care management, such as early mobility, delirium prevention, nutrition, medication review, and comprehensive geriatric assessment. Additionally, we highlight the importance of initiating early goals-of-care discussions and coordinating care with palliative care services. Resource-limited systems can preserve the same architecture by using nurse-led or allied staff-led screening, tele-geriatric consultation, and virtual interdisciplinary huddles. Lastly, we expand upon opportunities for longitudinal post-discharge follow-up. We describe how targeted initiatives translate research into practice, improve outcomes, and support longitudinal reassessment through in-person and telehealth follow-up visits. Full article
(This article belongs to the Special Issue Multidisciplinary Management of Acute Trauma and Emergency Surgery)
Show Figures

Figure 1

18 pages, 289 KB  
Review
Single-Cell Multi-Omics Profiling of Human Septal Myectomy Tissue: Toward Precision Medicine in Obstructive Hypertrophic Cardiomyopathy
by Quynh Nguyen, Jeremy Parker, Amrit Singh, Ying Wang, Jamil Bashir and Zachary Laksman
J. Pers. Med. 2026, 16(2), 88; https://doi.org/10.3390/jpm16020088 - 4 Feb 2026
Viewed by 182
Abstract
Hypertrophic cardiomyopathy (HCM) is an inherited cardiac disorder most commonly caused by pathogenic variants in sarcomeric genes, yet many patients remain genotype-negative and the mechanisms linking genetic alterations to disease pathology are not fully understood. Traditional bulk analyses have provided limited insight into [...] Read more.
Hypertrophic cardiomyopathy (HCM) is an inherited cardiac disorder most commonly caused by pathogenic variants in sarcomeric genes, yet many patients remain genotype-negative and the mechanisms linking genetic alterations to disease pathology are not fully understood. Traditional bulk analyses have provided limited insight into the cellular and molecular changes that drive disease progression. Recent advances in single-cell and spatial multi-omics technologies now allow detailed characterization of cell type-specific transcriptional programs, signaling pathways, and tissue remodeling within the human myocardium. These approaches have begun to redefine HCM as a complex, multicellular disease rather than a purely sarcomeric disorder. This review summarizes current single-cell and spatial transcriptomic studies of human septal myectomy tissue, outlines their major findings and limitations, and discusses how these data may inform the development of precision medicine strategies in obstructive HCM. Full article
(This article belongs to the Special Issue Personalized Medicine and Surgery in Cardiovascular Disorders)
31 pages, 676 KB  
Review
Resting State Heart Rate Variability in Depression: An Introductory Narrative Review of Cross-Sectional and Longitudinal Evidence
by Evelien Van Assche and Carmen Schiweck
J. Pers. Med. 2026, 16(2), 87; https://doi.org/10.3390/jpm16020087 - 3 Feb 2026
Viewed by 120
Abstract
Cardiovascular health and depression influence each other bidirectionally and negatively, leading to high comorbidity rates, and favouring higher morbidity and mortality. Heart rate variability (HRV) has received much attention as a “biomarker” for major depressive disorder, with studies suggesting its potential both as [...] Read more.
Cardiovascular health and depression influence each other bidirectionally and negatively, leading to high comorbidity rates, and favouring higher morbidity and mortality. Heart rate variability (HRV) has received much attention as a “biomarker” for major depressive disorder, with studies suggesting its potential both as a diagnostic and as a predictive biomarker. This narrative review offers a first orientation to the evidence base for researchers entering the field. We present and discuss the state-of-the-art evidence of cross-sectional and longitudinal studies (including observational, pharmacological interventions, and non-pharmacological interventions) linking depression and/or depressive symptoms to HRV by highlighting meta-analyses and key studies in the field. We briefly discuss the physiological context for interpretation of HRV and important confounders to consider, including the influence of genetics, age, sex, antidepressant medication, and lifestyle factors. Finally, with this information at hand, we discuss and provide guidance for factors to consider when using HRV in designing a study. Our literature review indicates that while there is potential for vagally mediated HRV to be of value in predicting future depression, more in-depth and stratified research of HRV is beneficial to the field and the understanding of what HRV can mean for depression research. Full article
28 pages, 5440 KB  
Review
Management of Dry Eye Disease Pre- and Post-Cataract Surgery: A Personalized Approach
by Samantha Spritz, Raul E. Ruiz-Lozano, Zahra Bibak-Bejandi, Nicholas W. Setter, Alejandro Rodriguez-Garcia, Zeenal Dabre, Ali Khodor, Robert Schwartz, Sandeep Jain and Ali R. Djalilian
J. Pers. Med. 2026, 16(2), 86; https://doi.org/10.3390/jpm16020086 - 3 Feb 2026
Viewed by 477
Abstract
Dry eye disease (DED) is a common condition that can be associated with cataract surgery, requiring pre- and postoperative considerations. Pre-existent DED and disruption of the tear film homeostasis due to incisional corneal nerve damage, intra-operative ocular surface drying, microscope phototoxicity, or the [...] Read more.
Dry eye disease (DED) is a common condition that can be associated with cataract surgery, requiring pre- and postoperative considerations. Pre-existent DED and disruption of the tear film homeostasis due to incisional corneal nerve damage, intra-operative ocular surface drying, microscope phototoxicity, or the toxic effects of preservatives and active ingredients of postoperative drops or a combination thereof, represents a potential mechanism for worsening or developing DED after cataract surgery. Recent diagnostic advancements have enabled us better to understand the pathophysiology of DED after cataract surgery. For patients with pre-existing DED before cataract surgery, early intervention can improve surgical outcomes. In contrast, failure to recognize DED risk factors or subtle signs can result in inaccurate refractive measurements, poor surgical outcomes, including serious complications, worsening of dry eye symptoms, patient dissatisfaction, and decreased quality of life. This review presents an overview of the perioperative management of DED in patients undergoing cataract surgery with an emphasis on pre-operative diagnosis and treatment, and its impact on improving surgical refractive outcomes and decreasing complications. Full article
(This article belongs to the Section Personalized Therapy in Clinical Medicine)
Show Figures

Figure 1

16 pages, 700 KB  
Article
The Journey of Acromegaly Towards Treatment: A Single-Center Study
by Varvara Chalmantzi, Sophia Vlachou, Maria Eleni Chondrogianni, Maria Panagaki, Ariadni Spyroglou, Marina Tsoli, Eva Kassi, Gregory Kaltsas and Krystallenia I. Alexandraki
J. Pers. Med. 2026, 16(2), 85; https://doi.org/10.3390/jpm16020085 - 2 Feb 2026
Viewed by 183
Abstract
Background: In the era of personalized medicine, the overall therapeutic approach has progressed throughout the years in acromegaly, but biochemical control of the disease is not achieved in a significant proportion of patients. This study aims to systematically record the journey of patients [...] Read more.
Background: In the era of personalized medicine, the overall therapeutic approach has progressed throughout the years in acromegaly, but biochemical control of the disease is not achieved in a significant proportion of patients. This study aims to systematically record the journey of patients with acromegaly in the context of adenomas characteristics, therapeutic approaches and comorbidities in acromegaly with an emphasis in elderly. Method: In this retrospective study 79 patients were diagnosed with acromegaly between 1971 and 2023. Results: The dataset consisted of 43 (54%) female and 36 male (46%) with an overall mean age ± SD at diagnosis at 45 ± 13 years. 57 (73%) underwent one surgical procedure. Medical treatment with one agent was reported in 36 patients (67%), almost all by somatostatin analogs (89%). Radiotherapy was offered in 14 patients (18%). Disease remission was documented in 67 (85%) patients. IGF1/ULN at diagnosis displayed a tendency to predict non-remission. A diagnostic delay of less than five years was reported in 28 cases (65%) and patients reporting longer delays were older at diagnosis (58 ± 6 years). Patients diagnosed at or above the age of 60 were less likely to undergo a surgical procedure compared to patients diagnosed before the age of 60. Conclusions: Biochemical control was the most frequent disease outcome. A higher IGF-1/ULN ratio tends to predict non-remission. Longer diagnostic delay was reported with advancing age and older patients were less likely to follow surgical procedures. Full article
(This article belongs to the Section Personalized Therapy in Clinical Medicine)
Show Figures

Figure 1

19 pages, 1112 KB  
Article
Assessment of Oral Health-Related Quality of Life in Children with Leukemia and Gingival Inflammation
by Alina Adumitroaie, Vasilica Toma, Minerva Codruta Badescu, Daniel Cioloca, Aurelia Spinei, Nura Jdid, Mioara Florentina Trandafirescu, Carmen Ecaterina Leferman and Liliana Georgeta Foia
J. Pers. Med. 2026, 16(2), 84; https://doi.org/10.3390/jpm16020084 - 2 Feb 2026
Viewed by 159
Abstract
Background/Objectives: Oral health-related quality of life (OHRQoL) is a complex topic, encompassing the medical, functional and psychosocial aspects of well-being, especially in the context of systemic conditions that can trigger oral cavity impairment. While this subject has been extensively investigated in adults, [...] Read more.
Background/Objectives: Oral health-related quality of life (OHRQoL) is a complex topic, encompassing the medical, functional and psychosocial aspects of well-being, especially in the context of systemic conditions that can trigger oral cavity impairment. While this subject has been extensively investigated in adults, evidence remains limited in pediatric populations, particularly in children with leukemia who are at high risk for oral complications related to the disease itself and its treatment. Moreover, children and parent perceptions of oral health are essential for guiding preventive and personalized therapeutic strategies, yet they are poorly explored in this clinical context. The objective of this study was to assess OHRQoL in children with leukemia and gingival inflammation, and compare it with that of children without this systemic condition. Methods: This observational, cross-sectional, case–control study was conducted on 99 subjects, divided into two groups: the study group n = 49 leukemia subjects and the control group n = 50 subjects without oncologic pathology. Clinical examination of all subjects was performed and oral health status was evaluated using Oral Health Index-Simplified (OHI-S) and Gingival Index (GI). Parents filled out a personalized exploratory questionnaire, adapted after established scales, designed to capture the child’s perceived impact of certain leukemia-related gingivo-periodontal alterations, including pain, ulcerations, gingival bleeding and xerostomia. Data were analyzed using descriptive statistics, Pearson’s Chi-square test and comparative graphical analyses (IBM SPSS Statistics 26). Results: Children with leukemia reported higher frequencies of xerostomia, ulcerations and gingival bleeding compared to children in the control group, with xerostomia showing a suggestive association to gingival inflammation. Oral hygiene status of children in the leukemia group was generally better among children receiving parental assistance during brushing or those practicing dental flossing. Comparative graphical analyses showed differences in symptom reporting and oral hygiene support between groups. Conclusions: The results suggest that xerostomia seemed to align with gingival inflammation in children with leukemia, while parental assistance and dental flossing seemed to be associated with better oral hygiene status. Our findings also support the need for developing standardized, disease-oriented scales of evaluating OHRQoL, as well as individualized oral care and continuous monitoring in order to improve oral health-related quality of life in this vulnerable pediatric population. Full article
(This article belongs to the Special Issue Personalized Medicine in Dental and Oral Health)
Show Figures

Figure 1

1 pages, 136 KB  
Retraction
RETRACTED: Lee et al. Machine-Learning-Based Survival Prediction in Castration-Resistant Prostate Cancer: A Multi-Model Analysis Using a Comprehensive Clinical Dataset. J. Pers. Med. 2025, 15, 432
by Jeong Hyun Lee, Jaeyun Jeong, Young Jin Ahn, Kwang Suk Lee, Jong Soo Lee, Seung Hwan Lee, Won Sik Ham, Byung Ha Chung and Kyo Chul Koo
J. Pers. Med. 2026, 16(2), 83; https://doi.org/10.3390/jpm16020083 - 2 Feb 2026
Viewed by 107
Abstract
The journal retracts the article “Machine-Learning-Based Survival Prediction in Castration-Resistant Prostate Cancer: A Multi-Model Analysis Using a Comprehensive Clinical Dataset” [...] Full article
(This article belongs to the Section Personalized Medical Care)
11 pages, 224 KB  
Article
Incidence and Predictors of Venous Thromboembolism Following Major Urologic Cancer Surgery: Toward Risk-Stratified, Personalized Prophylaxis Strategies
by Sri Saran Manivasagam, Alireza Aminsharifi and Jay D. Raman
J. Pers. Med. 2026, 16(2), 82; https://doi.org/10.3390/jpm16020082 - 1 Feb 2026
Viewed by 145
Abstract
Background/Objectives: Venous thromboembolism (VTE), including deep vein thrombosis (DVT) and pulmonary embolism (PE), remains a significant postoperative complication following major urologic cancer surgeries. Despite widespread use of thromboprophylaxis, the real-world effectiveness of these strategies remains uncertain. Methods: We conducted a retrospective [...] Read more.
Background/Objectives: Venous thromboembolism (VTE), including deep vein thrombosis (DVT) and pulmonary embolism (PE), remains a significant postoperative complication following major urologic cancer surgeries. Despite widespread use of thromboprophylaxis, the real-world effectiveness of these strategies remains uncertain. Methods: We conducted a retrospective cohort study using the American College of Surgeons National Surgical Quality Improvement Program (ACS NSQIP) database, including procedure-targeted data for radical cystectomy, radical prostatectomy, and radical nephrectomy from 2019 to 2022. Patients aged 18–90 years with complete data were included. Descriptive statistics and multivariate logistic regression analyses were performed to identify predictors of DVT and evaluate the impact of thromboprophylaxis strategies. Results: A total of 65,105 patients were analyzed: 28,805 prostatectomies, 28,414 cystectomies, and 7886 nephrectomies. The 30-day incidence of DVT and PE was 1.1% and 0.8%, respectively. Multivariate analysis identified prolonged hospital stay (>4 days), operative time (>180 min), and age > 75 years as independent predictors of DVT. Subgroup analyses confirmed these findings for cystectomy and prostatectomy but not for nephrectomy. Thromboprophylaxis was administered in 97.8% of patients; however, its use was not significantly associated with reduced DVT incidence, except for pharmacologic prophylaxis in cystectomy patients (OR 0.04, p = 0.03). Conclusions: Despite high adherence to thromboprophylaxis protocols, DVT remains a clinically relevant complication after urologic cancer surgery. Our findings highlight the importance of procedural factors in DVT risk and question the universal effectiveness of current prophylaxis strategies. These findings underscore the need for personalized, risk-stratified thromboprophylaxis protocols tailored to patient and procedural factors. Full article
Show Figures

Graphical abstract

10 pages, 344 KB  
Article
Towards a Personalized Vestibular Assessment in Older Patients with Cochlear Implant
by Tiziana Di Cesare, Pasqualina Maria Picciotti, Walter Di Nardo, Daniela Rodolico and Jacopo Galli
J. Pers. Med. 2026, 16(2), 81; https://doi.org/10.3390/jpm16020081 - 1 Feb 2026
Viewed by 163
Abstract
Background: Age-related vestibular decline frequently accompanies presbycusis, and older adults undergoing cochlear implantation (CI) may be particularly vulnerable to postoperative dizziness due to a reduced compensatory capacity and a higher burden of comorbidities. Although CI is an effective treatment for severe-to-profound sensorineural [...] Read more.
Background: Age-related vestibular decline frequently accompanies presbycusis, and older adults undergoing cochlear implantation (CI) may be particularly vulnerable to postoperative dizziness due to a reduced compensatory capacity and a higher burden of comorbidities. Although CI is an effective treatment for severe-to-profound sensorineural hearing loss in the elderly, its impact on vestibular function remains a critical concern. This study aimed to compare pre and postoperative vestibular performance in older patients (≥65 years) versus younger adults undergoing CI in order to identify the risk factors for postoperative vestibular deterioration and critical issues that characterize this category and carry out personalized preoperative counseling. Methods: In this monocentric observational study, adults undergoing CI were divided into two groups: older patients (OPS, ≥65 years) and younger patients (YPS, <65 years). Vestibular function was assessed preoperatively and one month postoperatively through a Dizziness Handicap Inventory (DHI), history of recurrent falls, clinical examination, video head impulse test (VHIT), bithermal caloric testing, and computerized dynamic posturography (Sensory Organization Test, SOT). Risk factors for postoperative vestibular worsening were analyzed using ANOVA test and chi-square statistics, with significance set at p < 0.05. Results: A total of 63 patients were included, with 18 surgeries involving OPS and 45 involving YPS. Preoperatively, OPS showed significantly higher rates of vestibular abnormalities on caloric testing (55.5% vs. 17.7% bilateral hyporeflexia, p < 0.05) and a higher prevalence of recurrent falls (33.3% vs. 4.4%, p < 0.05). Early postoperative dizziness (DHI1) increased significantly in both groups, but age ≥ 65 was a risk factor for ≥10% worsening (OR 2.2, p < 0.05). At one month, YPS returned to baseline DHI values, whereas OPS showed persistent dizziness with significantly higher DHI2 scores (29.2 vs. 12.9, p < 0.05). Vestibular worsening was identified in 33.3% of VHIT assessments and 44.4% of caloric tests in OPS, with caloric testing proving more sensitive than VHIT. Implantation on the better-functioning vestibular side and the presence of ≥3 comorbidities increased the likelihood of persistent postoperative dizziness. Conclusions: Older age is a significant risk factor for persistent dizziness and vestibular impairment one month after CI. Given the reduced compensatory capacity typical of older adults, vestibular assessment should play a central role in preoperative decision-making, particularly for side selection. Bithermal caloric stimulation is recommended as the most sensitive tool for detecting clinically relevant vestibular changes. Preoperative counseling for older CI candidates should include a detailed discussion of vestibular risks and the possible need for postoperative rehabilitation. Full article
(This article belongs to the Special Issue Personalized Medicine for Otolaryngology (ENT))
Show Figures

Figure 1

15 pages, 415 KB  
Review
Molecular-Guided Precision Oncology in Cancer of Unknown Primary: A State-of-the-Art Perspective
by Vivek Subbiah, Elie Rassy and Frank A. Greco
J. Pers. Med. 2026, 16(2), 80; https://doi.org/10.3390/jpm16020080 - 1 Feb 2026
Viewed by 295
Abstract
Cancer of unknown primary (CUP) is evolving from a diagnosis of exclusion treated with empirical chemotherapy to a molecularly defined entity amenable to precision-based interventions. This heterogeneous entity, comprising 2–3% of all metastatic malignancies, encompasses diverse cancers with clinically occult primary sites at [...] Read more.
Cancer of unknown primary (CUP) is evolving from a diagnosis of exclusion treated with empirical chemotherapy to a molecularly defined entity amenable to precision-based interventions. This heterogeneous entity, comprising 2–3% of all metastatic malignancies, encompasses diverse cancers with clinically occult primary sites at diagnosis after a thorough workup. Recent landmark trials including CUPISCO and Fudan CUP-001 have demonstrated significant survival improvements with molecularly guided therapies compared to empirical chemotherapy, fundamentally enhancing and complementing traditional organ-centric treatment paradigms. This review synthesizes the current evidence supporting molecular diagnostics, tumor-agnostic therapies, and precision-based approaches in CUP management. We examine the clinical utility of comprehensive genomic profiling, gene expression profiling, and liquid biopsy technologies, while addressing implementation challenges and future directions. The integration of molecular tumor boards and the emergence of tissue/tissue-of-origin agnostic therapies herald a new era where CUP transitions from therapeutic nihilism to personalized oncology. As molecular technologies advance and targeted therapies proliferate, CUP may no longer represent a diagnosis of exclusion but rather an opportunity for molecularly informed precision care. Full article
(This article belongs to the Section Precision Oncology)
Show Figures

Figure 1

34 pages, 1093 KB  
Review
Redox–Genomic Crosstalk: Linking Oxidative Stress, Sperm DNA Fragmentation, and Epigenetics in Personalized Management of Male Infertility
by Pallav Sengupta, Sulagna Dutta, Mohamed AlaaEldein Elsuity and Ramadan Saleh
J. Pers. Med. 2026, 16(2), 79; https://doi.org/10.3390/jpm16020079 - 1 Feb 2026
Viewed by 187
Abstract
Male infertility is increasingly recognized as a complex, multifactorial disorder that extends beyond abnormalities in conventional semen parameters. A growing body of evidence highlights oxidative stress, sperm DNA fragmentation (SDF), and epigenetic alterations as tightly interconnected mechanisms contributing to sperm dysfunction and impaired [...] Read more.
Male infertility is increasingly recognized as a complex, multifactorial disorder that extends beyond abnormalities in conventional semen parameters. A growing body of evidence highlights oxidative stress, sperm DNA fragmentation (SDF), and epigenetic alterations as tightly interconnected mechanisms contributing to sperm dysfunction and impaired fertility. Reactive oxygen species, though vital for sperm maturation and signaling, can inflict extensive genomic and chromatin damage when their levels exceed the antioxidant capacity of the testis and seminal plasma. These redox-driven lesions not only compromise fertilization potential but may also influence embryonic development and offspring health. Clinical studies and meta-analyses consistently report that elevated SDF and redox imbalance are associated with reduced pregnancy and live birth rates, particularly in assisted reproductive technologies (ARTs). The use of testicular sperm in men with high ejaculated SDF appears to improve ART outcomes, although long-term safety data remain limited. Advances in redox and genomic diagnostics, including assays for oxidation–reduction potential, SDF, and sperm epigenetic profiling, have opened new avenues for precision-based andrology, enabling targeted antioxidant, metabolic, and surgical interventions. Nonetheless, methodological variability, lack of assay standardization, and insufficient longitudinal follow-up constrain the full clinical translation of these findings. This review synthesizes evidence linking OS, SDF, and epigenetic alterations, highlighting their mechanistic crosstalk and translational relevance in the personalized management of male infertility. Full article
(This article belongs to the Special Issue Oxidative Stress and Antioxidant Therapy in Diseases)
Show Figures

Figure 1

18 pages, 546 KB  
Review
Arteriolar Collapse and Haemodynamic Incoherence in Shock: Rethinking Critical Closing Pressure
by Ashley Miller, Philippe Rola, Rory Spiegel and Korbin Haycock
J. Pers. Med. 2026, 16(2), 78; https://doi.org/10.3390/jpm16020078 - 1 Feb 2026
Viewed by 1923
Abstract
Critical closing pressure (CCP) and the vascular waterfall have long been used to explain perfusion failure in shock, yet their physiological meaning has been inconsistently interpreted. CCP is frequently treated as a continuous downstream pressure and inserted into formulas such as mean arterial [...] Read more.
Critical closing pressure (CCP) and the vascular waterfall have long been used to explain perfusion failure in shock, yet their physiological meaning has been inconsistently interpreted. CCP is frequently treated as a continuous downstream pressure and inserted into formulas such as mean arterial pressure (MAP) − CCP, implying that a collapse threshold behaves like an opposing pressure even when vessels remain open. Drawing on classical vascular mechanics, whole-bed flow studies, microvascular models, and contemporary clinical physiology, we show that this interpretation is incorrect. Tone-dependent arteriolar collapse does not behave as a Starling resistor: CCP is a threshold at which smooth-muscle tension exceeds intraluminal pressure and vessels close, not a pressure governing flow in patent vessels. Perfusion becomes heterogeneous because different vascular beds reach their collapse thresholds at different pressures (via excessive tone, extrinsic compression, or profound hypotension), disconnecting macro-haemodynamics from microcirculatory flow. This explains why systemic variables such as MAP and systemic vascular resistance (SVR) may appear adequate even while tissues are under-perfused, a phenomenon now termed haemodynamic incoherence. Reframing CCP as a binary collapse threshold resolves longstanding contradictions in the literature, clarifies why MAP-centred targets often fail, and unifies the behaviour of shock states within a four-interface model of circulatory coupling. Therapeutically, the aim is not to “restore a waterfall” but to reopen closed vascular territories by lowering excessive tone, relieving external pressure, or raising truly low arterial inflow. This mechanistic reinterpretation provides a more coherent, physiologically grounded approach to personalised perfusion management in critical illness. Full article
(This article belongs to the Section Mechanisms of Diseases)
Show Figures

Figure 1

17 pages, 469 KB  
Review
Neurological Complications After Thoracic Endovascular Repair (TEVAR): A Narrative Review of the Incidence, Mechanisms and Strategies for Prevention and Management
by Francesca Miceli, Marta Ascione, Rocco Cangiano, Antonio Marzano, Alessia Di Girolamo, Giovanni Gagliardo, Luca di Marzo and Wassim Mansour
J. Pers. Med. 2026, 16(2), 77; https://doi.org/10.3390/jpm16020077 - 1 Feb 2026
Viewed by 251
Abstract
Background: Thoracic endovascular aortic repair (TEVAR) has evolved the management of descending thoracic aortic disease, but neurological complications—particularly spinal cord ischemia (SCI), stroke, and postoperative delirium—remain among the most feared adverse events, adversely affecting survival, quality of life, and functional independence. Objectives [...] Read more.
Background: Thoracic endovascular aortic repair (TEVAR) has evolved the management of descending thoracic aortic disease, but neurological complications—particularly spinal cord ischemia (SCI), stroke, and postoperative delirium—remain among the most feared adverse events, adversely affecting survival, quality of life, and functional independence. Objectives: The aim of this study was to provide a contemporary narrative synthesis (2000–2025) of the incidence, mechanisms, risk factors, prevention, and management of neurological complications after TEVAR, emphasizing how current evidence supports individualized and risk-adapted strategies for prevention and management. Methods: A narrative, non-systematic search (PubMed/MEDLINE, Scopus, Cochrane Library; 2000–2025) was conducted using terms related to TEVAR, SCI, cerebrovascular events, delirium, and cognitive dysfunction. Priority was given to large registries, cohort studies, and systematic reviews in adult TEVAR populations. Results: Perioperative stroke occurs in ~2–6% of TEVAR cases, with higher rates in arch/zone 0–2 procedures and when the left subclavian artery (LSA) is covered without revascularization. SCI incidence ranges from ~2–9%, influenced by aortic extent and urgency; Vascular Quality Initiative data report SCI in 3.7% of procedures, with markedly reduced 1-year survival. Major SCI risk factors include extensive thoracic coverage, prior aortic repair, vertebral or hypogastric occlusion, emergency presentation, low perioperative mean arterial pressure, anemia, and chronic kidney disease. Postoperative delirium occurs in ~13% of TEVAR-treated type B dissections and correlates with longer hospitalization and early complications. Emerging nomograms for SCI and delirium enable individualized risk stratification. Conclusions: Neurological complications after TEVAR remain clinically significant. Contemporary evidence supports personalized prevention—selective cerebrospinal fluid (CSF) drainage, LSA revascularization, staging, neuromonitoring, and tailored hemodynamic targets—guided by anatomical complexity, comorbidities, collateral network integrity, and prior aortic history. Further research should refine prediction tools, standardize definitions, and evaluate individualized neuroprotective bundles. Full article
(This article belongs to the Special Issue Complications in Vascular Surgery: Current Updates and Perspectives)
Show Figures

Figure 1

13 pages, 741 KB  
Review
Model-Informed Precision Dosing: Conceptual Framework for Therapeutic Drug Monitoring Integrating Machine Learning and Artificial Intelligence Within Population Health Informatics
by Jennifer Le, Hien N. Le, Giang Nguyen, Rebecca Kim, Sean N. Avedissian, Connie Vo, Ba Hai Le, Thanh Hai Nguyen, Dua Thi Nguyen, Dylan Huy Do, Brian Le, Austin-Phong Nguyen, Tu Tran, Chi Kien Phung, Duong Anh Minh Vu, Karandeep Singh and Amy M. Sitapati
J. Pers. Med. 2026, 16(2), 76; https://doi.org/10.3390/jpm16020076 - 31 Jan 2026
Viewed by 194
Abstract
Background/Objective: Traditional therapeutic drug monitoring is limited by manual interpretation and specific constraints like sampling at steady-state and requiring a minimum of two drug concentrations. The integration of model-informed precision dosing (MIPD) into population health informatics represents a promising approach to address [...] Read more.
Background/Objective: Traditional therapeutic drug monitoring is limited by manual interpretation and specific constraints like sampling at steady-state and requiring a minimum of two drug concentrations. The integration of model-informed precision dosing (MIPD) into population health informatics represents a promising approach to address drug safety and efficacy. This article explored the integration of MIPD within population health informatics and evaluated its potential to enhance precision dosing using artificial intelligence (AI), machine learning (ML), and electronic health records (EHRs). Methods: PubMed and Embase searches were conducted, and all relevant peer-reviewed studies in English published between 1958 and December 2024 were included if they pertained to MIPD and population-level health, with the use of AI/ML algorithms to predict individualized drug dosing requirements. Emphasis was placed on vulnerable populations such as critically-ill, geriatric, and pediatric groups. Results: MIPD with the Bayesian method represents a scalable innovation in precision medicine, with significant implications for population health informatics. By combining AI/ML with comprehensive electronic health records (EHRs), MIPD can offer real-time, precise dosing adjustments. This integration has the potential to improve patient safety, optimize therapeutic outcomes, and reduce healthcare costs, especially for vulnerable populations where evidence is limited. Successful implementation requires collaboration among clinicians, pharmacists, and health informatics professionals, alongside secure data management and interoperability solutions. Conclusions: Further research is needed to define, implement, and evaluate practical applications of AI/ML. This insight may help develop standards and identify drugs for MIPD to advance personalized medicine within population health informatics. Full article
Show Figures

Graphical abstract

28 pages, 1932 KB  
Review
Drug-Coated Balloons in Coronary Bifurcation Disease: A State-of-the-Art Review
by Saad M. Ezad, Natasha Khullar, Peter O’Kane and Jonathan Hinton
J. Pers. Med. 2026, 16(2), 75; https://doi.org/10.3390/jpm16020075 - 31 Jan 2026
Viewed by 184
Abstract
Coronary bifurcation disease remains one of the more challenging lesion subsets to treat with percutaneous coronary intervention due to bifurcation geometry and increased risk of target lesion failure. Whilst a provisional approach is preferred in most bifurcations, two-stent techniques may be required where [...] Read more.
Coronary bifurcation disease remains one of the more challenging lesion subsets to treat with percutaneous coronary intervention due to bifurcation geometry and increased risk of target lesion failure. Whilst a provisional approach is preferred in most bifurcations, two-stent techniques may be required where there is a high risk of side branch compromise or a bailout; however, this further increases procedure complexity. Drug-coated balloons (DCBs) are emerging as a promising alternative that allow vessel healing without leaving behind a permanent metallic implant by delivering antiproliferative medication directly to the vessel wall and simplifying procedures. This state-of-the-art review summarises the current evidence and the evolving role of DCBs in the management of coronary bifurcation lesions with a focus on patient- and lesion-specific factors that might influence the treatment strategy choice. Full article
(This article belongs to the Special Issue Complex and High-Risk Coronary Interventional Procedures)
Show Figures

Figure 1

12 pages, 764 KB  
Article
Particularities in Surgical Results Following Obstetrical and Gynecological Surgery Using Pharmacological, Anesthesiological and Genetic Markers
by Gabriel Valentin Tănase, Manuela Ciocoiu, Adina Elena Tănase and Ciprian Gavrila Ilea
J. Pers. Med. 2026, 16(2), 74; https://doi.org/10.3390/jpm16020074 - 31 Jan 2026
Viewed by 102
Abstract
Aim: Finding innovative paraclinical parameters is necessary for advancing clinical research, in obstetrics and gynecology for subjective symptoms such as pain, especially in patients with a weakened immune system, following, for example, different obstetrical and gynecological surgeries. The purpose of this study [...] Read more.
Aim: Finding innovative paraclinical parameters is necessary for advancing clinical research, in obstetrics and gynecology for subjective symptoms such as pain, especially in patients with a weakened immune system, following, for example, different obstetrical and gynecological surgeries. The purpose of this study was to analyze if genetic markers can correlate with the postoperative outcome and surgical results in obstetrics and gynecology. We wanted to analyze whether patients carrying the G gene responsible for the A11G polymorphism of the OPRM1 receptor really have a higher need for analgesic doses for postoperative pain control, depending on the histopathological results, benign or malignant tumors, dimensions of tumors, type of incision performed, and hospitalization period. Materials and Methods: We analyzed 111 patients, including both obstetrical and gynecological cases. Blood samples (2 mL) for DNA analysis were obtained before surgery in a tube containing EDTA as an anticoagulant and immediately stored at −20 °C until required for further use. The blood samples, which were collected at the time of intravenous cannulation before surgery, were analyzed for the presence of SNP 118AG. Results: We examined the mutation of the opioid receptor called OPRM1 for the polymorphism noted with AG with a plus sign (+) (present) in 24.3% of the patients, with a minus sign (−) (AA) (absent) in 66.7% of the patients, and with a result with both genes modified (GG) in 9%. We correlated the data obtained in histopathology and clinical anamnesis with these results. The OPRM1(+) morphine receptor mutation was more frequently encountered in patients with biopsy uterine curettage (60%) with benign results in anatomopathology, uterine myomectomy of at least 5 cm fibromas with benign results in anatomopathology (50%), Madden mastectomy (50%), interventional hysteroscopy (33.3%) with extraction of benign tumors such as polyps or endometrial hyperplasia, caesarean section-associated surgeries (20.7%), and ovarian cystectomy (20%) (p = 0.048) that had a final benign anatomopathology result. Conclusions: Pain management in the postoperative phase is difficult for clinicians because of the response of patients to opioid therapy. Some of this variability in pain response may result from single nucleotide polymorphisms (SNPs) in the human opioid receptor mu-1 (OPRM1) that alter receptor binding or signal transduction. Part of the difficulty in identifying genes and variants that affect postsurgical pain is the inconsistent findings and poor replicability of results. Full article
(This article belongs to the Special Issue Personalized Medicine in Gynecology and Obstetrics)
Show Figures

Figure 1

Previous Issue
Back to TopTop