Relationship between Improvement in Physical Activity and Three Nutritional Assessment Indicators in Patients Admitted to a Convalescent Rehabilitation Ward
Abstract
1. Introduction
2. Materials and Methods
2.1. Ethics
2.2. Participants and Setting
2.3. Assessment of the Nutritional Indicators
2.4. Rehabilitation Outcome
2.5. Statistical Analysis
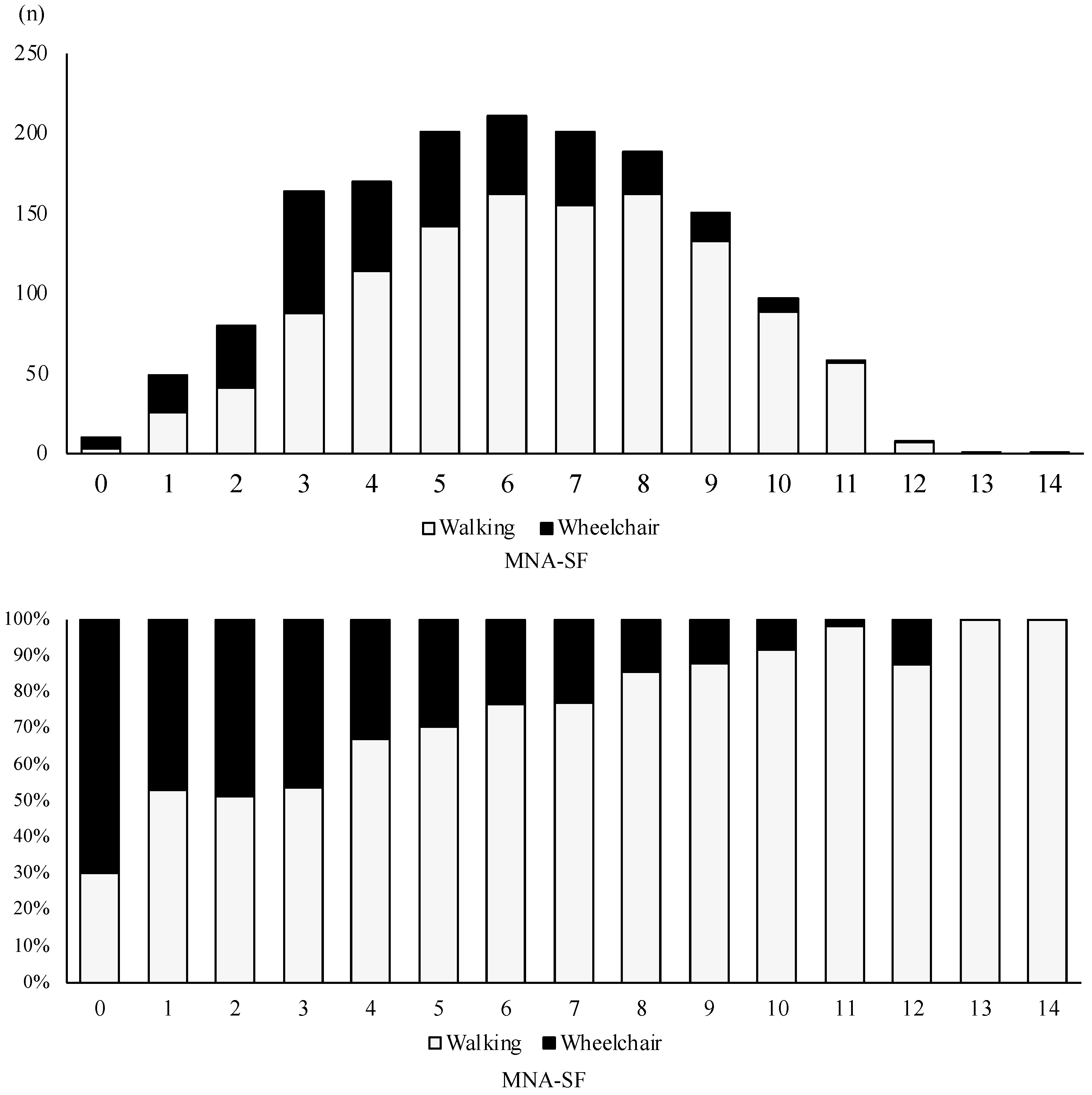
3. Results
4. Discussion
5. Conclusions
Author Contributions
Funding
Institutional Review Board Statement
Informed Consent Statement
Data Availability Statement
Acknowledgments
Conflicts of Interest
References
- Norman, K.; Pichard, C.; Lochs, H.; Pirlich, M. Prognostic impact of disease-related malnutrition. Clin. Nutr. 2008, 27, 5–15. [Google Scholar] [CrossRef] [PubMed]
- Wakabayashi, H.; Sakuma, K. Rehabilitation nutrition for sarcopenia with disability: A combination of both rehabilitation and nutrition care management. J. Cachexia Sarcopenia Muscle 2014, 5, 269–277. [Google Scholar] [CrossRef] [PubMed]
- Kaiser, M.J.; Bauer, J.M.; Rämsch, C.; Uter, W.; Guigoz, Y.; Cederholm, T.; Thomas, D.R.; Anthony, P.S.; Charlton, K.E.; Maggio, M.; et al. Frequency of malnutrition in older adults: A multinational perspective using the mini nutritional assessment. J. Am. Geriatr. Soc. 2010, 58, 1734–1738. [Google Scholar] [CrossRef] [PubMed]
- Marshall, S.; Bauer, J.; Isenring, E. The consequences of malnutrition following discharge from rehabilitation to the community: A systematic review of current evidence in older adults. J. Hum. Nutr. Diet. 2014, 27, 133–141. [Google Scholar] [CrossRef]
- Kruizenga, H.; van Keeken, S.; Weijs, P.; Bastiaanse, L.; Beijer, S.; Huisman-de Waal, G.; Jager-Wittenaar, H.; Jonkers-Schuitema, C.; Klos, M.; Remijnse-Meester, W.; et al. Undernutrition screening survey in 564,063 patients: Patients with a positive undernutrition screening score stay in hospital 1.4 d longer. Am. J. Clin. Nutr. 2016, 103, 1026–1032. [Google Scholar] [CrossRef] [PubMed]
- Inaba, M.; Okuno, S.; Ohno, Y. Importance of Considering Malnutrition and Sarcopenia in Order to Improve the QOL of Elderly Hemodialysis Patients in Japan in the Era of 100-Year Life. Nutrients 2021, 13, 2377. [Google Scholar] [CrossRef] [PubMed]
- Giovannini, S.; Iacovelli, C.; Loreti, C.; Lama, E.; Morciano, N.; Frisullo, G.; Biscotti, L.; Padua, L.; Castelli, L. The role of nutritional supplement on post-stroke fatigue: A pilot randomized controlled trial. J. Nutr. Health Aging 2024, 28, 100256. [Google Scholar] [CrossRef] [PubMed]
- Wojzischke, J.; van Wijngaarden, J.; van den Berg, C.; Cetinyurek-Yavuz, A.; Diekmann, R.; Luiking, Y.; Bauer, J. Nutritional status and functionality in geriatric rehabilitation patients: A systematic review and meta-analysis. Eur. Geriatr. Med. 2020, 11, 195–207. [Google Scholar] [CrossRef] [PubMed]
- Sanchez-Rodriguez, D.; Marco, E.; Annweiler, C.; Ronquillo-Moreno, N.; Tortosa, A.; Vázquez-Ibar, O.; Escalada, F.; Duran, X.; Muniesa, J.M. Malnutrition in postacute geriatric care: Basic ESPEN diagnosis and etiology based diagnoses analyzed by length of stay, in-hospital mortality, and functional rehabilitation indexes. Arch. Gerontol. Geriatr. 2017, 73, 169–176. [Google Scholar] [CrossRef][Green Version]
- Inoue, T.; Misu, S.; Tanaka, T.; Sakamoto, H.; Iwata, K.; Chuman, Y.; Ono, R. Pre-fracture nutritional status is predictive of functional status at discharge during the acute phase with hip fracture patients: A multicenter prospective cohort study. Clin. Nutr. 2017, 36, 1320–1325. [Google Scholar] [CrossRef]
- Irisawa, H.; Mizushima, T. Correlation of Body Composition and Nutritional Status with Functional Recovery in Stroke Rehabilitation Patients. Nutrients 2020, 12, 1923. [Google Scholar] [CrossRef] [PubMed]
- Kobayashi, D.; Yoshimura, Y.; Mori, T.; Hashizume, E. Usefulness of the GLIM criteria to predict recovery of activities of daily living in older adults with post-acute stroke. J. Stroke Cerebrovasc. Dis. 2023, 32, 107345. [Google Scholar] [CrossRef] [PubMed]
- Nishioka, S.; Wakabayashi, H.; Momosaki, R. Nutritional status changes and activities of daily living after hip fracture in convalescent rehabilitation units: A retrospective observational cohort study from the Japan rehabilitation nutrition database. J. Acad. Nutr. Diet. 2018, 118, 1270–1276. [Google Scholar] [CrossRef] [PubMed]
- Sato, M.; Ido, Y.; Yoshimura, Y.; Mutai, H. Relationship of malnutrition during hospitalization with functional recovery and postdischarge destination in elderly stroke patients. J. Stroke Cerebrovasc. Dis. 2019, 28, 1866–1872. [Google Scholar] [CrossRef] [PubMed]
- Kishimoto, H.; Yozu, A.; Kohno, Y.; Oose, H. Nutritional improvement is associated with better functional outcome in stroke rehabilitation: A cross-sectional study using controlling nutritional status. J. Rehabil. Med. 2020, 52, jrm00029. [Google Scholar] [CrossRef] [PubMed]
- Tamamura, Y.; Matsuura, M.; Shiba, S.; Nishikimi, T. Effect of heart failure and malnutrition, alone and in combination, on rehabilitation effectiveness in patients with hip fracture. Clin. Nutr. ESPEN 2021, 44, 356–366. [Google Scholar] [CrossRef] [PubMed]
- Tamamura, Y.; Matsuura, M.; Shiba, S.; Nishikimi, T. Effect of comorbid heart failure assessed by plasma B-type natriuretic peptide level on the activities of daily living in patients with hospitalization-associated disability after aspiration pneumonia. Eur. Geriatr. Med. 2024, 15, 67–72. [Google Scholar] [CrossRef] [PubMed]
- Crary, M.A.; Mann, G.D.; Groher, M.E. Initial psychometric assessment of a functional oral intake scale for dysphagia in stroke patients. Arch. Phys. Med. Rehabil. 2005, 86, 1516–1520. [Google Scholar] [CrossRef] [PubMed]
- Mahoney, F.I.; Barthel, D. Functional evaluation: The Barthel Index. Md. Med. J. 1965, 14, 56–61. [Google Scholar]
- Ottenbacher, K.J.; Hsu, Y.; Granger, C.V.; Fiedler, R.C. The reliability of the functional independence measure: A quantitative review. Arch. Phys. Med. Rehabil. 1996, 77, 1226–1232. [Google Scholar] [CrossRef]
- Tamamura, Y.; Matsuura, M.; Shiba, S.; Nishikimi, T. Heart failure assessed based on plasma B-type natriuretic peptide (BNP) levels negatively impacts activity of daily living in patients with hip fracture. PLoS ONE 2020, 15, e0237387. [Google Scholar] [CrossRef] [PubMed]
- Rubenstein, L.Z.; Harker, J.O.; Salvà, A.; Guigoz, Y.; Vellas, B. Screening for undernutrition in geriatric practice: Developing the short-form mini-nutritional assessment (MNA-SF). J. Gerontol. A Biol. Sci. Med. Sci. 2001, 56, M366–M372. [Google Scholar] [CrossRef]
- Bouillanne, O.; Morineau, G.; Dupont, C.; Coulombel, I.; Vincent, J.P.; Nicolis, I.; Benazeth, S.; Cynober, L.; Aussel, C. Geriatric nutritional risk index: A new index for evaluating at-risk elderly medical patients. Am. J. Clin. Nutr. 2005, 82, 777–783. [Google Scholar] [CrossRef] [PubMed]
- de Ulíbarri, J.I.; González-Madroño, A.; de Villar, N.G.; González, P.; González, B.; Mancha, A.; Rodríguez, F.; Fernández, G. CONUT: A tool for controlling nutritional status. First validation in a hospital population. Nutr. Hosp. 2005, 20, 38–45. [Google Scholar]
- Ioue, S.; Mori, N.; Tsujikawa, M.; Ishii, R.; Suzuki, K.; Kondo, K.; Kawakami, M. Determinants of Step-through Gait Pattern Acquisition in Subacute Stroke Patients. Prog. Rehabil. Med. 2022, 7, 20220035. [Google Scholar] [CrossRef]
- Koh, G.C.; Chen, C.H.; Petrella, R.; Thind, A. Rehabilitation impact indices and their independent predictors: A systematic review. BMJ Open 2013, 3, e003483. [Google Scholar] [CrossRef]
- Paquereau, J.; Allart, E.; Romon, M.; Rousseaux, M. The long-term nutritional status in stroke patients and its predictive factors. J. Stroke Cerebrovasc. Dis. 2014, 23, 1628–1633. [Google Scholar] [CrossRef]
- Kokura, Y.; Wakabayashi, H.; Nishioka, S.; Maeda, K. Nutritional intake is associated with activities of daily living and complications in older inpatients with stroke. Geriatr. Gerontol. Int. 2018, 18, 1334–1339. [Google Scholar] [CrossRef]
- Kishimoto, H.; Nemoto, Y.; Maezawa, T.; Takahashi, K.; Koseki, K.; Ishibashi, K.; Tanamachi, H.; Kobayashi, N.; Kohno, Y. Weight Change during the Early Phase of Convalescent Rehabilitation after Stroke as a Predictor of Functional Recovery: A Retrospective Cohort Study. Nutrients 2022, 14, 264. [Google Scholar] [CrossRef] [PubMed]
- Liu, H.; Lou, V.W.Q. Functional recovery of older stroke patients discharged from hospital to home: The effects of cognitive status and different levels of therapy intensity. J. Clin. Nurs. 2019, 28, 47–55. [Google Scholar] [CrossRef]
- Yoshitaka, T.; Shimaoka, Y.; Yamanaka, I.; Tanida, A.; Tanimoto, J.; Toda, N.; Akimori, T.; Hamawaki, J. Cognitive Impairment as the Principal Factor Correlated with the Activities of Daily Living Following Hip Fracture in Elderly People. Prog. Rehabil. Med. 2022, 7, 20220026. [Google Scholar] [CrossRef] [PubMed]
- Ishihara, K.; Izawa, K.P.; Kitamura, M.; Shimogai, T.; Kanejima, Y.; Morisawa, T.; Shimizu, I. Influence of mild cognitive impairment on activities of daily living in patients with cardiovascular disease. Heart Vessel. 2019, 34, 1944–1951. [Google Scholar] [CrossRef] [PubMed]
- Nishioka, S.; Wakabayashi, H.; Nishioka, E.; Yoshida, T.; Mori, N.; Watanabe, R. Nutritional Improvement Correlates with Recovery of Activities of Daily Living among Malnourished Elderly Stroke Patients in the Convalescent Stage: A Cross-Sectional Study. J. Acad. Nutr. Diet. 2016, 116, 837–843. [Google Scholar] [CrossRef] [PubMed]
- Fujitaka, Y.; Tanaka, N.; Nakadai, H.; Sato, R.; Watanabe, M.; Kageyama, N.; Okamoto, T. Differences in FIM improvement rate stratified by nutritional status and age in stroke patients in kaifukuki (convalescent) rehabilitation ward. Jpn. J. Compr. Rehabil. Sci. 2018, 8, 98–103. [Google Scholar] [CrossRef]
- Blackburn, G.A.; Bistrian, B.R.; Maini, B.S.; Schlamm, H.T.; Smith, M.F. Nutritional and metabolic assessment of the hospitalized patient. JPEN J. Parenter. Ent Nutr. 1977, 1, 11–21. [Google Scholar] [CrossRef]
- Seltzer, M.H.; Bastidas, J.A.; Cooper, D.M.; Engler, P.; Slocum, B.; Fletcher, H.S. Instant nutritional assessment. JPEN J. Parenter. Enter. Nutr. 1979, 3, 157–159. [Google Scholar] [CrossRef]
- Evans, D.C.; Corkins, M.R.; Malone, A.; Miller, S.; Mogensen, K.M.; Guenter, P.; Jensen, G.L.; ASPEN Malnutrition Committee. The Use of Visceral Proteins as Nutrition Markers: An ASPEN Position Paper. Nutr. Clin. Pract. 2021, 36, 22–28. [Google Scholar] [CrossRef]
- Chojkier, M. Inhibition of albumin synthesis in chronic diseases: Molecular mechanisms. J. Clin. Gastroenterol. 2005, 39 (Suppl. S2), S143–S146. [Google Scholar] [CrossRef]
- Calafiore, D.; Negrini, F.; Tottoli, N.; Ferraro, F.; Ozyemisci-Taskiran, O.; de Sire, A. Efficacy of robotic exoskeleton for gait rehabilitation in patients with subacute stroke: A systematic review. Eur. J. Phys. Rehabil. Med. 2022, 58, 1–8. [Google Scholar] [CrossRef]
- Kato, H.; Watanabe, H.; Koike, A.; Wu, L.; Hayashi, K.; Konno, H.; Machino, T.; Nishi, I.; Sato, A.; Kawamoto, H.; et al. Effects of Cardiac Rehabilitation with Lumbar-Type Hybrid Assistive Limb on Muscle Strength in Patients with Chronic Heart Failure—A Randomized Controlled Trial. Circ. J. 2021, 86, 60–67. [Google Scholar] [CrossRef]
- Holt, P.R. Intestinal malabsorption in the elderly. Dig. Dis. 2007, 25, 144–150. [Google Scholar] [CrossRef] [PubMed]


| Total | Walking Group | Wheelchair Group | p Value | |
|---|---|---|---|---|
| n | 1601 | 1181 | 420 | |
| Age, year | 77 ± 12 | 76 ± 13 | 79 ± 12 | <0.001 * |
| Male, n (%) | 739 (46.2) | 555 (47.0) | 184 (43.8) | 0.261 † |
| Height, m | 1.6 ± 0.1 | 1.6 ± 0.1 | 1.5 ± 0.1 | 0.067 * |
| Weight, kg | 51.3 ± 11.9 | 52.3 ± 12.0 | 48.5 ± 11.1 | <0.001 * |
| Body mass index, kg/m2 | 21.1 ± 4.0 | 21.5 ± 4.0 | 20.3 ± 3.8 | <0.001 * |
| Reason for admission, n (%) | ||||
| Stroke | 643 (40.2) | 424 (35.9) | 219 (52.1) | <0.001 † |
| Musculoskeletal disease | 635 (39.7) | 520 (44.0) | 115 (27.4) | <0.001 † |
| Hospitalization-associated disability | 323 (20.2) | 237 (20.1) | 86 (20.5) | 0.858 † |
| Comorbidity, n (%) | ||||
| Hypertension | 997 (62.3) | 737 (62.4) | 259 (61.7) | 0.259 † |
| Diabetes | 368 (23.0) | 274 (23.2) | 94 (22.4) | 0.732 † |
| Dyslipidemia | 346 (21.6) | 273 (23.1) | 72 (17.1) | 0.010 † |
| Atrial fibrillation | 194 (12.1) | 133 (11.3) | 61 (14.5) | 0.078 † |
| Time from onset, day | 29 (21–42) | 28 (20–40) | 31 (22–46) | 0.063 ** |
| Handgrip strength, kg | 17.0 ± 10.0 | 18.1 ± 10.3 | 12.7 ± 6.6 | <0.001 * |
| Quadriceps strength, kg | 13.3 ± 7.3 | 13.8 ± 7.4 | 10.7 ± 6.6 | <0.001 * |
| FOIS | 6 ± 2 | 6 ± 1 | 4 ± 2 | <0.001 * |
| Barthel Index, score | 45 (15–65) | 50 (35–70) | 10 (5–30) | <0.001 ** |
| FIM, score | ||||
| Motor | 32 (20–45) | 38 (25–48) | 16 (13–23) | <0.001 ** |
| Cognitive | 20 (14–25) | 23 (18–27) | 13 (8–17) | <0.001 ** |
| Total | 52 (36–69) | 60 (45–74) | 31 (22–39) | <0.001 ** |
| Nutritional Index at admission | ||||
| MNA-SF | 6.1 ± 2.6 | 6.5 ± 2.5 | 4.7 ± 2.4 | <0.001 * |
| GNRI | 91.4 ± 12.4 | 93.1 ± 12.4 | 86.7 ± 10.9 | <0.001 * |
| CONUT score | 3.3 ± 2.3 | 3.1 ± 2.3 | 3.9 ± 2.3 | <0.001 * |
| Energy intake, kcal | 1405 ± 406 | 1453 ± 394 | 1270 ± 407 | <0.001 * |
| Protein intake, g | 56.7 ± 15.7 | 58.4 ± 15.1 | 51.9 ± 16.4 | <0.001 * |
| Medication, n | 5.2 ± 3.0 | 5.2 ± 3.1 | 5.1 ± 2.8 | 0.402 * |
| BNP, pg/mL | 37 (17–86) | 35 (16–80) | 43 (18–100) | <0.001 ** |
| Albumin, g/dL | 3.5 ± 0.5 | 3.5 ± 0.5 | 3.2 ± 0.5 | <0.001 * |
| CRP, mg/dL | 0.9 ± 1.8 | 0.8 ± 1.7 | 1.1 ± 2.0 | 0.002 * |
| Creatinine, mg/dL | 0.9 ± 0.4 | 0.9 ± 0.4 | 0.8 ± 0.4 | 0.043 * |
| eGFR, mg/min | 63.8 ± 19.0 | 63.6 ± 18.7 | 64.3 ± 20.1 | 0.002 * |
| Hemoglobin, g/dL | 12.0 ± 1.8 | 12.1 ± 1.8 | 11.7 ± 1.8 | <0.001 * |
| Total | Walking Group | Wheelchair Group | p Value | |
|---|---|---|---|---|
| n | 1601 | 1181 | 420 | |
| Handgrip strength, kg | 17.6 ± 8.4 | 18.8 ± 8.4 | 12.9 ± 6.9 | <0.001 * |
| Quadriceps strength, kg | 15.7 ± 7.8 | 16.6 ± 7.9 | 11.4 ± 5.9 | <0.001 * |
| FOIS | 6 ± 2 | 7 ± 1 | 4 ± 2 | <0.001 * |
| Barthel Index, score | 85 (55–100) | 90 (85–100) | 35 (15–55) | <0.001 ** |
| FIM, score | ||||
| Motor | 73 (51–83) | 79 (70–86) | 31 (19–44) | <0.001 ** |
| Cognitive | 25 (19–31) | 28 (23–33) | 16 (12–21) | <0.001 ** |
| Total | 98 (71–114) | 107 (95–117) | 50 (32–64) | <0.001 ** |
| Nutritional Index at discharge | ||||
| MNA-SF | 9.4 ± 2.8 | 9.9 ± 2.6 | 8.1 ± 2.8 | <0.001 * |
| GNRI | 89.9 ± 12.3 | 92.0 ± 11.8 | 84.9 ± 12.1 | <0.001 * |
| CONUT | 3.1 ± 2.7 | 2.7 ± 2.2 | 3.9 ± 2.6 | <0.001 * |
| Energy intake, kcal | 1582 ± 354 | 1622 ± 334 | 1469 ± 382 | <0.001 * |
| Protein intake, g | 63.7 ± 14.4 | 65.2 ± 13.1 | 59.5 ± 16.8 | <0.001 * |
| Handgrip strength gain, kg | 0.7 (0.0–2.7) | 0.9 (0.0–2.8) | 0.5 (0.0–2.4) | 0.624 ** |
| Quadriceps strength gain, kg | 1.8 (0.0–4.5) | 1.9 (0.2–4.7) | 0.8 (0.0–0.3) | <0.001 ** |
| Barthel Index gain, score | 30 (15–45) | 35 (20–50) | 20 (5–35) | <0.001 ** |
| FIM gain, score | ||||
| Motor | 34 (19–43) | 39 (30–46) | 12 (4–21) | <0.001 ** |
| Cognitive | 4 (1–7) | 5 (1–8) | 2 (1–5) | <0.001 ** |
| Total | 38 (22–50) | 43 (33–53) | 14 (6–25) | <0.001 ** |
| Rehabilitation effectiveness, % | 55.9 ± 38.3 | 68.9 ± 35.5 | 19.2 ± 15.2 | <0.001 § |
| Length of hospital stay, day | 86 (64–117) | 85 (60–93) | 90 (81–165) | <0.001 ** |
| Discharge to home, n (%) | 1033 (64.5) | 876 (74.2) | 156 (37.1) | <0.001 † |
| Total | Walking Group | Wheelchair Group | p Value | |
|---|---|---|---|---|
| Stroke | ||||
| n | 643 | 424 | 219 | |
| Handgrip strength at admission, kg | 18.4 ± 12.5 | 20.0 ± 13.3 | 13.4 ± 7.4 | <0.001 * |
| Quadriceps strength at admission, kg | 14.3 ± 7.9 | 15.0 ± 7.8 | 10.9 ± 7.2 | <0.001 * |
| FOIS at admission | 5 ± 2 | 6 ± 2 | 4 ± 2 | <0.001 * |
| Barthel Index at admission, score | 38 (10–60) | 50 (30–70) | 10 (0–20) | <0.001 ** |
| FIM at admission, score | ||||
| Motor | 26 (15–42) | 36 (23–47) | 14 (13–19) | <0.001 ** |
| Cognitive | 18 (11–23) | 21 (16–25) | 10 (7–16) | <0.001 ** |
| Total | 44 (28–64) | 58 (42–71) | 25 (21–34) | <0.001 ** |
| Nutritional Index at admission | ||||
| MNA-SF | 5.7 ± 2.6 | 6.4 ± 2.5 | 4.4 ± 2.3 | <0.001 * |
| GNRI | 92.6 ± 12.5 | 94.8 ± 12.5 | 88.2 ± 11.4 | <0.001 * |
| CONUT | 3.2 ± 2.3 | 3.0 ± 2.2 | 3.7 ± 2.3 | <0.001 * |
| Energy intake, kcal | 1435 ± 417 | 1522 ± 406 | 1265 ± 388 | <0.001 * |
| Protein intake, g | 57.7 ± 15.7 | 60.7 ± 15.0 | 51.9 ± 15.6 | <0.001 * |
| Handgrip strength at discharge, kg | 19.0 ± 9.1 | 21.0 ± 9.0 | 13.7 ± 3.7 | <0.001 * |
| Quadriceps strength at discharge, kg | 16.8 ± 8.5 | 18.3 ± 8.5 | 11.2 ± 5.6 | <0.001 * |
| FOIS at discharge | 6 ± 2 | 7 ± 1 | 4 ± 2 | <0.001 * |
| Barthel Index at discharge, score | 85 (45–100) | 95 (85–100) | 30 (10–50) | <0.001 ** |
| FIM at discharge, score | ||||
| Motor | 70 (37–84) | 80 (70–87) | 29 (17–41) | <0.001 ** |
| Cognitive | 24 (17–30) | 28 (23–32) | 15 (10–20) | <0.001 ** |
| Total | 94 (55–112) | 108 (95–117) | 44 (31–59) | <0.001 ** |
| Nutritional Index at discharge | ||||
| MNA-SF | 9.2 ± 2.9 | 10.0 ± 2.6 | 7.8 ± 2.8 | <0.001 * |
| GNRI | 91.6 ± 12.2 | 94.9 ± 10.0 | 86.5 ± 13.5 | <0.001 * |
| CONUT | 2.8 ± 2.2 | 2.4 ± 1.9 | 3.4 ± 2.5 | <0.001 * |
| Energy intake, kcal | 1269 ± 377 | 1704 ± 337 | 1482 ± 408 | <0.001 * |
| Protein intake, g | 65.2 ± 15.2 | 67.9 ± 12.8 | 60.0 ± 17.9 | <0.001 * |
| Handgrip strength gain, kg | 1.1 (0.0–3.3) | 1.2 (0.0–3.6) | 1.0 (0.0–3.2) | 0.791 ** |
| Quadriceps strength gain, kg | 2.0 (0.2–5.0) | 2.3 (0.4–5.2) | 1.0 (0.0–4.0) | 0.022 ** |
| Barthel Index gain, score | 30 (15–45) | 35 (20–50) | 18 (5–30) | <0.001 ** |
| FIM gain, score | ||||
| Motor | 33 (15–44) | 41 (31–49) | 11 (3–20) | <0.001 ** |
| Cognitive | 5 (2–9) | 6 (3–10) | 3 (1–6) | <0.001 ** |
| Total | 38 (19–52) | 46 (35–57) | 15 (5–26) | <0.001 ** |
| Rehabilitation effectiveness, % | 51.8 ± 30.3 | 69.0 ± 20.1 | 18.5 ± 15.5 | <0.001 § |
| Length of hospital stay, day | 141 (89–176) | 129 (76–173) | 161 (114–178) | <0.001 ** |
| Discharge to home, n (%) | 361 (56.1) | 299 (70.5) | 62 (28.3) | <0.001 † |
| Musculoskeletal disease, | ||||
| n | 635 | 520 | 115 | |
| Handgrip strength at admission, kg | 16.5 ± 8.3 | 17.2 ± 8.4 | 12.3 ± 6.0 | <0.001 * |
| Quadriceps strength at admission, kg | 12.7 ± 6.9 | 13.0 ± 6.9 | 11.3 ± 6.4 | 0.063 * |
| FOIS at admission | 6 ± 1 | 6 ± 1 | 5 ± 2 | <0.001 * |
| Barthel Index at admission, score | 50 (30–70) | 55 (40–70) | 20 (5–38) | <0.001 ** |
| FIM at admission, score | ||||
| Motor | 36 (24–48) | 40 (29–49) | 22 (15–27) | <0.001 ** |
| Cognitive | 23 (17–28) | 25 (20–28) | 15 (11–19) | <0.001 ** |
| Total | 59 (42–75) | 64 (50–78) | 38 (27–45) | <0.001 ** |
| Nutritional Index at admission | ||||
| MNA-SF | 6.7 ± 2.5 | 7.0 ± 2.5 | 5.7 ± 2.4 | <0.001 * |
| GNRI | 92.6 ± 11.6 | 93.8 ± 11.7 | 87.0 ± 9.2 | <0.001 * |
| CONUT | 3.1 ± 2.1 | 2.9 ± 2.1 | 3.9 ± 2.2 | <0.001 * |
| Energy intake, kcal | 1390 ± 379 | 1406 ± 371 | 1316 ± 408 | 0.031 * |
| Protein intake, g | 56.2 ± 14.9 | 56.9 ± 14.7 | 53.1 ± 15.9 | 0.019 * |
| Handgrip strength at discharge, kg | 16.5 ± 7.9 | 17.4 ± 8.0 | 12.8 ± 5.7 | <0.001 * |
| Quadriceps strength at discharge, kg | 15.1 ± 7.3 | 15.6 ± 7.3 | 12.0 ± 6.5 | <0.001 * |
| FOIS at discharge | 6 ± 1 | 7 ± 1 | 5 ± 2 | <0.001 * |
| Barthel Index at discharge, score | 90 (70–100) | 95 (85–100) | 50 (23–60) | <0.001 ** |
| FIM at discharge, score | ||||
| Motor | 76 (62–84) | 79 (70–80) | 40 (27–52) | <0.001 ** |
| Cognitive | 27 (21–33) | 29 (24–34) | 17 (13–22) | <0.001 ** |
| Total | 103 (83–116) | 107 (95–118) | 57 (42–72) | <0.001 ** |
| Nutritional Index at discharge | ||||
| MNA-SF | 9.8 ± 2.5 | 10.0 ± 2.5 | 9.0 ± 2.5 | <0.001 * |
| GNRI | 89.9 ± 12.2 | 90.9 ± 12.5 | 85.4 ± 9.7 | <0.001 * |
| CONUT | 3.1 ± 2.4 | 2.9 ± 2.3 | 4.0 ± 2.6 | 0.005 * |
| Energy intake, kcal | 1535 ± 303 | 1546 ± 303 | 1481 ± 301 | 0.037 * |
| Protein intake, g | 62.4 ± 12.3 | 63.1 ± 12.1 | 59.6 ± 12.8 | <0.001 * |
| Handgrip strength gain, kg | 0.5 (0.0–2.2) | 0.5 (0.0–2.3) | 0.3 (0.0–1.6) | 0.254 ** |
| Quadriceps strength gain, kg | 1.6 (0.0–3.9) | 1.6 (0.1–4.1) | 1.1 (0.0–2.1) | 0.005 ** |
| Barthel Index gain, score | 30 (20–45) | 35 (20–45) | 20 (5–25) | <0.001 ** |
| FIM gain, score | ||||
| Motor | 34 (23–43) | 37 (29–44) | 15 (7–25) | <0.001 ** |
| Cognitive | 3 (1–6) | 3 (1–7) | 2 (1–5) | <0.001 ** |
| Total | 38 (26–47) | 41 (31–50) | 18 (9–30) | <0.001 ** |
| Rehabilitation effectiveness, % | 61.6 ± 48.0 | 70.3 ± 48.3 | 22.2 ± 15.5 | <0.001 § |
| Length of hospital stay, day | 78 (56–87) | 75 (53–86) | 85 (71–89) | <0.001 ** |
| Discharge to home, n (%) | 475 (74.8) | 411 (79.0) | 64 (55.7) | <0.001 † |
| Hospitalization-associated disability, | ||||
| n | 323 | 237 | 86 | |
| Handgrip strength at admission, kg | 15.7 ± 7.3 | 16.7 ± 7.3 | 11.9 ± 5.8 | <0.001 * |
| Quadriceps strength at admission, kg | 12.6 ± 7.1 | 13.3 ± 7.3 | 9.6 ± 5.5 | <0.001 * |
| FOIS at admission | 5 ± 2 | 6 ± 2 | 4 ± 2 | <0.001 * |
| Barthel Index at admission, score | 40 (20–60) | 50 (35–65) | 13 (5–30) | <0.001 ** |
| FIM at admission, score | ||||
| Motor | 28 (19–41) | 35 (24–45) | 17 (13–24) | <0.001 ** |
| Cognitive | 20 (15–25) | 22 (17–27) | 15 (9–21) | <0.001 ** |
| Total | 49 (37–60) | 56 (44–71) | 35 (25–43) | <0.001 ** |
| Nutritional Index at admission | ||||
| MNA-SF | 5.5 ± 2.4 | 5.9 ± 2.4 | 4.3 ± 2.2 | <0.001 * |
| GNRI | 86.7 ± 12.5 | 88.3 ± 12.8 | 82.4 ± 10.5 | <0.001 * |
| CONUT | 4.0 ± 2.6 | 3.8 ± 2.6 | 4.6 ± 2.4 | 0.009 * |
| Energy intake, kcal | 1375 ± 429 | 1433 ± 406 | 1218 ± 450 | <0.001 * |
| Protein intake, g | 55.6 ± 16.9 | 54.7 ± 15.7 | 50.4 ± 19.0 | 0.003 * |
| Handgrip strength at discharge, kg | 16.8 ± 7.5 | 17.9 ± 7.2 | 12.7 ± 7.2 | <0.001 * |
| Quadriceps strength at discharge, kg | 14.7 ± 7.3 | 15.6 ± 7.4 | 11.1 ± 5.7 | <0.001 * |
| FOIS at discharge | 6 ± 2 | 6 ± 1 | 4 ± 2 | <0.001 * |
| Barthel Index at discharge, score | 85 (55–95) | 90 (80–100) | 35 (10–55) | <0.001 ** |
| FIM at discharge, score | ||||
| Motor | 71 (47–81) | 77 (67–84) | 31 (17–41) | <0.001 ** |
| Cognitive | 25 (19–31) | 28 (23–32) | 18 (14–24) | <0.001 ** |
| Total | 97 (68–110) | 103 (91–114) | 51 (32–64) | <0.001 ** |
| Nutritional Index at discharge | ||||
| MNA-SF | 9.0 ± 2.8 | 9.5 ± 2.7 | 7.6 ± 2.7 | <0.001 * |
| GNRI | 87.1 ± 12.2 | 89.8 ± 12.1 | 81.0 ± 10.0 | <0.001 * |
| CONUT | 3.6 ± 2.5 | 3.0 ± 2.2 | 4.8 ± 2.6 | <0.001 * |
| Energy intake, kcal | 1583 ± 386 | 1641 ± 360 | 1422 ± 412 | <0.001 * |
| Protein intake, g | 63.2 ± 16.3 | 65.0 ± 15.0 | 58.2 ± 18.5 | 0.003 * |
| Handgrip strength gain, kg | 1.0 (0.0–2.5) | 1.1 (0.0–3.0) | 0.3 (0.0–2.1) | 0.086 ** |
| Quadriceps strength gain, kg | 1.4 (0.0–4.7) | 1.6 (0.1–4.8) | 0.8 (0.0–2.4) | 0.049 ** |
| Barthel Index gain, score | 35 (15–45) | 40 (25–50) | 15 (5–34) | <0.001 ** |
| FIM gain, score | ||||
| Motor | 34 (19–44) | 39 (31–47) | 10 (3–18) | <0.001 ** |
| Cognitive | 3 (1–7) | 4 (1–8) | 2 (1–6) | 0.006 ** |
| Total | 38 (21–50) | 43 (34–54) | 14 (6–22) | <0.001 ** |
| Rehabilitation effectiveness, % | 52.9 ± 28.7 | 65.8 ± 20.5 | 17.1 ± 13.5 | <0.001 § |
| Length of hospital stay, day | 85 (62–89) | 85 (62–88) | 86 (71–90) | 0.702 ** |
| Discharge to home, n (%) | 197 (61.0) | 167 (70.5) | 30 (34.9) | <0.001 † |
| Crude Model | Adjusted Model 1 | Adjusted Model 2 | |||||||
|---|---|---|---|---|---|---|---|---|---|
| OR | 95% CI | p Value | OR | 95% CI | p Value | OR | 95% CI | p Value | |
| Overall | |||||||||
| MNA-SF | 1.336 | 1.272–1.404 | <0.0001 | 1.961 | 1.961–1.399 | <0.0001 | 1.185 | 1.185–1.292 | <0.0001 |
| GNRI | 1.045 | 1.035–1.056 | <0.0001 | 1.043 | 1.032–1.054 | <0.0001 | 1.021 | 1.001–1.042 | 0.038 |
| CONUT | 0.886 | 0.826–0.908 | <0.0001 | 0.882 | 0.839–0.927 | <0.0001 | 0.941 | 0.857–1.033 | 0.199 |
| Stroke | |||||||||
| MNA-SF | 1.386 | 1.286–1.494 | <0.0001 | 1.366 | 1.266–1.474 | <0.0001 | 1.163 | 1.011–1.338 | 0.035 |
| GNRI | 1.046 | 1.031–1.601 | <0.0001 | 1.039 | 1.023–1.055 | <0.0001 | 0.989 | 0.959–1.020 | 0.484 |
| CONUT | 0.887 | 0.827–0.953 | 0.001 | 0.929 | 0.861–1.001 | 0.054 | 1.155 | 0.998–1.337 | 0.053 |
| Musculoskeletal disease | |||||||||
| MNA-SF | 1.222 | 1.126–1.327 | <0.0001 | 1.188 | 1.091–1.293 | <0.0001 | 1.182 | 1.037–1.347 | 0.012 |
| GNRI | 1.053 | 1.034–1.073 | <0.0001 | 1.047 | 1.027–1.068 | <0.0001 | 1.027 | 0.999–1.056 | 0.057 |
| CONUT | 0.813 | 0.742–0.891 | <0.0001 | 0.836 | 0.758–0.921 | <0.0001 | 0.925 | 0.809–1.057 | 0.251 |
| Hospital-associated disability | |||||||||
| MNA-SF | 1.474 | 1.291–1.684 | <0.0001 | 1.501 | 1.305–1.726 | <0.0001 | 1.318 | 1.053–1.650 | 0.016 |
| GNRI | 1.044 | 1.021–1.068 | <0.0001 | 1.042 | 1.018–1.067 | 0.001 | 1.030 | 0.998–1.073 | 0.163 |
| CONUT | 0.896 | 0.813–0.998 | 0.027 * | 0.911 | 0.823–1.009 | 0.073 | 0.851 | 0.719–1.009 | 0.063 |
| Crude Model | Adjusted Model 1 | Adjusted Model 2 | ||||||||||
|---|---|---|---|---|---|---|---|---|---|---|---|---|
| β | B | 95% CI | p Value | β | B | 95% CI | p Value | β | B | 95% CI | p Value | |
| Overall | ||||||||||||
| MNA-SF | 0.257 | 0.038 | 0.031–0.045 | <0.0001 | 0.239 | 0.035 | 0.028–0.042 | <0.0001 | 0.128 | 0.012 | 0.006–0.019 | <0.0001 |
| GNRI | 0.231 | 0.007 | 0.006–0.009 | <0.0001 | 0.198 | 0.006 | 0.005–0.009 | <0.0001 | 0.091 | 0.002 | 0.001–0.003 | 0.004 |
| CONUT | −0.14 | −0.023 | −0.031–−0.015 | <0.0001 | −0.105 | −0.017 | −0.026–−0.009 | <0.0001 | −0.058 | −0.006 | −0.013–0.001 | 0.052 |
| Stroke | ||||||||||||
| MNA-SF | 0.404 | 0.046 | 0.038–0.054 | <0.0001 | 0.365 | 0.042 | 0.034–0.050 | <0.0001 | 0.155 | 0.016 | 0.005–0.026 | 0.004 |
| GNRI | 0.351 | 0.008 | 0.007–0.010 | <0.0001 | 0.292 | 0.007 | 0.005–0.009 | <0.0001 | 0.098 | 0.002 | 0.001–0.004 | 0.067 |
| CONUT | −0.22 | −0.029 | −0.039–−0.019 | <0.0001 | −0.155 | −0.021 | −0.031–−0.010 | <0.0001 | −0.013 | −0.002 | −0.013–0.010 | 0.792 |
| Musculoskeletal disease | ||||||||||||
| MNA-SF | 0.136 | 0.026 | 0.011–0.041 | <0.0001 | 0.098 | 0.019 | 0.004–0.033 | 0.014 | 0.108 | 0.01 | 0.001–0.019 | 0.026 |
| GNRI | 0.174 | 0.007 | 0.004–0.010 | <0.0001 | 0.133 | 0.006 | 0.002–0.009 | 0.001 | 0.114 | 0.002 | 0.001–0.004 | 0.02 |
| CONUT | −0.086 | −0.019 | −0.037–−0.02 | 0.031 | −0.05 | −0.011 | −0.029–0.007 | 0.218 | −0.067 | −0.007 | −0.017–0.003 | 0.149 |
| Hospital-associated disability | ||||||||||||
| MNA-SF | 0.32 | 0.039 | 0.026–0.052 | <0.0001 | 0.296 | 0.036 | 0.024–0.049 | <0.0001 | 0.082 | 0.009 | 0.006–0.024 | 0.253 |
| GNRI | 0.196 | 0.004 | 0.002–0.007 | <0.0001 | 0.149 | 0.003 | 0.001–0.006 | 0.008 | −0.036 | −0.001 | 0.003–0.002 | 0.587 |
| CONUT | −0.12 | −0.014 | −0.026–−0.001 | 0.031 | −0.073 | −0.008 | −0.021–0.004 | 0.194 | −0.029 | −0.003 | −0.015–0.009 | 0.634 |
Disclaimer/Publisher’s Note: The statements, opinions and data contained in all publications are solely those of the individual author(s) and contributor(s) and not of MDPI and/or the editor(s). MDPI and/or the editor(s) disclaim responsibility for any injury to people or property resulting from any ideas, methods, instructions or products referred to in the content. |
© 2024 by the authors. Licensee MDPI, Basel, Switzerland. This article is an open access article distributed under the terms and conditions of the Creative Commons Attribution (CC BY) license (https://creativecommons.org/licenses/by/4.0/).
Share and Cite
Tamamura, Y.; Hachiuma, C.; Matsuura, M.; Shiba, S.; Nishikimi, T. Relationship between Improvement in Physical Activity and Three Nutritional Assessment Indicators in Patients Admitted to a Convalescent Rehabilitation Ward. Nutrients 2024, 16, 2531. https://doi.org/10.3390/nu16152531
Tamamura Y, Hachiuma C, Matsuura M, Shiba S, Nishikimi T. Relationship between Improvement in Physical Activity and Three Nutritional Assessment Indicators in Patients Admitted to a Convalescent Rehabilitation Ward. Nutrients. 2024; 16(15):2531. https://doi.org/10.3390/nu16152531
Chicago/Turabian StyleTamamura, Yusuke, Chihiro Hachiuma, Michiko Matsuura, Sumiko Shiba, and Toshio Nishikimi. 2024. "Relationship between Improvement in Physical Activity and Three Nutritional Assessment Indicators in Patients Admitted to a Convalescent Rehabilitation Ward" Nutrients 16, no. 15: 2531. https://doi.org/10.3390/nu16152531
APA StyleTamamura, Y., Hachiuma, C., Matsuura, M., Shiba, S., & Nishikimi, T. (2024). Relationship between Improvement in Physical Activity and Three Nutritional Assessment Indicators in Patients Admitted to a Convalescent Rehabilitation Ward. Nutrients, 16(15), 2531. https://doi.org/10.3390/nu16152531

