Previous Issue
Volume 19, January-1
error_outline You can access the new MDPI.com website here. Explore and share your feedback with us.
 
 
materials-logo

Journal Browser

Journal Browser

Materials, Volume 19, Issue 2 (January-2 2026) – 51 articles

  • Issues are regarded as officially published after their release is announced to the table of contents alert mailing list.
  • You may sign up for e-mail alerts to receive table of contents of newly released issues.
  • PDF is the official format for papers published in both, html and pdf forms. To view the papers in pdf format, click on the "PDF Full-text" link, and use the free Adobe Reader to open them.
Order results
Result details
Section
Select all
Export citation of selected articles as:
24 pages, 6834 KB  
Article
Flame-Retardant and Hydrophobic Cotton via Alkoxysilyl-Functionalized Polysiloxanes, Cyclosiloxanes, and POSS with Surface Thiol-Ene Dithiophosphate Grafting
by Marcin Przybylak, Anna Szymańska, Weronika Gieparda, Mariusz Szołyga, Agnieszka Dutkiewicz and Hieronim Maciejewski
Materials 2026, 19(2), 265; https://doi.org/10.3390/ma19020265 (registering DOI) - 8 Jan 2026
Abstract
In this work, a multifunctional surface engineering strategy was developed to impart both flame-retardant and hydrophobic properties to cotton fabrics. In the first stage, cellulose fibers were modified with poly(methylvinyl)siloxane containing trimethoxysilyl groups, 2,4,6,8-tetramethyl-divinyl-bis(trimethoxysilylpropyltioethyl)cyclotetrasiloxane, or tetrakis(vinyldimethylsiloxy)tetrakis(trimethoxysilylpropyltioethyl)octasilsesquioxane (POSS). All modifiers contained alkoxysilyl groups capable [...] Read more.
In this work, a multifunctional surface engineering strategy was developed to impart both flame-retardant and hydrophobic properties to cotton fabrics. In the first stage, cellulose fibers were modified with poly(methylvinyl)siloxane containing trimethoxysilyl groups, 2,4,6,8-tetramethyl-divinyl-bis(trimethoxysilylpropyltioethyl)cyclotetrasiloxane, or tetrakis(vinyldimethylsiloxy)tetrakis(trimethoxysilylpropyltioethyl)octasilsesquioxane (POSS). All modifiers contained alkoxysilyl groups capable of forming covalent bonds with cellulose hydroxyl groups. The modification was performed using a dip-coating process followed by thermal curing. This procedure enabled the formation of Si-O-C linkages and the generation of a reactive organosilicon layer on the cotton surface. In the second step, O,O′-diethyl dithiophosphate was grafted directly onto the vinyl-functionalized fabrics via a thiol-ene click reaction. This process resulted in the formation of a phosphorus- and sulfur-containing protective layer anchored within the siloxane-based network. The obtained hybrid coatings were characterized using Fourier-transform infrared spectroscopy (FT-IR), scanning electron microscopy (SEM), and SEM-EDS. These analyses confirmed the presence and uniform distribution of the modifiers on the fiber surface. Microscale combustion calorimetry demonstrated a substantial reduction in the heat release rate. Thermogravimetric analysis (TG/DTG) revealed increased char formation and altered thermal degradation pathways. The limiting oxygen index (LOI) increased for all modified fabrics, confirming enhanced flame resistance. Water contact angle measurements showed values above 130°, indicating effective hydrophobicity. As a result, multifunctional textile surfaces were obtained. In addition, the modified fabrics exhibited partial durability toward laundering and retained measurable flame-retardant and hydrophobic performance after repeated washing cycles. Full article
Show Figures

Graphical abstract

22 pages, 3974 KB  
Article
Experimental Investigation of the Flexural Performance of Continuous Self-Compacting Concrete Beams with Natural and Recycled Aggregates
by Žarko Petrović, Bojan Milošević, Marija Spasojević Šurdilović, Andrija Zorić and Dragana Turnić
Materials 2026, 19(2), 264; https://doi.org/10.3390/ma19020264 - 8 Jan 2026
Abstract
This paper presents an experimental investigation on the flexural performance of continuous two-span reinforced concrete beams made with self-compacting concrete (SCC) incorporating natural and recycled coarse aggregates. A total of nine beams were tested under static loading conditions. The beams were divided into [...] Read more.
This paper presents an experimental investigation on the flexural performance of continuous two-span reinforced concrete beams made with self-compacting concrete (SCC) incorporating natural and recycled coarse aggregates. A total of nine beams were tested under static loading conditions. The beams were divided into three groups based on different reinforcement ratios, and within each group, three aggregate replacement levels were used: 0%, 50%, and 100% recycled coarse aggregate. All beams were designed with identical cross-sections and subjected to two-point loading to simulate continuous support conditions. The study focused on evaluating cracking behavior, load–deflection response, and failure modes. The experimental results highlight that partial replacement with recycled aggregates (RAC50) can achieve comparable or even improved mechanical performance compared to natural aggregate beams, including enhanced compressive strength and ductility. Beams with 100% recycled aggregates (RAC100) showed slightly higher deflections and earlier crack initiation, particularly at lower reinforcement ratios, although overall flexural behavior remained consistent with natural aggregate concrete (NAC) beams. It was also observed that as reinforcement ratio increases, the influence of aggregate type diminishes, indicating that steel reinforcement predominantly governs the structural response at higher ratios. Crack widths and propagation patterns were systematically monitored, confirming that RAC beams maintain acceptable deformation and ductility under load. These findings emphasize the feasibility of using high-quality recycled aggregates in structural SCC elements, providing a sustainable alternative without compromising performance, and offering guidance for the design of continuous RAC beams. Full article
(This article belongs to the Section Construction and Building Materials)
Show Figures

Figure 1

15 pages, 967 KB  
Article
Study on the Tensile Properties and Influencing Factors of Superelastic SMAF-Reinforced PP/PVA-ECC Materials
by Yan Cao, Xiaolong Qi and Zhao Yang
Materials 2026, 19(2), 263; https://doi.org/10.3390/ma19020263 - 8 Jan 2026
Abstract
To develop a cost-effective shape memory alloy fiber-reinforced engineered cementitious composite (SMAF-ECC) with excellent mechanical properties, polypropylene (PP) fibers were used to partially replace polyvinyl alcohol (PVA) fibers to prepare the ECC matrix, and superelastic shape memory alloy fibers (SMAFs) were incorporated to [...] Read more.
To develop a cost-effective shape memory alloy fiber-reinforced engineered cementitious composite (SMAF-ECC) with excellent mechanical properties, polypropylene (PP) fibers were used to partially replace polyvinyl alcohol (PVA) fibers to prepare the ECC matrix, and superelastic shape memory alloy fibers (SMAFs) were incorporated to fabricate a novel SMAF-ECC. Uniaxial tensile tests were systematically performed to characterize the tensile mechanical properties of the composites, focusing on the effects of SMAF volume content and diameter. The results indicate that the optimal base ECC mix proportion is 0.8 vol.% PP fibers and 1.2 vol.% PVA fibers, achieving an ultimate tensile strain of 4.88% (only a 4.69% reduction compared to pure PVA-ECC) while significantly reducing material cost without sacrificing superior ductility. SMAF volume content and diameter notably influence the tensile performance of SMAF-ECC, with the specimen containing 0.2 mm diameter SMAFs at 0.2 vol.% exhibiting the best performance: initial cracking stress, ultimate tensile stress, and ultimate tensile strain are enhanced by 16.79%, 20.85%, and 2.87%, respectively, compared to pure ECC. This study provides a theoretical basis and parametric guidance for the engineering popularization and application of cost-effective SMAF-ECCs. Full article
(This article belongs to the Section Construction and Building Materials)
12 pages, 865 KB  
Article
Effect of Collar Diameter and Simulated Aging on the Orthogonal Load Resistance of Orthodontic Miniscrews
by Maria Francesca Sfondrini, Giuseppe Merlati, Maurizio Pascadopoli, Letizia Valceschini, Simone Ricchio, Mattia Maria Torchia, Leonardo Del Corso and Andrea Scribante
Materials 2026, 19(2), 262; https://doi.org/10.3390/ma19020262 - 8 Jan 2026
Abstract
The use of miniscrews as Temporary Skeletal Anchorage Devices (TSAD) in orthodontics has allowed clinicians to perform challenging tooth movements by dissipating undesired forces into the bone structure; thus, avoiding unwanted movement of the adjacent teeth. It is essential for miniscrews to be [...] Read more.
The use of miniscrews as Temporary Skeletal Anchorage Devices (TSAD) in orthodontics has allowed clinicians to perform challenging tooth movements by dissipating undesired forces into the bone structure; thus, avoiding unwanted movement of the adjacent teeth. It is essential for miniscrews to be highly resistant to fracture during clinical use. While many studies have analysed torsional loads, none have measured the changes in flexural and bending strength of miniscrews before and after an ageing process. This study aims to analyse the resistance to orthogonal forces of miniscrews with different diameters, focusing on both new and aged materials, the latter subjected to thermocycling and autoclaving laboratory processes to simulate a 3- and a 6-month exposure to the oral environment. A total of 105 pristine miniscrews have been tested; specimens were divided into seven groups based on the different endosseous body diameters. Each group was further subdivided into three subgroups, according to the simulated ageing of the miniscrews (intact, 3 months of ageing and 6 months of ageing, respectively). An Instron Universal Testing Machine has been used to measure deflection at 0.1 mm and 0.2 mm, as well as maximum load at fracture. The results evidenced that miniscrews respond differently to cutting forces; in particular, the resistance to orthogonal loads increases as the diameter of the miniscrews increases. Linear regression analysis revealed a significant influence between all the dependent variables—maximum load, 0.1 mm deflection load, and 0.2 mm deflection load—and the independent variables, such as diameter and thermocycling (p < 0.05). Both new and aged miniscrews are suitable for orthodontic and orthopaedic loads; moreover, ageing up to 6 months does not seem to significantly decrease the resistance to shear forces for the same diameter. Linear regression analysis of the miniscrews subjected to experimental ageing showed a slight but significant decrease in resistance to orthogonal loading. Full article
Show Figures

Figure 1

13 pages, 2134 KB  
Article
Performance of Repair Mortars Composed of Calcium Sulfoaluminate and Amorphous Calcium Aluminate
by Seungtae Lee and Seho Park
Materials 2026, 19(2), 261; https://doi.org/10.3390/ma19020261 - 8 Jan 2026
Abstract
Extensive research has addressed concrete deterioration and its countermeasures; however, studies on responsive repair methods and materials remain comparatively limited and less systematic. In this study, six mixtures of repair mortars (RMs) were formulated using aluminate-based binders, specifically calcium sulfoaluminate (CSA) and amorphous [...] Read more.
Extensive research has addressed concrete deterioration and its countermeasures; however, studies on responsive repair methods and materials remain comparatively limited and less systematic. In this study, six mixtures of repair mortars (RMs) were formulated using aluminate-based binders, specifically calcium sulfoaluminate (CSA) and amorphous calcium aluminate (ACA) cements. The experiment evaluated the mechanical properties and freeze–thaw resistance of these mortars. To accelerate hydration, a controlled amount of anhydrite gypsum was incorporated into each mixture. The fluidity and setting time of fresh RMs were measured, whereas the compressive strength, flexural strength, and ultrasonic pulse velocity (UPV) of hardened RMs were evaluated at 1, 7, and 28 days. In addition, freeze–thaw resistance was assessed as per ASTM C666 by determining the relative dynamic modulus of elasticity. Additionally, the hydration products and microstructural characteristics of paste specimens were qualitatively analyzed. The mechanical performance, including strength and UPV, and freeze–thaw resistance of RMs containing ACA were superior to those of RMs containing CSA. In particular, compared to the CSA-containing specimens exposed to freeze–thaw action were significantly deteriorated, the ACA-containing specimens showed excellent resistance with relatively less cracking and spalling. This may imply that ACA is effective as rapid repair materials for concrete structures in cold regions. Microstructural observations revealed variations in hydration products depending on the aluminate binder employed, which significantly influenced the mechanical and durability properties of the RMs. These results may aid the selection of optimal repair materials for deteriorated concrete structures. Full article
(This article belongs to the Special Issue Eco-Friendly Intelligent Infrastructures Materials)
Show Figures

Figure 1

28 pages, 6027 KB  
Article
Acoustic Performance of Stone Mastic Asphalts with Crumb Rubber and Polymeric Additives in Warm, Dry Climates
by Jesús Campuzano-Ríos and Juan José Jorquera-Lucerga
Materials 2026, 19(2), 260; https://doi.org/10.3390/ma19020260 - 8 Jan 2026
Abstract
Traffic noise is one of the main sources of environmental problems and a growing challenge for national traffic authorities. It is widely accepted that tire-pavement interaction is the main cause of traffic noise at speeds between 40 and 90 km/h. Typically, noise attenuation [...] Read more.
Traffic noise is one of the main sources of environmental problems and a growing challenge for national traffic authorities. It is widely accepted that tire-pavement interaction is the main cause of traffic noise at speeds between 40 and 90 km/h. Typically, noise attenuation strategies include earthworks, tree belts, or noise barriers. However, a solution that is almost always viable is the use of low-noise pavements, which are characterized by their porous macrotexture, such as Stone Mastic Asphalt (SMA) mixtures. These mixtures are increasingly used for heavy traffic volumes because of their many advantages, including drainage properties and mechanical strength. Based on the experimental results obtained on different roads in southern Spain, this paper compares noise reduction in an SMA standard mixture due to the incorporation of different additives, such as crumb rubber and polymeric additives. According to the analysis, increasing the additives content by 1% reduces CPX by 1.18 decibels, approximately, and none of the analyzed sections shows increases greater than 3 dB within 24 months. Additionally, the paper proposes design recommendations regarding macrotexture and the percentage of voids for zones with warm, dry climates, such as Mediterranean Spain. Full article
(This article belongs to the Special Issue Eco-Friendly Intelligent Infrastructures Materials)
Show Figures

Figure 1

31 pages, 2516 KB  
Article
Study on Vibration Compaction Behavior of Fresh Concrete Mixture with Ternary Aggregate Grading
by Liping He, Fazhang Li, Huidong Qu, Zhenghong Tian, Weihao Shen and Changyue Luo
Materials 2026, 19(2), 259; https://doi.org/10.3390/ma19020259 - 8 Jan 2026
Abstract
The vibration compaction behavior of fully graded fresh concrete differs fundamentally from that of conventional two-graded concrete. Based on measured vibration responses of an internal vibrator and sinking-ball tests, an energy transfer model for fully graded concrete was established by incorporating the effects [...] Read more.
The vibration compaction behavior of fully graded fresh concrete differs fundamentally from that of conventional two-graded concrete. Based on measured vibration responses of an internal vibrator and sinking-ball tests, an energy transfer model for fully graded concrete was established by incorporating the effects of aggregate-specific surface area, paste–aggregate ratio, dynamic damping, and natural frequency, and the spatiotemporal attenuation of vibration energy in fresh concrete was systematically analyzed. Experimental results indicate that fully graded concrete exhibits a higher energy absorption capacity during the early stage of vibration, with a maximum energy absorption rate of 423 W and a peak energy transfer efficiency of 76.3%, both of which are significantly higher than those of two-graded concrete at the same slump. However, as a dense aggregate skeleton rapidly forms, the energy absorption efficiency of fully graded concrete decreases more rapidly during the middle and later stages of vibration, showing a characteristic pattern of “high initial absorption followed by rapid attenuation.” Through segregation assessment and porosity analysis, a safe vibration energy range for fully graded concrete was quantitatively determined, with lower and upper energy thresholds of 159.7 J·kg−1 and 538.5 J·kg−1, respectively. In addition, the experiments identified recommended vibration durations of 30–65 s and effective vibration influence radii of 22–85 mm for fully graded concrete under different slump conditions. These findings provide a quantitative basis for the control of vibration parameters and energy-oriented construction of fully graded concrete. Full article
(This article belongs to the Section Construction and Building Materials)
18 pages, 2709 KB  
Article
Stability of a Compressed Bar Resting on an Elastic Substrate with Stepwise Changes in Parameters
by Mirosław Sadowski, Jakub Marcinowski and Volodymyr Sakharov
Materials 2026, 19(2), 258; https://doi.org/10.3390/ma19020258 - 8 Jan 2026
Abstract
The study presents a stability analysis of an axially compressed column resting on a Winkler foundation with a stepwise variation in stiffness. The solution is based on an energy approach using the Rayleigh quotient, and the original buckling mode function is proposed to [...] Read more.
The study presents a stability analysis of an axially compressed column resting on a Winkler foundation with a stepwise variation in stiffness. The solution is based on an energy approach using the Rayleigh quotient, and the original buckling mode function is proposed to capture the localization of deformations in the region of foundation discontinuity. The theoretical model was verified numerically for rectangular-section columns by comparing the results with simulations performed in COSMOS/M and ABAQUS systems. The differences in critical load values did not exceed 1.7%. The investigation showed that increasing the stiffness contrast leads to stronger buckling localization within the weaker foundation segment. The developed model can be used for preliminary assessment of the load-carrying capacity of structural elements interacting with a non-homogeneous distributed foundation. Full article
(This article belongs to the Special Issue Modelling of Deformation Characteristics of Materials or Structures)
Show Figures

Figure 1

16 pages, 1668 KB  
Article
Prediction and Analysis of Creep Rupture Life of 9Cr Martensitic-Ferritic Heat-Resistant Steel by Neural Networks
by Muhammad Ishtiaq, Seungmin Hwang, Won-Seok Bang, Sung-Gyu Kang and Nagireddy Gari Subba Reddy
Materials 2026, 19(2), 257; https://doi.org/10.3390/ma19020257 - 8 Jan 2026
Abstract
Thermal and nuclear power systems require materials capable of sustaining high mechanical and thermal loads over prolonged service durations. Among these, 9Cr heat-resistant steels are particularly attractive due to their superior mechanical strength and extended creep rupture life, making them suitable for extreme [...] Read more.
Thermal and nuclear power systems require materials capable of sustaining high mechanical and thermal loads over prolonged service durations. Among these, 9Cr heat-resistant steels are particularly attractive due to their superior mechanical strength and extended creep rupture life, making them suitable for extreme environments. In this study, multiple machine learning models were explored to predict the creep rupture life of 9Cr heat-resistant steels. A comprehensive dataset of 913 samples, compiled from experimental results and literature, included eight input variables—covering chemical composition, stress, and temperature—and one output variable, the creep rupture life. The optimized artificial neural network (ANN) model achieved the highest predictive accuracy with a regularization coefficient of 0.01, 10,000 training iterations, and five hidden layers with 30 neurons per layer, attaining an R2 of 0.9718 for the test dataset. Beyond accurate prediction, single- and two-variable sensitivity analyses were used to elucidate statistically meaningful trends and interactions among the input parameters governing creep rupture life. The analyses indicated that among all variables, test conditions—particularly the test temperature—exert a pronounced negative effect on creep life, significantly reducing durability at elevated temperatures. Additionally, an optimization module enables identification of input conditions to achieve desired creep life, while the Index of Relative Importance (IRI) and quantitative effect analysis enhance interpretability. This framework represents a robust and reliable tool for long-term creep life assessment and the design of 9Cr steels for high-temperature applications. Full article
(This article belongs to the Section Metals and Alloys)
Show Figures

Figure 1

25 pages, 3497 KB  
Article
Effect of Functionally Graded Material on the Dynamic Stability of Three-Layered Annular Plates
by Dorota Pawlus
Materials 2026, 19(2), 256; https://doi.org/10.3390/ma19020256 - 8 Jan 2026
Abstract
This study considers the dynamic stability of a three-layered annular plate, whose facings are made of functionally graded material in the radial direction. The plate is subjected to linearly increasing in-plane forces applied at either the inner or outer edge. The effect of [...] Read more.
This study considers the dynamic stability of a three-layered annular plate, whose facings are made of functionally graded material in the radial direction. The plate is subjected to linearly increasing in-plane forces applied at either the inner or outer edge. The effect of the heterogeneity of the plate-facing material on the dynamic response is analyzed in detail. The main parameters defining the stability state—such as critical dynamic load, critical time, maximum deflection, and buckling mode—are specifically evaluated. The problem is analyzed using two approximation methods: the finite difference method and the finite element method. Numerical calculations were carried out using two approaches: the author’s program following analytical calculations, and the ABAQUS system. The results show the importance of modeling the plate with an appropriate material function describing the radial gradation, which significantly affects the plate’s dynamic stability response and critical parameters. Full article
(This article belongs to the Section Materials Simulation and Design)
Show Figures

Figure 1

12 pages, 4080 KB  
Article
Aging Structure, Mechanical Properties, and ZnO Piezoelectric Coating-Based Ultrasonic Response of 15CrMo Steel
by Huayong Hu, Yanbing Zhang, Xiangdong Ma, Zhiping Fu, Jie Liu, Jun Zhang and Bing Yang
Materials 2026, 19(2), 255; https://doi.org/10.3390/ma19020255 - 8 Jan 2026
Abstract
The ZnO piezoelectric coatings were deposited on the surface of 15CrMo steels by magnetron sputtering to directly excite the ultrasonic signal, effectively solving the coupling problem between the traditional probe and the pipe surface. The microstructure, mechanical properties, and ultrasonic longitudinal wave velocity [...] Read more.
The ZnO piezoelectric coatings were deposited on the surface of 15CrMo steels by magnetron sputtering to directly excite the ultrasonic signal, effectively solving the coupling problem between the traditional probe and the pipe surface. The microstructure, mechanical properties, and ultrasonic longitudinal wave velocity of the aged samples were carried out systematically. The spheroidization grade of pearlite, evolution of carbide morphology, hardness, strength, and ultrasonic wave velocity were systematically analyzed. As the degree of aging intensifies, the material undergoes significant pearlite spheroidization and carbide coarsening. The Vickers hardness drops from 158 HV in the original state to 134.2 HV, and the yield strength and tensile strength decrease by 22.7% and 17.9%, respectively. The ultrasonic longitudinal wave velocity shows a monotonically upward trend with the increase in spheroidization grade, increasing from 5925.6 m/s in the original state to 5976 m/s at the highest spheroidization grade. Full article
(This article belongs to the Section Metals and Alloys)
Show Figures

Figure 1

17 pages, 4657 KB  
Article
Study on the Immobilization of Horseradish Peroxidase on a Multi-Level Composite Carrier SiO2@MnO2@MAF-7
by Mengjie Huang, Baihui Zhang, Xiangyu Jiang, Maojie Jiang, Peng Yin, Xuan Fang, Yanna Lin and Fuqiang Ma
Materials 2026, 19(2), 254; https://doi.org/10.3390/ma19020254 - 8 Jan 2026
Abstract
This study addresses the issues of poor stability and difficulty in recovery of free horseradish peroxidase (HRP) by developing a multi-level composite immobilized carrier that combines high loading capacity with long-term stability. The SiO2@MnO2@MAF-7 core–shell structured carrier was prepared [...] Read more.
This study addresses the issues of poor stability and difficulty in recovery of free horseradish peroxidase (HRP) by developing a multi-level composite immobilized carrier that combines high loading capacity with long-term stability. The SiO2@MnO2@MAF-7 core–shell structured carrier was prepared via a solvothermal self-assembly method. Three immobilization strategies—adsorption, covalent cross-linking, and encapsulation—were systematically compared for their immobilization efficacy on HRP. The material structure was analyzed using techniques such as specific surface area analysis (BET), X-ray diffraction (XRD), and Fourier transform infrared spectroscopy (FTIR) to characterize the material structure. Enzyme kinetic parameter determination experiments were conducted to systematically evaluate the performance advantages of the immobilized enzyme. BET analysis showed that SiO2@MnO2@MAF-7 had a specific surface area of 251.99 m2/g and a mesoporous area of 12.47 nm, and its HRP loading was 50.37 U/mg (immobilization efficiency 85.03%). Compared with free HRP, the Km value of the immobilized enzyme was decreased by 42%, the activity retention rate was increased by 35–50% at 80 °C and pH 4–9, and the activity was maintained by 65% after five repeated uses. In this study, MAF-7 was combined with MnO2/SiO2 for HRP immobilization for the first time, and the triple effect of rigid support-catalytic synergy-confined protection synergistically improved the stability of the enzyme, providing a new strategy for the industrial application of oxidoreductases. Full article
(This article belongs to the Section Advanced Composites)
Show Figures

Figure 1

18 pages, 6172 KB  
Article
Predicting the Effect of Mould Material and Design on the Efficiency of the LLDPE Rotational Moulding Process: Thermal and Time Analyses
by Karolina Głogowska and Janusz Wojciech Sikora
Materials 2026, 19(2), 253; https://doi.org/10.3390/ma19020253 - 8 Jan 2026
Abstract
This study evaluates the effect of mould material and mould wall thickness on the thermal behaviour and cycle time of the LLDPE rotational moulding process by using RotoSim-based numerical simulation. This study was performed using three different metallic materials (low-carbon steel, brass, and [...] Read more.
This study evaluates the effect of mould material and mould wall thickness on the thermal behaviour and cycle time of the LLDPE rotational moulding process by using RotoSim-based numerical simulation. This study was performed using three different metallic materials (low-carbon steel, brass, and aluminium), mould wall thicknesses of 3, 5, and 8 mm, and oven temperatures of 230, 250, and 270 °C. The simulations demonstrate that both mould material and wall thickness significantly influence the temperature evolution in the mould cavity and the overall cycle duration. Aluminium moulds provided the mould-cavity temperature closest to the oven conditions, the longest time with the polymer in the plastic/molten state, and the shortest total cycle time compared with steel and brass moulds. Increasing the mould wall thickness prolonged the cycle time for all materials, with the extension occurring primarily during the cooling stage. For a 3 mm wall thickness at 230 °C, the shortest cycle time was 2900 s (Al/3/230) and the longest was 3300 s (S/3/230). For an 8 mm wall thickness at 270 °C, the shortest cycle time was 4400 s (Al/8/270) and the longest was 4900 s (S/8/270). These results indicate that selecting an appropriate mould material and wall thickness can be an effective approach to shortening the cycle time and improving the efficiency of LLDPE rotational moulding. Full article
Show Figures

Figure 1

13 pages, 5612 KB  
Article
Effects of Corrugated Flat Rolling Process on the Bonding Interface, Microstructure, and Properties of Mg/Al Clad Plates
by Lifang Pan, Zhiyuan Zhu, Huanhuan Wang, Yong Chen, Sha Li, Cuirong Liu and Guangming Liu
Materials 2026, 19(2), 252; https://doi.org/10.3390/ma19020252 - 8 Jan 2026
Abstract
In this paper, an AZ31B Mg/Al clad plate with 5052 aluminum alloy as the cladding was successfully prepared by a new composite process of corrugated roll roughing + flat roll finishing. First, finite element simulation software was used to predict and analyze the [...] Read more.
In this paper, an AZ31B Mg/Al clad plate with 5052 aluminum alloy as the cladding was successfully prepared by a new composite process of corrugated roll roughing + flat roll finishing. First, finite element simulation software was used to predict and analyze the rolling process. Subsequently, experimental research was carried out according to the simulation results, and clad plate samples under single corrugated rolling and corrugated–flat rolling processes were prepared. Finally, the differences between the two clad plates in shape quality, interface bonding state, and mechanical properties were systematically compared and analyzed. The results show that, compared with the traditional corrugated rolling process, the sheet formed by corrugated–flat rolling composite rolling has a flatter shape with no warpage, and its interface bonding quality is better. The specific performance is as follows: the mechanical properties were significantly improved, and the tensile strength and elongation reached 259.96 MPa and 8.11%, respectively, in the transverse direction (TD). This study provides a new strategy for the preparation of high-performance Mg/Al clad plates. Full article
(This article belongs to the Section Advanced Materials Characterization)
Show Figures

Figure 1

17 pages, 2910 KB  
Article
Antimicrobial Properties of Polymer-Based Nanocomposites Modified by Nanoparticles Produced by Green Chemistry
by Anna Wasilewska, Magda Bielicka, Urszula Klekotka, Grzegorz Markiewicz, Marek Jałbrzykowski, Wioleta Lewandowska, Izabela Swiecicka and Beata Kalska-Szostko
Materials 2026, 19(2), 251; https://doi.org/10.3390/ma19020251 - 8 Jan 2026
Abstract
A significant driving force in nanotechnology development is the environmentally friendly synthesis of nanomaterials using natural extracts as reducing and stabilizing agents. In this study, silver and copper nanoparticles were synthesized and compared using two approaches: (1) a green synthesis pathway employing beetroot [...] Read more.
A significant driving force in nanotechnology development is the environmentally friendly synthesis of nanomaterials using natural extracts as reducing and stabilizing agents. In this study, silver and copper nanoparticles were synthesized and compared using two approaches: (1) a green synthesis pathway employing beetroot extract as a natural bio-reductant and stabilizer, and (2) a conventional chemical reduction method. The resulting nanoparticles were extensively characterized using transmission electron microscopy (TEM), X-ray diffraction (XRD), UV-Vis spectroscopy, and dynamic light scattering (DLS). The study revealed that the green synthesis route produced nanoparticles with well-defined morphology, high stability, and strong antimicrobial potential, outperforming those obtained via conventional chemical synthesis. Copper nanoparticles synthesized using beetroot extract exhibited particularly enhanced fungicidal and bactericidal properties, demonstrating the effectiveness of plant-based reducing agents in producing functional nanostructures. To further evaluate potential applications, the green-synthesized nanoparticles were incorporated into a polypropylene matrix, confirming their integrity and activity within the composite system. This work emphasizes the role of green synthesis in designing high-performance nanomaterials and highlights the promising capabilities of beetroot extract as a sustainable and efficient reducing and stabilizing medium for silver and copper nanoparticle production. Full article
Show Figures

Graphical abstract

20 pages, 3240 KB  
Article
Sustainable Rubberized Concrete-Filled Square Steel Tubular Columns Under Eccentric Compression
by Yanhua Liu, Yong Bao, Senyan Jiang, Qingxin Ren, Yu Liu and Tong Li
Materials 2026, 19(2), 250; https://doi.org/10.3390/ma19020250 - 8 Jan 2026
Abstract
This study examined rubberized concrete-filled steel tubular (RuCFST) columns as a sustainable option for structural applications. Eccentric compression tests were conducted on eight groups of square specimens, with two identical specimens per group. The main parameters were slenderness ratio, load eccentricity, and rubber [...] Read more.
This study examined rubberized concrete-filled steel tubular (RuCFST) columns as a sustainable option for structural applications. Eccentric compression tests were conducted on eight groups of square specimens, with two identical specimens per group. The main parameters were slenderness ratio, load eccentricity, and rubber replacement level for fine aggregates. Full load–displacement and load-strain curves were obtained. Results indicated that rubber particles inhibit concrete cracking. Increasing slenderness ratio reduces bearing capacity, with ductility peaking at moderate slenderness. Eccentricity significantly degrades bearing capacity and stiffness. A higher rubber replacement ratio lowers capacity but optimizes particle interaction and distribution, leading to stiffness recovery at higher ratios. Filling the steel tube with core concrete transforms it into a composite member, substantially improving load-bearing performance. Comparisons with seven design standards (including GB 50936-2014, CECS 254:2012, Eurocode 4, and AISC 360-16) revealed that Eurocode 4 provided the most reliable predictions, whereas AISC was the most cautious. None of the codes accounts for the effect of rubber on core concrete behavior. These results offer useful guidance for incorporating recycled rubber particles into composite columns to promote sustainable building practices. Full article
(This article belongs to the Section Construction and Building Materials)
Show Figures

Figure 1

9 pages, 1999 KB  
Communication
A Rapid Spheroidizing Annealing Process for High-Carbon Steel
by Bei Li, Zhi Tong, Mengying Zhao, Xinlang Wu and Wenyue Zheng
Materials 2026, 19(2), 249; https://doi.org/10.3390/ma19020249 - 8 Jan 2026
Abstract
Spheroidizing annealing is a critical heat treatment process for high-carbon steels to balance hardness and machinability. This study develops a rapid spheroidizing annealing process by employing low-temperature pretreatment followed by subcritical heating. The key is to utilize carbide precipitates from non-equilibrium phases (e.g., [...] Read more.
Spheroidizing annealing is a critical heat treatment process for high-carbon steels to balance hardness and machinability. This study develops a rapid spheroidizing annealing process by employing low-temperature pretreatment followed by subcritical heating. The key is to utilize carbide precipitates from non-equilibrium phases (e.g., martensite/lower bainite) as nucleation sites, thereby accelerating spheroidization. At an optimized pretreatment temperature of 400 °C, the process achieves a homogeneous spheroidized microstructure with a hardness of 206.7 HV, comparable to that obtained via conventional prolonged annealing. This method significantly reduces processing time and energy consumption. Full article
Show Figures

Figure 1

14 pages, 3535 KB  
Article
Reduction Behavior and Melting Characteristics of Blast Furnace Iron Ore Mixed with Carbon-Rich Iron Particles
by Jyun-Ming Shen, Chi-Ming Lin, You-Ren Hong, Shao-Feng Luo, Yu-Yang Chen, Jia-Shyan Shiau and Weite Wu
Materials 2026, 19(2), 248; https://doi.org/10.3390/ma19020248 - 8 Jan 2026
Abstract
The currently available hot briquetted iron (HBI) typically contains approximately 1 wt.% carbon. In the CO–CO2 atmosphere of a blast furnace, carbon loss from iron is significant, accompanied by overoxidation. Based on the high metallicity of HBI, this study designed iron particles [...] Read more.
The currently available hot briquetted iron (HBI) typically contains approximately 1 wt.% carbon. In the CO–CO2 atmosphere of a blast furnace, carbon loss from iron is significant, accompanied by overoxidation. Based on the high metallicity of HBI, this study designed iron particles with varying carbon contents. These pellets were mixed with three typical blast furnace iron ores–sinter, pellet, and lump– and subjected to thermogravimetric analysis reduction experiments. The investigation explored the effects of substituting 15 wt.% sinter with HBI containing different carbon contents and assessed the resulting impact on the temperature difference between iron and slag melting, ultimately determining the optimal carbon content for blast furnace operations. The findings showed that the addition of iron particles with carbon contents exceeding 1.6 wt.% achieved reduction rates and iron–slag melting characteristics similar to those of typical blast furnace charges. When iron particles containing 3.6 wt.% carbon were added, the iron oxides of various valence states in the charge and pellets exhibited the highest availability of carbon for both direct and indirect reduction. Consequently, the slag melting temperature rose to 1398 °C. Due to the presence of unreacted carbon, the molten iron melted at approximately 1530 °C, while the iron–slag dripping temperature range narrowed to 132 °C, achieving the optimal temperature range for blast furnace application. Full article
(This article belongs to the Section Metals and Alloys)
Show Figures

Figure 1

26 pages, 4979 KB  
Article
Chloride-Induced Corrosion Performance of ASR-Contaminated Concrete: Coupled Analysis Using Resistance Variation and NT Build 492 Method
by Tianxing Shi, Shami Nejadi and Harry Far
Materials 2026, 19(2), 247; https://doi.org/10.3390/ma19020247 - 8 Jan 2026
Abstract
This study examines how the Alkali–Silica Reaction (ASR) modifies chloride transport and chloride-induced corrosion (CIC) in reinforced concrete beams. Non-reactive and reactive concrete beams were cast with blue metal and dacite aggregates and subjected to a two-stage exposure: (i) alkali-rich immersion at 38 [...] Read more.
This study examines how the Alkali–Silica Reaction (ASR) modifies chloride transport and chloride-induced corrosion (CIC) in reinforced concrete beams. Non-reactive and reactive concrete beams were cast with blue metal and dacite aggregates and subjected to a two-stage exposure: (i) alkali-rich immersion at 38 °C to induce ASR, and (ii) impressed-current CIC and NT BUILD 492 chloride migration testing. Microstructural changes were characterized using SEM–EDS and TGA. The reactive specimens developed extensive surface cracking, but after one year of ASR exposure, exhibited 47–53% lower non-steady-state migration coefficients (Dnssm: 7.03–8.02 × 10−12 m2/s) than the non-reactive beam (15.09 × 10−12 m2/s). After two years, Dnssm was reduced by approximately 37–56% (4.78–6.93 vs. 10.92 × 10−12 m2/s). Crack mapping confirmed higher crack density and width in reactive beams, while SEM–EDS and TGA evidenced Ca depletion and the formation of C–(N,K)–S–H gels, which fill cracks and refine the pore structure. Electrical resistance monitoring showed earlier corrosion initiation in ASR-damaged beams but less pronounced resistance loss during the propagation phase. Overall, the results indicate that ASR can initially accelerate corrosion initiation through microcracking and reduced resistivity, but long-term gel deposition can partially seal transport paths and lower chloride migration under the specific conditions of this study. Full article
(This article belongs to the Special Issue Advances in Corrosion and Protection of Metallic Materials)
Show Figures

Figure 1

17 pages, 16588 KB  
Article
The Governing Role of Si/Al Ratio in the Structural Evolution and Mechanical Properties of N-A-S-H Gel
by Min Hu, Jiayun Chen, Bo Xia and Jiejin Chen
Materials 2026, 19(2), 246; https://doi.org/10.3390/ma19020246 - 7 Jan 2026
Abstract
Alkali-activated cementitious materials are environmentally friendly alternatives to traditional cement. The structure of their core product, sodium aluminosilicate hydrate (N-A-S-H) gel, is regulated by the silicon-to-aluminum (Si/Al) ratio; however, the atomic-scale mechanism underlying this influence remains unclear. Integrating reactive force field molecular dynamics [...] Read more.
Alkali-activated cementitious materials are environmentally friendly alternatives to traditional cement. The structure of their core product, sodium aluminosilicate hydrate (N-A-S-H) gel, is regulated by the silicon-to-aluminum (Si/Al) ratio; however, the atomic-scale mechanism underlying this influence remains unclear. Integrating reactive force field molecular dynamics simulations and experiments, this study systematically reveals the regulation mechanism of the Si/Al ratio (1.0–2.0) on the microstructure and macroscopic properties of N-A-S-H gels. Starting from well-defined PS and PSS oligomers, the simulation results demonstrate that the Si/Al ratio governs the polymerization pathway, aluminum coordination environment (especially the content of pentacoordinate aluminum), and evolution of nanoporosity. When the Si/Al ratio is approximately 1.8, the system exhibits the highest silicate polymerization degree, lowest nanoporosity, and densest three-dimensional (3D) network structure; deviation from this ratio leads to structural degradation due to charge imbalance or excessive polymerization. These computational findings are validated by experiments on fly ash-based geopolymers: the material achieves the highest compressive strength at a Si/Al ratio of 1.8. The consistency between simulations and experiments collectively reveals a cross-scale action mechanism: the Si/Al ratio determines the macroscopic mechanical properties by regulating the nanoscale packing density and defect distribution of the gel. This study provides critical atomic-scale insights for the rational design of high-performance geopolymers. Full article
(This article belongs to the Topic Novel Cementitious Materials)
Show Figures

Figure 1

20 pages, 4822 KB  
Article
Impact of Waste-HydroChar on the Rheological Behavior, Physical Properties, and Aging Resistance of Bitumen
by Nadka Tz. Dintcheva, Rosalia Teresi, Francesco Graziano, Giulia Infurna, Maurizio Volpe, Antonio Messineo and Clara Celauro
Materials 2026, 19(2), 245; https://doi.org/10.3390/ma19020245 - 7 Jan 2026
Abstract
In line with circular principles and the reuse of waste products, this study investigates the use of a waste-derived additive sourced from civil waste to modify the rheological and physical properties, as well as the aging resistance, of bitumen. Different dosages of waste-hydrochar [...] Read more.
In line with circular principles and the reuse of waste products, this study investigates the use of a waste-derived additive sourced from civil waste to modify the rheological and physical properties, as well as the aging resistance, of bitumen. Different dosages of waste-hydrochar (HC), produced via hydrothermal carbonization of digested sewage sludge, specifically 2%, 4%, and 10% by weight, were introduced to the bitumen, and the materials were characterized in terms of their rheological, physical, and aging behavior. Two aging protocols, e.g., short-term thermal aging and UV irradiation aging, were followed to evaluate the aging resistance of the bitumen with and without waste-hydrochar. The results obtained suggest that bitumen containing waste-hydrochar exhibits similar rheological and physical properties to bitumen without an additive, indicating the potential for using this waste material as a suitable bitumen additive. Furthermore, the presence of waste-hydrochar does not reduce the short-term thermal or UV irradiation resistance of bitumen, again suggesting the potential for using this waste material as a suitable bitumen additive. Finally, the results obtained have been compared with those of bitumen containing high-cost biochar, highlighting the potential to replace high-cost biochar with low-cost, waste-hydrochar. Full article
Show Figures

Graphical abstract

21 pages, 5184 KB  
Article
Effect of Argon Injection into the Down-Leg of RH on the Inclusion Removal in Industrial Trials
by Yukang Pan, Yanhui Sun, Yang He, Xiaodong Yang, Baohui Yuan and Jianhua Liu
Materials 2026, 19(2), 244; https://doi.org/10.3390/ma19020244 - 7 Jan 2026
Abstract
The novel industrial trial is conducted to investigate the effect of argon injection into the down-leg of the RH degasser on the inclusion removal. The ‘cold steel plate dipping’ is used to take samples of molten steel and argon bubbles from the RH [...] Read more.
The novel industrial trial is conducted to investigate the effect of argon injection into the down-leg of the RH degasser on the inclusion removal. The ‘cold steel plate dipping’ is used to take samples of molten steel and argon bubbles from the RH ladle. The industrial CT detection and electron microscope observation are applied to analyze the bubble characteristics. The results show that the size of bubbles generated by argon injection in the down-leg ranges from 7 to 1430 μm. Among them, the number density of bubbles with a diameter of 60 μm is the largest, reaching 0.1 per mm3. After adopting the down-leg argon injection technology, the average oxygen activity at the end of the RH process decreases by 2.35 ppm, and the surface defects of cold-rolled sheets of all grades are reduced. Based on the theoretical analysis of bubble collision and adhesion to inclusions, the small-sized bubbles have a relatively high capture probability for inclusions smaller than 10 μm. Comprehensively analyzing the experimental results, it is found that the down-leg argon injection technology has an obvious effect on removing inclusions. Full article
(This article belongs to the Special Issue Fundamental Metallurgy: From Impact Solutions to New Insight)
Show Figures

Figure 1

28 pages, 13156 KB  
Article
Tailoring Microstructure and Performance of Cu/SiC Composites via Integrated Powder Metallurgy and Thermo-Compression Processing
by Mohammad Shan, Sajjad Arif, Muhammad Khairi Faiz, Mohd Ridha Muhamad, Ateyah Alzahrani, Ahmad Alghamdi and Anwar Ulla Khan
Materials 2026, 19(2), 243; https://doi.org/10.3390/ma19020243 - 7 Jan 2026
Abstract
This study reports the fabrication and characterization of copper–silicon carbide (Cu–SiC) metal matrix composites produced using powder metallurgy (PM) combined with thermo-compression processing (TCP), a dual route that remains limited in Cu–SiC research. Micro-sized SiC particles (1–25 wt.%) were incorporated into Cu, compacted, [...] Read more.
This study reports the fabrication and characterization of copper–silicon carbide (Cu–SiC) metal matrix composites produced using powder metallurgy (PM) combined with thermo-compression processing (TCP), a dual route that remains limited in Cu–SiC research. Micro-sized SiC particles (1–25 wt.%) were incorporated into Cu, compacted, sintered, and subsequently subjected to sequential forging and annealing. Unlike conventional PM-only processing, TCP significantly reduced porosity, promoted more uniform reinforcement dispersion, and relieved residual stresses, creating a strong synergy between densification and microstructural refinement. SEM, EDS, XRD, and Raman analyses confirmed phase stability, homogeneous reinforcement distribution, and the absence of deleterious interfacial phases. The integrated PM + TCP route achieved an ultimate tensile strength of ~209 MPa, hardness of ~65 HRB, and toughness of ~35 MJ/m3 at approximately 3 wt.% SiC. The superior performance at this composition resulted not from the lowest porosity but from the combined effects of uniform particle dispersion, improved particle–matrix bonding, and deformation-driven refinement. These findings establish TCP as an effective post-sintering strategy that overcomes intrinsic porosity and interfacial limitations in Cu–SiC composites. Overall, powder metallurgy combined with the thermo-compression processing is identified as a promising processing pathway for developing high-strength, thermally stable Cu–SiC materials for structural and thermal management applications. Full article
Show Figures

Figure 1

15 pages, 1887 KB  
Article
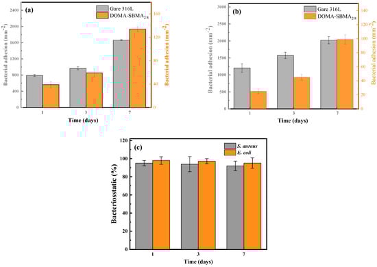
Study on Preparation and Antibacterial Property of DOMA-SBMA Copolymer Coatings on Stainless Steel Surfaces
by Fei Wan, Linlin Zhang, Chao Feng, Wenwen Yan, Andreas Hermann Gerdes, Ruixuan Tong and Zhengyang Zhou
Materials 2026, 19(2), 242; https://doi.org/10.3390/ma19020242 - 7 Jan 2026
Abstract
A combination of surface wettability and antibacterial performance is highly imperative for construction of antibacterial coatings. In this study, motivated by the antibacterial properties of zwitterionic polymer, mussel-inspired adhesion, and the “grafting to”, a novel DOMA-SBMA copolymer with adhesion and wettability is developed [...] Read more.
A combination of surface wettability and antibacterial performance is highly imperative for construction of antibacterial coatings. In this study, motivated by the antibacterial properties of zwitterionic polymer, mussel-inspired adhesion, and the “grafting to”, a novel DOMA-SBMA copolymer with adhesion and wettability is developed for constructing a bacteriostatic surface. Specifically, the antibacterial coating is prepared via free radical polymerization and grafting to methods on the surface of stainless steel, and characterized by SCA, FTIR, XPS, SEM, and AFM to confirm the modification process. Antibacterial activity evaluation using Staphylococcus aureus (S. aureus) and Escherichia coli (E. coli) shows that the coating presents satisfactory antibacterial performance. The results showed that DOMA-SBMA coating is enough for antibacterial application, with high antibacterial efficiency against E. coli (92.2%) and S. aureus (95.0%). In summary, the bioinspired coating developed here may improve the stability of zwitterionic coatings and provides a simple preparation strategy for constructing antibacterial coatings. Full article
(This article belongs to the Section Metals and Alloys)
Show Figures

Figure 1

10 pages, 13241 KB  
Communication
Defect Analysis of Surface Cracks in Mn18Cr2 High-Manganese Wear-Resistant Steel Plate
by Dongjie Yang, Ning Zhang, Zhihao Liu and Bo Jiang
Materials 2026, 19(2), 241; https://doi.org/10.3390/ma19020241 - 7 Jan 2026
Abstract
In order to determine the causes of crack defects in Mn18Cr2 high-manganese wear-resistant steel plates, this paper conducted a systematic analysis of the steel plates’ microstructure, chemical composition, and hardness via metallographic microscopy, field-emission scanning electron microscopy, and Vickers hardness tester. The results [...] Read more.
In order to determine the causes of crack defects in Mn18Cr2 high-manganese wear-resistant steel plates, this paper conducted a systematic analysis of the steel plates’ microstructure, chemical composition, and hardness via metallographic microscopy, field-emission scanning electron microscopy, and Vickers hardness tester. The results indicated that there were folded cracks on the surface of the steel plate. The interior of the cracks was oxidized, and inclusions were observed in the crack gaps. A significant difference in the contents of Mn and Cr elements was detected at the defect locations, indicating that very obvious long-range diffusion of Mn and Cr elements had occurred during long-term high-temperature oxidation. The crack defects on the surface of the steel plate were related to the inheritance of the original cracks on the surface of the cast billet before rolling. There were cracks on the surface of the cast billet; the oxide scale and inclusions inside the cracks had not been completely removed. Multiple passes of rolling led to the cracks and oxide scale being pressed into the steel surface, thereby forming folding defects. The fine grain strengthening and deformation twinning generated by rolling deformation formed the hardened layer on the surface, resulting in higher surface hardness than core hardness. The austenite grain size inside the steel plate was in the range of 23–30 μm, and the hardness was around 275 HV. The grain size near the surface of the steel plate was around 10 μm. The surface hardness was 351 HV, which was higher than the core hardness of the steel plate. Full article
Show Figures

Figure 1

14 pages, 7399 KB  
Article
Influence of Laser Cutting Parameters on the Microhardness, Roughness, and Microstructure of AISI 304, S355J2, and AlMg3 Alloys
by Jaroslaw Selech, Grzegorz Burzynski, Dessie Tibebe, Dariusz Ulbrich and Piotr Banas
Materials 2026, 19(2), 240; https://doi.org/10.3390/ma19020240 - 7 Jan 2026
Abstract
This study provides a comparative and material-specific assessment of how laser cutting parameters affect the surface integrity of three commonly used engineering alloys, thereby extending the current knowledge beyond single-material analyses. The main objective was to quantify and relate changes in surface roughness, [...] Read more.
This study provides a comparative and material-specific assessment of how laser cutting parameters affect the surface integrity of three commonly used engineering alloys, thereby extending the current knowledge beyond single-material analyses. The main objective was to quantify and relate changes in surface roughness, microhardness, and microstructure to variations in laser cutting conditions for S355J2 steel, AISI 304 steel, and AlMg3 aluminum alloy. Variable cutting parameters were applied, including cutting speed, assist gas type and pressure, as well as laser beam power, and their combined effect on the thickness of the remelted and heat-affected zones was evaluated. The results show clear material-dependent trends: S355J2 steel exhibited the lowest surface roughness but the most pronounced surface hardening, with maximum microhardness values reaching approximately 700 HV 0.1 in a relatively narrow heat-affected zone, whereas AISI 304 showed a distinct edge-hardening effect with more moderate roughness. In contrast, the AlMg3 alloy developed a clearly visible remelted layer and a refined, fine-grained microstructure, accompanied by much lower hardness levels but a more diffuse heat-affected zone. These findings provide original, comparative guidelines for selecting laser cutting parameters tailored to specific materials, enabling the optimization of edge quality and surface properties in industrial applications. Full article
(This article belongs to the Collection Welding and Joining Processes of Materials)
Show Figures

Figure 1

15 pages, 14424 KB  
Article
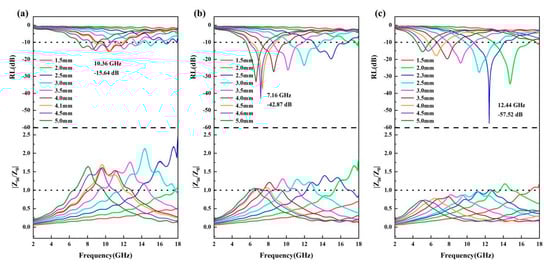
In-Situ Growth of Carbon Nanotubes on MOF-Derived High-Entropy Alloys with Efficient Electromagnetic Wave Absorption
by Zhongjing Wang, Bin Meng, Xingyu Ping, Qingqing Yang, Kang Wang and Shuo Wang
Materials 2026, 19(2), 239; https://doi.org/10.3390/ma19020239 - 7 Jan 2026
Abstract
To obtain an excellent electromagnetic wave (EMW) absorption material, a strategy was proposed in this study with the aid of in-situ growth of carbon nanotubes (CNTs) on the surface of a metal–organic framework (MOF)-derived FeCoNiMnMg high-entropy alloy (HEA). The HEA@CNT composite was successfully [...] Read more.
To obtain an excellent electromagnetic wave (EMW) absorption material, a strategy was proposed in this study with the aid of in-situ growth of carbon nanotubes (CNTs) on the surface of a metal–organic framework (MOF)-derived FeCoNiMnMg high-entropy alloy (HEA). The HEA@CNT composite was successfully prepared via a solvothermal method combined with a one-step pyrolysis process. With the pyrolysis temperature increasing from 600 °C to 800 °C, the length of CNTs grew from 200 nm to about 600 nm approximately, while the defect density of CNTs was enhanced. This structural evolution significantly improved the dielectric properties and impedance matching. Consequently, the sample prepared at 800 °C (HEA@CNT-800) exhibited outstanding microwave absorption performances, achieving a minimum reflection loss (RLmin) of −57.52 dB at a matched thickness of 2.3 mm and an effective absorption bandwidth (EAB) of 4.4 GHz at a thinner thickness of 1.9 mm. This work provides a novel perspective for designing high-performance MOF-derived absorption materials. Full article
Show Figures

Figure 1

22 pages, 3350 KB  
Article
Comparative Study on Dynamic Compression Behaviors of Steel Fiber-Reinforced Cementitious Composites and Steel Fiber-Reinforced Concrete at Elevated Temperatures
by Fengzeng Li, Zichen Wang, Liang Li and Bo Zhao
Materials 2026, 19(2), 238; https://doi.org/10.3390/ma19020238 - 7 Jan 2026
Abstract
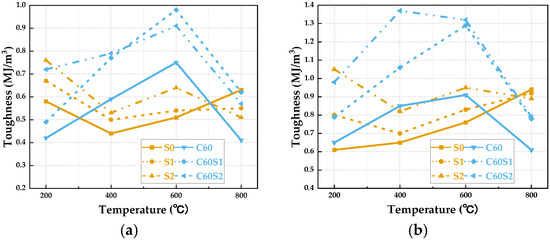
This study presents a comparative investigation of the dynamic compression behaviors of steel fiber-reinforced cementitious composites (SFRCC) and steel fiber-reinforced concrete (SFRC) under elevated temperatures up to 800 °C, utilizing a split Hopkinson pressure bar (SHPB). The experimental results demonstrate that SFRCC exhibits [...] Read more.
This study presents a comparative investigation of the dynamic compression behaviors of steel fiber-reinforced cementitious composites (SFRCC) and steel fiber-reinforced concrete (SFRC) under elevated temperatures up to 800 °C, utilizing a split Hopkinson pressure bar (SHPB). The experimental results demonstrate that SFRCC exhibits enhanced overall performance at high temperatures, maintaining a progressive failure mode and approximately 40% residual strength even at 800 °C, while SFRC experiences rapid deterioration beyond 600 °C. In the low-to-medium temperature range of 200–400 °C, SFRCC shows significantly higher dynamic peak stress and toughness compared to SFRC. However, in the high-temperature range of 600–800 °C, the superior thermal stability of the aggregate–matrix system in SFRC results in better performance in these metrics. The findings provide insights into the damage evolution mechanisms of fiber-reinforced cement-based materials under coupled thermal and dynamic loads, offering a critical theoretical foundation for material selection in engineering structures exposed to extreme thermal environments. Full article
Show Figures

Graphical abstract

26 pages, 15152 KB  
Article
Influence of Processing and Mix Design Factors on the Water Demand and Strength of Concrete with Recycled Concrete Fines
by Leonid Dvorkin, Vadim Zhitkovsky, Nataliya Lushnikova and Vladyslav Rudoi
Materials 2026, 19(2), 237; https://doi.org/10.3390/ma19020237 - 7 Jan 2026
Abstract
The study examines how crushed and sieved concrete rubble—recycled concrete fines (RCF) and the ways of their reactivity activation—affect processing, mix design, and properties of cement-based concrete. Based on the relationship to mass loss during crushing, the compressive strength of the concrete fines [...] Read more.
The study examines how crushed and sieved concrete rubble—recycled concrete fines (RCF) and the ways of their reactivity activation—affect processing, mix design, and properties of cement-based concrete. Based on the relationship to mass loss during crushing, the compressive strength of the concrete fines processed from rubble was initially determined. The morphology of the particles as well as the chemical and mineralogical composition of RCF were ascertained using XRD, SEM, and EDS characterization tests. Certain RCF surface area (fineness) and type of treatment are associated with specific pozzolanic activity of RCF. Using the approaches of factorial experimental design, tests were planned by varying six factors: RCF specific surface area, RCF content, thermal treatment temperature of RCF, cement content, superplasticizer dosage, and hardening accelerator (Na2SiF6) content in concrete containing RCF. Statistical processing of the research results data provided adequate polynomial regression models for the water demand of the concrete and the compressive strength of hardened concrete at 7 and 28 days. The models were quantitatively analyzed to evaluate the influence of the studied factors on the output parameters and to rank them according to their impact. The greatest increase in water demand was attributed to cement content change, in particular above 400 kg/m3, and to RCF content. It was established that the addition of a superplasticizer compensated for additional water demand and the reduction in compressive strength caused by partial replacement of cement with RCF. Increasing the specific surface area of RCF up to a specific surface area of 250 m2/kg improved compressive strength but further grinding caused strength reduction due to increased water demand. The positive effect of the superplasticizer on RCF-modified concrete strength was enhanced by the introduction of a chemical activator (hardening accelerator) and thermal treatment of RCF. The obtained models of water demand and compressive strength of concrete with RCF can be applied for the optimization of the mix design. This paper proposes a method of mix design and provides an example of calculation. Full article
Show Figures

Graphical abstract

22 pages, 10212 KB  
Article
Numerical Investigation of Material Flow and Defect Formation in FRAM-6061 Al Alloy Ring Component Using CEL Simulation
by Yan Ji and Bin Yang
Materials 2026, 19(2), 236; https://doi.org/10.3390/ma19020236 - 7 Jan 2026
Abstract
In this study, a novel and efficient solid-state additive manufacturing technique, friction rolling additive manufacturing (FRAM), was employed to fabricate an aluminum alloy ring component, significantly reducing process complexity and mitigating solidification defects typical of melt-based techniques. However, previous studies on FRAM have [...] Read more.
In this study, a novel and efficient solid-state additive manufacturing technique, friction rolling additive manufacturing (FRAM), was employed to fabricate an aluminum alloy ring component, significantly reducing process complexity and mitigating solidification defects typical of melt-based techniques. However, previous studies on FRAM have primarily focused on the microstructural characteristics and mechanical properties of flat components, with limited attention paid to ring-shaped components. Owing to the unique geometric constraints imposed during the forming process, ring components exhibit markedly different microstructural evolution and defect formation mechanisms compared with flat counterparts, and these mechanisms remain insufficiently and systematically understood. To address this knowledge gap, the coupled Eulerian–Lagrangian (CEL) method was introduced for the first time to numerically simulate the temperature distribution and residual stress evolution during the FRAM process of ring-shaped components. In addition, tracer particles were incorporated into the simulations to analyze the material flow behavior, thereby systematically elucidating the forming behavior and microstructural evolution characteristics under geometric constraint conditions. Moreover, scanning electron microscopy (SEM) and electron backscatter diffraction (EBSD) were employed to systematically characterize the microstructural evolution and defect morphology. The CEL numerical simulations exhibited good consistency with the experimental observations, demonstrating the reliability and accuracy of the simulation method. The results showed that the peak temperatures were primarily concentrated at the advancing side of the rotation tool, and the temperature on the outer diameter side of the ring was consistently higher than that on the inner diameter side. The lack of shoulder friction on the inner side led to an increased heat dissipation rate, thereby resulting in higher residual stress compared to other regions. The particle analysis revealed that, due to ring geometry, material flow varied across radial regions, resulting in distinct microstructures. Further EBSD analysis revealed that, after the rotating tool passed, the material first developed a preferential orientation with {111} planes parallel to the shear direction, and with more layers, dynamic recrystallization produced an equiaxed grain structure. This study provides a theoretical basis and process reference for the application of the FRAM technique in the manufacturing of large ring components. Full article
Show Figures

Figure 1

Previous Issue
Back to TopTop