Tailoring Microstructure and Performance of Cu/SiC Composites via Integrated Powder Metallurgy and Thermo-Compression Processing
Abstract
1. Introduction
2. Materials and Methods
2.1. Materials
2.2. Materials Preparation
2.3. Preparation of Cu–SiC Composites
2.4. Thermo-Compression Processing
2.5. Material Characterization and Evaluation
2.6. Density and Porosity of Composites
2.7. Hardness
2.8. Tensile Properties and Data Analysis
3. Results and Discussion
3.1. Characterization
3.1.1. Microstructure, SEM, & EDS Mapping
3.1.2. X-Ray Diffraction Spectroscopy (XRD)
3.1.3. RAMAN Spectroscopy
3.2. Deformation
3.3. Physical Properties
3.3.1. Density
3.3.2. Density Variation with the Thermo-Compression Process
3.3.3. Porosity
3.3.4. Rockwell Hardness
3.4. Mechanical Properties
3.4.1. Yield Strength
3.4.2. Ultimate Tensile Strength
3.4.3. Toughness
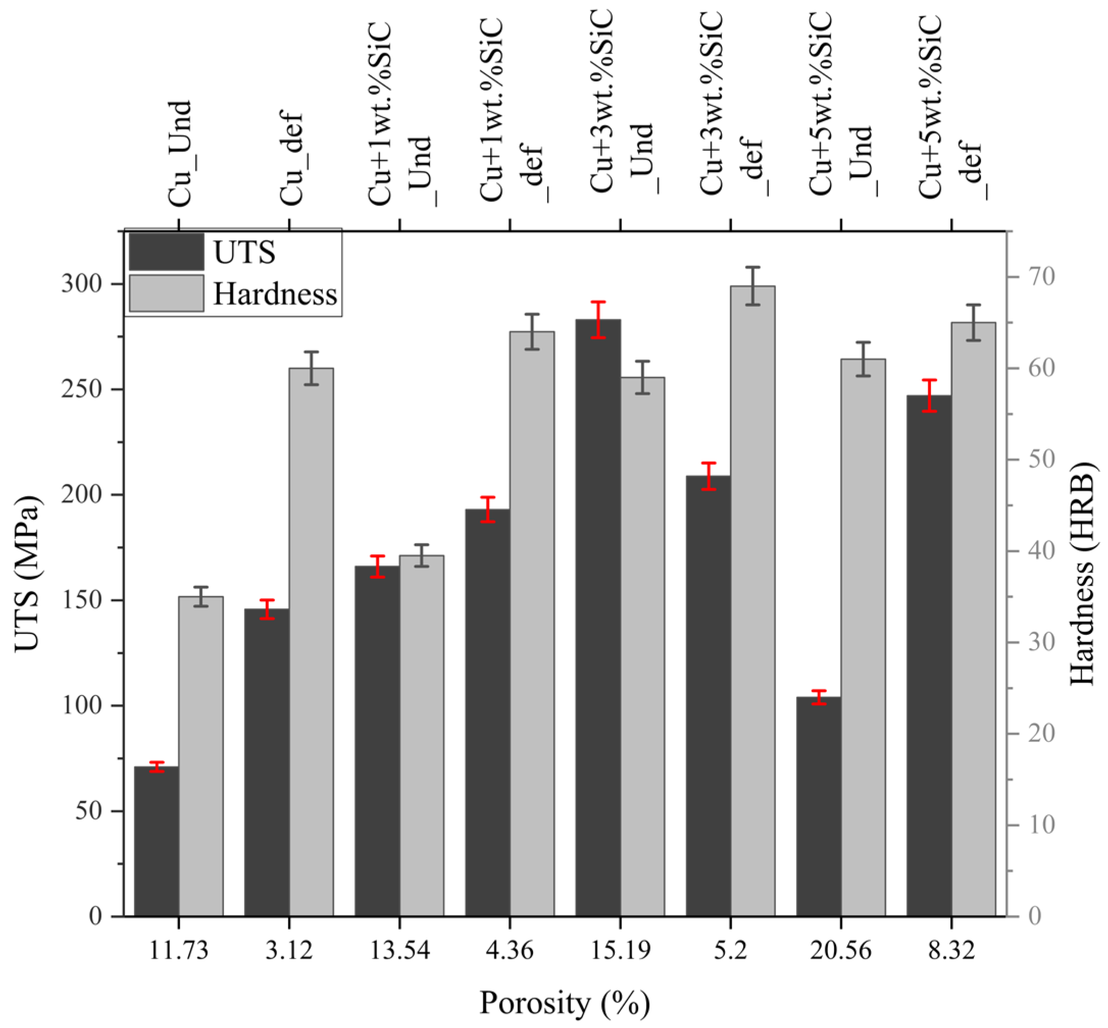
3.4.4. Combined Effect of Density and Porosity on UTS and Hardness
3.4.5. Fractography Analysis
3.5. Oxidation Effects Discussion
4. Conclusions
- Influence of SiC content: Low-to-moderate reinforcement levels (1–3 wt.% SiC) supported high deformation (approximately 60–68%) and effective densification. Higher SiC contents caused brittleness, particle agglomeration, and reduced deformability.
- Corrected interpretation of optimum performance: The Cu–3wt.% SiC composite exhibited the highest mechanical performance not because it possessed the lowest porosity, but due to its uniform reinforcement dispersion, improved particle–matrix bonding, and stable strain hardening behavior.
- Effectiveness of thermo-compression: The TCP substantially reduced pore size, increased density, and improved interfacial bonding through pore collapse and grain refinement. These effects were consistent across all compositions but were most beneficial in Cu–rich matrices.
- The thermo-compression process increased the UTS from 71 to 146 MPa in pure Cu and identified ~3 wt.% SiC as the optimum reinforcement level, achieving ~209 MPa UTS, ~65 HRB hardness, and ~35 MJ/m3 toughness with the best balance of strength and ductility.
- Limitation at high reinforcement levels: The Higher the SiC contents (≥5 wt.%), the restricted plastic flow, increased brittleness, and decreased toughness despite improved hardness, indicating that excessive ceramic content is detrimental to overall structural performance.
- Oxidation influence: Minor Cu2O/CuO formation affected local fracture behavior by promoting particle pull-out and localized embrittlement, particularly in undeformed samples.
Supplementary Materials
Author Contributions
Funding
Institutional Review Board Statement
Informed Consent Statement
Data Availability Statement
Acknowledgments
Conflicts of Interest
References
- Hassan, A.M.; Mayyas, A.T.; Alrashdan, A.; Hayajneh, M.T. Wear behavior of Al–Cu and Al–Cu/SiC components produced by powder metallurgy. J. Mater. Sci. 2008, 43, 5368–5375. [Google Scholar] [CrossRef]
- Prosviryakov, A.S. SiC content effect on the properties of Cu–SiC composites produced by mechanical alloying. J. Alloys. Compd. 2015, 632, 707–710. [Google Scholar] [CrossRef]
- Kumar, V.; Singh, A.; Ankit; Gautam, G. A comprehensive review of processing techniques, reinforcement effects, and performance characteristics in copper-based metal matrix composites. Interactions 2024, 245, 357. [Google Scholar] [CrossRef]
- Tang, Y.; Liu, H.; Zhao, H.; Liu, L.; Wu, Y. Friction and wear properties of copper matrix composites reinforced with short carbon fibers. Mater. Des. 2008, 29, 257–261. [Google Scholar] [CrossRef]
- Singh, K.; Khanna, V.; Singh, S.; Bansal, S.A.; Chaudhary, V.; Khosla, A. Paradigm of state-of-the-art CNT reinforced copper metal matrix composites: Processing, characterizations, and applications. J. Mater. Res. Technol. 2023, 24, 8572–8605. [Google Scholar] [CrossRef]
- Aleksendrić, D.; Carlone, P. Introduction to Composite Materials. In Soft Computing in the Design and Manufacturing of Composite Materials; Springer: Cham, Switzerland, 2015; pp. 1–5. [Google Scholar] [CrossRef]
- Kumar, D.; Bharti, A.; Azam, S.M.; Kumar, N.; Tripathi, H. Investigations of mechanical properties of copper matrix hybrid composite. In Advances in Mechanical Engineering; Springer: Singapore, 2020; pp. 671–676. [Google Scholar] [CrossRef]
- Yan, Y.; Qiu, Y.; Zhang, X.; Wang, B.; Li, R.; Wu, H.; Song, K. Tailoring the strength-conductivity combination in Cu matrix composites via in-situ TiB2 synthesis. J. Mater. Res. Technol. 2025, 38, 62–74. [Google Scholar] [CrossRef]
- Gibson, R.F. Principles of Composite Material Mechanics, 4th ed.; CRC Press: Boca Raton, FL, USA; Taylor & Francis Group: Boca Raton, FL, USA, 2016; pp. 1–676. [Google Scholar] [CrossRef]
- Bhong, M.; Khan, T.K.; Devade, K.; Krishna, B.V.; Sura, S.; Eftikhaar, H.K.; Gupta, N. Review of composite materials and applications. Mater. Today Proc. 2023; in press. [Google Scholar] [CrossRef]
- Gunale, R.B.; Joshi, D.S.; Scholar, R. Applications of composite material in various fields. J. Emerg. Technol. Innov. Res. 2019, 6, 528–540. Available online: https://www.jetir.org/papers/JETIRAH06090.pdf (accessed on 1 September 2024).
- Annigeri, U.K.; Balasubramanya, H.S.; Anil Kumar, T.; Divakara Shetty, A.S. Investigation of Mechanical Properties and Tribological Performance of Al-B4C Metal Matrix Composites. In Processing and Fabrication of Advanced Materials; Springer: Berlin/Heidelberg, Germany, 2023; Volume 2, pp. 123–132. [Google Scholar] [CrossRef]
- Venkatesh, V.S.S.; Deoghare, A.B. Effect of controllable parameters on the tribological behavior of ceramic particulate reinforced aluminium metal matrix composites: A review. J. Phys. Conf. Ser. 2020, 1451, 012025. [Google Scholar] [CrossRef]
- Venkatesh, V.S.S.; Deoghare, A.B. Effect of particulate type reinforcements on mechanical and tribological behavior of aluminium metal matrix composites: A review. In Recent Advances in Mechanical Engineering; Springer: Singapore, 2021; pp. 295–303. [Google Scholar] [CrossRef]
- Wąsik, A.; Leszczyńska-Madej, B.; Noga, P. Hot extrusion of SiCp/Al-Cu composites: Optimizing mechanical properties through microstructural control. Int. J. Adv. Manuf. Tech. 2024, 134, 3611–3620. [Google Scholar] [CrossRef]
- Arif, S.; Alam, M.T.; Aziz, T.; Ansari, A.H. Morphological and wear behaviour of new Al-SiCmicro-SiCnano hybrid nanocomposites fabricated through powder metallurgy. Mater. Res. Express 2018, 5, 046534. [Google Scholar] [CrossRef]
- Thandalam, S.K.; Ramanathan, S.; Sundarrajan, S. Synthesis, microstructural and mechanical properties of ex situ zircon particles (ZrSiO4) reinforced Metal Matrix Composites (MMCs): A review. J. Mater. Res. Technol. 2015, 4, 333–347. [Google Scholar] [CrossRef]
- Vellaichamy, R.; Sudarsan, D.; Tharisanan, R.T.; Allahpitchai, M.; Krishnan, B.R. Investigate the mechanical properties of Aluminium Metal Matrix Composite. J. Phys. Conf. Ser. 2024, 2748, 012009. [Google Scholar] [CrossRef]
- Arif, S.; Alam, M.T.; Ansari, A.H.; Siddiqui, M.A.; Mohsin, M. Study of mechanical and tribological behaviour of Al/SiC/ZrO2 hybrid composites fabricated through powder metallurgy technique. Mater. Res. Express 2017, 4, 076511. [Google Scholar] [CrossRef]
- Shaikh, M.B.N.; Arif, S.; Aziz, T.; Waseem, A.; Shaikh, M.A.N.; Ali, M. Microstructural, mechanical and tribological behaviour of powder metallurgy processed SiC and RHA reinforced Al-based composites. Surf. Interfaces 2019, 15, 166–179. [Google Scholar] [CrossRef]
- Jang, Y.; Kim, S.; Lee, S.; Kim, D.; Um, M. Fabrication of carbon nano-sized fiber reinforced copper composite using liquid infiltration process. Compo. Sci. Technol. 2005, 65, 781–784. [Google Scholar] [CrossRef]
- Alaneme, K.K.; Okotete, E.A.; Fajemisin, A.V.; Bodunrin, M.O. Applicability of metallic reinforcements for mechanical performance enhancement in metal matrix composites: A review. Arab. J. Basic Appl. Sci. 2019, 26, 311–330. [Google Scholar] [CrossRef]
- Tabie, V.M. Properties of particle-reinforced titanium matrix composites produced by powder metallurgy—Current research. J. Eng. Appl. Sci. 2025, 72, 53. [Google Scholar] [CrossRef]
- Azad, H.M.; Rahman, M.Z. Ceramic matrix composites with particulate reinforcements—Progress over the past 15 years. In Comprehensive Materials Processing, 2nd ed.; Hashmi, M.S.J., Ed.; Elsevier: Oxford, UK, 2024; Volume 12, pp. 395–408. [Google Scholar] [CrossRef]
- Bahrami, A.; Soltani, N.; Pech-Canul, M.I.; Gutiérrez, C.A. Development of metal-matrix composites from industrial/agricultural waste materials and their derivatives. Crit. Rev. Environ. Sci. Technol. 2016, 46, 143–208. [Google Scholar] [CrossRef]
- Yadav, P.; Dwivedi, S.P.; Shahnawaz, M.; Singh, A.; Yadav, J. Development of copper-based composite by stir casting technique. Mater. Today Proc. 2020, 25, 649–653. [Google Scholar] [CrossRef]
- Sharma, S.K.; Saxena, K.K.; Salem, K.H.; Mohammed, K.A.; Singh, R.; Prakash, C. Effects of various fabrication techniques on the mechanical characteristics of metal matrix composites: A review. Adv. Mater. Process. Technol. 2024, 10, 277–294. [Google Scholar] [CrossRef]
- Li, B.; Lavernia, E.J.; Lin, Y.; Zhang, L. Spray Forming of MMCs. In Reference Module in Materials Science and Materials Engineering; Elsevier: Amsterdam, The Netherlands, 2016. [Google Scholar] [CrossRef]
- Xie, H.; Mi, X.; Huang, G.; Gao, B.; Yin, X.; Li, Y. Effect of thermomechanical treatment on microstructure and properties of Cu–Cr-Zr-Ag alloy. Rare Met. 2011, 30, 650–656. [Google Scholar] [CrossRef]
- Humphreys, F.J. The Thermomechanical Processing of Al–SiC Particulate Composites. Mater. Sci. Eng. A 1991, 135, 267–273. [Google Scholar] [CrossRef]
- Huo, W.; Hou, L.; Cui, H.; Zhuang, L.; Zhang, J. Fine-grained AA 7075 processed by different thermo-mechanical processings. Mater. Sci. Eng. A 2014, 618, 244–253. [Google Scholar] [CrossRef]
- Sun, Q.J.; Xie, X. Microstructure and mechanical properties of TA15 alloy after thermo-mechanical processing. Mater. Sci. Eng. A 2018, 724, 493–501. [Google Scholar] [CrossRef]
- Liao, M.; Zhang, C.; Liu, G.; Wang, Z. Thermo-mechanically controlled processed (TMCP) IN718 superalloy with pre-precipitated γ ″phase: Microstructure evolution and high-temperature tensile properties. J. Alloy. Compd. 2025, 1040, 183436. [Google Scholar] [CrossRef]
- Dong, Q.; Shen, L.; Cao, F.; Jia, Y.; Liao, K.; Wang, M. Effect of thermomechanical processing on the microstructure and properties of a Cu–Fe-P alloy. J. Mater. Eng. Perform. 2015, 24, 1531–1539. [Google Scholar] [CrossRef]
- Yilmaz, S.O.; Teker, T.; Batmaz, Y.O.; Yüksel, Ç. Effect of thermomechanical processing on the mechanical properties of CuZn10 alloy. Mater. Test. 2022, 64, 1026–1032. [Google Scholar] [CrossRef]
- Shen, L.; Li, Z.; Zhang, Z.; Dong, Q.; Xiao, Z.; Lei, Q.; Qiu, W. Effects of silicon and thermo-mechanical process on microstructure and properties of Cu–10Ni–3Al–0.8 Si alloy. Mater. Des. 2014, 62, 265–270. [Google Scholar] [CrossRef]
- Zhang, W.; He, H.; Yi, Y.; Huang, S. Influence of thermomechanical processing on coarse particles, grain structure, and mechanical properties of Al–Cu alloy rings. J. Mater. Res. Tech. 2023, 22, 1136–1150. [Google Scholar] [CrossRef]
- Rofman, O.V.; Mikhaylovskaya, A.V.; Kotov, A.D.; Prosviryakov, A.S.; Portnoy, V.K. Effect of thermomechanical treatment on properties of an extruded Al-3.0 Cu–1.2 Mg/SiCp composite. Mater. Sci. Eng. A 2019, 739, 235–243. [Google Scholar] [CrossRef]
- Shaikh, M.B.N.; Aziz, T.; Arif, S.; Ansari, A.H.; Karagiannidis, P.G.; Uddin, M. Effect of sintering techniques on microstructural, mechanical and tribological properties of Al-SiC composites. Surf. Interfaces 2020, 20, 100598. [Google Scholar] [CrossRef]
- Ho, S.T.; Hutmacher, D.W. A comparison of micro CT with other techniques used in the characterization of scaffolds. Biomaterials 2006, 27, 1362–1376. [Google Scholar] [CrossRef]
- Barile, C.; Casavola, C.; Pappalettera, G.; Pappalettere, C. Feasibility of Local Stress Relaxation by Laser Annealing and X-ray Measurement. Strain 2013, 49, 393–398. [Google Scholar] [CrossRef]
- ASTM B962-17; Standard Test Methods for Density of Compacted or Sintered Powder Metallurgy (PM) Products Using Archimedes’ Principle. ASTM International: West Conshohocken, PA, USA.
- Chandrasekar, M.; Senthilkumar, K.; Kumar, T.S.M.; Siva, I.; Venkatanarayanan, P.S.; Phuthotham, M.; Ishak, M.R. Effect of adding sisal fiber on the sliding wear behavior of the coconut sheath fiber-reinforced composite. In Polymer Matrix Composites; Siengchin, S., Rajini, N., Eds.; Elsevier: Amsterdam, The Netherlands, 2021; pp. 115–125. [Google Scholar] [CrossRef]
- Moustafa, S.; Daoush, W.; Ibrahim, A.; Neubaur, E. Hot forging and hot pressing of AlSi powder compared to conventional powder metallurgy route. Mater. Sci. Appl. 2011, 2, 1127–1134. [Google Scholar] [CrossRef]
- Francis, L.F. Powder Processes. In Materials Processing: A Unified Approach to Processing of Metals, Ceramics and Polymers; Elsevier: Amsterdam, The Netherlands, 2016; pp. 343–414. [Google Scholar] [CrossRef]
- ASTM E18-17e1; Standard Test Methods for Rockwell Hardness of Metallic Materials. ASTM International: West Conshohocken, PA, USA, 2017. [CrossRef]
- ASTM E8/E8M-21; Standard Test Methods for Tension Testing of Metallic Materials. ASTM International: West Conshohocken, PA, USA, 2021.
- ISO 6892-1:2019; Metallic Materials—Tensile Testing—Part 1: Method of Test at Room Temperature. International Organization for Standardization: Geneva, Switzerland, 2019.
- Efe, G.C.; Zeytin, S.; Bindal, C. The effect of SiC particle size on the properties of Cu–SiC composites. Mater. Des. 2012, 36, 633–639. [Google Scholar] [CrossRef]
- Efe, G.C.; İpek, M.; Zeytin, S.; Bindal, C. An investigation of the effect of SiC particle size on Cu–SiC composites. Compos. Part B Eng. 2012, 43, 1813–1822. [Google Scholar] [CrossRef]
- Ivănuş, R. Effect of processing parameters, particle characteristics, and metallic coating on properties of SiCp Copper alloy matrix composites. Adv. Mater. Res. 2007, 23, 143–146. [Google Scholar] [CrossRef]
- Raja, R.; Jannet, S.; Ruban, S.R.; George, L. Mechanical, wear, and microstructural examination of copper surface composites reinforced with SiC nanoparticles done by FSP. Mater. Today Proc. 2023, 92, 376–381. [Google Scholar] [CrossRef]
- Kiefer, B.V. Thermomechanical processing for quality products in high speed rod rolling mills. Iron Steel Technol. 2012, 9, 104–110. Available online: https://cir.nii.ac.jp/crid/1571698599242372608 (accessed on 10 October 2025).
- Umar, M.; Swinkels, M.Y.; De Luca, M.; Fasolato, C.; Moser, L.; Gadea, G.; Zardo, I. Morphological and stoichiometric optimization of Cu2O thin films by deposition conditions and post-growth annealing. Thin Solid Films 2021, 732, 138763. [Google Scholar] [CrossRef]
- Efe, G.C.; Yener, T.; Altinsoy, I.; İpek, M.; Zeytin, S.; Bindal, C. The effect of sintering temperature on some properties of Cu–SiC composite. J. Alloy. Compd. 2011, 509, 6036–6042. [Google Scholar] [CrossRef]
- Rohbeck, N.; Xiao, P. Effects of thermal treatment on the mechanical integrity of silicon carbide in HTR fuel up to 2200 C. J. Nucl. Mater. 2014, 451, 168–178. [Google Scholar] [CrossRef]
- Markin, A.V.; Markina, N.E.; Popp, J.; Cialla-May, D. Copper nanostructures for chemical analysis using surface-enhanced Raman spectroscopy. TrAC Trends Anal. Chem. 2018, 108, 247–259. [Google Scholar] [CrossRef]
- Yan, M.; Song, W.; Zhao-hui, C. Raman spectroscopy studies of the high-temperature evolution of the free carbon phase in polycarbosilane derived SiC ceramics. Ceram. Int. 2010, 36, 2455–2459. [Google Scholar] [CrossRef]
- Yuan, R.; Guo, Y.; Gurgan, I.; Siddique, N.; Li, Y.S.; Jang, S.; Kim, S.H. Raman spectroscopy analysis of disordered and amorphous carbon materials: A review of empirical correlations. Carbon 2025, 238, 120214. [Google Scholar] [CrossRef]
- Nosewicz, S.; Bazarnik, P.; Clozel, M.; Kurpaska, Ł.; Jenczyk, P.; Jarząbek, D.; Langdon, T.G. A multiscale experimental analysis of mechanical properties and deformation behavior of sintered copper–silicon carbide composites enhanced by high-pressure torsion. Arch. Civ. Mech. Eng. 2021, 21, 131. [Google Scholar] [CrossRef] [PubMed]
- Shtepliuk, I.; Jian, J.X.; Pliatsikas, N.; Schilirò, E.; Iakimov, T.; Yazdi, G.; Yakimova, R. Electrochemical performance of gold-decorated graphene electrodes integrated with SiC. Microelectron. Eng. 2023, 278, 112042. [Google Scholar] [CrossRef]
- Kim, I.; Park, J.; Kim, J.; Oh, S.; Kim, N. A Generalized Void Closure Model in Hot Forging Process of Superalloys. J. Mater. Res. Technol. 2025, 36, 6802–6820. [Google Scholar] [CrossRef]
- Sharma, S.R.; Ma, Z.Y.; Mishra, R.S. Effect of friction stir processing on fatigue behavior of A356 alloy. Scr. Mater. 2004, 51, 237–241. [Google Scholar] [CrossRef]
- Somani, N.; Tyagi, Y.K.; Kumar, P.; Srivastava, V.; Bhowmick, H. Enhanced tribological properties of SiC reinforced copper metal matrix composites. Mater. Res. Express 2018, 6, 016549. [Google Scholar] [CrossRef]
- Shan, M.; Muhammad, K.F.; Muhammad, M.R.; Wong, Y.H.; Yoshida, M. Advancements in copper and silver sintering as interconnect materials in electronics applications. J. Mater. Sci. Mater. Electron. 2025, 36, 1803. [Google Scholar] [CrossRef]
- Lu, L.; Li, S.X.; Lu, K. An abnormal strain rate effect on tensile behavior in nanocrystalline copper. Scr. Mater. 2001, 45, 1163–1169. [Google Scholar] [CrossRef]
- Zhang, R.; Gao, L.; Guo, J. Influence of Cu2O on interface behavior of copper/SiCp composite prepared by spark plasma sintering. J. Am. Ceram. Soc. 2004, 87, 302–304. [Google Scholar] [CrossRef]
- Papillon, A.; Roure, S.; Schellekens, H.; Missiaen, J.M.; Chaix, J.M.; Rigal, E. Investigation on the chemical reactions affecting the sinterability and oxide content of Cu–Cr composites during the solid state sintering process. Mater. Des. 2017, 113, 353–360. [Google Scholar] [CrossRef]
- Jang, E.J.; Pfeiffer, S.; Kim, B.O.; Mtthias, T.; Hyun, S.M.; Lee, H.J.; Park, Y.B. Effect of post-annealing conditions on interfacial adhesion energy of Cu–Cu bonding for 3-D IC integration. Korean J. Mater. Res. 2008, 18, 204–210. [Google Scholar] [CrossRef]
- Wu, Y.; Yu, W.; Shen, S. Strain hardening and embrittlement of Al crystal with a surface oxidized void. Mech. Mater. 2020, 148, 103531. [Google Scholar] [CrossRef]
- Chmielewski, M.; Pietrzak, K.; Strojny-Nędza, A.; Kaszyca, K.; Zybała, R.; Bazarnik, P.; Nosewicz, S. Microstructure and thermal properties of Cu–SiC composite materials depending on the sintering technique. Sci. Sinter. 2017, 49, 11–22. [Google Scholar] [CrossRef]























| Sr. No. | Sample | Weight Percentage of Matrix and Reinforcing Agent | |
|---|---|---|---|
| Copper (wt.%) | SiC (wt.%) | ||
| 1 | A | 100 | - |
| 2 | B | 99 | 1 |
| 3 | C | 98 | 2 |
| 4 | D | 97 | 3 |
| 5 | E | 96 | 4 |
| 6 | F | 95 | 5 |
| 7 | G | 90 | 10 |
| 8 | H | 85 | 15 |
| 9 | I | 80 | 20 |
| 10 | J | 75 | 25 |
| Step | Process | Condition/Parameter | Purpose |
|---|---|---|---|
| 1 | Initial Compaction | 150 MPa, room temperature | Form a green pellet |
| 2 | Sintering | 950 °C, 60 min; Argon atmosphere | Densification, bonding |
| 3 | Deform 1 | Open-die cold forging | ~20% height reduction |
| 4 | Annealing 1 | 450 °C, 60 min, Ar | Stress relief & recovery |
| 5 | Deform 2 | Open-die cold forging | ~25% height reduction |
| 6 | Annealing 2 | 450 °C, 60 min, Ar | Stress relief & recovery |
| 7 | Deform 3 | Open-die cold forging | ~20% reduction |
| 8 | Annealing 3 | 450 °C, 60 min, Ar | Remove residual work hardening |
| 9 | Deform 4 | Open-die cold forging | ~30% reduction |
| 10 | Final Annealing | Optional: 450 °C, 60 min, Ar | Final stress relief |
| Composite | Initial Height (mm) | Deform 1 (mm) | Deform 2 (mm) | Deform 3 (mm) | Deform 4 (mm) | Percentage Deformation |
|---|---|---|---|---|---|---|
| Cu | 5.84 | 4.67 | 3.50 | 2.80 | 1.96 | 66.44 |
| Cu–1wt.% SiC | 5.78 | 4.62 | 3.47 | 2.77 | 1.85 | 67.99 |
| Cu–2wt.% SiC | 5.85 | 4.68 | 3.51 | 2.81 | 2.08 | 64.44 |
| Cu–3wt.% SiC | 5.95 | 4.76 | 3.57 | 2.86 | 2.19 | 63.19 |
| Cu–4wt.% SiC | 6.03 | 4.82 | 3.62 | 2.89 | 1.96 | 67.50 |
| Cu–5wt.% SiC | 6.25 | 5.00 | 3.75 | 3.00 | 2.54 | 59.36 |
| Cu–10wt.% SiC | 6.96 | 3.72 | 46.55 | |||
| Cu–15wt.% SiC | 8.08 | 5.55 | 31.31 | |||
| Cu–20wt.% SiC | 9.24 | 8.5 | 8.01 | |||
| Cu–25wt.% SiC | 10.12 | 9.99 | 1.28 |
| Composite | Green Density (g/cm3) | Sintered Density (g/cm3) | Relative Density (%) | Initial Porosity (%) |
|---|---|---|---|---|
| Cu | 7.1 | 8.7 | 97.3 | 11.7 |
| Cu–1wt.% SiC | 7.3 | 8.5 | 96.4 | 13.5 |
| Cu–2wt.% SiC | 7.0 | 7.4 | 94.7 | 14.1 |
| Cu–3wt.% SiC | 8.0 | 7.3 | 90.3 | 15.2 |
| Cu–4wt.% SiC | 6.7 | 7.2 | 88.9 | 17.3 |
| Cu–5wt.% SiC | 6.9 | 7.1 | 88.4 | 20.6 |
| Composite | Density | Yield Stress | Ultimate Tensile Strength | Toughness | Fracture Strength | Elongation at Break | |
|---|---|---|---|---|---|---|---|
| g/cm3 | MPa | MPa | KJ/m3 | MPa | (%) | ||
| Cu | Undeformed | 8.15 | 45.5 | 71 | 2.5 | 68 | 7.1 |
| Deformed | 8.71 | 40.4 | 145.7 | 10.3 | 121.3 | 12 | |
| Cu–1wt.% SiC | Undeformed | 7.6 | 107.4 | 166 | 24.2 | 165 | 27.2 |
| Deformed | 8.47 | 95.9 | 193 | 35.9 | 152 | 23.1 | |
| Cu–3wt.% SiC | Undeformed | 7.26 | 75.1 | 283 | 25.6 | 85 | 16 |
| Deformed | 8.09 | 51.9 | 208.8 | 35.1 | 71 | 24.6 | |
| Cu–5wt.% SiC | Undeformed | 6.98 | 34 | 104 | 7.1 | 93 | 11.8 |
| Deformed | 7.58 | 35.4 | 147 | 8.8 | 205 | 9.4 |
Disclaimer/Publisher’s Note: The statements, opinions and data contained in all publications are solely those of the individual author(s) and contributor(s) and not of MDPI and/or the editor(s). MDPI and/or the editor(s) disclaim responsibility for any injury to people or property resulting from any ideas, methods, instructions or products referred to in the content. |
© 2026 by the authors. Licensee MDPI, Basel, Switzerland. This article is an open access article distributed under the terms and conditions of the Creative Commons Attribution (CC BY) license.
Share and Cite
Shan, M.; Arif, S.; Khairi Faiz, M.; Muhamad, M.R.; Alzahrani, A.; Alghamdi, A.; Khan, A.U. Tailoring Microstructure and Performance of Cu/SiC Composites via Integrated Powder Metallurgy and Thermo-Compression Processing. Materials 2026, 19, 243. https://doi.org/10.3390/ma19020243
Shan M, Arif S, Khairi Faiz M, Muhamad MR, Alzahrani A, Alghamdi A, Khan AU. Tailoring Microstructure and Performance of Cu/SiC Composites via Integrated Powder Metallurgy and Thermo-Compression Processing. Materials. 2026; 19(2):243. https://doi.org/10.3390/ma19020243
Chicago/Turabian StyleShan, Mohammad, Sajjad Arif, Muhammad Khairi Faiz, Mohd Ridha Muhamad, Ateyah Alzahrani, Ahmad Alghamdi, and Anwar Ulla Khan. 2026. "Tailoring Microstructure and Performance of Cu/SiC Composites via Integrated Powder Metallurgy and Thermo-Compression Processing" Materials 19, no. 2: 243. https://doi.org/10.3390/ma19020243
APA StyleShan, M., Arif, S., Khairi Faiz, M., Muhamad, M. R., Alzahrani, A., Alghamdi, A., & Khan, A. U. (2026). Tailoring Microstructure and Performance of Cu/SiC Composites via Integrated Powder Metallurgy and Thermo-Compression Processing. Materials, 19(2), 243. https://doi.org/10.3390/ma19020243

