Impact of Physical Activity on Overall Survival and Liver Cirrhosis Incidence in Steatotic Liver Disease: Insights from a Large Cohort Study Using Inverse Probability of Treatment Weighting
Abstract
1. Introduction
2. Materials and Methods
2.1. Study Population Collected
2.2. Data Collection and Serological Markers
2.3. Physical Activity Assessment
2.4. Primary Outcome and the Definition of Steatotic Liver Disease
2.5. Application of IPTW
2.6. Statistical Analysis
2.7. Statistical Software
3. Results
3.1. Baseline Characteristics of the Cohort
3.2. Impact of Physical Activity on All-Cause Mortality
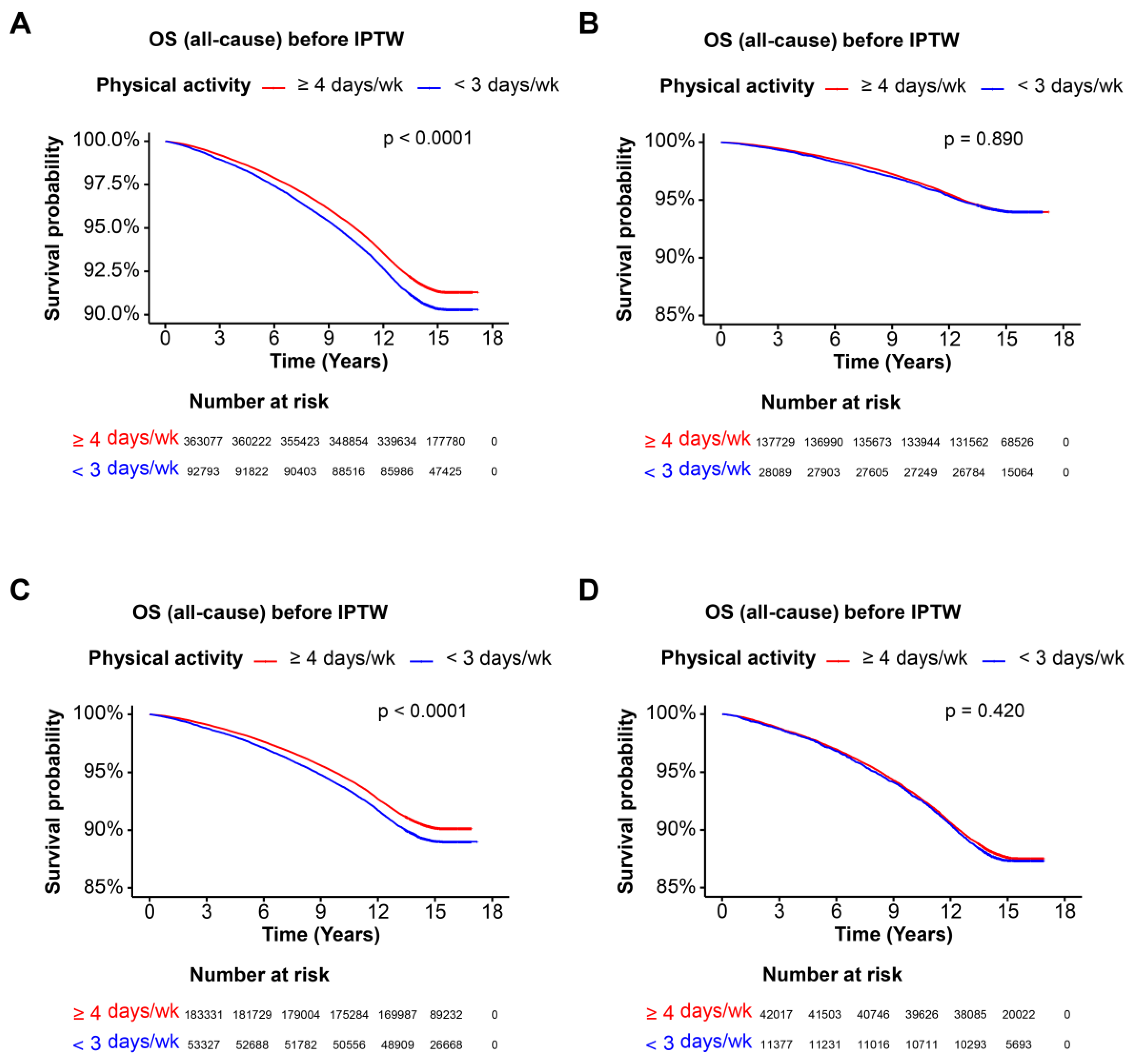
3.3. Overall Survival for All-Cause Mortality Using Kaplan–Meier Analysis
3.4. Incidence of Liver Cirrhosis of Various Steatotic Liver Disease with Physical Activity
4. Discussion
5. Conclusions
Author Contributions
Funding
Institutional Review Board Statement
Informed Consent Statement
Data Availability Statement
Acknowledgments
Conflicts of Interest
References
- Migueles, J.H.; Cadenas-Sanchez, C.; Lubans, D.R.; Henriksson, P.; Torres-Lopez, L.V.; Rodriguez-Ayllon, M.; Plaza-Florido, A.; Gil-Cosano, J.J.; Henriksson, H.; Escolano-Margarit, M.V.; et al. Effects of an Exercise Program on Cardiometabolic and Mental Health in Children with Overweight or Obesity: A Secondary Analysis of a Randomized Clinical Trial. JAMA Netw. Open 2023, 6, e2324839. [Google Scholar] [CrossRef] [PubMed]
- Chekroud, S.R.; Gueorguieva, R.; Zheutlin, A.B.; Paulus, M.; Krumholz, H.M.; Krystal, J.H.; Chekroud, A.M. Association between physical exercise and mental health in 1· 2 million individuals in the USA between 2011 and 2015: A cross-sectional study. Lancet Psychiatry 2018, 5, 739–746. [Google Scholar] [CrossRef] [PubMed]
- Myers, J.; Kokkinos, P.; Nyelin, E. Physical activity, cardiorespiratory fitness, and the metabolic syndrome. Nutrients 2019, 11, 1652. [Google Scholar] [CrossRef] [PubMed]
- Hu, P.; Zheng, M.; Duan, X.; Zhou, H.; Huang, J.; Lao, L.; Zhao, Y.; Li, Y.; Xue, M.; Zhao, W.; et al. Association of healthy lifestyles on the risk of hypertension, type 2 diabetes mellitus, and their comorbidity among subjects with dyslipidemia. Front. Nutr. 2022, 9, 1006379. [Google Scholar] [CrossRef] [PubMed]
- Ding, D.; Lawson, K.D.; Kolbe-Alexander, T.L.; Finkelstein, E.A.; Katzmarzyk, P.T.; Van Mechelen, W.; Pratt, M. The economic burden of physical inactivity: A global analysis of major non-communicable diseases. Lancet 2016, 388, 1311–1324. [Google Scholar] [CrossRef] [PubMed]
- Katzmarzyk, P.T.; Friedenreich, C.; Shiroma, E.J.; Lee, I.-M. Physical inactivity and non-communicable disease burden in low-income, middle-income and high-income countries. Br. J. Sports Med. 2022, 56, 101–106. [Google Scholar] [CrossRef] [PubMed]
- Kim, G.A.; Moon, J.H.; Kim, W. Critical appraisal of metabolic dysfunction-associated steatotic liver disease: Implication of Janus-faced modernity. Clin. Mol. Hepatol. 2023, 29, 831–843. [Google Scholar] [CrossRef] [PubMed]
- Targher, G.; Byrne, C.D.; Tilg, H. MASLD: A systemic metabolic disorder with cardiovascular and malignant complications. Gut 2024, 73, 691–702. [Google Scholar] [CrossRef] [PubMed]
- Kanwal, F.; Neuschwander-Tetri, B.A.; Loomba, R.; Rinella, M.E. Metabolic dysfunction-associated steatotic liver disease: Update and impact of new nomenclature on the American Association for the Study of Liver Diseases practice guidance on nonalcoholic fatty liver disease. Hepatology 2024, 79, 1212–1219. [Google Scholar] [CrossRef]
- Rezaee-Zavareh, M.S.; Kim, N.; Yang, J.D. Starting the journey: Understanding the roles of complement proteins in liver diseases through mendelian randomization. Clin. Mol. Hepatol. 2024, 30, 150–153. [Google Scholar] [CrossRef]
- Mladenic, K.; Lenartic, M.; Marinovic, S.; Polic, B.; Wensveen, F.M. The “Domino effect” in MASLD: The inflammatory cascade of steatohepatitis. Eur. J. Immunol. 2024, 54, e2149641. [Google Scholar] [CrossRef] [PubMed]
- Heinle, J.W.; DiJoseph, K.; Sabag, A.; Oh, S.; Kimball, S.R.; Keating, S.; Stine, J.G. Exercise Is Medicine for Nonalcoholic Fatty Liver Disease: Exploration of Putative Mechanisms. Nutrients 2023, 15, 2452. [Google Scholar] [CrossRef]
- Hashida, R.; Kawaguchi, T.; Bekki, M.; Omoto, M.; Matsuse, H.; Nago, T.; Takano, Y.; Ueno, T.; Koga, H.; George, J.; et al. Aerobic vs. resistance exercise in non-alcoholic fatty liver disease: A systematic review. J. Hepatol. 2017, 66, 142–152. [Google Scholar] [CrossRef] [PubMed]
- Shamsoddini, A.; Sobhani, V.; Ghamar Chehreh, M.E.; Alavian, S.M.; Zaree, A. Effect of Aerobic and Resistance Exercise Training on Liver Enzymes and Hepatic Fat in Iranian Men with Nonalcoholic Fatty Liver Disease. Hepat. Mon. 2015, 15, e31434. [Google Scholar] [CrossRef] [PubMed]
- Lee, S.; Bacha, F.; Hannon, T.; Kuk, J.L.; Boesch, C.; Arslanian, S. Effects of aerobic versus resistance exercise without caloric restriction on abdominal fat, intrahepatic lipid, and insulin sensitivity in obese adolescent boys: A randomized, controlled trial. Diabetes 2012, 61, 2787–2795. [Google Scholar] [CrossRef] [PubMed]
- Berzigotti, A.; Saran, U.; Dufour, J.F. Physical activity and liver diseases. Hepatology 2016, 63, 1026–1040. [Google Scholar] [CrossRef] [PubMed]
- Kwak, M.-S.; Kim, D. Non-alcoholic fatty liver disease and lifestyle modifications, focusing on physical activity. Korean J. Intern. Med. 2018, 33, 64–74. [Google Scholar] [CrossRef] [PubMed]
- Chesnaye, N.C.; Stel, V.S.; Tripepi, G.; Dekker, F.W.; Fu, E.L.; Zoccali, C.; Jager, K.J. An introduction to inverse probability of treatment weighting in observational research. Clin. Kidney J. 2022, 15, 14–20. [Google Scholar] [CrossRef] [PubMed]
- Kalligeros, M.; Vassilopoulos, A.; Vassilopoulos, S.; Victor, D.W.; Mylonakis, E.; Noureddin, M. Prevalence of Steatotic Liver Disease (MASLD, MetALD, and ALD) in the United States: NHANES 2017–2020. Clin. Gastroenterol. Hepatol. 2024, 22, 1330–1332.e4. [Google Scholar] [CrossRef]
- Rinella, M.E.; Lazarus, J.V.; Ratziu, V.; Francque, S.M.; Sanyal, A.J.; Kanwal, F.; Romero, D.; Abdelmalek, M.F.; Anstee, Q.M.; Arab, J.P.; et al. A multisociety Delphi consensus statement on new fatty liver disease nomenclature. Hepatology 2023, 78, 1966–1986. [Google Scholar] [CrossRef]
- Tapper, E.B.; Goldberg, D.; Parikh, N.D.; Terrault, N.A.; Welch, N.; Sharpton, S.; Hameed, B.; Khalili, M.; Stolz, A.; Verna, E.C.; et al. The Liver Cirrhosis Network Cohort Study: Cirrhosis Definition, Study Population, and Endpoints. Am. J. Gastroenterol. 2024. [Google Scholar] [CrossRef] [PubMed]
- Henin, G.; Loumaye, A.; Leclercq, I.A.; Lanthier, N. Myosteatosis: Diagnosis, pathophysiology and consequences in metabolic dysfunction-associated steatotic liver disease. JHEP Rep. 2024, 6, 100963. [Google Scholar] [CrossRef] [PubMed]
- Rector, R.S.; Thyfault, J.P.; Morris, R.T.; Laye, M.J.; Borengasser, S.J.; Booth, F.W.; Ibdah, J.A. Daily exercise increases hepatic fatty acid oxidation and prevents steatosis in Otsuka Long-Evans Tokushima Fatty rats. Am. J. Physiol. Gastrointest. Liver Physiol. 2008, 294, G619–G626. [Google Scholar] [CrossRef] [PubMed]
- Van der Windt, D.J.; Sud, V.; Zhang, H.; Tsung, A.; Huang, H. The effects of physical exercise on fatty liver disease. Gene Expr. 2018, 18, 89. [Google Scholar] [CrossRef] [PubMed]
- Chan, W.K.; Chuah, K.H.; Rajaram, R.B.; Lim, L.L.; Ratnasingam, J.; Vethakkan, S.R. Metabolic Dysfunction-Associated Steatotic Liver Disease (MASLD): A State-of-the-Art Review. J. Obes. Metab. Syndr. 2023, 32, 197–213. [Google Scholar] [CrossRef] [PubMed]
- Nassir, F.; Rector, R.S.; Hammoud, G.M.; Ibdah, J.A. Pathogenesis and prevention of hepatic steatosis. Gastroenterol. Hepatol. 2015, 11, 167. [Google Scholar]
- Tacke, F.; Weiskirchen, R. Non-alcoholic fatty liver disease (NAFLD)/non-alcoholic steatohepatitis (NASH)-related liver fibrosis: Mechanisms, treatment and prevention. Ann. Transl. Med. 2021, 9, 729. [Google Scholar] [CrossRef] [PubMed]
- DiMenna, F.J.; Arad, A.D. The acute vs. chronic effect of exercise on insulin sensitivity: Nothing lasts forever. Cardiovasc. Endocrinol. Metab. 2021, 10, 149–161. [Google Scholar] [CrossRef]
- Birkenfeld, A.L.; Shulman, G.I. Nonalcoholic fatty liver disease, hepatic insulin resistance, and type 2 diabetes. Hepatology 2014, 59, 713–723. [Google Scholar] [CrossRef]
- Ding, Y.; Xu, X. Anti-inflammatory effect of exercise training through reducing inflammasome activation-related inflammatory cytokine levels in overweight/obese populations: A systematic review and meta-analysis. Complement. Ther. Clin. Pract. 2022, 49, 101656. [Google Scholar] [CrossRef]
- Wang, J.; Liu, S.; Li, G.; Xiao, J. Exercise Regulates the Immune System. Adv. Exp. Med. Biol. 2020, 1228, 395–408. [Google Scholar] [CrossRef] [PubMed]
- Nieman, D.C.; Wentz, L.M. The compelling link between physical activity and the body’s defense system. J. Sport Health Sci. 2019, 8, 201–217. [Google Scholar] [CrossRef] [PubMed]
- Kenneally, S.; Sier, J.H.; Moore, J.B. Efficacy of dietary and physical activity intervention in non-alcoholic fatty liver disease: A systematic review. BMJ Open Gastroenterol. 2017, 4, e000139. [Google Scholar] [CrossRef] [PubMed]
- von Loeffelholz, C.; Roth, J.; Coldewey, S.M.; Birkenfeld, A.L. The Role of Physical Activity in Nonalcoholic and Metabolic Dysfunction Associated Fatty Liver Disease. Biomedicines 2021, 9, 1853. [Google Scholar] [CrossRef] [PubMed]
- Cigrovski Berkovic, M.; Bilic-Curcic, I.; Mrzljak, A.; Cigrovski, V. NAFLD and Physical Exercise: Ready, Steady, Go! Front. Nutr. 2021, 8, 734859. [Google Scholar] [CrossRef] [PubMed]
- Barron-Cabrera, E.; Soria-Rodriguez, R.; Amador-Lara, F.; Martinez-Lopez, E. Physical Activity Protocols in Non-Alcoholic Fatty Liver Disease Management: A Systematic Review of Randomized Clinical Trials and Animal Models. Healthcare 2023, 11, 1992. [Google Scholar] [CrossRef] [PubMed]
- Quinlan, C.; Rattray, B.; Pryor, D.; Northey, J.M.; Anstey, K.J.; Butterworth, P.; Cherbuin, N. The accuracy of self-reported physical activity questionnaires varies with sex and body mass index. PLoS ONE 2021, 16, e0256008. [Google Scholar] [CrossRef] [PubMed]
- Prince, S.A.; Adamo, K.B.; Hamel, M.E.; Hardt, J.; Connor Gorber, S.; Tremblay, M. A comparison of direct versus self-report measures for assessing physical activity in adults: A systematic review. Int. J. Behav. Nutr. Phys. Act. 2008, 5, 56. [Google Scholar] [CrossRef] [PubMed]
- van Kleef, L.A.; Hofman, A.; Voortman, T.; de Knegt, R.J. Objectively Measured Physical Activity Is Inversely Associated with Nonalcoholic Fatty Liver Disease: The Rotterdam Study. Am. J. Gastroenterol. 2022, 117, 311–318. [Google Scholar] [CrossRef]
- Watts, E.L.; Saint-Maurice, P.F.; Doherty, A.; Fensom, G.K.; Freeman, J.R.; Gorzelitz, J.S.; Jin, D.; McClain, K.M.; Papier, K.; Patel, S.; et al. Association of Accelerometer-Measured Physical Activity Level with Risks of Hospitalization for 25 Common Health Conditions in UK Adults. JAMA Netw. Open 2023, 6, e2256186. [Google Scholar] [CrossRef]
- Alexopoulos, A.S.; Parish, A.; Olsen, M.; Batch, B.C.; Moylan, C.A.; Crowley, M.J. Racial Disparities in Evidence-Based Management of Metabolic Dysfunction-Associated Steatotic Liver Disease in Patients with Type 2 Diabetes. Endocr. Pract. 2024, 30, 663–669. [Google Scholar] [CrossRef] [PubMed]
- Riazi, K.; Swain, M.G.; Congly, S.E.; Kaplan, G.G.; Shaheen, A.A. Race and Ethnicity in Non-Alcoholic Fatty Liver Disease (NAFLD): A Narrative Review. Nutrients 2022, 14, 4556. [Google Scholar] [CrossRef] [PubMed]




| Clinical Characteristics | Before IPTW | After IPTW | ||||
|---|---|---|---|---|---|---|
| Physical Activity | SMD | Physical Activity | SMD | |||
| ≥4 Days/Week, N = 363,077 | <3 Days/Week, N = 92,793 | ≥4 Days/Week, N = 344,923 | <3 Days/Week, N = 88,153 | |||
| Sex (Male) | 160,651 (44.2%) | 44,676 (48.1%) | 0.079 | 155,386 (45.0%) | 39,736 (45.1%) | 0.001 |
| Age at recruitment | 56.74 ± 8.12 | 55.80 ± 8.00 | 0.116 | 56.54 ± 8.16 | 56.46 ± 7.92 | 0.011 |
| Smoking status | 0.023 | 0.002 | ||||
| Current | 37,089 (10.2%) | 10,115 (10.9%) | 35,734 (10.4%) | 9168 (10.4%) | ||
| Previous | 125,037 (34.4%) | 31,565 (34.1%) | 118,477 (34.3%) | 30,176 (34.2%) | ||
| Never | 200,951 (55.3%) | 50,992 (55.0%) | 190,713 (55.3%) | 48,786 (55.4%) | ||
| Body mass index (kg/m2) | 27.19 ± 4.63 | 28.25 ± 5.32 | 0.213 | 27.40 ± 4.76 | 27.39 ± 4.90 | 0.002 |
| Waist circumference (cm) | 89.48 ± 13.19 | 92.69 ± 14.22 | 0.234 | 90.13 ± 13.43 | 90.11 ± 13.59 | 0.002 |
| Type 2 diabetes | 35,740 (9.8%) | 11,812 (12.7%) | 0.091 | 35,972 (10.4%) | 9170 (10.4%) | 0.001 |
| Dyslipidemia | 102,198 (28.1%) | 27,792 (30.0%) | 0.040 | 98,314 (28.5%) | 24,991 (28.3%) | 0.003 |
| Hypertension | 148,883 (41.0%) | 39,998 (43.1%) | 0.043 | 142,900 (41.4%) | 36,446 (41.3%) | 0.002 |
| ALT (U/L) | 23.06 ± 13.54 | 24.45 ± 14.57 | 0.099 | 23.35 ± 13.89 | 23.35 ± 13.53 | <0.001 |
| GGT (U/L) | 35.79 ± 38.26 | 39.14 ± 42.44 | 0.083 | 36.49 ± 39.96 | 36.57 ± 37.73 | 0.002 |
| Platelet (109/L) | 253.08 ± 59.71 | 254.69 ± 60.73 | 0.027 | 253.41 ± 59.96 | 253.46 ± 59.94 | 0.002 |
| Albumin (g/L) | 4.52 ± 0.26 | 4.51 ± 0.27 | 0.036 | 4.52 ± 0.26 | 4.52 ± 0.27 | 0.001 |
| Clinical Characteristics | Before IPTW | After IPTW | ||||
|---|---|---|---|---|---|---|
| Physical Activity | SMD | Physical Activity | SMD | |||
| ≥4 Days/Week, N = 137,729 | <3 Days/Week, N = 28,089 | ≥4 Days/Week, N = 130,843 | <3 Days/Week, N = 26,685 | |||
| Sex (Male) | 30,847 (22.4%) | 7067 (25.2%) | 0.065 | 29,910 (22.9%) | 6079 (22.8%) | 0.002 |
| Age at recruitment | 55.37 ± 8.27 | 54.02 ± 8.03 | 0.166 | 55.14 ± 8.29 | 55.08 ± 8.00 | 0.007 |
| Smoking status | 0.039 | 0.003 | ||||
| Current | 12,996 (9.4%) | 2669 (9.5%) | 12,375 (9.5%) | 2543 (9.5%) | ||
| Previous | 40,643 (29.5%) | 7759 (27.7%) | 38,225 (29.2%) | 7805 (29.3%) | ||
| Never | 84,090 (61.1%) | 17,540 (62.7%) | 80,243 (61.3%) | 16,317 (61.2%) | ||
| Body mass index (kg/m2) | 23.52 ± 2.34 | 23.57 ± 2.36 | 0.021 | 23.53 ± 2.34 | 23.53 ± 2.37 | 0.003 |
| Waist circumference (cm) | 77.51 ± 7.11 | 78.08 ± 7.09 | 0.080 | 77.61 ± 7.12 | 77.61 ± 7.05 | <0.001 |
| Type 2 diabetes | 4005 (2.9%) | 825 (2.9%) | 0.002 | 3804 (2.9%) | 779 (2.9%) | 0.001 |
| Dyslipidemia | 21,687 (15.7%) | 4047 (14.4%) | 0.037 | 20,304 (15.5%) | 4138 (15.5%) | <0.001 |
| Hypertension | 34,452 (25.0%) | 6608 (23.5%) | 0.035 | 32,399 (24.8%) | 6603 (24.7%) | <0.001 |
| ALT (U/L) | 17.48 ± 7.68 | 17.31 ± 7.80 | 0.022 | 17.45 ± 7.61 | 17.47 ± 8.36 | 0.003 |
| GGT (U/L) | 21.62 ± 13.10 | 21.51 ± 13.11 | 0.009 | 21.60 ± 13.11 | 21.59 ± 13.00 | 0.001 |
| Platelet (109/L) | 17.48 ± 7.68 | 17.31 ± 7.80 | 0.023 | 254.19 ± 59.01 | 254.28 ± 58.12 | 0.002 |
| Albumin (g/L) | 4.53 ± 0.26 | 4.53 ± 0.26 | 0.009 | 4.53 ± 0.26 | 4.53 ± 0.26 | 0.001 |
| Clinical Characteristics | Before IPTW | After IPTW | ||||
|---|---|---|---|---|---|---|
| Physical Activity | SMD | Physical Activity | SMD | |||
| ≥4 Days/Week, N = 183,331 | <3 Days/Week, N = 53,327 | ≥4 Days/Week, N = 174,164 | <3 Days/Week, N = 50,661 | |||
| Sex (Male) | 99,985 (54.5%) | 29,588 (55.5%) | 0.019 | 95,356 (54.8%) | 27,720 (54.7%) | 0.001 |
| Age at recruitment | 57.23 ± 8.01 | 56.29 ± 7.93 | 0.118 | 57.01 ± 8.05 | 56.93 ± 7.84 | 0.010 |
| Smoking status | 0.031 | 0.002 | ||||
| Current | 18,479 (10.1%) | 5890 (11.0%) | 17,941 (10.3%) | 5240 (10.3%) | ||
| Previous | 63,951 (34.9%) | 18,352 (34.4%) | 60,547 (34.8%) | 17,573 (34.7%) | ||
| Never | 100,901 (55.0%) | 29,085 (54.5%) | 95,677 (54.9%) | 27,848 (55.0%) | ||
| Body mass index (kg/m2) | 29.68 ± 4.34 | 30.53 ± 5.08 | 0.181 | 29.87 ± 4.48 | 29.87 ± 4.65 | 0.001 |
| Waist circumference (cm) | 96.87 ± 10.59 | 99.15 ± 11.84 | 0.203 | 97.38 ± 10.89 | 97.37 ± 11.04 | 0.001 |
| Type 2 diabetes | 27,371 (14.9%) | 9564 (17.9%) | 0.081 | 27,180 (15.6%) | 7899 (15.6%) | <0.001 |
| Dyslipidemia | 64,719 (35.3%) | 19,575 (36.7%) | 0.029 | 62,008 (35.6%) | 17,974 (35.5%) | 0.003 |
| Hypertension | 92,103 (50.2%) | 27,395 (51.4%) | 0.023 | 87,924 (50.5%) | 25,534 (50.4%) | 0.002 |
| ALT (U/L) | 26.24 ± 14.89 | 27.34 ± 15.68 | 0.072 | 26.50 ± 15.32 | 26.54 ± 14.67 | 0.003 |
| GGT (U/L) | 41.99 ± 41.48 | 44.55 ± 44.24 | 0.060 | 42.60 ± 43.41 | 42.77 ± 40.07 | 0.004 |
| Platelet (109/L) | 254.01 ± 60.80 | 255.76 ± 62.17 | 0.028 | 254.41 ± 61.06 | 254.44 ± 61.48 | 0.001 |
| Albumin (g/L) | 4.51 ± 0.26 | 4.50 ± 0.27 | 0.044 | 4.51 ± 0.26 | 4.51 ± 0.27 | 0.003 |
| Clinical Characteristics | Before IPTW | After IPTW | ||||
|---|---|---|---|---|---|---|
| Physical Activity | SMD | Physical Activity | SMD | |||
| ≥4 Days/Week, N = 42,017 | <3 Days/Week, N = 11,377 | ≥4 Days/Week, N = 39,916 | <3 Days/Week, N = 10,808 | |||
| Sex (Male) | 29,819 (71.0%) | 8021 (70.5%) | 0.010 | 28,287 (70.9%) | 7657 (70.8%) | <0.001 |
| Age at recruitment | 59.13 ± 7.33 | 57.92 ± 7.40 | 0.165 | 58.87 ± 7.43 | 58.78 ± 7.15 | 0.012 |
| Smoking status | 0.015 | 0.006 | ||||
| Current | 5614 (13.4%) | 1556 (13.7%) | 5366 (13.4%) | 1472 (13.6%) | ||
| Previous | 20,443 (48.7%) | 5454 (47.9%) | 19,352 (48.5%) | 5220 (48.3%) | ||
| Never | 15,960 (38.0%) | 4367 (38.4%) | 15,198 (38.1%) | 4116 (38.1%) | ||
| Body mass index (kg/m2) | 28.35 ± 3.53 | 29.07 ± 4.06 | 0.189 | 28.50 ± 3.64 | 28.49 ± 3.74 | 0.003 |
| Waist circumference (cm) | 96.48 ± 9.60 | 98.32 ± 10.70 | 0.180 | 96.87 ± 9.82 | 96.84 ± 10.06 | 0.001 |
| Type 2 diabetes | 4364 (10.4%) | 1423 (12.5%) | 0.067 | 4323 (10.8%) | 1163 (10.8%) | 0.002 |
| Dyslipidemia | 15,792 (37.6%) | 4170 (36.7%) | 0.019 | 14,914 (37.4%) | 4019 (37.2%) | 0.004 |
| Hypertension | 22,328 (53.1%) | 5995 (52.7%) | 0.009 | 21,168 (53.0%) | 5720 (52.9%) | 0.002 |
| ALT (U/L) | 27.49 ± 16.08 | 28.47 ± 15.72 | 0.062 | 27.70 ± 16.29 | 27.70 ± 14.99 | <0.001 |
| GGT (U/L) | 55.17 ± 58.15 | 57.18 ± 62.05 | 0.034 | 55.60 ± 58.91 | 55.60 ± 59.33 | <0.001 |
| Platelet (109/L) | 246.15 ± 57.31 | 248.17 ± 58.60 | 0.035 | 246.58 ± 57.49 | 246.71 ± 57.96 | 0.002 |
| Albumin (g/L) | 4.54 ± 0.26 | 4.53 ± 0.26 | 0.029 | 4.54 ± 0.26 | 4.54 ± 0.26 | 0.002 |
| Cohorts | Before IPTW | |||
| Univariate Analysis | Multivariate Analysis | |||
| HR (95% CI) | p Value | HR (95% CI) | p Value | |
| Entire cohort | 1.12 (1.10, 1.15) | <0.001 | 1.12 (1.10, 1.15) | <0.001 |
| Participants without SLD | 1.00 (0.95, 1.06) | 0.890 | - | - |
| MASLD | 1.13 (1.09, 1.16) | <0.001 | 1.12 (1.08, 1.15) | 0.001 |
| MetALD | 1.02 (0.97, 1.02) | 0.420 | - | - |
| Cohorts | After IPTW | |||
| Univariate Analysis | Multivariate Analysis | |||
| HR (95% CI) | p Value | HR (95% CI) | p Value | |
| Entire cohort | 1.10 (1.07, 1.13) | <0.001 | 1.12 (1.10, 1.15) | <0.001 |
| Participants without SLD | 1.11 (1.05, 1.17) | <0.001 | 1.16 (1.10, 1.23) | <0.001 |
| MASLD | 1.11 (1.07, 1.14) | <0.001 | 1.12 (1.09, 1.16) | <0.001 |
| MetALD | 1.06 (0.99, 1.12) | 0.044 | 1.07 (1.00, 1.14) | 0.039 |
Disclaimer/Publisher’s Note: The statements, opinions and data contained in all publications are solely those of the individual author(s) and contributor(s) and not of MDPI and/or the editor(s). MDPI and/or the editor(s) disclaim responsibility for any injury to people or property resulting from any ideas, methods, instructions or products referred to in the content. |
© 2024 by the authors. Licensee MDPI, Basel, Switzerland. This article is an open access article distributed under the terms and conditions of the Creative Commons Attribution (CC BY) license (https://creativecommons.org/licenses/by/4.0/).
Share and Cite
Yang, K.; Chung, B.S.; Ryu, T. Impact of Physical Activity on Overall Survival and Liver Cirrhosis Incidence in Steatotic Liver Disease: Insights from a Large Cohort Study Using Inverse Probability of Treatment Weighting. Nutrients 2024, 16, 2532. https://doi.org/10.3390/nu16152532
Yang K, Chung BS, Ryu T. Impact of Physical Activity on Overall Survival and Liver Cirrhosis Incidence in Steatotic Liver Disease: Insights from a Large Cohort Study Using Inverse Probability of Treatment Weighting. Nutrients. 2024; 16(15):2532. https://doi.org/10.3390/nu16152532
Chicago/Turabian StyleYang, Keungmo, Beom Sun Chung, and Tom Ryu. 2024. "Impact of Physical Activity on Overall Survival and Liver Cirrhosis Incidence in Steatotic Liver Disease: Insights from a Large Cohort Study Using Inverse Probability of Treatment Weighting" Nutrients 16, no. 15: 2532. https://doi.org/10.3390/nu16152532
APA StyleYang, K., Chung, B. S., & Ryu, T. (2024). Impact of Physical Activity on Overall Survival and Liver Cirrhosis Incidence in Steatotic Liver Disease: Insights from a Large Cohort Study Using Inverse Probability of Treatment Weighting. Nutrients, 16(15), 2532. https://doi.org/10.3390/nu16152532

